Ensayos de Economía
0121-117X
2619-6573
Universidad Nacional de Colombia
https://doi.org/10.15446/ede.v31n58.88693

Recibido: 29 de junio de 2020; Aceptado: 1 de octubre de 2020; Revision Received: 23 de abril de 2021

Desindustrialización: evidencias desde una mirada kaldoriana para Colombia (2005-2017)*

Deindustrialization: Evidence from a Kaldorian Perspective for Colombia (2005-2017)

W. Ouijano-Salamanca, ** D. Guevara-Castañeda, ***

Magister en Ciencias Económicas por la Universidad Nacional de Colombia (Bogotá, Colombia). Estudiante de Doctorado en Ciencias Económicas de la Universidad Nacional de Colombia. Profesor en la Universidad Distrital Francisco José de Caldas, Facultad Tecnológica (Bogotá, Colombia). Correo electrónico: wquijanos@unal.edu.co Universidad Distrital Francisco José de Caldas Universidad Distrital Francisco José de Caldas Facultad Tecnológica Bogotá Colombia
Doctor en Ciencias Económicas por la Universidad Nacional de Colombia (Bogotá, Colombia). de la Universidad Nacional de Colombia, Escuela de Economía (Bogotá, Colombia). Correo electrónico: dieguevarac@unal.edu.co Universidad Nacional de Colombia Universidad Nacional de Colombia Bogotá Colombia

Resumen

Este artículo presenta los resultados arrojados por las estimaciones del modelo de las leyes de Kaldor para la búsqueda de evidencias de la desindustrialización de la economía colombiana en el periodo 2005-2017. El ejercicio econométrico muestra el papel de la industria manufacturera como motor de crecimiento. La metodología emplea un modelamiento en dos paneles: el primero de tipo balanceado con datos agregados para 23 áreas metropolitanas, y el segundo de tipo desbalanceado agregando datos desde el nivel de firma, con la muestra obtenida de la Encuesta Anual Manufacturera (EAM) para dicho periodo. Con base en los resultados de múltiples estimaciones, se encuentra y reafirma que el debilitamiento del sector manufacturero se evidencia en el declive sostenido del porcentaje de participación que tiene este en el empleo total y el PIB; y en el vínculo nocivo entre la dinámica del empleo manufacturero y el crecimiento del producto. Las evidencias de la desindustrialización identificadas, permiten concluir que el aporte de la manufactura al crecimiento económico se sustenta en rendimientos crecientes a escala estáticos.

JEL: B50; E12; L60; O47.

Palabras clave:

desindustrialización, Kaldor, rendimientos crecientes, manufactura, crecimiento económico, ley de Kaldor-Verdoorn.

Abstract

This article presents the results given by the calculations made using Kaldor's growth model for the search of evidence of deindustrialization in the Colombian economy in the period that spans 2005-2017. This econometric exercise shows the role of the manufacturing industry as a motor for growth. The methodology uses modelling in two panels: the first, a balanced type with data added for 23 metropolitan areas; the second, a balanced type adding data from a company level, with a sample obtained from the Encuesta Anual Manufacturera (EAM) - Annual Manufacturing Survey for said period. Based on the results of multiple calculations, it is found and reaffirmed that the weakening of the manufacturing sector is evidenced in decline sustained by the percentage of participation that it has in total employment and GDP, and the harmful link between the dynamics of manufacturing employment and growth of the product. The evidence of deindustrialization identified allows a conclusion that the contribution of manufacturing to economic growth is based on static economies of scale.

JEL: B50; E12; L60; O47.

Keywords:

deindustrialization, Kaldor, increasing yields, manufacturing, economic growth, Kaldor-Verdoorn Law.

Introducción

La importancia del fenómeno de la desindustrialización para el crecimiento económico radica en la amplitud y profundidad de sus efectos en el largo plazo ya que "la acumulación de capital derivada del sector manufacturero tiene efectos específicos sobre el crecimiento" (Palma, 2005, p.119). La intensificación de la desindustrialización de las economías desarrolladas puede ser atribuible a políticas y cambios estructurales erróneos, mientras que en los países en desarrollo el fenómeno se manifiesta como un proceso que afecta la velocidad del crecimiento económico y su sostenibilidad en el largo plazo.

Al momento de iniciar la desindustrialización los países ricos contaban con una participación del empleo manufacturero superior al 18% del empleo total; entonces, sucede que el capital sustituye la mano de obra en la manufactura con salarios altos o desplaza la cadena de valor. En contraste, en las economías de industrialización tardía se han desencadenado los procesos de desindustrialización a niveles de ingreso per cápita cada vez más bajos (Felipe et al., 2018). Señalando el inicio del declive de la participación del empleo manufacturero como el punto más alto de industrialización, el hecho se describe así: países de Europa occidental (Gran Bretaña, Suecia e Italia) llegaron a este punto cuando su ingreso per cápita se ubicaba alrededor de USD 14000 (dólares de 1990), mientras que "los países latinoamericanos alcanzaron el nivel máximo con un ingreso per cápita mucho más bajo (5.461 dólares en la Argentina, 5.202 dólares en el Brasil, 4.392 dólares en Chile y 7.275 dólares en México)" (Stiglitz et al., 2017, p. 21); en contraste India y muchos países del África Subsahariana alcanzaron su pico con niveles de ingreso de USD 700 (Rodrik, 2016).

La acepción de desindustrialización prematura surge como una tendencia del fenómeno con ramificaciones económicas y políticas potencialmente importantes en economías en desarrollo. Tregenna (2016) señala que este modo de la desindustrialización es desencadenado por el giro hacia las políticas de liberalización económica, en particular las caracterizadas como "neoliberales". Al respecto, la visión de Dasgupta y Singh (2006) es dilucidar el carácter patológico a partir de la premisa de la desindustrialización como obstáculo que impide a una economía alcanzar su potencial de crecimiento, empleo y utilización de recursos.

La desindustrialización en este artículo se define como una pérdida sostenida de la participación del empleo manufacturero en el empleo total y del producto manufacturero en el Producto Interno Bruto (PIB), y caracterizada como un vínculo nocivo entre la dinámica de la producción y el empleo en la manufactura de una economía en desarrollo. El interés es indagar por las evidencias de la desindustrialización en la economía colombiana a lo largo del periodo 2005-2017. Esta delimitación considera un horizonte de análisis en el cual las reformas iniciadas en los años noventa ya estuviesen lo suficientemente asentadas tanto en la estructura productiva como en el andamiaje institucional.

En Colombia, la desindustrialización ha sido abordada en trabajos que permiten identificar diversos periodos en los que el mecanismo que aprecia el tipo de cambio real actuó mediante un boom de exportaciones de productos primarios: en el caribe colombiano 1910-1950 (Meisel, 1998), en la segunda mitad del siglo XX (Kamas, 1986) y en la primera década del siglo XXI, con el auge minero-energético (Botta et al., 2016; Goda & Torres, 2015). La economía colombiana entre los años 2005 a 2017 se ve marcada por un proceso de auge de la explotación minera y su posterior declive; este hecho llama la atención considerando el contexto en el que la industria manufacturera muestra un declive sostenido en su participación en el PIB. Junto a la evidencia que muestra que "en el periodo de 2002-2012 se presentó una apreciación de la tasa de cambio real originada en las entradas de capital" (Goda & Torres, 2015, p. 204), es posible considerar la presencia de enfermedad holandesa asociada a una de las formas de la desindustrialización.

