Ensayos de Economía
0121-117X
2619-6573
Universidad Nacional de Colombia
https://doi.org/10.15446/ede.v31n58.88625

Recibido: 26 de junio de 2020; Aceptado: 1 de octubre de 2020; Aceptado: 15 de octubre de 2020

Productividad en Colombia: un desafío pendiente*

Productivity in Colombia: A Pending Challenge

H. Sánchez-Ruiz, ** G. Sánchez-Pérez, ***

Doctor en Ciencias Económicas por la Universidad Nacional de Colombia (Bogotá, Colombia). Consultor e investigador. Correo electrónico: hsanchezr@unal.edu.co Universidad Nacional de Colombia Universidad Nacional de Colombia Bogotá Colombia
Doctor en Ciencias Económicas por la Universidad Nacional de Colombia (Bogotá. Colombia). titular de la Universidad Militar Nueva Granada. Correo electrónico: german.sanchez@unimilitar.edu.co Universidad Militar Nueva Granada Universidad Militar Nueva Granada Colombia

Resumen

En este artículo se examina el comportamiento de la productividad laboral en Colombia, en el periodo 1975-2016, desde dos perspectivas o enfoques metodológicos: el espacio referencial y la desagregación temporal y sectorial. Desde la primera perspectiva, se concluye que el crecimiento de la inversión por empleado superó -con excepción de dos años- el aporte de la productividad; es decir, no se presentaron eventos innovadores que reflejen la concepción schumpeteriana, que abarquen toda la economía de manera persistente. Con la segunda perspectiva metodológica se aporta evidencia que confirma las grandes diferencias de productividades entre sectores en el país, el fenómeno de la heterogeneidad, y se concluye que aquellos sectores que ostentan las mayores eficiencias son los que emplean menos trabajadores.

JEL: O31; O33; O4; O5.

Palabras clave:

innovación, productividad, heterogeneidad, espacio referencial, sectorización.

Abstract

In this article the behavior of work productivity in Colombia is examined, in the period between 1975-2016, from two perspectives or methodological approaches: space of reference and time and sector disaggregation. From the perspective of the first, it is concluded that the growth in investment per employee surpassed -except for two years- the contribution of productivity. In other words, there were no innovative events that reflect the Schumpeterian conception, that encompass the economy as a whole in a persistent manner. From the second methodological perspective, evidence that confirms the large differences in productivity among the sectors in the country, the phenomenon of heterogeneity, is contributed. It is concluded that those sectors that show the greatest efficiencies are those that employ the least number of workers.

JEL: O31; O33; O4; O5.

Keywords:

innovation, productivity, heterogeneity, reference space, sectorization.

Introducción

Un país puede aumentar la producción comprometiendo una cantidad mayor de recursos -capital, trabajo y formas de organización- o utilizándolos con mayor eficiencia, fenómeno relacionado con la productividad. La teoría y la evidencia muestran que existe una correlación positiva entre productividad y crecimiento (Santacreu, 2017; Grazzi & Pietrobelli, 2016). En consecuencia, examinar el comportamiento de la productividad es un tema de estudio de la economía.

En este artículo se examina la productividad en Colombia, para el periodo 1975- 2016. Se parte de una interpretación endógena de la productividad y se aplica un procedimiento metodológico consecuente. Se definen los llamados regímenes, instrumentos cuya característica es denotar cualidades. En el análisis se hace alusión a la estructura económica -diversas maneras de proveer los bienes y servicios para satisfacer las necesidades de un país-. De igual manera, se desagrega la duración temporal según un criterio: la repartición del tiempo según sea la ocurrencia de los ciclos económicos.

En este artículo se muestra, a través del análisis temporal, que en Colombia el ciclo de negocios se ha presentado en tres ocasiones en el periodo en observación: del trimestre 1982:02 a 1996:01; 1996:01 a 1998:01 y 1998:01 a 2008:03; tiene una duración mínima de dos años y una duración máxima de cerca de catorce años; en promedio se aproxima a los nueve años, y la duración de las depresiones suele ser muy corta. En cuanto a la productividad laboral, se muestra que cuatro años después de la mayor crisis que sufrió la economía colombiana en 42 años, la eficiencia laboral muestra un ritmo vigoroso de variación positiva.

De igual manera, se muestra la dinámica productividad-inversión, expresión de un fenómeno que condiciona el crecimiento económico del país. En todo el periodo de análisis, con excepción de 1979 y 1996, el crecimiento de la productividad no supera a la tasa de variación de la densidad de la inversión. Es decir, en Colombia no se presentan eventos decididamente innovadores, los cuales reflejan el concepto schumpeteriano de innovación, que afecten de manera positiva a toda la economía. En contraste, comportamientos similares a los que se extraen de las teorías del crecimiento, como la neoclásica, priman en la economía.

En el artículo, se hace una síntesis de una de las teorías que contribuyen a explicar la productividad. Se reparte el periodo de observación en diferentes subperiodos, determinados por una simulación del ciclo de negocios. Posteriormente, se aborda la descripción de la productividad laboral en Colombia para el periodo 1975-2016, y se aplica un expediente metodológico denominado el espacio referencial, que permite ubicar los regímenes como una forma novedosa de analizar la información. También, se describe y se dan los resultados de la desagregación por sectores y se utiliza el enfoque de la contabilidad del crecimiento, que descompone en sus determinantes el cambio en la productividad. El texto termina con las conclusiones.

Visiones de la productividad

La visión exógena

Como lo resalta la Cepal (2007), la teoría neoclásica considera el progreso técnico como una variable exógena:

Desde los años sesenta, el análisis de la evolución a largo plazo de la productividad se ha basado en modelos agregados de un solo sector, al estilo de Solow (1956). Este enfoque privilegia el examen de los aspectos cuantitativos en la acumulación de los factores de producción, capital y trabajo, asumiendo que estos son homogéneos y que muestran algún grado de sustitución entre sí. Otro supuesto es que el progreso técnico, que pauta el crecimiento del producto por trabajador a largo plazo, es exógeno

(p. 24) [Énfasis de los autores].

Es decir, desde la visión exógena de la productividad, el análisis parte de modelos agregados de un sector, se privilegia el análisis cuantitativo, y la productividad del trabajo en el largo plazo es exógena. Este enfoque se descarta en este trabajo.

La visión endógena

El enfoque endógeno de la productividad destaca que esta crece por el efecto de la inversión en sectores que exhiben rendimientos crecientes a escala. Como expone Ros (2014):

La moderna teoría del crecimiento endógeno, a partir de los artículos de Romer (1986,1990) y Lucas (1988) ha incorporado algunas de estas ideas, en particular lo que Kaldor llamó economías de escala dinámicas (es decir, irreversibles) asociadas con el "aprendizaje en la práctica" y el progreso técnico incorporado (p. 40).

Ahora, según la ley de Verdoorn, el cambio en la productividad a nivel nacional ocurre a causa de la variación del producto en sectores como la industria manufacturera, en donde los rendimientos crecientes son palpables (Verdoorn, 1980). Asimismo, la reasignación del empleo entre sectores de baja productividad hacia aquellos de una mayor eficiencia, el crecimiento de la cantidad de capital por empleado y el aprendizaje en el oficio es posible, gracias a la aplicación de recursos a ciertos sectores.

La anterior argumentación refuta las teorías basadas en el equilibrio, y enfatiza en la necesidad de observar en forma desagregada el comportamiento de la economía, pasando de un modelo de un solo bien y un agente representativo, a otro de sectores con características disímiles. De igual manera, se critica la simple acumulación de factores y su desvinculación del progreso técnico, asunto imposible de sostener si existen rendimientos crecientes a escala, que equivale a reconocer que la distinción entre movimientos a lo largo de una función de producción y la interpretación del progreso técnico como desplazamiento de tal función sea ampliamente discutible.

Asimismo, los aportes de Schumpeter (1982) resaltan el progreso técnico como el motor principal del crecimiento, que, a su vez, es inseparable del cambio estructural. La dimensión schumpeteriana, se refleja principalmente en el papel que asume la inversión en investigación y desarrollo (I+D) como generadora de nuevas variedades, así como en la importancia que se atribuye al cambio cualitativo, y no solo a la acumulación de factores homogéneos (Cepal, 2007).

