DYNA
0012-7353
2346-2183
Universidad Nacional de Colombia
https://doi.org/10.15446/dyna.v89n221.99394

Recibido: 8 de noviembre de 2021; Revision Received: 15 de marzo de 2022; Aceptado: 12 de mayo de 2022

Alteration in the gene expression of the HepG2 cell line by exposure to particulate matter (PM) of diesel

Alteración en la expresión de genes en la linea celular HepG2 por exposición a material particulado (MP) de diésel

L. Orozco-Jiménez, ab V. Estrada-Vélez, a D. Cuesta-Castro, a J. Isaza, a F. Molina, b J. Palacio-B, b M. Álvarez-Orozco, b I. Ortiz-Trujillo, a

Universidad Pontificia Bolivariana, Medellín, Colombia. luz.orozco@upb.edu.co, veronica.estrada@upb.edu.co, diana.cuesta@upb.edu.co, juan.isazaa@upb.edu.co, isabel.ortiz@upb. edu.co Universidad Pontificia Bolivariana Universidad Pontificia Bolivariana Medellín Colombia
Universidad de Antioquia, Medellín, Colombia. yaneth.orozco@udea.edu.co, francisco.molina@udea.edu.co, jpalaciob@gmail.com, mariaelenalvaez@gmail.com Universidad de Antioquia Universidad de Antioquia Medellín Colombia

Abstract

Particulate matter (PM) less than 2.5 um emitted by diesel engines is responsible for the morbidity and mortality associated with air pollution. Alternative fuels have been implemented, but their potential toxic effects are still unknown. The objective of this article is to evaluate the in vitro toxicity of the organic extract of particulate matter emitted by a diesel engine powered by two different fuels. Following cell exposure to fossil diesel + 10% ethanol and fossil diesel extracts, mutagenicity, genotoxicity, and differential gene expression were evaluated. The results showed that the organic extracts of diesel PM + 10% ethanol were more biotoxic (p<0.05). More studies are needed to better understand the health effect of PM emissions from biofuel.

Key Words:

diesel, particulate matter, organic extraction, genotoxicity, mutagenicity, transcriptomics.

Resumen

El material particulado (MP) menor a 2,5 um emitido por los motores diésel es responsable de la morbilidad y mortalidad asociadas con la contaminación del aire. Se han implementado combustibles alternativos, pero aún se desconocen sus posibles efectos tóxicos. El presente articulo tiene por objetivo evaluar la toxicidad in vitro del extracto orgànico de material particulado emitido por un motor diésel alimentado con dos combustibles diferentes. Luego de la exposición celular a los extractos de diésel fósil + 10% etanol y diésel fósil, se evaluó la mutagenicidad, la genotoxicidad y la expresión diferencial de genes. Los resultados mostraron que los extractos orgânicos del MP de diésel + 10%etanol fueron màs biotóxicos (p<0.05). Es necesario llevar a cabo màs estudios para entender mejor el efecto sobre la salud de las emisiones de MP proveniente de biocombustible.

Palabras clave:

diésel, material particulado, extracción orgànica, genotoxicidad, mutagenicidad y transcriptómicas.

1 Introduction

Every year about seven million people die due to air pollution and over 90% of the world's population live in areas where the air quality guidelines are not followed. The greatest contribution to air pollution in large cities is because of emissions from the use of diesel engines [1-2] and particulate matter smaller than 2,5 microns (PM2,5) is responsible for the diseases and mortality associated with air pollution [3,4]. PM2,5 particles penetrate the lungs and might reach the circulatory system [5-7] and organs such as the brain, liver, heart, and germ cells [2,8]. Contact of particles and their components with epithelial cells might cause DNA damage, genetic mutations, inflammatory response, and progression of atheromatous plaques. These events are associated in different ways with carcinogenesis, acute and chronic respiratory diseases, cardiovascular diseases, and neurological diseases [2,3,6], [9-15]. However, the underlying biological mechanisms of toxicity of PM are not well understood [14,16,17].

PM presents a fractal-like morphology and is a complex mix of compounds, which include: metals, gases, highly persistent organic compounds such as quinones, polycyclic aromatic hydrocarbons (PAH), and other heterocyclic aromatic compounds [2,18-21]. The PM emitted by diesel engines is heterogeneous and varies in composition, physicochemical properties, and toxicity. These features depend on the technology and operating conditions of the engine, as well as the type of fuel used [12,20-22].

The need to reduce emissions from diesel engines has motivated the search for less polluting fuels that can be used with current engines [23]. Although biodiesel and bioethanol, both derived from vegetable biomass, have been employed in blends with fossil diesel [23-27], information on the impact of their PM emissions is insufficient and contradictory. Hence, there is a growing concern about its potential effects on health [11,22,28-30].

In vitro biomarkers are important tools for detecting the toxicity of different agents such as PM and to evidence a wide range of molecular and cellular responses associated with PM adverse health effects. Moreover, they offer relevant information about the toxicological diversity of these materials and help to define prevention and mitigation strategies [14,16-17,31-33].

The assays to evaluate reverse mutation using different bacterial strains with specific mutations allow to characterize different compounds responsible for a mutagenic effect [1,34-42]. In the alkaline version, the comet assay detects a broad spectrum of DNA damage, such as fragments of single or double-strand breaks, lesions to alkali-labile sites, and incomplete excision repair sites [39,40,43-48]. The analysis of differentially expressed genes to evaluate the response to PM toxicity in human cell lines through Next Generation Sequencing (NGS), makes possible to identify new biomarkers and also, to relate the genotoxic effect with metabolic pathways and cellular processes affected by the PM [16,49].

2 Materials and methods

2.1 Engine characteristics and obtention of particulate matter

An Isuzu 4JA1 pre-Euro I, 2,5 L, direct injection, four-cylinder diesel engine was used, whose characteristics, operating conditions, nano-structural and morphological properties of the PM are discussed in [26,50]. The engine was started on clean low-sulfur fossil diesel, it was kept on stationary conditions until reaching 2410 rpm and the PM was collected at 43 and 95 Nm of torque. When these conditions were reached, 10% of the energy fraction of diesel was substituted with ethanol injected through a multipoint injection system (dual-injected ethanol/diesel fuel). In order to eliminate any residue after running the engine with the dual-injected ethanol/diesel fuel, the combustion system was drained for 15 min before being run again with clean low-sulfur fossil diesel.

Four undiluted PM samples were filtered and collected with stainless steel fibers positioned at 1,5 m after the exhaust manifold pipe. Gas temperature was kept below 200°C to avoid oxidative reactions in the PM, and the PM recovered by scraping the stainless-steel fibers was stored in sterile amber glass containers.

2.2 Organic extraction

The collected PM was sonicated with dichloromethane (DCM) as a solvent [28,51-62].

Fifty milligrams of PM from each fuel was mixed with DCM in a 1:2 ratio, the mix was sonicated at 40Hz for one hour at room temperature [63]. Subsequently, it was centrifuged for 10 minutes at 2.000 rpm, the extracted suspension was collected, and the process was repeated three more times using the precipitate. The supernatant was filtered through Nylon membranes (0,22 µm), followed by evaporation under a gentle stream of nitrogen gas and resuspended in dimethyl sulfoxide (DMSO). Because we were not able to weigh the organic extract of each fuel, doses were expressed in amounts (µg) starting material of PM of each fuel, so, the maximum concentration of each extract was of 0,16 µg PM Equivalents/µL. The expression of concentration in this way has been used by Claxton when referring to NIST Standard Reference Material (Diesel SMR 1650) [64] and by Umbuzeiro et al for fractions of air particulate material [65].

Clean stainless-steel fibers with the same characteristics as those used to collect the PM were subjected to the previous organic extraction process to determine their influence on the toxicity of the PM extracts.

