Ensayos de Economía
0121-117X
2619-6573
Universidad Nacional de Colombia
https://doi.org/10.15446/ede.v28n53.75018

Recibido: 10 de enero de 2018; Aceptado: 30 de mayo de 2018

Clasificación por capitales de una muestra de microempresarios del Área Metropolitana de Bucaramanga a partir del Análisis de Correspondencia Múltiple*

Classification by Capital of a Sample of Micro-Entrepreneurs from Bucaramanga Metropolitan Area through Multiple Correspondence Analysis

H. Rangel Quiñonez, **G. Yáñez Canal, ***

Estudiante de maestría en Ciencias Estadísticas de la Universidad Nacional de Colombia (Bogotá, Colombia) y Especialista en Estadística por la Universidad Industrial de Santander (Bucaramanga, Colombia). Docente de la Facultad de Economía de la Universidad Santo Tomás (Bucaramanga, Colombia) y de la Universidad Industrial de Santander (Bucaramanga, Colombia). Últimas publicaciones: Reconceptualizando la guerra: sobre la impropiedad de usar sistemas formales determinísticos racionales en el fenómeno del conflicto armado (en coautoría). Revista Filosofía UIS, 15(2), 74-89, 2016 y Filosofía, matemática y paradojas: el caso de la paradoja Burali-Forti en la argumentación de Descartes sobre la existencia de Dios (en coautoría). Cuestiones de filosofía, 19(2), 127-152, 2016. Correo: hsrangelq@unal.edu.co ID https://orcid.org/0000-0002-6745-6753 Universidad Santo Tomás Universidad Santo Tomás Bucaramanga Colombia
Doctor en Matemática Educativa por el Centro de Investigación y de Estudios Avanzados del Instituto Politécnico Nacional (Ciudad de México, México). Docente titular de la Escuela de Matemáticas de la Universidad Industrial de Santander (Bucaramanga, Colombia). Últimas publicaciones: Research Efficiency Assessment of Colombian Public Universities 2003-2012: Data Envelopment Analysis (en coautoría). INGE CUC, 11(2), 97-108, 2015 y Efectos de la mentira en las relaciones de pareja entre jóvenes universitarios heterosexuales (en coautoría). Psicología desde el Caribe, 34(1), 42-58, 2017. Correo electrónico: gyanez@uis.edu.co ID https://0000-0001-5538-074X Universidad Industrial de Santander Universidad Industrial de Santander Bucaramanga Colombia

Resumen

Los resultados presentados en este artículo son una caracterización a partir de los capitales de salud, educativo, social, físico y financiero de una muestra de microempresarios del Área Metropolitana de Bucaramanga (AMB) en 2012. Para lograr una robusta caracterización se utilizó el Análisis de Correspondencias Múltiple (ACM), el cual permitió observar la relación existente entre las categorías de las diferentes dimensiones y los distintos niveles de beneficios. Las asociaciones observadas permitieron clasificar a los microempresarios en tres grupos de acuerdo con sus utilidades y a características específicas de los capitales considerados. Se destaca el hecho de que en los microempresarios analizados el factor más importante en el éxito del negocio es el capital humano. Además, el uso del ACM permitió clasificar en el nivel "bajos beneficios" a los microempresarios que se negaron a proporcionar información acerca de sus beneficios y nivel de endeudamiento, a partir de las respuestas proporcionadas en las otras dimensiones.

JEL: G21, I30, C55, F65.

Palabras clave:

microempresarios, Análisis de Correspondencias Múltiple, estado socio-económico, y estudio de capitales.

Abstract

The results presented in this article are a characterization from the health, educational, social, physical and financial capitals of a sample of microentrepreneurs from the Metropolitan Area of Bucaramanga (AMB) in 2012. To achieve a robust characterization, the Multiple Correspondence Analysis (MCA) was used, which allowed observing the existing relationship between the categories of the different dimensions and the different levels of benefits. The observed associations allowed to classify the microentrepreneurs into three groups according to their profits and specific characteristics of the capitals considered. The fact that among the microentrepreneurs analyzed the most important factor in the success of the business is human capital is highlighted. Additionally, the use of the MCA made it possible to classify microentrepreneurs at the "low profit" level who refused to provide information about their benefits and level of indebtedness, based on the answers provided in the other dimensions.

JEL: G21, I30, C55, F65.

Keywords:

microentrepreneurs, Correspondence Analysis, socioeconomical status, Multidimensional Analysis and capital analysis.

Introducción

Para abordar una caracterización de los microempresarios es necesario un análisis multidimensional que vaya más allá de las variables monetarias de ingresos y gastos e incluya otros aspectos relevantes como educación, salud, actitud sicológica, condiciones sociales, entre otros, que ayuden a diferenciar a esta población y que pueden llegar a ser determinantes al momento de hablar de crecimiento, desarrollo, bienestar y felicidad de estos agentes en la economía.

Dado lo anterior, se realizó una investigación con enfoque multivariado del estado socio-económico de una muestra de microempresarios del Área Metropolitana de Bucaramanga (AMB) en 2012, donde se incluyeron las siguientes dimensiones: salud, educación, capital social, activos físicos y financieros1, dirigida a clasificarlos en grupos de microempresarios relativamente homogéneos y diferenciados.

Para lograr el objetivo propuesto se utilizó la metodología del Análisis de Correspondencia Múltiple (ACM) para estudiar la asociación o cercanía entre los diferentes niveles de las variables consideradas, lo que permitió clasificar a los microempresarios en tres grandes grupos de acuerdo con condiciones de salud, educación, capital social, activos físicos y financieros. Los resultados de esta clasificación permitieron agrupar a los microempresarios en tres grupos de acuerdo a sus utilidades y a características específicas de los capitales considerados. Como resultado adicional del ACM fue clasificar en el nivel "bajos beneficios" a los microempresarios que se negaron a proporcionar información acerca de sus beneficios y nivel de endeudamiento, a partir de las respuestas proporcionadas en las otras dimensiones.

La presentación del artículo se inicia con los antecedentes y las razones que dieron lugar a la investigación, así como de la metodología implementada. Seguidamente se presenta, en forma resumida, la teoría básica que sustenta el Análisis de Correspondencia Múltiple para luego dar lugar a su aplicación al caso específico. Con base en los resultados obtenidos se presentan las conclusiones que se desprenden del análisis de los resultados. Finalmente se presentan las referencias citadas en el artículo.

Antecedentes y justificación

La literatura económica ha tenido como recurrente tema de investigación la riqueza de las naciones y de los individuos. Los primeros documentos versan sobre la definición de riqueza que ha tenido diversas interpretaciones a lo largo de la historia: desde los mercantilistas que la relacionaban con la cantidad de metales preciosos, pasando por los fisiócratas que veían en las tierras la riqueza misma, hasta Smith (2010) que la definió como la cantidad de trabajo que dispone una nación. Estas definiciones responden a un enfoque unidimensional, donde solo basta con un único recurso primario del cual se derivan todas las comodidades y se suplen todas las necesidades de los individuos de una nación.