La industria manufacturera colombiana apenas llegó al 20% de participación del PIB antes del inicio de la década de 1980, esta participación ha declinado paulatinamente a lo largo de cuatro décadas. En contraste el sector servicios ha mantenido una participación en un rango del 46% (1977) al 68% (2016) del total del producto. En términos generales esta tendencia del comportamiento del sector servicios es consistente con "el 20% de crecimiento estimado para América Latina a lo largo de la segunda mitad del siglo" (Salazar, 2014, p. 19).

La industria manufacturera mantiene la participación en el empleo en un rango con un mínimo de 11,81% (2015) y un máximo de 14,17% (2004), con un leve descenso al iniciar la segunda década (DANE, 2018). La tendencia que muestra la figura 1 -vista a nivel agregado de sector- no ofrece a primera instancia huellas de los cambios en el comportamiento del empleo manufacturo ni su nexo con el empleo no-manufacturero; más aun considerando la relativa estabilidad de la participación del empleo originado en las otras actividades económica.

Participación de la industria manufacturera en empleo y producto Colombia 2005-2017 (precios constantes 2014)

Figura 1: Participación de la industria manufacturera en empleo y producto Colombia 2005-2017 (precios constantes 2014)

Fuente: elaboración propia con base en EAM (DANE, 2018).

El objetivo de este artículo es mostrar los resultados de las estimaciones de las leyes de Kaldor como modelo de estudio de las evidencias de la desindustrialización de la economía colombiana a lo largo del periodo 2005-2017. La disponibilidad de la información permitió armonizar en único panel el reporte anual de las actividades de las firmas manufactureras para este periodo de estudio.

El artículo se estructura de la siguiente forma: en la introducción se sustenta la importancia del estudio de la desindustrialización para el crecimiento de la economía colombiana. La segunda sección fundamenta teóricamente las leyes de Kaldor como modelo de estudio para la desindustrialización en Colombia y se especifican las hipótesis para el ejercicio. La tercera sección describe los aspectos metodológicos empleados en la construcción de los paneles de datos obtenidos de la Encuesta Anual Manufacturera (EAM) y otras bases de datos. La cuarta sección aborda la metodología de estimación en los estudios con enfoque kaldoriano más reconocidos a nivel internacional. La quinta sección muestra detalladamente los resultados de cada una de las leyes de Kaldor y el análisis de las estimaciones del modelo. Finalmente, se concluye contrastando la evidencia empírica con las hipótesis de desindustrialización para Colombia.

Las leyes de Kaldor y su importancia para entender la desindustrialización

El marco kaldoriano que sirve como referente para este artículo comprende diferentes aspectos como el papel especial de la manufactura en el crecimiento económico y la existencia de rendimientos crecientes en este sector. Se analiza el supuesto sobre los incrementos de la tasa de crecimiento de la manufactura, que inducen al crecimiento interior del sector (y de otros) junto con el reconocimiento que se hace al crecimiento del empleo y el producto manufacturero como los canales para el aporte al crecimiento económico. Usando el modelo de las leyes de Kaldor se estima la asociación entre la productividad del sector y la tasa de crecimiento de la manufactura; a su vez, la asociación entre la tasa de crecimiento del PIB y el comportamiento del producto y del empleo manufacturero.

La perspectiva kaldoriana permite analizar los vínculos entre el comportamiento de la industria manufacturera y el crecimiento económico generando una perspectiva amplia sobre los canales y modos de la desindustrialización colombiana. Las evidencias referidas a los procesos de desindustrialización identificadas en diversas economías se vinculan tanto con el comportamiento de las tasas de crecimiento de la industria manufactura y el empleo manufacturero, así como con la participación de estos en los indicadores macroeconómicos. Al analizar las dinámicas del empleo manufacturero junto con el del valor agregado, surgen piezas para la búsqueda de señales de la desindustrialización. Reconózcase que "muchas economías de escala surgen como resultado de la creciente diferenciación, la aparición de nuevos procesos y nuevas industrias subsidiarias" (Kaldor, 1984, p. 14).

Las evidencias sobre el cambio técnico en la economía colombiana se estudian al interior del sector en correspondencia a la intensidad tecnológica; el modelamiento busca identificar dichas evidencias de los rendimientos crecientes a escala en la industria manufacturera, la importancia del stock de capital en el crecimiento del sector y el papel de la composición tecnológica para el crecimiento del producto manufacturero.

Los cuatro trabajos que se enmarcan en la perspectiva kaldoriana para la economía colombiana tiene en común el uso de información de tipo panel transversal. Se fundamentan en la verificación de conjunto para las leyes de Kaldor, concluyendo que: "el lento crecimiento del PIB en Colombia, comparada con otros países de América Latina, obedece a una acelerada desindustrialización" (Bonilla & González, 2006); el crecimiento económico se apoya en "la reasignación de recursos subutilizados en el sector primario o de servicios, y a la existencia de rendimientos crecientes a escala estáticos y dinámicos en la industria manufacturera" (Moreno, 2008); existen "pruebas de desindustrialización heterogénea para Colombia" (Moncayo, 2011); y, el sector servicios no actúa como un "motor de crecimiento" y que "este papel lo sigue jugando la industria manufacturera" (Salazar, 2014).

Primera ley de Kaldor

La formulación original establece "una correlación positiva entre la tasa de crecimiento promedio de la economía y el exceso de la tasa de crecimiento del producto manufacturero sobre la tasa de crecimiento de los sectores no-manufactureros" (Kaldor, 1984).

El subíndice t corresponde al año de la observación respectiva y el subíndice i representa el centro urbano o área metropolitana (AM); gy it . es la tasa de crecimiento del producto total en el año indicado; 3mi t es la tasa de crecimiento del sector manufacturero; 9nm it es la tasa de crecimiento de los otros sectores económicos; CAT i es el vector de las variables categóricas de control definidas a partir de la categorización de los municipios y departamentos usada por el Departamento Nacional de Planeación(DNP) y ε it es el vector de todos los errores aleatorios.

El control de los efectos espurios se analiza mediante la variable explicativa, que representa la diferencia entre la tasa de crecimiento industrial y la tasa de crecimiento no manufacturera en la ecuación 2. La inclusión de la tasa de crecimiento no manufacturera obedece a la necesidad de deducir, no solamente la correlación que describe la ecuación 1, sino también estimar el efecto del incremento adicional de la tasa de crecimiento de la manufactura sobre la tasa de crecimiento del producto.

Los retornos crecientes a escala se pueden observar en la relación positiva entre g y y g m , representados con los coeficientes β 1 y β 4 con magnitudes entre 0 y 1 y asociados a la contribución del sector manufacturero al aumento del valor agregado de la economía en su conjunto. Asumiendo las diferencias en la productividad entre las diferentes actividades económicas, las ecuaciones 1 y 2 arrojan coeficientes susceptibles de ser interpretados para abordar los rendimientos crecientes a escala; entre tanto, las ganancias de productividad podrían incorporar los avances técnicos (Marconi et al., 2016).

Segunda ley (ley de Kaldor-Verdoorn)

Postula una relación dinámica entre el crecimiento de la manufactura y el crecimiento de su productividad laboral, que permite explorar la presencia de rendimientos crecientes a escala. Las correspondencias son:

Pm it es la tasa de crecimiento de la productividad laboral de la firma manufacturera i en el año t, e mit es la tasa de crecimiento del empleo manufacturera, y g mit la tasa de crecimiento del producto industrial. IT¡ es el vector de las variables de control definidas a partir del sector por intensidad tecnológica establecido para la industria manufacturera, exp mit es tasa de crecimiento de las exportaciones manufactureras y % es el vector de todos los errores aleatorios. Además, se incluye como variable explicativa la tasa de crecimiento del capital fijo (kit); con este modelo se verifica la conjetura de la exclusión de la acumulación de capital. Mediante la incorporación de dicha variable se considera la tasa de crecimiento del stock de capital, anticipando así posibles sesgos en la apreciación de los rendimientos a escala.

