Ensayos de Economía
0121-117X
2619-6573
Universidad Nacional de Colombia
https://doi.org/10.15446/ede.v31n58.88712

Recibido: 29 de junio de 2020; Aceptado: 1 de octubre de 2020; Revision Received: 14 de noviembre de 2020

Turismo sostenible: un modelo de crecimiento con recursos naturales*

Sustainable Tourism: A Model for Growth Using Natural Resources

S. London, ** M. Rojas, *** K. Candias, ****

Doctora en Economía por la Universidad Nacional del Sur (Bahía Blanca, Argentina). Investigadora principal y directora del Instituto de Investigaciones Económicas y Sociales del Sur - IIESS (UNS-CONICET). Profesora titular del Departamento de Economía, Universidad Nacional del Sur. Correo electrónico: slondon@uns.edu.ar Universidad Nacional del Sur Departamento de Economía Universidad Nacional del Sur Argentina
Doctora en Economía por la Universidad Nacional del Sur (Bahía Blanca, Argentina). Investigadora adjunta del Instituto de Investigaciones Económicas y Sociales del Sur -11 ESS (UNS-CONICET). Profesora adjunta del Departamento de Economía, Universidad Nacional del Sur. Correo electrónico: mrojas@uns.edu.ar Universidad Nacional del Sur Departamento de Economía Universidad Nacional del Sur Argentina
Licenciada en Economía por la Universidad Nacional del Sur(Bahía Blanca, Argentina). Correo electrónico: candiaskaren@gmail.com Universidad Nacional del Sur Bahía Blanca Argentina

Resumen

En el marco de la Agenda 2030 del PNUD y los Objetivos del Desarrollo Sostenible, las actividades intensivas en el uso de recursos naturales son de gran interés. Entre ellas se destaca el turismo como actividad impulsora del crecimiento. Sin embargo, dicha actividad también causa daños ambientales que podrían, incluso, minar la base de la propia industria turística. Así, este artículo presenta un modelo de crecimiento sencillo de generaciones solapadas y análisis discreto para economías basadas en turismo con uso intensivo en recursos naturales. Los resultados muestran que la posición final de la economía está determinada por el grado de utilización de los recursos en la actividad turística, la impaciencia de la población respecto de las decisiones de consumo intertemporal -preferencia intertemporal-, la presencia de polución y la existencia o ausencia de medidas de mitigación. Se concluye la presencia de un autorreforzamiento positivo entre los recursos económicos destinados al desarrollo de la actividad y el stock de recursos naturales, si las medidas de mitigación son las adecuadas. El aporte es hacia la formulación de política al reconocer los fundamentos de los mecanismos causales que conducen a un resultado de turismo sostenible.

JEL: L83; Z32; O41; O44.

Palabras clave:

turismo, crecimiento, recursos naturales, sostenibilidad, preferencia intertemporal, modelo de generaciones solapadas.

Abstract

In the framework of the UNDP's 2030 Agenda and the Sustainable Development Goals, natural resource-intensive activities are of great interest. Among them, tourism is highlighted as an activity to boost growth. However, said activity also causes environmental damage that could even undermine the tourism industry's own base. As such, this article presents a simple growth model of overlapping generations and a discrete analysis for tourism based natural resource-intensive economies. The results show that the final position of the economy is determined by the degree of use of resources in tourist activities, the impatience of the population regarding intertemporal consumption decisions - intertemporal preference-, the presence of pollution and the existence or lack of mitigation measures. It is concluded that the presence of positive self-reinforcement among the economic resources destined for the development of the activity and stock of natural resources exist if the mitigation measures are adequate. The contribution is towards the formulation of policy by recognizing the basis of the casual mechanisms that lead to a result of sustainable tourism.

JEL: L83; Z32; O41; O44.

Keywords:

tourism, growth, natural resources, sustainability, intertemporal preference, overlapping generations model.

Introducción

La conceptualización del "turismo" ha evolucionado a lo largo del tiempo, adaptándose no solo a los cambios y demandas de la sociedad, sino principalmente al nuevo rol que fue adquiriendo el medio ambiente y la relevancia de los recursos naturales en su definición. Así, según una perspectiva tradicional brindada por la Organización Mundial del Turismo (OMT), este comprende las actividades que realizan las personas durante sus viajes y estancias en lugares distintos a su entorno habitual, por un periodo de tiempo consecutivo inferior a un año, con fines de ocio, por negocios y otros (OMT, 1994).

Por otra parte, el turismo como actividad económica a nivel mundial ha adquirido un papel significativo. Tal como señalan Guaita Martínez et al. (2020), esta actividad ha sido el pilar de desarrollo para varios países en el mundo, constituyéndose como promotor para la generación de empleos e incrementos inducidos en la dinámica económica. Los beneficios de la actividad se extienden en aquellos países en los que la industrialización y la reconversión del sistema productivo primario han provocado efectos adversos en el nivel de empleo (López y Arreola, 2019). Los beneficios no se circunscriben a la actividad, sino que se extienden (o derraman) al resto de la economía por los efectos multiplicadores del gasto turístico, ampliamente estudiados en la literatura macroeconómica (Rodríguez & Guisado, 2003).

Esta "industria sin chimeneas" ha incrementado considerablemente su participación en el comercio mundial. Como se puede observar en la figura 1, según datos extraídos de la base World Developmet Indicators (WDI) (World Bank, 2020), el turismo a nivel global presenta una tendencia fuertemente creciente. De hecho, esta actividad ha mostrado una expansión casi ininterrumpida desde 1950 a 2019, cuando la situación de pandemia por Covid-19 puso un freno repentino y excepcional al turismo internacional y nacional (OMT, 2015, 2019). Previo a ello, el crecimiento del turismo superó, incluso, periodos de importantes declives económicos seguidos de lentas recuperaciones en países industrializados. En el decenio 2008-2018, por ejemplo, solo durante el 2009 el arribo y los ingresos generados por turismo sufrieron una baja producto de la crisis internacional. Estos indicadores se recuperaron con rapidez posteriormente. En el periodo 2010-2018, el turismo experimentó un crecimiento medio anual del 5%, tasa mayor a la reportada por el flujo de exportaciones o, incluso, el PBI mundial (OMT, 2019).