Consecuencias de la visión endógena

La heterogeneidad se define como la coexistencia de sectores, regiones o empresas con productividades bien distintas. Es decir, la existencia de "islas de excelencia" a la par de un mundo de informalidad (Chena, 2010)1 Una vez constatada su existencia se impone un análisis sectorial y regional.

La heterogeneidad es la impronta del subdesarrollo y, como tal, surge la necesidad del cambio estructural, entendido como el cambio en el esfuerzo productivo para producir bienes y servicios distintos que, en otras palabras, significa promover sectores diferentes a los tradicionales o abocarlos a cambios innovadores. Y como resalta la Cepal (2007):

Por esta razón, el centro es homogéneo, ya que la productividad de los distintos sectores de la economía es similar, y diversificado, al comprender la estructura productiva un mayor número de sectores, mientras que la periferia es heterogénea y especializada. Véase también Fajnzylber (1990). Recientemente, Hausmann et al. (2005) han sugerido un modelo que relaciona el tipo de bienes exportados con los niveles de productividad de un país y con el aprendizaje tecnológico (p. 15).

Acorde con la Cepal (2007), se hace una aclaración que refuerza el intento de desagregación que informa la actual investigación.

Los modelos agregados no son aptos, por su propia naturaleza, para explorar las interacciones y disfunciones propias de economías heterogéneas, como las de los países en desarrollo [...] Según el enfoque estructuralista, el proceso de desarrollo económico era una larga y lenta transición desde una economía mayoritariamente agrícola hacia una situación de mayor diversificación estructural, con creciente énfasis en el llamado "sector moderno", tipificado por la industria manufacturera (p. 24).

En este trabajo, se otorga privilegio a las teorías endógenas del tema de la productividad2. En segunda instancia, se definen los llamados regímenes, cuya característica es denotar cualidades en lugar de la primacía numérica. El trabajo no se circunscribe únicamente al análisis de los grandes agregados (PIB, empleo e inversión), sino que se hace, además, un examen desde el punto de vista sectorial; haciendo prioritario el estudio de la estructura económica. De igual manera, se desagrega la duración temporal según un criterio: la repartición del tiempo de acuerdo con la ocurrencia de los ciclos económicos.

Medición de la productividad

En la gráfica 1, en el eje horizontal se denotan los recursos necesarios (E y K, empleo y capital, respectivamente) para producir las cantidades respectivas del bien o servicio (VA, valor agregado). La curva expresa las posibilidades de producción: los puntos como A y C, son ejemplos de las cantidades máximas de producto que se puede obtener con la dotación de recursos utilizados. El punto B es otra combinación de insumos, pero allí no se agota la capacidad de producir más con la misma cantidad de recursos en particular, es un punto de ineficiencia.

La función de producción

Gráfica 1: La función de producción

Fuente: elaboración propia.

Formalizando (Méndez et al., 2013), se parte de:

En logaritmos:

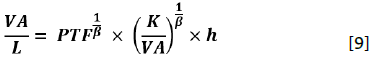
Donde VA: Valor agregado; K: unidades de capital físico; h: unidades de capital humano por trabajador promedio; L: el total de horas trabajadas por las personas; PTF: Productividad total de los factores.

Esta formulación, conocida como la función de producción Cobb-Douglas, junta stocks con flujos y relaciona tecnología y dotación de factores. Entonces, las propiedades de tal función determinan el crecimiento económico y su comportamiento de largo plazo. Según esta visión, el crecimiento es un problema técnico; relieva los aspectos cuantitativos: la acumulación de factores.

El último término de la ecuación 1A, es la parte del producto que no es explicada por la contribución del capital y del empleo. Si se desea estimar sería:

Cabe también, interpretar esa diferencia como un residuo:

Donde, δ t es ruido blanco, que resume los factores distintos a los ya mencionados respecto a la creación del valor agregado, pero que dependen de variaciones aleatorias -es decir, aquellas influencias que no están bajo el control de los agentes productivos-. Por lo anterior, la PTF se conoce también como el residuo de Solow.

Finalmente, la PTF se puede descomponer como:

Significa, si se atiende a la figura 1, que la curva de la función de producción se desplaza hacia arriba si existe cambio técnico, y lugares como el punto B tienen cabida y miden el tamaño de la eficiencia técnica.

Asimismo, el concepto de productividad, en general, se define como:

En particular, la productividad laboral, y se expresa como:

Se refiere a la cantidad de producto obtenido por trabajador empleado o también el denominador se mide como el total de horas trabajadas por las personas (L).

Conviene destacar, siguiendo a Álvarez et al. (2018), lo siguiente:

El ingreso promedio de un ciudadano, o el PIB per cápita, se descompone en la fracción de la población que está en la fuerza laboral; la fracción de la fuerza laboral que encuentra empleo; las horas trabajadas por el trabajador promedio; y, la productividad por hora trabajada. Es decir, el ingreso depende de qué tantas horas dedica la persona promedio a trabajar y con qué productividad lo hace (p. 22).

Con P: población; PEA : población económicamente activa.

También, la productividad laboral por hora trabajada será:

En el lado derecho de la ecuación, se tienen tres contribuciones a la productividad laboral: la primera, la atribuible a la PTF; la segunda, la intensidad del capital y, por último, la contribución de la intensidad del capital humano.

La productividad laboral es el indicador que desempeña el foco principal de esta investigación. Es necesario, por lo tanto, argumentar la razón por la cual en este trabajo se concedió menos importancia a la medición de la PTF. Este procedimiento ha sido sometido a varias críticas, tanto por razones lógicas como de estimación empírica. Mata y Louca (2009), califican a este residuo de "caja negra"; un mismo concepto que puede ser utilizado por autores con divergentes maneras de concebir el funcionamiento de una economía. Unos lo utilizan para continuar el legado teórico de Solow, pero igualmente es apropiado por otros autores que defienden perspectivas contrarias a él.

Felipe y McCombie (2001), analizan los argumentos teóricos y sus consecuencias empíricas de obtener la estimación de la PTF. Como se mencionó, el cálculo de la PTF comienza por la estimación de la función de producción. Y es, precisamente, este tema el que los autores ponen en duda: la justificación de una función de producción agregada. Parten de la afirmación de cómo una función de producción es un concepto microeconómico y, como tal, la relación entre salidas e insumos se hace con medidas físicas: productos obtenidos y medidos en objetos, número de personas empleadas, máquinas iguales, etcétera. Cuando tal concepto se extiende a un nivel agregado, los datos de valor a precios constantes para el capital y el producto indeterminan las posibilidades de prueba de tal función de producción. Si a nivel agregado solo se pueden usar datos de valor, entonces los parámetros estimados capturan una identidad contable -el valor de la producción es igual al costo laboral más el costo del capital- y tal identidad es como una tautología.

Así, no existe precisión en la estimación de, por ejemplo, las elasticidades de sustitución y, por lo tanto, no hay evidencia empírica de que sean parámetros tecnológicos. Un buen ajuste de la función de producción Cobb-Douglas, no es una evidencia incontrovertible de la validez de la teoría clásica, puesto que se pueden obtener idénticos resultados ajustando erróneamente una función de la misma estirpe: ajustes estadísticos perfectos para una función de producción con rendimientos constantes a escala, cuyas estimaciones de las elasticidades de producción son iguales a la participación de los factores o, por contraste, igual calidad de ajuste para una función de producción con rendimientos crecientes a escala y presencia de externalidades. No existe la posibilidad de contrastar teorías rivales con el expediente de funciones de producción agregadas.

El ciclo económico y la periodización temporal

Con el fin de distinguir los periodos donde ocurren cambios diferenciadores en la economía colombiana, se utilizarán los ciclos económicos como los referentes en el tiempo: los relojes temporales. Pero antes, es conveniente exponer el conjunto de problemas que enfrenta la medición de tal fluctuación. Para ello, se hará la distinción entre la interpretación del "ciclo de negocios" (CN) -o también llamado el ciclo clásico- y el "ciclo de crecimiento" (CC), que se refieren a medir la dinámica económica a partir del nivel en el primer enfoque, o como desviación de una tendencia en el segundo caso y las implicaciones de tal distinción.