La constante β 14 evidencia la parte de los incrementos de la productividad industrial no explicados por los incrementos en el producto industrial, es decir, el "cambio técnico autónomo". El coeficiente β 15 se asocia a la magnitud de la variación de la tasa de productividad industrial ante una variación de la tasa de crecimiento del producto industrial -comúnmente llamado coeficiente de Verdoorn-y su rango evidencia la existencia de rendimientos crecientes a escala.

Usualmente, la relación entre el crecimiento de la productividad laboral (Pmj) y el crecimiento de la producción (gmj) es estimado con datos entre países o regiones detallados con el subíndice j; en argumentos de Kaldor la ley es especificada para la industria en su conjunto ya que se considera los retornos crecientes a escala como un "macro - fenómeno" (McCombie & Roberts, 2007). En palabras de Kaldor:

La relación empírica entre el crecimiento de la productividad y el crecimiento de la producción [...] es una relación dinámica, antes que estática, entre las tasas de cambio en la productividad y del producto, más que entre el nivel de la productividad y la escala del producto - fundamentalmente porque el progreso técnico se incorpora, y no es sólo un reflejo de las economías de producción a gran escala (Kaldor, 1984, p. 14).

En la ecuación 4 la variable e mit -la tasa de crecimiento del empleo manufacturero- se considera como la explicada. En la teorización del caso: hay asociación positiva entre la tasa de crecimiento de la manufactura y la tasa de crecimiento del empleo manufacturero, y entre esta última y la tasa de crecimiento del stock de capital, los rendimientos a escala se rastrean con esta especificación que se ajusta mejor a economías con un alto nivel de desempleo o subempleo ya que potencialmente la mano de obra se traslada al sector manufacturero (Marconi et al., 2016); en este caso la razónmuestra una buena explicación de los rendimientos. Esta ecuación incorpora dos supuestos para la industria manufacturera incluidos por Kaldor en la formulación original (McCombie & Roberts, 2007): primero, la tasa de crecimiento del producto manufacturero es igual a la tasa de crecimiento del capital (pmj≡kj) y segundo, la tasa de productividad de la manufactura corresponde estrictamente a la diferencia entre la tasa de crecimiento del producto manufacturero y la tasa de crecimiento del empleo manufacturero (pmj=gmj-emj).

La tercera especificación de la ley de Kaldor-Verdoorn -en la ecuación 5- considera como variable explicada la tasa de crecimiento de los factores de entrada por firma tf mit , proporcionada de manera endógena (Marconi et al., 2016). Con este arreglo se busca capturar el aporte de la participación de los salarios en la asociación entre la tasa de crecimiento de la manufactura y la productividad. Donde ωit es la participación de los salarios en el ingreso, y el capital es evidentemente endógeno (Libanio & Moro, 2014) y el nivel de los retornos crecientes a escala es provisto por El aporte de esta estimación en la búsqueda de evidencias de la desindustrialización es muy importante ya que verifica la naturaleza endógena de la acumulación de capital.

El análisis de autores como Ros (2015) al coeficiente de Verdoorn, señala que a diferencia de la manufactura en los sectores no manufactureros no hay una asociación positiva entre el crecimiento del empleo y el crecimiento de la productividad, ya que estos sectores se caracterizan por la ausencia de rendimientos a escala y la existencia de un excedente de mano de obra. En consecuencia, el crecimiento de la productividad se determina "residualmente" como la diferencia entre el crecimiento del producto y el crecimiento del empleo no manufacturero.

Tercera ley de Kaldor

La tercera ley de Kaldor es útil en un estudio de la desindustrialización, ya que permite rastrear trazas de tres relaciones: el crecimiento de la productividad total de la economía -asociado positivamente al producto-, el crecimiento de la productividad total de la economía -asociado positivamente al crecimiento del empleo industrial- y el crecimiento de la productividad total de la economía correlacionado negativamente con el crecimiento del empleo fuera del sector manufacturero. Concretamente, si se encuentra que una disminución sostenida de la participación del producto industrial en el PIB se da simultáneamente junto con una sistemática reducción de la tasa de crecimiento de la economía, se infiere que hay evidencia de desindustrialización.

Nótese que las dos primeras leyes de Kaldor al ser estimadas conjuntamente no implican a la tercera. Adicionalmente, hay dos apreciaciones relacionadas con su sentido causal: en primer lugar, el crecimiento de la producción en la manufactura influye positivamente en el crecimiento de la productividad laboral manufacturera y de manera indirecta en la productividad laboral de los otros sectores mediante la absorción de mano de obra; y en segundo, lugar la tasa de expansión del empleo no manufacturero se eleva vía absorción del empleo por parte de la industria manufacturera. Ahora, existen unos canales mediante los cuales la expansión del producto manufacturero influye de manera indirecta en la tasa de crecimiento de la productividad general; por ejemplo, con la reasignación del empleo desde los sectores no manufactureros de baja productividad, reducción de la tasa de crecimiento del empleo en los sectores no manufactureros, una mayor tasa de aumento del flujo de bienes y una reducción de la informalidad en los sectores no manufactureros de baja productividad.

Una versión ampliada

"entre más rápido es el crecimiento del producto manufacturero, más rápida es la tasa de transferencia de trabajo de los sectores no-manufactureros, a la industria. El crecimiento de la productividad total de la economía está asociado positivamente al crecimiento del producto y del empleo industrial y negativamente correlacionado con el crecimiento del empleo fuera del sector manufacturero" (Bonilla & González, 2006, p. 122).

Py it es la tasa de crecimiento de la productividad total por ciudad o área metropolitana i en el año t; g mit y g nmit corresponden a las tasas de crecimiento de la manufactura y sector no-manufacturero respectivamente; e mit y e nmit con las tasas de crecimiento del empleo manufacturero y no manufacturero. CAT i . es el vector de las variables de control y ε it el vector de todos los errores aleatorios. En esta modelación el coeficiente β 37 se asocia a la participación de la manufactura en el producto total y β 40 a la participación del empleo manufacturero en el empleo total.

En este punto, es importante recalcar que el marco kaldoriano considera la industria como un todo unido ya que incorpora en sus análisis la concepción de los retornos crecientes a escala como un macro fenómeno. Esta idea retomada por Kaldor de Allyn Young señala que las economías de escala no pueden ser capturadas en un análisis a nivel de firma o de una industria en particular, ya que estas surgen de la creciente diferenciación implicada al interior del sector. Es por esto que la necesidad de analizar el comportamiento al interior del sector manufacturero lleva a incorporar la agregación desde el nivel de firma, para lo cual se toman como referentes los aportes de McCombie (1985) quien -al estimar los rendimientos crecientes en la industria manufacturera de los Estados Unidos- usó un panel de datos agregados desde el nivel de firma y lo e instrumentalizó a partir de otras series de datos variables explicativas y de control.

