Ingeniería e Investigación
0120-5609
Facultad de Ingeniería, Universidad Nacional de Colombia.
https://doi.org/10.15446/ing.investig.100834

Recibido: 2 de febrero de 2022; Aceptado: 19 de octubre de 2022

Evaluation of Potential Substrates for Biogas Production in Colombia using Anaerobic Digestion Systems

Evaluación de sustratos potenciales para la producción de biogás en Colombia utilizando sistemas de digestión anaerobia

A. Ramón, 1 J. Vásquez, 2 J. Delgado, 3 D. Domínguez-Carvajal, 4 A. Mosquera-Mena, 5 F. Molina, 6 M. Peñuela-Vásquez, 7

Chemical engineer, Universidad Industrial de Santander, Colombia. PhD-c in Biotechnology, Universidad de Antioquia, Colombia. Affiliation: PhD student, Universidad de Antioquia, Colombia. Email: aura.ramonv@udea.edu.co Universidad de Antioquia Universidad de Antioquia Colombia
Biological engineer, Universidad Nacional de Colombia, Colombia. Msc in Biotechnology, Universidad de Antioquia, Colombia. PhD, Tokyo Institute of Technology, Japan. Affiliation: Researcher, Universidad de Antioquia, Colombia. Email: juan.vasquezb@udea.edu.co Universidad de Antioquia Universidad de Antioquia Colombia
Food engineer, Universidad de Antioquia, Colombia. PhD-c in Biotehcnology, Universidad de Antioquia, Colombia. Affiliation: Researcher, Bioprocess Research Group, Universidad de Antioquia, Colombia. Email: martin.delgado@udea.edu.co Universidad de Antioquia Universidad de Antioquia Colombia
Chemical Engineering student, Universidad de Antioquia, Colombia. Affiliation: Student, Universidad de Antioquia, Colombia. Email: daniel.dominguezc@udea.edu.co Universidad de Antioquia Universidad de Antioquia Colombia
Chemical engineer, Universidad de Antioquia, Colombia. Affiliation: Researcher, Bioprocess Research Group, Universidad de Antioquia, Colombia. Email: amarcela.mosquera@udea.edu.co Universidad de Antioquia Universidad de Antioquia Colombia
Sanitary engineer, Universidad de Antioquia, Colombia. MSc in Sanitary Engineering, Universidad del Valle, Colombia. PhD in Chemical and Environmental Engineering, Universidad Santiago de Compostela, España. Affiliation: Full professor, Universidad de Antioquia, Colombia. Email: francisco.molina@udea.edu.co Universidad de Antioquia Universidad de Antioquia Colombia
Chemical engineer, Universidad de Antioquia, Colombia. MSc in Chemical and Biochemical Process Technology, Universidade Federal do Rio de Janeiro, Brasil. PhD in Chemical and Biochemical Process Technology, Universidade Federal do Rio de Janeiro, Brasil. Affiliation: Full professor, Universidad de Antioquia, Colombia. Email: mariana.penuela@udea.edu.co Universidad de Antioquia Universidad de Antioquia Colombia

ABSTRACT

Increasing energy demands around the globe require alternative sources of energy. Considering the large amount of agro-industrial and agriculture-related activities in Colombia, energy generation from biomass waste is a promising option to meet the energy needs of the country. Anaerobic digestion (AD) is a good alternative to use these wastes. In this study, several potential substrates for biogas generation using AD systems were identified through a literature review. Vinasses, palm oil industry residues, swine manure, coffee industry residues, and municipal solid wastes were found as potential substrates for AD. Considering factors such as composition, the amount of waste production, availability, and their relationship with important Colombian economic activities, three substrates were selected to perform biochemical methane potential (BMP) experiments. The selected substrates were swine manure (SM), palm oil mill effluent (POME), and coffee residues (CR). The obtained BMP values were 240, 465, and 314 NmLCH4/g VS, respectively. An analysis of kinetic parameters analysis was conducted for the BMP experiments, based on the logistic and Gompertz models. It was seen that the AD of SM starts faster than in the other evaluated substrates. Nevertheless, the overall methane production rate was the highest for POME, followed by CR. SM had the lowest methane production yield. The obtained values of BMP, kinetic parameters, and those collected during the literature review can be useful for the design and implementation of AD systems in Colombia. Moreover, attention should be paid to substrates such as POME, which have a high energy production potential.

Keywords:

anaerobic digestion, biogas, biochemical methane potential, wastes.

RESUMEN

El aumento de la demanda de energía en el mundo hace necesaria la búsqueda de fuentes alternativas de energía. Considerando la amplia actividad agroindustrial y agropecuaria en Colombia, la generación de energía a partir de residuos de biomasa es una opción promisoria para satisfacer las necesidades energéticas del país. La digestión anaerobia (DA) es una buena alternativa para aprovechar estos residuos. En este estudio se identificaron varios sustratos potenciales para la generación de biogás utilizando sistemas de DA a través de una revisión de la literatura. Las vinazas, los residuos de la industria del aceite de palma, el estiércol porcino, los residuos de la industria del café y los desechos sólidos municipales se consideraron como sustratos potenciales para la DA. Considerando factores como la composición, la cantidad de residuos producidos, la disponibilidad y su relación con importantes actividades económicas colombianas, se seleccionaron tres sustratos para realizar experimentos de potencial bioquímico de metano (BMP). Los sustratos seleccionados fueron estiércol porcino (SM), efluente de la industria de aceite de palma (POME) y residuos de café (CR). Los valores de BMP obtenidos fueron 240, 465 y 314 y NmLCH4/g SV respectivamente. Se realizó un análisis de parámetros cinéticos para los experimentos de BMP con base en los modelos logístico y de Gompertz. Se vio que la digestión anaerobia de SM inicia más rápido que en los otros sustratos evaluados. Sin embargo, la tasa de producción de metano fue más alta para POME, seguida por CR. SM tuvo la tasa más baja de producción de metano. Los valores obtenidos de BMP, parámetros cinéticos y los recolectados durante la revisión de la literatura pueden ser de utilidad para el diseño e implementación de sistemas AD en Colombia. Aún más, debe prestarse atención a los sustratos como POME, que presentan un alto potencial de producción de energía.

