Ensayos de Economía
0121-117X
2619-6573
Universidad Nacional de Colombia
https://doi.org/10.15446/ede.v30n56.83706

Recibido: 18 de noviembre de 2019; Aceptado: 13 de febrero de 2020; Revision Received: 28 de febrero de 2020

La comunicaciónfiscal y sus efectossobre losretornos de los títulos públicos: una aproximación empírica para el caso colombiano*

Fiscal Communication and its Effects on the Public Debt Securities: An Empirical Approach for the Colombian Case

C. Cárdenas-Cardona, **J. Galvis-Ciro, ***

Economista y estudiante de Maestría en Ciencias Económicas por la Universidad Nacional de Colombia - Sede Medellín. Correo electrónico: cmcardenc@unal.edu.co http://orcid.org/0000-0003-1736-9835 Universidad Nacional de Colombia Universidad Nacional de Colombia Medellín Colombia
Doctor en Economía por la Universidade Federal Fluminense (Río de Janeiro, Brasil). Profesor y coordinador del Grupo de Investigación en Análisis Económico (GAE-UPB) en la Universidad Pontificia Bolivariana (Medellín, Colombia). Correo electrónico: juan.galvisc@upb.edu.co http://orcid.org/0000-0001-6680-275X Universidad Pontificia Bolivariana Universidad Pontificia Bolivariana Medellín Colombia

Resumen

Este trabajo presenta un análisis para cuantificar la comunicación sobre la política fiscal en Colombia, a partir de información disponible en las noticias sobre el déficit del Gobierno que emiten los principales periódicos del país. Se emplea como estrategia metodológica la revisión de noticias fiscales publicadas en los principales diarios y periódicos colombianos para construir un glosario de palabras con las cuales se construye un índice de postura fiscal. Luego, mediante un análisis econométrico se utiliza el método de momentos generalizados -GMM- y son estimados los efectos del índice sobre los retornos de los títulos de deuda pública para el período 2010-2018. Con el fin de contar con evidencias más robustez, también es estimado un modelo de vectores autorregresivos -VAR-. Los resultados indican que cuanto mayor es el déficit fiscal señalizado en las noticias fiscales, mayor es el retorno exigido en la deuda pública, aunque los efectos solo son importantes en los títulos de corto plazo. Además, el riesgo internacional y el precio del petróleo también son variables importantes que afectan los retornos de los TES.

JEL: E60; E61; E62; E63.

Palabras clave:

comunicación, política fiscal, deuda pública, déficit fiscal, títulos de deuda pública.

Abstract

This paper presents an analysis to quantify the communication on fiscal policy in Colombia based on information available in the news about the government deficit issued by the main newspapers in the country. We used as a methodological strategy the revision of fiscal news published in the main Colombian newspapers to construct a glossary of words with which to build a fiscal stance index. Then, using an econometric analysis, the generalized moments method -GMM- is used and the effects of the index on the returns of public debt securities for the period 2010-2018 are estimated. In order to have more robust evidence, an autoregressive vector model -VAR- is also estimated. The results indicate that the greater the fiscal deficit indicated in the fiscal news, the greater the return required in public debt, although the effects are only important in short-term securities. In addition, international risk and the price of oil are also important variables that affect debt returns.

JEL: E60; E61; E62; E63.

Keywords:

communication, fiscal policy, public debt, fiscal deficit, titles of public debt.

Introducción

El comportamiento de los retornos de la deuda pública es importante para la gestión de la política fiscal. Al respecto, según Falagiarda & Gregori (2015) los países que se enfrentan al pago de primas de riesgo más altas en el mercado financiero presentan mayores dificultades para acceder al crédito y es un síntoma de incertidumbre sobre la sostenibilidad fiscal. Para aumentar la confianza de los mercados y reducir el riesgo, es importante la difusión de información fiscal continua y creíble por parte de los Gobiernos. Por consiguiente, el suministro de señales claras sobre la posición o postura fiscal futura, con relación a la trayectoria del déficit fiscal y la deuda pública, permite que las expectativas de los agentes económicos puedan ser formuladas con mayor precisión y los activos sean valorados en el mercado de una mejor forma (Peat, Svec & Wang, 2015).

El efecto de la información fiscal en los mercados de bonos es objeto de debate en la actualidad. Contribuciones recientes en la literatura muestran que los determinantes de la ampliación de las primas de bonos soberanos en los países, se relacionaron con factores como los anuncios económicos del Gobierno, el déficit fiscal esperado, el riesgo de liquidez, la aversión al riesgo internacional, la especulación de los mercados, los efectos de contagio, y factores específicos del país, como sus fundamentales macroeconómicos (Falagiarda & Gregori, 2015; Leeper, Walker & Yang, 2009; Leeper, Richter & Walker, 2010; Montes, Nicolay & Acar, 2019; Ricco, 2015).

Según Bernoth & Wolff (2006), la probabilidad de default y el premio de riesgo soberano, se puede cuantificar a partir de la posición fiscal que perciben los principales agentes de un país, normalmente disponibles en las noticias y cifras oficiales sobre la deuda y el déficit. Dado esto, es importante verificar si la creencia que tienen los agentes sobre la posición fiscal puede afectar y restringir al mismo Gobierno por medio de sus impactos en el mercado y los retornos exigidos para la compra de los títulos públicos.

Las economías emergentes no tienen un amplio contenido bibliográfico sobre los efectos de la comunicación fiscal en los títulos de deuda pública. Por tanto, este trabajo contribuye a entender la forma en que la comunicación fiscal afecta los rendimientos de los bonos del tesoro -TES- del Gobierno Nacional Central de Colombia, y aporta a la literatura en varios aspectos. En primer lugar, aplica las metodologías que vienen siendo aplicadas para estudiar la comunicación de la política monetaria y la implementa para el caso fiscal. En segundo lugar, utiliza fuentes de información fiscal poco analizadas como lo son los principales periódicos del país, las cuales contribuyen a formar expectativas de varios agentes importante en el mercado. En tercer y último lugar, analiza el posible vínculo que puede existir entre la postura fiscal y los retornos exigidos sobre la deuda pública por parte de los participantes del mercado de capitales.

La economía colombiana es un tema de estudio importante para analizar la comunicación debido a las reformas institucionales que ha implementado en los últimos 20 años. Desde el 2000, el país adoptó el esquema de metas de inflación y la independencia del Banco Central ha permitido construir credibilidad en la política monetaria. Además, en vista de que el Banco no financia al Gobierno Central, este último ha hecho esfuerzos por construir solidez en sus finanzas públicas y ha creado un mercado secundario de deuda pública dinámico. Para mejorar la evaluación de los mercados financieros, adoptó en 2003 el llamado marco fiscal de mediano plazo y desde el 2011 tiene una regla fiscal. Es decir, el Gobierno colombiano ha realizado esfuerzos importantes para construir credibilidad en su política fiscal y es posible que los mercados estén más atentos a la comunicación sobre la postura fiscal.

Este trabajo tiene la intención de estudiar el impacto de los anuncios de política fiscal publicados en la prensa colombiana, sobre los retornos de los bonos soberanos -títulos de deuda pública -TES- con madurez a 1, 5 y 10 años. El análisis es hecho para la economía colombiana para el período 2010 y 2018, un período enmarcado en el debate de la llamada regla fiscal que fue establecida como ley en 2011 -ley 1473 de 2011-, lo cual aumentó el interés por las noticias fiscales. Los resultados muestran que la comunicación sobre lo fiscal sí puede influir en el mercado financiero de deuda pública colombiana. En concreto, los retornos de los títulos TES se mueven con las noticias sobre el déficit del Gobierno Nacional Central.

El resto del artículo está organizado de la siguiente manera. La segunda sección consta de una revisión de la literatura sobre la comunicación, los efectos en los mercados y su relación con la política fiscal. La tercera sección presenta la metodología para medir el efecto de la comunicación sobre los títulos públicos y en la cuatro son realizadas las estimaciones econométricas y se discuten los resultados obtenidos. Por último, son presentadas las conclusiones.

