DYNA
0012-7353
2346-2183
Universidad Nacional de Colombia
https://doi.org/10.15446/dyna.v89n220.97467

Recibido: 25 de julio de 2021; Revision Received: 15 de diciembre de 2021; Aceptado: 29 de diciembre de 2021

Determination of some quality characteristics of new primary cuts of the forequarter of Colombian bovine carcasses

Determinación de algunas características de calidad de nuevos cortes primarios del cuarto delantero de canales bovinas colombianas

D. Restrepo-Molina, a J. López-Vargas, b J. Berdugo-Gutiérrez, a K. Cabrera-Torres, c V. Alzate-Amariles, a

Universidad Nacional de Colombia, Facultad de Ciencias Agrarias. Medellín. Colombia. darestre@unal.edu.co, jberdugog@unal.edu.co, valzatea@unal.edu.co Universidad Nacional de Colombia Universidad Nacional de Colombia Facultad de Ciencias Agrarias Medellín Colombia
Universidad Nacional de Colombia, ICTA, Bogotá, Colombia. jhlopezv@unal.edu.co Universidad Nacional de Colombia Universidad Nacional de Colombia Bogotá Colombia
Universidad Nacional de Colombia, Facultad de Ciencias, Medellín. Colombia. krcabrer@unal.edu.co Universidad Nacional de Colombia Universidad Nacional de Colombia Facultad de Ciencias Medellín Colombia

Abstract

Meat quality must be considered from a nutritional, sanitary and sensory perspective. In order to characterize bovine meat (three, four and five-stars), from the Urabá region (Antioquia), the bromatological, textural and industrial quality of seven new primary cuts from the forequarter of zebu cattle and crosses with zebu males was evaluated. The cuts showed bromatological characteristics that are within the ranges of premium category. The cuts' tenderness was higher in those classified as five-stars, followed by four and three-stars. The cuts of loin and shank are more suitable for consumption at table and the other cuts can be used in formulations of derived meat products. The WHC increased along with myofibrillar protein content, while the EC decreased in the cuts with an increase of fat content. We conclude that these cattle can provide front cuts with important quality characteristics.

Keywords:

bovine meat, bromatological quality, industrial quality, textural quality.

Resumen

La calidad de la carne debe considerarse desde la perspectiva nutricional, sanitaria y sensorial. Con el objetivo de caracterizar la carne bovina (tres, cuatro y cinco estrellas), de la región de Urabá (Antioquia), se evaluó la calidad bromatológica, textural e industrial de siete nuevos cortes primarios del tren delantero de machos de raza Cebú y cruces con cebú. Los cortes presentaron características bromatológicas que se encuentran dentro de los rangos de categoría premium. La terneza de los cortes fue mayor en aquellos clasificados como cinco estrellas, seguidos de los cuatro y tres estrellas; los cortes Lomo y Brazo son más adecuados para consumo en mesa y los demás cortes pueden ser usados en formulaciones de productos cárnicos derivados. La CRA aumentó junto con el contenido de proteína miofibrilar. La CE disminuyó con el contenido graso. Se concluye que este ganado puede aportar cortes delanteros con características importantes de calidad.

Palabras clave:

carne bovina, calidad bromatológica, calidad industrial, calidad textural.

1. Introduction

Meat quality for human consumption is considered here from different perspectives. The first perspective has to do with sanitary quality. This is an obligation when it comes to animals for public supply that includes certification from Health Authorities raising the animals, transport, slaughter, and the commercialization stage [1]. The second perspective is the nutritional quality, related to the contribution of nutrients in the diet, represented by the content, quality, and bioavailability of proteins, fats, vitamins (mainly those of the B complex) and minerals [2-3]. The third perspective is visible aspect, represented by those characteristics that are perceived by the sense organs, like the appearance, color, smell, taste and texture [4]. Industrial quality is considered, in which the characteristics that are valued by the meat industry are grouped together and are taken into account for the design of derivative products, relative to the composition and stability of the chemical systems that compose them [5].

Among the visible aspect the shearing force is probably the characteristic most valued by consumers, since it determines the tenderness of the product [6]. This characteristic depends on aspects such as the anatomical origin of the cut, its macroscopic composition (proportion of muscle, connective tissue and fat proportion), the breed, sex, and age of the animal, and the handling of the meat once it is obtained [7-8]. There are several ways to know the cutting force of the meat. The first is through a sensory panel that, with adequate training, can respond as a reliable and reproducible instrument. The second is by instrumental methods that determine the force to be applied to a standardized portion of the material to produce a cut of meat, simulating the effect of the incisors when a bite is made [9-10].

Because of the breeds and the animal production systems (grazing) predominant in Colombia, the obtained meat cuts from the front quarter of the bovines have been regularly destined for meat products, since it is considered that the animals are slaughtered at ages higher than 4-5 years old and they do not provide tender cuts. However, this production sector has been changing based on livestock farms modernization, animals with genetic and nutrition improved which allows to obtain animals with higher slaughter weights at earlier ages with better meat quality parameters [11].

The amount of fat, protein and moisture are very important factors in the process of formulating derivative products [12], given that a special surveillance function is exercised over them through health agencies and that their relationships determine aspects of sensory quality in a wide range of products such as stability, texture and juiciness. Characteristics such as water holding capacity (WHC) and emulsifying capacity (EC) are mainly indicators of meat functionality that allows a cut to trap and stabilize water and fat when subjected to mechanical or thermal stresses such as during processing [13-14]. Quantifying each of them represents technically limiting values in product formulation in order to be able to adjust to legal realities.