Turismo internacional a nivel mundial, número de arribos

Figura 1: Turismo internacional a nivel mundial, número de arribos

Fuente: elaboración propia con base en datos del WDI (World Bank, 2020).

Para la región de América Latina y Caribe (ALyC), la tasa de crecimiento media anual de la actividad entre los años 1995 y 2017 rondó el 4%, transformándose en un dinamizador de gran relevancia para el desarrollo de áreas atrasadas. Al respecto de ALyC, cabe agregar que se ha producido una diversificación de la actividad debido a la presencia de diferentes taxonomías turísticas en función de los motivos del viaje (Moreno, 2011) Con relación a la disponibilidad de ciertos recursos -como los naturales, culturales, arquitectónicos, etcétera- y a la política de desarrollo implementada, un lugar podrá especializarse en uno u otro tipo de turismo, presentando consecuentemente más o menos impactos sobre el medioambiente.

La trascendencia e impulso que obtuvo el turismo en la economía mundial puede deberse a los distintos efectos positivos que presenta:

  1. El incremento de divisas en los países de arribo, dado que los turistas suelen ser grandes consumidores en los periodos temporales de estancia.

  2. Un mayor número de puestos de trabajos.

  3. La contribución a los ingresos públicos.

  4. El incremento en las oportunidades de negocios.

  5. El aumento del volumen del comercio regional y mundial.

  6. La afluencia de capitales desde países desarrollados hacia países menos desarrollados.

Esto último se debe, particularmente, a que muchas zonas en desarrollo presentan características naturales atractivas que les permiten ser receptoras de un gran volumen de turistas y posicionarse como nuevos destinos turísticos, tales como los casos del Caribe, Oceanía, América Latina y Asia. La relevancia del gasto turístico se traduce en tres tipos de efectos sobre la economía: impactos directos, indirectos e inducidos (Brida et al., 2008). Los efectos directos son aquellos vinculados con los ingresos por ventas de las empresas de servicios, que permiten que realicen mayores adquisiciones de bienes y servicios, dentro y fuera de la región, generando "encadenamientos". Con respecto a los efectos indirectos, se refiere a los encadenamientos que se producen cuando los proveedores turísticos compran sus insumos a otras empresas de la región que, a su vez, les compran insumos a otras. En tanto los inducidos surgen cuando los destinatarios del gasto directo e indirecto -propietarios y empleados- gastan sus ingresos, lo cual desencadena una serie de compras por empresas intermediarias contribuyendo al PIB.

Sin embargo, es importante tener presente que el turismo es una actividad que está estrechamente vinculada al medio ambiente, dado que se desarrolla particularmente en este entorno. Entonces, definir al turismo de manera aislada al medio ambiente y particularmente del impacto que genera en él -no solo en el corto tiempo, sino que en el largo plazo- sería erróneo; por lo que una nueva concepción del turismo que se adapta mejor a la situación actual es la de turismo sostenible.

La OMT define al turismo sostenible como el turismo que tiene plenamente en cuenta las repercusiones actuales y futuras, económicas, sociales y medioambientales para satisfacer las necesidades de los visitantes, de la industria, del entorno y de las comunidades anfitrionas (OMT, 2005). A partir de la última definición se puede observar que esta actividad económica debe tener presente -además de los efectos económicos positivos que la impulsan- los impactos negativos que se generan sobre los recursos naturales actuales y futuros. Asimismo, se debe considerar el comportamiento de la sociedad en la que se desarrolla la actividad: si es una localización en la cual se procura la protección y conservación de los recursos, se desarrollará un marco social-cultural -incluso legal- que limitará el accionar de las actividades que consideren altamente perjudiciales (Rojas & London, 2015).

El punto crítico en el análisis se plantea cuando no se internalizan los efectos nocivos de la actividad turística, en particular en aquellos recursos que no son renovables. En estos casos, el elevado y descontrolado flujo turístico pone en riesgo la permanencia del recurso y la posibilidad de que generaciones futuras puedan disfrutar de él, junto al profundo impacto negativo de las alteraciones que provoca en el ecosistema (Azqueta, 1994).

En este punto, desde la teoría del crecimiento económico, se destaca el rol de la tasa de descuento social, la cual resume las preferencias por el consumo presente versus consumo futuro y permite visualizar la relevancia de la ponderación intergeneracional (London, 2016). La consideración de una tasa social de descuento plantea el problema de la elección en un horizonte de más largo plazo y define preferencias sociales antes que individuales, con otras implicancias éticas. Este parámetro identifica cómo una sociedad descontará los beneficios y costos futuros de sucesivos incrementos en el bienestar social (Rojas, 2017). Una mayor tasa de descuento pondera con más peso el consumo actual y, en términos prácticos asociados a una actividad como el turismo, podría conducir a la sobreexplotación de los recursos.

Por esta razón, el objetivo de este artículo es presentar un marco formal de análisis encuadrado en la Teoría de Moderna de Crecimiento a partir de la construcción de un modelo sencillo de generaciones solapadas con el propósito de evaluar los efectos económicos y ambientales de la actividad turística sobre una economía basada en dicha actividad. A tal fin, se introducen conceptos como la polución, la tasa de recuperación ambiental y la tasa intertemporal de descuento. La valoración que realicen los agentes respecto del futuro derivará en la aplicación -o no- de medidas de mitigación, lo cual condiciona los resultados en términos de desempeño macroeconómico.

Cabe aclarar que el tipo de turismo al que se refiere este trabajo es aquel basado en la explotación de recursos naturales, como es el caso del turismo de sol y playa o el turismo de aventura, de gran relevancia para la región de ALyC en particular. La contribución de este artículo es brindar una herramienta teórica para la justificación de política económica al reconocer los fundamentos de los mecanismos causales que hacen al establecimiento de políticas de mitigación de daños ambientales tendientes al desarrollo turístico sostenible.

