Ensayos de Economía
0121-117X
2619-6573
Universidad Nacional de Colombia
https://doi.org/10.15446/ede.v31n59.89304

Recibido: 21 de julio de 2020; Aceptado: 1 de mayo de 2021; Aceptado: 2 de julio de 2021

La transformación de valores en precios de producción: una contrastación empírica para el sistema capitalista*

Transformation of Values into Productions Prices: An Empirical Contrast for the Capitalist System

E. Maito, **

Magíster en Economía Política por la Facultad Latinoamericana de Ciencias Sociales (FLACSO), Argentina. Investigador independiente. Correo electrónico: eemaito@gmail.com https://orcid.org/0000-0002-1453-6362 Facultad Latinoamericana de Ciencias Sociales Facultad Latinoamericana de Ciencias Sociales (FLACSO) Argentina

Resumen

El objetivo del artículo es realizar una contrastación empírica global del llamado problema de la transformación a partir de los aportes recientes de Moseley. En función de ello, en la primera parte se realiza un desarrollo teórico inicial del valor y el precio de producción en consonancia con los desarrollos secuenciales y derivados que Marx realiza en El Capital. En la segunda parte, se realiza una contrastación empírica global tomando las diecisiete economías nacionales de mayor tamaño y 54 ramas de producción. Los resultados muestran que, al nivel de abstracción del valor, la tasa de ganancia desciende conforme la composición orgánica se incrementa y el nivel de la tasa de plusvalía no se relaciona con el nivel de la composición. En términos de precios de mercado vigentes en la realidad concreta -por el contrario-, la tasa de ganancia carece de asociación con la composición orgánica, nivelándose en torno a la tendencia establecida por los precios de producción marxianos mediante una fuerte correlación positiva entre tasa de plusvalía a precios de mercado y composición orgánica tal como lo establece la teoría marxiana.

JEL: B24; Ell; E20; F01; P10.

Palabras clave:

precios de producción, tasa de ganancia, tasa de plusvalía, valor, composición orgánica del capital, economía mundial.

Abstract

The objective of this article is to carry out a global empirical contrast of the so-called problem of transformation based on Moseley's recent contributions. In function of this, in the first part, an initial theoretical development was carried out of the value and price of production in consonance with the sequential and derivative developments that Marx carried out in Capital. In the second part, a global empirical contrast is carried out considering the seventeen largest national economies and 54 industries. Results show that, at a level of abstracting value, the rate of profit decreases as organic composition increases and the surplus value rate level is not related to the composition level. In terms of current market prices in concrete reality - on the other hand - the profit rate lacks an association with the organic composition, leveling out at the tendency established by the Marxian production prices through a strong positive correlation between the surplus value rate at market prices and organic composition as is established in Marxian theory.

JEL: B24; Ell; E20; F01; P10.

Keywords:

production prices, profits rate, surplus value rate, value, organic capital composition, .

Introducción

La transformación de valores en precios de producción ha sido un aspecto muchas veces analizado desde la teoría marxista (Baumol, 1974; Burns, 2016; Carchedi, 1984; Duménil & Foley, 2009; Grossman, 2016; Kliman, 2007; Mattick, 1959; Moseley, 2000, 2015; Reuten, 2017; Salama, 1984; Shaikh, 2006; Sweezy, 1964; Wolff et al., 1984), encontrándose también diversos intentos de estimación a partir de matrices insumo-producto (Ochoa, 1989; Cockshott & Cottrell, 1998; Shaikh, 2006).

En el desarrollo de la transformación de valores a precios de producción, la intención de Marx es demostrar de qué manera el plusvalor general de la economía -cuyo desarrollo había sido abordado en el primer tomo- aparece distribuido y expresado concretamente en cada rama mediante el establecimiento de los precios de producción, en función de la composición orgánica del capital de cada una de ellas y su relación con la composición orgánica del capital social total. Sobre esos precios de producción fluctuarán los precios de mercado, de acuerdo a dinámicas particulares y de más corto plazo.

En el primer tomo de El Capital se desarrolla -inicialmente- el valor de la mercancía determinado por el tiempo de trabajo socialmente necesario para su producción, previo al desarrollo expositivo de sucesivas categorías derivadas como la de capital y su diferenciación entre capital constante y capital variable, incluyendo todos los desarrollos intermedios relativos a la particularidad de la fuerza de trabajo, a la producción de plusvalía relativa, entre otros1.

Mediante la transformación de valores en precios de producción -principalmente desarrollada en los capítulos IX y X del tomo III de El Capital-, Marx concilia su teoría del valor, desarrollada en el tomo I considerando el capital en general, con la realidad concreta de los capitales en particular y el hecho característico del capitalismo, ya identificado por Ricardo y otros, de una tendencia a la igualación de la tasa de ganancia entre las distintas ramas. En este punto, Marx parte de Ricardo, quien no había dado una solución coherente a la necesidad de reconciliar su teoría del valor basada en el trabajo y la tendencia a la igualación de las tasas de ganancia2.

Marx desarrolla así el precio de producción, al cual se intercambiarían las mercancías abstraídas de los desniveles entre oferta y demanda, como resultado de la sumatoria del capital constante circulante, el capital variable y la ganancia media -la tasa general de ganancia multiplicada por el capital constante y el capital variable-, dado que si las mercancías se intercambiaran simplemente con base al valor, aquellas ramas con mayores niveles de fuerza de trabajo -en relación a los medios de producción- se valorizarían sistemáticamente, dado que la fuerza de trabajo es la fuente del plusvalor, a una tasa de ganancia mayor que aquellas ramas con menores requerimientos de fuerza de trabajo3.

La mayor parte de la controversia se ha centrado así sobre el llamado "problema de la transformación" que encuentra su base en un aparente error de Marx al desarrollar el establecimiento de una tasa general de ganancia y los precios de producción: al calcular los precios de producción, los montos adelantados de capital estarían expresados en términos de valor y no de precios, por lo que las igualdades implícitas en la transformación, no se sostendrían una vez que fueran recalculados los precios de costos en términos de precios.

Los críticos, como Bortkiewicz (1952), Samuelson (1971) o Steedman (1977), sostienen así la existencia de dos sistemas separados. Los intentos de vincular estos dos sistemas con distintas soluciones no lograban compatibilizar la igualdad agregada de valores-precios y plusvalías-ganancias totales, además de introducir elementos adicionales como variables en términos físicos o a la necesidad de cumplir condiciones de equilibrio intersectoriales similares a los esquemas de reproducción marxianos del segundo tomo de El Capital. Sin embargo, los desarrollos de Marx referidos al valor y a los precios de producción no señalan dos tipos diferentes de economía, sino a la propia economía capitalista considerada en dos niveles de abstracción que -no obstante- implican una relación de derivación y determinación desde lo abstracto y general -valor- a lo concreto y particular -precio-.

Al respecto, Rubin (1987) afirma:

Los críticos que ven contradicciones entre los tomos I y III de El Capital adoptan como punto de partida una concepción estrecha de la teoría del valor, pues la consideran exclusivamente como una fórmula de las proporciones cuantitativas del intercambio de mercancías. Desde tal punto de vista, la teoría del valor-trabajo y la teoría del precio de producción no representan dos etapas o grados lógicos de abstracción de los mismos fenómenos económicos, sino más bien dos teorías o afirmaciones diferentes que se contradicen entre sí. (pp. 306-307)

El propio Marx en repetidas ocasiones había manifestado que las mercancías solo se intercambian por sus valores en casos fortuitos. La venta de las mercancías a sus valores -supuesta en el tomo I- tenía la función, más allá de su papel heurístico general, de demostrar la imposibilidad científica de fundamentar el origen general del plusvalor, y por defecto de la ganancia, en el ámbito del intercambio o la circulación.