In the meat dough (mixture of ingredients and additives) with which a finely chopped meat derivative is made (e.g., a Frankfurt-type sausage), several systems coexist: an emulsion, a solution, a dispersion, a suspension and even a foam. The correct balance of these depends on the stability exhibited by the product during all phases (constitution, transport, stuffing, heat treatment, packaging and distribution) [15]. In order to determine the general quality of bovine meat produced in the Urabá region (Antioquia), the bromatological, textural and industrial properties of seven new primary cuts of the forequarter of zebus and crosses with zebu males were determined. This characterization was carried out using standardized assays for the determination of protein, fat, humidity, ash, and collagen content, degree of tenderness, water holding capacity, and emulsifying capacity, so that a quality standard could be established in the region for facilitating the commerce.

2. Materials and methods

2.1 Selection and management of livestock

A total of 290 male zebus and crosses with zebu and turine cattled were fattened and castrated in the Urabá region (Antioquia, Colombia). They were slaughtered in a plant certified by the National Health Authority (INVIMA) and processed according to current Colombian legislation [16]. The carcasses were classified according to the Colombian Technical Standard (NTC 4271) as three, four and five stars, valued according to the quantitative and qualitative characteristics of the System. These values included the age of the animal, weight and length of the carcass, dorsal fat thickness, leg perimeter, and degree of finish [17] From these a number of 56 carcasses classified into three, four and five stars (18, 18 and 20, respectively) were randomly selected that were divided into half carcasses by means of a cut performed across the midline of the spine.

2.2. Obtaining the different meat cuts

After refrigerated storing the carcasses for 24 hours, the forequarters of each half carcass were produced by making the commercial cut called a gun before proceeding to execute the wholesale cuts as described below. Shank cut: initially the pectoral and rhomboid muscles were sectioned, later the separation of the thoracic portion of the trapezius muscle was performed by inserting the edge of the scapula and retracting the muscle caudally, then bordering the scapular cartilage and the caudal edge of the scapula, the great dorsal muscle was sectioned, leaving the forelimb free.

For the neck cut, an incision was made from the atlas to the third thoracic vertebra along the cranial edge of the scapula, descending towards the distal area, looking for the shoulder joint (scapulo-humeral), carving against the vertebrae and removing the entire mass of the muscle. For the foreshank cut, the flexor and extensor muscles of the fingers were separated at the junction with the ulna and radius. The loin cut involved a deep dissection between the third and thirteenth thoracic vertebrae up to the vertebral processes and against the corresponding ribs in their joint.

The brisket cut was produced starting in the apophysis xiphoid, making the cut close to the sternum to separate the pectoral ascendant muscle; then the pectoral descending muscle was separated from its attachments to the manubrium of the sternum and from there the muscle bundle with the pectoral muscles was removed. The rib-flank cut was obtained by cutting the parietal pleura of the ribs to promote the separation of the bone from the muscle mass. It was removed by pressure from the ventral end, executing this operation one by one, so that the ribs appear as white bone after fracturing or sawing the joint to the vertebra. For the diaphragm cut, the cut was followed through the entire edge of the muscle that bears the same name.

Each of the wholesale meat cuts obtained in this way were properly labeled, vacuum packed, and refrigerated at 4 °C until tests were carried out. Fig. 1 shows the areas of the carcass where the cuts were obtained and Table 1 shows the main muscles involved in each cut.

Delimitation of the forequarter cuts of bovine carcass from Uraba region.

Figure 1: Delimitation of the forequarter cuts of bovine carcass from Uraba region.

Source: The authors.

Table 1: Muscles totally or partially involved in the primary cuts of the forequarter of cattle from the Uraba region.

Source: The authors.

2.3 Proximal analysis

A compositional analysis of the different meat cuts was carried out using the Official Method of the AOAC 2007.04 [18]. The samples were ground and placed on the sample chamber of a near infrared spectrophotometer (FoodScan, FOSS NIRsystems, Inc., Laurel, MD, USA), and 16 zones of the sample were sub-scanned, that were then integrated to obtain a total spectrum, that was compared with a chemical analysis database and the relationship between the spectral characteristics and the constituent values of the sample was quantified. Through this analysis, the content of fat, moisture, ash, protein and total collagen was determined. The results were expressed as g of each component per 100 g of meat.

2.4 Determination of meat cuts shear force

The method used to evaluate the shear force of the samples was a hardness analysis. For the evaluation, the meat samples were brought to a cooking temperature of 75 °C in a convection oven and then cooled to 4 °C. Pieces of 6 cm long, 1 cm high and 1 cm wide, were cut, cutting parallel to the muscle fibers. The force necessary to cut the meat sample was measured on a TA.XT texturometer coupled with a Warner-Bratzler blade (Texture Technologies, Hamilton MA, USA) at a cutting speed of 5 mm/s and the average of six readings was the final value; the results were reported in Newton (N) [19]. The textural analyses of all the cuts were carried out at three and twelve days after butchering animal, with the aim of observing the effect of time on tenderness.