A continuación, se presenta una discusión acerca de los impactos del turismo sobre el crecimiento y el medio ambiente, con algunas referencias a literatura previa. En otro apartado se presenta la construcción teórica. Finalmente, en las conclusiones se discuten los resultados del modelo en términos de política económica.

Los impactos del turismo sobre el crecimiento y el medio ambiente

Se ha explicado conceptualmente, la relevancia del turismo como actividad económica. Por otra parte, varios trabajos han demostrado empíricamente la relación positiva entre el turismo y el crecimiento económico (Ahmad et al., 2020; Brida et al., 2015; Candias et al., 2020; Chou, 2013; Lee & Chang, 2008; Lin et al., 2019). Sin embargo, esta industria también genera consecuencias negativas, particularmente sobre el medio ambiente. Entre los impactos negativos se destaca el incremento del consumo de suelo, agua y energía, el aumento de la producción de residuos y aguas residuales, la destrucción de paisajes al crear nuevas infraestructuras y edificios, la alteración de los ecosistemas, la introducción de especies exóticas de animales y plantas, el impacto de inducir flujos de población hacia zonas más despobladas, entre otros.

El análisis empírico también da cuenta de estos efectos. El incremento del turismo podría dar lugar a un acrecentamiento de las emisiones de carbono, degradación de áreas forestales y una inestabilidad en cuanto a aspectos medioambientales que podría traducirse en efectos negativos permanentes (Andriansyah et al., 2019; Ghobadi & Verdian, 2016; Jermsittiparsert & Chankoson, 2019; Tang et al., 2017). Por ello, Azam et al. (2018) sugieren que el desarrollo económico sostenible debe garantizarse a través de políticas públicas prudentes que permitan un mayor crecimiento turístico pero sujeto al cumplimiento de la responsabilidad de mantener un medio ambiente verde y sostenible.

Frente a estas consecuencias, en un gran número de países se han implementado políticas con el objetivo de regular la actividad turística protegiendo al medio ambiente, frente al indiscutible efecto positivo que genera el turismo en países en desarrollo (Guaita Martínez et al., 2020). Por ejemplo, en Cuba se desarrolló un programa de cuidado ambiental que permite garantizar el desarrollo futuro del turismo (Rodríguez & Peña, 2019). En este mismo sentido ha trabajado Colombia, a través de una resolución en 2015 que establecía la implementación de normas técnicas de sostenibilidad como condición para la renovación del Registro Nacional del Turismo -garantía que les permite operar en el país a quienes ofrecen el servicio-. También se evidencia en el caso de México, en donde se implementó un plan de sensibilización que incluye a receptores y turistas. Sin embargo, la contracara de esto son casos como las playas de Copacabana e Ipanema en Río de Janeiro (Brasil), donde los excesivos residuos de aguas servidas e industriales contaminaron las costas, o Pehuen Có en Argentina, donde los problemas de erosión producto de la modificación antrópica de la costa trajo como consecuencia la pérdida de los balnearios (Rojas et al., 2014).

La literatura teórica primeramente trató de justificar la relación positiva entre el turismo y el crecimiento como una relación unívoca (Hazari & Sgro, 1995; Lanza & Pigliaru, 2000; Lozano, Gómez & Rey-Maquieira, 2008; Nowak et al., 2005; Pina & Martínez-García, 2013). La "importación" del desarrollo a través del turismo y la constante mejora de los términos de intercambio de las economías especializadas en turismo son algunas de las causas esgrimidas por estos modelos para justificar el crecimiento económico basado en turismo.

No obstante, muchos de estos trabajos no consideraron la degradación de los recursos medioambientales como una consecuencia no deseada en el proceso de crecimiento de las economías turísticas (Cerina, 2007). En esta línea, Brida, London y Rojas (2014) analizan cómo la preferencia por el futuro afecta la inversión en la actividad turística, la cual se basa en la explotación de recursos naturales. A su vez, Schubert y Schamel (2019) analizaron un modelo de crecimiento dinámico en donde se incorpora la noción de turismo sostenible, y en donde los resultados finales dependerán de las condiciones iniciales y de la "calidad" del turismo propuesto. En esta línea se encuentra el modelo que se desarrollará a continuación.

Hoy en día, no quedan dudas que el crecimiento continuado de la actividad turística y sus efectos medioambientales conllevan la necesidad de una evaluación de impacto ambiental con el fin de establecer un modelo de desarrollo turístico sostenible (Rebollo, 1992). Si bien el propósito de este artículo es delinear un modelo formal de crecimiento basado en la actividad turística, es importante reconocer los fundamentos de los mecanismos causales planteados y las posibles vías de valoración empírica de los mismos.

La dimensión ambiental en el análisis económico se ha encarado desde la economía ambiental -utilizando herramientas del análisis neoclásico- y la economía ecológica, desde una perspectiva sistémica. Ambos enfoques puntualizan en los efectos sobre el medio ambiente de determinadas actividades. El análisis del impacto ambiental puede realizarse a través de diferentes metodologías de valoración, cuyas herramientas provienen del enfoque económico neoclásico, fundamentalmente el análisis costo-beneficio. Sin embargo, este análisis se encuentra limitado en algunos conceptos, por lo que un enfoque más amplio resulta de la consideración de las funciones de la biósfera (London, 2017).

De acuerdo con Pearce (1976, citado en London 2017), existen cuatro funciones que otorgan valor al medio ambiente y que sintetizan sus interrelaciones con la economía, permitiendo centrar la discusión en torno a la gestión de los recursos naturales y la valoración ambiental:

  1. Función de producción: produce gran cantidad de bienes económicos, constituyendo la base sobre la que se apoyan muchos procesos productivos, que serían impensables en su ausencia. El medio ambiente participa en los procesos de producción, distribución y consumo de bienes y servicios económicos ofreciendo unos insumos muchas veces esenciales.

  2. Receptor de residuos y desechos, como resultado de las actividades productivas y de consumo de la sociedad. Hasta un cierto límite y debido a su capacidad de asimilación puede absorber estos residuos y transformarlos en sustancias inocuas o incluso beneficiosas.