La comunicación y la política económica: revisión de la literatura

Para la política económica, la comunicación se ha convertido en una herramienta fundamental para mejorar la credibilidad y la transparencia de los objetivos anunciados al público. En el caso de los esquemas monetarios y fiscales, es posible detectar un aumento de la transparencia en los bancos centrales y los Gobiernos. Singularmente, existe una convergencia entre las expectativas de los agentes del mercado y los planes de los formuladores de política en la mayoría de los países que han adoptado esquemas como el régimen de metas de inflación y las llamadas reglas fiscales (De Mendonça & Machado, 2013; Galvis-Ciro, 2017; Wyplosz, 2005).

Los organismos públicos comunican al menos sobre cuatro aspectos relacionados con la política económica, entre ellos: sus objetivos generales y estrategias, los motivos detrás de una decisión política particular, el panorama económico y las posibles decisiones futuras (Blinder et al., 2008). En un ambiente de comunicación más frecuente entre el Gobierno y el público, para la política económica la comunicación es una herramienta que tiene dos funciones: transmitir información sobre los fundamentos de la economía y servir como punto focal para la formación de las creencias y expectativas de los agentes en el mercado. Así que, anclar y gestionar las expectativas de los agentes es una parte importante para toda estrategia de comunicación y la búsqueda de algún objetivo económico.

En general, la literatura tiene una amplia evidencia empírica que muestra que, por el lado monetario, la comunicación de los bancos centrales tiene la capacidad de crear noticias y reducir la incertidumbre en los mercados (Blinder et al., 2008). Del mismo modo, cuentan con varias estrategias de comunicación para guiar las expectativas del público y las perspectivas futuras de la economía. De hecho, por medio de los canales de comunicación el banco puede influir en el precio de los activos, la estabilidad de precios y la amortización de fluctuaciones en la actividad económica (Born, Ehrmann & Fratzscher, 2011; Kohn & Sack, 2003).

Los resultados son variados. La comunicación del banco central afecta las tasas de interés y el precio de los activos, entre ellos los títulos públicos de diferente madurez (Gürkaynak, Sack & Swanson, 2005). Algunas investigaciones han encontrado que la comunicación de la política monetaria disminuye la incertidumbre sobre la inflación y mejora el anclaje de las expectativas de los agentes en las metas de inflación (Montes, Nicolay & Acar, 2019; Weber, 2018). Por su parte, Jansen & Haan (2005) y Rosa & Verga (2007) explican que las noticias y la intervención del banco central puede reducir la volatilidad del tipo de cambio.

En suma, los estudios empíricos sobre comunicación están concentrados en el lado monetario y existe un campo poco explorado en la literatura relacionado con el impacto que puede tener la comunicación de las variables fiscales en la economía (Montes, Nicolay & Acar, 2019). En concreto, a pesar de la importancia que tiene la política fiscal como herramienta de intervención, la literatura sobre la comunicación de las variables fiscales es escasa y reciente en economías emergentes.

La comunicación y la política fiscal

La comunicación sobre la política fiscal es un campo de estudio con bastantes incógnitas. Ciertas investigaciones han determinado que la información asimétrica sobre algunas variables fiscales, como la deuda pública y el déficit fiscal, pueden generar dificultades en el proceso de formación de expectativas del público con respecto a la confianza en el Gobierno (Montes & Da Cunha-Lima, 2018). También existen trabajos que apuntan a que la transparencia fiscal y la claridad de los anuncios sobre política fiscal pueden mejorar el proceso de formación de expectativas con respecto a los pronósticos futuros del balance fiscal, una variable clave para diversas decisiones de inversión porque afecta los impuestos futuros (Montes, Nicolay & Acar, 2019).

Según Ricco, Callegari & Cimadomo (2016), en un sistema económico con información dispersa, en donde el gestor de política tiene información superior sobre los procedimientos, pronósticos y planes de políticas fiscales a adoptar, el Gobierno se convierte en un jugador líder en caso de salir a pronunciarse a los mercados. En otras palabras, los responsables de la política fiscal pueden coordinar las creencias de los agentes privados y reducir el desacuerdo de expectativas entre los pronósticos de los agentes al divulgar información adicional sobre los planes actuales y futuros. En consecuencia, la comunicación de la política fiscal puede unir las expectativas del sector privado sobre medidas políticas futuras lo que puede afectar algunas decisiones de consumo, ahorro y/o inversión que se hayan postergado por la incertidumbre.

La comunicación sobre temas fiscales también es relevante porque está relacionada con el ejercicio democrático en sí mismo. Según Falagiarda & Gregori (2015), la comunicación pública puede definirse, en un sentido amplio, como una discusión sobre la asignación de recursos públicos con un énfasis particular en el propósito y la intencionalidad de los políticos, o como aquellos pronunciamientos sobre temas fiscales y finanzas públicas dirigida por responsables de algún puesto público. Estos actores o funcionarios realizan discusiones que son de interés para todos los agentes de la economía y, por lo tanto, se suministran con regularidad en discursos, entrevistas y comunicados de prensa para el público.

Los estudios empíricos recientes han permitido recopilar algunas evidencias importantes sobre la comunicación fiscal. Por ejemplo, Ricco, Callegari & Cimadomo (2016) demuestran que los periodos más altos de desacuerdo sobre las variables fiscales ocurren cuando existe poca información fiscal y que la comunicación es una herramienta para coordinar las expectativas de los agentes económicos. Por su parte, Ricco (2015) determina que, gracias a las noticias relacionadas con lo fiscal, los agentes pueden pronosticar los componentes del gasto público y reaccionar al gasto fiscal presente y futuro. Así mismo, pueden tomar decisiones sobre los efectos probables de las variables fiscales en los precios, la inversión, el consumo y la producción.

Leeper, Walker & Yang (2009) señalan que cuando los agentes privados reciben señales claras sobre las tasas impositivas, se puede mejorar la previsión fiscal. Adicionalmente, algunos análisis empíricos apuntan a que la comunicación y la claridad de la autoridad fiscal es relevante para disminuir las expectativas sobre la deuda pública (De Mendonça & Machado, 2013). Por su parte, Falagiarda & Gregori (2015) indican que existen impactos de los anuncios de política fiscal sobre la madurez promedio de los bonos de deuda pública. Esto es, la comunicación fiscal puede afectar la sostenibilidad de la deuda pública a largo plazo y, por tanto, incide en el comportamiento propio de las finanzas públicas. Finalmente, Leeper, Richter & Walker (2010) explican que el tiempo de recepción de las noticias sobre cambios fiscales, puede generar cambios en el comportamiento de las decisiones de los hogares y las empresas. Así, cuando hay información sobre la política fiscal, se mejora la toma de decisiones de los agentes y se puede mejorar el funcionamiento de los mercados (Morris & Shin, 2002).

Existen otros estudios que han buscado medir los impactos de los planes de ajustes fiscales por medio de algunas variables relacionadas con la comunicación del Gobierno. Al respecto, Alesina, Favero & Giavazzi (2019) utilizan el llamado enfoque narrativo el cual consiste en documentar los planes de austeridad presentes en la elaboración del presupuesto de un país, los archivos de los debates del congreso y las entrevistas de miembros del Gobierno. Con el fin de extraer una medida de austeridad fiscal, Alesina, Favero & Giavazzi (2019) utilizan un enfoque VAR de impulso-respuesta y extraen el efecto de los planes de austeridad descomponiendo el comportamiento del gasto o los impuestos ante choques exógenos. Sus resultados son importantes ya que muestran que los planes de austeridad basados en recortes de gasto son menos contraproducentes o costosos que los basados en aumentos de los impuestos1.

En suma, analizar la comunicación alrededor de las variables fiscales se convierte en un desafío empírico que vale la pena realizar por sus potenciales efectos en diversas variables económicas. Dado esto, el objetivo del presente artículo es proponer una metodología para cuantificar la comunicación fiscal y evaluar sus efectos sobre los rendimientos de los títulos de deuda pública -TES- para la economía colombiana.

Metodología y datos

La restricción presupuestaria permite entender la toma de decisiones del Gobierno y limita la formulación de la política fiscal. Esta restricción fija los costos de oportunidad del déficit fiscal permanente en el comportamiento y la sostenibilidad de la deuda pública, lo que lleva a pensar en la gestión de las variables fiscales. Según Blanchard, Amighini & Giavazzi (2012), cuando el sector público tiene un elevado déficit presupuestario y acumula deuda rápidamente, existen impactos importantes sobre el sector privado de la economía ya que se frena la acumulación de capital, se pone en riesgo la estabilidad del sistema económico y esto lleva a que sea necesario un ajuste en la conducción de la política económica con los consecuentes efectos en el bienestar que ello implica.