Luego que estas investigaciones quedaran rezagadas por los estudios neoclásicos2, se originaron las teorías de crecimiento económico como la de Solow (1956), Romer (1990) y Lucas (1988), entre otras, que tienen como objetivo representar de manera formal la dinámica de la acumulación de capital medida como el Producto Interno Bruto (PIB) de cada nación.

Estudios equivalentes a nivel microeconómico se encuentran en las teorías del productor en competencia perfecta e imperfecta como los modelos de Hotelling, Cournot, Stackelberg y Bertrand expuestos en Shy (2000). Todas estas son propuestas teórico-formales concentradas en explicar la heterogeneidad basadas en variables cuantitativas como los ingresos, el ahorro, la producción etcétera.

Ahora bien, este tipo de investigación ha sido fuertemente debatida por Sen (1988), Elster (2000), Bauman (1998), entre otros, pensadores que han encontrado y demostrado que las investigaciones neoclásicas, basadas en supuestos como la perfecta racionalidad de los agentes, no son la mejor manera de estudiar los temas económicos debido al alto grado de abstracción de los modelos, los supuestos usados como axiomas y, en particular, al hecho de la exclusión del análisis económico de aspectos humanos no medibles y difícilmente cuantificables, pero aun así existentes.

Es por ello, que la búsqueda del conocimiento en las ciencias económicas ha dado un fuerte giro, corrigiendo la sobrevaloración del uso de las matemáticas y ampliando el campo de acción de las variables numéricas a variables categóricas. Las investigaciones de Dasgupta y Debraj (1987), Glewwe y Edward (2008) y Ravallion (2005), son algunos de los trabajos más dicientes enmarcados en este tipo de enfoque revolucionario de la economía.

Es pertinente aclarar que las investigaciones que han aceptado las críticas de la economía heterodoxa han asumido, al menos, dos vías: primero, relajar los supuestos de la economía neoclásica como la competencia perfecta, libre mercado y ausencia de externalidades negativas (corrupción política, daños ambientales, etcétera); segundo, incluir dentro de sus estudios los temas de salud, educación, oportunidad laboral y condiciones de vida. Se trata de variables que no son directamente observables, por lo cual se crea la necesidad de usar aproximaciones de medición como años de educación, tiempo de transición al conseguir un trabajo y/o esperanza de vida al nacer.

Es así como la moderna teoría del desarrollo, cuyos orígenes datan de 1940, implementó un enfoque multidimensional para expandir el enfoque unidimensional basado en la medición del PIB como único factor relevante para la salud de la sociedad como nación. El Programa de las Naciones Unidas para el Desarrollo (PNUD) ha propuesto varios índices que miden más allá del valor agregado producido por una nación, ampliando la medición a la esfera ambiental, académica, política, entre otras (Griffin, 2000). Uno de estos indicadores es el Índice de Desarrollo Humano (IDH) compuesto de forma multidimensional por la esperanza de vida al nacer, la tasa de alfabetismo adulto, tasa de escolaridad bruta combinada y el PIB por persona. Es tanta la acogida que ha tenido este indicador que se ha convertido en un referente de progreso social para entidades como el Banco Mundial y el Fondo Monetario Internacional. Relacionados con este índice se encuentran los Objetivos del Desarrollo Sostenible, antes conocidos como los Objetivos del Desarrollo del Milenio, los cuales fijan las metas en los siguientes campos: pobreza, alimentación, salud, educación, saneamiento, empleo, servicios básicos y medio ambiente. En total son 17 dimensiones propuestas por los países integrantes de la Naciones Unidas en búsqueda de la sostenibilidad del planeta (CEPAL, 2017). En Colombia, estos objetivos están incluidos en los planes de desarrollo nacional, departamental y municipal.

Teniendo en cuenta el anterior contexto metodológico de investigación económica, el presente artículo se enmarca en la última postura investigativa. Es decir, no se aparta de las ciencias sociales para analizar los aspectos económicos, dado que toma en cuenta más que variables monetarias y, a su vez, usa como herramienta de análisis no sólo los argumentos apoyados en premisas, sino la comprobación empírica soportada en análisis estadístico.

Entre los trabajos consultados con un enfoque semejante al que aquí se presenta, se destaca el de Carranza (2009), donde hace un análisis del impacto del programa mexicano de microcrédito llamado Caja de ahorros3 y se propone hallar los capitales relevantes de cada grupo de ahorradores y determinar la influencia en el éxito del programa4. Pese a que la técnica usada es un modelo de regresión logístico, llama la atención la visión multidimensional de esta tesis doctoral, en particular, la inclusión de capitales como el social, el cultural, el humano, el político, el ambiental y el financiero. Un resultado de esta investigación fue que el capital cultural5 y el capital social6 son las dimensiones que se relacionan estadísticamente de manera significativa con el éxito del programa, resultado interesante pues se concluye que el capital financiero no tiene mayor relevancia estadística.

De similar forma, se cuenta con dos antecedentes investigativos regionales: Benjumea y Torres (2010) y Guerrero y Alfonso (2014). En Benjumea y Torres (2010) se desarrolla una descripción del estado socio-económico de los microempresarios antes y después de la implementación de un programa de microcrédito otorgado por la alcaldía de la capital del departamento de Santander en 2009. Benjumea y Torres aplican estadística descriptiva univariada en una muestra de 106 microempresarios encuestados y exponen resultados de las variables consideradas: estado civil, nivel de educación, ingresos, sexo entre otras. Además, se hacen cruces de variables por sexo y por nivel educativo y se concluye sobre el impacto del microcrédito. Por su parte el documento de Guerrero y Alfonso (2014) maneja los mismos datos del presente manuscrito y presenta de forma univariada un resultado del estado de salud de los microempresarios, su mayor resultado es que el estado de salud afecta el nivel de ingresos de los microempresarios. Por otro lado, a nivel nacional, el Departamento Administrativo Nacional de Estadísticas (DANE) ha venido desarrollando encuestas a los microempresarios desde el 2000 y publicando trimestralmente, desde el 2004, las principales características de estos agentes en la economía (DANE, 2009). Dichos estudios se concentran en la medición de ingresos, consumo intermedio, valor agregado, activos fijos, número de empleados, tipo de contrato, sueldos pagados y otras características propias del ámbito productivo de la empresa, obviando las características sociales. Es de aclarar que el ACM no es que no haya sido usado antes en temas económicos, sino que no se ha usado para perfilar microempresarios a partir de capitales. Sin embargo, es común encontrar la aplicación del ACM en temas de pobreza multidimensional. Tal como se mencionó antes, a mediados del siglo XX, empezó a concebirse al desarrollo como un indicador de la salud económica de los países desplazando al crecimiento del PIB. Es el caso de algunos documentos que hacen uso del ACM para mediar la pobreza multidimensional: Luzardo et al. (2013), Peña-Angulo y Nava-Puente (2015) y Ezzrari y Verme (2013).