  3. Proporciona bienes naturales: paisajes, parques, entornos naturales, cuyos servicios son demandados por la sociedad.

  4. Constituye un sistema integrado que proporciona los medios para sostener toda clase de vida.

Dado que en este artículo el estudio se reduce a las relaciones funcionales entre las variables involucradas, el foco en el apartado siguiente estará centrado en la formalización de las cuatro funciones mencionadas, siendo la función 3 la base de la actividad turística.

El análisis formal

Se presenta, a continuación, un modelo de crecimiento que pretende formalizar las ideas hasta aquí esbozadas. Se trata de un modelo sencillo de familias productoras y generaciones solapadas, con un análisis en tiempo discreto. Se asume una economía basada en la producción de servicios turísticos que utilizan recursos naturales. Dicho servicio se produce, además, mediante el uso de capital físico y trabajo. Los recursos naturales tienen la particularidad de ser un bien libre y poseer características de bien público. Las firmas toman el acervo de capital natural para la producción de los servicios turísticos sin pagar un precio por ello. Además, la actividad genera ciertos daños sobre el sistema -polución-. Por supuesto, bajo este esquema, el capital natural podría estar sujeto a sobreexplotación y degradación ambiental.

Por simplicidad, se asume que cada familia está compuesta por un único individuo. Cada familia representa, a su vez, una firma productora de la generación o dinastía. Las familias tendrán una valoración respecto de la elección intertemporal. Esta valoración -representada a través de la tasa intertemporal de descuento- está directamente asociada a la apreciación que tendrán respecto del medioambiente. En función de esta valoración subjetiva las familias, actuando como productoras, estarán dispuestas a destinar una mayor o menor proporción de sus beneficios derivados de la actividad turística a medidas de mitigación a fin de reducir el impacto de la polución que la misma actividad genera.

Las familias

Cada individuo vive dos periodos y maximiza una función de utilidad en términos del consumo en y. Los individuos poseen una unidad de tiempo en cada periodo, la cual destinan enteramente a trabajar en . En realizan su consumo de acuerdo a la renta que reciben por el ahorro efectuado en el primer periodo. Asumiendo una aversión relativa al riesgo constante y elasticidad de sustitución unitaria, la utilidad para un agente nacido en el momento t será:

En donde c t+j es el consumo efectivo del individuo nacido en el momento t en su periodo de vida t+j , con j ={0,1}. C t+j es un bien de consumo tradicional, el cual se importa.

Nótese en la ecuación [1] que si ρ>0, el individuo nacido en t le asigna más peso al consumo del primer periodo que al del segundo periodo. De hecho, si ρ → ∞, todo el peso se asigna al consumo del primer periodo. Por el contrario, si ρ <0, la mayor ponderación será para el consumo del segundo periodo. Y cuando ρ →-1, se asignará toda la relevancia al consumo del segundo periodo1. Cuando ρ =0 el consumo de ambos periodos recibe la misma ponderación.

Como los individuos producen solo durante su primer momento de vida, el consumo del bien económico en t+1 será el ahorro generado en el momento t, fructificado por el interés:

donde es la tasa de interés y es el ingreso del individuo nacido en . Dividiendo ambos lados de la ecuación por y reagrupando, se tiene:

La ecuación [3] representa la restricción presupuestaria, en donde el valor presente del consumo a lo largo de la vida es igual a los ingresos actualizados.

El problema del individuo se resume en maximizar la utilidad, [1], sujeto a la restricción [3]. Construyendo el Lagrangiano, se obtiene:

Las condiciones de primer orden para c t y c t+1 , respectivamente, son:

Reemplazando la primera ecuación en la segunda, se obtiene:

que puede reescribirse como:

La ecuación [8] representa la tradicional ecuación de Euler, la cual implica que el consumo de los individuos aumentará o disminuirá con el correr del tiempo dependiendo de si el rendimiento real del ahorro es mayor o menor que la tasa de descuento subjetiva. La ecuación de Euler junto a la restricción presupuestaria, [3], describen el comportamiento de los individuos respecto del consumo y del ahorro a lo largo del tiempo. Reemplazando [8] en [3], se obtiene el consumo en función de la renta y de la tasa de descuento:

La relación determina qué proporción de los ingresos del individuo se consumen en el primer periodo2. es creciente en ρ (figura 2), siendo que cuanto mayor es el factor de descuento se le asigna más relevancia al consumo del primer periodo y, por lo tanto, se destinará una mayor proporción de la renta al consumo en t.

Dado que el ahorro individual es: S t - yt - C t, la fracción de la renta que se ahorra o tasa de ahorro, es decreciente en (figura 3) y puede escribirse como:

Proporción de ingreso consumido en t

Figura 2: Proporción de ingreso consumido en t

Fuente: elaboración propia.

Comportamiento de la tasa de ahorro

Figura 3: Comportamiento de la tasa de ahorro

Fuente: elaboración propia.

Las firmas

Todas las firmas -idénticas y actuando bajo competencia perfecta- surgidas en t producen una cantidad de servicio turístico, ST t , mediante el uso de capital, trabajo y recursos naturales:

Siendo que las firmas están representadas por las diferentes familias y estas difieren en su percepción respecto del valor asociado al tiempo y a la degradación del ambiente, cada generación en su rol de familia-productora destinará un monto de sus beneficios empresariales al cuidado del medioambiente -por ejemplo, para la implementación de medidas de mitigación a fin de disminuir la degradación de los recursos naturales ocasionada por el turismo-. Esta proporción de los beneficios, , dependerá de la tasa de descuento subjetiva, siendo una función monótona decreciente de ρ:

Luego, la función de beneficios netos a maximizar por las firmas será:

donde p es el precio relativo entre el servicio producido en esta economía y el bien de consumo importado, ct, el cual se toma como numerario. Recordando que R t es un recurso libre, las condiciones de primer orden para la maximización del beneficio se resumen en:

Y despejando:

Sustituyendo [17] y [18] en [14] es fácil ver que las firmas tendrán beneficios supernormales derivados de los retornos del recurso libre:

Los beneficios supernormales serán mayores cuanto mayor sea el precio relativo del servicio turístico, el nivel de producción del mismo y la participación relativa de los recursos naturales en la producción; y menores cuanto mayor sea la preferencia por el futuro dado que se destinará un monto mayor a medidas de mitigación. El ingreso de las familias vendrá dado por el salario y la distribución equitativa de los beneficios supernormales:

Dinámica

Para cada dinastía, la inversión agregada neta -esto es, la variación de capital entre t y t+1- debe igualar el ingreso total de la economía menos el consumo agregado:

donde se asume que la tasa de depreciación del capital físico es nula por simplificación. Además, c t,t y c t-1, t son el consumo en el momento t de la dinastía joven -nacida en t- y el consumo en t de la dinastía vieja -nacida en t-1-. Dado que c t,t =y t -s t y c t-1,t =(1+r t )s t-1 , reemplazando en [21] se obtiene la ecuación que identifica la ley de movimiento del capital:

Debe considerarse que la economía comienza a existir en algún punto del tiempo con un stock de capital K 1 , el cual es apropiado por las L 0 familias existentes en ese momento inicial, y que en t=1 transcurren su segundo periodo de vida. Esta generación consume un monto equivalente a: c 0,1 L 0 =(1+r 1 )K 1 , siendo que inicialmente K 1 /(L 0 =s 0 ). Además, sabiendo que c 1,1+s1=y1, si se reexpresa la ecuación [22] para t=2, implica que: K 2 =s 1 L 1 . Luego, la ecuación [22] implica que:

Este es un resultado común en los modelos de generaciones solapadas que no consideran cuestiones de altruismo intergeneracional, e implica que la generación vieja "venderá" todo su capital a la próxima generación joven3.

Los otros dos factores relevantes evolucionan a lo largo del tiempo de acuerdo con las siguientes leyes:

La ecuación [24] muestra que la población crece a una tasa constante y exógena n. La ecuación [25] establece cómo se regeneran los recursos naturales en la economía turística y es similar a la denominada Ley de Conrad (Conrad & Clark, 1987), la cual determina que la habilidad de los recursos libres de regenerarse declina con el nivel de polución, P t . En este caso, se adiciona una reparación por medidas de mitigación, en donde son los recursos destinados a medidas de mitigación, es decir: M t = τ(ρ) (1 - α - β) ρ ST i t . Según la Ley de Conrad, cuando la polución supera cierto umbral, la naturaleza pierde su capacidad de auto-regeneración. Esto es, si el ambiente enfrentará un proceso de degradación y entonces r t+1 < r t .

Recordando que la polución se deriva de la propia actividad turística, se asume que el nivel de P t vendrá dado por:

donde {y,μ} > o determinan el ritmo al cual la actividad turística genera polución. Luego, las ecuaciones [23] a [26] definen la dinámica del sistema.

El equilibrio

En la ecuación [23], reemplazando por [10] y por [20], y expresando todo en términos de tasa de cambio:

La ecuación [27] presenta algunos resultados típicos, como el hecho de que los rendimientos marginales decrecientes del capital actúan reduciendo la tasa de incremento del mismo. El precio del servicio turístico incrementará los beneficios y, por lo tanto, la inversión. La tasa de descuento tendrá un efecto negativo directo dado que una mayor preferencia por el consumo actual reducirá las posibilidades de ahorro y, por lo tanto, de inversión. Sin embargo, debe tenerse en cuenta que aquí juega un doble rol, dado que además, reducirá el monto destinado al cuidado del ambiente reflejado en la función τ(ρ), incrementando el monto destinado a inversión.

De la misma forma, de [25] y [26] puede derivarse el recorrido del stock de capital natural, que expresado en términos de tasa de cambio es:

En este caso, las medidas precautorias que se incrementan ante caídas en la tasa de descuento, aumenta la tasa de acumulación del acervo de capital natural. Y el aumento es mayor cuanto mayor sea la participación del capital natural en la producción del turismo. A su vez, será menor cuanto mayor sea la tasa a la cual es turismo genera polución μ. De manera que cuanto más "sucio" sea el turismo producido, menor será el stock final de capital natural.

En el equilibrio y en ausenda de cualquier fuente de crecimiento exógeno, y . Si se asume que n=0 en el estado estacionario, entonces en donde L 0 es la condición inicial de la población -define, de alguna forma, el tamaño de la economía-.

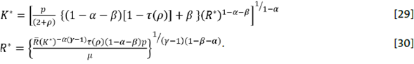
Despejando K* y R* -los niveles de equilibrio para el estado estacionario- de las condiciones anteriores, se obtiene:

en donde se normalizó L 0=14. El stock de capital guarda una relación positiva con el nivel de recursos. Cuanto mayor sea el nivel de recursos naturales de la economía turística, esto permitirá un mayor nivel de producción y, por lo tanto, de capital físico. Y este nivel será mayor cuanto menor sean los recursos destinados a medidas precautorias.

Pero, al mismo tiempo, el resultado interesante es que el nivel de recursos depende negativamente del nivel alcanzado por el capital. Y esto se produce por las actividades de polución que genera el turismo y por la no internacionalización de los costos en el uso de R para la producción. Es por ello que (1-α-β), la participación del capital natural en la producción, juega un rol positivo en R*, a partir de mayores beneficios destinados a medidas de mitigación, pero también juega negativamente a partir de un mayor nivel de K*. Las condiciones iniciales y el valor de los parámetros -particularmente ρ -, definirán la posición del equilibrio final. Véase que si no existieran medidas de mitigación y τ(ρ)=0, tanto R* como K* serían cero, por lo que, tal como fue planteado el modelo, la polución llevaría a la destrucción total de la economía y del propio turismo. Por otra parte, si τ(ρ) =1, aún podría obtenerse un equilibrio con valores positivos de capital físico y natural, siendo que la economía posee beneficios supernormales devenidos del uso de los recursos libres. Esto llama la atención respecto de un análisis adicional que aquí no se realiza pero que se observará en futuras extensiones del trabajo: cuál podría ser la tasa óptima τ(ρ).