Palabras clave:

digestión anaerobia, biogás, potencial bioquímico de metano, residuos.

Introduction

In recent decades, global energy consumption has had a progressive increase (British Petroleum Company, 2020). The current world energy demand, added to the depletion of fossil fuels, has aroused the scientific community's interest in conducting research for the development and subsequent use of new, complementary energy sources. Attention has been focused on renewable energies such as biofuels, solar, wind, hydroelectric, biomass, among others, which are more environmentally friendly (REN21, 2020). One of the alternatives to meet the future energy demands lies in the use of residual biomass, given that its use as an energy source can also provide a solution to the issues regarding its final disposal. Among the different methodologies for the use of the organic substrates contained in residual biomass, anaerobic digestion (AD) has emerged as one of the most appealing options in recent years.

AD is a biochemical process in which organic matter is decomposed by the action of different microorganisms in the absence of oxygen, thus producing biogas and a liquid effluent known as digestate. Biogas is a gaseous mixture composed mainly of methane (55-65%), carbon dioxide (35-45%), and some small amounts of ammonia and other gasses (Uddin et al., 2019). The AD process involves four successive types of reaction: hydrolysis, acidogenesis, acetogenesis, and methanogenesis. These reactions are performed by different bacterial groups working together as a consortium. The process is mainly divided into two stages: in the first stage, complex organic compounds are degraded to Volatile Fatty Acids (VFA), H2, and CO2 through hydrolysis, acidogenesis, and acetogenesis reactions; in the second stage, VFAs are transformed into CH4 and CO2 through methanogenesis reactions (Wong et al., 2013).

At a global level, AD is a technology with broad development and high industrial application, with an estimate of more than 100 000 anaerobic digestion plants with the capacity to produce electrical energy around the world, as well as about 50 million micro-scale biodigesters located mainly in rural areas of China and India (Jain et al., 2019; Linville et al., 2015; Wu et al., 2019). In Colombia, the industrial application of this technology has been relatively low, and the number of anaerobic digestion plants currently operating in the country is uncertain. However, different projects have been known to take advantage of this technology in sectors such as the swine and poultry industry, the palm-growing industry, companies in the dairy sector, and some plants dedicated to the production of beer (Velásquez et al., 2018). Some institutions in Colombia carry out different activities aimed at encouraging the use of AD systems for utilizing waste. Among them, it is worth highlighting the association of the national pig farming fund (PORKCOLOMBIA), the mining and energy planning unit (UPME), and the Colombian network of biodigesters (REDBIOCOL).

Regarding research on AD processes, Figure 1 shows the number of articles published on different topics regarding AD in Colombia and the world as of December 2021, according to the Web of Knowledge database. While there is an evident and rapid growth in the volume of research on this topic around the world in the last decade, in Colombia, increasing research on this topic has just recently made itself evident (i.e., since 2018). Considering the extensive agro-industrial and livestock activity in Colombia, the use of organic waste in these activities in the form of AD systems represents a great potential to obtain energy and other interesting byproducts of the AD process. It is therefore necessary to carry out more and better research to generate knowledge and technologies adaptable to the needs of the country, as well as to expand the practical applications of AD. This should include a general assessment of the potential use of different organic wastes generated in the country as substrates for biogas production.

Number of scientific articles published annually in indexed journals on topics of anaerobic digestion by research carried out in the world (a) and in Colombia (b)

Figure 1: Number of scientific articles published annually in indexed journals on topics of anaerobic digestion by research carried out in the world (a) and in Colombia (b)

Source: Web of Knowledge

Some research carried out in the country on this topic has focused on exploring and identifying different substrates that could be used in AD systems. Rincón et al. (2018) carried out a study in order to identify the different types of residual biomass available for the generation of biogas in Colombia and theoretically estimate their energy and biogas production potential. To this effect, they relied on the Biomass Atlas of Colombia, on information from the Colombian Agricultural Institute, and on data from the sectoral associations. Residual biomass from the agricultural, livestock, and urban sectors was identified. The energy potential was determined using the amount of organic matter contained in the biomass, the lower heating value of methane, and the concentration of methane in the biogas generated by each residual biomass.

According to the results, the cattle sector has the highest potential, with more than 70 000 TJ/year. However, according to availability and feasibility criteria in terms of ease of collection, quantity of supply, other possible uses, and transportation, the exploitable potential was higher for the Panela production sector, with 22 660 TJ/year at the national level.

Velásquez et al. (2018) studied the potential of biomass conversion to biogas in Colombia in a joint project involving Universidad Nacional de Colombia and UPME. This study presents the identification of different types of residual biomass available in the country for the generation of biogas, and it estimates the potential of biogas production from some of these sources. The study included the economic analysis for the possible establishment of AD projects in light of the theoretically estimated potential. Among the results reported in this work, several promising biomasses were identified in different sectors. In the livestock sector, biomasses from pig, bovine, and poultry waste are mentioned. The study concludes that, in general, the use of these biomasses for the production of biogas seems favorable. It also presents few data on BMP measurements, but these are not presented in detail, and the experimental results are not largely discussed.

Amado et al. (2021) simulated the AD of three different residual biomasses using the ADM1 model, in order to evaluate the energy recovery potential in Colombia from those substrates. The study included validation with experimental data obtained from batch AD processes with the three substrates. According to this work, the energy recovery potential from coffee mucilage, cocoa mucilage, and Swine manure in Colombia is about 155,1 Ktoe. The local availability of these three biomasses was identified as the most influential parameter to estimate the potential recovery from the substrates. Moreover, Gutiérrez et al. (2020) carried out an extensive literature review to create an inventory of available biomass residues with potential application as energy sources, including their use in AD. Several wastes were summarized, including different agricultural and agro-industrial wastes, waste from crops, and livestock waste. The combined bioenergy potential of these residues was calculated to be 216 000 to 432 000 TJ per year.

On a different approach, Mosquera et al. (2020) developed a statistical model to evaluate the anaerobic co-digestion potential of several biomass sources commonly found in Colombia. BMP assays for different combinations of the substrates were performed. They found that the best co-digestion occurs when mixing residues from the bottled fruit drinks industry and the organic fraction of municipal solid waste, reaching a BMP value of 382,17 mL CH4/g VS.