Hay que aclarar que las anteriores investigaciones distan de la presente en el enfoque unidimensional o en la técnica estadística usada, tal vez los documentos más cercanos en el objeto de estudio y técnica son los de Riascos (2010) y Castro, Girón y Soto (2017). Resulta relevante explicar un poco estos documentos: Riascos (2010) hace una caracterización a partir de la base de datos "Monitor Global de Emprendimiento (GEM- Colombia)" de 2009. En este documento se realiza un ACM para 222 encuestados a partir de 30 preguntas de capital humano. Su principal objetivo es encontrar asociaciones entre el capital humano con la variable emprendedores potenciales7. A su vez, se realiza otro ACM para 350 encuestados, a los cuales se les hizo 13 preguntas con la característica de emprendedores nacientes8. Posterior a ello, realizó dos modelos logísticos con las variables que conforman el capital humano contra las variables dicotómicas emprendedores potenciales y emprendedores nacientes8. Algunas conclusiones de este documento son la caracterización de los "emprendedores potenciales en búsqueda de oportunidades" como jóvenes adultos, con trabajos de tiempo total o parcial, estrato socioeconómico medio con educación formal alta y familias pequeñas, en comparación con "los emprendedores potenciales por necesidad" caracterizados por ser mujeres, desempleadas o en labores domésticas, jóvenes, de ingresos bajos y con un hogar con gran número de integrantes. La caracterización de los empresarios nacientes será mencionada más adelante ya que servirá de punto de contrastación con los resultados aquí presentados. El documento de Castro, Girón y Soto (2017) cuenta con una estructura similar al de Riascos (2010), las diferencias yacen en la fecha de los datos tomados del "Monitor Global de Emprendimiento" en el 2014, en la característica de interés a asociar con el capital humano, a saber: emprendedores nacientes y emprendedores nuevos9 y en la comparación de las características de emprendimiento en Chile, Ecuador y Colombia. Más adelante se mencionarán algunas conclusiones de este documento.

Análisis de correspondencias

El Análisis de Correspondencia (AC) es una técnica estadística descriptiva, basada en la teoría de los valores y vectores propios del álgebra lineal, que permite realizar representaciones geométricas de dos variables categóricas10 con el objetivo de visualizar asociaciones entre las categorías de las variables filas y columnas. De manera análoga, el Análisis de Correspondencias Múltiple (ACM) es una generalización del AC que permite realizar los mismos análisis para cualquier número de variables categóricas con un número finito de categorías. La técnica es exclusiva para variables cualitativas, razón por la cual las variables cuantitativas deben categorizarse previamente a la aplicación de la técnica.

La idea básica del AC es la construcción de un espacio de menor dimensión que los espacios originales que contienen las variables o características en juego, en forma similar a lo que se hace en los análisis factoriales propios de las variables continuas, tal como el Análisis de Componentes Principales. El número de los factores que generan el nuevo espacio es menor al de las variables originales; además, son independientes y ortogonales entre sí. Este nuevo espacio es el que está más cerca del espacio original lo que implica que la variabilidad de las proyecciones de las variables originales sobre este da cuenta de la mayor cantidad de la variabilidad original. En el caso del AC y del ACM los nuevos subespacios son de dimensión 2 para poder visualizar gráficamente las asociaciones entre las variables.

La información primaria sobre la cual se realiza el AC se encuentra en un cuadro de contingencia, que no es otra cosa que un cuadro de frecuencias absolutas para los diferentes cruces de las categorías de las dos variables en juego.

Supongamos se tienen dos variables categóricas X y Y con p y q categorías respectivamente. El cuadro de contingencia asociado a estas variables es una matriz cuyas filas son las diferentes categorías de la variable X y cuyas columnas son las diferentes categorías de la variable Y. En la celda (i, j) se encuentra el número de individuos que tienen la característica i de la variable X y la característica j de la variable Y. Este cuadro o matriz original se transforma en una matriz de perfiles fila y columna que es el resultado de dividir cada celda por el total de individuos de la muestra que se está trabajando, es decir, la matriz de perfiles está constituida por las frecuencias relativas de cada una de las celdas del cuadro de contingencía original. Es esta matriz de perfiles la que se toma de referencia para la descomposición factorial, o, en términos algebraicos, para la descomposición en valores singulares.

Si bien el procedimiento se puede realizar asumiendo las filas o las columnas, lo presentamos desde el punto de vista de las filas, es decir, se asume que se tienen p vectores en el espacio R q, es decir, cada vector fila (asociado a cada categoría en X) tiene q componentes asociadas a las categorías de la variable Y. La idea fundamental es encontrar un subespacio R s de dimensión menor que el espacio fila R q, es decir, s < q y que se conserve el máximo de la información de la nube de puntos original. La medida de la cantidad de información es la cantidad de varianza o inercia retenida por el nuevo espacio R s y se suele expresar en términos porcentuales de la varianza inicial.

Igual que en el método factorial de Análisis de Componentes Principales se van construyendo espacios unidimensionales de tal forma que el primero de ellos sea el que mayor varianza explica; el segundo el que explica la mayor varianza después de restarle la explicada por el primer factor, y así sucesivamente. El procedimiento algebraico, basado en la teoría de las descomposiciones singulares se puede consultar en Greenacre (1984) y Díaz (2007).

Para comprender un poco la matemática detrás de esta técnica, se introduce la siguiente notación y luego se presenta el algoritmo de estimación.

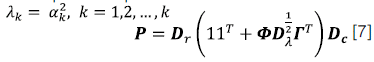
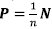
Sea N una matriz de contingencia I * J, de elementos positivos con matriz de correspondencias P igual a N dividido entre el total de elementos donde y definiendo los vectores de masa fila y columna como: es decir

Donde

A continuación, se presenta el paso a paso del algoritmo de estimación (Greenacre, 2008).

Paso 1. Cálculo de la matriz S de residuales estandarizados:

Paso 2. Cálculo de DVS11 de S:

Donde es la matriz diagonal de valores singulares en orden descendentes con y las columnas de las matrices U y V son los vectores singulares. Del cálculo de las matrices U, Da y V se deriva los insumos necesarios para la representación geométrica de los cuadros de contingencia.

Paso 3. Coordenadas estándar de las filas Φ

Paso 4. Coordenadas estándar de la columna r:

Paso 5. Coordenadas principales de la fila F:

Paso 6. Coordenadas principales de la columna G:

Paso 7. inercias principales:

donde K = min{I - 1,J - 1}

Con los anteriores pasos es posible escribir la matriz P como:

De manera análoga, el ACM sigue los pasos del algoritmo anterior a partir de la matriz de Burt, la cual es una la unión de múltiples cuadros de contingencias y con apoyo de métodos iterativos (Greenacre, 2008, p. 272).