2.3 Mutagenicity assay on Salmonella/microsome

The mutagenic activity of the organic extracts was evaluated with the Salmonella/microsome test [36], the Kado micro-suspension method [38,66]. TA98 and TA100 Salmonella strains auxotrophs for histidine (his-) and sensitive to detect most environmental mutagens were used [42]. The TA98 strain with a frameshift (hisD3052, Δ(uvrB, bio), rfa, Apr (ampicillin resistance) (pKM101) and the TA100 strain with base substitution (hisG46, A(uvrB, bio), rfa, Apr (ampicillin resistance), (pKM101), both strain in the absence of (-S9) and the presence of (+S9) metabolic fraction from a male rat's liver (induction with Aroclor 1254, Moltox S.A., USA). For each strain, nine concentrations from each extract were used per assay: 0,002; 0,005; 0,01; 0,02; 0,04; 0,07; 0,15; 0,3 and 0,6 µg equiv, of PM/µL on strain TA100 and 0,0002; 0,0005; 0,001; 0,002; 0,005; 0,01; 0,02, 0,04, 0,07, 0,15 µg equiv, of PM/µL on strain TA98. Negative controls were dMsO and the extract of clean stainless-steel fibers, and positive controls were Daunomycin (6 µg/plate) for strain TA98 -S9, Sodium Azide (1,5 µg/plate) for strain TA100 -S9 and 2-Aminoanthracene (5 µg/plate) for both strains, TA98 +S9 and TA100 +S9. The results were expressed as average revertants/µl and potential mutagenic activity was considered when the treatments showed statistically significant differences with the negative control and when the concentration-response relationship was significative (p<0,05) in any of the used strains.

2.4 Cell culture

The liver epithelial cell line HepG2 ATCC® (CRL -10741 LOT: 61777384), competent for the expression of a great variety of cytochromes P450 and widely used for genotoxicity assays of complex mix [67] was cultivated in Dulbecco's Modified Eagle Medium (DMEM), supplemented with fetal bovine serum (FBS) at 10%, 50 IU/ml of penicillin, 50 ug/ml of streptomycin. Cells were incubated at 37°C in a humid atmosphere and 5% of CO2. Cells were used when reached a cell confluence of 80% and changed every 20 passages.

2.5 Cell viability through mitochondrial functionality (MTT reduction) in the HepG2 cell line

Cell viability in the HepG2 line was evaluated through the MTT assay by reduction of the compound 3-(4,5-dimethylthiazol-2-yl)-2,5-diphenyltetrazole bromide. The methodology suggested by [68] was followed, 5.000 cells/well were seeded in 96-well dishes and were exposed in darkness to 20 µl of each extract of organic PM, then, were incubated at 37°C in humid atmosphere and 5% of CO2 during 24 hours. Twenty 1:1 serial dilution was evaluated, ranging from 0,16 to 0,0005 µg equiv of PM/µl.

Later, 10 µl of MTT were added to the cells, placed in an orbital shaker at 37°C for 5 h and then, 100 µl of cold isopropanol were added to each well to dilute the formazan crystals. The culture plates were placed in an orbital shaker platform for 12-24 hours and absorbance was measure using a Multiskan-GO spectrophotometer (Thermo Scientific) at 570 nm.

Viability (%) was calculated according to the equation:

Where: OD TnT is the optical density of the treated cells and OD neg.con is the optical density of untreated cells or negative control (clean stainless-steel fibers extract).

2.6 Genotoxicity in the HepG2 cell line with the Alkaline Comet essay

Genotoxic activity of the organic PM extracts from fuels was determined by alkaline version of the comet assay modified by McNamee [69]. Thirty-five thousand HepG2 cells were seeded in 12-well dishes, cells were treated with 10 µl concentrations of 0,0007, 0,0013; 0,026; 0,005; 0,01; 0,02; 0,042, 0,08 and 0,16 µg equivalent of PM/µl for 24 hours at 37°C in a humid atmosphere and 5% of CO2. Afterwards, cells were embebed in low melting point agarose and placed on gelbond films, then lysed and subjected to alkaline electrophoresis (pH > 13). Finally, the cells were stained with GelRedTM (Invitrogen Corp; CA, USA), observed and measured using a fluorescent microscope Nikon® Eclipse 55i (Tokyo, Japan) with a 20X objective. The length of the comet was randomly measured in 100 cells with an eyepiece micrometer (um) [70-72], the fraction of damaged cells (%DC) and the cut-off point were from the equation:

Where: D is the damaged DNA, avg. len. nc is the average length of DNA migration from the negative control or untreated cells (clean stainless-steel fibers extract) and SD is the standard deviation of the mean.

Three independent assays were performed, which included untreated cells, cells subjected to the clean stainless-steel fiber extract as negative controls, and 100 µM of H2O2 as positive control. A genotoxic effect was considered when the treatments exhibited statistically significant differences with the negative control and the concentration-response relationship was significant (p<0,05).

2.7 RNA extraction andRNA-seq analysis in theHepG2 cell line

For gene expression analysis, HepG2 cells were grown as described above and exposed for 24 hours to 0,16 µg equivalents of PM/µl of the organic extract obtained from each fuel, fossil diesel and dual-injected ethanol/diesel. The experiment involved three technical replicates per organic extract, including negative controls (HepG2 cells exposed to organic extract from clean stainless-steel fibers). Total RNA extraction was performed to 1x 106 cells from each group with Trizol (Invitrogen) following the manufacturer's recommendations. Quantity and quality of the RNA was determined with an UV light spectrophotometer on a NanoDropTM2000 (ThermoFisher Scientific) at an absorbance of 260 nm. The RIN (RNA Integrity Number) was determined by utilizing the Agilent RNA 6000 Pico kit (Agilent) and a Bioanalyzer (Agilent). The sequencing libraries were prepared with the TruSeq RNA library Prep kit (Ilumina INC, CA, USA) using poli-T beads for mRNA enrichment. Finally, paired-end libraries (2 x 150 nt) were sequenced in a HiSeq 4000 plataform (Ilumina Inc., CA, USA).

The raw reads underwent a cleaning process to completely remove reads or low-quality ends (Phred score <30), for which the TRIMMOMATIC software version 0.39 was implemented [73]. Subsequently, the clean reads were mapped to the reference human genome (GRCh38) with the STAR software version 2.6.0 [74] with all the default parameters. The reads count associated with each gene were generated with the HTSEQ-COUNT software version 0.11.1 utilizing all the default parameters [75].

The differential gene expression analysis was performed with the EDGER package version 3 [76]. Differentially expressed genes (DEGs) were identified by establishing a cut-off point of log2 FC (Fold Change) of 1,5 and a P value <0,05. The REACTOME database version 73 was implemented to group DEGs according biological processes [77] and enriched pathways reported by the database were selected considering a P value <0,05.

2.8 Statistical Analysis

Data analysis was performed with the statistical package IBM SPSS Statistics version 23.0 IBM Corp. Mutagenicity and genotoxicity were considered positive when the ANOVA and the concentration-response curve were significant (p<0,05).

3 Results

The organic extract from the clean stainless-steel fibers did not show mutagenic or genotoxic activity, therefore biological activity of the organic extracts of the fuels was not affected.

3.1 Mutagenicity with the Salmonella/microsome assay

The organic extracts of PM obtained through both operation modes, 43 and 95 Nm of torque, from fossil diesel and from dual-injected ethanol/diesel were mutagenic (Fig. 1), especially in TA98 strain in absence of metabolic enzymes. Extract from dual-injected ethanol/diesel was more mutagenic than fossil diesel extract. Organic extracts of PM obtained at 43Nm were significantly more mutagenic than those obtained at 95Nm of torque (p<0,05).

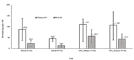
Evaluation of activity mutagenic in the strains TA 98 and TA 100 with and without S9. Concentration - mutagenic response curves of the PM organic extracts from fossil diesel and dual-injected ethanol/diesel fuel in the TA100 and TA98 strains in the absence (-S9) and presence (+S9) of metabolic enzymes. Figure 1A: mutagenic activity TA 100 -S9, Figure 1B: mutagenic activity TA 100 + S9, Figure 1C: mutagenic activity TA 98 -S9 and Figure 1D: mutagenic activity TA 98 + S9. The average of revertants (X ± SD) in negative controls were: TA100 strain + DMSO (- S9) (88 ± 2) and (+S9) (94 ± 3); TA98 strain + DMSO (-S9) (24 ± 3) and (+S9) (28 ± 2); TA100 strain + extract from clean stainless steel fiber (-S9) (93 ± 5) and (+S9) (97 ± 3); TA98 strain + extract from clean stainless steel fiber (-S9) (25 ± 4) and (+S9) (27 ± 3). The average of revertants (X ± SD) in positive controls were: TA100 strain + Sodium Azide 1,5 µg/plate (-S9) (2300 ± 90); TA98 strain + Daunomycin 6 µg/plate (-S9) (1354 ± 45); TA100 strain + 2-Aminoanthracene 6 µg/plate (+S9) (1684 ± 76) and TA98 strain + 2-Aminoanthracene 6 µg/plate (+S9) (670 ± 18).