The aforementioned studies have mainly focused on identifying potential substrates for AD in Colombia and evaluating their theoretical potential for energy production. Only in a few cases, limited experimental data have been shared regarding the AD process of the considered substrates. This kind of empirical information is important for the design and implementation of AD systems, and more detailed data on the methane production from potential substrates in the country is needed to stimulate biogas production technologies in Colombia.

The objective of this study was to compare the different potential substrates for biogas production in Colombia using different criteria based on an extensive literature review, as well as to select the most promising substrates to experimentally evaluate their methanogenic potential and kinetic parameters within the AD process.

Materials and methods

Substrate evaluation

The selection of potential substrates for biogas production was performed through a literature review, considering different criteria such as the annual national production of each waste and its availability, the adequacy of the biomass or the pretreatment requirement for its use in the anaerobic digestion process, and the values reported for physicochemical factors associated with the process, i.e., the methanogenic potential, the organic matter content represented by the amount of volatile solids, and the presence of nutrients such as carbon and nitrogen, with an optimal carbon-nitrogen ratio (C /N) from 20 to 30, which is essential for the growth of microbial communities (Rivas et al., 2016; Lohani et al., 2018). Then, the ones considered to be substrates with the most interesting features for AD and biogas production in Colombia were characterized, and their methanogenic potential was experimentally evaluated.

Substrate selection and physicochemical characterization

Following the literature review, different substrates were selected for the BMP tests. In order to characterize the selected substrates evaluated in this work, experimental measurements of different physicochemical parameters were carried out. These parameters were pH, percentage of humidity, chemical oxygen demand (COD), total solids (TS), and volatile solids (VS). All measurements were carried out following the standard methods of the American Public Health Association (APHA, 2019).

Methanogenic potential (BMP) of selected substrates

For the evaluation of the methanogenic potential, an automated volumetric method was implemented using the AMPTS II - Light equipment developed by Bioprocess Control (BPC). Testing was carried out in triplicate in batch assays at different times, within reactors with a working volume of 2 L and a headspace of 300 mL. The assays were run under mesophilic conditions at 35°C for 30 days. The inoculum used for the experiments was obtained from the biodigester of the San Fernando wastewater treatment plant, located in Medellín, Colombia. An inoculum to substrate ratio in terms of volatile solids content of 2 was employed. The vessels were gassed with pure N2 for 1 minute in order to ensure anaerobic conditions. All reactors were mechanically stirred at 60 RPM in cycles (each cycle consisted of 10 minutes with mixing and 10 minutes without mixing). The biogas produced in each vial passed through a vessel containing an alkaline solution of 1 M NaOH, allowing only CH4 to pass through the gas flow in-line measuring device. Finally, data on methane volume production were collected from the equipment. The volume data was normalized at a temperature of 0°C and a pressure of 1 atm.

Determination of kinetic parameters

To evaluate and compare the degradation kinetics of the different substrates in the BMP tests, two different equations were used, corresponding to models widely used in anaerobic digestion processes. Equation (1) represents the calculation of accumulated methane produced (B) by the logistic model.

In the above Equations, K represents the maximum methane production, δ represents the lag phase, r represents the maximum methane production rate, and t represents time. To find the values of the kinetic parameters, an optimization was carried out using Excel's Solver tool in order to minimize the square error between the experimentally measured methane production and the methane production calculated with the models.

Results and discussion

Considered substrates

For the literature review, national published documents were taken into account, such as the Biomass Atlas of Colombia, information on the elaboration of the productive censuses of the Colombian Agricultural Institute (ICA). In addition, a search was carried out (in academic databases such as Dialnet, Scielo, and Redalyc, among others) of recent publications, using the name of the substrate, anaerobic digestion, or biogas as a keywords in their title.

The information found allowed collecting relevant data to compare the potential use in AD systems of substrates such as vinasse, coffee residues (CR), palm oil wastewater (POME, rachis and almond), pig slurry (SM), and urban solid waste (RSU). Other wastes that have been mentioned as possible substrates by other studies for the AD process in Colombia were excluded here because there was not enough information to make a comparison according to the criteria mentioned in the Materials and methods section. 1

Appendices 1 and 2, summarize the information on the selection criteria and the main characteristics of the substrates reviewed. Some details of the considered substrates are described in this section.

Vinasse

Vinasse stems from the industrial process of obtaining ethanol as fuel. Specifically, vinasse is a residual effluent from the distillation stage that allows obtaining a purer alcohol (Durán et al., 2015; Fedebiocombustibles 2020).

Currently, the National Federation of Biofuels of Colombia (Fedebiocombustibles) reports seven production plants of ethanol fuel produced from sugar cane, which in turn are the largest producers of stillage in the country. These plants are located in Valle del Cauca, Meta, and Risaralda. The joint ethanol production of these facilities reached 2 150 000 L/d in 2019 (Fedebiocombustibles, 2020; Asocaña, 2019). It is estimated that the amount of vinasse produced per liter of ethanol is between 0,8 and 3 L. However, the information provided by ethanol producing companies shows that the amount of stillage obtained in the process is between 7 and 14 L of stillage/L of ethanol, depending on whether the distillation is carried out with or without recycling (Asocaña, 2019, Rincón, 2018).

Generally, the alternative use of vinasse is low. One of the most studied ones is the use of vinasse as a fertilizer due to its high content of phosphorus, nitrogen, and potassium. Other uses that are given to vinasse include dehydration and subsequent composting or incineration (Asocaña, 2019). In general, these alternative uses are attempts to give a better disposition to the vinasse. In this sense, almost all of the vinasse produced is available for use in other processes such as AD. The availability of vinasse for its use in other processes such as AD is almost full. It should be taken into account, however, that the use of vinasse in this process usually requires its pretreatment by means of an ozone process to reduce the phenols that it contains and can be inhibitory for microorganisms producing biogas (Durán et al., 2015).