Descripción de la muestra y de la base de datos

La base de datos usada es producto del convenio de cooperación celebrado entre la UIS y la financiera Comultrasan, a cargo del GIDORT. Dicha investigación tenía como objetivo general realizar una caracterización socioeconómica de la microempresa o actividad informal en el AMB desde el enfoque de Actos, Vulnerabilidades y Estructura de Oportunidades (AVEO) propuesto por Ruben Katman. En el desarrollo de la investigación se realizaron 384 encuestas12 a microempresarios de los cuales el 85.4% eran socios de la financiera y el 14.6% no lo eran13.

El diseño del muestreo fue Aleatorio Estratificado, donde los estratos estaban conformados por las ciudades que conforman el área metropolitana de Bucaramanga: Bucaramanga, Floridablanca, Girón y Piedecuesta y las fracciones del muestreo estaban determinadas por la distribución geográfica del marco muestral de los 42 685 microempresarios socios de la cooperativa. La encuesta aplicada contempla 7 módulos: perfil del encuestado (12 preguntas); capital sicológico (12 preguntas); capital humano, subdividido en salud (17 preguntas) y educación (16 preguntas); capital social (66 preguntas); capital físico (32 preguntas) y capital financiero (77 preguntas) lo cual en agregado asciende a 232 preguntas. Para esta investigación se tuvieron en cuenta 14 preguntas que fueron seleccionadas por ser las que más información proporcionan al momento de caracterizar los empresarios clasificados por su nivel de beneficios14.

De las 14 preguntas, 4 de ellas son cuantitativas y 10 cualitativas y pertenecen a 6 módulos, distribuidas de la siguiente forma: 2 preguntas del perfil del encuestado, 2 de capital humano educación, 2 de capital humano salud, 3 de capital social y satisfacción de necesidades, 3 de capital físico y 2 de capital financiero. En el Cuadro 1 15 se describen cada una de las preguntas seleccionadas.

La investigación es de tipo cuantitativo y cualitativo, los procesos estadísticos fueron realizados en el paquete estadístico SPAD 5.6.

Análisis de Correspondencias Múltiple

Como se dijo anteriormente, el ACM es una técnica descriptiva multivariada que permite conocer las asociaciones que existen entre las modalidades de las variables categóricas. En la presente investigación se consideran 10 variables cualitativas y 4 variables cuantitativas que deben ser categorizadas para ser incluidas en el ACM. Esta técnica resulta idónea para el objetivo planteado de conocer de forma exploratoria las características asociadas a cada nivel de ingresos del microempresario. En oposición al Análisis de Componentes Principales (ACP), el ACM permite la inclusión de variables categóricas en la conformación de los ejes factoriales, lo cual es útil para corroborar la real asociación entre categorías16. Las variables cuantitativas son: edad, personas que conforman el hogar, beneficios en el último mes y nivel de endeudamiento a la fecha. La categorización de estas variables continuas está fundamentada en su distribución de frecuencias, en estudios o ensayos previos utilizando el ACM y en la interpretación económica de la clasificación. A continuación, se presenta la categorización realizada:

Edad: la edad se agrupó teniendo en cuenta el estudio de Mata et al. (2011) que evidencia la relación entre la aversión al riesgo, la cual está directamente relacionado con los beneficios de la microempresa, y la edad de los inversionistas. Después de probar con diferentes clasificaciones, se optó, finalmente, por tres rangos para tener una mayor diferenciación: joven adulto, adulto y adulto mayor, de acuerdo con los siguientes intervalos 18 a 30 años; 31 a 50 y mayor de 50 años17.

Número de integrantes del hogar: se categorizó a partir de previos ACM de la variable sin agrupar, con lo cual se identificaron las categorías de número de integrantes que tenían gran asociación entre sí; por ejemplo, se encontró que las familias con 1, 2 y 3 integrantes se asociaban entre sí con las mismas categorías de otras variables y, por tal motivo, se agruparon en una sola. Se definieron las siguientes tres categorías: hogares compuestos por tres integrantes o menos, hogares formados por 4 y 5 integrantes y los hogares constituidos por más de 6 integrantes18.

Nivel de endeudamiento: el proceso de agrupación se realizó con base en la división por deciles de la variable y el colapso de todas las categorías que presentaban asociación en el ACM preliminar. En consecuencia, se decidió tomar cuatro categorías que representan aproximadamente una división por cuartiles redondeada: menor o igual a 2 millones, entre 2 y 5 millones, entre 5 y 10 millones y más de 10 millones19.

Beneficios percibidos en el último mes: se dividió primero con arreglo a una aproximación del salario mínimo mensual legal vigente (SMMLV) para el 2012, para posteriormente agrupar las categorías que presentaban mayor asociación en el ACM preliminar. De esta forma se llegó a las siguientes tres categorías: menor o igual a un salario mínimo, entre uno y cuatro 4 salarios mínimos y más de 4 salarios20.

Luego de la categorización de las 4 variables cuantitativas se procede a hacer el ACM teniendo en cuenta las variables de cada dimensión junto con la variable beneficios percibidos en el último mes, con lo cual se pretende hallar la asociación entre los diferentes niveles de utilidades y las diferentes categorías de cada ítem. Se inicia el análisis confrontando la dimensión del capital físico contra la variable beneficios. Posteriormente se continúa con las demás dimensiones: salud, educación, social, física, financiera y perfil del encuestado. Para más información sobre los procesos realizados se puede consultar a Rangel (2013).

Asociación entre el capital físico y los beneficios obtenidos

El capital físico es aquel que abarca los tangibles que el microempresario posee para el funcionamiento de su empresa y para su disfrute propio. Algunos activos que hacen parte de esta dimensión son los equipos de producción, los muebles, enseres, los medios de transporte, la finca raíz entre otros. Este capital es comúnmente observado al momento de evaluar la asignación de crédito por parte de las financieras, pues estos son considerados como colateral en una deuda. Aquí presentamos tres categorías relacionadas al tipo, tenencia y uso de la vivienda del microempresario21.

La selección de estas variables es producto de un estudio preliminar que incluye tanto el criterio de expertos como métodos estadísticos tales como la regresión lineal simple y cuadros de contingencias, que permitieron determinar las variables que más relación tienen con los beneficios del empresario. En Rangel (2013) se pueden encontrar anexos de los procesos realizados de esta etapa previa. Las categorías de la variable beneficios obtenidos en el último mes se presentan en el Cuadro 7 22.

En este caso, el análisis de correspondencias múltiples lo conforman 12 categorías, las restantes 4 categorías no se tuvieron en cuenta dado que sus frecuencias relativas eran inferiores a 2%. Las categorías eliminadas fueron las de no respuesta para las preguntas de capital físico y la categoría de casa propia que solo fue seleccionada por 7 encuestados.

Luego del proceso de reducción de dimensiones se obtuvieron 8 factores que recogían la totalidad de la variabilidad de los datos, el primer factor explica el 18.64% de esta variación (inercia), y en conjunto los 4 primeros factores recogen el 59.89% de la inercia23.

En el Cuadro 8 24 se presentan las coordenadas de las categorías en cada uno de los factores, así como la contribución y los cosenos cuadrados de dichas categorías. Este cuadro sirve de insumo básico para la lectura geométrica del ACM, pues contrasta la calidad de la representación de las categorías en los gráficos y su eventual interpretación25.