La anterior fundamentación lleva a considerar como hipótesis de trabajo la verificación de la no presencia de rendimientos crecientes en la industria manufacturera como evidencia de desindustrialización. En este sentido los indicios de desindustrialización que el modelo considera son: comportamientos que indiquen saltos en la capacidad de absorción de nuevos conocimientos para la especialización, la tasa de crecimiento del producto económico se condiciona a la trayectoria de la participación de los sectores no manufactureros, exclusión de la acumulación de capital como variable explicativa genera sesgos que distorsionan el nivel de los rendimientos crecientes a escala en las estimaciones de la productividad y empleo, y -finalmente- la existencia de un vínculo adverso entre el empleo manufacturero y la productividad fuera del sector.

Características de los paneles de datos

Las cuentas nacionales departamentales y el informe de empleo por centros urbanos son los insumios tomados del DANE, al igual que el histórico de la encuesta anual manufacturera (EAM), particularmente los microdatos de la EAM que se conforman con la información reportada por las empresas manufactureras en el respectivo formulario anual. Los datos agregados por área metropolitana (AM) se toman a partir de proporciones de los ingresos fiscales sobre los agregados departamentales.

La necesidad de contar con un vector de control para las estimaciones de la primera y la tercera ley de Kaldor se satisface con la variable categórica (CAT) extraída de la clasificación usada por el Departamento Nacional de Planeación para las entidades territoriales, a partir de indicadores de población e ingresos fiscales en las categorías especial, primera, segunda, tercera y cuarta (DNP, 2015). La consistencia del panel de las 23 áreas metropolitanas (AM) sigue las conclusiones en lo concerniente a la idea de área económica funcional con la que se busca implementar un primer acercamiento para la modelación del área efectiva de producción en lugar de la definición administrativa regional.

La categoría especial (CATESP) en los parámetros usados por el DNP corresponde a entidades territoriales con más de dos millones habitantes e ingresos superiores a 600000 salarios mínimos mensuales legales vigentes (SMMLV). La categoría primera agrupa a entidades con una población entre 700001 y 2 millones, con ingresos entre 170001 y 600000 SMMLV. Categoría segunda corresponde a entidades con población entre 390001 y 700000, e ingresos entre 122001 y 170000 SMMLV. La categoría tercera se específica con población entre 100001 y 390000, e ingresos entre 60001 y 122000 SMMLV. La cuarta corresponde a una población menor a 100000 y sus ingresos inferiores a 60000 SMMLV. Para fines del modelamiento de estas, se toma como referencia la categoría primera para la interpretación de las estimaciones.

Respecto a la cuestión del tamaño de la muestra del panel construido en las AM, se considera que las conclusiones deben estar mediadas por inferencias que no impliquen suponer la muestra de manera aleatoria, más aún cuando se trata de una unidad administrativa grande o geográficamente extensa. En concreto, las interpretaciones de las salidas de las estimaciones para la primera y tercera ley de Kaldor parten de considerar la existencia de un intercepto diferente para cada unidad (i) y la naturaleza agregada de los datos que conforman el panel.

La metodología de construcción del panel de datos para estimar la ley de Kaldor-Verdoorn llevó a la armonización en un único panel la muestra extraída de la EAM para los años 2005 a 2017. La agregación de los datos a nivel de subsector consistió en la construcción de un panel de tipo transversal. Luego, teniendo en cuenta que la máxima desagregación de la EAM es el establecimiento, fue necesario agregar a nivel de empresa todas las variables de interés -de esta manera a las empresas con un solo establecimiento se les mantuvo el código de actividad económica (CIIU) correspondiente y a las firmas multi establecimiento les fue asignado el código CIIU del establecimiento con la mayor producción reportada-; así mismo se obtuvieron las variables de producción industrial, valor agregado y empleo de la empresa mediante la suma del dato presentado por cada establecimiento.

La clasificación de los subsectores de la industria manufacturera busca capturar los aportes de la marcha del sector en concordancia a la intensidad del uso de la tecnología. Para efectos comparativos, se toma la propuesta de taxonomía de las actividades económicas de la OCDE (Galindo & Verger, 2016). Esta clasificación toma como referencia para la discriminación el índice de intensidad tecnológica (IT)1 cruzado con la Clasificación Industrial Internacional Uniforme (CIIU) para clasificar en cuatro segmentos de actividades manufactureras de: alta, media-alta, media-baja y baja intensidad tecnológica. El uso de esta taxonomía permite agrupar las empresas manufactureras colombianas y sus observaciones en la EAM en un panel consolidado de 11591 firmas con un total de 100052 observaciones a lo largo del periodo 2005-2017.

Metodología de estimación

La estructura general del modelo de estimación se retoma de Marconi et al. (2016), las definiciones de variables de control y las especificaciones de cada uno de los modelos se extraen de la amplia discusión en la literatura del campo (Angeriz et al., 2009; Felipe & Mccombie, 2002; Felipe & Mehta, 2016; Gomulka, 1983; McCombie, 1985; Thirlwall, 2015). Las variables de control son incorporadas aquí como mecanismo para evitar problemas de autocorrelación como lo efectúan algunos de los trabajos reseñados (Libanio & Moro, 2014; Marconi et al., 2016). Es de suma importancia señalar que para este modelamiento cada una de las variables relacionadas con el producto se presentan en términos del valor agregado, esta consideración se implementa para evitar las distorsiones que los impuestos y subsidios puedan generar al estimar la importancia del sector manufacturero para el crecimiento económico.

La conformación del panel y las cuestiones de agregación son relevantes en el análisis de las estimaciones de las Leyes de Kaldor como lo muestra la revisión de los estudios precedentes. Las especificaciones aquí diseñadas, se hacen usando los métodos de mínimos cuadrados ordinarios (MCO), análisis de efectos fijos (EF) y análisis de efectos aleatorios (EA). Los mínimos cuadrados ordinarios se implementan para verificar los hechos estilizados ya consolidados en el marco kaldoriano con respecto a la asociación entre las tasas en cada modelo de las leyes de Kaldor. A su vez, la conjetura de la existencia de factores exógenos que condicionan las relaciones expresadas en estas leyes lleva a considerar la presencia de inobservables que pueden o no estar correlacionados con los errores idiosincráticos, por tanto, se implementa la prueba de Hausman para cada uno de los modelos con el fin de verificar la correlación de los inobservados con las respectivas variables explicativas y de control.

De otro lado, la estructura del panel de datos de la EAM contempla la posibilidad que una empresa manufacturera deje la muestra de un periodo de tiempo a otro o que la firma omita información específica, en estos casos este panel es desbalanceado. La teoría cuantitativa plantea que un análisis de efectos fijos permite que este efecto se correlacione con los factores inobservables que cambian con el tiempo, con el fin de probar este supuesto se implementa la prueba de Hausman que se basa en la diferencia entre EF y EA. A la par se considera una prueba F para estimar un Hausman Robusto en el caso de requerir la prueba del supuesto de eficiencia del estimador de EA.

La elección de la técnica de estimación de efectos fijos para el panel por AM corresponde al tratamiento de datos de tipo macroeconómico, esta técnica asume que los efectos individuales se relacionan con las variables explicativas del modelo. Adicionalmente a este segundo panel se le aplicó la prueba de Hausman en busca de diferencias sistemáticas entre los coeficientes.

Resultados y análisis

Las regresiones a partir del método MCO estiman coeficientes significativos para todos los modelos. Esta primera apreciación es consistente con las tendencias generales encontradas en la literatura empírica del campo. El análisis detallado de los coeficientes estimados muestra que no todos son susceptibles de ser interpretados en el marco de las leyes de Kaldor, y del mismo modo algunos de los coeficientes estimados por el método EF se pueden interpretar en un tratamiento práctico que sirve al análisis económico.