Por otra parte, si las mercancías se intercambiaran por sus valores, cada capitalista se interesaría exclusivamente en la explotación de los trabajadores que él mismo empleara y sus ganancias serían equivalentes al plusvalor que sus trabajadores produjesen. El establecimiento de una tasa general de ganancia asegura que cada uno de los capitalistas participe de la explotación de la clase obrera como un todo, no en base a una simple solidaridad de clase, sino en un sentido económico muy directo. Marx (1894/2012) afirma:

De lo dicho se desprende que cada capitalista de por sí, al igual que la totalidad de los capitalistas de cada esfera especial de producción, se halla interesado, no solo por simpatía general de clase, sino directamente, por motivos económicos, en la explotación de la clase obrera en su conjunto por el capital en bloque y en el grado de esta explotación, puesto que, presuponiendo como dadas todas las demás circunstancias, entre ellas el valor del capital constante invertido en su totalidad, la cuota de ganancia media depende del grado de explotación del trabajo total por el capital total. (p. 199)

De acuerdo a Moseley (2015) el sistema único establecido por Marx es el propio circuito del capital, en el que los capitalistas utilizan dinero (D) para comprar mercancías (M), conformada por medios de producción (MP) y fuerza de trabajo (FT), que permiten iniciar el proceso de producción (P) a partir del cual resultan mercancías de un mayor valor (M') que son intercambiadas por un monto mayor de dinero (D'). La diferencia que surge entre D' y D no es más que el plus-valor generado por la fuerza de trabajo.

En tal sentido, Moseley (2015) subraya que el enfoque de Marx y el circuito del capital empiezan y terminan en el dinero, por lo que no existirían dos sistemas diferenciados. Las magnitudes de capital constante y capital variable no necesitan ser transformadas de valores a precios, porque justamente se toman como magnitudes de capital-dinero dadas4. El análisis de Marx consistiría -entonces- en un sistema único, desarrollado en forma secuencial desde un primer nivel general y abstracto hasta un nivel particular y de mayor concreción, desde la producción de plusvalor hasta su distribución mediante el establecimiento de precios de producción.

Así, la transición del tomo I al tomo III de El Capital no sería una transición de valores-trabajo a precios sino una transición de precios totales a precios individuales, del tratamiento del capital en general al capital en particular que, no obstante, se encuentra sujeto a las determinaciones propias del capital en general, tales como el incremento de la plusvalía relativa y su transformación en nuevo capital para la ampliación de la producción y la reducción del valor de las mercancías. Y -adicionalmente- esas determinaciones solo pueden ser universales en la medida en que la nivelación de la tasa de ganancia se impone en la competencia y homogeniza la esfera de actuación de los distintos capitales. De forma tal que, sin importar la rama de producción, todo capital debe actuar, para imponerse en la competencia, de acuerdo a sus determinaciones como capital en general establecidas por la ley del valor.

La negación de esta -implícita en la transformación- supone su afirmación como expresión modificada en un sentido que -como veremos- está planteado en la propia concepción del valor como reducción de trabajos privados concretos a trabajo social abstracto. El precio de producción es -principalmente- una expresión modificada del valor, en tanto tiempo de trabajo socialmente necesario para la producción de mercancías, entendidas como productos de capitales de ramas particulares.

A continuación, se realizará el correspondiente desarrollo teórico para luego realizar una contrastación empírica en términos del sistema capitalista mundial, incluyendo más de cincuenta ramas de producción de los diecisiete ámbitos de acumulación nacionales de mayor tamaño, los cuales en conjunto representan el 77,3% (2017) de la economía global según el Banco Mundial (s. f.) 5.

Del valor a los precios de producción

El valor

En El Capital, Marx parte de la mercancía como forma elemental y general que adquieren los productos del trabajo en las sociedades en las que impera el régimen capitalista. A primera vista, una mercancía tiene un valor de uso, determinado por una utilidad particular -cualquiera sea- que se basa en los atributos concretos de la mercancía en cuestión, como resultado de un trabajo también concreto. Pero adicionalmente toda mercancía presenta un valor de cambio, es decir, una proporción cuantitativa por la que se establece una equivalencia con otras. Siendo sus cualidades como valores de uso incomparables, la expresión de equivalencia entre ambas mercancías, en sus cantidades específicas, supone que subyace una cualidad común que se expresa en aquella relación cuantitativa entre ellas. Esa cualidad es la de ser productos del trabajo humano abstracto, por lo cual en el valor de cambio se expresa el valor, el tiempo de trabajo socialmente necesario para la producción de las mercancías en las condiciones productivas medias que establecen todos los productores de cada mercancía en un proceso que opera a sus espaldas: "El valor de una mercancía es al valor de cualquier otra lo que el tiempo de trabajo necesario para la producción de la primera es al tiempo de trabajo necesario para la producción de la segunda" (Marx, 1867/1968, p. 7).

Si bien Marx (1867/1968) aclara a lo largo de este desarrollo inicial que toma a cada mercancía como un ejemplar medio de su especie, deja en claro que dentro del universo de productores de una misma mercancía (1,2,3...n) las condiciones de producción difieren. Ello supone que, dentro de cualquier rama (a,b,c...x), los tiempos de trabajo particulares son reducidos a tiempo de trabajo social mediante el establecimiento de un valor social:

El valor de cada una de las mercancías en determinada esfera de producción lo determina la masa total de tiempo de trabajo social requerido para la masa total de mercancías de esa esfera de producción social determinada, y no por los valores individuales de cada una de las mercancías, o por el tiempo de trabajo que cada mercancía costó a su productor y vendedor particular (Marx, 1959/1975, p. 175).

Dicha reducción a tiempo de trabajo social conlleva capacidades diferenciales de producción de valor por unidad de tiempo (V/TT) de acuerdo a la relación entre productividad individual (TT/ Qn o la inversa de la productividad horaria Q/TTn, que Marx tiende a denominar valor individual) y productividad social media (TT/Qx o V/Qx) establecida por la generalidad de los productores de la mercancía, que es la que determina en definitiva el tiempo de trabajo socialmente necesario y la magnitud de valor de la mercancía (V/Q A, V/Q B y V/Q C).

Hasta allí el desarrollo de Marx se remite a esta más simple determinación que surge de la apariencia inmediata de la circulación. A medida que continúa su exposición se van agregando nuevas categorías y determinaciones enlazadas con las anteriores, comenzando por el desarrollo de las formas del valor y la génesis del dinero. Luego del desarrollo del circuito del capital -cuyo inicio es justamente el dinero (D-M...P...M'-D')- y de la categoría fuerza de trabajo y su particular valor de uso consumido por el capitalista en la producción, aparece la transformación del dinero en capital y la plusvalía absoluta y relativa, lo cual abre paso a la diferenciación entre capital constante -aquel que mantiene su valor y lo transfiere al producto en un periodo o en plazos más largos dependiendo de si es circulante (materias primas, insumos) o fijo (edificaciones, maquinaria)- y capital variable -aquel que repone el valor de la fuerza de trabajo pero cuya contrapartida no es solo dicho valor sino también un plusvalía adicional en virtud de que el valor uso de la fuerza de trabajo es que tiene la potestad de generar un valor adicional al de su reproducción-; de forma tal que el tiempo de trabajo (TT) ya aparece expresado como magnitudes dadas de capital constante (KC), o trabajo muerto según la expresión de Marx, y trabajo vivo (L), del cual el capitalista repone una fracción equivalente al valor de la fuerza de trabajo como capital variable (CV), embolsándose la fracción restante como plusvalor (PV). Estos aspectos han sido incorporados a las ecuaciones 3 y 4, expresando el plusvalor como la resta del capital constante y el capital variable al total de valor producido.