La figura 1 presenta el déficit fiscal primario de Colombia, que se conoce como la necesidad de financiamiento del Gobierno. Como se puede observar, el déficit fiscal primario ha sido una situación común para el período 2000-2018. El déficit alcanzó un máximo de 7.42% con respecto al PIB en 2000, con una media de 3.57% para el período analizado.

Necesidad de financiamiento como porcentaje del Producto Interno Bruto

Figura 1: Necesidad de financiamiento como porcentaje del Producto Interno Bruto

Fuente: elaboración propia con datos obtenidos del Banco de la República de Colombia (2019).

En Colombia, el Ministerio de Hacienda y Crédito Público se encarga de administrar la política fiscal y crediticia de la nación para alcanzar los objetivos plasmados en los planes de desarrollo. Por lo regular, existe cierta comunicación fiscal que ofrece el Ministerio de Hacienda al público colombiano, como lo son: las notas fiscales, Reportes de Hacienda, estadísticas fiscales y algunos documentos anuales como el marco fiscal de mediano plazo, el plan financiero y los cierres fiscales. No obstante, estas fuentes de comunicación presentan dos problemas. En primer lugar, la mayoría de estas comunicaciones tienen baja periodicidad -son anuales o no son continuas- y son emitidas con un retraso considerable -el marco fiscal, por ejemplo-. En segundo lugar, no son comunicaciones sistemáticas ni cuentan con una emisión periódica obligatoria en su expedición -notas fiscales o Reportes de Hacienda-.

A pesar de ello, es válido reconocer que, en cuanto a la comunicación periódica relacionada con la prensa, el Ministerio ha creado un portafolio de información, tales como: informes de títulos de deuda pública -TES-, discursos, audios, fotografías, presentaciones, noticias y boletines. El problema es que la información que estas fuentes suministran solo abarca los últimos tres años y para el canal con mayor tiempo informado, los boletines, solo se encuentran desde el 2013.

Dada la necesidad de contar con series de tiempo largas y sistemáticas para un ejercicio econométrico, es necesario buscar fuentes alternas de comunicación relacionadas con las variables fiscales. Para este objetivo, y con base en la metodología del índice de incertidumbre política propuesto por Perico-Ortiz (2018), el presente trabajo optó por emplear como estrategia metodológica la revisión de noticias fiscales publicadas en los principales diarios, periódicos y revistas colombianas. Las fuentes elegidas fueron las siguientes:

Existe un requerimiento y es que todas las fuentes tengan la misma extensión en cuanto a la información disponible para evitar grandes sesgos y darle el mismo peso a cada una (Perico-Ortiz, 2018). En tales circunstancias, la máxima extensión está dada por el período 06:2009 hasta 12:2018. Puesto que para la economía colombiana existe un mayor interés en las noticias fiscales desde el surgimiento del debate de la llamada regla fiscal que fue establecida como ley en 2011 -ley 1473 de 2011-, en este artículo se fijó como período de análisis el tiempo comprendido entre enero de 2010 hasta diciembre de 2018, lo cual rinde un total de 108 observaciones mensuales.

Con el fin de construir un indicador de comunicación a partir de las fuentes de la tabla 1, fue necesario definir una estrategia de búsqueda, elección de noticias y su respectiva codificación. La estrategia fue buscar unas palabras clave iguales en cada una de las fuentes por medio de la herramienta de buscador web que cada una suministra al público en su versión en línea. Debido al objetivo aquí propuesto, las palabras candidatas a buscar fueron aquellas relacionadas con lo fiscal, entre ellas: déficit fiscal, marco fiscal, regla fiscal, política fiscal, Colombia. En la tabla 2 se relacionan las palabras que rindieron mayores resultados en las respectivas fuentes. Una vez filtradas las noticias, se seleccionó una noticia para cada mes en cada fuente con el objetivo de construir un indicador mensual.

Tabla 1: Fuente y disponibilidad

Fuente Dirección web Disponible desde Noticias sobre política fiscal
El Tiempo https://www.eltiempo.com 11:1990 5744
El Espectador https://www.elespectador.com 11:2007 4967
Portafolio http://portafolio.co 10:2005 2411
El Colombiano https://www.elcolombiano.com 06:2009 1659

Fuente: construido con base en la información de cada fuente.

Tabla 2: Palabras buscadas

Fuente Palabras buscadas Noticias totales Noticias seleccionadas
El Tiempo Déficit fiscal 423 108
Regla fiscal 1279
Marco fiscal 3711
El Espectador Déficit fiscal 1060 108
Regla fiscal 909
Marco fiscal 1637
Portafolio Déficit fiscal 1563 108
Regla fiscal 910
Marco fiscal 995
El Colombiano Déficit fiscal 579 108
Regla fiscal 294
Marco fiscal 677

Fuente: construido con base en la información de cada fuente.

El criterio de selección de la noticia se centra en noticias oficiales, sin tener en cuenta los artículos de opinión de columnistas de cada periódico y revista. Principalmente, se elige la noticia cuyo número de palabras clave sea mayor y presente una postura clara sobre el déficit fiscal futuro.

Las expectativas que se pueden formar alrededor de la comunicación de la política económica son importantes por sus efectos en las decisiones de consumo e inversión (Jansen & Haan, 2005; Rosa & Verga, 2007). Para analizar estas expectativas, la estrategia utilizada fue construir un índice a partir de la información contenida en cada noticia sobre la política fiscal. Esta metodología es utilizada en los análisis de política monetaria (Rosa & Verga, 2007) y es conocido como el método de análisis de contenido. El índice se realiza sobre cada noticia a partir de la posible postura fiscal que pueda adoptar a futuro el Gobierno por medio de lo que se intuye en cada comunicación. Una vez se codifica cada noticia, el objetivo posterior es utilizar el índice para los análisis empíricos.

La postura fiscal se determinó por medio de un índice que toma valores entre -1, 0 y +1 con base en la clasificación de las palabras utilizadas en cada noticia fiscal analizada. El índice de postura fiscal (CPF) propuesto es el siguiente:

El índice de postura fiscal revelado en la comunicación toma el valor de +1 cuando la noticia presenta información sobre un posible incremento en el déficit fiscal para el próximo período -mes o año en curso-. Por otra parte, el índice de postura toma el valor de -1 cuando la noticia muestra señales de una posible reducción en el déficit fiscal durante el próximo período. Finalmente, el índice toma el valor de 0 cuando la noticia da a entender que el déficit fiscal va a permanecer estable a futuro. Esta metodología ha sido utilizada de forma amplia para el análisis de la comunicación de la política monetaria y existen estudios que muestran que el índice es una variable importante para medir la comunicación de los bancos centrales2.

Con base en las noticias extraídas en las fuentes de la tabla 1 durante el período 2010-2018, se reporta a continuación en la tabla 3 el glosario de palabras clave utilizadas para construir el índice de postura de la ecuación [1].

Tabla 3: Palabras utilizadas para construir el índice de postura fiscal

Fuente: elaboración propia a partir de datos obtenidos de revistas, diarios y periódicos de Colombia.

Fue construido un índice de postura fiscal -reportado en la figura 2- para cada una de las cuatro fuentes de la tabla 1. Luego de esto, fue calculado un índice representativo de la comunicación fiscal a partir del valor promedio estadístico -la media- con los cuatro índices3.

Índice de postura fiscal

Figura 2: Índice de postura fiscal

Fuente: elaboración propia con datos obtenidos de El Tiempo, El Espectador, Portafolio y El Colombiano.

En especial, la figura 2 presenta tres posibles escenarios, entre el 2010 y 2013, se observa una rápida disminución de la postura fiscal, seguida de 3 años calificados con disminución del déficit futuro. Resalta, que en este periodo la economía presenta una estabilidad en la deuda pública, alta tasa de crecimiento económico, reducción del desempleo, precios positivos del petróleo que se traducen en altos ingresos para el Gobierno, y un escenario financiero mundial variable pero sostenible para el país, justificados por la estabilidad en la tasa de cambio y la reducción en la tasa de inflación.