2.5 Determination of the emulsifying capacity (EC)

The ability to form an emulsion in meat cuts was analyzed according to a proposal of Carpenter and Saffle (1964) [20] with some modifications [21]. The different cuts were ground to form a uniform paste and 100 g were weighed and mixed in a blender with 750 mL of a cold solution of NaCl (1M) for 60 s. Finally, a 10 g portion of the mixture was poured into another blender and homogenized again with 60 mL of the cold NaCl solution. A 50 mL portion of corn oil (previously containing 0.03% Sudan III lipid dye) was added to the previous mixture and homogenized at high speed. Additional aliquots of oil were added at a rate of 1.0 mL/s until the solution changed phase, observed by the appearance of a darker color and the decrease in the mixing speed in the blender jar. The total amount of oil used was recorded and the emulsifying capacity was expressed as the volume of oil emulsified per gram of meat protein (mL/g).

2.6 Determination of the water holding capacity (WHC)

The water holding capacity in meat cuts was carried out according to the following procedure. Portions of 10 g finely ground meat were placed in centrifuge tubes together with 15 mL of NaCl solution (0.6 M). For 15 min they were kept at 5 °C and then centrifuged at 10,000 rpm (4 °C) for a further 15 min. Finally, the water supernatant was measured. The water retention capacity was expressed as a percentage according to eq. 1 [22].

Where, Vadd is the volume in mL of NaCl added to the tube and Vsup is the volume in mL that remains as supernatant after centrifugation process.

2.7 Statistic analysis

All analyses were performed in triplicate and the results were presented as a mean ± SD. Statistically significant differences were determined by one-way analysis of variance (ANOVA) with a F test, and p<0.05 were considered statistically significant. Statistical analyses were performed with Statgraphics Centurion XIV software (Statgraphics Technologies Inc., Virginia, USA).

3. Results and discussion

3.1 Proximal composition of meat cuts

The bromatological composition of the meat cuts obtained are shown in Table 2. The different samples had protein, collagen, fat, moisture and ash values that are within the ranges reported for meat cuts of the forequarters of cattle produced in other places throughout the world, some of them are even classified as Premium Category [23-26].

Table 2: Bromatological composition of meat cuts.

For protein values, there were no statistical differences between the cuts according to the classification of the carcass. Values with different letters showed significant differences.

Source: The authors.

The protein content was similar in almost all the cuts except in brisket and rib-flank, for which it was slightly lower without being statistically significant (p>0.05). In the case of the protein minus collagen ratio (calculated from the data), the effect of the classification in the neck cut in the four- and five-star categories was evident. In the foreshank cut, there were significant differences (p<0.05) between classifications.

The fat variable presented the expected behavior because the carcass classification system considers their finish (degree of fat coverage) as one of the determining characteristics. Cuts from five-star category carcasses are leaner than those of category four and three stars, although not all were statistically significant. Rib-flank, diaphragm and brisket cuts, were significant different (p<0.05) to loin, shank, fore-shank and neck cuts.

There were collagen differences between the cuts and classifications, as well as in the interaction between them. In general, the cuts from carcasses of the three-star classification were those with the highest collagen content, followed by those from four stars and those from five stars. Rib-flank and brisket cuts were significant different (p<0.05) to neck and loin cuts and to shank, fore-shank and diaphragm cuts. The interactions of meat cut by classification of the carcass from which they come were seen in loin and the neck.

The moisture content of the analyzed cuts was between 60.6% and 78.8%. The loin, shank, neck and rib-flank cuts showed significant differences (p<0.05) with respect to the classification of the carcass by stars, showing a slight increase in humidity for cuts from five-star carcasses. Diaphragm, shank, fore-shank, loin and neck cuts were significant different (p<0.05) in humidity to rib-flank and brisket cuts. Moisture in meat, as a raw material, is related to the contribution of succulence, juiciness, and the ability to incorporate water-soluble ingredients, as well as the ability to form dispersive systems, emulsions and increased yield in the formulation of meat products [27].

The meat cuts presented similar ash content among them and all above 1%. There were no differences between cuts or between the carcass classification. The presence of ash in the samples is important from the nutritional point of view thanks to the contribution of essential elements such as Fe, Se, Mn, I, Zn and Cu that are naturally more bioavailable than the contribution of other food sources and that are also transferred to meat products [28].

The cuts that had the best bromatological characteristics according to the carcass classification system were, for the most part, those that came from the five-star classification (p<0.05).

3.2 Shear force

The shear force of the analyzed samples is presented in Table 3. The meat cuts classified as three stars had a higher value of cutting force (lower value of tenderness) than the samples classified as four and five stars; the latter had the lowest values. The effect of time caused a decrease in the shear force of all the samples; this clearly reflects an increase in tenderness caused by the physicochemical reactions that occur in the maturation process [29].

Table 3: Shear force behavior for the different meat samples

Differences in the letters that accompany the values for shear force in meat cuts indicate significant differences.

Source: The authors

According to the magnitude of the shear force in the analyzed samples, shank and loin are suitable cuts for consumption at the table under traditional cooking methods due to their greater tenderness. Brisket and neck cuts could become an alternative, especially after 12 days of maturation, since their values are very close to the limits established by regular and demanding consumers of these products [30], while rib-flank cuts, diaphragm and foreshank, must undergo more severe cooking methods or be used preferably as raw material in industrial processes to make meat derivatives products. Similar results have been found in muscles of the forequarters of Mexican beef [31].