El Gráfico 1 evidencia que los microempresarios con mayores ingresos viven en apartamento, no viven en el lugar donde trabajan y el lugar de la vivienda fue cedido26, contrario a los microempresarios con menores beneficios que viven en casas donde tienen su sitio de trabajo y con ocupación irregular, o invasiones. Adicionalmente, llama la atención la ubicación de la categoría de los microempresarios que no reportan beneficios que están en el mismo cuadrante de los que reportan los menores beneficios.

Primer plano factorial asociado a las variables de capital físico

Gráfico 1: Primer plano factorial asociado a las variables de capital físico

Fuente: elaboración propia.

Asociación entre el perfil demográfico del microempresario y los beneficios percibidos en el último mes

El perfil del microempresario se caracteriza por las siguientes variables: nombre, edad, sexo, número de hijos, integrantes del hogar, ocupación, lugar de vivienda, estrato etcétera. En este trabajo solo se consideran las variables edad y número de integrantes del hogar cuyas categorías se presentan en el Cuadro 5 27.

En el Cuadro 6 se presentan las coordenadas de los factores para el perfil del microempresario y los niveles de beneficios. En esta oportunidad el primer eje factorial recoge el 17.74% de la variabilidad de los datos y en los 4 primeros factores se acumula el 63.83 % de los datos28.

En el Gráfico 2 los ejes 1 y 2 muestran que los microempresarios que tienen beneficios de más de 4 SMMLV están entre 18 y 30 años. En los planos 1 y 3, se evidencia una relación entre los empresarios con menores beneficios y con hogares grandes de más de 5 personas. Este hecho se opone a los empresarios con beneficios medios de (1 a 4 SMMLV) conformados por menos de tres personas.

Lectura de los factores de mejor representación de las categorías de la variable beneficios

Gráfico 2: Lectura de los factores de mejor representación de las categorías de la variable beneficios

Fuente: elaboración propia.

Asociación entre las condiciones de salud y el estado físico de los microempresarios y los beneficios obtenidos

El capital salud mide las condiciones de seguridad médica y el estado físico de los empresarios y su núcleo familiar. Las variables y las categorías del capital salud se presentan en el Cuadro 11 29.

En esta oportunidad el primer eje factorial recoge el 20.46% de la variabilidad de los datos y en los 4 primeros factores se acumula el 71.19% de la inercia, la mejor representación se debe al pequeño número de categorías incluidas en el ACM30.

En el Gráfico 3 se observa que no existe la categoría de percepción de la salud mala, ya que ningún microempresario manifestó tenerla; pero se encontró asociación entre los bajos beneficios con los estados de salud regular que son afectados por la actividad laboral, por el contrario, los altos beneficios se asocian a mejores estados de salud.

Lectura de los factores de mejor representación de las variables categóricas nivel de beneficios y estado de salud.

Gráfico 3: Lectura de los factores de mejor representación de las variables categóricas nivel de beneficios y estado de salud.

Fuente: elaboración propia.

Asociación entre el nivel educativo de los microempresarios y los beneficios obtenidos en el último mes

El capital educación comprende las características relacionadas con el nivel educativo acreditado, la formación no acreditada y la experiencia acumulada en cada labor. Las variables y las categorías del capital educación con mejor asociación con los niveles de beneficios se presentan en la Cuadro 13 31.

El análisis de correspondencia para estas variables categóricas se resume en 6 ejes factoriales, los 4 primeros de ellos explican el 72.45% de la variabilidad total32.

En el Gráfico 4 se presenta la relación esperada entre alto nivel de beneficios y alto nivel de estudio, pero no se puede verificar esta relación con los niveles medios y bajos de educación. También se puede observar, en el tercer plano factorial, la asociación de los beneficios bajos y los trabajos poco o nada relacionados con la preparación académica de cada microempresario en oposición a los microempresarios con beneficios medios que en su mayoría cuentan con un trabajo afín a los estudios adelantados. Los hallazgos del perfil del empresario y los correspondientes del capital humano no son inesperados, pues ya Becker (1983) y Mincer (1958) habían señalado la relación directa entre el capital humano (salud, educación y experiencia) y la productividad de los individuos y de las empresas, así que era de esperarse que los empresarios más exitosos (medidos como los de mayores utilidades) fueran los que presentarán mejores condiciones de capital humano, estos resultados también fueron encontrados en Riascos (2010) 33 y Castro, Girón y Soto (2017) 34 para los emprendedores colombianos.

Lectura de los factores de mejor representación de las variables categóricas nivel de beneficios y educación

Gráfico 4: Lectura de los factores de mejor representación de las variables categóricas nivel de beneficios y educación

Fuente: elaboración propia.

Asociación entre las capacidades de relacionamiento del microempresario con los beneficios obtenidos

El capital social son aquellas cualidades que tiene el microempresario para relacionarse con su entorno (comunidad, familia, proveedores y clientes) por medio de grupos y redes. Esto puede tener impacto positivo en los beneficios de los microempresarios, pues a mejores relaciones entre redes más ayudas pueden disponer en su labor empresarial. Aquí también se analizan las necesidades que logra satisfacer cada empresario dependiendo de los diferentes niveles de beneficios. Las variables y las categorías del capital social y satisfacción de necesidades se pueden ver en el Cuadro 15 35.

El análisis de correspondencia para estas variables categóricas se resume en 6 ejes factoriales, los dos primeros explican el 40.9% de la variabilidad total. Por la buena representación de la variabilidad que recoge los dos primeros ejes factoriales y dado que todas las categorías tienen altos cosenos cuadrados en estos factores, se consideran suficientes para un buen análisis del capital social y de la satisfacción de necesidades de los microempresarios36.

En el Gráfico 5 se observa que los microempresarios con mayores beneficios aseguraron que los ingresos les permiten el consumo básico y social necesario en oposición a los ingresos bajos quienes reportan que los ingresos no les alcanzan para el consumo social ni básico. Con respecto a la pertenencia del gremio no se evidencia relación con ningún nivel de ingresos. Como hecho importante hay que observar que los que no reportan el monto de beneficios se encuentran en la parte negativa del primer factor, el cual se asocia a los menores ingresos y a los niveles bajos de satisfacción de necesidades básicas y sociales. Llama la atención que, las variables de capital social no se encuentren asociadas a los niveles de ingresos, esto va en contra de lo planteado por la teoría del capital social37, dicho hallazgo podría respaldar la creencia popular de la poca colaboración entre los microempresarios santandereanos.

Lectura de los factores de mejor representación de las variables categóricas nivel de beneficios, capital y satisfacción de necesidades

Gráfico 5: Lectura de los factores de mejor representación de las variables categóricas nivel de beneficios, capital y satisfacción de necesidades

Asociación entre el capital financiero que posee el microempresario y los beneficios generados

El capital financiero junto con el capital físico son los dos factores de estudio comúnmente usado para la asignación de crédito comercial. Algunas variables para el capital financiero son: ingresos, gastos, tenencia de bonos, acciones y certificados de depósito a término entre otros. Para el presente estudio solo se utiliza la variable nivel de endeudamiento cuyas categorías se presentan en la Cuadro 13 38.