El segundo escenario, entre 2013 y 2016, presenta una conducta expansiva sobre la postura fiscal; es decir, una opinión futura que indica un crecimiento del déficit fiscal. Este comportamiento se explica, principalmente, por la caída en la renta del país como consecuencia de la caída en los precios del petróleo, la devaluación de la moneda, el aumento paulatino de la deuda, la caída del Producto Interno Bruto y el crecimiento en la tasa de inflación. Finalmente, entre el 2016 y 2018, la postura fiscal vuelve a disminuir, a causa de la opinión contractiva con respecto al déficit del Gobierno. Este último puede ser explicado por el cambio en la política gubernamental, la coyuntura de las elecciones presidenciales y un mercado expectante sobre el futuro económico del país.

La postura y dirección fiscal del Gobierno Central que se pronostica a partir de las noticias fue calificada como expansiva -aumenta el déficit fiscal- 77 veces, neutral -permanece estable el déficit fiscal- 185 veces y contractiva -disminuye el déficit fiscal- 154 veces para el período 2010-2018, como lo presenta la tabla 4.

Tabla 4: Dirección del déficit fiscal

Fuente Aumenta Permanece Disminuye
estable
El Tiempo 23 (21.90%) 48 (45.71%) 34 (32.38%)
El Espectador 23 (22.55%) 41 (40.20%) 38 (37.25%)
Portafolio 14 (13.59%) 44 (42.72%) 45 (43.69%)
El Colombiano 17 (34.91%) 52 (49.06%) 37 (16.04%)
Total 77 (37.02%) 185 (44.47%) 154 (37.02%)

Fuente: elaboración propia.

Efectos de la comunicación sobre los rendimientos de los títulos de deuda pública -TES-

La administración de la deuda pública se ha utilizado como un instrumento de política económica que apunta a incentivar el mercado financiero colombiano, mejorar el financiamiento del déficit público o incluso para proporcionar cobertura a quienes piden préstamos en moneda extranjera (Gomes da Silva, Pires & Terra, 2014).

Los agentes responden a los cambios en la composición de la deuda, lo que significa que su gestión puede tener efectos reales en la economía. En la figura 3, son presentados los rendimientos de los títulos de tesorería pública del Gobierno colombiano con diferentes plazos para el periodo de 2010 a 2018. En general, los títulos con mayor madurez ofrecen retornos más altos con ciertos periodos de convergencia -2013 y 2016-. En particular, la figura 3 presenta tres posibles escenarios, entre el 2010 y 2013 se muestra claramente una reducción en la rentabilidad de los valores a 5 y 10 años, con un comportamiento más inestable de los títulos a 1 año. Esta conducta se puede explicar a causa del contexto post crisis de mayor riesgo global y la política de flexibilidad cuantitativa por parte de la Reserva Federal de los Estados Unidos. El segundo escenario, entre 2013 y 2016 con senda creciente de los retornos, en medio de una menor percepción del riesgo y una mayor demanda de activos de economías emergentes. Resalta, la convergencia de los títulos de corto plazo con los de mayor maduración. Finalmente, entre 2016 y 2018 decrecen los intereses, en medio de un entorno global de incertidumbre económica causado por una mayor volatilidad en las políticas económicas de Estados Unidos, los cambios en el precio mundial del Petróleo y la devaluación de la tasa de cambio de la moneda colombiana.

Tasa de interés de los títulos de deuda pública con plazos a 1, 5 y 10 años

Figura 3: Tasa de interés de los títulos de deuda pública con plazos a 1, 5 y 10 años

Fuente: elaboración propia con datos obtenidos del Banco de la República de Colombia (2019).

Según apunta Arellano (2008), las economías emergentes enfrentan tasas de interés más volátiles en el mercado internacional. Además, los préstamos internacionales están relacionados con el desempeño doméstico de cada país. En otros términos, cuando los países caen en recesión, los mercados financieros internacionales son más severos y aumentan el costo de los préstamos; asimismo, la incertidumbre política es juzgada por los mercados internacionales como un aumento en la probabilidad de default y, por esta razón, se incrementa la tasa de retorno exigida sobre los bonos públicos.

Como apuntan Leeper, Richter & Walker (2010); De Mendonça & Machado (2013) y Falagiarda & Gregori (2015), es posible que la comunicación sobre el desempeño fiscal pueda afectar las expectativas de los inversionistas sobre los desequilibrios fiscales del Gobierno. Por tanto, esta investigación busca analizar el efecto de la comunicación fiscal sobre los rendimientos de los títulos de deuda pública del Gobierno colombiano -TES-4. De esta forma, el modelo básico considerado en este trabajo es el siguiente:

Donde ATES t es la variación en la tasa de interés de los títulos de deuda pública con madurez a 1, 5 y 10 años. El término C t PF corresponde al indicador de postura fiscal elaborado con los canales de comunicación de las noticas de política fiscal presentado en la ecuación [1] y X ít es un vector de tres variables de control que permiten identificar otras fuentes de perturbación que afecten los retornos de los títulos de deuda en el periodo bajo análisis. Por último, ut~(0,σ2) es el término error.

El vector X it incluye tres variables. En primer lugar, se considera la variación de la deuda pública total como % del PIB (ΔDEUDATOT), una variable que mide la posición fiscal del país y, por lo tanto, en la probabilidad de incumplimiento o moratoria del pago de la deuda (Bernoth & Wolff, 2006). Según Ismihan & Ozkan (2012), la deuda pública afecta la percepción de los inversionistas sobre la sostenibilidad fiscal y, por esta razón, puede tener efectos en los retornos exigidos sobre los títulos públicos.

Para Peat, Svec & Wang (2015), los retornos de la deuda pública de economías emergentes se ven afectados también por la aversión al riesgo en el mercado internacional. Para controlar los efectos globales y la incertidumbre financiera sobre los retornos de la deuda, es utilizada como una segunda variable control el índice de volatilidad del mercado de valores S&P 500 (VIX), un importante indicador sobre el riesgo en los mercados de capital a nivel global.

De acuerdo con Arroyo-Peláez & Cossío-Muñoz (2015) y Melo-Becerra et al. (2016), el precio del petróleo afecta significativamente las finanzas del estado colombiano y su déficit fiscal. El precio de esta materia prima representa una importante fuente de ingresos y los choques de esta variable generan desajustes sobre la balanza de pagos e impactan los niveles de consumo e inversión privada en Colombia. De modo que, como última variable control será considerada la variación en el precio del petróleo ΔOIL t .

En suma, junto con el índice de postura fiscal elaborado con los canales de comunicación, son consideradas tres variables control (ADEUDATOT,VIX, ΔOIL). La fuente y las estadísticas descriptivas de estas variables se encuentran en el anexo.

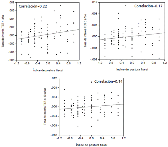
Como una primera aproximación empírica entre el índice de postura fiscal, que mide la comunicación y los retornos de la deuda pública del Gobierno colombiano a 1, 5 y 10 años, son realizados gráficos de dispersión entre dichas variables. Según se observa en la figura 4, se encuentra que, mayores valores del índice de postura fiscal y, por ende, mayor déficit fiscal esperado, están asociados con mayores retornos en la deuda pública. En otras palabras, el aumento del déficit fiscal esperado es juzgado por los mercados financieros como un mayor síntoma de desequilibrio fiscal y, en consecuencia, mayor es el interés sobre la deuda pública que el Gobierno debe pagar a los inversionistas. Conjuntamente es observado que la correlación entre el índice de déficit fiscal y los retornos de la deuda pública, disminuye conforme aumenta la madurez de los títulos.

Índice de postura fiscal y los títulos de deuda pública con plazos a 1, 5 y 10 años

Figura 4: Índice de postura fiscal y los títulos de deuda pública con plazos a 1, 5 y 10 años

Fuente: elaboración propia.

En los países desarrollados, las instituciones son más fuertes y el Gobierno cuenta con mayor credibilidad en los mercados. Por efecto de una mayor estabilidad, los mercados en los países desarrollados tienen mayor capacidad de pronosticar la postura fiscal y monetaria. Es por eso que en dichas economías los mercados reaccionan más ante los anuncios inesperados del Gobierno y del banco central (Blinder et al., 2008).