Chriki et al. (2013) proposed that the tenderness of meat depends directly on the biochemical characteristics of the muscles, such as the content of total and insoluble collagen, intramuscular fat, glycolytic muscle fibers and the activity of some enzymes such as isocitrate dehydrogenase and lactate dehydrogenase. This complex interaction allows us to understand the great variability of texture that these studied cuts of meat show [32].

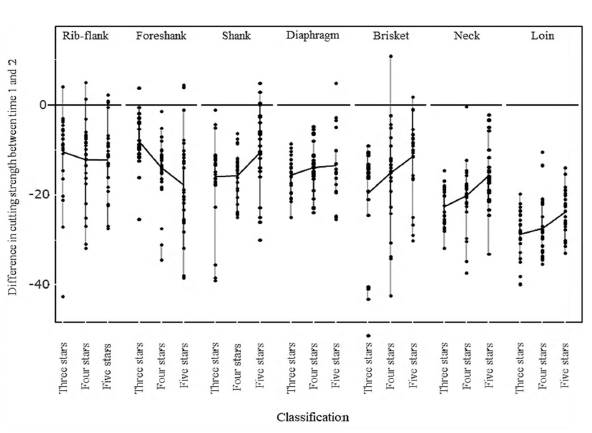
The most tender cuts at two evaluated times was shank, and the one that presented the greatest fall in the value of shear force after ripening was loin (Fig. 2). It is precisely these two cuts that show a higher value for the protein minus collagen characteristic (calculated from the data in Table 2), allowing the suggestion that the action of proteolytic enzymes is more intense on myofibrillar proteins than on stromal proteins, coinciding with that reported by Kim 2018) [33].

Relative decrease of the shear force value during the wet maturation process1 of the meat samples, by cuts and classification.

Figure 2: Relative decrease of the shear force value during the wet maturation process1 of the meat samples, by cuts and classification.

1Vacuum packed and kept at ± 4.0 °C. Source: The authors

The meat cuts of muscles that are more exercised or have a higher collagen content from lower-rated carcasses, had higher values for shear force measurements at 3 and 12 days of maturation.

The infraspinatus muscles produced the hardness of the shank cut, a result similar to that of Motter et al, 2020 [34], who identify this muscle as the most tender, even when comparing to muscles of the anterior quarter. The was associated with a higher proportion of fibers type I and IIA that together with the composition (protein and collagen content), anatomical location and muscle function allowed us to understand this characteristic [35]. In the case of the loin cut, we observed that it had low shear force values at twelve days of slaughter, a behavior that can be explained due to the joint softness exhibited by some of the muscles that comprise it (Table 1). The brachiocephalic muscle, together with the deltoid and external cephalic muscles are reported by Von Seggern, et al, (2005) within the group with greater hardness [36].

3.3 Techno-functional quality of meat cuts

3.3.1 Water Holding Capacity (WHC)

Table 4 summarizes the values obtained in the determination of WHC and EC for the analyzed meat cuts.

Table 4: Functionality of the different meat cuts.

There were no significant differences (p>0.05) between cuts by carcass classification.

Source: The authors.

The WHC values were significantly different between cuts (p<0.05). The cut that showed the highest WHC was the Loin, responding to the functionality of the myofibrillar protein (protein minus collagen), followed by the shank, neck, fore-shank and diaphragm cuts between which there was no significant difference (p>0.05).

These results are explained by the ability of the myofibrillar protein to form a stable gel thanks to the different chemical forces that coexist there; among them, hydrogen and disulfide bonds as well as electrostatic and hydrophobic interactions [37].

The myofibrillar protein present in the evaluated meat cuts was correlated more than 90% with the water retention capacity shown by the different samples analyzed (Fig. 3). The Rib-flank cut presented the lowest WHC value, which may be due to the high fat content (Table 2) that prevents proteins from being able to bind water molecules due to hydrophobic interactions between fat molecules.

Ratio of myofibrillar protein (total protein minus collagen) with respect to the water holding capacity of the meat cuts (Figure A) and ratio of the fat content with respect to the emulsifying capacity of the meat cuts (Figure B).

Figure 3: Ratio of myofibrillar protein (total protein minus collagen) with respect to the water holding capacity of the meat cuts (Figure A) and ratio of the fat content with respect to the emulsifying capacity of the meat cuts (Figure B).

Source: The authors.

An interesting case was the diaphragm cut, since it had a considerable WHC, but did not have a comparatively high content of myofibrillar protein. This suggests that the proteins that make up this muscle have functional properties that are even better than those of the other cuts. However, more extensive studies are needed to clarify this behavior.

The results of WHC in cuts of the forequarter agree with those previously reported by Leal-Gutierrez et al. (2014) [38], who studied the Longissimus dorsi and semitendinosus muscles of cattle produced in the department of Cesar (Colombia). Compared to Mendoza-Carrillo et al. (2015) [39] with mean WHC values of 28.13% (measured by the filter paper method) for Longissimus dorsi in Holstein cattle of different body conditions; the loin, shank, foreshank, neck and diaphragm cuts of this work had higher values (Table 4)

3.3.2 Emulsifying Capacity (EC)

The EC of the studied meat cuts are presented in Table 4. It can be noted that fore-shank, loin and shank cuts were significantly different to neck and diaphragm cuts and to rib-flank and brisket cuts. It is underlined here that there was no relationship of this variable with the WHC. This means that the myofibrillar protein is not the only parameter involved in this functional property and therefore the fat and moisture values of the samples must be taken into account true, for example, with the diaphragm cut.

