Ingeniería e Investigación
0120-5609
Facultad de Ingeniería, Universidad Nacional de Colombia.
https://doi.org/10.15446/ing.investig.v41n3.87737

Recibido: 28 de mayo de 2020; Aceptado: 28 de marzo de 2021

Cost Forecasting of Public Construction Projects Using Multilayer Perceptron Artificial Neural Networks: A Case Study

Previsión de costos de proyectos de construcción pública utilizando Redes Neuronales Artificiales de Perceptrón Multicapa: un estudio de caso

A. Pessoa, 1 G. Sousa, 2L. Furtado Maués, 3F. Campos Alvarenga, 4D. Santos, 5

Civil Engineering, Federal University of Maranhão (UFMA), Brazil M.Sc. in Civil Engineering, Federal University of Pará (UFPA), Brazil. Affiliation: Ph.D. student, Federal University of Pará (UFPA), Brazil. Email: alcineidedutra@hotmail.com Universidade Federal do Maranhão Federal University of Maranhão Brazil
Mathematical, Federal University of Pará (UFPA), Brazil. PhD., Electrical Engineering, Federal University of Maranhão (UFMA), Brazil. Affiliation: Associate Professor, Institute of Technology, Federal University of Maranhão (UFMA), Brazil. Email: gean.sousa@ufma.br Universidade Federal do Maranhão Federal University of Maranhão Brazil
Civil Engineering, Federal University of Pará (UFPA), Brazil. Ph.D. Federal University of Pará (UFPA), Brazil. Affiliation: Ph.D., Associate Professor, Institute of Technology, Federal University of Pará (UFPA), Brazil. Email: maues@ufpa.br Universidade Federal do Pará Federal University of Pará Brazil
Civil Engineering, Federal University of Pará (UFPA), Brazil. MSc., Institute of Technology, Federal University of Pará (UFPA),Brazil.Affiliation: M.Sc., Engineer, Federal University of Pará (UFPA), Brazil. Email: felipealvarenga.eng@hotmail.com.br Universidade Federal do Pará Federal University of Pará Brazil
Civil Engineering,Federal University of Sergipe (UFS),Brazil. Ph.D., Federal University of Santa Catarina, Brazil. Affiliation: Ph.D., Associate Professor, Department of Civil Engineering, Federal University of Sergipe (UFS), Brazil. Email: deboragois@yahoo.com.br Universidade de São Paulo Federal University of Sergipe Brazil

ABSTRACT

The execution of public sector construction projects often requires the use of financial resources not foreseen during the tendering phase, which causes management problems. This study aims to present a computational model based on artificial intelligence, specifically on artificial neural networks, capable of forecasting the execution cost of construction projects for Brazilian educational public buildings. The database used in the training and testing of the neural model was obtained from the online system of the Ministry of Education. The neural network used was a multilayer perceptron as a backpropagation algorithm optimized through the gradient descent method. To evaluate the obtained results, the mean absolute percentage errors and the Pearson correlation coefficients were calculated. Some hypothesis tests were also carried out in order to verify the existence of significant differences between real values and those obtained by the neural network. The average percentage errors between predicted and actual values varied between 5% and 9%, and the correlation values reached 0,99. The results demonstrated that it is possible to use artificial intelligence as an auxiliary mechanism to plan construction projects, especially in the public sector.

Keywords:

public undertakings, costs, artificial neural network.

RESUMEN

La ejecución de proyectos de construcción del sector público a menudo requiere el uso de recursos financieros no previstos durante la fase de licitación, lo que genera problemas de gestión. Este estudio tiene como objetivo presentar un modelo computacional basado en inteligencia artificial, específicamente en redes neuronales artificiales, capaz de pronosticar el costo de ejecución de proyectos de construcción de edificios públicos educativos brasileños. La base de datos utilizada en el entrenamiento y prueba del modelo neuronal se obtuvo del sistema en línea del Ministerio de Educación. La red neuronal utilizada fue un perceptrón multicapa como algoritmo de retropropagación optimizado por el método de descenso de gradiente. Para evaluar los resultados obtenidos, se calcularon los errores porcentuales absolutos medios y los coeficientes de correlación de Pearson. También se llevaron a cabo algunas pruebas de hipótesis con el fin de verificar la existencia de diferencias significativas entre los valores reales y los obtenidos por la red neuronal. Los errores porcentuales promedio entre los valores predichos y reales variaron entre el 5 % y el 9 %, y los valores de correlación alcanzaron el 0,99. Los resultados demostraron que es posible utilizar la inteligencia artificial como mecanismo auxiliar para la planificación de proyectos de construcción, especialmente en el sector público.