Para las economías emergentes, como la colombiana, el Gobierno y el Banco Central apenas están construyendo una dinámica institucional para facilitar el acceso a la información -transparencia- y guiar a los mercados sobre la forma en que se ejecuta la política económica. Es decir, la comunicación es una herramienta nueva que los formuladores de política están aprendiendo a utilizar. Puesto que no se conocen bien los impactos de la comunicación en las economías emergentes, los Gobiernos aún no colocan el debido cuidado a lo que comunican y los mercados le dan peso a las declaraciones formales e informales. En este contexto, se espera que los impactos sobre el efecto de la comunicación en los rendimientos de los títulos públicos sean menores en las economías emergentes.

Estimaciones y resultados

Un primer procedimiento a ser realizado cuando se hace uso de series de tiempo es verificar la existencia de raíces unitarias. Por ello, antes de realizar las estimaciones de los modelos fueron realizados el test de raíz unitario Dickey-Fuller aumentado -ADF-, el test Phillips-Perron -PP- y el test de estacionariedad Kwiatkowski-Phillips-Schmidt-Shin -KPSS- prestados en la tabla A.2 -anexo-. Los tests -ADF, PP- fueron analizados con un nivel de significancia de 5%. En el caso del test KPSS, para que la serie sea definida estacionaria se verificó significancia al 5%. La ventaja de contrastar los resultados de los tests ADF y PP con el resultado del test KPSS reside en el bajo poder de los dos primeros tests que tienden a no rechazar la hipótesis nula. El criterio de decisión para determinar la orden de integración fue la convergencia entre el resultado del test KPSS y, por lo menos, uno de los otros dos tests -ADF o PP-5. Con base en los resultados de los tests, las variables a utilizar en la ecuación [2] son todas integradas de orden cero y no necesitan ser utilizadas en primeras diferencias.

Las estimaciones de la ecuación [2] para los títulos a 1, 5 y 10 años son presentadas en la tabla 4, 5 y 6 para el periodo 2010-2018. Fueron utilizados dos métodos, el de mínimos cuadrados ordinarios con matriz de corrección Newey-West -OLS- y el método de momentos generalizados -GMM-. Para Greene (1993), la principal razón para utilizar el método GMM se origina en que el estimador OLS puede perder confianza en presencia de auto correlación serial, heterocedasticidad o problemas de no linealidad y endogeneidad que invalidan sus propiedades6. En presencia de dichos problemas, el estimador GMM es más adecuado dado que no supone normalidad y trabaja bien en presencia de problemas de endogeneidad. Para evaluar las condiciones de sobre identificación necesarias para implementar el método GMM, fue verificado el test J de sobre identificación de Hansen (1983). Los instrumentos fueron seleccionados con base en las sugerencias de Hall (2015). Se consideraron como instrumentos las variables rezagadas de las variables independientes del modelo (2). Además, para disminuir o eliminar la posibilidad de sesgar los resultados, el número de instrumentos utilizados sobre el total de datos fue inferior a 30%.

Tabla 5: Efecto de la comunicación fiscal sobre los rendimientos de los títulos públicos a 1 año -OLS y GMM-

Nota: nivel de significancia: (***) denota significancia a 0.01, (**) denota significancia a 0.05, (*) denota significancia a 0.1. Desviación estándar entre paréntesis y estadística-t entre corchetes. F-statistic denota el valor de la estadística F de la regresión. Prob(F-Stat) denota el p-valor de significancia de la regresión. Los tests de auto correlación y heterocedasticidad son presentados en la tabla A.3 -anexo-.

Fuente: elaboración propia.

Tabla 6: Efecto de la comunicación fiscal sobre los rendimientos de los títulos públicos a 5 años -OLS y GMM-

Nota: nivel de significancia: (***) denota significancia a 0.01, (**) denota significancia a 0.05, (*) denota significancia a 0.1. Desviación estándar entre paréntesis y estadística-t entre corchetes. F-statistic denota el valor de la estadística F de la regresión. Prob(F-Stat) denota el p-valor de significancia de la regresión. Los tests de auto correlación y heterocedasticidad son presentados en la tabla A.4 -anexo-.

Fuente: elaboración propia.

Inicialmente se presenta la relación estimada entre la variación de las tasas de interés de los títulos de deuda pública y la postura sobre la comunicación fiscal. Luego, se agrega cada variable control y se concluye con un modelo agregado.

Tabla 7: Efecto de la comunicación fiscal sobre los rendimientos de los títulos públicos a 10 años -OLS y GMM-

Nota: nivel de significancia: (***) denota significancia a 0.01, (**) denota significancia a 0.05, (*) denota significancia a 0.1. Desviación estándar entre paréntesis y estadística-t entre corchetes. F-statistic denota el valor de la estadística F de la regresión. Prob(F-Stat) denota el p-valor de significancia de la regresión. Los tests de auto correlación y heterocedasticidad son presentados en la tabla A.5 -anexo-.

Fuente: elaboración propia.

Un primer análisis de los resultados muestra que los coeficientes estimados están conforme señala la teoría, y, además, el coeficiente del índice de postura fiscal es significativo en todos los posibles marcos evaluados. En general, se puede inferir que, cuanto mayor es el déficit fiscal esperado en la comunicación fiscal, mayor es el retorno exigido por los inversionistas de títulos públicos, aumentando la carga del servicio de la deuda para el Gobierno. Un resultado similar puede ser hallado en Bernoth & Wolff (2006); Falagiarda & Gregori (2015) y Peat, Svec & Wang (2015). Para el caso colombiano, Lozano-Espitia et al. (2019) apunta conclusiones similares que reportan el vínculo encontrado entre la sostenibilidad fiscal y el servicio de la deuda pública.

Específicamente, las estimaciones con OLS y GMM son similares. Con ambas, es posible señalar que un aumento del déficit fiscal esperado, manteniendo lo demás constante, aumenta entre 10 y 14 puntos porcentuales la variación en los rendimientos de los títulos de deuda pública, siendo más significativos aquellos con maduración a 1 y 10 años. En detalle, para el periodo de análisis se puede evidenciar que, en los modelos con maduración a 1 año, el parámetro asociado a la postura fiscal (C t PF ) aumenta entre 10 y 13 puntos porcentuales la variación en los retornos de deuda pública. Para el marco de los títulos a 5 años, el efecto oscila entre 10 y 11 puntos y las regresiones hechas permiten explicar bastante bien la varianza de los retornos de los TES a 5 años -un mayor coeficiente R2-. Por último, retornos de largo plazo a 10 años, presentan un impacto entre 11 y 13 puntos, aunque la regresión ya solo es significativa al 10% y las variables explicativas consiguen explicar muy poco la varianza de los retornos de los TES a 10 años -un bajo coeficiente R2-. En este escenario, es posible afirmar que la postura fiscal tiene mayores efectos significativos sobre los rendimientos a corto y mediano plazo. Así, el efecto es decreciente conforme aumenta el grado de madurez de los títulos de deuda pública, un resultado que ya había sido encontrado en el caso de la comunicación sobre la política monetaria (Anzoátegui-Zapata & Galvis-Ciro, 2019; Moessner, 2015).

Para los parámetros de las variables control, los resultados de las estimaciones muestran coeficientes significativos solo para los títulos a 1 año, y en los títulos a 5 y 10 años únicamente el parámetro de la deuda total es significativo. El parámetro asociado al índice de volatilidad del mercado de valores S&P 500 (VIX) es significativo exclusivamente para los títulos de deuda pública a 1 año en ambos modelos -OLS y GMM-. De esta manera, manteniendo lo demás constante, un incremento en el índice de volatilidad global, aumenta los retornos de los títulos de deuda pública a 1 año. A pesar de que el impacto es mínimo, la variable es muy significativa y es acorde a los planteamientos de Byrne & Fiess (2016) y Peat, Svec & Wang (2015). Este coeficiente positivo indica que un aumento en el riesgo global de los mercados de capitales, incrementa los retornos de los títulos públicos. Los títulos con madurez a 5 y 10 años no parecen responder de manera significativa al riesgo internacional.