In Fig. 4A the total protein content was positively related to the EC, while in the brisket cut showed how the individual effect of collagen indicated a negative relationship with the EC (Fig. 4B) that from the techno-functional point of view would be detrimental to its use; for this reason, this tissue is usually removed from the cuts (represented in the tendons, fasciae and vascular system) before producing meat products. There is consequent nutritional loss caused since collagen provides some non-essential amino acids, including proline and glycine, important because they are precursors of different substances and their function at the level of the central nervous system [40].

Emulsifying capacity for the diaphragm cut, in terms of total protein (Figure A) and emulsifying capacity of the brisket cut in terms of collagen content (Figure B).

Figure 4: Emulsifying capacity for the diaphragm cut, in terms of total protein (Figure A) and emulsifying capacity of the brisket cut in terms of collagen content (Figure B).

Source: The authors.

The EC is also closely related to the fat content of the cut. In Fig. 3 this relationship can be seen. The cuts that are at the top left (foreshank, shank and loin) stand out, as they are leaner cuts than the others and therefore they are able to trap and stabilize more fat in a biphasic system. In contrast, cuts such as brisket and rib-flank, have a low emulsifying capacity. This phenomenon can be explained because they are cuts that have a higher collagen content than the others (Table 2), and an increase in the amount of collagen in an emulsion-type formulation can lead to phase separation [41].

4. Conclusions

The cuts of loin, shank, foreshank, neck, brisket, rib-flank and diaphragm, from bovine carcasses of cattle produced in the Urabá region (Colombia), had bromatological characteristics that were within the ranges reported for these types of cuts produced in other places in the world, some even classified as premium category. The tenderness of the cuts showed dependence with respect to the classification system used and was higher in those cuts of five-stars, followed by those of four and three-stars. The cuts of loin and shank were identified as more suitable for home consumption, while the other cuts can be used in formulations of derived meat products. The water holding capacity and emulsifying capacity of all cuts were heterogeneous and depended directly on the analyzed meat cut. The water retention capacity increased along with the myofibrillar protein content, while the emulsifying capacity decreased in the meat cuts that contained higher fat content. With proper management of the bovine carcass, front cuts can be obtained with important quality characteristics that bring benefits for both the producer and the end consumers.

Acknowledgements

Acknowledgments

The authors thank to Ministerio de Ciencia, Tecnologia e Innovación (Minciencias) and the Government of Antioquia, Project: Bases Científicas y Tecnológicas para la Puesta en Marcha de un Sello de Calidad de Carne Bovina en la Región del Urabá Antioqueno #63343 (Contract #80740-010-2019) for the research funding.