Figure 1: Evaluation of activity mutagenic in the strains TA 98 and TA 100 with and without S9. Concentration - mutagenic response curves of the PM organic extracts from fossil diesel and dual-injected ethanol/diesel fuel in the TA100 and TA98 strains in the absence (-S9) and presence (+S9) of metabolic enzymes. Figure 1A: mutagenic activity TA 100 -S9, Figure 1B: mutagenic activity TA 100 + S9, Figure 1C: mutagenic activity TA 98 -S9 and Figure 1D: mutagenic activity TA 98 + S9. The average of revertants (X ± SD) in negative controls were: TA100 strain + DMSO (- S9) (88 ± 2) and (+S9) (94 ± 3); TA98 strain + DMSO (-S9) (24 ± 3) and (+S9) (28 ± 2); TA100 strain + extract from clean stainless steel fiber (-S9) (93 ± 5) and (+S9) (97 ± 3); TA98 strain + extract from clean stainless steel fiber (-S9) (25 ± 4) and (+S9) (27 ± 3). The average of revertants (X ± SD) in positive controls were: TA100 strain + Sodium Azide 1,5 µg/plate (-S9) (2300 ± 90); TA98 strain + Daunomycin 6 µg/plate (-S9) (1354 ± 45); TA100 strain + 2-Aminoanthracene 6 µg/plate (+S9) (1684 ± 76) and TA98 strain + 2-Aminoanthracene 6 µg/plate (+S9) (670 ± 18).

Results represent the average of three independent experiments. Concentration - response significance obtained with the ANOVA was p<0,001.
Source: authors.

Mutagenic Potency strain TA 100 (A) and TA 98 (B). Genotoxicity of HepG2 cells expressed as percentage of damaged cells in the alkaline comet assay.

Figure 2: Mutagenic Potency strain TA 100 (A) and TA 98 (B). Genotoxicity of HepG2 cells expressed as percentage of damaged cells in the alkaline comet assay.

Source: authors.

3.2 Cell viability through mitochondrial functionality (MTT reduction) in the HepG2 cell line

After exposing HepG2 cells to 20 concentrations of organic extracts from PM for 24 hours, there was no evidence of loss of mitochondrial functionality. Therefore, the extracts were considered non-toxic.

3.3 Evaluation of genotoxicity with the Alkaline Comet assay in HepG2 cells

Independent of the fuel or the operation mode of the engine, all the extracts were genotoxic. The concentration at which most of the organic extracts caused damage to 50% of the cells oscillated from 0,02 to 0,04 µg equivalent of PM/µl. One-hundred percent of the cells exhibited DNA damage from 0,08 µg equivalent of PM/µl with all the extracts. Regarding the operational mode, a higher genotoxic effect was evident at 43Nm of torque (Fig. 2).

3.4 Gene expression in the HepG2 cell line: RNA-seq Transcriptomics

Considering the results of the comet assay, the 0.16 µg equivalent of PM/µl concentration of the organic extracts obtained at an engine load of 43Nm was selected to perform the gene expression analysis. After normalizing the data, the average count of reads was 17 with approximately 10.000 genes detected with at least 5 reads for each of the conditions analyzed. Fifty percent of the detected genes had a count of 39 reads. Differentially expressed genes were identified when the expression profiles of HepG2 cells exposed to organic extracts from both fuels, fossil diesel and dual-injected ethanol/diesel, were compared to the expression profile of HepG2 cells exposed to extracts from clean stainless-steel fibers.

Fig.3 shows the distribution of DEGs of each organic extract from the fuels compared to HepG2 cells exposed to clean stainless-steel fibers extract (negative control). Both treatments displayed a higher proportion of upregulated genes in contrast to downregulate genes. Organic extract of PM from fossil diesel affected fewer genes than the organic extract of PM from dual-injected ethanol/diesel. Non-coding RNA were detected, although the methodology involved a mRNA enrichment based on polyT beads, those transcripts correspond to pseudogenes, micro-RNAs, long non-coding RNAs (LncRNAs), and antisense genes.

Differential expressed genes (DEG). Number of differentially expressed genes (p<0.05) with respect to untreated cells in the HepG2 cell line. Cells were exposed for 24 h to 16ug equivalent of PM/µl of PM organic extract of fossil diesel and dual-injected ethanol/diesel. ncRNA: non-coding RNA, Up: upregulated genes, Down: downregulated genes.

Figure 3: Differential expressed genes (DEG). Number of differentially expressed genes (p<0.05) with respect to untreated cells in the HepG2 cell line. Cells were exposed for 24 h to 16ug equivalent of PM/µl of PM organic extract of fossil diesel and dual-injected ethanol/diesel. ncRNA: non-coding RNA, Up: upregulated genes, Down: downregulated genes.

Source: authors.

Main biological processes affected by organic extract PM. Main biological processes Number of biological pathways affected by the DEG in HepG2 cells. After 24 hrs exposure to 0,16 µg equivalent of PM/µl of the PM organic extracts of fossil diesel and dual-injected ethanol/diesel. Reactome databse was implemented to group DEGs in each biological process.

Figure 4: Main biological processes affected by organic extract PM. Main biological processes Number of biological pathways affected by the DEG in HepG2 cells. After 24 hrs exposure to 0,16 µg equivalent of PM/µl of the PM organic extracts of fossil diesel and dual-injected ethanol/diesel. Reactome databse was implemented to group DEGs in each biological process.

Source: authors.

An enrichment analysis of pathways in the Reactome database identified the most affected biological processes. In their respective order, the immune system, transduction signals and lipid-carbohydrate-protein metabolism (Fig. 4). The enrichment results evidence that the organic extracts modulated the expression of various pleiotropic genes, such as the CASTPERG (Cation channel sperm associated auxiliary subunit gamma) and CXCL8 gene (C-X-C motif chemokine ligand 8) for the diesel organic extract, and the FOS genes (Fos proto-oncogene, AP1 transcription factor) or CSF1R (Colony stimulating factor 1 receptor) for the dual-injected ethanol/diesel extract. It was also observed that several genes might affect a single pathway, for example, for the immune system, the interleukin signals, cytokines, and the JAK-STAT pathway through cytokines (Table 1).

Table 1: Processes and biological pathways affected by DEGs. Annotation corresponds to Gene Ontology (GO) - Reactome terms._

p<0,05
DEG up (↓) and DEG down (↓).

HOX: Homeobox Gene, CATSPERG: Cation Channel Sperm Gene, CXCL8: Interleukin 8 Gene, LCP1: Lymphocyte Cytosolic Protein Gene, MSN: Moesin Gene, VIM: Vimetin Gene, CD44: Molecule Differentiation Gene, CSF1R: Colony Stimutating Factor Gene, IL1B: Interleukin 1 Gene, ITAGX: Integrin Alfa X Subunit Gene, ST3GAL3: Beta Galactoside Sialyltransferase Gene (membrane protein), PAPPSS2: Phosphoadenosine Phosphosulfate Transferase Gene, FLT1: Tyrosine Kinase Protein Gene member of Vascular Endothelial Growth Factor Receptor (VEGFR), FOS: Proto-oncogene FOS, LGALS9: Galectin Gene (extracellular matrix).

Source: authors.

Among other enriched pathways, those related to the embryogenesis and fertility were found in cells treated with the extract from diesel, while the dual-injected ethanol/diesel extract affected carbohydrate metabolism pathways. It is important to highlight that some modulated genes from both PM organic extracts take part and link the complex network of the DNA damage repair (DDR) system with the immune system pathways through different mechanisms (Table 2).