Coffee residues (mucilage and pulp)

Coffee pulp is obtained through the pulping process, which consists of removing the pulp around the coffee fruit. As the coffee cherry passes through a rotating drum, the coffee is brought to a point where the pressure exerted separates the pulp from the fruit, given the slime or mucilage contained in ripe coffee. Coffee pulp accounts for about 42% of the mass of the coffee cherry on a wet basis.

Mucilage is a gelatinous film that that is exposed when the coffee fruit is pulped. It is characterized by a strong water retention capacity. In Colombia, coffee mucilage is removed from the pulp by natural fermentation (12 to 18 hours), mechanical means, and the addition of enzymes (Moreno and Jiménez, 2016). Coffee mucilage represents approximately 15% of cherry coffee on a wet basis.

The coffee industry, one of the most important in the country, reported a production of 13,8 million bags of coffee in the 2017-2018 period, according to the National Federation of Coffee Growers (Moreno and Jiménez, 2016). This high activity of the coffee industry generates large amounts of pulp and mucilage, close to 2,25 and 0,76 tons/ year * ha, respectively (Rodríguez and Zambrano, 2010). The high production of these wastes and their high sugar content make them potential substrates for the production of biogas via AD.

Mucilage and coffee pulp have several alternative uses. Among them are the production of ethanol and its use in vermicomposting processes. It has also been tested as a raw material for the production of coffee mucilage concentrates, thanks to the fact that it contains high concentrations of fructose, glucose, pectin, chlorogenic acid, and polyphenols that contribute to health and well-being (Moreno and Jiménez, 2016; Rodríguez and Zambrano, 2010). Some pretreatments that may be required by coffee mucilage before its use in anaerobic digestion processes include leaching processes and pH adjustments. The pulp may also require pH adjustments or the mechanical reduction of particle sizes.

Palm oil industry residues

In Colombia, palm cultivation has spread throughout the territory, reaching 480 000 ha in 2020, making the country the first palm oil producer in America and the fourth in the world (Fedepalma, 2021). During the palm oil extraction process, a large amount of waste is generated, such as fibers (12%), palm kernels or shells (5%), empty fruit clusters or rachis (23%), and wastewater from each cluster of processed fresh fruit (Saelor et al., 2017).

Palm oil mill effluent (POME): is a combination of effluents from cluster sterilization condensate (36%), clarification wastewater (60%), and hydrocyclone wastewater (4%) (Ahmed et al., 2015). POME is a concentrated brownish acidic liquid with a pH in the range of 3,5 to 5,0. It is discharged at a temperature of 80-90 °C and is characterized by a high chemical oxygen demand. It is estimated that, for each ton of processed fresh fruit bunch, 0,5 to 0,7 m3 of POME are produced (Suksong et al., 2017).

The use of POME as a feedstock for biogas production has been applied on an industrial scale in the countries with the highest palm oil production, i.e., Malaysia and Indonesia. The conversion of POME to biogas provides different benefits such as reducing waste contamination parameters such as organic solids, microbial pathogens, and toxicity. Under mesophilic conditions, it is estimated that 28 m3 of biogas can be produced from 1 m3 of POME (Shakib et al., 2019).

In Colombia, Nabarlatz et al. (2012) conducted a study with the purpose of evaluating the production of methane using POME and sludge and pig manure as inoculum. The maximum accumulated methane production was 2 740 mL (343 mL CH4/g VS). Currently, at the national level, there are nine palm oil beneficiation plants that have a system of lined anaerobic lagoons in order to capture methane and reduce the generation of greenhouse gasses. Three of those companies have developed cogeneration projects implementing biodigesters for the use of methane gas from POME, generating approximately 8 MW of clean energy per year and selling surplus energy to the external network (Fedepalma, 2020).

Palm rachis: The cluster of empty fruit or palm rachis is a lignocellulosic material composed mainly of polysaccharides (66%) such as cellulose, xylan, and glucan; and polymers (12%) such as lignin. Palm rachis has a moisture content in the range of 60-65% and 1 to 2,5% of impregnated vegetable oil. In addition, it is rich in nutrients such as potassium and, to a lesser extent, in magnesium, nitrogen, and phosphorus (Ramírez et al., 2011). The main use of rachis is to incorporate it into the soil as organic fertilizer due to its potassium content.

There has been little interest in using palm rachis for biogas production due to its lignocellulosic composition. However, it shows great potential to produce methane, given its biodegradability and high moisture content. Some studies, such as those by Paepatung et al. (2009), Nieves et al. (2011), and O-Thong et al. (2012), have estimated the potential yield of specific methane for rachis at different operating conditions. The results express maximum methane productions of 370, 181, and 202 mL/g VS, respectively. Likewise, Suksong et al. (2019) have investigated the fungal pre-treatment with TRICHODERMA reesei TISTR 3080 in order to produce enzymes capable of degrading cellulose, hemicellulose, and lignin, thus improving methane recovery. The results express a maximum methane yield of 315 mL/g VS for the retention of 15 days.

Palm kernel is the shell that covers the almond and corresponds to approximately 7% of the weight of the fresh fruit cluster. It is characterized by a low moisture content and a high content of volatile matter. Among the residues from palm oil extraction, the shell has the lowest sulfur content and the highest calorific value, which is why palm shells are used as fuel for preheating boilers and are important in the search for different processes of energy use of this biomass. Jekayinfa et al. (2013) developed a study of biogas production using palm shell as a substrate on a laboratory scale under mesophilic conditions at 35 °C for 30 days. A maximum methane production of 50 mL/g VS and a biogas yield of 80 mL/g VS were achieved.

Swine manure

Swine manure are the feces produced in operations involving swine, which can be used as fertilizer. They contain nutrients such as nitrogen, phosphorus, and potassium among others (Grisales et al., 2016).

In Colombia, the swine population is estimated to be about 6,4 million. With an average of 2,35 kg of manure produced per pig every day, the manure produced in the country reaches values close to 5,5 million ton/year (Mosquera et al., 2020). As manure is sometimes used as a fertilizer, not all of it is available to be used in energy production. Gutiérrez et al. (2020) estimated that only about 61% of the total manure produced is available. The potential for methane production of manure varies greatly. The literature reports values between 210 and 437 mL CH4/gVS (Rodríguez et al., 2017; Gutiérrez et al., 2020). In Colombia, the swine industry has shown great interest in the development and implementation of AD processes to use their residues.