Nótese que las ecuaciones están diseñadas para establecer el valor generado por un productor individual al interior de una rama, ponderando su valor individual con el valor social mediante TT/Qx y TT/Qn que, en el caso de considerar una rama agregada, queda automáticamente anulado al ser siempre igual a la unidad.

Este desarrollo se encuentra en la base de la formación de plusvalías extraordinarias, con la simple venta al valor social, que Marx (1867/1968, pp. 250-258) aborda en su exposición. La mayor generación de valor por hora -que en este nivel de abstracción es función directa de la productividad horaria relativa a la propia rama- supone así un mayor plusvalor relativo, tanto en relación a la fuerza de trabajo empleada -una mayor tasa de plusvalía PV/CV- como al resto de productores de la rama (PVn/PVx), un proceso de valorización que constantemente presiona al incremento de la tasa de plusvalía y a imponerse en la competencia.

Ocurre entonces que "aquí la competencia nivela los distintos valores individuales con el mismo valor de mercado igual, indiferenciado, al permitir las diferencias entre las ganancias individuales, ganancias capitalistas consideradas individualmente, y sus desviaciones respecto de la tasa media de ganancia en la esfera. Inclusive crea diferencias al establecer el mismo valor de mercado para mercancías producidas en condiciones de producción desiguales, y por lo tanto con una productividad desigual del trabajo; las mercancías representan, de esa manera, cantidades de tiempo de trabajo desiguales e individuales. La mercancía producida en las condiciones más favorables contiene menos tiempo de trabajo que las creadas en condiciones menos favorables, pero se vende al mismo precio, y tiene el mismo valor, como si contuviese el mismo tiempo de trabajo aunque no es así. (Marx, 1959/1975, p. 175, cursiva en el original)

El descenso del valor unitario de las mercancías, o el desarrollo de la fuerza productiva del trabajo, está vinculado a la inversión creciente en capital constante y la mecanización de los procesos productivos. Ello constituye un sesgo hacia la disminución relativa del factor subjetivo en el proceso de trabajo o, en otros términos, una menor absorción relativa de trabajo vivo conforme se desenvuelve la acumulación de capital. La composición orgánica o relación capital constante-capital variable tiende así a incrementarse sobre la base de un crecimiento en la composición técnica -masa de medios de producción puestos en movimiento por fuerza de trabajo- en vistas al incremento de la productividad social del trabajo6.

En el capítulo en el que desarrolla la plusvalía relativa, Marx (1867/1968) introduce elementos relacionados con la competencia intrarramal. En función de ello, tabla 1, muestra un ejemplo aplicado a una rama cualquiera que incluye tres capitales individuales. Supondremos que el valor del dinero no varía, que el capital constante es solo circulante, que una unidad monetaria equivale a una unidad de tiempo -por lo que en el agregado de la rama numéricamente L=CV+PV-, así como idénticos capitales variables y tiempos de trabajo vivo iniciales, respondiendo además las diferencias en los capitales constantes a un mayor o menor desarrollo de la fuerza productiva del trabajo, que necesariamente se reflejará en las diferentes composiciones orgánicas.

Tabla 1: Valorización y competencia intraramal

Capital constante (KC), trabajo vivo (L), tiempo de trabajo total (TT), producción física (Q), tiempo de trabajo por unidad física o valor individual (TT/Q), valor unitario (V/Q), valor producido (V), valor y cantidad producida por unidad de tiempo (V/TT y Q/ TT), capital variable (CV), plusvalor (PV), tasa de plusvalía (TPV), tasa de ganancia (TG) y composición orgánica del capital (COC).

Fuente: elaboración propia.

En una situación hipotética inicial, los tres capitales productores de la misma mercancía presentan las mismas características, por lo que son todos ellos expresión de las condiciones de producción sociales medias. Para este caso (I), sus trabajos privados se expresan como trabajo social en la misma magnitud, existiendo una homogeneidad en todas las variables, tales como productividad laboral, valor por hora, plusvalor, tasa de ganancia. No obstante (II), suponiendo que el capital A1 incrementa su capital constante en un tercio (de 30 a 40), incrementando así la productividad del trabajo, el nuevo valor social, y para el caso valor de mercado, descenderá de 0,37 a 0,35. De la simple venta al nuevo valor social, el capital A1 obtendrá una plusvalía extraordinaria, que más que triplicará a la plusvalía de sus competidores (6,1 vs 2,0). En consecuencia, y gracias a una mayor inversión relativa en capital constante, expresada en la composición orgánica del capital, A1 muestra una mayor productividad y generación de valor por hora trabajada en relación a sus competidores, expresada a su vez en una mayor tasa de plusvalía y de ganancia.

El diferencial de productividad que subyace supone ahora una masa incrementada de valores de uso (340) que -si suponemos el resto de las condiciones constantes- implicaría que existe una sobreproducción latente, dada la demanda social solvente. En una tercera instancia (III), entonces, A1 podría así vender la producción a su valor individual, lo cual obligaría al resto a vender también a ese valor. En tal caso, A1 obtendría una plusvalía y el resto no obtendría ninguna, solo recuperaría con la venta su capital constante y variable sin lograr valorizarse7. La rama, por su parte, habría vendido las mercancías por debajo de su valor, liberando demanda social solvente a otras ramas. El resto de los capitales de la rama deberá, más temprano que tarde, incrementar su capital constante para equiparar sus condiciones de producción con A1 (caso IV) en una generalización de la innovación tecnológica que termina eliminando su plusvalía extraordinaria y homogeneizando las condiciones de producción y valorización para todos los capitales sobre una nueva base que implica una mayor acumulación de capital8.

El precio de producción

Hasta aquí, se observa el desarrollo del valor, desde su determinación más abstracta y simple abordada en los primeros capítulos del primer tomo de El Capital, hasta su determinación más compleja a partir del desarrollo del circuito del capital, el valor y el valor de uso de la fuerza de trabajo, la plusvalía absoluta y relativa y la diferenciación entre capital constante y variable.

En este punto surge la cuestión que termina de estructurar el llamado problema de la transformación. Siendo el trabajo vivo (L) la única fuente de plusvalor, del valor añadido en el proceso productivo descontado el capital variable abonado por el capitalista, la rentabilidad será muy diferente entre las diversas ramas, de acuerdo a la magnitud de fuerza de trabajo y capital variable en relación al capital constante. Ello implica una contradicción respecto a la nivelación de las tasas de ganancia en torno a cierto nivel que se observaba en el mundo real.

En unas ramas, para un capital de 100, el precio de costo puede estar conformado por 90 de capital constante y 10 de capital variable mientras que en otra rama el capital constante tendría un valor de 70 y el variable de 30, es decir, existen composiciones orgánicas desiguales para un mismo precio de costo de 100 y que -por tanto, dada una tasa de plusvalía similar- implican plusvalías también desiguales. Si el valor de cada rama es el que rige en la realidad concreta -y por tanto las tasas de ganancia se derivan directamente de aquel-, aquellas ramas cuya composición orgánica derivada de sus condiciones técnicas -relación capital constante, capital variable- sea mayor, se valorizarían sistemáticamente a una tasa de ganancia menor que el resto de las ramas.

Si la distribución del plusvalor general estuviera determinada por la ley del valor, la acumulación no podría tener lugar, en virtud de que aquellos capitales que más necesitan expandirse no podrían hacerlo por falta de ganancia, mientras que aquellos con suficiente rentabilidad tampoco lo harían por falta de incentivos. El desarrollo de las fuerzas productivas sociales en una economía capitalista de mercado requiere una formación de precios que exprese la interdependencia del proceso de producción social.