Table 2: DEGs associated to the DDR system and biological processes of the immune system

The arrows ↑, ↓ indicate gene regulation, up-regulated genes (Up) or down-regulated genes (Down), respectively more oxygenated aliphatic groups (alkenes, methylenes, and methyls) in the surface of the PM than fossil diesel, mainly when the engine operated at 43Nm of torque. Hydrocarbons, especially PAH, could be responsible for the mutagenicity with +S9 [81], while the aliphatic groups could cause mutagenicity without metabolic activation (-S9) [34]. Additionally, the increase of NOx in the combustion of diesel spread with alcohols could favor the formation of modified PAH as nitro-PAH, whose reactivity is greater in the TA98 strain without S9 [1,82]. Salmonella strains with the sensibility to specific chemical groups should be tested to identify the chemical groups in the extracts responsible for the mutagenicity, such as YG1041 (sensitive to nitroaromatics without S9 and amino aromatics with S9), YG5185 (sensitive to unmodified PAH), TA104 (sensitive to free radicals) or YG7108 (highly sensitive to alkylating agents), among others. Furthermore, the PM organic extract could be chemically characterized according to the differential mutagenic response of the strains.

Source: authors.

4 Discussion

Evaluation of the toxic potential of the PM derived from the combustion of fossil fuel fumigated with bio-alcohols has reached increasing interest because of the risk to public health [76]. The results of this investigation showed toxicity of the organic fraction from PM emitted by a pre-EURO I diesel engine fueled with diesel and ethanol through a modified multipoint injection system, to replace 10% of the energy fraction of diesel with ethanol. However, the health effects of PM from new fuels are still unknown, so it is a priority to explore the toxicological characteristics of these particles in large urban centers.

In this study, we could not weigh the organic extract of PM, thus, we don't determine the percentage of extractable organic material because the particles are not fully extractable organics. In addition, we did not perform any chemical characterization of the PM extracts. But it is well known that PM from fuels is a cocktail of compounds, implement a battery of in vitro bioassays covering major toxicological endpoints as genotoxicity, mutagenicity, and activation of cellular mechanisms, are considered of pivotal importance to identify potential risks to ecosystems and human health [77]. The results provide information about mutagenic and genotoxic compounds in PM from the dual-injected ethanol/diesel fuel.

All organic extracts of PM were mutagenic for at least one strain used in the Salmonella/microsome test. The strain TA98 with or without metabolic activity was the most sensitive to detect mutagenicity. These results indicate that organic extracts contain diverse mutagens, some (stable, persistent, and bioaccumulative) require metabolic activity, the mutagenicity without metabolic activity (-S9) evidenced other mutagens more reactive and less persistent. Organic extracts from dual-injected ethanol/diesel showed statistically significant differences to induce mutagenicity compared to the fossil diesel extract. Nevertheless, the mutagenic emission factor (rev/MJ or rev/kg fuel burned) is the most critical value to determine whether the emissions are mutagenic [78], this study did not measure that parameter.

Concerning the influence of the engine load, the organic extract obtained at 43 Nm of torque was more mutagenic, which results in agreement with other investigations [12,20-22,79]. This can be explained because the engines that remain on idle or low load for long periods, operate with an excess of air and therefore, the combustion efficiency is reduced, and the emission of particles is favored [15,26]. According to Kisin et al., [25], when comparing the mutagenicity of PM in the TA98 strain, the biological reactivity of PM increase when heavy or light engines operate at lower torque, which agrees with the results of this research.

Although the extracts were not chemically characterized, the mutagenic activity (with or without metabolic activity) and the differential sensitivity of both Salmonella strains suggest the presence of chemical groups responsible for such activity. According to previous reports with the same fuels used in this study [26,50], the combustion of dual-injected ethanol/diesel produces between two and four times more total hydrocarbons, large amounts of nitrogen oxide (NOx), and organic extracts of fosil diesel.

Treatments with the PM organic extracts induced DNA ruptures evidenced by the comet assay and the genotoxic potency values of the extract from the dual-injected ethanol/diesel showed an increase of the genotoxic effect in the hepatic cell line HepG2. In an earlier research, dual-injected ethanol/diesel was genotoxic and induced a greater number of cells with damage on human lymphocytes compared to fossil diesel. These effects were influenced by the operating conditions of the engine, the extracts from a low load (43Nm of torque) displayed higher genotoxicity [22]. The differences detected in the genotoxic profiles of the PM the evaluated fuels could be because replacing 10% of the energy fraction of diesel with ethanol through port injection produce more organic carbon emissions, total hydrocarbons [26], and high content of oxygenated and aliphatic groups compared to fossil diesel [50]. Hydrocarbons, especially PAH and aliphatic groups could be responsible for the induced genotoxicity in HepG2 cells from the PM organic extracts of the dual-injected ethanol/diesel [1,34,81,82].

The differential gene expression through RNA-seq displayed significantly different effects (p<0,05) between the two extracts, the organic extract from dual-injected ethanol/diesel regulated a greater number of genes. Both organic extracts modulated non-coding RNAs (ncRNA), these molecules are frequently involved in physiological and pathological processes such as inflammation, cell cycle regulation, and cancer, for example, patients with pulmonary disease presented an altered expression of ncRNA [83]. The role of these markers in the PM toxicity should be explored using specific methodologies to enrich ncRNA, evaluate different exposure times or cell lines.

Different pathways and genes involved in the cellular process of the immune system were more affected by both extracts. The organic extract from dual-injected ethanol/diesel significantly increased the production of transcripts of cytokines and interleukins, as IL1B, IL6, and TNF-a, while the organic extract from fossil diesel mainly altered the IL10 pathway. The expression of cytokines and interleukins could be activated by transcription factors, among others, due to oxidative stress resulting from exposure to PM [21], which might be responsible for the genotoxic effect and be associated with lung aging and respiratory damage [84]. Cytokines and interleukins are involved in cellular processes as inflammatory response, extracellular matrix, and cell junctions remodeling, which are associated with chronic respiratory diseases [2]. It has been established that an increase in cytokines and interleukins affects the adherent junctions between cells, which induces transduction signals that stimulate the release of the vascular endothelial growth factor (VEGF). In this study, the gene ontology analysis allowed to identify a disturbance of the VEGF signaling pathway when cells were exposed to extract from dual-injected ethanol/diesel fuel. Such disturbance alters the vascular permeability and induces inflammation with deleterious consequences on arteries and veins, which is related to cardiovascular accidents such as acute myocardial infarction and atherosclerosis [85].

In this research, there was an increase in transcripts such as IER3, CSF1, CHI3L1, PRKCH among others, whose protein products take part in the activation of mitogen-activated protein kinases (MAPK) to modulate the activity of pro-inflammatory transcriptional factors, such as NF-kB, which induce the production and release of cytokines and chemokines [86]. Transcripts from genes such as STABILIN 1, MATR3, FTL1, PCAM1, were differentially regulated by the PM organic extracts and could induce an inflammatory response through an alteration in membrane receptors or membrane transporters, affecting second messengers such as intracellular calcium, and disturbing the interaction with intracellular targets, cholesterol synthesis, lipid, and carbohydrate metabolism. These conditions trigger multiple transduction signals and promote the production of chemokines and cytokines [86,87].

It has been reported that exposure to organic fractions derived from PM induces immune response because of DNA damage. Genotoxicity activates the signal network related to DNA damage response (DDR) which triggers immune system signals [86,88-91]. Genomic instability induced by the damage of PM organic extracts on the DNA could increase cell proliferation, inhibit apoptosis, and remodel intercellular junctions, processes with pro-inflammatory properties. The mutagenic activity and DNA damage evidenced in this research, are sensed by proteins of the DDR system which form complexes with kinase proteins at the site of damage. In this way, they phosphorylate some proteins that participate in the regulation of the cell cycle, DNA repair systems, and transcription factors that regulate the immune system such as IL receptor, JAK's kinases, transduction, and transcription activation signals [88,89,92]. As an example, single and double-strand DNA breaks, evidenced by the comet assay, induce interferon genes through ERK-1/2 signals and the MAPK cascade. On the other hand, the AP sites generated by the DNA base excision repair (BER) system are a substrate for the AP endonuclease enzyme. This enzyme also regulates transcription factors for NF-kB, a protein necessary for the expression of TNF, IL8, and IL6 [88,92]. PM organic extracts evaluated in this research regulated apoptosis-related genes (ARHGEF18, TIAF1-TGFB1), proliferation, cell cycle, and MAPK cascade regulators (ERK1/2, AKT1, and NF-kB), genes involved in DNA repair, and extracellular matrix remodeling (CLK1, ERG1, DDIT4, REC8, LAMA2, NR4A1, CHI3L1), among others.