El cotejo para cada una de las estimaciones entre los métodos EF y EA tiene relevancia en la medida que se usan dos paneles totalmente diferentes, con individuos i y métodos de agregación propios, con corte transversal y un número de observaciones definido. La primera cuestión sobre el panel construido sobre el histórico de la EAM (2005-2017) es la posibilidad de inclusión de factores no observados, producto de la desaparición de firmas de un periodo a otro o la omisión de un dato concreto, lo cual puede conducir a sesgos en la estimación de coeficientes en la modelación de la ley de Kaldor-Verdoorn. La segunda, trata sobre la conformación del panel por área metropolitana (23 individuos) que no permite suponer que el efecto inobservable no está correlacionado con las variables explicativas en ninguno de los cortes del panel.

Resultados primera ley de Kaldor

La tabla 1 muestra los coeficientes estimados referidos a las dos especificaciones para la primera ley de Kaldor. Los coeficientes estimados por MCO significativos al 1% explican la asociación entre el comportamiento de la tasa de crecimiento de la manufactura y la tasa de crecimiento del producto total de la economía. Se interpreta la relación como un aumento de la tasa de crecimiento del producto total de la economía ante un aumento la tasa de crecimiento de la manufactura con una bondad de ajuste alta ( 2 ≈ 0,71), en parte consecuencia de la inclusión del vector de control. Por consiguiente, al considerar los coeficientes estimados para la variable categórica CAT se debe partir de la categoría de referencia denominada primera, por lo que la categoría especial se encuentra por arriba y las categorías segunda, tercera y cuarta se encuentran por debajo en concordancia a los indicadores de población e ingresos.

Tabla 1: Estimaciones de la primera ley de Kaldor

Variables Gy it 0 + β 1 gm it + β 2 CAT i it Gy it 3 + β 4 (gm it -gnm it )+ β 5 CAT i it
MCO EF EA MCO EF EA
Tasa de crecimiento del PIB manufacturero 0,272*** 0,106*** 0,132***
(0,014) (0,021) (0,020)
Tasa (PIB manufacturero - PIB no-manufacturero) 0,237*** -0,013 0,002
(0,024) (0,023) (0,023)
Constante 0,543*** 0,611*** 0,588** 1,084*** 0 935*** 0 941***
(0,149) (0,100) (0,254) (0,189) (0,095) (0,324)
Segunda(CAT2) -0,425** -0,005 -0,051 -0,856*** -0,021 -0,055
(0,183) (0,089) (0,091) (0,237) (0,094) (0,095)
Tercera (CAT3) -1,066*** 0,023 -0,061 -1,294*** -0,036 -0,09
(0,184) (0,136) (0,138) (0,242) (0,143) (0,144)
Cuarta (CAT4) -0,986*** 0,065 -0,103 -1,671*** 0,050 0,178
(0,223) (0,232) (0,229) (0,285) (0,243) (0,242)
Especial (CATESP) 1,798*** 0,094 0,206 2,126*** 0,122 0,194
(0,231) (0,170) (0,171) (0,311) (0,178) (0,180)
r2_within 0,0938 0,0916 0,003 0,002
r2_between 0,5372 0,6000 0,003 0,333
r2 0,7081 0,0938 0,4987 0,0034
Observaciones 275 275 275 275 275 275

Nota: * Significativo al 10% ** Significativo al 5% *** Significativo al 1%

Fuente: elaboración propia.

La interpretación se enriquece incluyendo todos los coeficientes estimados que son significativos estadísticamente. Se observa que las AM con mayor población y mayores ingresos fiscales superan por mucho a todas las demás con el aporte del crecimiento de su manufactura al crecimiento del producto de la economía. En el marco de la asociación probada por este modelo de la primera ley de Kaldor, las AM categorizadas como especial superan a las demás AM.

La segunda estimación de la primera ley de Kaldor incluye la diferencia entre las tasas de crecimiento de la manufactura y la no manufactura, como vía para considerar en qué nivel el exceso del crecimiento del sector industrial explica el crecimiento del producto total de la economía.

Esta estimación (se omiten las otras categorías) entrega un comportamiento similar al expresado en la Ecuación 9 para los grupos de AM donde la categoría Especial aporta muy por encima de todas las otras AM al crecimiento del producto total con el exceso de crecimiento de su producto manufacturero. Se esperaba que las AM de la categoría Especial presentaran los mayores coeficientes para la Primera ley de Kaldor ya que allí se concentra la producción manufacturera y el empleo del sector. No hay que perder de vista que los centros urbanos son los que concentran la demanda del sector servicios; aspecto que unido a las consideraciones de tipo espacial condicionan estos hallazgos. En la tabla 1 el coeficiente estimado para la diferencia entre la tasa de crecimiento de la manufactura y la tasa de crecimiento de la no-manufactura explican en un 23% el aporte a la tasa de crecimiento del producto total de la economía debido al mayor crecimiento del producto manufacturero respecto a las otras actividades económicas.

La utilidad de la estimación de los modelos -buscando identificar los efectos inobservables sobre las tasas de crecimiento (EF o EA)- arroja coeficientes no significativos para la variable categórica. Lo anterior indica que, al considerar otros factores que actúan sobre la asociación entre las tasas de crecimiento, el control por categoría de AM pierde notoriamente su capacidad explicativa. La limitación en el uso de estas dos técnicas de estimación se relaciona tanto con las cuestiones de tamaño del panel como de la naturaleza agregada de los datos.

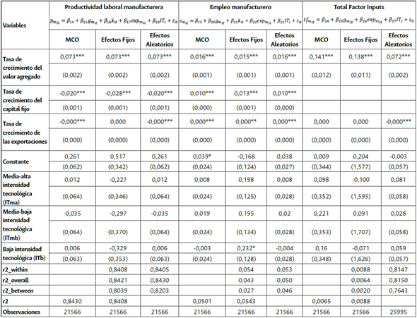
Resultados ley de Kaldor-Verdoorn

Los resultados de la primera especificación de la tabla 2 explican la productividad manufacturera a partir de la tasa de crecimiento del valor agregado del sector. Identifica una asociación negativa (-0,02) con la tasa de crecimiento del capital fijo aunque los coeficientes para la variable categórica no son significativos. La segunda especificación regresa la tasa de crecimiento del empleo manufacturero entregando coeficientes significativos para las explicativas: valor agregado, capital y exportaciones, pero no para la categórica. El nivel de interpretación para las variables explicativas se ubica abajo del 2% en el aporte a la tasa de crecimiento del empleo manufacturero.

Tabla 2: Estimaciones de la ley de Kaldor-Verdoorn

Nota: * Significativo al 10% ** Significativo al 5% *** Significativo al 1%

Fuente: elaboración propia.

La tercera especificación regresa la tasa de crecimiento de los factores de entrada definida para la ecuación 5, donde se considera la tasa de crecimiento del capital fijo como endógena. Aquí el coeficiente es significativo para el valor agregado, lo que indica que el aumento en un 14% de la tasa de crecimiento de los factores de entrada de la manufactura es respuesta a un aumento de la tasa de crecimiento del valor agregado. Respecto a la tasa de crecimiento de los factores de entrada los coeficientes de los subsectores de media-baja y baja intensidad tecnológica aportan un 22% y 16% más que el sector de la manufactura que emplea alta IT.