Como resaltan Zarnowitz y Ozyildirim (2001), un estudio de los CN definidos como una secuencia de expansiones y contracciones en el nivel de la actividad económica general, no requiere de la estimación y eliminación de la tendencia, pero un estudio de los CC definidos como fases de crecimiento alto y bajo, sí lo requiere.

La gráfica 2 describe el concepto del ciclo de los negocios: una representación de una función de etapas o escalonada. Cada etapa es un ciclo y la línea que une las etapas es la tendencia. Los ciclos se descomponen, cada uno, en dos triángulos, uno de expansión y otro de contracción; desde luego, si los dos triángulos tuvieran igual área el crecimiento de la actividad económica sería cero: si hay cambio económico positivo o negativo, se debe a las diferencias en las áreas de los triángulos implícitos.

Los ciclos económicos y el crecimiento

Gráfica 2: Los ciclos económicos y el crecimiento

Fuente: elaboración propia.

De esta visión se desprende una consecuencia fundamental: el CN es una expresión del crecimiento económico. Como lo enfatiza Schumpeter (1982):

[se dice] que los ciclos son desviaciones hacia arriba y hacia abajo de esas tendencias y constituyen un fenómeno separado y separable. Se trata de un error...que los cambios estructurales que transforman históricamente la economía no tienen nada que ver con los ciclos económicos, cuando se puede probar que los ciclos son la forma que toman los cambios estructurales (pp.1261-1262).

Es decir, los ciclos y la tendencia no son fluctuaciones independientes una de otra. En la figura 2, la línea verde constituye la tendencia, y es claro que depende de los tamaños triangulares que conforman los ciclos. También es de destacar que cada ciclo se compone de un punto máximo -conocido como un "pico" o "auge"- y un punto mínimo -"valle", "depresión" o "recesión"-. Así, se define el CN de un pico a otro y también la duración, o sea el tiempo trascurrido en tal lapso. Desde luego, la magnitud del efecto económico de un ciclo no solo depende de la altura de los triángulos ya mencionados -línea roja en la figura 2-, sino también de la duración (o sea, de la base de tales lugares geométricos).

Para estimar el CN en Estados Unidos, la Oficina Nacional de Investigaciones Económicas (NBER, por sus siglas en inglés), (Harding & Pagan, 2000), primero somete la serie que representa la actividad económica al proceso de desestacionalización, porque la serie en mención debe tener una periodización menor a un año. Se argumenta que una variable de tiempo tiene varios componentes, entre otros: el estacional (variaciones temporales dentro de un año que tienden a repetirse cada año; son resultado del clima, las costumbres, decisiones de negocios y las fechas conmemorativas y festivas), el irregular (oscilaciones de carácter aleatorio) y el ciclo-tendencia (por las dificultades de separar el ciclo -oscilaciones suaves que se repiten pero no tienen periodización- y la tendencia -movimientos de largo plazo-, generalmente se mantienen agrupados).

Se eliminan, también, los movimientos irregulares mediante procesos de "suavización" -promedios móviles-. El propósito de tales procedimientos, es estimar los puntos de giro o puntos máximos locales que determinan las fases del ciclo. Son procedimientos que se basan en el comportamiento de los datos, en lugar de guiarse por modelos. Se conoce como la tendencia promedio de fase.

En Colombia, varios autores han hecho intentos de calcular el CN (Alfonso et al., 2013; Álvarez, 2016; Arango et al., 2008, 2016) utilizando varios procedimientos, series mensuales o trimestrales, con índices de actividad económica agregados y la elaboración de nuevos indicadores -Índice de Difusión Acumulado, Índice de Seguimiento Económico, ISE; Índice Mensual de la Actividad Económica en Colombia, IMACO-. Los resultados son disímiles.

En esta investigación, se estima el CN de la siguiente manera: se utilizaron dos series de datos trimestrales, tratando de obtener un periodo lo más extenso posible (1977-2017).

Producto interno bruto trimestral de Colombia 1977-01 / 2017-04

Gráfica 3: Producto interno bruto trimestral de Colombia 1977-01 / 2017-04

Fuente: elaboración propia, datos DANE.

Luego se procedió a eliminar la estacionalidad. Para ello se utilizó el procedimiento Census X-13 (EViews, 2015). Se calculó la tendencia, el componente irregular y los datos libres de la estacionalidad. El resultado se observa en la tabla 1. Una vez desestacionalizado el PIB trimestral, se estimó el CN de Colombia. Se utilizó el procedimiento de Bry-Boschan (Harding y Pagan, 2000) para obtener los puntos de quiebre de la serie (RATS, 2014).

Tabla 1: Ciclo de negocios en Colombia

Fuente: elaboración propia, datos DANE.

Los resultados indican que, el CN en Colombia se ha presentado en tres ocasiones para el periodo en observación: del trimestre 1982:02 a 1996:01; 1996:01 a 1998:01 y 1998:01 a 2008:03. Tiene una duración mínima de 2 años y una duración máxima de cerca de 14 años; en promedio se aproxima a los 9 años y la duración de las depresiones suele ser muy corta. La gráfica 4 muestra la trayectoria del CN para el periodo estudiado.

Ciclo de negocios en Colombia 1977-01 / 2017-04

Gráfica 4: Ciclo de negocios en Colombia 1977-01 / 2017-04

Fuente: elaboración propia, datos DANE.

Una vez determinados los CN y con el propósito de formar los subperiodos que enmarcaran el análisis de aquí en adelante, se procedió de la siguiente manera: se definieron los años en los cuales ocurrió un pico en un trimestre determinado y se definió el subperiodo del año al año que contenía tales picos. De igual forma, se incluyeron los subperiodos ocurridos antes y después de los CN estimados. Procediendo así, se obtuvo la siguiente demarcación:

  • 1975-1982: precrisis

  • 1983-1996: estancamiento

  • 1997-1999: crisis

  • 2000-2008: postcrisis

  • 2009-2017: auge

Esta periodización se aplica al caso del valor agregado. Aunque durante todo el periodo (1975-2017) se observa una tendencia creciente, en la creación de producción, que es la característica del movimiento de largo plazo, los subperiodos arriba expuestos que cubren varios ciclos, muestran el comportamiento y la inestabilidad de corto plazo en Colombia: el denominado ciclo de crisis ostenta la peor cifra de crecimiento para el año de 1999 (-4.03 %). En contraste, el máximo crecimiento de la producción de bienes y servicios ocurre entre los años 2000-2008 -específicamente, en el 2005, 12.6 el ciclo denominado de postcrisis.

Si se observan nuevamente los resultados de la tabla 1, se constata que el ciclo de precrisis muestra una depresión en el año de 1982. El ciclo más corto de duración, el de la crisis, ocurre entre dos depresiones, la de 1996 que finaliza el de estancamiento y la depresión de 1999.

Aunque este análisis temporal no está enfocado en una explicación del ciclo en sí mismo en Colombia, su importancia radica en emplear su periodización en el comportamiento de la productividad y sus componentes.

Valor agregado y ciclo de negocios en Colombia 1975 -2017

Gráfica 5: Valor agregado y ciclo de negocios en Colombia 1975 -2017

Fuente: elaboración propia, datos DANE.

La productividad en Colombia

El espacio referencial

Para analizar la productividad, se presenta un expediente metodológico que se ajusta a las particularidades teóricas mencionadas. Para este propósito, se utiliza profusamente los trabajos de Bohm y Punzo (2001). Dentro de la metodología empleada, se debe resaltar que, desde el punto de vista técnico, nos enfocamos en las dinámicas de corto plazo. La manifestación de la presencia o no de la innovación, se refleja en un grado de inestabilidad, según el cambio en la evolución sectorial3. Así, el pleno empleo no es un supuesto ni un resultado; la distinción entre corto y largo plazo y entre ciclo y crecimiento no es crucial; una medición no sustentada en su aspecto cuantitativo, sino en medidas cualitativas.

Se utilizan solo tres variables, que son los indicadores por excelencia endógenos en la mayoría de los distintos modelos de crecimiento: VA (valor agregado); I (inversión -formación bruta de capital, FBK-) y, E (empleo).