3. Conclusions

Considering these research findings and the successive use of different polarity solvents that broaden the spectrum of the extracted compounds from PM, is important to study the toxicity potential of PM fractions to dilucidated which compound are responsible for the toxicity of this material. Furthermore, it is essential to consider the toxicity of different size materials and to validate the participation of the proposed genes in each step of the model through q-PCR.

Cells grown in 2D cell cultures and exposed to PM extracts allow establishing the interactions between microparticles, their components, and the modulated cellular processes or metabolic pathways. Despite these advantages, 2D cell culture conditions poorly imitate the cell-cell functional interactions nor replicate the specific mechanic and biochemical microstructure of an organ. Consequently, this kind of research should be continued by implementing experimental techniques such as co-cultures and 3D cell cultures, which mimic the structural and functional complexities of human cells as accurately as possible.

Considering the challenge of experimental procedures without the use of animal models, implementing bioanalytical tests based on biomarkers, in conjunction with epidemiological and environmental studies, constitutes an effective strategy to protect public health. These tests offer rapid and reliable results to predict the effects of different atmospheric pollutants on human beings.

Acknowledgements

Acknowledgments

The authors thank CIDI of the Universidad Pontificia Bolivariana (UPB) and Minciencias for funding the project (Code 121074455786) and Sapiencia - Alcaldia de Medellín for grant support PhD. student. We also thank Dr. Gisela de Arangão Umbuzeiro (LAEG, Unicamp, SP, Brazil) for her valuable help in the interpretation of the results, discussion and critical reading of the manuscript.