Diagrama de fases

Figura 4: Diagrama de fases

Fuente: elaboración propia.

Conclusiones

Como se planteó inicialmente en este artículo, hay una aceptación generalizada con respecto a que el turismo genera crecimiento económico, por las inyecciones de dinero provistas a través de los distintos canales que fueron mencionados. Sin embargo, es un hecho que no todas las regiones del mundo crecen de manera uniforme ante tal impacto y -también- muchas veces este efecto positivo se ve contrarrestado por diferentes motivos, entre ellos las consecuencias perjudiciales que causan en el medioambiente.

El análisis formal realizado permite establecer las bases para una futura valoración ambiental de la actividad turística y su impacto sobre el crecimiento económico. En el resultado final, resumido en las ecuaciones [29] y [30], se advierte una complementariedad entre los recursos económicos -el capital- y los recursos libres -los naturales- con relación a la producción turística. Un mayor nivel de ambos acervos permitirá expandir la actividad y, nuevamente, aumentar el stock de capital físico. Sin embargo, al mismo tiempo, se vislumbra un efecto adverso del nivel de capital sobre los recursos naturales: cuanto mayor sea el grado de desarrollo de la actividad -para un nivel dado de los parámetros-, mayor será el grado de contaminación y degradación de los recursos naturales. En términos intuitivos, mucho capital físico terminará produciendo ningún recurso natural si el excedente de los beneficios no se destina a medidas de mitigación.

Las claves de política para que esto suceda son, en particular, el ritmo al cual la actividad turística genera polución -parámetros - y la valoración por el futuro reflejada en la tasa intertemporal de descuento. Los resultados son sensibles a la internalización del impacto ambiental tanto de la contaminación producto de la actividad turística como de la recuperación natural del ambiente -las funciones de reciclaje del ambiente descriptas por Pearce-. En el extremo, y en ausencia de medidas precautorias, el deterioro ambiental puede conducir al estancamiento del sistema (London, 2017).

Para el caso del turismo de sol y playa es posible encontrar ejemplos concretos de los resultados formales presentados. El análisis no se remite a la contaminación producto de la asistencia a los lugares turísticos; la degradación costera se produce también por el crecimiento urbano y el tránsito vehicular, entre otros factores antrópicos. Y un punto de especial significancia, que se traduce en el principal desafío para los países en desarrollo, es la sustentabilidad ambiental y social, que permita la continuidad de la actividad (Guaita Martínez et al., 2020).

El incremento del turismo y la carencia de políticas ambientales específicas -manejo costero y políticas urbanas- en algunas regiones particulares alteran la dinámica natural propia de estas playas, poniendo en riesgo el crecimiento sustentable basado en el turismo. Por otra parte, la calidad ambiental en el turismo de sol y playa representa -tal como se describe en el modelo de la sección anterior- la base para el crecimiento económico fundamentado en la actividad turística (Márquez et al., 2017).

Por otra parte, dado que el turismo basado en el uso de recursos presenta una gran estacionalidad, sería relevante analizar su complementariedad con otras tipologías de turismo, como el cultural, por ejemplo, a fin de compensar las fluctuaciones de la actividad. Desestacionalizar la actividad podría ser clave desde una perspectiva económica y ambiental. Principalmente, en países en desarrollo, se podría brindar a los trabajadores periodos más prolongados de empleo estable, lo que se vería reflejado en su cualificación y productividad. En cuanto al capital instalado, se podría obtener un mayor aprovechamiento, logrando reducir el costo por unidad producida y aumentando la rentabilidad. Esta desestacionalización se puede lograr a través de una estrategia de "diversificación de la oferta turística" para mejorar la competitividad de un destino turístico (García & Alburquerque, 2003).

En síntesis, los países en desarrollo -y aún los desarrollados- se enfrentan a un doble desafío a la hora de delimitar sus estrategias frente a esta importante actividad generadora de crecimiento económico. Por un lado, incrementar la actividad turística a través de mejoras en el sector, en la productividad de los factores y en las cadenas de valor, focalizando en las ventajas comparativas y desestacionalizando la actividad. Por otra parte, fortalecer las políticas ambientales de mitigación y preservación del ambiente y los recursos naturales involucrados, de manera integral con las políticas económicas.

Aunque la actual crisis de pandemia Covid-19 ha dejado en jaque esta actividad, es de esperar que la reanudación de las actividades comerciales y apertura de las vías de comunicación permitan la recuperación y nueva expansión turística (OMT, 2020). Esta situación acentúa la relevancia del estudio planteado. Indudablemente las particularidades con que se desarrolla la actividad sufrirán cambios trascendentales. El éxito frente a estos desafíos delimita el sendero del crecimiento y desarrollo sostenible basado en el turismo.