Organic Fraction of Municipal Solid Waste (OFMSW)

Municipal solid waste refers to all waste consisting of organic and inorganic material generated in private homes from institutional and commercial sources, such as offices, hotels, and restaurants, among others. The organic fraction of municipal solid waste (OFMSW) represents, on average, between 50 to 70% of the composition of urban solid waste, consisting mainly of garden waste, food scraps, and paper (Malik et al., 2013).

OFMSW has great potential as a substrate in AD due to the large volumes of generation related to population growth and its organic content, availability, and geographic location. In Colombia, an average of 0,74 kg is estimated per day of waste generated per inhabitant (CEPAL, 2021). According to the 2018 Solid Waste Final Disposal report, the final disposal of solid waste in Colombia amounts to 11 390 329 tons per year, which corresponds to more than 14 500 daily tons of organic waste for use (Superintendencia de Servicios Públicos Domiciliarios, 2019). Among the current treatment methods for OFMSW, composting and AD stand out (López et al., 2020). Composting is considered to be the best option due to its low cost and ease of implementation, transforming waste into a homogeneous material with nutritional contents that contributes to the recovery of degraded soils (Tortosa, 2020). The use of OFMSW in AD systems for biogas production is very recent. According to CONPES 3874 of 2016, energy recovery is included as a strategy for the alternative treatment of this type of waste before its final disposal in landfills (Departamento Nacional de Planeación, 2016).

Residues selection and characterization

Swine manure (SM), POME, and coffee residues (CR) were selected as substrates to conduct the BMP test. The selection was based on their high content of VS, high volume of production in Colombia, high availability, and few pretreatment requirements, as well as for their key role in the Colombian industry with regard to the commercial sectors that produce these wastes. To conduct the BMP test, the residues were collected from different sources.

Swine manure was collected from a pig farm located in the outskirts of Medellín, Colombia. The solid manure was diluted with water in a manure:water ratio of 1:5, and then it was filtered with an 18 mesh to remove large solids in the mixture. The liquid obtained after filtration was used for the BMP. POME was obtained from the COOPAR palm oil extraction plant located in El Zulia, Colombia. Coffee residues consisted of the wastewater resulting from the washing and centrifugation of coffee fruits. They were collected from a coffee processing plant located in Andes, Colombia. No pretreatment was made to POME or CR before the BMP tests. Table 1 shows the values for different parameters of the collected samples.

Table 1: Measured parameters of the substrates used in the BMP test

Source: Authors

BMP assays

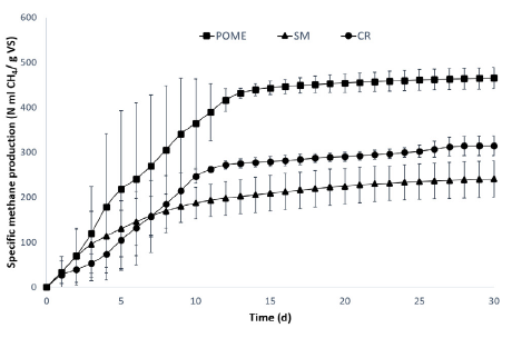
Figure 2 presents the BMP results obtained for the three selected substrates. It can be seen that POME has the highest BMP, with a value close to 465 NmL CH4/gVS after 30 days of experimentation. The BMP values for SM and CR were 240 and 314 NmL CH4/gVS, respectively. It is interesting that AD processes in Colombia have focused mostly on one substrate (SM), which has a lower BMP value than other potential substrates. New projects of AD using alternative substrates such as CR and POME are a potential way to generate larger amounts of energy in the country.

Evolution of methane production during the BMP test for the selected substrates. Error bars represent the standard deviation for the triplicates.

Figure 2: Evolution of methane production during the BMP test for the selected substrates. Error bars represent the standard deviation for the triplicates.

Source: Authors

The BMP values obtained in this study can be compared to the information found in the literature. In the case of CR, no reliable BMP values are found in Colombian studies. In a study conducted in Ethiopia, Chala et al. (2018) reported BMP values for different fractions of coffee wastes, ranging from 159 to 294 mL CH4/gVS. The BMP value found for CR in this study was slightly higher. In the case of POME, other studies have reported BMP values below 400 mL CH4/ gVS. The value found in this study is considerably higher. In the case of SM, reported values rank from 210 to 437 mL CH4/gVS. In this study, the value found was close to the lower reports. Nevertheless, it should be stated that, in this study, the SM was diluted in water and then filtered for large particles that could cause complications during its use in reactors requiring feeding by pumps. Unfiltered SM preparations may show a higher BMP, as they could contain larger amounts of organic matter. However, preliminary assays have shown that the methane production rate for the unfiltered SM (with the same dilution ratio) is much lower than that of the filtered SM (data not shown).

It is also noticeable that methane production from CR had almost finished on day 11, while POME showed methane production until day 13. The behavior of CR at the beginning of the fermentation was slower. However, after day 8, it surpassed SM. After days 11 and 13, POME showed no significant changes in methane production. However, CR showed a slightly higher daily methane production on day 28 in one of the reactors. This is less clear for SM, as the methane production seems to become fully established only after day 24, with an increase in daily methane production of less than 1,0% compared to previous days. This is important when it comes to defining the hydraulic retention time (HRT) of an AD process with any substrate. In the case of SM, as the complete degradation of organic matter can take longer, a higher HRT should be ensured, whereas, for CR and POME, the HRT can be lower. Additionally, in the first 13 days, POME showed a large standard deviation reflected in the speed of adaptation of the sludge to said substrate, due to the use of a more active sludge for performing the tests at different times.

Kinetic parameters

The logistic and Gompertz models were applied, and their parameters optimized, for the BMP assays carried out with POME, SM, and CR as substrates. Both models showed a good fitting to the experimental data in all cases (Figure 3).