References

  1. [1] Claxton, L.D., The history, genotoxicity and carcinogenicity of carbon-based fuels and their emissions: part 4 - alternative fuels, Mutat Res Rev Mutat Res, 763, pp. 86-102, 2015. DOI: https://doi.org/10.1016/j.mrrev.2014.06.003. [URL] 🠔
  2. [2] Na, H.G., Kim, Y.-D., Choi, Y.S., Bae, C.H. and Song, S.-Y., Diesel exhaust particles elevate MUC5AC and MUC5B expression via the TLR4-mediated activation of ERK1/2, p38 MAPK, and NF-kB signaling pathways in human airway epithelial cells, Biochem. Biophys. Res. Commun., 512(1), pp. 53-59, 2019. DOI: https://doi.org/10.1016/j.bbrc.2019.02.146. [URL] 🠔
  3. [3] IARC, Diesel and gasoline engine exhausts and some nitroarenes, IARC Monogr Eval Carcinog Risks Hum, 105, pp. 9-699, 2012. 🠔
  4. [4] Novotná B. et al., The genotoxicity of organic extracts from particulate truck emissions produced at various engine operating modes using diesel or biodiesel (B100) fuel: a pilot study. Mutation Research/Genetic Toxicology and Environmental Mutagenesis, 845, art. 403034, 2019. DOI: https://doi.org/10.1016/j.mrgentox.2019.03.007. [URL] 🠔
  5. [5] Garcia, S., Material particulado y enfermedad cardiovascular, Revista Chilena de Cardiologia, 29(3), pp. 353-355, 2010. DOI: https://doi.org/10.4067/S0718-85602010000300012. [URL] 🠔
  6. [6] Kowalska, M. et al., Genotoxic potential of diesel exhaust particles from the combustion of first- and second-generation biodiesel fuels-the FuelHealth project, Environ Sci Pollut Res Int, 24(31), pp. 24223-24234, 2017. DOI: https://doi.org/10.1007/s11356-017-9995-0. [URL] 🠔
  7. [7] Pope, C.A. et al., Relationships between fine particulate air pollution, cardiometabolic disorders, and cardiovascular mortality, Circ. Res., 116(1), pp. 108-115, 2015. DOI: https://doi.org/10.1161/CIRCRESAHA.116.305060. [URL] 🠔
  8. [8] DeMarini, D., Declaring the existence of human germ-cell mutagens, Environ. Mol. Mutagen., 53(3), pp. 166-172, 2012. DOI: https://doi.org/10.1002/em.21685. [URL] 🠔
  9. [9] Block, M.L. and Calderón-Garciduenas, L., Air pollution: mechanisms of neuroinflammation and CNS disease, Trends Neurosci., 32(9), pp. 506-516, 2009. DOI: https://doi.org/10.1016/j.tins.2009.05.009. [URL] 🠔
  10. [10] Hemmingsen, J.G., Moller, P., Nojgaard, J.K., Roursgaard, M. and Loft, S., Oxidative stress, genotoxicity, and vascular cell adhesion molecule expression in cells exposed to particulate matter from combustion of conventional diesel and methyl ester biodiesel blends, Environmental Science & Technology, [online]. 45(19), pp. 8545-8551, 2011. DOI: https://doi.org/1010.1021/es200956p . [accessed Apr. 12, 2019]. Available at: Available at: https://pubs.acs.org/doi/abs/10.1021/es200956p [URL] 🠔
  11. [11] Leme, D.M. et al., Genotoxicity assessment of water-soluble fractions of biodiesel and its diesel blends using the Salmonella assay and the in vitro MicroFlow® kit (Litron) assay, Chemosphere, 86(5), pp. 512-520, 2012. DOI: https://doi.org/10.1016/j.chemosphere.2011.10.017. [URL] 🠔
  12. [12] Magnusson, P. et al., Lung effects of 7- and 28-day inhalation exposure of rats to emissions from 1st and 2nd generation biodiesel fuels with and without particle filter - The Fuel Health project, Environ. Toxicol. Pharmacol., 7, pp. 8-20, 2019. DOI: https://doi.org/10.1016/j.etap.2019.01.005. [URL] 🠔
  13. [13] McCreanor, J. et al., Respiratory effects of exposure to diesel traffic in persons with asthma, New England Journal of Medicine, 357(23), pp. 2348-2358, 2007. DOI: https://doi.org/10.1056/NEJMoa071535. [URL] 🠔
  14. [14] Park, M. et al., Differential toxicities of fine particulate matters from various sources, Scientific Reports, 8(1), 2018. DOI: https://doi.org/10.1038/s41598-018-35398-0. [URL] 🠔
  15. [15] Vojtisek-Lom, M. et al., Polycyclic aromatic hydrocarbons (PAH) and their genotoxicity in exhaust emissions from a diesel engine during extended low-load operation on diesel and biodiesel fuels, Atmospheric Environment, 109, pp. 9-18, 2015. DOI: https://doi.org/10.1016/j.atmosenv.2015.02.077. [URL] 🠔
  16. [16] Desprez, B. et al., A mode-of-action ontology model for safety evaluation of chemicals: outcome of a series of workshops on repeated dose toxicity, Toxicology in Vitro, 59, pp. 44-50, 2019. DOI: https://doi.org/10.1016/j.tiv.2019.04.005. [URL] 🠔
  17. [17] Schmitz-Spanke, S., Toxicogenomics - What added value do these approaches provide for carcinogen risk assessment? Environmental Research, 173, pp. 157-164, 2019. DOI: https://doi.org/10.1016/j.envres.2019.03.025. [URL] 🠔
  18. [18] Dearfield, K.L., Cimino, M.C., McCarroll, N.E., Mauer, I. and Valcovic, L.R., Genotoxicity risk assessment: a proposed classification strategy, Mutation Research/Genetic Toxicology and Environmental Mutagenesis, 521(1), pp. 121-135, 2002. DOI: https://doi.org/10.1016/S1383-5718(02)00236-X. [URL] 🠔
  19. [19] Steiner, S., Bisig, C., Petri-Fink, A. and Rothen-Rutishauser, B., Diesel exhaust: current knowledge of adverse effects and underlying cellular mechanisms, Arch Toxicol, 90(7), pp. 1541-1553, 2016. DOI: https://doi.org/10.1007/s00204-016-1736-5. [URL] 🠔
  20. [20] Senthil-Kumar, S. et al., Toxicoproteomic analysis of human lung epithelial cells exposed to steel industry ambient particulate matter (PM) reveals possible mechanism of PM related carcinogenesis, Environ. Pollut. 239, pp. 483-492, 2018. DOI: https://doi.org/10.1016/j.envpol.2018.04.049. [URL] 🠔
  21. [21] Ristovski, Z.D. et al., Respiratory health effects of diesel particulate matter, Respirology 17(2), pp. 201-212, 2012. DOI: https://doi.org/10.1111/j.1440-1843.2011.02109.x. [URL] 🠔
  22. [22] Cadrazco, M., Agudelo, J.R., Orozco, L.Y. and Estrada, V., Genotoxicity of diesel particulate matter emitted by port-injection of Hydrous Ethanol and n-Butanol, J. Energy Resour. Technol., 139(4,) 2017. DOI: https://doi.org/10.1115/1.4036253. [URL] 🠔
  23. [23] André, V., et al., Comparative mutagenicity and genotoxicity of particles and aerosols emitted by the combustion of standard vs. rapeseed methyl ester supplemented bio-diesel fuels: impact of after treatment devices: oxidation catalyst and particulate filter, Mutat Res Genet Toxicol Environ Mutagen., 777, pp. 33-42, 2015. DOI: https://doi.org/10.1016/j.mrgentox.2014.11.007. [URL] 🠔
  24. [24] Hansen, A.C., Zhang, Q. and Lyne, P.W.L., Ethanol-diesel fuel blends - a review. Bioresource Technology, 96(3), pp. 277-285, 2005. DOI: https://doi.org/10.1016/j.biortech.2004.04.007. [URL] 🠔
  25. [25] Kisin, E.R., Shi, X.C., Keane, M.J., Bugarski, A.B. and Shvedova, A.A., Mutagenicity of biodiesel or diesel exhaust particles and the effect of engine operating conditions, J Environ Eng Ecol Sci., [Online]. 2(3), 2013. [Accessed: Feb. 25, 2020]. Available at: Available at: https://www.ncbi.nlm.nih.gov/pmc/articles/PMC4596798/ [URL] 🠔
  26. [26] López, A.F., Cadrazco, M., Agudelo, A.F., Corredor, L.A., Vélez, J.A., and Agudelo, J.R., Impact of n-butanol and hydrous ethanol fumigation on the performance and pollutant emissions of an automotive diesel engine, Fuel, 153, pp. 483-491, 2015. DOI: https://doi.org/10.1016/j.fuel.2015.03.022. [URL] 🠔
  27. [27] Salamanca, M., Sirignano, M., Commodo, M., Minutolo, P. and D'Anna, A., The effect of ethanol on the particle size distributions in ethylene premixed flames, Experimental Thermal and Fluid Science, 43, pp. 71-75, 2012. DOI: https://doi.org/10.1016/j.expthermflusci.2012.04.006. [URL] 🠔
  28. [28] Abbas, I., et al., In vitro evaluation of organic extractable matter from ambient PM2.5 using human bronchial epithelial BEAS-2B cells: cytotoxicity, oxidative stress, pro-inflammatory response, genotoxicity, and cell cycle deregulation, Environ. Res. 171, pp. 510-522, 2019. DOI: https://doi.org/10.1016/j.envres.2019.01.052. [URL] 🠔
  29. [29] Botero, M.L., Mendoza, C., Arias, S., Hincapié, O.D., Agudelo, J.R., and Ortiz, I.C., In vitro evaluation of the cytotoxicity, mutagenicity and DNA damage induced by particle matter and gaseous emissions from a medium-duty diesel vehicle under real driving conditions using palm oil biodiesel blends, Environmental Pollution, 265, art. 115034, 2020. DOI: https://doi.org/10.1016/j.envpol.2020.115034. [URL] 🠔
  30. [30] Soriano, J.A., García-Contreras, R., de la Fuente, J., Armas, O., Orozco-Jiménez, L.Y. and Agudelo, J.R., Genotoxicity and mutagenicity of particulate matter emitted from diesel, gas to liquid, biodiesel, and farnesane fuels: a toxicological risk assessment, Fuel, 282, art. 118763, 2020. DOI: https://doi.org/10.1016/jfuel.2020.118763. [URL] 🠔
  31. [31] Krewski, D., et al., Toxicity testing in the 21st century: a vision and a strategy, J Toxicol Environ Health B Crit Rev., 13(2-4), pp. 51-138, 2010. DOI: https://doi.org/10.1080/10937404.2010.483176. [URL] 🠔