El establecimiento de precios de producción reduce a todos los capitales a las condiciones de producción social medias o generales, afirmando la unidad del metabolismo social como metabolismo del capital:

El precio de producción es, así, la actualización y, por tanto, la negación y superación del precio directo del valor social de las mercancías del mismo tipo creado en determinada rama, cuya determinación se presentó en forma aislada de la totalidad de las ramas del capital productivo en el momento del capital en general, en el primer tomo de El Capital (Robles & Escorcia, 2014, p.194).

Dicha reducción -que inicialmente como simple mercancía era la reducción de los tiempos de trabajo particulares y concretos a tiempo de trabajo socialmente necesario, abstracto e indiferenciado- ahora se realiza como la reducción de todas las ramas de producción a la tasa de plusvalía y la composición orgánica del capital social total, mediante el establecimiento de una tasa general de ganancia (ecuación 6) que no es más que la relación entre ellas.

Esta igualación permite que -como capital- los precios de producción homogenicen los tiempos de trabajo socialmente necesarios inter-ramales para la reproducción de las mercancías, no porque igualen los precios entre las mercancías individuales, sino porque homogenizan en mayor medida los ciclos productivos que en cada rama permiten valorizar y reproducir el capital al valorizarse cada una a la tasa general de ganancia.

Mientras que sus precios de costo se mantienen de igual forma, el proceso de igualación supone modificaciones en el plusvalor total de cada rama, de modo tal que la suma de este para cada una de ellas, ahora convertido en ganancia, sea igual a la multiplicación de la tasa general de ganancia por el capital total adelantado de cada rama particular. Los capitalistas participarán del conjunto de la plusvalía de acuerdo con el monto de sus capitales totales, y no, como previamente, de acuerdo con el monto de sus capitales variables (Sweezy, 1964).

Los precios de producción, no los valores respecto a los cuales difieren, regulan los precios de mercado conformando las condiciones de reproducción del sistema, homogenizando sus condiciones de producción y circulación, mediante la reducción de las condiciones de valorización ramales a las condiciones de valorización sociales generales:

En la competencia, la ley fundamental -que se desarrolla de manera diferente a la ley basada en el valor y el plustrabajo- consiste en que el valor está determinado no por el trabajo contenido en él, o el tiempo de trabajo en que se le ha producido, sino por el tiempo de trabajo en el que puede producírsele, o en el tiempo de trabajo necesario para su reproducción. Solo de esta manera el capital singular es puesto realmente en las condiciones del capital en general, aunque la apariencia sea entonces como si hubiera quedado sin efecto la ley originaria. Pero solo de esa manera el tiempo de trabajo necesario es puesto como determinado por el movimiento del capital mismo (Marx, 1857/2007, p. 175, énfasis del autor).

Esta reducción opera entonces modificando las plusvalías ramales, convertidas en ganancia media, mediante la vinculación de las composiciones orgánicas del capital de las distintas ramas en función de la composición orgánica del capital social:

Nos encontramos así con la misma reducción a condiciones medias que operaba en la formación del valor. Solo que, si en aquel nivel de abstracción las condiciones medias solo podían referirse a tiempo de trabajo socialmente necesario (TT/Qx o V/Qx), ahora este se expresa como trabajo de composición orgánica media (COC+1)tot, o como trabajo en condiciones de producción medias, como expresión de la productividad social media en un contexto inter-ramal en el que, naturalmente, las productividades necesariamente se relacionan sobre una base distinta:

Por la primera acción, la competencia crea valor de mercado, es decir, el mismo valor para mercancías de la misma esfera de producción, aunque este valor idéntico debe culminar en ganancias diferentes, de tal modo crea el mismo valor a pesar de, o más bien por medio de distintas tasas de ganancia. La segunda acción (que, de pasada, ocurre en forma muy distinta, a saber, por la competencia entre los capitalistas de esferas distintas, que lanza al capital de una esfera a otra, en tanto que la otra competencia, en la medida en que no es competencia entre compradores, ocurre entre capitales de la misma esfera) permite que la competencia cree el precio de costos; en otras palabras, la misma tasa de ganancia en las distintas esferas de producción, aunque esta ganancia idéntica es contraria a la desigualdad de los valores, y por los tanto solo puede ser impuesta por precios que son diferentes de los valores. (Marx, 1959/1975, p. 176)

Los resultados individuales solo se derivan a partir del establecimiento del precio de producción unitario ramal por medio del proceso de equiparación inter-ramal, del mismo modo que los resultados individuales del proceso de valorización aislado en cada rama se desarrollaban a partir del establecimiento de un valor unitario social al que se vendían las mercancías. Este precio -si bien se fundamenta en las propias relaciones de valor- incorpora así el proceso de igualación de las tasas de ganancia y es, en definitiva, la expresión real y final del tiempo de trabajo socialmente necesario.

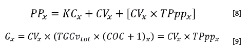
De tal forma, como aparece expresado en la ecuación 10, la ganancia individual de un capital se vincula mediante el precio de producción tanto con las condiciones medias de su rama como con las condiciones medias del capital social total, aspecto que resaltamos mayormente en [11] al descomponer PPx e incluir la tasa de plusvalía y la composición orgánica totales. Nótese que, tanto en la determinación del precio de producción como de la ganancia media -ecuaciones 7 a 9-, así como en la de la ganancia y la rentabilidad de un capital individual -ecuaciones 10 y 11-, no aparece ya categoría de valor ramal alguna, cuyas determinaciones fueran abordadas en el primer tomo, sino del capital en general -la tasa general- y su vínculo con los montos de capital dados de cada rama -la composición-.

En el caso del valor y un mayor nivel de abstracción, el plusvalor surgía de restarle el valor de la fuerza de trabajo al valor generado, el cual era igual al tiempo de trabajo multiplicado por la productividad individual relativa a la productividad general de la rama que produce la mercancía en cuestión -en el agregado de la rama, igual simplemente al tiempo de trabajo-. Los precios de producción, en definitiva, modifican las tasas de plusvalía en función de la tasa general de ganancia y la composición orgánica del capital particular de la rama de producción. De lo que se sigue -adicionalmente- que las ramas de mayor composición orgánica, que operan con una mayor productividad social, tenderán a mostrar una mayor tasa de plusvalía en términos de precios de producción en relación a su eventual expresión en términos de valor.

De este modo surge una tasa general de ganancia -también aquí aislada de las oscilaciones de mercado en uno u otro sentido- que retribuye a todas las ramas de modo uniforme. Las tasas de ganancia de mercado podrán mostrar desviaciones respecto de esta tasa general de ganancia de acuerdo a desniveles en la oferta y demanda relativas a las distintas ramas y factores relacionados con la coyuntura.

En la realidad concreta, solo aparecen precios de mercado y por lo tanto tasas de ganancia de mercado, que a su vez difieren al interior de cada rama para cada capital individual desde el propio nivel de abstracción general del valor. En este último el que da cuenta, no solo de las determinaciones generales a las que -en cuanto tales- todo capital se ve constreñido, sino también de la propia situación al interior de cada rama en cuanto a su competencia interna.

La afirmación de una redundancia del valor, realizada por autores tan disímiles como Samuel-son o Steedman, no solo supone una ocultación del origen y la naturaleza o forma capitalista del excedente -aun en esos casos en los que mediante un rodeo teórico se vuelve a rescatarlo ahora como mero excedente físico- sino que por ello establece una indeterminación del precio, en la medida en que es la propia ley del valor la que determina en medida considerable el nivel concreto de un precio particular, más allá de su reformulación en la competencia como precio de producción9. Este último, por su parte, se determina del modo derivado por la propia ley del valor, aunque justamente reformulado para un contexto inter-ramal y referente al total. Son, como ya se dijo, las relaciones de valor, expresado este como valor de mercado en la competencia intra-ramal, las que mayormente establecen las rentabilidades de los capitales individuales, mediadas por el proceso de igualación de tasas de ganancia inter-ramales. Por último, el proceso de igualación se realiza modificando las tasas de plusvalía, lo cual nos remite al carácter variable del capital abonado por la fuerza de trabajo, sin modificación alguna de las composiciones orgánicas, dentro de las cuales ingresa el capital constante, lo cual nos remite a su carácter precisamente constante. Solo la teoría del valor marxiana logra dar cuenta de aquella particularidad del capital variable, que no es más que la del valor de uso de la fuerza de trabajo.