Los regímenes a estimar están asociados a las características de diversos modelos de crecimiento: neoclásicos, schumpeterianos, etcétera. De igual modo, hacen alusión al criterio de la parsimonia: utilización mínima de variables para definir un modelo o régimen.

La metodología se ocupa de las tres variables ya descritas y se reducen a dos indicadores. Las formas intensivas de estas variables son:

Estas ecuaciones corresponden a la noción de producto medio laboral y a la de capital por empleado, respectivamente. Son equiparables a variables estado del sistema.

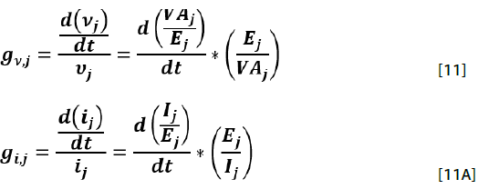
En su forma dinámica, se calculan las tasas de crecimiento, tanto del valor agregado por persona empleada (g v,j)-que se llamará la tasa de la productividad laboral- como la similar, correspondiente a la inversión por empleado (g i,j )_que se llamará intensidad de la inversión, donde el subíndice j se refiere a un sector económico.

Si las referidas tasas de crecimiento se ubican en el plano cartesiano, entonces se tiene el denominado espacio referencial -ER4- (gráfica 6). Los ejes se denominan así: la abscisa, es el eje de la innovación y la ordenada es el correspondiente a la acumulación. Una de las novedades del estado del arte, en el tema de las fluctuaciones, el crecimiento y el cambio estructural, está en la utilización de dos variables en lugar de una, como es lo tradicional, y, con ello, se está en el corazón de la novedad metodológica.

Espacio referencial

Gráfica 6: Espacio referencial

Fuente: elaboración propia, a partir de Böhm y Punzo (2001).

Se define, formalmente, un "régimen" a una familia de trayectorias5 de crecimiento, que son generadas por el mismo modelo estándar6, para un conjunto restringido de valores de los parámetros (en este caso, g v y g). El régimen es una forma específica de dinámica, que responde a una explicación teórica. Ilustrativamente, el ER permite ubicar un conjunto diverso de regímenes, que son el propósito fundamental de la metodología que se está proponiendo (Böhm y Punzo 2001).

La aparición de los regímenes

Una primera forma de discriminar entre regímenes, es definir el llamado conjunto generalizado harrodiano, (Böhm y Punzo 2001), bajo el cual todas las sendas exhiben la propiedad temporal de los estados estacionarios: razones valor agregado/inversión que son constantes y, por lo tanto, su extensión natural es:

La gráfica 6 del ER incluye todos los puntos sobre la recta que forma un ángulo de cuarenta y cinco grados7 con respecto a la abscisa. Esta condición, donde las tasas de crecimiento de la productividad y las de la densidad de inversión son iguales, también es un valor de bifurcación: distingue regímenes arriba y abajo del corredor. El régimen superior se denomina el plano generalizado de la acumulación, debido a que la inversión crece más que la productividad o decrece menos que aquella. El otro régimen, que se forma por debajo de la línea de los valores del umbral, se denominará el plano de la innovación; desde luego, la productividad crece más que la acumulación o a una menor tasa de decrecimiento que aquella.

Los dos planos -el de la acumulación y el de la innovación- cubren completamente el espacio referencial. Ahora, si se generaliza menos, se obtiene una nueva taxonomía de regímenes. Esa otra tipología de regímenes surge cuando se tienen en cuenta los cuadrantes, enumerados según la dirección de las manecillas del reloj (en la gráfica 6, enumerados del 1 al 4). El cuadrante 1, es un escenario de crecimiento: la inversión y la productividad crecen positivamente, aunque con ritmos distintos. El cuadrante 3, es el comportamiento distinto: tanto la inversión como la productividad están descendiendo; es un ambiente de contracción económica. El cuadrante 2, es un régimen de transición: mientras crece la productividad la inversión está declinando. Finalmente, el cuadrante 4 es un régimen de reestructuración: se acumula en un entorno de productividad decreciente.

Se podría agregar regímenes. Si, por ejemplo, se atiende a las relaciones g v menor, mayor o igual a gi.. (el régimen ya mencionado como el corredor harrodiano). Otro, el régimen I, acorde con la interpretación cercana a Schumpeter, y que cumple estrictamente, como también ya se dijo, con la restricción donde el crecimiento de la inversión es menor que el de la productividad: un caso típico de la manifestación de un régimen de claros efectos resultantes de la innovación. Al contrario, el régimen VI incluye los eventos donde crece más la inversión que la productividad, de tal manera que se tiene un escenario de acumulación propio de las escuelas neoclásicas de crecimiento, allí existe un sesgo hacia la construcción de una capacidad productiva. Los regímenes V y II -sesgo hacia la utilización- se confunden con los cuadrantes 2 y 4 ya mencionados.

Finalmente, vale la pena advertir que las teorías se ocupan tradicionalmente de los regímenes I y VI y sus casos opuestos III -sesgo hacia la utilización- y IV, respectivamente. Existe una nueva posibilidad teórica al observar las oscilaciones de los regímenes II y V.

El espacio referencial para Colombia

Conviene, primero, observar el comportamiento de los dos conceptos básicos del ER: la productividad laboral y la densidad de la inversión. Como se mencionó, con relación al valor agregado, los subperiodos determinados por la simulación de los ciclos son, a grandes rasgos, una forma congruente de analizar el periodo de estudio (1975-2016). En efecto, si se examina el comportamiento de la productividad laboral (gráfica 7), en los dos primeros subperiodos -la precrisis y el estancamiento- el valor del producto por trabajador tiende a permanecer relativamente igual; luego, se entra en el periodo de crisis, para finalmente alcanzar un crecimiento vigoroso en los ciclos de la postcrisis y el auge -tasas de crecimiento positivas recurrentes y la mayor de los cuarenta años de observación-.

Productividad laboral en Colombia 1975 -2017

Gráfica 7: Productividad laboral en Colombia 1975 -2017

Fuente: elaboración propia, datos DANE.

Como aparece en la gráfica, después de 2003 la productividad laboral ostentó una cifra de crecimiento del 3.2 %, más que triplicando el crecimiento promedio histórico. De igual manera, es de destacar que en el tramo posterior al año clave de 2003, la volatilidad del crecimiento se redujo drásticamente pasando de 14.16 al 1.45, si se mide la dispersión a través del coeficiente de variación. Más crecimiento y menos dispersión. Entonces, cuatro años después de la mayor crisis que sufrió la economía en cuarenta y dos años, la eficiencia laboral muestra un ritmo vigoroso de variación positiva.

Comportamiento similar con discrepancias menores en la duración de los periodos observados en forma ad hoc, la densidad de la inversión, es decir, el monto de inversión por trabajador se muestra en la gráfica 8. Sin embargo, es de observar que, mientras el producto por trabajador en tasas promedio aumentó en aproximadamente un punto, la dotación en inversión para el mismo trabajador duplicó tal crecimiento. Con ello se comienza a percibir que, en Colombia es sustancialmente mayor la acumulación de maquinaria, equipos, construcciones, etcétera, que su contraste, las mejoras en la eficiencia del aparato productivo.

Densidad de la inversión en Colombia 1975 -2017

Gráfica 8: Densidad de la inversión en Colombia 1975 -2017

Fuente: elaboración propia, datos DANE.

El ER puede describir la dinámica para un punto del tiempo (la "foto") o para varios lapsos continuados (la "película"). Teniendo en cuenta los siete regímenes identificados, en la gráfica 9 se presenta "la película" completa para la economía colombiana en el periodo de análisis. Recuérdese que este es un plano de tasas de crecimiento anuales de la productividad laboral versus las de la densidad de la inversión.

Espacio referencial para Colombia 1975 -2017

Gráfica 9: Espacio referencial para Colombia 1975 -2017

Fuente: elaboración propia, datos DANE.

Primera evidencia: en ningún año la economía colombiana residió en el régimen IV, un segmento de contracción, donde las dos variables decrecen, pero lo hace en mayor forma la productividad laboral. En contraste, el régimen III, el otro segmento de contracción, muestra que la situación negativa de la dinámica castigó más a la densidad de la inversión que a la productividad. Se destruye capacidad productiva, pero afecta en forma menos lesiva a la productividad.