  32. [32] Perkins, E., et al., The adverse outcome pathway: a conceptual framework to support toxicity testing in the twenty-first century, in: Computational Systems Toxicology, Humana Press, New York, NY, 2015, pp. 1-26. DOI: https://doi.org/10.1007/978-1-4939-2778-4_1. [URL] 🠔
  33. [33] Sundar, R., Jain, M.R. and Valani, D., Chapter Ten - Mutagenicity Testing: Regulatory Guidelines and Current Needs, in: Kumar, A., Dobrovolsky, V.N., Dhawan, A. and Shanker, R., Eds., Mutagenicity: assays and applications, Academic Press, 2018, pp. 191-228. DOI: https://doi.org/10.1016/B978-0-12-809252-1.00010-9. [URL] 🠔
  34. [34] Claxton, L.D., The history, genotoxicity, and carcinogenicity of carbon-based fuels and their emissions. Part 3: Diesel and gasoline, Mutat Res Rev Mutat Res., 763, pp. 30-85, 2015. DOI: https://doi.org/10.1016/j.mrrev.2014.09.002. [URL] 🠔
  35. [35] DeMarini, D.M., Genotoxicity biomarkers associated with exposure to traffic and near-road atmospheres: a review, Mutagenesis 28(5), pp. 485-505, 2013. DOI: https://doi.org/10.1093/mutage/get042. [URL] 🠔
  36. [36] Maron, D.M. and Ames, B.N., Revised methods for the Salmonella mutagenicity test, Mutation Research/Environmental Mutagenesis and Related Subjects, 113(3), pp. 173-215, 1983. DOI: https://doi.org/10.1016/0165-1161(83)90010-9. [URL] 🠔
  37. [37] Maselli, B.S., et al., Similar polycyclic aromatic hydrocarbon and genotoxicity profiles of atmospheric particulate matter from cities on three different continents, Environmental and Molecular Mutagenesis, 61(5), pp. 560-573, 2020. DOI: https://doi.org/10.1002/em.22377. [URL] 🠔
  38. [38] Mortelmans, K. and Zeiger, E., The Ames Salmonella/microsome mutagenicity assay, Mutat. Res. 455, pp. 29-60, 2000. 🠔
  39. [39] O.E. of C. and develpment OECD, Guiadance document on revisions to OECD Genetic Toxicology Test Guidelines. [Online]. 2015. [Accessed: Aug. 18, 2018]. Available at: Available at: https://www.oecd.org/env/ehs/testing/Draft%20Guidance%20Document%20on%20OECD%20Genetic%20Toxicology%20Test%20Guidelines.pdf [URL] 🠔
  40. [40] O.E. of C. and develpment OECD, Revised guidance document on developing and assessing adverse outcome pathways, [Online]. 2017. [Accessed: Apr. 10, 2019]. Available at: Available at: https://www.semanticscholar.org/paper/Revised-Guidance-Document-on-Developing-and-Adverse/93ba71a3140e1cb20667c15a2dadae324ad1d353 [URL] 🠔
  41. [41] Venitt, S. and Parry, J., Mutagenicity testing: a practical approach, Environmental Mutagenesis, 81(4), pp. 653-655, 1986. DOI: https://doi.org/10.1002/em.2860080419. [URL] 🠔
  42. [42] Zeiger, E., Risko, K.J. and Margolin, B.H., Strategies to reduce the cost of mutagenicity screening with the Salmonella assay, Environ Mutagen. 7(6), pp. 901-911, 1985. 🠔
  43. [43] Azqueta, A., Slyskova, J., Langie, S.A.S., O'Neill-Gaivão, I. and Collins, A., Comet assay to measure DNA repair: approach and applications, Front. Genet., 5, art. 00288, 2014. DOI: https://doi.org/10.3389/fgene.2014.00288. [URL] 🠔
  44. [44] Bajpayee, M., Kumar, A. and Dhawan, A., The comet assay: assessment of in vitro and in vivo DNA damage, In: Dhawan, A., Bajpayee, M., (Eds), Genotoxicity Assessment. Methods in Molecular Biology (Methods and Protocols), vol. 1044, pp. 325-345, Humana Press, Totowa, N.J., USA, 2013. DOI: https://doi.org/10.1007/978-1-62703-529-3_17 [URL] 🠔
  45. [45] Koppen, G., Azqueta, A., Pourrut, B., Brunborg, G., Collins, A.R. and Langie, S.A.S., The next three decades of the comet assay: a report of the 11th International Comet Assay Workshop, Mutagenesis, 32(3), pp. 397-408, 2017. DOI: https://doi.org/10.1093/mutage/gex002. [URL] 🠔
  46. [46] Park, S.Y. and Choi, J., Cytotoxicity, genotoxicity and ecotoxicity assay using human cell and environmental species for the screening of the risk from pollutant exposure, Environ Int., 33(6), pp. 817-822, 2007. DOI: https://doi.org/10.1016/j.envint.2007.03.014. [URL] 🠔
  47. [47] Singh, N.P., McCoy, M.T., Tice, R.R. and Schneider, E.L., A simple technique for quantitation of low levels of DNA damage in individual cells, Exp. Cell Res. 175(1), pp. 184-191, 1988. 🠔
  48. [48] Tice, R.R. et al., Single cell gel/comet assay: guidelines for in vitro and in vivo genetic toxicology testing, Environmental and Molecular Mutagenesis, 35(3), pp. 206-221, 2000. DOI: https://doi.org/10.1002/(SICI)1098-2280(2000)35:3<206:AID- EM8>3.0.CO;2-J. [URL] 🠔
  49. [49] Selley, L., Phillips, D.H. and Mudway, I., The potential of omics approaches to elucidate mechanisms of biodiesel-induced pulmonary toxicity, Part Fibre Toxicol. 16(1), art. 4, 2019. DOI: https://doi.org/10.1186/s12989-018-0284-y. [URL] 🠔
  50. [50] Ruiz, F.A., Cadrazco, M., López, A.F., Sanchez-Valdepenas, J. and Agudelo, J.R., Impact of dual-fuel combustion with n-butanol or hydrous ethanol on the oxidation reactivity and nanostructure of diesel particulate matter, Fuel, 161, pp. 18-25, 2015. DOI: https://doi.org/10.1016/j.fuel.2015.08.033. [URL] 🠔
  51. [51] Billet, S. et al., Chemical characterization of fine and ultrafine PM, direct and indirect genotoxicity of PM and their organic extracts on pulmonary cells, J Environ Sci (China), 71, pp. 168-178, 2018. DOI: https://doi.org/10.1016/jjes.2018.04.022. [URL] 🠔
  52. [52] DeMarini, D.M. et al., Mutagenicity and oxidative damage induced by an organic extract of the particulate emissions from a simulation of the deepwater horizon surface oil burns, Environ. Mol. Mutagen., 58(3), pp. 162-171, 2017. DOI: https://doi.org/10.1002/em.22085. [URL] 🠔
  53. [53] Jiang, X. et al., Hydrophobic organic components of ambient fine particulate matter (PM2.5) associated with inflammatory cellular response, Environ. Sci. Technol., 53(17), pp. 10479-10486, 2019. DOI: https://doi.org/10.1021/acs.est.9b02902. [URL] 🠔
  54. [54] Mutlu, E. et al., Generation and characterization of diesel engine combustion emissions from petroleum diesel and soybean biodiesel fuels and application for inhalation exposure studies, Inhal Toxicol., 27(11), pp. 515-532, 2015. DOI: https://doi.org/10.3109/08958378.2015.1076910. [URL] 🠔
  55. [55] Mutlu, E., et al., Bioassay-directed fractionation and sub-fractionation for mutagenicity and chemical analysis of diesel exhaust particles, Environ. Mol. Mutagen., 54(9), pp. 719-736, 2013. DOI: https://doi.org/10.1002/em.21812. [URL] 🠔
  56. [56] Mutlu, E., et al., Health effects of soy-biodiesel emissions: bioassay-directed fractionation for mutagenicity, Inhal Toxicol., 27(11), pp. 597-612, 2015. DOI: https://doi.org/10.3109/08958378.2015.1091054. [URL] 🠔
  57. [57] Roper, C., Delgado, L.S., Barrett, D., Massey-Simonich, S.L. and Tanguay, R.L., PM2.5 filter extraction methods: implications for chemical and toxicological analyses, Environ. Sci. Technol., 53(1), pp. 434-442, 02 2019. DOI: https://doi.org/10.1021/acs.est.8b04308. [URL] 🠔
  58. [58] Roy, R., Jan, R., Gunjal, G., Bhor, R., Pai, K. and Satsangi, P.G., Particulate matter bound polycyclic aromatic hydrocarbons: toxicity and health risk assessment of exposed inhabitants, Atmospheric Environment, 210, pp. 47-57, 2019. DOI: https://doi.org/10.1016/j.atmosenv.2019.04.034. [URL] 🠔
  59. [59] Xu, F. et al., Effects on IL-1ß signaling activation induced by water and organic extracts of fine particulate matter (PM2.5) in vitro, Environ. Pollut., 237, pp. 592-600, 2018. DOI: https://doi.org/10.1016/j.envpol.2018.02.086. [URL] 🠔
  60. [60] Yang, B., Li, X., Chen, D. and Xiao, C., Effects of fine air particulates on gene expression in non-small-cell lung cancer, Advances in Medical Sciences, 62(2), pp. 295-301, 2017. DOI: https://doi.org/10.1016/j.advms.2016.12.003. [URL] 🠔
  61. [61] Yang, J. et al., Emissions from a flex fuel GDI vehicle operating on ethanol fuels show marked contrasts in chemical, physical and toxicological characteristics as a function of ethanol content, Science of The Total Environment, 683, pp. 749-761, 2019. DOI: https://doi.org/10.1016/j.scitotenv.2019.05.279. [URL] 🠔
  62. [62] Yang, P.-M., Wang, C.-C., Lin, Y.-C., Jhang, S.-R., Lin, L.-J. and. Lin, Y.-C. , Development of novel alternative biodiesel fuels for reducing PM emissions and PM-related genotoxicity, Environ. Res., 156, pp. 512-518, 2017. DOI: https://doi.org/10.1016/j.envres.2017.03.045. [URL] 🠔
  63. [63] Sato, M.I. et al., Mutagenicity of airborne particulate organic material from urban and industrial areas of São Paulo, Brazil, Mutat. Res. 335(3), pp. 317-330, 1995. 🠔