El histograma de los 7 factores que explican la totalidad de la inercia indica que en los 2 primeros ejes factoriales se explica el 33.12% de la variabilidad de los datos, porcentaje alto que, sumado a una buena representación de la mayoría de las categorías, permite obtener conclusiones representativas39.

En el Gráfico 6 es llamativo el ordenamiento de izquierda a derecha que se da en el factor 1 a los beneficios y al monto de las deudas de mayor a menor. Niveles altos de beneficios se asocian con niveles altos de deudas y viceversa.

Otra lectura sobresaliente es la asociación entre las personas que no declaran los beneficios y los que no reportan el nivel de endeudamiento40. Este resultado corrobora que las personas que no declararon nivel de beneficios tampoco declararon nivel de deuda, pues estas dos variables están íntimamente relacionadas.

Lectura de los factores de mejor representación de la variable capital financiero

Gráfico 6: Lectura de los factores de mejor representación de la variable capital financiero

Fuente: elaboración propia.

Conclusiones

El análisis realizado muestra cómo el Análisis de Correspondencia Multivariado, proporciona una lectura de las variables en juego que conlleva el descubrimiento de asociaciones entre las categorías de diferentes variables categóricas, algo muy poco usado en el campo de la economía y en nuestra región. Esta técnica expande el campo de acción de la medición económica a variables cualitativas, sin dejar de lado la rigurosidad del método estadístico. Otro factor de relevancia de esta técnica es la facilidad de la interpretación de los resultados por medio de las representaciones gráficas, característica que favorece la divulgación a un público no docto en estadística.

En cuanto la condición socioeconómica de los microempresarios, hay que resaltar que las variables seleccionadas son las más representativas al momento de discriminar los mi-croempresarios por el nivel de beneficios tal como se plantea en Rangel (2013). Así pues, los microempresarios del Área Metropolitana de Bucaramanga en 2012 se pueden describir como un conjunto de individuos que se dividen en tres grupos de acuerdo con sus utilidades, a saber: altos (más de 4 SMMLV), medios (entre 4 y 1 SMMLV) y bajos (menos o igual a 1 SMMLV). Entre estos grupos las mayores diferencias se observaron entre los mi-croempresarios de ingresos altos y los bajos: los primeros se caracterizan por disponer de recursos necesarios para satisfacer su consumo básico (alimentación, estudio, vivienda y salud), consumo social (diversión, deporte, etcétera), gozar de buen o excelente estado de salud, tener estudios universitarios, vivir en casa familiar, tener su negocio fuera de su lugar de residencia, tener alto nivel de pasivos y ser jóvenes entre 18 y 30 años en su mayoría. En contraste, los microempresarios con ingresos bajos que se caracterizan por no disponer de recursos necesarios para el consumo básico y social, no gozar de buena salud, ser afectados en la salud por su actividad laboral, realizar trabajos poco afines a lo estudiado, vivir en el mismo lugar de trabajo, tener hogares con más de 5 integrantes y residir en viviendas adquiridas de forma irregular. Esta división hace pensar que los microempresarios jóvenes con estudios universitarios y que viven con su familia son los que tienen mejor nivel socioeconómico en oposición a los empresarios mayores que viven en familias numerosas. Lo anterior evidencia que, para el caso santandereano, el factor más influyente en el éxito del negocio es el capital humano, por encima de capital social, el capital físico y financiero.

Otro aporte de este trabajo es lograr clasificar a los microempresarios que no reportaron el nivel de beneficios como microempresario con bajos beneficios. Esto se logró a partir de las asociaciones que existen entre la categoría "no reportan beneficios" y las categorías asociadas a los microempresarios con bajos beneficios (mala salud, hogares de más de 5 integrantes, etcétera). Este resultado es comprensible ya que la investigación se realizó a socios de la cooperativa con el acompañamiento de algunos de sus empleados, factor que pudo influenciar en la no respuesta del monto de ganancias con el objetivo de no reflejar inestabilidad económica a sus prestamistas.