Tabla 2: Valorización y competencia intra e ¡nter-ramal

Trabajo muerto o capital constante (KC), trabajo vivo (L), tiempo de trabajo (TT), valores de uso producidos (Q), tiempo de trabajo por unidad de valor de uso producida o valor individual (TT/Q), valor unitario o tiempo de trabajo socialmente necesario (V/Q), valor generado (V) y valor generado por unidad de tiempo (V/TT), capital variable (CV), plusvalor (PV), tasa de plusvalor (TPv), tasa de ganancia en términos de valor (TGv) y composición orgánica del capital (COC), según rama (A,B,C) y productor (1,2,3).

Fuente: elaboración propia.

Por ello mismo, el proceso de nivelación de la tasa de ganancia y transformación en precios de producción que Marx desarrolló tuvo como objetivo, no demostrar la irrelevancia del valor, sino justamente que la ley del valor domina el movimiento de los precios, que la tasa general de ganancia no se encuentra determinada por un promedio indeterminado de tasas de ganancia individuales de mercado sino por la tasa de ganancia determinada por las condiciones de explotación y producción generales entre capitalistas y obreros, y que en función de ello los precios de producción son necesariamente iguales a los valores en el nivel agregado.

En tal sentido, la transformación de valores en precio de producción implica una transformación del valor unitario en precio de producción unitario respecto del cual el precio de costo individual termina configurando la tasa de ganancia concreta de todo capital en cualquier rama (ecuación 11), siempre en este nivel de abstracción que no considera los desvíos influenciados por la oferta y la demanda10.

En la tabla 2, observamos la situación completa tomando en consideración tres ramas tal como las presenta Marx en el tercer volumen (Marx, 1894/2012), dando cuenta a su vez que dicha situación contiene procesos de valorización de capitales individuales en función de las determinaciones generales del valor y su derivación como precios de producción ramales a partir de los cuales cada capital individual se valoriza en concreto. La homogenización inter-ramal de las condiciones de valorización se realiza mediante la intersección de la tasa general y la composición orgánica, tal como aparece expresado en las ecuaciones 7 a 11, en tanto que condiciones de producción sociales medias.

Contrastación empírica: de los precios de mercado a los valores

El periodo cubierto va desde el 2000 hasta el 2014, en virtud de la información disponible en la base World Input-Output Database o WIOD (Timmer et al., 2015), en particular en sus cuentas socio-económicas. Los países aquí considerados corresponden a las 17 economías de mayor tamaño a nivel mundial según el Banco Mundial (s. f.)11 y representan el 77,3% del PBI mundial, de modo tal que el presente artículo abarca una parte mayoritaria del sistema capitalista. El principal interés es agregar cada rama a partir de los datos de los países en cada una de ellas, de forma tal que se llegue a trabajar solo con datos verdaderamente globales o sistémicos.

El abordaje que se ha realizado para la contrastación empírica es el siguiente: para cada variable y categoría trabajó con sus magnitudes promedio para todo el periodo de quince años, reduciendo así la incidencia de alteraciones eventuales de corto plazo relacionadas con la oferta y la demanda. Para cada año, a su vez, se convirtieron los montos en dólares de acuerdo a los tipos de cambio nominales tomados de la OCDE. La base de datos utilizada cuenta con datos de capital fijo, insumos, salarios, excedente bruto de explotación, empleo y horas trabajadas desagregados por rama y país.

Cabe señalar dos limitaciones del artículo. Al no contarse con datos del consumo de capital fijo, no se puede obtener el excedente neto de explotación, una aproximación más exacta a las ganancias que el excedente bruto. Por otra parte, no se consideran en las estimaciones las eventuales diferencias en la velocidad de rotación del capital circulante.

El número de ramas seleccionadas es de 54, desde el sector A01 -"Agricultura, ganadería, caza y actividades de servicios conexas"- hasta el R_S -"Otras actividades de servicios"- de la Clasificación Industrial internacional Uniforme de todas las actividades económicas, Revisión 4.12 Como ya se señaló, la cantidad de países incluidos es 17, concentrando una parte mayoritaria de la economía mundial, lo que en definitiva arroja una cantidad de datos por variable de 843. Cada una de estas 843 observaciones es el promedio de quince observaciones (2000-2014), por lo que al final de cuentas se trabaja sintetizando 12645 observaciones para cada variable.

No obstante, también se reducirá el número de sectores o ramas en función de su vínculo con la producción de valor. En este caso, las estimaciones se acotan a 36 ramas, con 575 datos rama-país por variable, que a su vez sintetizan 8625 observaciones. Las 36 ramas van desde la industria alimenticia hasta servicios de programación informática -sectores c10 a j63 de la Clasificación internacional industrial Uniforme de todas las actividades económicas, Revisión 4-, dejando fuera una serie de sectores caracterizados por escasa relación directa con la producción de valor -administración pública, defensa, educación- o con ciertos rasgos rentísticos -sector inmobiliario, financiero, agropecuario-.

En concordancia por lo sostenido por Moseley (2015), se considera que los precios de costo se encuentran dados, no requiriéndose ningún tipo de "transformación", por lo que la investigación empírica aquí desarrollada se asienta sobre dichos supuestos. En consecuencia, se ha pasado -para los fines del presente trabajo, y con base en los desarrollos ya señalados- de la esfera de los precios de mercado a la de los precios de producción y de esta última a la del valor.

Partiendo de las igualdades fundamentales, se entiende que el promedio de la tasa general de ganancia a precios de mercado (TGGpmtot), aquella que surge de dividir la sumatoria de las ganancias de todas las ramas de cada ámbito nacional (ΣGpm), por la sumatoria de todos los salarios (KV), insumos (KC) y capital fijo (KF) en todas las ramas y todo ámbito nacional (Σ (KF+KCC+KV)), es igual a la tasa general de ganancia en términos de precios de producción (TGGpptot) y de valor (TGGvtot)13.

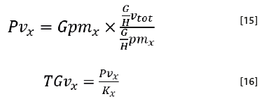
Dado que también se cuenta con la información desagregada de horas trabajadas (H), se puede estimar el promedio ponderado de ganancias de mercado por hora trabajada (ΣG/ΣH), el cual, en virtud de las igualdades señaladas, será igual a la ganancia por hora en términos de precios de producción y de valor, siempre para el agregado.

La conversión de cada ganancia de mercado ramal (identificando los sectores con el subíndice x) a ganancia al nivel de abstracción de los precios de producción se realiza multiplicando los costos totales (K como la suma de KF, KCC y KV) de cada rama por la tasa general de ganancia.

Finalmente, se obtiene una aproximación al plusvalor de cada rama (Pvx) dividiendo la masa de ganancias de mercado de cada rama (Gpmx) por su correspondiente ganancia de mercado por hora (G/Hpmx), multiplicando luego el resultado por la ganancia por hora promedio del sistema (G/Hvtot), o lo que es lo mismo, multiplicando Gpmx por la ratio entre G/Hvtot y G/Hpmx14. De tal modo, y más allá de los niveles salariales de cada rama que se toman como dados, cada hora de trabajo vivo se expresa, para el agregado de cada rama, en un mismo monto de plusvalía en términos de valor. La tasa de ganancia en términos de valor (TGvx), en base a los supuestos establecidos por Marx y considerando lo señalado por Moseley, surge así para cada rama de dividir aquel resultado por sus costos.