  64. [64] Claxton, L.D., Douglas, G., Krewski, D., Lewtas, J., Matsushita, H. and Rosenkranz, H., Overview, conclusions, and recommendations of the IPCS collaborative study on complex mixtures, Mutation Research/Reviews in Genetic Toxicology 276(1), pp. 61-80, 1992. DOI: https://doi.org/10.1016/0165-1110(92)90055-E. [URL] 🠔
  65. [65] Umbuzeiro, G.A. et al., Mutagenicity and DNA adduct formation of PAH, nitro-PAH, and oxy-PAH fractions of atmospheric particulate matter from São Paulo, Brazil, Mutation Research/Genetic Toxicology and Environmental Mutagenesis, 652(1), pp. 72-80, 2008. DOI: https://doi.org/10.1016/j.mrgentox.2007.12.007. [URL] 🠔
  66. [66] Kado, N.Y., Langley, D. and Eisenstadt, E., A simple modification of the Salmonella liquid-incubation assay Increased sensitivity for detecting mutagens in human urine, Mutation Research Letters, 121(1), pp. 25-32, 1983. DOI: https://doi.org/10.1016/0165-7992(83)90082-9. [URL] 🠔
  67. [67] Nagai, F., Hiyoshi, Y., Sugimachi, K. and Tamura, H.-O., Cytochrome P450 (CYP) expression in human myeloblastic and lymphoid cell lines, Biol. Pharm. Bull. 25(3), pp. 383-385, 2002. 🠔
  68. [68] Denizot, F. and Lang, R., Rapid colorimetric assay for cell growth and survival: modifications to the tetrazolium dye procedure giving improved sensitivity and reliability, Journal of Immunological Methods 89(2), pp. 271-277, 1986. DOI: https://doi.org/10.1016/0022-1759(86)90368-6. [URL] 🠔
  69. [69] McNamee, J.P., McLean, J.R.N., Ferrarotto, C.L. and Bellier, P.V., Comet assay: rapid processing of multiple samples, Mutation Research/Genetic Toxicology and Environmental Mutagenesis, 466(1), pp. 63-69, 2000. DOI: https://doi.org/10.1016/S1383-5718(00)00004-8. [URL] 🠔
  70. [70] Azqueta, A., Slyskova, J., Langie, S.A.S., O'Neill-Gaivão, I. and Collins, A., Comet assay to measure DNA repair: approach and applications, Frontiers in Genetics, 5, art. 288, 2014. DOI: https://doi.org/10.3389/fgene.2014.00288. [URL] 🠔
  71. [71] Koppen, G., Azqueta, A., Pourrut, B., Brunborg, G., Collins, A.R. and Langie, S.A.S., The next three decades of the comet assay: a report of the 11th International Comet Assay Workshop, Mutagenesis, 32(3), pp. 397-408, 2017. DOI: https://doi.org/10.1093/mutage/gex002. [URL] 🠔
  72. [72] Tice, R.R. et al. Single cell gel/comet assay: guidelines for in vitro and in vivo genetic toxicology testing, Environ. Mol. Mutagen., 35(3), pp. 206-221, 2000. 🠔
  73. [73] Bolger, A.M., Lohse, M. and Usadel, B., Trimmomatic: a flexible trimmer for Illumina sequence data, Bioinformatics 30(15), pp. 2114-2120, 2014. DOI: https://doi.org/10.1093/bioinformatics/btu170. [URL] 🠔
  74. [74] Dobin, A. et al., STAR: ultrafast universal RNA-seq aligner, Bioinformatics, 29(1), pp. 15-21, 2013. DOI: https://doi.org/10.1093/bioinformatics/bts635. [URL] 🠔
  75. [75] Anders, S., Pyl, P.T. and Huber, W., HTSeq-a Python framework to work with high-throughput sequencing data, Bioinformatics, 31(2), pp. 166-169, 2015. DOI: https://doi.org/10.1093/bioinformatics/btu638. [URL] 🠔
  76. [76] Robinson, M.D., McCarthy, D J. and Smyth, G.K., edgeR: a Bioconductor package for differential expression analysis of digital gene expression data, Bioinformatics, 26(1), pp. 139-140, 2010. DOI: https://doi.org/10.1093/bioinformatics/btp616. [URL] 🠔
  77. [77] Fabregat, A. et al., Reactome pathway analysis: a high-performance in-memory approach, BMC Bioinformatics 18(1), art. 142, 2017. DOI: https://doi.org/10.1186/s12859-017-1559-2. [URL] 🠔
Orozco-Jiménez, L.Y., Estrada-Vélez, V., Cuesta-Castro, D.P., Isaza, J.P., Molina, F., Palacio-B., J., Álvarez-Orozco, M.E. and Ortiz-Trujillo, I., Alteration in the gene expression of the HepG2 cell line by exposure to particulate matter (PM) of diesel.. DYNA, 89(221), pp. 110-120, April - June, 2022.
This study was approved by the Ethics Committee at the Faculty of Health at Universidad Pontificia Bolivariana.
The authors declare no conflict of interest.
is BSc. in Biologist, MSc. in Biology and PhD, all of them from the University of Antioquia, Medellín, Colombia. She was a professor at the University of Antioquia from 1990 to 2012 and as a full professor, linked to the Universidad Pontificia Bolivariana, Medellín, Colombia, from 1994 to the present. Areas of interest: cytogenetics, molecular biology, mutagenesis and epigenetics. ORCID: 0000 0002 1620 2809
is a BSc. in Microbiologist with a PhD in Biology, all of them from the Universidad de Antioquia, Medellin, Colombia, and a PhD. stay at the Universidad Antonio Narino, Bogota, Colombia. Currently, he is an assistant professor and junior researcher at Universidad Pontificia Bolivariana, Medellin, Colombia. He counts with approximately ten years of experience in genomic, transcriptomic and metagenomic approaches to understand biological systems. His research is focused on implementing Next Generation Sequencing (NGS) techniques to describe functional and structural genomic characteristics, differentially expressed genes and transcript profiling of model/non-model organisms. In addition, the use of NGS to describe taxonomical and functional characteristics of microbial communities. ORCID: 0000-0002-7551-057X
is a BSc. in Biologist from the Universidad de Antioquia with a MSc. in Engineering from the Universidad Pontificia Bolivariana, Medellín, Colombia. Currently, she is a co-investigator in a project led by the Universidad Pontificia Bolivariana, Medellín, Colombia. She has approximately 8 years of experience in genotoxicology and environmental mutagenesis. ORCID: 0000-0002-1284-7554
is a Dra. from the Universidad de Cartagena, Colombia, she has a MSc. and Sp. in Epidemiology from Universidad CES, Medellín, Colombia. PhD. in Epidemiology from the Universidad de Antioquia, Medellín-Colombia. Currently, she is a professor and senior researcher at Universidad Pontificia Bolivariana and coordinator of research of the postgraduate courses of the school of Health Sciences and the continuing education program of clinical Epidemiology and Evidence-Based Practice. Dra. Castro is also professor at Universidad CES, teaching master's degree coursees in Epidemiology and also teaches master's and doctorate courses in medical sciences at Universidad Pontificia Bolivariana. These incluide epidemiology, clinical trials, systematic reviews, evidence-based medicine and in other international classes. ORCID: 0000-0002-0100-5781.
is a BSc. in Biologist with a MSc. in Basic Biomedical Sciences, all of them from the Universidad de Antioquia, Medellín, Colombia, and a Dra. in Medical Sciences from the Universidad Pontificia Bolivariana, Medellín, Colombia. She works in the area of genotoxicology and environmental mutagenesis with an experience of more or less 20 years. ORCID: 0000-0003-2815-6042
received the BSc. Eng. in Sanitary Engineering in 1982 from Universidad de Antioquia, Medellín-Colombia, Sp. in Environmental Engineering from the Universidad de Sao Paulo-Brasil, MSc. in Sanitary Engineering in 1997, from the Universidad del Valle, Medellín-Colombia, and the PhD in Chemical Engineering in 2007, from the Universidad de Santiago de Compostela, Spain. From 1982 to 1988, he worked for Planning Office Area Metropolitana Valle de Aburrá and since 1988 for the Universidad de Antioquia. Currently, he is a full professor in the Environmental School, of the Engineering Faculty at the Universidad de Antioquia. His research interests include: air pollution chemistry, water pollution chemistry, energy and nutrient recovery from waste. ORCID: 0000- 0002-3491-4586
received a BSc. in Biology in 1977 from the University of Antioquia, Medellín, Colombia, and Dr. Ret Nat in 1983, from the University of Bochum, Germany. From 1984 to 2013, he worked as a professor at the University of Antioquia, in the Faculties of Exact and Natural Sciences and Engineering. At present, he works as a private consultant. His research interests include contamination of aquatic ecosystems, particularly water reservoirs for human consumption, and accumulation of heavy metals in biota. ORCID: 0000-0002-1717-7633
is a BSc. in Physics from the Faculty of Medicine, Universidad de Antioquia, Medellín, Colombia, in 2013. She worked at the IPS Universitaria Clinica León Escriba aquí la ecuación.Xlll for 5 years, in internal medicine and infectology, from 2014 to 2019. Currently work in the area of psychiatry, from 2020 to 2022. Her research experience has been within the framework of the project In Vitro genotoxic biomarkers for evaluating the quality and safety of total particulate matter from diesel mixed with alcohol, financed by Minciencias and led by the systems biology group of the Universidad Pontificia Bolivariana, Medellín, Colombia. ORCID: 0000-0002-2665-848X.