La segunda característica del cuadro de los regímenes es la expresión de un fenómeno que condiciona el crecimiento económico del país: a excepción de dos casos (1979,1996) en un lapso de 42 años, no ocurre otros eventos donde el crecimiento de la productividad supere a la tasa de variación de la densidad de la inversión; es decir, la ausencia de ocurrencia de eventos decididamente innovadores (régimen I), comportamientos que reflejen el concepto schumpeteriano de innovación, y que afecten a toda la economía y lo hagan en forma persistente. Esta es la conclusión más importante del diagnóstico de la dinámica productividad -inversión reflejada en el ER-. Se puede aminorar la restricción que impone tasas positivas mayores de crecimiento para la productividad, frente a las también positivas de la densidad de la inversión, que es el requisito del régimen I, que diagnostica un escenario de innovación.

Aceptando la existencia de tasas negativas, pero manteniendo la condición de la primacía de la productividad, se obtiene el concepto de un régimen ampliado o generalizado schumpeteriano -correspondiente a los anteriores regímenes I, II y III, o por debajo del corredor harrodiano-, en tal régimen ampliado existen dieciocho ocurrencias de 41 (gráfica 10).

El mundo Schumpeteriano generalizado en Colombia 1975-2017

Gráfica 10: El mundo Schumpeteriano generalizado en Colombia 1975-2017

Fuente: elaboración propia, datos DANE.

En contraste, comportamientos similares a los que se extraen de las teorías del crecimiento, como la neoclásica (régimen VI), priman en la economía colombiana. Es así como más del 40 % de los puntos se localizan en este régimen, donde el crecimiento de la densidad de la inversión supera al de la productividad laboral. También cabe disminuir la restricción (g¡ > gv > 0) y aceptar tasas negativas de crecimiento, análogamente como se describió en el párrafo anterior, y generalizar el concepto de un crecimiento neoclásico (gráfica 11). En este caso, existe un aumento mínimo de eventos frente a los registrados anteriormente: pasan de 17 a 23.

El mundo neoclásico generalizado en Colombia 1975 -2017

Gráfica 11: El mundo neoclásico generalizado en Colombia 1975 -2017

Fuente: elaboración propia, datos DANE.

Es evidente que, en el crecimiento colombiano, se mantiene la primacía apabullante de comportamientos cercanos a las teorías neoclásicas, dando una escasa relevancia a las implicaciones de las ideas de Schumpeter.

La desagregación temporal y el espacio referencial juntos

Si se unifican los criterios del ER y el de la periodización temporal basada en los Ciclos, se obtiene las representaciones de las gráficas 12 y 13. La primera, corresponde a los subperiodos denominados de precrisis y de estancamiento. Habría que destacar cómo en el ciclo de la precrisis, aunque en la mayor parte del tiempo prima el régimen VI -el de las teorías de crecimiento convencionales- los dos últimos años (1981-1982) evidencian un crecimiento negativo de la productividad laboral.

El ciclo de precrisis y estancamiento en el marco referencial para Colombia 1975 -2017

Gráfica 12: El ciclo de precrisis y estancamiento en el marco referencial para Colombia 1975 -2017

Fuente: elaboración propia, datos DANE.

En el periodo de estancamiento, es visible que se entra en un lapso temporal de recursivos puntos en el régimen mayor de contracción, incluso en forma sucesiva año tras año como lo muestra la trayectoria, la secuencia de estados fechados o tendencia segmentada. De catorce puntos referenciales, ocho (57 %) pertenecen a los regímenes de contracción y de transición. Pero, lo más destacable es la recurrencia a cambios de régimen o sea el traslado de uno a otro régimen en el ER. En otras palabras, en este subperiodo el país está reestructurando su economía en lo que se llamó la "apertura".

En la descripción complementaria (gráfica 13), la denominada crisis apenas conformada por tres años, se explica por los indudables indicios del peor comportamiento económico del país en estos cuarenta y dos años, atendiendo las variables macroeconómicas explícitas del ER. Este periodo incluye el punto máximo de la crisis (1999) y la trayectoria posterior de la evidente recuperación, que pasa de la contracción a la reestructuración y permanece en la zona de crecimiento; tal comportamiento amerita la etiqueta de postcrisis.

Finalmente, en el lapso de auge, a no ser por el año del 2009, la situación del país permanece en el periodo de crecimiento muy similar a lo observado en los años inmediatamente anteriores.

En uno y otro de los dos últimos regímenes, el traslado de un régimen a otro es de poca ocurrencia.

El ciclo de crisis, postcrisis y auge en el marco referencial para Colombia 1975 -2017

Gráfica 13: El ciclo de crisis, postcrisis y auge en el marco referencial para Colombia 1975 -2017

Fuente: elaboración propia, datos DANE.

Análisis sectorial

La desagregación por actividades económicas ejemplariza la estructura económica, y permite un proceso de diagnóstico referente a los argumentos de porqué la innovación no es una característica que se presente en la economía colombiana.

Desde el punto de vista de los niveles alcanzados por las productividades laborales por sectores, la primera indagación se refiere a cuáles son los sectores que muestran un nivel menor al que ostenta el promedio nacional (gráfica 14). En el periodo de análisis, la actividad que muestra una disminución permanente del indicador de eficiencia laboral es el comercio, con un relativo freno de la caída en los periodos de postcrisis y auge. Así, en el último año observado (2016), ocupa el último lugar en el nivel alcanzado por la productividad laboral.

Productividades menores a la nacional, Colombia 1975 -2016

Gráfica 14: Productividades menores a la nacional, Colombia 1975 -2016

Fuente: elaboración propia, datos DANE.

El sector de la agricultura tiende a crecer persistentemente en su nivel de eficiencia, pero lo hace con mayor empuje en los periodos de postcrisis y de auge. Los servicios generales, tienen un comportamiento similar al de la agricultura, y es el de mayor nivel de los tres sectores que ostentan una productividad laboral más baja que la observada a nivel nacional. Solo que su fase ascendente ocurre antes de la crisis y en el auge supera su condición de productividad menor a la total.

Antes de la crisis (1975-1982), ya se observa la caída de las productividades de los sectores comercio y los servicios generales, que luego marcaran, en parte, el estancamiento de la productividad nacional. En el periodo 2000-2008, se recuperan los servicios y la agricultura, mientras el comercio se estanca luego de disminuir su eficiencia, de tal manera que la agricultura supera el nivel del comercio, después del periodo de crisis. Llama la atención que este grupo de sectores, con una eficiencia por debajo del promedio nacional, es el mismo durante los cuarenta y dos años de análisis: la heterogeneidad es un fenómeno persistente en Colombia.

Conviene citar el siguiente texto de la Cepal (2007), respecto al sector de la agricultura:

El análisis comprueba que el cambio estructural en la agricultura ha apuntado a fortalecer actividades en las que el potencial de generar aprendizaje tecnológico y encadenamientos con otros sectores de la economía es más elevado. Sin embargo, ese potencial ha permanecido en gran medida inexplotado. Más aún, la brecha de productividad ha tendido, en general, a aumentar, medida en términos de la productividad total de los factores, del trabajo o de la tierra. Si bien algunos productores, en ciertos países, han alcanzado la frontera tecnológica internacional, la ausencia de un marco adecuado de incentivos y la gran heterogeneidad que presentan han comprometido los aumentos de productividad en la agricultura latinoamericana (p. 9).

Por otro lado, en la gráfica 15 se plasman las trayectorias de los sectores que superan al promedio nacional de eficiencia productiva.

Productividades mayores a la nacional en Colombia 1975 -2016

Gráfica 15: Productividades mayores a la nacional en Colombia 1975 -2016

Fuente: elaboración propia, datos DANE.

El sector de servicios públicos domiciliares, comanda el liderazgo referido al mayor nivel de la productividad laboral, y lo hace durante todo el periodo en observación, con excepción del periodo de crisis. Su trayectoria es completamente similar a la observada a nivel nacional. Modela el nivel nacional si se observa por periodos: contribuye al estancamiento, se derrumba en la crisis y crece ampliamente en la postcrisis. Se disputa el liderazgo con el sector minero, el segundo en cuanto a nivel de la productividad, y que es la única actividad que en ciertos años supera a las productividades de estos servicios.