Palabras clave:

empresas públicas, costos, red neuronal artificial.

Introduction

In emerging countries, the final cost of public works is often significantly higher than the amount arranged in the bidding (Bucciol, Chillemi, and Palazzi, 2013; Wanjari and Dobariya, 2016). In Brazil, for example, Alvarenga (2019) showed that 61.89% of the works of the Federal Government regarding education completed between 2006 and 2017 had a cost addition. In India, Wanjari and Dobariya (2016) found that about 57% of 410 projects had their costs increased.

It is worth mentioning, however, that requests for an increase in the initial budgeted amounts for carrying out public construction works is not only a problem in the Brazilian or Indian context. Countries like Portugal, Indonesia, Ghana, the West Bank, and Jordan have also experienced this problem (Monteiro, 2010; Kaming, Olomolaiye, Holt, and Harris, 1997; Famiyeh, Amoatey, Adaku, and Agbenohevi 2017; Mahamid, 2018; Hyari, Al-Daraiseh, and El-Mashaleh, 2016). However, in Brazil, when it comes to public works, cost overrun values cannot exceed 25% in new constructions (Brasil, 1993).

Additional costs in construction projects can cause serious problems for the contractor and even require the interruption of the work due to lack of resources (TCU, 2018). An alternative to mitigate this type of problem is to accurately forecast the real costs of the undertaking, that is, predicting the real cost can promote better planning and avoid later problems.

The possibility of presenting a mechanism capable of predicting the real value of a governmental undertaking, and thus contributing to the planning of costs of public construction works in Brazil, is the main motivation of this research. Our main hypothesis is that a computational model based on artificial neural networks (ANNs) is able to learn patterns in such a way that it can predict the real costs of a construction based on information contained in the bidding contracts.

The hypothesis raised here has also been the object of study in the field of engineering. Hyari et al. (2016), for example, proposed a model based on machine learning, more specifically on neural networks, to predict the costs of engineering services. Shahandashti and Ashuri (2016) used vector error correction models to predict highway construction costs, and Lu, Luo, and Zhang (2011) used genetic algorithms to the same end.

By using multivariate approximation, Shahandashti and Ashuri (2013) presented a model capable of predicting the construction cost index (CCI). This index is a North American cost indicator published monthly by Engineering News-Record (ENR). Ugur (2017) used neural models to predict costs of public undertakings and evaluated their training and test results using the R2 metric, which, in the case of training, was 0,97 and in the test was 0,89.

Although several works have aimed at predicting costs in public projects, it is important to note that the proposed models are usually trained to meet the peculiarities of each problem, that is, a model that obtained good results in the building of highways will not necessarily have good results predicting costs in the construction of schools, and the model trained in India may not have the same performance in Brazil.

Therefore, it is in this contextthatthis research was conducted, with the objective of presenting a computational model based on artificial intelligence, precisely on ANNs, capable of forecasting the cost of executing public educational building construction projects in Brazil. The model presented herein aims to assist managers in the planning and budgeting of construction projects contracted by federal agencies. The model is also intended to present the smallest possible error between collected and predicted data.

Cost forecasting for public construction projects

The administration of public construction projects comprises stages that go from the elaboration of the engineering project up to the conclusion and delivery of the work. This includes budgeting, bidding, contracting, and execution phases. However, it is in the budgeting phase that it is possible to determine, through cost forecasting, whether a particular undertaking is feasible (Paula and Garcia, 2012).