Sobre la base de dichos cálculos el coeficiente de variación de las tasas de ganancia, desde su expresión de valor a su expresión a precios de mercado, se reduce del 263,6% al 55,1%, con una media agregada de rentabilidad del 9,8% -Muestra I del anexo- o desde 68,9% al 43,5% con una media de 11,3% en la tasa de ganancia -Muestra II del anexo-. Naturalmente, en términos de precios de producción, los coeficientes de variación son iguales a cero.

La igualación de tasas de ganancia debe entenderse -entonces- del mismo modo que la ley de la tendencia decreciente de la tasa de ganancia -como una tendencia, continuamente puesta en cuestión- antes que como un dato exacto de la realidad. El método de cómputo utilizado, por su parte, mantiene la igualdad agregada, en los tres niveles de abstracción, en relación a la tasa de ganancia, la tasa de plusvalía, las ganancias y el valor total de la producción.

Ahora bien, el esquema marxiano supone -además- que la reducción de todas las ramas de producción a las condiciones de producción capitalista medias opera en un sentido específico y fundamental por el que se eleva relativamente la tasa de ganancia para aquellas ramas de composición orgánica elevada, al tiempo que se reduce la tasa para las de baja composición. En tales condiciones, ello supondrá una menor tasa de plusvalía en términos de precios de producción respecto a la tasa de plusvalía en términos de valor para las ramas con baja composición del capital -por un lado- y una mayor tasa en relación a su expresión en valor para las ramas con una composición orgánica más elevada -por otro-.

En las figuras 1 y 2 se incluyen las tasas de plusvalía en términos de valor, precios de mercado y precios de producción correspondientes a cada rama, -de acuerdo al nivel de composición orgánica de cada una de ellas- como variable independiente en el eje horizontal. Como se observa a simple vista, las tasas de plusvalía en términos de los precios de mercado se acercan en forma clara a su nivel teórico dado por los precios de producción. La constante o pendiente en términos de valor debiera ser teóricamente igual a 0 para el caso de la tasa en términos de valor.

Cuando Marx trata el problema de la transformación, inicialmente supone tasas de plusvalía en valor uniformes del 100% para todas las ramas, lo que implica en última instancia que, en términos de valor y de su exposición, conforme se incrementa la composición orgánica del capital, la tasa de plusvalía en términos de valor no crecería. Los resultados del artículo arrojan valores de pendiente cercanos a cero, aun con tasas de plusvalía en términos de valor diferentes entre ramas, encontrándose los valores puntuales de mayor nivel en algunas de las ramas de menor composición, lo que en buena medida reproduce el planteo de Marx incluso con tasas de plusvalía diferentes en términos de valor15.

Composición orgánica del capital y tasas de plusvalía en términos de valor, precios de mercado (P.m.) y precios de producción (P.p.) (n=54), valores promedio 2000-2014

Figura 1: Composición orgánica del capital y tasas de plusvalía en términos de valor, precios de mercado (P.m.) y precios de producción (P.p.) (n=54), valores promedio 2000-2014

Fuente: elaboración propia con base en Tïmmer et al. (2015)

Composición orgánica del capital y tasas de plusvalía en términos de valor, precios de mercado (P.m.) y precios de producción (P.p) (n=36), valores promedio 2000-2014

Figura 2: Composición orgánica del capital y tasas de plusvalía en términos de valor, precios de mercado (P.m.) y precios de producción (P.p) (n=36), valores promedio 2000-2014

Fuente: elaboración propia con base en Timmer et al. (2015).

Mientras que en el agregado no se presenta mayor relación entre incremento de la composición orgánica e incremento de la tasa de plusvalía en términos de valor, cuando consideramos los precios de mercado la tasa de plusvalía aumenta cuando crece la composición orgánica tal como establece la determinación de los precios de producción en torno a los cuales los precios de mercado aparecen expresados. Por otra parte, las correlaciones tienden a incrementarse, de acuerdo a los valores de R2 de cada caso, lo que expresa además que las tasas sectoriales tienden a agruparse mayormente en torno a la tendencia, reduciendo su dispersión y su coeficiente de variación16.

Si los precios de producción vinculan la tasa de plusvalía a la composición orgánica -vinculación prácticamente nula en términos de valor- ello no es más que la contracara de la propia desvinculación de las tasas de ganancia respecto a la composición, es decir, una tendencia a la igualación de la rentabilidad entre ramas.

En las figuras 3 y 4 se muestran las relaciones entre composición orgánica y tasas de ganancia expresadas en términos de valor, precios de mercado y precios de producción. Al nivel de abstracción del valor, las ramas de producción con composición orgánica elevada sufrirían una penalización notable en términos de rentabilidad.

Composición orgánica del capital y tasas de ganancia en términos de valor, precios de mercado (P.m.) y precios de producción (P.p.) (n=54), valores promedio 2000-2014

Figura 3: Composición orgánica del capital y tasas de ganancia en términos de valor, precios de mercado (P.m.) y precios de producción (P.p.) (n=54), valores promedio 2000-2014

Fuente: elaboración propia con base en Timmer et al. (2015).

Composición orgánica del capital y tasas de ganancia en términos de valor, precios de mercado (P.m.) y precios de producción (P.p) (n=36), valores promedio 2000-2014

Figura 4: Composición orgánica del capital y tasas de ganancia en términos de valor, precios de mercado (P.m.) y precios de producción (P.p) (n=36), valores promedio 2000-2014

Fuente: elaboración propia con base en Timmer et al. (2015).

Si tomamos las ecuaciones de la figura 3, con una composición orgánica del capital de 1, la tasa de ganancia en términos de valor sería del 21,4%, mientras que a precios de mercado efectivos las tasas tendieron a ubicarse en torno al 11,3%, siendo la tasa al nivel de abstracción de los precios de producción 9,8%. En cambio, para una composición orgánica de 20, la tasa de ganancia en términos de valor sería solo de 3,4%. Sin embargo, en función del establecimiento de precios de producción y una tasa general del 9,8%, la tasa de ganancia a precios de mercado. se ubicaría en un 9,3%.

En virtud que la rentabilidad -al nivel de abstracción del valor- se encuentra mayormente determinada por el monto relativo de capital variable, la rentabilidad tiende a caer conforme crece la composición y los valores tienden a agruparse más en torno a la línea de tendencia. La nivelación de las tasas de ganancia -por el contrario- produce los efectos opuestos, reduciendo notablemente los valores negativos del exponente, así como el valor de R2.

Hasta aquí utilizamos como definición de la composición orgánica del capital a la relación capital constante fijo y circulante/capital variable (KC/CV). Otra forma de expresarla es el capital constante fijo y circulante por trabajador (KC/L). Si la composición técnica del capital refiere a la masa de medios de producción por trabajador, KC/L sería una expresión monetaria -las masas de medios de producción por trabajador son físicamente heterogéneas entre industrias- de ella y la base de la composición orgánica entendida como KC/CV, pero haciendo abstracción principalmente de los distintos capitales variables que específicamente retribuyen las fuerzas de trabajo ramales de acuerdo a ciertos aspectos particulares.

Composición orgánica del capital (capital constante por trabajador) y tasas de ganancia en términos de valor, precios de mercado (P.m.) y precios de producción (P.p.) (n=54), valores promedio 2000-2014

Figura 5: Composición orgánica del capital (capital constante por trabajador) y tasas de ganancia en términos de valor, precios de mercado (P.m.) y precios de producción (P.p.) (n=54), valores promedio 2000-2014

Fuente: elaboración propia con base en Timmer et al. (2015).