El sector financiero, el tercero en productividad, muestra una tendencia lenta pero persistente de declinación al perder su nivel de eficiencia. Los restantes sectores, industria, construcción y trasporte muy cerca del promedio nacional serán mencionados más adelante.

Algo que llama la atención es cómo, a pesar de los comportamientos distintos de los diversos sectores, los grupos de actividades que muestran una productividad mayor o menor a la nacional están constituidos por los mismos sectores; un grupo de los mismos tres y el otro constituido de seis iguales sectores. Este hecho y las grandes diferencias de productividades entre los sectores, expresan un fenómeno evidente de heterogeneidad, tal como se refirió en el apartado de las teorías.

La contabilización del crecimiento económico

En este apartado, se descomponen algunas relaciones de igualdad, con el propósito de obtener los principales determinantes de la productividad laboral en Colombia. La idea es descomponer los cambios -positivos o negativos- en la productividad, entre movimientos sectoriales de producción y cambios en la estructura del empleo; de esta forma podemos separar la contribución sectorial al crecimiento de la productividad total (Pieper, 2002).

El cambio de la productividad laboral de la economía, Gv t , es igual a la suma de dos diferencias -lado derecho de la ecuación-. Primera, la variación del valor agregado en el sector i-ésimo8 -primer término de la diferencia: V1-. Segunda, la variación del empleo sectorial9 -segundo término de la diferencia: V2-.

La ecuación [12] se estimó para el periodo de análisis (1975-2014). Los resultados se presentan en la tabla 2. En ella se observa, cómo cada sector de la economía contribuye al crecimiento de la productividad laboral nacional; la contribución es el resultado de dos componentes: el primero es la variación del valor agregado ponderado del sector -V1 en la tabla 2- y, el segundo, el cambio en el empleo sectorial, también ponderado (V2). Finalmente, la fila etiquetada como DIF, corresponde a la diferencia entre los componentes en mención (V1 - V2).

Tabla 2: Descomposición del cambio en la productividad laboral

Fuente: elaboración propia, datos DANE.

Como se observa, entre 1975-2014 cada sector aumentó tanto el valor agregado como el empleo. En el primer caso, el sector contribuye aumentando la productividad nacional; en el segundo caso, al contrario, su repercusión es la disminución de la productividad total. Durante cuarenta años, los sectores que presentaron la mayor contribución (ponderada) al crecimiento del valor agregado nacional, fueron el financiero y los servicios generales; mientras el comercio, la agricultura y los servicios públicos mostraron los menores apoyos al crecimiento de la producción total.

De otro lado, el mayor aporte al incremento del empleo nacional se observó en los sectores de los servicios generales, el financiero y la industria. Mientras la minería y los servicios públicos ostentan las menores tasas de ayuda al enrolamiento de trabajadores. Pero, como el efecto final es el contraste entre uno y otro componente, se tiene que los sectores que contrarrestaron, con una contribución negativa, el resultado nacional del crecimiento de la productividad fueron el transporte y el comercio. El sector financiero, minero y servicios públicos domiciliares fueron los mayores contribuyentes al avance de la dinámica de la productividad del país; sectores que lideran las productividades individuales, pero emplean la menor cantidad relativa de empleos. La industria, presentó la menor contribución positiva ap cambio de la productividad.

Ahondando en la última afirmación, se destacan algunos resultados que reafirman los comportamientos mostrados.

Participación sectorial en el empleo en Colombia 1975 - 2014

Gráfica 16: Participación sectorial en el empleo en Colombia 1975 - 2014

Fuente: elaboración propia, datos DANE.

La gráfica 16, contrasta las participaciones de los sectores en la generación de empleo entre los años 1975 y 2014.Disminución significativa de la participación de la agricultura e incrementos en el resto de los sectores, a excepción de los líderes en el crecimiento de la productividad: la minería y los servicios públicos, cuya participación laboral es reducida en términos relativos.

Si se cotejan los crecimientos de la productividad laboral y los del empleo, su dinámica entre 1976 y 2014, su relación es claramente inversa: si el ritmo de la generación de nueva producción se ve superado por el ritmo del empleo, entonces su cociente, que es la productividad laboral, disminuye. Como se mostró en la tabla 2 y se ve con mayor contundencia en la gráfica 17.

Crecimiento de la productividad vs el crecimiento del empleo Colombia 1975 -2016

Gráfica 17: Crecimiento de la productividad vs el crecimiento del empleo Colombia 1975 -2016

Fuente: elaboración propia, datos DANE.

Se recuerda que la sostenibilidad es definida, como el nexo entre el crecimiento de la productividad laboral total, como un indicador de sostenibilidad económica, y la expansión del empleo, como un indicador de la sostenibilidad social para un país (Pieper, 2002, p. 7).

Es de destacar el comportamiento de la industria durante cerca de cuatro decenios. Como se observa en el ejercicio anterior, su contribución a la productividad laboral es positiva pero bastante discreta. En la gráfica 18, el nivel de la productividad de este sector muestra un comportamiento en forma de "U". En el primer segmento la comparación entre productividades de la industria y la nacional, favorece ampliamente al sector, aunque ya es claro que la brecha se está cerrando. Cubre los ciclos de la precrisis y el estancamiento. Luego, en la postcrisis y el auge, el nivel de eficiencia de la industria se iguala a la nacional. Por lo tanto, ya no es evidente el papel dinámico que se espera de esta actividad al crecimiento del país. Tal comportamiento compromete la expectativa positiva sobre la economía colombiana, puesto que se pierden los efectos del aprendizaje en el oficio y los rendimientos crecientes a escala, gracias a los procesos de la especialización y la mecanización. Un potencial de crecimiento de la economía colombiana que se diluye (Pieper, 2002, p. 3).

Productividad nacional e industrial en Colombia 1975 -2016

Gráfica 18: Productividad nacional e industrial en Colombia 1975 -2016

Fuente: elaboración propia, datos DANE.

Resultado semejante a los de esta investigación, los encuentra la Cepal (2007) en América Latina:

Los cambios en la estructura del empleo ocurren en una forma que reproducen la heterogeneidad en el tiempo, lo cual frustra el proceso de desarrollo y alimenta los altos niveles de desigualdad en la distribución del ingreso que caracterizan a América Latina. Los límites que encuentra la industrialización latinoamericana también bloquean la trayectoria que va desde la economía dual hacia una economía con mercados de trabajo modernos e integrados. La debilidad del progreso técnico, la reducida competitividad internacional, la incapacidad para generar eslabonamientos con el resto de la estructura productiva y la recurrente aparición de desequilibrios externos, explican el porqué de la persistencia de la heterogeneidad latinoamericana. No solo la industrialización se trunca, sino que también la desigualdad se estabiliza mucho antes de que comience la trayectoria inversa prevista en la curva de Kuznets (p. 9).

Se insiste en que el comportamiento de la industria en el periodo de la precrisis, cuando disminuye su nivel, y, luego, su estancamiento y caída abrupta al final del periodo siguiente, contribuye al estancamiento de la productividad total del país.

Qué ocurre internacionalmente

Qué ocurre a nivel regional y frente a los Estados Unidos, país líder a nivel mundial en términos de la productividad. Si se atiende a la explicación de cómo se relaciona el nivel de ingreso de un individuo con la productividad (ecuación [8]), la Álvarez et al. (2018) resaltan que "el habitante latinoamericano tiene una cuarta parte del ingreso de un estadounidense típico... Este problema no ha mejorado sustancialmente en los últimos sesenta años" (Álvarez et al. 2018, p. 20), se refieren al periodo 1960-2014. No obstante, se menciona que otros países sí han acortado la brecha de ingresos durante el mismo lapso, como España y Corea del sur.