Referencias

  1. [5] Ahmad, N., Menegaki, A. N. & Al-Muharrami, S. (2020). Systematic Literature Review of Tourism Growth Nexus: An Overview of the Literature and a Content Analysis of 100 Most Influential Papers. Journal of Economic Surveys, 34(5), 1068-1110. https://doi.org/10.1111/joes.12386 [URL] 🠔
  2. [6] Andriansyah, A., Taufiqurokhman, T. & Wekke, I. S. (2019). Impact of Environmental Policy Factors on Tourism Industry: A Study from Indonesia Over Last Three Decades. International Journal of Energy Economics and Policy, 9(3), 360-365. https://doi.org/10.32479/ijeep.7754 [URL] 🠔
  3. [7] Azam, M., Alam, M. & Hafeez, M. H. (2018). Effect to Tourism on Environmental Pollution: Further Evidence from Malaysia, Singapore and Thailand. Journal of Cleaner Production, 190, 330-338. https://doi.org/10.1016/j.jclepro.2018.04.168 [URL] 🠔
  4. [8] Azqueta Oyarzun, D. (1994). Valoración económica de la calidad ambiental. McGraw-Hill. 🠔
  5. [9] Barro, R. & Sala-i-Martin, X. (1995). Economic Growth. McGraw-Hill. 🠔
  6. [10] Brida, J. G., Pereyra, J. S., Such Devesa, M. J. & Zapata Aguirre, S. (2008). La contribución del turismo al crecimiento económico. Cuadernos de Turismo, 22, 35-46. https://revistas.um.es/turismo/article/view/47931 [URL] 🠔
  7. [11] Brida, J. G., London, S. & Rojas, M. (2014). El turismo como fuente de crecimiento económico: impacto de las preferencias intertemporales de los agentes. Investigación Económica, 73(289), 59-77. https://doi.org/10.1016/S0185-1667(15)30003-5 [URL] 🠔
  8. [12] Brida, J. G., Lanzilotta, B., Pereyra, J. S. & Pizzolon, F. (2015). A Nonlinear Approach to the Tourism-led Growth Hypothesis: The Case of the MERCOSUR. Current Issues in Tourism, 18(7), 647-666. https://doi.org/10.1080/13683500.2013.802765 [URL] 🠔
  9. [13] Candias, K., Rojas, M. L. & London, S. (2020). Turismo y crecimiento en América Latina y Caribe: ¿causa o consecuencia?. Economia Coyuntural, 5(3), 87-123. https://doi.org/10.5281/zenodo.4061875 [URL] 🠔
  10. [14] Cerina, F. (2007). Tourism Specialization and Environmental Sustainability in a Dynamic Economy. Tourism Economics, 13(4), 553-582. https://doi.org/10.5367/000000007782696032 [URL] 🠔
  11. [15] Chou, M. C. (2013). Does Tourism Development Promote Economic Growth in Transition Countries? A Panel Data analysis. Economic Modelling, 33, 226-232. https://doi.org/10.1016/j.econmod.2013.04.024 [URL] 🠔
  12. [16] Conrad, J. M. & Clark, C. W. (1987). Natural Resource Economics. Notes and Problems. Cambridge University Press. 🠔
  13. [17] Rodríguez-Domínguez, M. & Guisado-Tato, M. (2003). Competitividad y análisis estratégico del sector turístico en Galicia: consideraciones para la mejora competitiva. Revista Galega de Economía, 12(1), 1-22. http://www.usc.es/econo/RGE/Vol%2012_1/Castelan/art8c.pdf [URL] 🠔
  14. [18] García Sánchez, A. & Alburquerque García, F. J. (2003). El turismo cultural y el de sol y playa: ¿sustitutivos o complementarios? Cuadernos de Turismo, 11, 97-105. https://revistas.um.es/turismo/article/view/19581 [URL] 🠔
  15. [19] Ghobadi, G. J. & Verdian, M. S. (2016). The Environmental Effects of Tourism Development in Noushahr. Open Journal of Ecology, 6(9), 529-536. https://doi.org/10.4236/oje.2016.69050 [URL] 🠔
  16. [20] Guaita Martínez, J., Martín Martín, J. M., Ribeiro Soriano, D. E. & Salinas Fernández, J. A. (2020). Social Sustainability on Competitiveness in the Tourism Industry: Toward New Approach? En J. J. M. Ferreira, S. J. Teixeira & H. G. Rammal (eds.), Technological Innovation and International Competitiveness for Business Growth (pp. 141-164). Palgrave Macmillan. https://doi.org/10.1007/978-3-030-51995-7_7 [URL] 🠔
  17. [21] Hazari, B. R. & Sgro, P. M. (1995). Tourism and Growth in a Dynamic Model of Trade. Journal of International Trade and Economic Development, 4(2), 243-252. https://doi.org/10.1080/09638199500000019 [URL] 🠔
  18. [22] Jermsittiparsert, K. & Chankoson, T. (2019). Behavior of Tourism Industry under the Situation of Environmental Threats and Carbon Emission: Time Series Analysis from Thailand. International Journal of Energy Economics and Policy, 9(6), 366-372. https://doi.org/10.32479/ijeep.8365 [URL] 🠔
  19. [23] Lanza, A. & Pigliaru, F. (2000). Why are Tourism Countries Small and Fast-Growing? En A. Fossati & G. Panella (eds.), Tourism and Sustainable Economic Development (pp. 57-69). Springer https://doi.org/10.1007/978-1-4615-4321-3_3 [URL] 🠔
  20. [24] Lee, C. C. & Chang, C. P. (2008). Tourism Development and Economic Growth: A Closer Look at Panels. Tourism Management, 29(1), 180-192. https://doi.org/10.1016/j.tourman.2007.02.013 [URL] 🠔
  21. [25] Lin, V. S., Yang, Y. & Li, G. (2019). Where Can Tourism-Led Growth and Economy-Driven Tourism Growth Occur? Journal of Travel Research, 58(5), 760-773. https://doi.org/10.1177/0047287518773919 [URL] 🠔
  22. [26] London, S. (2016). Sobre la consideración del tiempo en el análisis económico [presentación de ponencia]. XXII Jornadas de Epistemología de las Ciencias Económicas - JECE 2016, Universidad de Buenos Aires, Buenos Aires, Argentina. 🠔
  23. [27] London, S. (2017). A Methodological Note about the Analysis of the Economic Growth and Environment. MOJ Ecology & Environmental Science, 2(8), 00053. https://doi.org/10.15406/mojes.2017.02.00053 [URL] 🠔
  24. [28] López, C. S. G. & Arreola, K. S. B. (2019). Impacts of Tourism and the Generation of Employment in Mexico. Journal of Tourism Analysis: Revista de Análisis Turístico, 26(2), 94-114. https://doi.org/10.1108/JTA-10-2018-0029 [URL] 🠔