Los resultados para esta definición de composición orgánica son similares a los anteriormente vistos. Sin embargo, resalta en forma aún más notable el proceso de desvinculación de la rentabilidad respecto a la fuerza de trabajo empleada. A una reducción todavía más marcada del exponente, desde su expresión en valor a sus expresiones en precios de producción y mercado, debe agregarse la reducción del coeficiente R2 desde una correlación muy elevada (0,9685) a un valor nulo (0,0197) en términos de precios de mercado, tal como contempla la teoría marxiana de los precios de producción.

Conclusiones

En artículo se realizó un abordaje del llamado problema de la transformación, partiendo de la determinación general del valor hasta su expresión modificada en la competencia mediante la nivelación de la tasa de ganancia y el establecimiento de precios de producción como el tiempo de trabajo socialmente necesario bajo condiciones y relaciones de producción capitalistas.

La utilización de una base de datos eminentemente global permitió realizar la correspondiente contrastación, entendiendo que los precios de costo, en lo que concierne al llamado problema de la transformación, se encuentran dados en el sentido señalado por Moseley (2015). Las tasas de ganancia en términos de valor tienden a caer de modo pronunciado conforme se incrementa la composición orgánica del capital, ya sea que se considere a esta última como la relación capital constante-capital variable o como el capital constante por trabajador. En términos de mercado, en cambio, se observa una tendencia a la nivelación de las tasas de ganancia con independencia de la composición orgánica de la rama tal como se contempla en la determinación de los precios de producción marxianos.

La metodología utilizada cuenta con un importante sustento en términos de la cantidad de datos utilizados. Por otra parte, cumple en respetar las igualdades agregadas en las tasas de ganancia, así como en los montos agregados de las ganancias y la producción total para los tres niveles de abstracción17.

Aun cuando las tasas de ganancia a precios de mercado se ubican por debajo o por encima de la tasa general que rige los precios de producción, en una mayoría clara de casos -en 42 de 54 o en 30 de 36 ramas, según la muestra- lo hace, en relación a su expresión en valor, en el sentido establecido por los precios de producción.

Referencias

  1. [1] Baumol, W. (1974). The Transformation of Values: What Marx "Really" Meant (An Interpretation), Journal of Economic Literature, 12(1), 51-62. https://www.jstor.org/stable/2721866 [URL] 🠔
  2. [2] Banco Mundial (s. f.). Datos abiertos del Banco Mundial. Consultado el 20 de mayo de 2020. https://data.worldbank.org [URL] 🠔
  3. [3] Bortkiewicz, L. (1952) Value and Price in the Marxian system. International Economic Papers, 2, 5-60 (original publicado en 1906). http://gesd.free.fr/bortk7b.pdf [URL] 🠔
  4. [4] Burns, T. (2016). Marx, The Labour Theory of Value and the Transformation Problem, Capital & Class, 41 (3), 493-510. https://doi.org/10.1177/0309816816678581 [URL] 🠔
  5. [5] Carchedi, G. (1984). Logic of Prices as Values, Economy & Society, 13(4), 431-455. https://doi.org/10.1080/03085148400000017 [URL] 🠔
  6. [6] Cockshott, P., & Cottrell, A. (1998). Do Marx Need to Transform? En R. Bellofiore (ed.), Marxian Economics: A Reappraisal (pp. 70-85). Palgrave Macmillan. 🠔
  7. [7] Duménil, G., & Foley, D. (2009). El problema de la transformación marxiana, Revista Circus 4, 89-106. https://circusrevista.com.ar/wp-content/uploads/5-dumenil.pdf [URL] 🠔
  8. [8] Grossman, H. (2016). The Value-Price Transformation in Marx and the Problem of Crisis, Historical Materialism, 24(1), 105-134. https://doi.org/10.1163/1569206X-12341446 [URL] 🠔
  9. [9] Kliman, A. (2007). Reclaiming Marx's Capital. A refutation of the Myth of Inconsistency. Lexington Books. 🠔
  10. [10] Marx, K. (1971). El Capital. Libro I Capítulo VI (inédito). Signos (original publicado en 1867). 🠔
  11. [11] Marx, K. (1968). El Capital, Tomo I. Fondo de Cultura Económica (original publicado en 1867). 🠔
  12. [12] Marx, K. (2012). El Capital, Tomo III. Fondo de Cultura Económica (original publicado en 1894). 🠔
  13. [13] Marx, K. (2007). Elementos fundamentales para la crítica de la economía política ;Grundrisse- Tomo II. Fondo de Cultura Económica (original publicado en 1857). 🠔
  14. [14] Marx, K. (1975). Teorías sobre la plusvalía, Tomo II, Fondo de Cultura Económica (original publicado en 1959). 🠔
  15. [15] Mattick, P. (1959). Value and Price. Science & Society, 23(4), 289-297. https://www.marxists.org/archive/mattick-paul/1959/value-price.htm [URL] 🠔
  16. [16] Mattick, P. (1972). Samuelson's "Transformation" of Marxism into Burgeois Economics. Science & Society, 36(3), 258-273. https://www.marxists.org/archive/mattick-paul/1972/samuelson.htm [URL] 🠔
  17. [17] Moseley, F. (2000). The "New Solution" to the Transformation Problem: A Sympathetic Critique. Review of Radical Political Economics, 32(2), 282-316. https://doi.org/10.1177/048661340003200205 [URL] 🠔
  18. [18] Moseley, F. (2011). Recent Interpretations of the Transformation Problem. Rethinking Marxism, 23(2), 186-197. https://doi.org/10.1080/08935696.2011.558752 [URL] 🠔
  19. [19] Moseley, F. (2015). Money and Totality. Brill. 🠔
  20. [20] Ochoa, E. (1989). Values, Prices, and Wage; Profit Curves in the US Economy. Cambridge Journal of Economics, 13(3), 413-429. https://doi.org/10.1093/oxfordjournals.cje.a035101 [URL] 🠔
  21. [21] Reuten, G. (2017). The Productive Powers of Labour and the Redundant Transformation to Prices of Production. Historical Materialism, 25(3), 1-33. https://doi.org/10.1163/1569206X-12341538 [URL] 🠔
  22. [22] Robles Báez, M., & Escorcia Romo, R. (2014). La dialéctica de trabajo, valor y precio en la conceptualización del capital de Marx: una reconstrucción. Economía: teoría y práctica, 41, 163-203. https://www.redalyc.org/pdf/2811/281136882007.pdf [URL] 🠔
  23. [23] Rubin, I. (1987). Ensayos sobre la teoría marxista del valor. Siglo XXI. 🠔
  24. [24] Salama, P. (1984). Value and Price of Production: A Differential Approach. En E. Mandel & A. Freeman (coords.), Ricardo, Marx, Sraffa (pp. 165-176). Verso Books. 🠔
  25. [25] Samuelson, P. (1971) Understanding the Marxian Notion of Exploitation: A Summary of the So-called Transformation Problem between Marxian Values and Competitive Prices. Journal of Economic Literature, 9(2), 390-431. https://www.semanticscholar.org/paper/Understanding-the-Marxian-Notion-of-Exploitation%3A-A-Samuelson/fe5ec1e673a78f19a3689452547a23aeb224e957 [URL] 🠔
  26. [26] Shaikh, A. (2006). Valor, acumulación y crisis. RyR. 🠔
  27. [27] Steedman, I. (1977) Marx after Sraffa. New Left Books. 🠔
  28. [28] Sweezy, P. (1964). Teoría del desarrollo capitalista. Fondo de Cultura Económica. 🠔
  29. [29] Timmer, M., Dietzenbacher, E., Los, B., Stehrer, R., & De Vries, G. (2015). An Illustrated User Guide to the World Input; Output Database: The Case of Global Automotive Production. Review of International Economics, 23(3), 575-605. https://doi.org/10.1111/roie.12178 [URL] 🠔
  30. [30] Wolff, R., Callari, A., & Roberts, B. (1984). A Marxian Alternative to the Traditional "Transformation Problem". Review of Radical Political Economics, 16(2/3), 115-134. https://doi.org/10.1177%2F048661348401600206 [URL] 🠔
El artículo es resultado de una investigación de interés científico del autor. Sin financiación. Se agradecen los valiosos comentarios de los evaluadores anónimos.
Para un análisis más pormenorizado del tema, véase Robles y Escorcia (2014), y principalmente Moseley (2015).
Para un mayor desarrollo de esta cuestión, Marx (1959/1975, pp. 137-202).
Previo a dicho paso, Marx tuvo que diferenciar las categorías tasa de plusvalía y tasa de ganancia, las cuales eran confundidas por Ricardo imposibilitándole una solución óptima, y cuyas bases se asientan en las determinaciones del capital constante y el capital variable, para el que es —a su vez— fundamental el desarrollo de las categorías valor, fuerza de trabajo y valor de la fuerza de trabajo. Es decir, el desarrollo del capital en general realizado en el primer tomo de El Capital. Solo una incorrecta comprensión del método y la teoría marxiana puede concluir en la afirmación de una redundancia del desarrollo del valor, tal como sostuvieron autores como Samuelson (1971) o Steedman (1977).
Un antecedente en tal sentido, aunque solo aplicado al capital variable, es el trabajo de Duménil y Foley (2009).
Los países en cuestión son Alemania, Australia, Brasil, Canadá, Corea del Sur, China, España, Estados Unidos, Francia, Gran Bretaña, India, Indonesia, Italia, Japón, México, Turquía y Rusia.
El incremento de la composición orgánica del capital puede fundamentarse también en cambios en los montos relativos de capital constante y variable independientes de cambios en la composición técnica.
La diferencia de productividad podría ser tal que los capitales menos adelantados se vieran imposibilitados —vendiendo las mercancías a su valor social— no solo de obtener plusvalía alguna sino de reponer el valor de la fuerza de trabajo pagando los salarios como capital variable. Incluso más, eventualmente tampoco podrían reponer el capital constante en insumos al ser el valor social menor a sus precios de costos unitarios. Ello en función de que, en concreto, el valor del capital constante desaparece en el proceso productivo, junto con su antiguo valor de uso, y "reaparece en el valor del producto, pero no se reproduce, hablando en términos estrictos. Lo que se produce es un nuevo valor de uso, en el que reaparece el valor de cambio anterior" (Marx, 1867/1968, p. 157). De lo anterior se desprende que, considerando un capital individual con una productividad relativa lo suficientemente menor, existe una imposibilidad para dicho capital de conservar su capital constante haciéndolo reaparecer en el producto.
Nótese que, conceptualmente, en condiciones de heterogeneidad productiva no existe coincidencia entre plustrabajo (L-CV) y plusvalía (V-CV) salvo en el agregado de la rama o en el de la producción en condiciones medias. Lo mismo ocurre cuando incorporamos el proceso de igualación de las tasas de ganancia. Plustrabajo, plusvalía y ganancia solo coincidirán en el agregado total, lo cual constituye un elemento de primera importancia para temas que, no obstante, exceden el espacio de esta investigación.
Para una crítica de los planteos de Samuelson y Steedman, véase Mattick (1972) y Shaikh (2006).
De acuerdo a la ecuación 11, la tasa de ganancia del capital C2, por ejemplo, se obtiene del siguiente modo:
Al año 2017.
La Clasificación Internacional Industrial Uniforme (CIIU, o ISIC por sus siglas en inglés), es una clasificación de actividades económicas que establece una codificación armonizada a nivel mundial.
Cabe señalar que en la base de datos utilizada las ganancias aparecen en términos brutos, es decir, sin el descuento del consumo de capital fijo que constituye capital fijo transferido.
Si bien excede el espacio disponible para este artículo, los resultados son similares si, en vez de realizar el ajuste por ganancia horaria se realiza por el valor agregado horario cuyo nivel en términos del agregado es la EMTT —expresión monetaria del tiempo de trabajo— o MELT por sus siglas en inglés. En ambos casos se reduce inicialmente la ganancia o el valor agregado monetario de mercado a su expresión directa en horas de trabajo vivo para luego expresarlas en términos monetarios mediante la EMTT de forma tal que puedan ser comparadas con el capital total.
Debe tenerse en cuenta, tal como señala Moseley (2015, p. 36), que Marx presenta hipotéticas tasas de ganancia en términos de valor para distintas ramas como una herramienta pedagógica para explicar las diferencias entre el plusvalor producido en una rama particular y la ganancia finalmente obtenida.
A modo de ejemplo, tomemos las ecuaciones de la figura 1. Inicialmente la tasa de plusvalía, para una composición orgánica del capital igual a 1, es mayor en términos de valor (97,7%) que en los otros dos términos (37,5% en precios de mercado y 19,6% de acuerdo a los precios de producción). Sin embargo, al resolver las ecuaciones, por ejemplo, para un valor de x igual a 20 —es decir una composición orgánica de 20—, la tasa de plusvalía en términos de valor se mantiene en niveles similares (97,3%), al tiempo que en términos de precios de mercado y de producción se incrementan en forma sustancial y similar (190,3% y 206,0% respectivamente).
Ver anexo.
Maito, E. (2021). La transformación de valores en precios de producción: una contrastación empírica para el sistema capi talista. Ensayos de Economía 31(59), 134-164. https://doi.org/10.15446/ede.v31n59.89304