References

  1. [1] Costa, M., Pracca, G., Sucari, A., Galli, L., Ibargoyen, J. Gentiluomo, et al., Comprehensive evaluation and implementation of improvement actions in bovine abattoirs to reduce pathogens exposure. Preventive Veterinary Medicine [online], (176), art. 104933, 2020. [date of reference May 17th of 2021]. Available at: DOI: 10.1016/j.prevetmed.2020.104933 [DOI] 🠔
  2. [2] Afshari, R., Hosseini, H., Khaneghah, A.M. and Khaksar, R., Physico-chemical properties of functional low-fat beef burgers: fatty acid profile modification LWT. [online], (78), pp. 325-331, 2017. [date of reference May 17th of 2021]. Available at: DOI: 10.1016/j.lwt.2016.12.054 [DOI] 🠔
  3. [3] Lee, S.Y. and Hur, S.J., Changes in the stability and antioxidant activities of different molecular weight bioactive peptide extracts obtained from beef during in vitro human digestion by gut microbiota Food Research International. [online], (141), art. 110116, 2021. [date of reference May 20th of 2021]. Available at: DOI: 10.1016/j.foodres.2021.110116 [DOI] 🠔
  4. [4] Lee, Y., Lee, B., Kim, H.K., Yun, Y.K., Kang, S.J., Kim, K.T. and Choi, Y.M., Sensory quality characteristics with different beef quality grades and surface texture features assessed by dented area and firmness, and the relation to muscle fiber and bundle characteristics. Meat Science [online], (145), pp. 195-201, 2018. [date of reference June 17th of 2021]. Available at: DOI: 10.1016/j.meatsci.2018.06.034 [DOI] 🠔
  5. [5] Sukumaran, A.T., Holtcamp, A.J., Campbell, Y.L., Burnett, D., Schilling, M.W. and Dinh, T.T., Technological characteristics of pre-and post-rigor deboned beef mixtures from Holstein steers and quality attributes of cooked beef sausage Meat Science. [online], (145), pp. 71-78, 2018. [date of reference June 5th of 2021]. Available at: DOI: 10.1016/j.meatsci.2018.06.001 [DOI] 🠔
  6. [6] Yang, L., Arnold, N.L., Drape, T., Williams, R.C., Archibald, T., Chapman, B. and Boyer, R., A survey of United States consumer awareness, purchasing, and handling of mechanically tenderized beef products Food Control. [online], (120), art. 107505, 2021. [date of reference June 10th of 2021]. Available at: DOI: 10.1016/j.foodcont.2020.107505 [DOI] 🠔
  7. [7] Conroy, P.M., O'Sullivan, M.G., Hamill, R.M. and Kerry, J.P., Sensory capability of young, middle-aged and elderly Irish assessors to identify beef steaks of varying texture Meat science. [online], (132), pp. 125-130, 2017. [date of reference June 27th of 2021]. Available at: DOI: 10.1016/j.meatsci.2017.05.020 [DOI] 🠔
  8. [8] Gagaoua, M., Terlouw, C., Richardson, I., Hocquette, J.F. and Picard, B., The associations between proteomic biomarkers and beef tenderness depend on the end-point cooking temperature, the country origin of the panelists and breed. Meat science. [online], 157, art. 107871, 2019. [date of reference July 1st of 2021]. Available at: DOI: 10.1016/j.meatsci.2019.06.007 [DOI] 🠔
  9. [9] Gagaoua, M., Picard, B., Soulat, J. and Monteils, V., Clustering of sensory eating qualities of beef: consistencies and differences within carcass, muscle, animal characteristics and rearing factors. Livestock Science. [online], 214, art. 245-258, 2018. [date of reference May 10th of 2021]. Available at: DOI: 10.1016/j.livsci.2018.06.011 [DOI] 🠔
  10. [10] Cafferky, J., Sweeney, T., Allen, P., Sahar, A., Downey, G., Cromie, A.R. and Hamill, R.M., Investigating the use of visible and near infrared spectroscopy to predict sensory and texture attributes of beef M. longissimus thoracis et lumborum. Meat Science. [online]. (159), art. 107915, 2020. [date of reference June 21st of 2021]. Available at: DOI: 10.1016/j.meatsci.2019.107915 [DOI] 🠔
  11. [11] Hurtado, A., Díaz M.F., Enciso, K. y Burkart, S., La extensión rural para la actividad ganadera en Colombia: legislación, desarrollos, brechas y oportunidades. Cali (Colombia), Centro Internacional de Agricultura Tropical, 2020. [en línea]. [consultado en: mayo 25 de 2021]. Disponible en: Disponible en: https://hdl.handle.net/10568/111045 [URL] 🠔
  12. [12] ICONTEC. Normas Técnicas Colombianas NTC 1325, 5ta actualización: Industrias alimentarias. Productos carnicos procesados no enlatados. [en línea], [consultado en: junio 2 de 2021]. Disponible en: Disponible en: https://tienda.icontec.org/gp-industrias-alimentarias-productos-carnicos-procesados-no-enlatados-ntc1325-2008.html [URL] 🠔
  13. [13] Zhang, Z., Yang, Y., Tang, X., Chen, Y. and You, Y., Chemical forces and water holding capacity study of heat-induced myofibrillar protein gel as affected by high pressure. Food Chemistry [online], (188), pp. 111-118, 2015. [date of reference June 2nd of 2021]. Available at: DOI: 10.1016/j.foodchem.2015.04.129 [DOI] 🠔
  14. [14] Feiner, G., Meat products handbook. 1*. ed., Woodhead Publishing and CRC Press, Abington, Pensilvania, USA, 2006. 🠔
  15. [15] Abbasi, E., Sarteshnizi, R.A., Gavlighi, H.A., Nikoo, M., Azizi, M.H. and Sadeghinejad, N., Effect of partial replacement of fat with added water and tragacanth gum (Astragalus gossypinus and Astragalus compactus) on the physicochemical, texture, oxidative stability, and sensory property of reduced fat emulsion type sausage. Meat Science. [online], (147), pp. 135-143, 2019. [date of reference May 13th of 2021]. Available in: DOI: 10.1016/j.meatsci.2018.09.007 [DOI] 🠔
  16. [16] Ministerio de la Protección Social, 2007. Decreto 1975 de 2019. Bogotá: Colombia. Instituto Nacional de Vigilancia de Medicamentos y Alimentos, 2019 🠔