Con respecto a la variación en el precio del petróleo (AO/L), los resultados plantean un leve impacto sobre sobre los retornos de los títulos de deuda pública a 1 año. De ser así, manteniendo lo demás constante, un aumento en el precio del petróleo aumenta los ingresos percibidos del Gobierno por concepto de su participación en ECOPETROL, y reduce los retornos exigidos por los inversionistas de corto plazo. Este resultado es acorde con Martínez-Cruz, Moreno-Gutiérrez & Rojas-Moreno (2015) y Toro et al. (2015) quienes afirman que el precio del petróleo impacta sobre los mercados de bonos de deuda pública, y a su vez, en la estabilidad financiera, económica y fiscal del país. Sin embargo, los títulos de mayor madurez no tienen una respuesta significativa ante los cambios en el precio del petróleo.

Finalmente, las estimaciones del parámetro asociado a la variable de la deuda pública como porcentaje del PIB (ADEUDATOT), muestran que los coeficientes son significativos al 10% para los títulos a 1 año y a un 5% para los títulos a 5 y 10 años. En los tres escenarios, el parámetro es positivo con respecto a los retornos de deuda pública; esto es, manteniendo lo demás constante, una mayor deuda pública, aumenta la probabilidad de incumplimiento fiscal por parte del Gobierno e incrementa los retornos exigidos sobre los títulos públicos. Este escenario es consecuente con los planteamientos de Ismihan & Ozkan (2012) y Bernoth & Wolff (2006) para economías emergentes.

Robustez

Con el objetivo de proporcionar solidez a los resultados y observar el comportamiento de las relaciones de una manera dinámica, se desarrolla a continuación un análisis de vectores autorregresivos -VAR-. El análisis dinámico del modelo VAR se realiza a través de las funciones impulso-respuesta, que permiten evaluar el cambio de la variable de análisis causada por choques o innovaciones provocados por variables residuales a lo largo del tiempo (Sims, 1980). De acuerdo con Koop, Pesaran & Potter (1996) y Pesaran & Shin (1998), es utilizada una función impulso-respuesta generalizada que elimina el problema del orden de las variables en el VAR. La función impulso-respuesta generalizada permite resolver posibles problemas de correlación contemporánea entre las variables y es una especificación apropiada para realizar un análisis sin considerar variables dependientes e independientes.

La estimación y el análisis impulso respuesta se realiza para el siguiente conjunto de variables .(ΔTES, C PF t )El orden del rezago en el VAR fue elegido con base en el criterio de información de Hannan-Quinn -HQ-, que es consistente y adecuado para muestras pequeñas, ver tabla A.6, A.7 y A.8 en el anexo.

Respuesta acumulada de los TES con plazos a 1, 5 y 10 años, a la postura fiscal

Figura 5: Respuesta acumulada de los TES con plazos a 1, 5 y 10 años, a la postura fiscal

Nota: respuesta acumulada a una innovación generalizada de una desviación estándar ± 2 S.E. Fuente: elaboración propia.

De acuerdo con la figura 5, la respuesta de la variación de los TES a una innovación del índice de postura fiscal -INDEX PF- es positiva y significativa, es decir, un choque positivo en el déficit fiscal esperado provoca un aumento en la variación de los rendimientos de títulos públicos, aunque la respuesta es positiva y significativa solo para los títulos a 1 y 5 años; para los títulos a 10 años, la respuesta no parece ser muy significativa, aún en el primer mes. Este resultado corrobora entonces los hallazgos presentados en las tablas 5, 6 y 7, donde se encuentra que, una comunicación que indique mayor déficit fiscal aumenta los intereses de la deuda pública de corto y mediano plazo.

Conclusiones

El estudio realizado en este trabajo destaca la importancia de la comunicación fiscal por su influencia en los rendimientos de los títulos de deuda pública del Gobierno Nacional Central de Colombia. Específicamente, los pronunciamientos sobre política fiscal y finanzas públicas, representados en los comunicados de prensa de los principales periódicos de noticias del país, tienen efectos en los mercados financieros de deuda pública.

Los resultados empíricos confirman las hipótesis derivadas del modelo. Cuando empeora la posición fiscal de un país emisor de títulos de deuda pública, aumenta la probabilidad de incumplimiento, y de esta manera, debe reflejarse un aumento sobre la prima de riesgo y los rendimientos de los bonos, por medio de un aumento en el diferencial de tasas de interés.

El análisis econométrico comparativo entre los tres periodos de maduración de los títulos de deuda pública durante el período 2010-2018, muestran que la postura fiscal ejerce mayor impacto sobre los retornos de los TES de corto plazo y el efecto es decreciente en correspondencia con el aumento en el grado de madurez. Los modelos propuestos -OLS y GMM- utilizaron otras variables explicativas para analizar el rendimiento de los títulos. Se encontró que el riesgo global de los mercados de capitales, la variación en el precio del petróleo y deuda pública como porcentaje del PIB afectan los retornos de los bonos soberanos a 1 año. En este contexto, es importante para el país aumentar sus esfuerzos para monitorear también el contexto externo, y hacer hincapié públicamente en la importancia de políticas fiscales sólidas, por medio de una comunicación eficiente y oportuna.

En economías emergentes, el financiamiento de la deuda pública es relevante, en particular para economías que han adoptado la regla fiscal. Por tanto, la comunicación debe disminuir los riesgos de los mercados financieros mediante la reducción de la incertidumbre de la política fiscal. En definitiva, la comunicación es en una herramienta que puede influir sobre las presiones fiscales del Gobierno y la estabilidad financiera y económica del país.