  25. [29] Lozano, J., Gómez, C. M. & Rey-Maquieira, J. (2008). The TALC Hypothesis and Economic Growth Theory. Tourism Economics, 14(4), 727-749. https://doi.org/10.5367/000000008786440166 [URL] 🠔
  26. [30] Márquez González, A. R., Tovar Hernández, S. R. & Mondragón Jaimes, V. A. (2017). Calidad del agua de mar y su conocimiento por turistas nacionales: el caso de tres municipios costeros del estado de Nayarit, México. El Periplo Sustentable, 33, 330-362. http://www.scielo.org.mx/scielo.php?script=sci_arttext&pid =S1870-90362017000200330 [URL] 🠔
  27. [31] Moreno, M. C. M. (2011). Turismo y producto turístico. Evolución, conceptos, componentes y clasificación. Visión Gerencial, 1, 135-158. https://www.redalyc.org/pdf/4655/465545890011.pdf [URL] 🠔
  28. [32] Nowak, J. J., Sahli, M. & Sgro, P. (2005). Tourism, Increasing Returns and Welfare. En A. Lanza, A. Markandya & F. Pigliaru (eds.), The Economics of Tourism and Sustainable Development (pp. 87-103). Elgar. https://doi.org/10.4337/9781845426781 [URL] 🠔
  29. [33] Organización Mundial del Turismo (OMT). (1994). Actualización de las Recomendaciones sobre Estadísticas de Turismo, OMT-ONU [Serie M No. 83]. https://unstats.un.org/unsd/statcom/doc00/m83note-s.pdf [URL] 🠔
  30. [34] Organización Mundial del Turismo (OMT). (2005). Making Tourism More Sustainable. A Guide for Policy Makers. OMT. 🠔
  31. [35] Organización Mundial del Turismo (OMT). (2015). Panorama OMT del Turismo Internacional. https://www.e-unwto.org/doi/pdf/10.18111/9789284416875 [URL] 🠔
  32. [36] Organización Mundial del Turismo (OMT). (2019). Panorama OMT del Turismo Internacional. https://www.e-unwto.org/doi/pdf/10.18111/9789284421237 [URL] 🠔
  33. [37] Organización Mundial del Turismo (OMT). (2020). Barómetro OMT del Turismo Mundial mayo 2020. Con especial enfoque en el impacto de la COVID-19. OMT. https://www.e-unwto.org/doi/book/10.18111/9789284421831. [URL] 🠔
  34. [38] Pina, I. P. A. L. & Martínez-García, M. P. (2013). An Endogenous Growth Model of International Tourism. Tourism Economics, 19(3), 509-529. https://doi.org/10.5367/te.2013.0212 [URL] 🠔
  35. [39] Rebollo, J. F. V. (1992). La dimensión ambiental de la planificación turística: una nueva cultura para el consumo turístico. Papeles de Geografía, 18, 195-204. https://revistas.um.es/geografia/article/view/43981 [URL] 🠔
  36. [40] Rodríguez García, A. & Peña Fuente, L. (2019). La protección del medioambiente en Cuba, una prioridad gubernamental. Novedades en Población, 15(30), 113-122. http://scielo.sld.cu/pdf/rnp/v15n30/1817-4078-rnp-15-30-113.pdf [URL] 🠔
  37. [41] Rojas, M. (2017). El tiempo perdido: dinámica y decisiones intertemporales en la Teoría del Crecimiento [presentación de ponencia]. XXIII Jornadas de Epistemología de las Ciencias Económicas - JECE 2017, Universidad de Buenos Aires, Buenos Aires, Argentina. 🠔
  38. [42] Rojas, M. & London, S. (2015). Un nuevo desafío a la gobernabilidad: instituciones, gobernanza y desarrollo. [ponencia]. VI Congreso AEDA (Asociación de Economía para el Desarrollo de la Argentina). Asociación de Economía para el Desarrollo de la Argentina, Buenos Aires, Argentina. 🠔
  39. [43] Rojas, M. L., Recalde, M. Y., London, S., Perillo, G. M., Zilio, M. I. & Piccolo, M. C. (2014). Behind the Increasing Erosion Problem: The Role of Local Institutions and Social Capital on Coastal Management in Argentina. Ocean & coastal management, 93, 76-87. https://doi.org/10.1016/j.ocecoaman.2014.03.010 [URL] 🠔
  40. [44] Romer, D. (2002). Advanced Macroeconomics. McGraw-Hill. 🠔
  41. [45] Schubert, S. F. & Schamel, G. (2020). Sustainable Tourism Development: A Dynamic Model Incorporating Resident Spillovers. Tourism Economics. https://doi.org/10.1177/1354816620934552 [URL] 🠔
  42. [46] Tang, C., Zhong, L. & Ng, P. (2017). Factors that Influence the Tourism Industry's Carbon Emissions: A Tourism Area Life Cycle Model Perspective. Energy Policy, 109, 704-718. https://doi.org/10.1016/j.enpol.2017.07.050 [URL] 🠔
  43. [47] World Bank. (2020). World Development Indicators (WDI). https://databank.worldbank.org/source/world-development-indicators [URL] 🠔
El presente trabajo fue realizado en el marco del proyecto grupal de investigación "Desempeño económico sostenible, desigualdad y decisiones intertemporales: análisis teórico-empírico" (2017-2021)", financiado por la Universidad Nacional del Sur, Argentina. Las autoras agradecen los comentarios a los árbitros anónimos por los aportes que permitieron mejorar este trabajo. Los errores remanentes son de la entera responsabilidad de las autoras.
El supuesto de que ρ >-1 garantiza que el peso asignado al consumo del segundo periodo sea positivo.
Es importante notar que el consumo expresado en la ecuación [9] es independiente de la tasa de interés dada la forma asumida para la función de utilidad de aversión al riesgo relativa constante y elasticidad de sustitución intertemporal unitaria.
El razonamiento es tradicional en la literatura de crecimiento y puede verse en Barro y Sala-i-Martin (1995), así como en Romer (2002).
Nótese que el tamaño poblacional aumenta el nivel de capital de estado estacionario, pero reduce el nivel de recursos naturales.
London, S., Rojas, M. & Candias, N. (2021). Turismo sostenible: un modelo de crecimiento con recursos naturales. Ensayos de Economía, 31(58), 158-177. https://doi.org/10.15446/ede.v31n58.88712