  17. [17] ICONTEC. Normas técnicas Colombianas NTC 4271: Carnes. Sistema de clasificación de la carne bovina en canal. [online]. [date of reference June 1st of 2021]. Available at: https://www.icontec.org/rules/carnes-sistema-de-clasificacion-de-la-carne-bovina-en-canal/ [URL] 🠔
  18. [18] Anderson, S., Determination of fat, moisture, and protein in meat and meat products using the FOSS, FoodScan Near-Infrared spectrophotometer with FOSS artificial neural Network calibration model and associated database: collaborative study. Journal of AOAC International. [online], (90), pp. 1073-1083, 2007. [date of reference May 30th of 2021]. Available at: DOI: 10.1093/jaoac/90.4.1073 [DOI] 🠔
  19. [19] Ishihara, Y., Moreira, R., De Souza, G., Salviano, A. and Madruga, M., Study of the warner-bratzler shear force, sensory analysis and sarcomere length as indicators of the tenderness of sun-dried beef. Molecules. [online], 18(8), pp. 9432-9440, 2013. [date of reference May 17th of 2021]. Available at: DOI: 10.3390/molecules18089432 [DOI] 🠔
  20. [20] Carpenter, J.A. and Saffle, R.L., A simple method of estimating the emulsifying capacity of various sausage meats. Journal of Food Science. [online], 29(6), pp. 774-781, 1964. [date of reference July 10th of 2021]. Available at: DOI: 10.1111/j.1365-2621.1964.tb00447.x [DOI] 🠔
  21. [21] Qiao, M., Fletcher, D.L., Smith, D.P. and Northcutt, J.K., The effect of broiler breast meat color on pH, moisture, water-holding capacity, and emulsification capacity. Poultry Science. [online], 80(5), pp. 676-680, 2001. [date of reference July 25th of 2007]. Available at DOI: 10.1093/ps/80.5.676 [DOI] 🠔
  22. [22] Karakaya, M., Saricoban, C. and Yilmaz, M.T., The effect of various types of poultry pre-and post-rigor meats on emulsification capacity, water-holding capacity and cooking loss. European Food Research and Technology [online], 220(3), pp. 283-286, 2005. [date of reference May 22nd of 2021]. Available at: DOI: 10.1007/s00217-004-1068-1 [DOI] 🠔
  23. [23] Smith, A., Harris, K., Haneklaus, A. and Savell, J., Proximate composition and energy content of beef steaks as influenced by USDA quality grade and degree of doneness. Meat Science [online], 89(2), pp. 228-232, 2011. [date of reference July 10th of 2021]. Available at: DOI: 10.1016/j.meatsci.2011.04.027 [DOI] 🠔
  24. [24] Brackebusch, S. Mckeith, F., Carr, T. and Mclaren, D., Relationship between longissimus composition and the composition of other major muscles of the beef carcass. Journal of Animal Science [online], 69, pp. 631-640, 1991. [date of reference June 10th of 2021]. Available at: DOI: 10.2527/1991.692631x [DOI] 🠔
  25. [25] Jeremiah, L., Dugan, M., Aalhus, J. and Gibson, L., Assessment of the chemical and cooking properties of the major beef muscles and muscle groups. Meat Science. [online], 65(3), pp. 985-992, 2003. [date of reference June 30th of 2021]. Available at: DOI: 10.1016/S0309-1740(02)00308-X [DOI] 🠔
  26. [26] Dransfield, E., Intramuscular composition and texture of beef muscles. Journal of Science and Food Agriculture. [online], (28), pp. 833-842, 1977. [date of reference May 13th of 2021]. Available at: DOI: 10.1002/jsfa.2740280910 [DOI] 🠔
  27. [27] Romero, M.C., Romero, A.M., Doval, M.M. and Judis, M.A., Nutritional value and fatty acid composition of some traditional Argentinean meat sausages. Food Science and Technology. [online], 33(1), pp. 161-166, 2013. [date of reference June 5th of 2021]. Available at: DOI: 10.1590/S0101-20612013005000007 [DOI] 🠔
  28. [28] De Smet, S. and Vossen, E., Meat: the balance between nutrition and health. A review. Meat Science. [online], (120), pp. 145-156, 2016. [date of reference May 10th of 2021]. Available at: DOI: 10.1016/j.meatsci.2016.04.008 [DOI] 🠔
  29. [29] Coll, F.J. and Olivera, D.F., Texture Changes in meat during storage, in: Smithers, G., Ed., Reference module in food science, Elsevier, Amsterdam, Netherlands, 2016, pp. 1-9. 🠔
  30. [30] Shackelford, S.D., Wheeler, T.L. and Koohmaraie, M., Repeatability of tenderness measurements in beef round muscles. Journal of Animal Science. [online], 75(9), pp. 2411-2416, 1997. [date of reference May 25th of 2021]. Available at: DOI: 10.2527/1997.7592411x [DOI] 🠔
  31. [31] Chávez, A., Pérez, E., Rubio, M.S., Méndez, R.D., Delgado, E.J. and Díaz, D., Chemical composition and cooking properties of beef forequarter muscles of Mexican cattle from different genotypes. Meat Science. [online], 91(2), pp. 160-164, 2012. [date of reference May 10th of 2021]. Available at: DOI: 10.1016/j.meatsci.2012.01.010 [DOI] 🠔
  32. [32] Chriki, S., Renand, G., Picard, B., Micol, D., Journaux, L. and Hocquette, J.F., Meta-analysis of the relationships between beef tenderness and muscle characteristics, Livestock Science. [online], 155(2-3), pp. 424-434, 2013. [date of reference June 13th of 2021]. Available at: DOI: 10.1016/j.livsci.2013.04.009 [DOI] 🠔
  33. [33] Kim, Y.H.B., Ma, D., Setyabrata, D., Farouk, M.M., Lonergan, S.M., Huff-Lonergan, E. and Hunt, M.C., Understanding postmortem biochemical processes and post-harvest aging factors to develop novel smart-aging strategies. Meat Science. [online], (144), pp. 74-90, 2018. [date of reference May 3rd of 2021]. Available at: DOI: 10.1016/j.meatsci.2018.04.031 [DOI] 🠔