The estimated kinetic parameters for the selected substrates are shown in Table 2. According to the experimental results, POME had the highest K value, and SM had the lowest, indicating a higher BMP of POME, followed by CR, and a lower BMP for SM. Interestingly, the shortest lag phase (represented by δ) was observed for SM. A δ value of 0 d for SM indicates that there is practically no lag phase during the AD of this substrate. This value was higher for POME, while CR showed the highest value of δ. A larger lag phase in an AD process implies that the microorganisms in charge of degrading the substrates take longer to adapt to it, and the biogas production will thus take longer to start during the early stages of the process.

As for the maximum methane production rate (represented by r), the highest value was obtained for POME, followed by CR and, finally, by SM with the lowest value. This indicates that, once the microbial community has adapted to the substrate, POME can be more easily transformed into biogas than CR and SM. This parameter is important for the design of AD systems using a given substrate, and having it calculated for different substrates can support the design and implementation of AD plants in Colombia.

Model fitting for the BMP of the selected substrates: a) SM, b) POME, c)

Figure 3: Model fitting for the BMP of the selected substrates: a) SM, b) POME, c)

CR Source: Authors

It can be seen that the previous discussion is similar considering the results of both models, thus implying that the calculations are consistent with different calculation approaches and in accordance with the experimental results.

Table 2: Estimated kinetic parameters for the logistic and Gompertz models applied to the anaerobic digestion of swine manure, POME, and coffee residues

Source: Authors

Conclusions

The wide agriculture and agro-industrial activity of Colombia provides large amounts of different organic wastes that are potential substrates for biogas generation using anaerobic digestion (AD) processes. Among said wastes, swine manure (SM), POME, and coffee residues (CR) are especially interesting considering their chemical composition, their amount of production and availability to be used in energy generation processes, and their importance in Colombian economic activities, which allows solving problems related to the inappropriate use of solutions and constitutes an alternative to the final disposal of said residues. The biochemical methane potentials of SM, POME, and CR were found to be 240, 465, and 314 and NmLCH4/gVS respectively. Kinetic parameters for the AD process of these substrates show that, while methane production starts earlier for SM, in later stages of the process, the production rates of CR and POME are higher. Although the few AD systems currently operating in Colombia are focused on using SM as substrate, new systems should be considered for substrates with high BMP, such as CR and POME. The design and implementation of AD systems for this kind of substrates should be supported by more experimental data such as those reported in this study.

Acknowledgements

Acknowledgements

The authors gratefully acknowledge the financial support provided by the Colombia Scientific Program, within the framework of the call Ecosistema Científico (Contract No. FP44842-218-2018).