Referencias

  1. Bauman, Z. (1998). Modernidad y Holocausto. Madrid: Sequitur. 🠔
  2. Becker, G. (1983). Inversión en capital humano e ingresos. En L. Toharia (Ed.), El mercado de trabajo: teoría y aplicaciones (pp. 39-63). Madrid: Alianza Editorial S. A. 🠔
  3. Benjumea, N. y Torres, S. (2010). Impacto socioeconómico del programa de microcréditos otorgados por la alcaldía de Bucaramanga a los microempresarios de la comuna II en el periodo comprendido entre noviembre de 2008 y septiembre de 2009 (tesis de pregrado). Universidad Industrial de Santander, Bucaramanga, Colombia. 🠔
  4. Carranza, I. (2009). The Role of Capitals in the Promotion of Sustainable Community Micro-finance Organization. (Disertación doctoral). Lowa State University, Ames, United States of America. 🠔
  5. Castro, G., Girón, L. y Soto, D. (2017). Impacto del capital humano en el emprendimiento por oportunidad en Colombia, Chile y Ecuador. Facultad de Ciencias Económicas y Administrativas, Pontificia Universidad Javeriana, Cali. Recuperado de http://2017.economicsofeducation.com/user/pdfsesiones/157.pdf [URL] 🠔
  6. Comisión Económica para América Latina y el Caribe (CEPAL). (2017). Agenda 2030 y los Objetivos de Desarrollo Sostenible. Una oportunidad para América Latina y el Caribe. Recuperado de http://repositorio.cepal.org/bitstream/handle/11362/40155/10/S1700334_es.pdf [URL] 🠔
  7. Departamento Administrativo Nacional de Estadística (DANE). (2009). Metodología: encuesta de micro-establecimientos. Recuperado de http://www.dane.gov.co/files/investigacio-nes/fichas/Microestablecimientos.pdf [URL] 🠔
  8. Dasgupta, P. y Debraj, R. (1987). Inequality as a Derminant of Malnutrition and Umemployement: Policy. Economic Journal, 97, 177-188. https://doi.org/10.2307/2233329 [URL] 🠔
  9. Demmel, J. (1997). Applied Numerical Linear Algebra. Filadelfia: SIAM. 🠔
  10. Díaz, L. G. (2007). Estadística Multivariada: inferencia y métodos. Bogotá: Universidad Nacional de Colombia. 🠔
  11. Elster, J. (2000). Ulises y las sirenas. Estudios sobre racionalidad e irracionalidad. Ciudad de México: Fondo de Cultura Económica. 🠔
  12. Ezzrari, A., y Verme, P. (2013). A Multiple Correspondence Analysis Approach to the Measurement of Multidimensional Poverty in Morocco, 2001-2007. Banco Mundial. Recuperado de http://documents.worldbank.org/curated/en/681991468276307907/pdf/WPS6087.pdf [URL] 🠔
  13. Forni, P., Siles, M. y Barreiro, L. (2004). ¿Qué es el Capital Social y cómo Analizarlo en contextos de Exclusión Social y Pobreza? Julian Samora Research Institute - Universidad Estatal de Míchigan. Recuperado de http://base.socioeco.org/docs/a5-1.pdf [URL] 🠔
  14. Glewwe, P., y Edward, M. (2008). The Impact of Child Health and Nutrition on Education in Less Developed Countries. Handbook of Development Economics, 4, 3561-3606. https://doi.org/10.1016/S1573-4471(07)04056-9 [URL] 🠔
  15. Greenacre, M. J. (1984). Theory and Applications of Correspondence Analysis. Londres: Academic Press. 🠔
  16. Greenacre, M. J. (2008). La Práctica del Análisis de Correspondencias. Bilbao: Rubes Editorial. 🠔
  17. Griffin, K. (2000). Studies in Development Strategy and Systemic Transformation. Nueva York: ST. Martin's Press. 🠔
  18. Grossman, S. (1983). Algebra lineal. Segunda Edición. Ciudad de México: Grupo Editorial Iberoamérica. 🠔
  19. Guerrero, A. y Alfonso, C. (2014). Aproximación al estado de salud de los microempresarios del área metropolitana de Bucaramanga. Med UNAB, 17(1), 13-22. 🠔
  20. Lucas, R. (1988). On the Mechanics of Economic Development. Journal of Monetary Economics, 22(1), 3-42. https://doi.org/10.1016/0304-3932(88)90168-7 [URL] 🠔
  21. Luzardo, M., Márquez, V., Segovia, H. y Rangel, K. (2016). Índice de pobreza multivariante a través de la III Encuesta Nacional de Presupuestos Familiares 2004-2005. Comunicaciones en Estadística, 9(2), 199-222. 🠔
  22. Mata, R., Josef, A., Samanez-Larkin, G., y Hertwig, R. (2011). Age Differences in Risky Choice: A Meta-Analysis. Annals of The New York Academy of Sciences, 1235(1), 18-29. https://doi.org/10.1111Zj.1749-6632.2011.06200.x [URL] 🠔
  23. Mincer, J. (1958). Investment in Human Capital and Personal Income Distribution. Journal of political economy, 66(4), 281-302. 🠔
  24. Peña-Angulo, E. y Nava-Puente, L. (2015). Un indicador de pobreza multidimensional alternativo para Venezuela. Innovaciencia, 3(1), 29-40. http://dx.doi.org/10.15649/2346075X.366 [URL] 🠔
  25. Rangel, H. (2013). Análisis del estado socio-económico de una muestra de microempresarios del Área Metropolitana de Bucaramanga basados en la técnica de Análisis de Correspondencias Múltiple (tesis de especialización). Universidad Industrial de Santander, Bucaramanga, Colombia. 🠔
  26. Ravallion, M. (2005). Evaluating Anti-Poverty Programs. Banco Mundial. Recuperado de http://documents.worldbank.org/curated/en/104761468315569641/Evaluating-anti-poverty-programs [URL] 🠔
  27. Riascos, H. (2010). Actividad emprendedora en Colombia un análisis del capital humano (tesis de maestría). Universidad Pontificia Javeriana, Bogotá, Colombia. 🠔
  28. Romer, P. (1990). Human Capital and Growth: Theory and Evidence. Spring, 32, 251-286. https://doi.org/10.3386/w3173 [URL] 🠔
  29. Sen, A. (1988). The Concept of Development. En H. Chenery y T.N. Srinivasan (Eds.), Handbook of Development Economics (pp. 9-26). Ámsterdam: Elsevier Science Publishers B.V. 🠔
  30. Shy, O. (2000). Industrial Organization. Theory and Applications. Londres: The MIT Press. 🠔
  31. Smith, A. (2010). Investigación sobre la naturaleza y causa de la riqueza de las naciones. Edición 17. Ciudad de México: Fondo de Cultura Económica. 🠔
  32. Solow, R. (1956). A contribution to the Theory of Economic Growth. Quarterly Journal of Economics, 70(1), 65-94. https://doi.org/10.2307/1884513 [URL] 🠔
El artículo es resultado del proyecto de grado de la Especialización en Estadística titulado: Análisis del estado socio-económico de una muestra de microempresarios del Área Metropolitana de Bucaramanga basados en la técnica de Análisis de Correspondencias Múltiple. Sin financiación.
Este estudio, llamado Análisis de los factores socioeconómicos de las microempresas del AMB, desde el enfoque de activos familiares y la estructura de oportunidades, se realizó en el marco del convenio establecido entre la financiera Comultrasan (Cooperativa Multiactiva de Trabajadores de Santander) y la Universidad Industrial de Santander. La investigación se realizó entre junio y diciembre del 2012 y contó con la participación del grupo de investigación GIDORT (Grupo de Investigación sobre Desarrollo Regional y Territorial), perteneciente a la Escuela de Economía y Administración de la Universidad Industrial de Santander.
Hubo un desplazamiento de la economía política, fundamentada en la filosofía y la retórica, por la economía neoclásica, basada en los procesos de optimización matemáticos.
La Caja de ahorros fue una estrategia de microcrédito implementada por el Gobierno de México, que proporcionaba créditos a grupos de granjeros entre 10 y 40 integrantes, los cuales eran beneficiados con un capital "semilla" que debía ser administrado por los beneficiarios y ser devuelto en 5 años para luego ser reasignado a otro grupo de campesinos. El grupo de granjeros debía asignar los préstamos a sus integrantes y encargarse del cobro del capital y del interés producido, lo cual obligaba a conformar una cooperativa que tuviera un director, secretario y tesorero.
El éxito del programa fue medido teniendo en cuenta: ahorros reunidos, intereses recolectado, préstamos recuperados, existencia de registro contable y la frecuencia de encuentros con los miembros del grupo de prestatarios, con lo cual se clasificaba el éxito del programa en tres categorías: buena producción, producción promedio y producción pobre.
Medido como la participación de la mujer en la junta directiva de la caja de ahorros.
Medido por el promedio de 6 indicadores: 1) relaciones de verdad, 2) reciprocidad, 3) reglas comunes normas y sanciones, 4) conectividad y redes de trabajo, 5) frecuencia de las reuniones y 6) participación en decisiones políticas.
Definidos como personas que se encontraban solos o con otras personas intentando iniciar un nuevo negocio o empresa propia, incluyendo alguna forma de autoempleo o venta de bienes y servicios. El autor hace énfasis en dos clases de emprendedores potenciales: 1) emprendimiento en búsqueda de una oportunidad no aprovechada y 2) emprendimiento por necesidad ya que no cuenta con trabajo.
Definidos como las personas que se encontraban solos o con otras personas y que eran propietarios de un negocio o empresa, la cual ayudaban a dirigir, eran trabajadores independientes o vendían algún tipo de bien o servicio y con antigüedad en esta actividad de 0 a 3 meses.
Propietarios y gestores de una empresa hasta de 42 meses.
Las variables categóricas son especialmente usadas en las investigaciones sociales, pues los fenómenos de estas áreas no se presentan de manera natural de forma numérica, sino que son percibidos como atributos de los individuos o de su entorno. Por ejemplo: La variable Color de piel puede estar medida en una gama de colores que van desde el oscuro hasta el más claro y no en un rango de valores con propiedades ordinales y/o cardinales.
La descomposición de valores singulares es una factorización de una matriz basada en los valores y vectores propios. Véase: Grossman (1983), Demmel (1997).
El tamaño de muestra fue hallado para un muestreo de diseño aleatorio simple para proporciones, asumiendo máxima varianza p * q = 0.25, con una población N = 42 685 (número de microempresarios de la cooperativa para su época) y un nivel de confianza del 95%.
La proporción original era: socios 80% y no socios 20% la cual fue decretada por Financiera Comultrasan como una condición del contrato de investigación. Dicha proporción se tuvo en cuenta y se ejecutó en el muestreo.
El proceso de selección de las variables, así como otros detalles del presente documento se puede consultar en Rangel (2013)
Ver en Anexos.
Una de las disyuntivas planteadas al comienzo de la investigación fue el uso del ACP en vez del ACM, ya que se contaban con 4 variables continuas y 10 categóricas, el principal argumento en contra del ACP fue la imposibilidad de convertir las variables categóricas a continuas, sobre todo en el caso de variables nominales. Pese a que el ACP contempla el manejo de variables categóricas como variables proyectadas (auxiliares) estas no hacen parte de la conformación de los factores, lo que produciría resultados poco precisos al momento de hablar de asociación de categorías. Lo anterior hace del ACM la técnica apropiada para este documento.
Ver Cuadro 2 en Anexos.
Ver Cuadro 3 en Anexos.
Ver Cuadro 4 en Anexos.
Ver Cuadro 5 en Anexos.
Ver Cuadro 6 en Anexos.
Ver en Anexos.
Pese a que los dos primeros factores son los de mayor explicación de la inercia, se hace necesario analizar varios planos para verificar o rechazar las relaciones encontradas. Por límites de espacio en este artículo, no se presenta la combinación de todos los factores, en Rangel (2013) se expone una análisis más detallado y amplio en la combinación de factores para estos datos.
Ver en Anexos.
Se considerará que una categoría está bien representada si el coseno cuadrado es mayor a 0.2, lo cual equivale a un coseno de 0.447 y un ángulo menor a . Este criterio fue escogido ya que "podemos interpretar los cosenos de los ángulos entre vectores como coeficientes de correlación. Por lo tanto, las contribuciones relativas [cosenos cuadrados] son correlaciones al cuadrado" (Greenacre, 2008, pág. 121).
La categoría de vivienda cedida fue asignada en los casos donde el ocupante no tiene ninguna relación de propiedad o arrendataria con el inmueble. Se diferencia de la ocupación de hecho (ilegal) en que la cesión del bien inmueble es consensuada por él o los propietarios. Este fenómeno es especialmente observado entre familias.
Ver Cuadro 9 en Anexos.
Ver Cuadro 10 en Anexos
Ver en Anexos.
Ver Cuadro 12 en Anexos
Ver en Anexos.
Ver Cuadro 14 en Anexos.
Riascos (2010) define al nuevo empresario como "hombres, con hogares pequeños e ingresos anuales entre medio y medio altos (en menor relación), poseedores del 100% del tamaño de la empresa o negocio, educación formal media, con conocimiento y/o experiencia en emprendimiento, con independencia laboral, dicen conocer a alguien que en los últimos 2 años emprendió un negocio y manifiestan carecer de miedo de emprender una actividad emprendedora por temor al fracaso" (p. 26).
Castro, Girón y Soto (2017) perfilan a los emprendedores como "Este grupo se caracteriza por miedo al riesgo (fracaso), excepto Chile, pertenecen el género masculino (Masc), individuos jóvenes entre 18 y 44 años (ag1, ag2, ag3) y educación secundaria, técnica y universitaria (edusec, edutec, eduv)" (p. 18).
Ver en Anexos.
Ver Cuadro 16 en Anexos.
Es de esperar que las relaciones sociales reflejen mayores oportunidades económicas para los individuos y las empresas: "De aquellas sustancias tangibles que cuentan más en la vida diaria de las personas: específicamente buena voluntad, compañerismo, empatía, y el encuentro social entre individuos y familias que construyen unidad social [...]. Si lo individuos entran en contacto con sus vecinos, y ellos con otros vecinos, habrá una acumulación de capital social, que puede satisfacer inmediatamente sus necesidades sociales y que pueden producir un potencial suficiente para realizar una mejora sustancial de las condiciones de vida de toda la comunidad" (Forni, Siles y Barreiro, 2004, p. 2).
Ver en Anexos.
Ver Cuadro 18 en Anexos.
Los microempresarios que no declaran nivel de endeudamiento son 51, por esta razón, por tener una masa grande, es que esta categoría está bien representada en los primeros factores del ACM.
Rangel Q., H. S., y Yáñez C., G. (2018). Clasificación por capitales de una muestra de microempresarios del Área Metropolitana de Bucaramanga a partir del Análisis de Correspondencia Múltiple. Ensayos de Economía, 28(53), 165-192. https://doi.org/10.15446/ede.v28n53.75018