Referencias

  1. [1] Alesina, A., Favero, C. & Giavazzi, F. (2019). Effects of Austerity: Expenditure- and Tax-Based Approaches. Journal of Economic Perspectives, 33(2), 141-162. https://doi.org/10.1257/jep.33.2.141 [URL] 🠔
  2. [2] Anzoátegui-Zapata, J. C. & Galvis-Ciro, J. C. (2019). Efectos de la comunicación del banco central sobre los títulos públicos: evidencia empírica para Colombia. Cuadernos de Economía, 39(77), 1-23. https://doi.org/10.15446/cuad.econ.v38n77.64706 [URL] 🠔
  3. [3] Arellano, C. (2008). Default Risk and Income Fluctuations in Emerging Economies. American Economic Review, 98(3), 690-712. https://doi.org/10.1257/aer.983.690 [URL] 🠔
  4. [4] Arroyo-Peláez, A. & Cossío-Muñoz, F. (2015). Impacto fiscal de la volatilidad del precio del petróleo en América Latina y el Caribe. Recuperado de Comisión Económica para América Latina y el Caribe (CEPAL) sitio web. https://repositorio.cepal.org/bitstream/handle/11362/39706/1/S1501020_es.pdf [URL] 🠔
  5. [5] Banco de la República. (2019). Estadísticas. Recuperado de: https://www.banrep.gov.co/es/-estadisticas [URL] 🠔
  6. [6] Bernoth, K. & Wolff, G. B. (2006). Fool the Markets? Creative Accounting, Fiscal Transparency and Sovereign Risk Premia (Working Paper No. 1732). Recuperado de CESifo sitio web. https://www.cesifo.org/DocDL/cesifo1_wp1732.pdf [URL] 🠔
  7. [7] Blanchard, O., Amighini, A. & Giavazzi, F. (2012). Macroeconomía (5 ed.). Pearson Educación: Madrid. 🠔
  8. [8] Blinder, A. S., Ehrmann, M., Fratzscher, M., Haan, J. & Jansen, D. J. (2008). Central Bank Monetary of Theory Communication Survey Policy: and Evidence. Journal of Economic Literature, 46(4), 910-945. https://doi.org/10.1257/jel.46.4.910 [URL] 🠔
  9. [9] Born, B., Ehrmann, M. & Fratzscher, M. (2011). Central Bank Communication on Financial Stability. The Economic Journal, 124(577), 701-734. https://doi.org/10.1111/ecoj.12039 [URL] 🠔
  10. [10] Byrne, J. P. & Fiess, N. (2016). International Capital Flows to Emerging Markets: National and Global Determinants. Journal of International Money and Finance, 61, 82-100. https://doi.org/10.1016/j.jimonfin.2015.11.005 [URL] 🠔
  11. [11] De Mendonça, H. F. & Machado, M. R. (2013). Public Debt Management and Credibility: Evidence from an Emerging Economy. Economic Modelling, 30(1), 10-21. https://doi.org/10.1016/j.econmod.2012.09.009 [URL] 🠔
  12. [12] Kohn, D. & Sack, B. P. (2003). Central Bank Talk: Does It Matter and Why? Finance and Economics Discussion Series, 55(1), 1-37. 🠔
  13. [13] Falagiarda, M. & Gregori, W. D. (2015). The Impact of Fiscal Policy Announcements by the Italian Government on the Sovereign Spread: A Comparative Analysis (Working Paper Series No. 1782). Recuperado de European Central Bank sitio web. https://www.ecb.europa.eu/pub/pdf/scpwps/ecbwp1782.en.pdf [URL] 🠔
  14. [14] Galvis-Ciro, J. C. (2017). El régimen de metas de inflación: comunicación y credibilidad. Medellín: Editorial Universidad Pontificia Bolivariana. 🠔
  15. [15] Galvis-Ciro, J. C., Oliveira-De Moraes, C. & Anzoátegui-Zapata, J. C. (2017). Efectos de los anuncios de política monetaria sobre la volatilidad de la tasa de cambio: un análisis para Colombia, 2008-2015. Lecturas de Economía, 87, 67-95. https://doi.org/10.17533/udea.le.n87a03 [URL] 🠔
  16. [16] Gomes da Silva, C., Pires, M. C. C. & Terra, F. H. B. (2014). The Effects of Public Debt Management on Macroeconomic Equilibrium: An Analysis of the Brazilian Economy. Economia, 15(2), 174-188. https://doi.org/10.1016/j.econ.2014.06.002 [URL] 🠔
  17. [17] Greene, W. H. (1993). Econometric Analysis (5.ed.). Nueva Jersey: Prentice Hall. 🠔
  18. [18] Gürkaynak, R., Sack, B. & Swanson, E. (2005). Do Actions Speak Louder than Words? The Response of Asset Prices to Monetary Policy Actions and Statements. International Journal of Central Banking, 1 (1), 55-93. Recuperado de https://www.ijcb.org/journal/ijcb05q2a2.pdf [URL] 🠔
  19. [19] Hall A. R. (2015). Econometricians Have Their Moments: GMM at 32. Economic Record, 91(S1), 1-24. https://doi.org/10.1111/1475-4932.12188 [URL] 🠔
  20. [20] Hansen, L. P. (1983). Large Sample Properties of Generalized Method of Moments Estimators. Econometrica, 50(4), 1029-1054. https://doi.org/10.2307/1912775 [URL] 🠔
  21. [21] Ismihan, M. & Ozkan, F. G. (2012). Public Debt and Financial Development: A Theoretical Exploration. Economics Letters, 115(3), 348-351. https://doi.org/10.1016/j.econlet.2011.12.040 [URL] 🠔
  22. [22] Jansen, D. J. & Haan, J. (2005). Talking Heads: The Effects of ECB Statements on the EuroDollar Exchange Rate. Journal of International Money and Finance, 24(2), 343-361. https://doi.org/10.1016/j.jimonfin.2004.12.009 [URL] 🠔
  23. [23] Koop, G., Pesaran, M. H. & Potter, S. M. (1996). Impulse Response Analysis in Nonlinear Multivariate Models. Journal of Econometrics, 74(1), 119-147. https://doi.org/10.1016/0304-4076(95)01753-4 [URL] 🠔
  24. [24] Leeper, E. M., Richter, A. W. & Walker, T. B. (2010). Quantitative Effects of Fiscal Foresight (NBER Working Papers No.16363). Recuperado de National Bureau of Economic Research sitio web. https://www.nber.org/papers/w16363.pdf [URL] 🠔
  25. [25] Leeper, E. M., Walker, T. B. & Yang, S. S. (2009). Fiscal Foresight and Information Flows. Econometrica, 81 (3), 1115-1145. https://doi.org/10.3982/ECTA8337 [URL] 🠔
  26. [26] Lozano-Espitia, I., Arias-Rodríguez, F., Bejarano, J., González, A., Granger-Castaño, C., Hamann, F. ... & Zárate-Solano, H. (2019). La política fiscal y la estabilización macroeconómica en Colombia. Ensayos Sobre Política Económica, 90, 4-60. Recuperado de http://repositorio.banrep.gov.co/handle/20.500.12134/9680 [URL] 🠔
  27. [27] Martínez-Cruz, D. A., Moreno-Gutiérrez, J. F. & Rojas-Moreno, J. S. (2015). Evolución de la relación entre bonos locales y externos del Gobierno colombiano frente a choques de riesgo (Borradores de Economía No. 919). Recuperado de Banco de la República sitio web. https://www.banrep.gov.co/sites/default/files/publicaciones/archivos/be_919.pdf [URL] 🠔
  28. [28] Melo-Becerra, L. A., Ramos-Forero, J. E., Parrado-Galvis, L. M. & Zárate-Solano, H. M. (2016). Bonanzas y crisis de la actividad petrolera y su efecto sobre la economía colombiana (Borradores de Economía No. 961). Recuperado de Banco de la República sitio web. http://repositorio.banrep.gov.co/bitstream/handle/20.500.12134/6272/be_961.pdf?sequence=47 [URL] 🠔
  29. [29] Moessner, R. (2015). Reactions of US Government Bond Yields to Explicit FOMC Forward Guidance. North American Journal of Economics and Finance, 33, 217-233. https://doi.org/10.1016/j.najef.2015.04.007 [URL] 🠔
  30. [30] Montes, G. C. & Da Cunha-Lima, L. L. (2018). Effects ofFiscal Transparency on Inflation and Inflation Expectations: Empirical Evidence from Developed and Developing Countries. The Quarterly Review of Economics and Finance, 70(1), 26-37. https://doi.org/10.1016/j.qref.2018.06.002 [URL] 🠔
  31. [31] Montes, G. C., Nicolay, R. T. F. & Acar, T. (2019). Do Fiscal Communication and Clarity of Fiscal Announcements Affect Public Debt Uncertainty? Evidence from Brazil. Journal of Economics and Business, 103, 38-60. https://doi.org/10.1016/j.jeconbus.2018.12.002 [URL] 🠔
  32. [32] Morris, S. & Shin, H. S. (2002). Social Value of Public Information. American Economic Review, 92(5), 1521-1534. https://doi.org/10.1257/000282802762024610 [URL] 🠔
  33. [33] Peat, M., Svec, J. & Wang, J. (2015). The Effects of Fiscal Opacity on Sovereign Credit Spreads. Emerging Markets Review, 24(1), 34-45. https://doi.org/10.1016/j.ememar.2015.05.001 [URL] 🠔
  34. [34] Perico-Ortiz, D. (2018). Measuring Economic Policy Uncertainty in Colombia: A News Based Approach (tesis de maestria). Universitat Heidelberg, Heidelberg, Alemania. 🠔
  35. [35] Pesaran, H. & Shin, Y. (1998). Generalized Impulse Response Analysis in Linear Multivariate Models. Economics Letters, 58(1), 17-29. https://doi.org/10.1016/S0165-1765(97)00214-0 [URL] 🠔
  36. [36] Ricco, G. (2015). A New Identification of Fiscal Shocks Based on the Information Flow. (Working Paper Series No.1813). Recuperado de European Central Bank sitio web. https://www.ecb.europa.eu/pub/pdf/scpwps/ecbwp1813.en.pdf [URL] 🠔
  37. [37] Ricco, G., Callegari, G. & Cimadomo, J. (2016). Signals from the Government: Policy Disagreement and the Transmission of Fiscal Shocks. Journal of Monetary Economics, 82(1), 107-118. https://doi.org/10.1016/j.jmoneco.2016.07.004 [URL] 🠔
  38. [38] Rosa, C. & Verga, G. (2007). On the Consistency and Effectiveness of Central Bank Communication: Evidence from the ECB. European Journal of Political Economy, 23(1), 146-175. https://doi.org/10.1016/j.ejpoleco.2006.09.016 [URL] 🠔
  39. [39] Sims, C. A. (1980). Macroeconomics and Reality. Econometrica, 48(1), 1-48. https://doi.org/10.2307/1912017 [URL] 🠔
  40. [40] Sims, C. A. & Uhlig, H. (1991). Understanding Unit Rooters: A Helicopter Tour. Econometrica, 59(6), 1591-1599. https://doi.org/10.2307/2938280 [URL] 🠔
  41. [41] Toro, J., Garavito, A., López, D. C. & Montes, E. (2015). El choque petrolero y sus implicaciones en la economía colombiana (Borradores de Economía No. 906). Recuperado de Banco de la República sitio web. https://www.banrep.gov.co/sites/default/files/publicaciones/archivos/be_906.pdf [URL] 🠔
  42. [42] Weber, C. S. (2018). Central Bank Transparency and Inflation (Volatility) - New Evidence. International Economics and Economic Policy, 15(1), 21-67. https://doi.org/10.1007/s10368-016-0365-z [URL] 🠔
  43. [43] Wyplosz, C. (2005). Fiscal Discipline in EMU: Rules or Institutions? National Institute Economic Review, 191(1), 61-78. 🠔
El artículo es resultado de la tesis de maestría en Ciencias Económicas titulada "Una aproximación empírica a la comunicación fiscal y sus efectos sobre los rendimientos de los títulos de deuda pública para el caso colombiano" realizada por Carlos Mauro Cárdenas y Juan Camilo Galvis como su asesor. Sin financiación.
Esta metodología mide los planes anuales de austeridad y requiere gran cantidad de años para tener una serie de tiempo larga. En el caso del estudio de Alesina, Favero & Giavazzi (2019), es analizado el período 1970-2014.
En el anexo 1 se muestra el índice de postura fiscal para cada una de las fuentes de la tabla 1.
Según el Banco de la República —http://www.banrep.gov.co— las tasas de los TES son extraídas de la curva cupón cero de los títulos de deuda pública, denominados en moneda en pesos y en UVRs.
Las pruebas de raíz unitaria Dickey-Fuller y Phillips-Perron pueden no ser adecuadas y sus valores p pueden estar sesgados, lo que puede crear sesgos en las estimaciones (Sims & Uhlig, 1991). Frente a este problema, es importante también calcular el test no paramétrico KPSS, tal y como se realiza en la tabla A.2anexo—.
Ver tests de auto correlación y heterocedasticidad en el anexo, tablas A.3, A.4 y A.5. Usualmente, los modelos no presentan problemas econométricos.
Cárdenas-Cardona, C. M. & Galvis-Ciro, J. C. (2020). La comunicación fiscal y sus efectos sobre los retornos de los títulos públicos: una aproximación empírica para el caso colombiano. Ensayos de Economía, 30(56), 105-135. https://doi.org/10.15446/ede.v30n56.83706