Álvarez et al. (2018), encuentran que el grueso de la brecha del producto por habitante de la región depende de su baja productividad y esta explica casi la totalidad de las diferencias de ingreso per cápita; y, a su vez, la brecha en la productividad del trabajo es explicada principalmente por la brecha de PTF y, en menor medida, por las diferencias de capital humano. Concluyen que,

La brecha de casi el 70 % del PIB per cápita con respecto a Estados Unidos en las últimas décadas no puede explicarse por diferencias en la intensidad con que se usa el capital físico y el talento humano en el proceso productivo. La participación laboral, la tasa de empleo y la intensidad de uso del capital son prácticamente iguales a la de los Estados Unidos. Las horas promedio que un trabajador dedica al proceso productivo al año son, de hecho, mayores. En cambio, la PTF es cerca del 40 % de la observada en Estados Unido mientras que el capital humano es casi el 75 % del de este país (Álvarez et al. pp. 24-25).

En 2010, la productividad laboral de América Latina fue el 27 % de la eficiencia de los Estados Unidos. Las productividades correspondientes a los sectores se refieren a tres grandes agrupaciones: industria, agricultura y servicios. Así, las productividades laborales en relación con los Estados Unidos fueron el 36 %, el 21 % y el 25 %, respectivamente.

Para Colombia, entre 2004-2014, Álvarez et al. (2018) mencionan que el PIB per cápita en promedio, fue del 0,20 del de Estados Unidos; la participación laboral y la tasa de empleo relativas del 0,96; la productividad por hora de 0,19 y la PTF de 0,31; mientras la intensidad en el uso del capital y la del capital humano fueron 0,98 y 0,64, respectivamente.

Si se trabaja con los nueve sectores de la economía colombiana, los resultados se contrastan en el cuadro II. A pesar que los criterios de comparación y las fechas son distintas, se confirma, en gran parte, las conclusiones expresadas.

Tabla 3: Ordenamiento sectorial de la productividad laboral

SECTOR Ordenamiento según el nivel de la productividad laboral* Ordenamiento según la comparación de la productividad con los Estados Unidos**
MINERO 2 1
TRASPORTE 6 2
CONSTRUCCION 5 3
SERVICIOS PUBLICOS DOMICILIARES 1 4
INDUSTRIA 4 5
COMERCIO 9*** 6
SERVICIOS GENERALES 8*** 7
AGRICULTURA 7*** 8
FINANCIERO 3 9

Notas: * Ver, resultados de la presente investigación.

*** Productividad menor al total nacional.

Fuente: elaboración propia; Álvarez et al. (2018).

La Álvarez et al. (2018), resaltan que:

La enorme brecha de productividad entre los países latinoamericanos y Estados Unidos refleja la combinación de dos factores principales, ambos cuantitativamente importantes: en primer lugar, el establecimiento productivo típico en América Latina es mucho menos eficiente que su contraparte en Estados Unidos...en segundo lugar, dentro de cada sector, una elevada fracción de los recursos productivos (empleo y capital) se emplea en establecimientos de menor productividad, en particular en micro establecimientos y en el sector informal. Esto último ocurre especialmente en el comercio y la agricultura. La estructura productiva al nivel de sectores más o menos grandes, en contraste, pare ser un problema relativamente menor (2018, p. 87).

Finalmente, el documento de Álvarez et al. (2018) traen a colación las razones que explican el comportamiento de la productividad en América Latina. Se refiere a la importancia clave de los factores institucionales. Destaca los siguientes aspectos: el nivel de la competencia -la defensa estatal de la competencia, las barreras de entrada, el papel del comercio internacional y los procesos de integración, la relación entre las empresas de mayor poder de mercado y la eficiencia, los incentivos a la innovación-; el acceso a los insumos y la cooperación entre empresas -proveedores de insumos y la importancia de los servicios del comercio minorista, el transporte y la energía, la infraestructura, la creación de clúster y la cooperación entre empresas para apaciguar la propagación de choques y la difusión de la tecnología-; las relaciones laborales -la brecha de género, el deficiente emparejamiento de las capacidades y habilidades del trabajador y el puesto de trabajo, el tamaño del trabajo informal de escasa productividad, las políticas salariales, los costos de contratación-, y, finalmente, el financiamiento -el manejo de las bancarrotas, los criterios de calificación para la obtención de créditos-.

Conclusiones

Los resultados de este artículo muestran que, desde un análisis temporal, entre 1975-2016, el ciclo de negocios se ha presentado en Colombia en tres ocasiones: del trimestre 1982:02 a 1996:01; 1996:01 a 1998:01 y 1998:01 a 2008:03; tiene una duración mínima de 2 años y una duración máxima alrededor de 14 años; en promedio se aproxima a los nueve años, y la duración de las depresiones suele ser muy corta.

Después de 2003, el comportamiento de la productividad laboral tuvo un crecimiento del 3.2 %, más que triplicando el crecimiento promedio histórico. En este mismo periodo, la volatilidad del crecimiento se redujo drásticamente, pasando de 14.16 al 1.45, si se mide la dispersión a través del coeficiente de variación. Es decir, más crecimiento y menos dispersión. Cuatro años después de la mayor crisis que sufrió la economía colombiana, la eficiencia laboral muestra un ritmo vigoroso de variación positiva.

Desde un enfoque de espacio referencial, el diagnóstico de la dinámica productividad-inversión, fenómeno que condiciona el crecimiento económico del país, se muestra que, a excepción de 1979 y 1996, en un lapso de 42 años, no ocurren eventos donde el crecimiento de la productividad supere a la tasa de variación de la densidad de la inversión. Es decir, en este lapso no se presentan eventos decididamente innovadores, comportamientos que reflejen el concepto schumpeteriano de innovación, que afecten a toda la economía y lo hagan en forma persistente. En contraste, comportamientos similares a los que se extraen de las teorías del crecimiento -como la neoclásica- priman en la economía colombiana durante todo el periodo de análisis.

Al relacionar la productividad con el análisis estructural se encuentra que, a pesar de los comportamientos distintos de los sectores, los grupos de actividades que muestran una productividad mayor o menor a la nacional, están constituidos por los mismos sectores. Este hecho, y las grandes diferencias de productividades entre los sectores, expresan un fenómeno evidente de heterogeneidad y su persistencia durante más de cuatro décadas.

Finalmente, los sectores que contrarrestaron, con una contribución negativa, el resultado nacional del crecimiento de la productividad, fueron el transporte y el comercio. Mientras, los sectores financiero, minero y servicios públicos domiciliares, fueron los mayores contribuyentes al avance de la dinámica de la productividad del país; sectores que lideran las productividades individuales, pero emplean la menor cantidad relativa de empleos. La industria, por su parte, presentó la menor contribución positiva al cambio de la productividad. Estos resultados concuerdan con la literatura internacional (Isaza et al., 2015).

En este artículo se aparta del mainstream de la economía. Investigaciones futuras que sigan esta línea de investigación son, por ejemplo, las productividades sectoriales y el sector externo, las innovaciones, los efectos estructurales, el crecimiento y la desigualdad. Nuevos enfoques amplia nuestra visión y comprensión de los fenómenos económicos.