Anexos

La totalidad de los cuadros aquí presentados fueron elaborados por los autores.

Cuadro 1: Variables y sus características

Cuadro 2: Categorización de la variable edad

Cuadro 3: Categorización del número de integrantes por hogar

Cuadro 4: Categorización de la variable nivel de endeudamiento

Cuadro 5: Agrupamiento de la variable beneficios del último mes

Cuadro 6: Capital físico

Cuadro 7: Categorías de la variable beneficios

Cuadro 8: Coordenadas de los factores, contribución y cosenos cuadrados de las categorías para el capital físico vs beneficios

Cuadro 9: Categorías de las variables perfil de encuestado

Cuadro 10: Coordenadas de los factores, contribución y cosenos cuadrados de las categorías para el perfil del microempresario vs beneficios

Cuadro 11: Categorías de las variables del módulo salud

Cuadro 12: Coordenadas de los factores, contribución y cosenos cuadrados de las categorías para el capital salud y la variable beneficios

Cuadro 13: Categorías de la variable del módulo educación

Cuadro 14: Coordenadas de los factores, contribución y cosenos cuadrados de las categorías para el capital educación y la variable beneficios

Cuadro 15: Categorías de las variables del módulo capital social

Cuadro 16: Coordenadas de los factores, contribución y cosenos cuadrados de las categorías para el capital social y la variable beneficios

Cuadro 17: Categorías de la variable nivel de endeudamiento

Cuadro 18: Coordenadas de los factores, contribución y cosenos cuadrados de las categorías para el capital físico vs beneficio