Anexo 1

Anexo 1

Índice de postura a partir de El Tiempo

Figura A.1: Índice de postura a partir de El Tiempo

Fuente: elaboración propia con datos obtenidos de El Tiempo.

Índice de postura a partir de El Espectador

Figura A.2: Índice de postura a partir de El Espectador

Fuente: elaboración propia con datos obtenidos de El Espectador.

Índice de postura a partir de Portafolio

Figura A.3: Índice de postura a partir de Portafolio

Fuente: elaboración propia con base en datos obtenidos de Portafolio.

Índice de postura a partir de El Colombiano

Figura A.4: Índice de postura a partir de El Colombiano

Fuente: elaboración propia datos obtenidos de El Colombiano.

Anexo 2

Tabla A.1: Estadísticas descriptivas

Variable Media Mediana Máximo Mínimo Desv. Estánd. Asimetría Curtusis
ΔTES1 0.00002 0.00004 0.00723 -0.00567 0.00243 0.13898 3.46298
ΔTES5 -0.00020 -0.00042 0.01079 -0.00758 0.00313 0.48881 3.97193
ΔTESIO -0.00020 -0.00040 0.01035 -0.00855 0.00336 0.45808 3.73650
ΔDEUDATOT 0.00138 0.00255 0.01794 -0.03774 0.00786 -2.47096 1 1.25257
ΔO/I -0.26925 0.55000 14.28000 -16.50000 5.34301 -0.50251 3.53949
VIX 17.02731 15.77000 36.53000 10.13000 5.38414 1.52020 5.50023

Fuente: elaboración propia.

Tabla A.2: Tests de raíz unitaria y estacionariedad

Series ADF PP KPSS
Lags Esp. Test C.V (5%) Band Esp. Test C.V (5%) Banda Esp. Test C.V (5%)
ΔTES1 0 N -9.99 -1.94 5 N -10.15 -1.94 5 C 0.088 0.463
ΔTES5 3 N -6.16 -1.94 6 N -8.50 -1.94 3 C 0.080 0.463
ΔTESIO 4 N -4.50 -1.94 6 N -9.22 -1.94 5 C 0.093 0.463
ΔDEUDATOT 12 C -3.13 -2.89 1 N -9.26 -1.94 2 C 0.141 0.463
ΔOIL 0 N -7.61 -1.94 3 N -7.54 -1.94 0 C 0.142 0.463
VIX 0 C -3.39 -2.88 5 C -3.34 -2.88 6 C,T 0.130 0.146
INDEX 1 N -3.22 -1.94 5 N -3.93 -1.94 8 C 0.200 0.463

Nota: valor crítico (C.V), tendencia (T), constante (C), ni tendencia ni constante (N) son incluidas según el criterio de información de Schwarz. El test KPSS fue utilizado con banda Newey-West.

Fuente: elaboración propia.

Tabla A.3: Tests de auto correlación y heterocedasticidad - títulos a 1 año

Fuente: elaboración propia.

Tabla A.4: Tests de auto correlación y heterocedasticidad - títulos a 5 años

Fuente: elaboración propia.

Tabla A.5: Tests de auto correlación y heterocedasticidad - títulos a 10 años

Tests Estadística F P-valor
Modelo [1]
LM test (1) 0.358566 0.5507
Breusch-Pagan-Godfrey test 1.151316 0.2859
Modelo [2]
LM test (1) 0.400089 0.5285
Breusch-Pagan-Godfrey test 0.490862 0.6136
Modelo [3]
LM test (1) 0.423630 0.5167
Breusch-Pagan-Godfrey test 1.261272 0.2879
Modelo [4]
LM test (1) 0.396139 0.5306
Breusch-Pagan-Godfrey test 0.941399 0.3936
Modelo [5]
LM test (1) 0.571729 0.4516
Breusch-Pagan-Godfrey test 0.889055 0.4740

Fuente: elaboración propia.

Tabla A.6: Selección del orden de rezago del VAR para TES a 1 año

Rezago Con constante
HQ
1 -8.252263
2 -8.268619
3 -8.276061*
4 -8.220223
5 -8.149556

Nota: HQ: Hannan-Quinn information criterion.

*Indica el orden del rezago elegido por el criterio.

Tabla A.7: Selección del orden de rezago del VAR para TES a 5 años

Rezago Con constante
HQ
1 -7.701487
2 -7.6251 26
3 -7.614084
4 -7.741017*
5 -7.689746

Nota: HQ: Hannan-Quinn information criterion.

*Indica el orden del rezago elegido por el criterio.

Tabla A.8: Selección del orden de rezago del VAR para TES a 10 años

Rezago Con constante
HQ
1 -7.589874
2 -7.539323
3 -7.510309
4 -7.634810*
5 -7.539242

Nota: HQ: Hannan-Quinn information criterion.

*Indica el orden del rezago elegido por el criterio.

Tabla A.9: Variables utilizadas y fuentes

Variable Fuente
Títulos de deuda pública (TES) Banco de la República de Colombia http://www.banrep.gov.co/es/tes
Saldo deuda total Gobierno Nacional Central GNC (DEUDATOT) Banco de la República de Colombia http://www.banrep.gov.co/es/estadisticas/ gobierno-nacional-central
Índice de volatilidad del mercado de valores S&P 500 (VIX) Reserva Federal de St. Louis https://fred.stlouisfed.org/series/VIXCLS
Cotización del barril de petróleo referencia WTI (OIL.) Reserva Federal de St. Louis https://fred.stlouisfed.org/series/OVXCLS

Fuente: elaboración propia.