En conjunto, las tres especificaciones de la tabla 2 arrojan coeficientes que sustentan estadísticamente -de manera parcial- las relaciones propuestas en la ley de Kaldor-Verdoorn. El paso a seguir en este estudio econométrico es considerar la alternativa en la técnica de estimación, que involucra los efectos no observados que pueden estar -o no- correlacionados con los errores idiosincráticos. De conjunto el estudio de las correlaciones no sugiere que existan relaciones espurias que estén alterando las estimaciones propuestas para la ley de Kaldor-Verdoorn. La prueba de Hausman aplicada a las tres especificaciones no rechaza la hipótesis nula, por lo que la interpretación se inclina por los efectos fijos como método para considerar los factores inobservables en los modelos indicados. Una conclusión del estudio de la diferencia entre coeficientes es el nulo aporte de la tasa de crecimiento de las exportaciones manufactureras a la explicación de cada relación, otra conclusión es que -bajo EF- la variable categórica marca algún nivel explicativo en cada caso.

La interpretación de esta diferencia en la práctica entre los coeficientes estimados por efectos fijos y los estimados por MCO para la modelación del empleo manufacturero, informa de evidencias al considerar los subsectores por IT. Así mismo, la tasa de crecimiento del empleo manufacturero muestra una ganancia de alrededor de 20 puntos porcentuales en los coeficientes de cada categoría de la variable de control al ser estimados por EF. En términos de la tasa de crecimiento del empleo manufacturero, la manufactura de baja IT aporta un 23,2% al crecimiento más que la de alta; la manufactura media-baja y media-alta también la superan en más de 19% (tabla 2). Sin cambios sustanciales en el aporte al empleo por parte del valor agregado y el capital, esta estimación por EF evidencia que la manufactura que emplea más intensidad tecnológica está lejos de convertirse en el atractor del crecimiento del empleo al interior del sector. En esta misma columna, el coeficiente estimado para la constante (-0,168) entrega alguna información sobre los efectos inobservables, atendiendo a la condición que el número de observaciones en t no es equiparable a las observaciones en i; para este panel indicaría que factores no incluidos en este modelo están correlacionados negativamente con la tasa de crecimiento del empleo manufacturero.

Resultados Tercera Ley de Kaldor

Las especificaciones estimadas por MCO arrojan coeficientes significativos:

La magnitud del intercepto en los tres modelos (tabla 3) es proporcionalmente alta comparada con los demás coeficientes. En términos de las relaciones asumidas en el marco kaldoriano, la interpretación del intercepto no arroja una inferencia particular puesto que se está trabajando con especificaciones que son relaciones econométricamente intrínsecas. Visto desde la teoría económica, es conveniente señalar que el intercepto representa los componentes económicos que estas ecuaciones no pueden capturar para explicar la tasa de crecimiento del producto total de la economía y la productividad total.

En la interpretación de los resultados en el marco de la tercera ley de Kaldor, se evidencia la correlación positiva entre la productividad de la economía y la tasa de crecimiento del producto manufacturero (8,1%) y la correlación negativa con el empleo no manufacturero (-36%). En cuanto a la transferencia del empleo desde las actividades no manufactureras hacia la manufactura, la ecuación 12 indica que la tasa de crecimiento del producto total de la economía responde en un -39% al crecimiento del empleo manufacturero y en más de una unidad al crecimiento del empleo no manufacturero.

La tasa de crecimiento del producto total de la economía muestra un mayor aporte de la categoría especial por AM para la explicación por el crecimiento del producto manufacturero - ecuación 11-4. Entre tanto, para la regresión contra las tasas de empleo manufacturero y no manufacturero es la categoría primera por AM la que más aporta en este modelo -ecuación 12-. Inicialmente, esto evidenciaría la mayor importancia que tienen las otras actividades fuera de la manufactura para el crecimiento económico, yendo en aumento a medida que la concentración de población e ingresos por entidad territorial disminuyen.

En particular, la ecuación 13 ofrece un comportamiento que llama la atención para la categoría de AM especial en su aporte a la productividad. El coeficiente -0,233 con desviaciones típicas robustas (0,175) ante una bondad de ajuste ( 2 ≈ 0,37), conduce a un estadístico t (-0,233/0,175 ≈ 1,33) que efectivamente no termina en un coeficiente estadísticamente significativo para el aporte de las AM especial a la productividad, pero no se debe olvidar que la bondad de ajuste es un indicador de la dificultad de predecir el comportamiento del individuo (i), además de la ya señalada consideración de un panel con datos agregados. Visto en conjunto -por lo mencionado antes-, la modelación estimada para la productividad evidenciaría que cualquier AM fuera de la Primera categoría hace un aporte menor a la productividad laboral de la economía; de la misma manera, los coeficientes de la estimación para el crecimiento del producto conducen a una conclusión similar por AM. La consistencia de esta evidencia puede cuestionarse porque -en teoría- en las AM especiales -población mayor a 2 millones- se concentra la actividad manufacturera y no manufacturera.

El aporte de las regresiones por EF para las especificaciones de las relaciones expresadas en la tercera ley de Kaldor se muestran en las columnas 2, 5 y 8 de la tabla 3. Estas no parecen enriquecer la interpretación de las relaciones estudiadas. De nuevo -como se señaló para la primera ley de Kaldor-, esta deficiencia de la estimación por EF parece corresponder a limitaciones por el tamaño de la unidad (i), la naturaleza agregada de los datos y la estructura del panel. El uso de la variable categórica para el control de las estimaciones no se desvirtúa completamente ya que los coeficientes asociados a ella son significativos al menos por MCO.

El análisis atendiendo a las salidas de la primera y tercera ley de Kaldor, muestra que esta asociación se agudiza aún más con la existencia de un mercado laboral informal y un marcado declive de la participación del empleo originado en las actividades de baja intensidad tecnológica.

La existencia de rendimientos crecientes a escala se asocia con los coeficientes 0,27 -ecuación 9- y 0,23 -ecuación 10- que se encuentran en el rango esperado para una economía en desarrollo, fueron estimados a partir del panel balanceado por AM con datos agregados. Estas apreciaciones no se confirman al triangular con los coeficientes estimados en ley de Kaldor-Verdoorn a partir del panel desbalanceado agregado desde el nivel de firma. Si bien la evidencia no es irrefutable sobre la existencia de los rendimientos crecientes a escala, es posible interpretarla a favor de la posibilidad de los rendimientos crecientes a escala como macro fenómeno. Al considerar los rendimientos crecientes a escala estáticos como una consecuencia del tamaño óptimo de la empresa manufacturera, se infiere que es principalmente el tamaño de la producción manufacturera de baja intensidad tecnológica la que garantiza el aporte a la tasa de crecimiento de la economía. La tabla 2 muestra claramente que a pesar de su caída son las actividades de baja complejidad las que aportan más del 50% de la participación en el producto y empleo manufactureros. La conjetura de los rendimientos crecientes a escala estáticos cuenta con suficiente evidencia empírica.

El sesgo originado en la omisión de la acumulación de capital en la estimación de la ley de Kaldor-Verdoorn, se evidencia al incluir el vector de control de la tasa de crecimiento del capital fijo concluyendo que los coeficientes no capturan la asociación entre las tasas ya que las actividades manufactureras disponen de un amplio mercado laboral informal y tasas de desocupación relativamente altas. El sesgo queda evidenciado, al asociar este hallazgo con el mayor aporte que hacen los sectores intensivos en mano de obra a la industria manufacturera.