Anexo

Variables estimadas del proceso de valorización global (Muestra I, n=54)

Tabla A: KC = Capital constante, CV = Capital variable, Gpm = Masa de ganancia a precios de mercado, KC/CV = composición orgánica del capital, TGv, TGpp y TGpm = Tasa de ganancia en términos de valor, precios de producción y precios de mercado, TPv, TPpp y TPpm = Tasa de plusvalía en términos de valor, precios de producción y precios de mercado.

Fuente: elaboración propia con base en Timmer et al. (2015).

Tabla B: Pv, Gpp y Gpm = Masa de ganancia en términos de valor, precios de producción y precios de mercado, KC/L = Capital constante por trabajador, Hrs = Horas anuales trabajadas, Gpm/Hr = Ganancia de mercado por hora trabajada, KV/Hr = Capital variable por hora trabajada, L = Fuerza de trabajo en miles, Hrs/L = Horas semanales promedio por trabajador.

Fuente: elaboración propia con base en Timmer et al. (2015).

Variables estimadas del proceso de valorización global (Muestra II, n=36)

Tabla C: KC = Capital constante, CV = Capital variable, Gpm = Masa de ganancia a precios de mercado, KC/CV = composición orgánica del capital, TGv, TGpp y TGpm = Tasa de ganancia en términos de valor, precios de producción y precios de mercado, TPv, TPpp y TPpm = Tasa de plusvalía en términos de valor, precios de producción y precios de mercado.

Fuente: elaboración propia con base en Timmer et al. (2015).

Tabla D: Pv, Gpp y Gpm = Masa de ganancia en términos de valor, precios de producción y precios de mercado, KC/L = Capital constante por trabajador, Hrs = Horas anuales trabajadas, Gpm/ Hr = Ganancia de mercado por hora trabajada, KV/Hr = Capital variable por hora trabajada, L = Fuerza de trabajo en miles, Hrs/L = Horas semanales promedio por trabajador.

Fuente: elaboración propia con base en Timmer et al. (2015).

Tabla E: Clasificación Industrial Internacional Uniforme de todas las actividades económicas. Revisión 4

Fuente: elaboración propia.