  34. [34] Motter, M.M., Corva, P.M. and Soria, L.A., Expression of calpastatin isoforms in three skeletal muscles of Angus steers and their association with fiber type composition and proteolytic potential. Meat Science. [online], (171), art. 108267, 2020. [date of reference May 27th of 2021]. Available at: DOI: 10.1016/j.meatsci.2020.108267 [DOI] 🠔
  35. [35] Yeh, Y., Omaye, S.T., Ribeiro, F.A., Calkins, C.R. and de Mello, A.S., Evaluation of palatability and muscle composition of novel value-added beef cuts. Meat Science. [online], (135), pp. 79-83, 2018. [date of reference May 25th of 2021]. Available at: DOI: 10.1016/j.meatsci.2017.08.026 [DOI] 🠔
  36. [36] Von Seggern, D.D., Calkins, C.R., Johnson, D.D., Brickler, J.E. and Gwartney, B.L., Muscle profiling: characterizing the muscles of the beef chuck and round. Meat Science. [online], 71(1), pp. 39-51, 2005. [date of reference May 13th of 2021]. Available at: DOI: 10.1016/j.meatsci.2005.04.010 [DOI] 🠔
  37. [37] Zhang, Z., Yang, Y., Tang, X., Chen, Y. and You, Y., Chemical forces and water holding capacity study of heat-induced myofibrillar protein gel as affected by high pressure. Food Chemistry [online], (188), pp. 111-118, 2015. [date of reference July 1st of 2021]. Available at: DOI: 10.1016/j.foodchem.2015.04.129 [DOI] 🠔
  38. [38] Leal-Gutiérrez, J.D., Jiménez-Robayo, L.M., Ariza, M., Manrique, C., López, J., Martínez, C. y Jiménez, A., Efecto del tipo genético y la maduración sobre la retención de agua en carne de toros castrados. Archivos de Zootecnia. [online]. 63(243), pp. 409-418, 2014. [date of reference June 27th of 2021]. Available at: DOI: 10.4321/S0004-05922014000300002 [DOI] 🠔
  39. [39] Mendoza-Carrillo, J., Martínez-Yáñez, R., Díaz-Plascencia, D. and Ávila-Ramos, F., Effect of body condition of Holstein cows on water-holding capacity, insoluble collagen and shear force in longissimus dorsi. Abanico Veterinario. [online], 5(2), pp. 19-27, 2015. [date of reference June 30th of 2021]. Available at: Available at: https://www.medigraphic.com/pdfs/abanico/av-2015/av152c.pdf [URL] 🠔
  40. [40] Gauza-Wlodarczyk, M., Kubisz, L. and Wlodarczyk, D., Amino acid composition in determination of collagen origin and assessment of physical factors effects. International Journal of Biological Macromolecules [online], (104), pp. 987-991, 2017. [date of reference May 18th of 2021]. Available at: DOI: 10.1016/j.ijbiomac.2017.07.013 [DOI] 🠔
  41. [41] Xiong Y.L., Muscle proteins. In: Proteins in Food Processing, 2nd ed., Woodhead Publishing, Elsevier, Sawston, U.K., 2018. 🠔
Restrepo-Molina, D., Lopez-Vargas, J., Berdugo-Gutierrez, J., Cabrera-Torres, K. and Alzate-Amariles, V., Determination of some quality characteristics of new primary cuts of the forequarter of Colombian bovine carcasses. DYNA, 89(220), pp. 90-98, January - March, 2022.
received the BSc. Eng. in Chemical Engineer in 1983 from the Universidad Nacional de Colombia, Medellín, Colombia. The MSc. in Science and Technology of Foods in 1998 from the Universidad de La Habana, Cuba. Since 1983 to current time, he is a full professor in the Meat Science and Technology in the Universidad Nacional de Colombia, Medellin, Department of Agricultural Engineering and Food, Faculty of Agricultural Sciences. His research interest includes: meat science and technology, meat product development and meat quality. ORCID 0000-0002-5623-3319
received the BSc. Animal Husbandry in 1990, from the Universidad Nacional de Colombia, Medellín, Colombia. The MSc. in Science and Engineering of Foods in 1995, from the Universidad Politécnica de Valencia, Valencia, España, and the Dr. in Agricultural and Food Science in 2008, from the Universidad Miguel Hernández de Elche, Elche, España. Since 1991 to current time, he is a full professor in the Food Science and Technology Institute-ICTA, Universidad Nacional de Colombia, Bogotá campus. His research interest includes: meat science and technology, development of functional foods, meat quality and bovine carcass classification. ORCID: 0000-0002-8763-1272
received the BSc. in Veterinary in 1989, his MSc. in Human Genetics in 1995 and his PhD in Agricultural Science in 2020, all of them from the Universidad Nacional de Colombia. He has been working in different universities in Bogota and Medellin, and also have been performed research during his professional life. The main interest topics are reproduction, biotechnology and recently molecular biology, informatics and meat quality. He is also buffalo meat producer. ORCID 0000-0002-1556-6387
recieved the BSc. in Geologist in 1994 from the Universidad Nacional de Colombia, Medellín, Colombia. Studies in system engineering at Universidad de Antioquia, Medellín, Colombia, and MSc. in Statistics in Universidad Nacional de Colombia, Medellín campus. Since 1995 to current time full time professor in geostatistics in the Geoscience Department at the Universidad Nacional de Colombia, Medellín campus. His research interest includes complex natural systems, geomathematics, geostatistics, geomorphometry, and experimental design. ORCID: 0000-0001-5721-4075
received the Bsc. in Animal Husbandry in 2017, MSc. in Science and Technology of Foods in 2021, all of them from the Universidad Nacional de Colombia, Medellín. Since 2019 to current time, he is a professor of chair in the Corporación Universitaria Lasallista, Caldas, Colombia. His research interest includes: meat science and technology, meat quality and bovine carcass classification. ORCID: 0000-0002-6332-0154