References

  1. Ahmed, Y., Yaakob, Z., Akhtar, P., and Sopian, K. (2015). Production of biogas and performance evaluation of existing treatment processes in palm oil mill effluent (POME). Renewable and Sustainable Energy Reviews, 42, 1260-1278. https://doi.org/10.1016/j.rser.2014.10.073 [URL] 🠔
  2. Amado, M., Barca, C., Hernández, M. A., and Ferrasse, J. H. (2021). Evaluation of energy recovery potential by anaerobic digestion and dark fermentation of residual biomass in Colombia. Frontiers in Energy Research, 9, 690161. https://doi.org/10.3389/fenrg.2021.690161 [URL] 🠔
  3. Asocaña (2019). Aspectos generales del sector agroindustrial de la caña 2018-2019 informe anual. https://www.asocana.org/modules/documentos/15331.aspx [URL] 🠔
  4. Blandón-Castaño, G., Dávila-Arias, M. T., and Rodríguez-Valencia, N. (1999). Caracterización microbiològica y físico-química de la pulpa de café sola y con mucílago, en proceso de lombricompostaje. Cenicafé, 50(1), 5-23. https://www.cenicafe.org/es/publications/arc050(01)005-023.pdf [URL] 🠔
  5. Bristish Petroleum Company (2020). Statistical review of world energy, 69th edition.https://www.bp.com/content/dam/bp/business-sites/en/global/corporate/pdfs/energy-economics/statistical-review/bp-stats-review-2020-full-report.pdf [URL] 🠔
  6. Campuzano, R., and González, S. (2016). Characteristics of the organic fraction of municipal solid waste and methane production: A review. Waste Management, 54, 3-12. https://doi.org/10.1016/j.wasman.2016.05.016 [URL] 🠔
  7. Chala, B., Oechsner, H., Latif, S., and Müller, J. (2018). Biogas potential of coffee processing waste in Ethiopia. Sustainability, 10(8), 2678. https://doi.org/10.3390/su10082678 [URL] 🠔
  8. Comisión Económica para América Latina y el Caribe (CEPAL). (2021). Encuesta a municipios sobre gestión de residuos sólidos domiciliarios 2019 - Colombia. Documentos de Proyectos (LC/TS.2021/67). https://www.cepal.org/es/publicaciones/46988-encuesta-municipios-gestion-residuos-soli-dos-domiciliarios-2019-colombia [URL] 🠔
  9. Departamento Nacional de Planeación. (2016). CONPES 3874 - Política Nacional para la Gestión Integral de Residuos Sólidos. https://www.minambiente.gov.co/wp-content/up-loads/2021/08/conpes-3874-de-2016.pdf [URL] 🠔
  10. Durán, M., Sanabria, I., and Gutiérrez, N. (2015). Evaluación de la producción de metano en la digestión anaerobia de vinazas pretratadas con ozono. Revista EIA, 12(24 ), 167-177. https://doi.org/10.24050/reia.v12i24.881 [URL] 🠔
  11. Fedebiocombustibles (2021). Etanol. http://www.fedebiocom-bustibles.com/main-pagina-id-4-titulo-proceso_de_los_bio-combustibles.htm [URL] 🠔
  12. Fedepalma (2019). Anuario estadístico: principales cifras de la agroindustria de la palma de aceite en Colombia. https://publicaciones.fedepalma.org/index.php/anuario [URL] 🠔
  13. Fedepalma (2021). La palma de aceite en Colombia. https://web.fedepalma.org/la-palma-de-aceite-en-colombia-departamentos [URL] 🠔
  14. Grisales, J., Osorio, N., and Gómez, J. (2016). Manual de uso de la porcinaza en la agricultura "De la granja al cultivo". https://www.porkcolombia.co/manual-de-uso-de-la-porcinaza-en-la-agricultura/ [URL] 🠔
  15. Gutierrez, A., Cabello, J., Hens, L., and Vandecasteele, C. (2020). The energy potential of agriculture, agroindustrial, livestock, and slaughterhouse biomass wastes through direct combustion and anaerobic digestion. The case of Colombia. Journal of cleaner production, 269, 122-317. https://doi.org/10.1016/j.jclepro.2020.122317 [URL] 🠔
  16. Jain, S. (2019). Global potential of biogas. World Biogas Association. https://www.worldbiogasassociation.org/wp-con-tent/uploads/2019/09/WBA-globalreport-56ppa4_digi-tal-Sept-2019.pdf [URL] 🠔
  17. Jekayinfa, S., and Scholz, V. (2013). Laboratory scale preparation of biogas from cassava tubers, cassava peels, and palm kernel oil residues. Energy Sources, Part A: Recovery, Utilization, and Environmental Effects. 35(21 ), 2022-2032. https://doi.org/10.1080/15567036.2010.532190 [URL] 🠔
  18. Linville, J., Shem, Y., Wu, M., and Urgun, M. (2015). Current state of anaerobic digestion of organic wastes in North America. Current Sustainable/Renewable Energy Reports, 2, 136-144. DOI: https://doi.org/10.1007/s40518-015-0039-4 [URL] 🠔
  19. Lohani, S. P., Havukainen, J. (2018). Anaerobic digestion: Factors Affecting anaerobic digestion process. In S. Varjani, E, Gnansounou, B. Gurunathan, D. Pant, and Z. Zakaria (Eds.) Waste Bioremediation. Energy, Environment, and Sustainability (pp. 343-359). Springer. https://doi.org/10.1007/978-981-10-7413-418 [URL] 🠔
  20. López, Y., and Franco, B. (2020). Gestión de residuos sólidos urbanos: Un enfoque en Colombia y el departamento de Antioquia. Cuaderno Activa, 11, 120-134. https://ojs.tdea.edu.co/index.php/cuadernoactiva/article/view/808/916 [URL] 🠔
  21. Lorenzo, Y., Chanfón, J., and Pereda, I. (2013). Estudio de la digestión anaerobia mediante el ensayo de actividad metanogénica empleando vinazas con diferentes contenidos de sulfatos. ICIDCA sobre los derivados de la caña de azúcar, 47(1), 45-50. https://www.redalyc.org/pdf/2231/223126409006.pdf [URL] 🠔
  22. Malik, A., Masood, F., and Grohmann, E. (2013). Management of microbial resources in the environment: A broad perspective. In A. Malik, E. Grohmann, and M. Alves (Eds.), Management of Microbial Resources in the Environment (pp. 1-15). Springer. https://doi.org/10.1007/978-94-007-5931-2_1 [URL] 🠔
  23. Mejía, M. (2015). Efecto del cuesco de la palma africana en la reducción de emisiones NOX en la combustión de gas natural. [Undergraduate tesis, Universidad de los Andes]. https://repositorio.uniandes.edu.co/bitstream/handle/1992/18583/u722464.pdf?sequence=1&isAllowed=y [URL] 🠔
  24. Moreno, N., and Jiménez, R. (2016). Evaluación de diferentes métodos para la transformación de la pulpa de café en abono orgánico en fincas cafeteras [Master's thesis, Universidad de Manizales]. https://ridum.umanizales.edu.co/xmlui/han-dle/20.500.12746/2620 [URL] 🠔
  25. Mosquera, J., Varela, L., Santis, A., Villamizar, S., Acevedo, P., and Cabeza, I. (2020). Improving anaerobic co-digestion of different residual biomass sources readily available in Colombia by process parameters optimization. Biomass and Bioenergy, 142, 105790. https://doi.org/10.1016/j.biombioe.2020.105790 [URL] 🠔
  26. Nabarlatz, D., Arenas, L., Herrera, D., and Niño, D. (2013). Biogas production by anaerobic digestion of wastewater from palm oil mill industry. CT&F - Ciencia, Tecnología y Futuro, 5(2), 73-83. https://doi.org/10.29047/01225383.58 [URL] 🠔
  27. Nieves, D. C., Karimi, K., and Horváth, I. S. (2011). Improvement of biogas production from oil palm empty fruit bunches (OPEFB). Industrial Crops and Products, 34(1), 1097-1101. https://doi.org/10.1016/j.indcrop.2011.03.022 [URL] 🠔