Referencias

  1. [1] Alfonso, V., Arango, L. E., Arias, F., Cangrejo, G. , & Pulido, J. (2013 ). Ciclo de Negocios en Colombia, 1975-2011. Lecturas de Economía, 78, 115-149. https://doi.org/10.17533/udea.le.n0a14463 [URL] 🠔
  2. [2] Álvarez, A. (2016). La Curva de Beveridge en Colombia (1976-2011): Cambios Cíclicos y Estructurales [documento de trabajo 962]. Borradores de Economía. https://repositorio.banrep.gov.co/handle/20.500.12134/6273 [URL] 🠔
  3. [3] Arango, L. E., Arias, F., Florez, L. A., & Munir, J. (2008). Cronología de los ciclos de negocios recientes en Colombia. Lecturas de Economía, 68, 9-37. https://doi.org/10.17533/udea.le.n68a229 [URL] 🠔
  4. [4] Arango, L. E., Parra, F. F., Pinzón, A., & Alvaro, J. (2016). El ciclo económico y el mercado de trabajo en Colombia 1984-2014. Ensayos sobre Política Económica, 34(81), 206-228. http://dx.doi.org/10.1016/j.espe.2016.08.002 [URL] 🠔
  5. [5] Álvarez, F., Eslava, M., Sanguinetti, P., Toledo, M., Alves, G., Daude, C., & Allub, L. (2018). RED 2018. Instituciones para la productividad: hacia un mejor entorno empresarial [reporte]. CAF. http://scioteca.caf.com/handle/123456789/1343 [URL] 🠔
  6. [6] Böhm, B., & Punzo, L. (2001). Productivity-investment Fluctuations and Structural Change. En L. Punzo (ed.), Cycles, Grown and Structural Change. Theorias and empirical evidence (pp. 47-92). Routledge. 🠔
  7. [7] CEPAL. (2007). Progreso Técnico y Cambio Estructural en América Latina. Santiago de Chile. https://www.cepal.org/es/publicaciones/3683-progreso-tecnico-cambio-estructural-america-latina-caribe [URL] 🠔
  8. [8] Chena, P. I. (2010). La heterogeneidad estructural vista desde tres teorías alternativas: el caso de Argentina. Comercio Exterior, 60(2), 99-115. http://revistas.bancomext.gob.mx/rce/magazines/135/1/99_CHENA_heterogen.pdf [URL] 🠔
  9. [9] Echavarría, J. J., Arbelaéz, M. A., & Rosales, M. F. (2006). La productividad y sus determinantes: el caso de la industria Colombiana [documento de trabajo]. https://www.banrep.gov.co/docum/ftp/borra374.pdf?q = productividad. [URL] 🠔
  10. [10] EViews (2015). Object Reference, versión 9. HIS Global Inc. 🠔
  11. [11] Fajnzylber, F. (1990). Industrialización en América Ltina: De la "caja negra" al "casillero vacío". Cuadernos de la Cepal 60. https://repositorio.cepal.org/bitstream/handle/11362/27955/S9000502_es.pdf?sequence=1&isAllowed=y [URL] 🠔
  12. [12] Felipe, J., & McCombie, J. (2001). How Sound are the Foundations of the Aggregate Production Function? [working paper]. Economics discussion papers. University of Otago. 🠔
  13. [13] Grazzi, M., & Pietrobelli,C. (Ed.) (2016). Firm Innovation and Productivity in Latin America and the Caribben. The Engine of Economic Development. Inter-American Development Bank. Palgrave Macmillan. https://doi.org/10.1057/978.L349.5815L1 [URL] 🠔
  14. [14] Harding, D. & Pagan, A. (2000). Knowing the cycle. En R. Backhouse & A. Salant (eds.), Macroeconomics and the Real World (pp. 23-41). Oxford University Press. 🠔
  15. [15] Hausmann, R., Hwang, J., & Rodrik, D. (2005). What you Exports Matter [working paper, No RPW 05-063]. John F. Kennedy School of Government, Harvard University. 🠔
  16. [16] Isaza, J., Rojas, N., Cubillos, R., & Farné, S. (2015). Macroeconomía y empleo en Colombia. Organización Internacional del Trabajo. https://www.ilo.org/wcmsp5/groups/public/---americas/---ro-lima/---sro-lima/documents/publication/wcms_444919.pdf [URL] 🠔
  17. [17] Iregui, A. M., Melo, L. F., & Ramírez, M. T. (2006). Productividad regional y sectorial en Colombia: un análisis utilizando datos de panel. Ensayos sobre Política Económica, 25(53), 18-65. https://repositorio.banrep.gov.co/handle/20.500.12134/6361 [URL] 🠔
  18. [18] Lucas, R., E, Jr. (1988). On the Mechanics of Economics Development. Journal of Monetary Economics, 22(1), 3-42. https://doi.org/10.1016/0304-3932(88)90168-7 [URL] 🠔
  19. [19] Mata, T., & Louca, F. (2009). The Solow Residual as a Black Box: Attempts at Integrating Business Cycle and Growth Theories. History of Political Economic, 41, 334-355. https://doi.org/10.1215/00182702-2009-031 [URL] 🠔
  20. [20] Méndez, J. A., Méndez, M., & Hernández, H. A. (2013). Productividad total de los factores, cambio técnico, eficiencia técnics y PIB potencial en Latinoamérica. Semestre Económico, 16(34), 65-91. https://doi.org/10.22395/seec.v16n34a3 [URL] 🠔
  21. [21] Pieper, U. (2002). Essay on Technological Change, Economic Structure and Growth [degree of Doctor of Philosophy]. Faculty of Political an Social Science of de New School for Social Research. 🠔
  22. [22] RATS (2014). X-12-ARIMA Supplement, versión 9. Estima. 🠔
  23. [23] Romer, P. M. (1986). Increasing Returns and Long-run Growth. Journal of Political Economic, 94(5), 1002-1037. https://www.jstor.org/stable/1833190 [URL] 🠔
  24. [24] Romer, P. M. (1990). Endogenous Technological Change. Journal of Political Economic, 98(5), parte 2, S71-S102. https://www.jstor.org/stable/2937632 [URL] 🠔
  25. [25] Ros, J. (2014). Productividad y crecimiento en América Latina: ¿por qué la productividad crece más en unas economías que en otras?. Cepal. 🠔
  26. [26] Santacreu, A. M. (2017). Convergence in Productivity, R&D Intensity, and Technology Adoption. Economic Synopses, 11 . https://doi.org/10.20955/es.2017.11 [URL] 🠔
  27. [27] Schumpeter, J. A. (1982). Historia del análisis económico. Ariel. 🠔
  28. [28] Solow, R. (1956). A Contribution to the Theory of Economic Growth. The Quartely Journal of Economics, 70(1), 25-64. https://doi.org/10.2307/1884513 [URL] 🠔
  29. [29] Villamil, J. (2016). Cálculo de la productividad sectorial en Colombia con herramientas insumo-producto [documento de trabajo 444]. Archivos de Economía. Departamento Nacional de Planeación. https://colaboracion.dnp.gov.co/CDT/Estudios%20Econmicos/444.pdf [URL] 🠔
  30. [30] Zarnowitz, V., & Ozyildirim, A. (2001). Time Series Decomposition and Measurement of Business Cycles, Trends and Growth Cycles [working paper 8736]. NBER. https://www.nber.org/papers/w8736 [URL] 🠔
  31. [31] Verdoorn, P. J. (1980). Verdoorn's Law in Retrospect: A Comment. The Economic Journal 90 (358), 382-385. https://doi.org/10.2307/2231798 [URL] 🠔
Este documento hace parte de los resultados de investigación del proyecto "Sector Externo, Crecimiento y Productividad Sectorial: El Caso Colombiano, financiado por la Universidad Militar Nueva Granada, código IMP EES - 2292.
Según el autor, la heterogeneidad se refiere al "desequilibrio estructural... en cuanto a su crecimiento sectorial, factores productivos, modos de producción y distribución de los ingresos". Distingue el ajuste diferente entre países: "...estas diferencias [entre crecimientos productivos] ponen en movimientos fuerzas más o menos intensas que desplazan el capital para igualar las tasas de ganancia.en cambio en el segundo grupo de naciones y por motivos económicos y extraeconómicos...estas cualidades tienden a mantenerse y reproducirse en el tiempo" (Chena, 2010, p. 99).
Investigaciones respecto a la productividad en Colombia, siguiendo una metodología distinta a la que se utiliza en este escrito son: Iregui et al. (2006), Echavarría et al. (2006) y Villamil (2016).
Permitiendo que la "destrucción creativa" se manifieste en la evolución comparada de los sectores; las complementariedades, los encadenamientos sectoriales, la heterogeneidad, etcétera.
Framework Space.
Una "senda" de crecimiento de una economía o de un sector, es un estado en un plano del ER (representada por cualquiera de los puntos dentro de la gráfica 6). Una "trayectoria" es una secuencia temporal de estados.
Llamado el "modelo canónico".
Técnicamente se hablará del corredor harrodiano como una recta con un intervalo formado por las líneas segmentadas y paralelas, de tal manera que equipará puntos cercanos a la línea, para incluir pequeñas desviaciones, errores, o perturbaciones aleatorias.
Ponderada por la participación de la producción del sector en el periodo anterior.
Ponderada por su participación en el empleo del periodo previo.
Sánchez-Ruiz, H., & Sánchez-Pérez, G. (2021). Productividad en Colombia: un desafío pendiente. Ensayos de Economía, 31(58), 36-67. https://doi.org/10.15446/ede.v31n58.88625