Los resultados de las pruebas de robustez indican que las relaciones empíricas propuestas por Kaldor muestran bondades para el modelamiento de la desindustrialización. La prueba de Hausman permitió observar las diferencias entre los coeficientes estimados por EF y EA, que en ningún caso llevaron a rechazar la hipótesis a favor de la estimación por EF; esto no es un inobjetable ante valores de coeficientes no significativos. Se observó que las diferencias entre las dos estimaciones son pequeñas lo que para esta modelación particular puede abrir la posibilidad de usar indistintamente EF o EA en la interpretación. Así mismo, la capacidad de las especificaciones para explicar la asociación entre las tasas está medida por la bondad de ajuste en la estimación de EF -overall-; este estimador se interpreta como la cantidad en la variación temporal de la variable dependiente que se explica por la variación temporal de las explicativas. El overall para la primera ley es alrededor de 0,5, para la segunda en 0,8 y en la tercera entre 0,5 y 0,6. Ya que en las salidas de la prueba de Hausman en todos los casos no se rechazó la hipótesis nula es posible hacer algunas observaciones comunes a todos los modelos que se pueden verificar con el valor de los estimadores que se reportan en el segundo bloque de las salidas en las tablas 1, 2 y 3. El estimador intragrupal -within- da cuenta del buen comportamiento dinámico de los modelos, mientras que el otro estimador intergrupal -between- está sesgado en la mayoría de los casos debido a la correlación de los inobservables con las variables explicativas.

Tabla 3: Estimaciones de la tercera ley de Kaldor

Nota: * Significativo al 10% ** Significativo al 5% *** Significativo al 1%

Fuente: elaboración propia.

Conclusiones

La tasa de crecimiento del producto total de la economía colombiana, en un contexto de declive sostenido de la participación de la producción manufacturera, se explica en una pequeña proporción por el crecimiento del producto y empleo manufactureros y considerando la concentración de la industria manufacturera en las áreas metropolitanas y centros urbanos importantes. El crecimiento de la economía está determinado por el crecimiento de las demás actividades económicas.

La dinámica del empleo y el crecimiento del producto se caracteriza como un vínculo adverso y nocivo, ya que las evidencias apuntan a un proceso de desindustrialización que no solo se limita a un declive de la participación del empleo manufacturero en el total del empleo, sino que junto a ello se evidencia simultáneamente una pérdida de la participación de la manufactura.

El papel del empleo manufacturero en su aporte al crecimiento económico se ve seriamente restringido ante la alta transferencia de mano de obra hacia los sectores no manufactureros, con el sector servicios como principal atractor. Por tanto, la idea de la manufactura como motor de crecimiento pierde peso para la economía colombiana, como se evidencia a lo largo de este artículo.

La incapacidad del sector manufacturero para absorber conocimiento en función de una especialización diferencial en correspondencia a la demanda de bienes manufacturados se evidencia en las estimaciones mostradas para la ley de Kaldor-Verdoorn, al igual que la alta dependencia respecto a factores diferentes de la acumulación de capital. Estas evidencias llevan a inferir que la productividad responde -en gran medida- al crecimiento del valor agregado, lo que expresa su dependencia del tamaño óptimo de la producción, por lo que admiten concluir que el aporte de la manufactura al crecimiento económico se sustenta en rendimientos crecientes a escala estáticos. Visto en conjunto, el comportamiento del modelo ante el vector de control por intensidad tecnológica no permite asegurar que el sector o alguno de los segmentos de la manufactura, responda a la incorporación de cierto nivel de cambio técnico a lo largo del periodo modelado.

A su vez la productividad laboral se ve limitada por la composición al interior de la manufactura, ya que no se manifiesta un cambio sustancial en la intensidad de la mano de obra y por el crecimiento del producto fuera de esta. Visto como parte de la desindustrialización, este comportamiento muestra el vínculo nocivo entre la marcha del empleo manufacturero y el crecimiento del producto total.

La pérdida de participación del empleo originado en la industria de la manufactura se compensa con una absorción por parte del resto de actividades económicas, principalmente las que demandan productos de mediana composición tecnológica como lo demuestra el pobre desempeño del sector manufacturero de alta intensidad tecnológica y el declive de la manufactura de baja tecnología.

El panorama general es el de un sector en declive, sin incorporación de conocimiento para la especialización, incapaz de consolidar encadenamientos con el crecimiento de los otros sectores económicos y sujetando su evolución a rendimientos crecientes a escala estáticos; no puede ser considerado atractor de crecimiento económico.

Finalmente, como aporte a la discusión, esta propuesta para el estudio de la desindustrialización en Colombia muestra indicios de las múltiples fuentes del fenómeno y los diversos canales por los cuales el sector manufacturero relega su papel en el crecimiento económico.

El ejercicio de investigación muestra la necesidad de abordar la compleja relación del fenómeno de la desindustrialización con el crecimiento económico, más allá de la tradicional lógica del mercado. Recuérdese que la corriente principal de la teoría económica parte de considerar que la remoción de las trabas para el funcionamiento de los mercados es lo determinante para el crecimiento económico y las disparidades de la productividad entre sectores son su consecuencia, por tanto "el declive en las tasas de crecimiento de la participación del trabajo manufacturero puede explicarse por varios factores asociados a la oferta" (Millemaci & Ofria, 2014). En contraposición, la mirada kaldoriana concibe que el crecimiento está dirigido por la demanda y soportado en las economías de escala de la industria manufacturera, lo cual implica -en cierta medida- que el crecimiento de la productividad es endógeno al crecimiento de la producción del sector y al alcance del aprendizaje práctico.