  28. O-Thong, S., Boe, K., and Angelidaki, I. (2012). Thermophilic anaerobic co-digestion of oil palm empty fruit bunches with palm oil mill effluent for efficient biogas production. Applied Energy, 93, 648-654. https://doi.org/10.1016/j.ap-energy.2011.12.092 [URL] 🠔
  29. Paepatung, N., Nopharatana, A., and Songkasiri, W. (2009). Bio-methane potential of biological solid materials and agricultural wastes. Asian Journal on Energy and Environment, 10(01 ), 19-27. https://www.thaiscience.info/Journals/Article/AJEE/10262486.pdf [URL] 🠔
  30. Puerta, G., and Ríos, S. (2011). Composición química del mucílago de café, según el tiempo de fermentación y refrigeración. Cenicafé, 62(2), 23-40. https://www.cenicafe.org/es/documents/2.pdf [URL] 🠔
  31. Ramírez, C., Nidia, E., Garzón, E. M., Silva, R., Ángela, S., Yáñez, A., and Edgar, E. (2011). Caracterización y manejo de subproductos del beneficio del fruto de palma de aceite. https://publicaciones.fedepalma.org/index.php/boletines/article/view/10502 [URL] 🠔
  32. REN21 (2020). Renewables 2020 global status report. (Paris: REN21 Secretariat). https://www.ren21.net/gsr-2020/ [URL] 🠔
  33. Rincón, J., Durán, D., Quintero, O., Duarte, C., Guevara, P., and Velásquez, M. (2018). Disponibilidad de biomasa residual y su potencial para la producción de biogás en Colombia. CIDET, 2018, 16-21. https://www.cidet.org.co/sites/default/files/documentos/2-compressed.pdf [URL] 🠔
  34. Rivas-Solano, O., Faith-Vargas, M., and Guillén-Watson, R. (2016). Biodigesters: Chemical, physical and biological factors related to their productivity. Revista Tecnología En Marcha, 29(5), 47-53. https://doi.org/10.18845/tm.v29i5.2516 [URL] 🠔
  35. Rodríguez, A., Ángel, J., Rivero, E., Acevedo, P., Santis, A., Cabeza, I., Acosta, M., and Hernández, M. (2017). Evaluation of the methane potential of pig manure, organic fraction of municipal solid waste and Cocoa industry residues In Colombia. Chemical Engineering Transactions, 57, 55-60. https://doi.org/10.3303/CET1757010 [URL] 🠔
  36. Rodríguez, N., and Zambrano, D. (2010). Los subproductos del café: fuente de energía renovable. Avances técnicos Cenicafé, 393, 1-8. https://biblioteca.cenicafe.org/bits-tream/10778/351/1/avt0393.pdf [URL] 🠔
  37. Saelor, S., Kongjan, P., and O-Thong, S. (2017). Biogas production from anaerobic co-digestion of palm oil mill effluent and empty fruit bunches. Energy Procedia, 138, 717-722. https://doi.org/10.1016/j.egypro.2017.10.206 [URL] 🠔
  38. Shakib, N., and Rashid, M. (2019). Biogas production optimization from POME by using anaerobic digestion process. Journal of Applied Science & Process Engineering, 6(2), 369-377. https://doi.org/10.33736/jaspe.1711.2019 [URL] 🠔
  39. Siciliano, A., Limonti, C., and Curcio, G. (2021). Improvement of biomethane production from organic fraction of municipal solid waste (OFMSW) through alkaline hydrogen peroxide (AHP) pretreatment. Fermentation 2021, 7(3), 197. https://doi.org/10.3390/fermentation7030197 [URL] 🠔
  40. Suksong, W., Promnuan, K., Seengenyoung, J., and O-Thong, S. (2017). Anaerobic co-digestion of palm oil mill waste residues with sewage sludge for biogas production. Energy Procedia, 138, 789-794. https://doi.org/10.1016/j.egypro.2017.10.068 [URL] 🠔
  41. Suksong, W., Tukanghan, W., Promnuan, K., Kongjan, P., Re-ungsang, A., Insam, H., and O-Thong, S. (2019). Biogas production from palm oil mill effluent and empty fruit bunches by coupled liquid and solid-state anaerobic digestion. Biore-source Technology, 296, 122-304. https://doi.org/10.1016/j.biortech.2019.122304 [URL] 🠔
  42. Super Intendencia de Servicios Públicos Domiciliarios. (2019). Informe de Disposisición Final de Residuos Sólidos - 2018. https://www.superservicios.gov.co/sites/default/files/in-line-files/informe_nacional_disposicion_f ¡nal_2019.pdf [URL] 🠔
  43. Torres, C., and Quintero, L. (2019). Análisis de residuos sólidos de palma africana, como alternativa de aprovechamiento de energías renovables en el departamento del Cesar. Investigación Científica y Tecnológica, 10(1), 3662. https://doi.org/10.21500/20275846.3662 [URL] 🠔
  44. Tortosa, G. (2020). La agricultura regenerativa como motor económico de la España rural. Compostando Ciencia Lab. http://www.compostandociencia.com/2020/07/la-agricul-tura-regenerativa-como-motor-economico-de-la-espana-ru-ral/#:~:text=La%20agricultura%20regenerativa%20es%20 un,y%20la%20generaci%C3%B3n%20de%20comunidad. [URL] 🠔
  45. Tosun, I., Gönüllü, M., Arslankaya, E., and Günay, A. (2008). Co-composting kinetics of rose processing waste with OFMSW. Bioresource Technology, 99, 6143-6149. https://doi.org/10.1016/j.biortech.2007.12.039 [URL] 🠔
  46. Uddin, M., Rahman, M., Taweekun, J., Techato, K., Mofijur, M., and Rasul, M. (2019). Enhancement of biogas generation in up-flow sludge blanket (UASB) bioreactor from palm oil mill effluent (POME). Energy Procedia, 160, 670-676. https://doi.org/10.1016/j.egypro.2019.02.220 [URL] 🠔
  47. Velásquez, M., Rincón, J., Guevara, P., Duarte, S., Quintero, O., Durán, D., Morales, Y., Zarama, L., and Quintero, J. (2018). Estimación del potencial de conversión a biogás de la bioma-sa en Colombia y su aprovechamiento. Bogotá. https://bdig-ital.upme.gov.co/bitstream/handle/001/1317/Informe%20 final.pdf?sequence=1&isAllowed=y [URL] 🠔
  48. Water Environment Federation and American Public Health Association (2005). Standard methods for the examination of water and wastewater. American Public Health Association. 🠔
  49. Wong, Y., Teng, T., Ong, S., Norhashimah, M., Rafatulah, M., and Lee, H. (2013). Anaerobic acidogenesis biodegradation of palm oil mill effluent using suspended closed anaerobic bioreactor (SCABR) at mesophilic temperature. Procedia Environmental Sciences, 18, 433-441. https://doi.org/10.1016/j.proenv.2013.04.058 [URL] 🠔
  50. Wu, N., Moreira, C., Zhang, Y., Doan, N., Yang, S., Phlips, E., Svoronos, S., and Pullammanappallil, P. (2019). Techno-economic analysis of biogas production from microalgae through anaerobic digestion. IntechOpen. http://dx.doi.org/10.5772/intechopen.86090 [URL] 🠔
Ramón, A., Vásquez, J., Delgado, J., Domínguez, D., Mosquera, A., Molina, F. and Peñuela, M. (2023). Evaluation of Potential Substrates for Biogas Production in Colombia using Anaerobic Digestion Systems. Ingeniería e investigación, 43(2), e100834. https://doi.org/10.15446/ing.investig.100834
All authors: Conceptualization-Methodology-Software-Validation-Formal analysis-Investigation- Writing-Original Draft preparation, Writing, Reviewing, and Editing-Data Curation-Supervision-Project administration-Resources-Funding acquisition.

Appendix 1. Selection criteria for the evaluated substrates

Appendix 2. Reported characteristics and parameters of the considered substrates