Referencias

  1. [1] Angeriz, A., McCombie, J. S. L., & Roberts, M. (2009). Increasing Returns and the Growth of Industries in the EU Regions: Paradoxes and Conundrums. Spatial Economic Analysis, 4(2), 127-148. https://doi.org/10.1080/17421770902833972 [URL] 🠔
  2. [2] Botta, A., Godin, A., & Missaglia, M. (2016). Finance, Foreign (Direct) Investment and Dutch Disease: The Case of Colombia. Economia Politica, 33(2), 265-289. https://doi.org/10.1007/s40888-016-0030-6 [URL] 🠔
  3. [3] Bonilla, R. & González, J. I. (eds.). (2006). Bien-estar y macroeconomia 2002/2006: Crecimiento insuficiente, inequitativo e insostenible. Centro de Investigaciones para el Desarrollo (CID), Facultad de Ciencias Económicas, Universidad Nacional de Colombia y Contraloría General de la República. 🠔
  4. [4] Departamento Nacional de Estadística (DANE). (2018). Encuesta anual manufacturera (EAM) Históricos. https://www.dane.gov.co/index.php/estadisticas-por-tema/industria/encuesta-anual-manufacturera-enam/eam-historicos [URL] 🠔
  5. [5] Dasgupta, S., & Singh, A. (2006). Manufacturing, Services and Premature Deindustrialization in Developing Countries: A Kaldorian Analysis [WIDER Working Paper 49/2006]. United Nations University (UNU). http://hdl.handle.net/10419/63382 [URL] 🠔
  6. [6] Departamento Nacional de Planeación (DNP). (2015). Tipologias departamentales y municipales: una propuesta para comprender las entidades territoriales colombianas. Dirección de Desarrollo Territorial Sostenible. Grupo de Estudios Territoriales. https://colaboracion.dnp.gov.co/CDT/Desarrollo%20 Territorial/Tip-FormatoPublicacion%20(tipolog%C3%ADas)%2023.pdf?Web [URL] 🠔
  7. [7] Felipe, J., & Mccombie, J. S. L. (2002). A Problem with Some Estimations and Interpretations of the Mark-Up in Manufacturing Industry. International Review of Applied Economics, 16(2), 187-215. https://doi.org/10.1080/02692170110118902 [URL] 🠔
  8. [8] Felipe, J., & Mehta, A. (2016). Deindustrialization? A Global Perspective. Economics Letters, 149, 148-151. https://doi.org/10.1016/j.econlet.2016.10.038 [URL] 🠔
  9. [9] Felipe, J., Mehta, A., & Rhee, C. (2018). Manufacturing Matters...But it's the Jobs that Count. Cambridge Journal of Economics, 43(1), 139-168. https://doi.org/10.1093/cje/bex086 [URL] 🠔
  10. [10] Galindo-Rueda, F., & Verger, F. (2016). OECD Taxonomy of Economic Activities Based on R&D Intensity [OECD Science, Technology and Industry Working Papers No. 2016/04]. https://doi.org/10.1787/5jlv73sqqp8r-en [URL] 🠔
  11. [11] Goda, T., & Torres García, A. (2015). Flujos de capital, recursos naturales y enfermedad holandesa: el caso colombiano. Ensayos Sobre Politica Económica 33, 197-206. https://doi.org/10.1016/j.espe.2015.07.001 [URL] 🠔
  12. [12] Gomulka, S. (1983). Industrialization and the Rate of Growth: Eastern Europe 1955-75. Journal of Post Keynesian Economics, 5(3), 388-396. https://www.jstor.org/stable/4537753 [URL] 🠔
  13. [13] Hatzichronoglou, T. (2016). Revisión del sector de alta tecnología y clasificación de productos [documentos de trabajo del STI 1997/2 No. OCDE/GD(9)216] . OCDE. https://www.cepal.org/sites/default/files/events/files/septima-reunion-gtci-revision-sector-alta-tecnologia-clasificacion-productos-thomas-hatzichronoglou.pdf [URL] 🠔
  14. [14] Kaldor, N. (1984). Causas del lento ritmo de crecimiento del Reino Unido. Investigación Económica, 43(167), 9-27. https://biblat.unam.mx/pt/revista/investigacion-economica/articulo/causas-del-lento-ritmo-de-crecimiento-del-reino-unido-universidad-de-cambridge-cambridge-inglaterra-2-nov-1966 [URL] 🠔
  15. [15] Kamas, L. (1986). Dutch Disease Economics and the Colombian Export Boom. World Development, 14(9), 1177-1198. https://doi.org/10.1016/0305-750X(86)90119-1 [URL] 🠔
  16. [16] Libanio, G., & Moro, S. (2014). Manufacturing Industry and Economic Growth in Latin América: A Kaldorian Aproach [documento de trabajo]. https://www.researchgate.net/publication/255652796 [URL] 🠔
  17. [17] Marconi, N., Fróes de Borja Reis, C., & De Araújo, C. (2016). Manufacturing and Economic Development: The Actuality of Kaldor's First and Second Laws. Structural Change and Economic Dynamics, 37, 75-89. https://doi.org/10.1016/j.strueco.2015.12.002 [URL] 🠔
  18. [18] McCombie, J. (1985). Increasing Returns and The Manufacturing Industries: Some Empirical Issues. The Manchester School, 53(1), 55-75. https://doi.org/10.1111/j.1467-9957.1985.tb00195.x [URL] 🠔
  19. [19] McCombie, J., & Roberts, M. (2007). Returns to Scale and Regional Growth: The Static-Dynamic Verdoorn Law Paradox Revisited. Journal of Regional Science, 47(2), 179-208. https://doi.org/10.1111/j.1467-9787.2007.00505.x [URL] 🠔
  20. [20] Meisel Roca, A. (1998). Dutch Disease and Banana Exports in the Colombian Caribbean, 1910-1950 [Borradores de economía No. 108] . Banco de la República. http://repositorio.banrep.gov.co/bitstream/handle/20.500.12134/5126/be_108.pdf?sequence=1&isAllowed=y [URL] 🠔
  21. [21] Millemaci, E., & Ofria, F. (2014). Kaldor-Verdoorn's Law and Increasing Returns to Scale: A Comparison across Developed Countries. Journal of Economic Studies, 41(1), 140-162. https://doi.org/10.1108/JES-02-2012-0026 [URL] 🠔
  22. [22] Moncayo, É. (2011). Cambio estructural, crecimiento e industrialización en América Latina 1950-2005. Universidad Nacional de Colombia [tesis de doctorado, Universidad Nacional de Colombia]. https://repositorio.unal.edu.co/handle/unal/8305 [URL] 🠔
  23. [23] Moreno, A. M. (2008). Las leyes del desarrollo económico endógeno: el caso colombiano. Revista de Economia Institucional, 10(18), 129-147. http://www.scielo.org.co/pdf/rei/v10n18/v10n18a6.pdf [URL] 🠔
  24. [24] Palma, G. (2005). Cuatro fuentes de "desindustrialización" y un nuevo concepto del "síndrome holandés." En J. A. Ocampo (ed.), Más allá de las reformas-- dinámica estructural y vulnerabilidad macroeconómica (pp. 79-129). Comisión Económica para América Latina y el Caribe (Cepal). 🠔
  25. [25] Rodrik, D. (2016). Premature Deindustrialization. Journal of Economic Growth, 21(1), 1-33. https://doi.org/10.1007/s10887-015-9122-3 [URL] 🠔
  26. [26] Ros, J. (2015). Development Macroeconomics in Latin America and Mexico. Palgrave Macmillan US. https://doi.org/10.1057/9781137463661 [URL] 🠔
  27. [27] Salazar, D. M. (2014). El papel estructural del sector servicios en el crecimiento: evidencia para Colombia [tesis de maestría, Universidad Nacional de Colombia]. https://repositorio.unal.edu.co/handle/unal/52343 [URL] 🠔
  28. [28] Thirlwall, A. P. (2015). Essays on Keynesian and Kaldorian Economics. Palgrave Macmillan. https://doi.org/10.1057/9781137409485 [URL] 🠔
  29. [29] Tregenna, F. (2016). Deindustrialization and Premature Deindustrialization. En E. Reinert, J. Ghosh & R. Kattel (eds.), Handbook of Alternative Theories of Economic Development (pp. 710-728). Edward Elgar Pub. 🠔
Este artículo presenta los resultados de la tesis de Maestría en Ciencias Económicas en la Universidad Nacional de Colombia, Facultad de Ciencias Económicas, presentada por Wilson Quijano y dirigida por Diego Guevara. La investigación no contó con financiación.
El indicador general se compone de indicadores directos e indirectos. Los directos se construyeron para 22 sectores de la industria en 10 países de la OCDE, ponderando cada uno según su participación en la producción o valor agregado; los indirectos consideran el gasto en I+D incorporado en bienes intermedios y de capital adquiridos por las firmas (Hatzichronoglou, 2016). En las interpretaciones de estos indicadores debe tenerse presente su caracterización como relativos y con un grado de arbitrariedad en la elección de los puntos de corte entre los niveles de tecnología.
Quijano-Salamanca, W., & Guevara-Castañeda, D. A. (2021). Desindustrialización: evidencias desde una mirada kaldoriana para Colombia (2005-2017). Ensayos de Economía 31(58), 13-35. https://doi.org/10.15446/ede.v31n58.88693