Cost has been an important variable for contracting companies to carry out public works through a bidding process. However, Tisaka (2006) points out that choosing a company based only on the lowest price is not the best criterion when it comes to achieving the objectives of said process. This choice, based on the lowest cost criterion, levels the quality of the construction downward. In the context of public construction works, there are several examples of bids whose work did not start, was poorly finished, or even dropped altogether (Borba and Marinho, 2019; Cunha and Caffé Filho, 2019; Jorge and Ribeiro, 2006; Oliveira, 2016; Tisaka, 2006). When on hold, these projects can bring several problems for public administration, which implies losses for taxpayers.

A possible flaw in the management that may cause uncontrolled costs directly influences the final results of the project (Silva, Corrêa, and Ruas, 2018). The public sector, for example, has difficulty completing works such as the construction of kindergartens, schools, hospitals, sport courts, basic sanitation systems, roads, ports, and airports (TCU, 2018).

In 2006, upon realizing the difficulties public authorities face to conclude the execution of construction projects, the Federal Court of Auditors (TCU) carried out a survey to diagnose the situation of unfinished public works. The audited works were mostly linked to the executive branch.

A set of 400 unfinished construction projects was presented in the TCU report (2018). The total cost attributable to these projects amounted to R$ 3,5 billion. Of the 400 works, 130 were carried out directly by the federal government and 270 by states and municipalities, but all used federal resources. Figure 1 shows the causes of stoppage hitherto identified in the report by the Court of Auditors.

Causes of work stoppage.

Figure 1: Causes of work stoppage.

In Figure 1, it can be seen that the main cause for stoppage of the works analyzed by the TCU's Court of Auditors was budgetary problems. As Paula and Garcia (2012) state, the ability to predict construction costs can result in more accurate proposals.

Given that budget is an important factor in the stoppage of public construction projects, it is expected that mechanisms to help decision makers to forecast real costs before starting a work may be developed in relation to financial issues, so as to diminish the probability of interruptions. These premises endorse the importance of developing a computational model capable of forecasting the real cost of public undertakings.

Artificial Neural Networks - ANN

Artificial neural networks are computational models inspired by the functioning of the nervous system, namely the functioning of neurons (Silva, Spatti, and Flauzino, 2016). Neurons are cells capable of perceiving changes in the environment, maintaining communication with each other through chemical and/or electrical processes, as well as commanding bodily responses (Bear, Connors, and Paradiso, 2002).

Communication between neurons and information processing essentially depends on three integral parts: dendrites, cell body (or soma), and axon. Similarly, the functioning of an artificial neuron occurs involving the following integrating parts: the synaptic weights, sum, and activation functions. The relationship between these parts can be seen in Figure 2.

Artificial neuron.

Figure 2: Artificial neuron.

The mathematical operations thatcharacterizethefunctioning of the neuron begin with the multiplication of each input X j (connected to the neuron k in j) and multiplied by the synaptic weight W kj ). After the multiplications, an adder is activated, transforming the set of multiplications into a linear combination Σ. The result of the linear combination uk, plus a bias b k , is applied to an activation function g( ) (Silva et al, 2016).

Mathematically, the functioning ofan artificial neuron is given in Equations (1) and (2).

Haykin (2001) defines the architecture of an ANN as the way in which neurons are arranged together or structured in layers. The existence of at least one layer between the inputs and the output layer of an ANN is what characterizes a multilayer network. Among these multilayer networks, the Multilayer Perceptron (MLP) type stands out (Figure 3). Multilayer Perceptron networks are applicable to several types of problems, such as approximation of functions, forecasting, and optimization.

Multilayer Perceptron (MLP).

Figure 3: Multilayer Perceptron (MLP).

Source: Haykin (2001)

The use of an MLP network for a given project requires the designer to define the specifications (topology) of the network beforehand. This includes, for example, the number of input signals, the number of hidden layers, the number of neurons in each hidden layer, and the number of neurons in the output layer. There are no pre-established rules for choosing the network topology. This choice depends on the problem in question and is usually chosen through computational tests (Rocha, 2018).

The training of an MLP-type network is carried out through supervised learning and the error backpropagation algorithm. This algorithm is based on the error correction learning rule and consists of two phases: propagation (forward phase) and backpropagation (backward phase) (Haykin, 2001).

In the propagation phase, the input signals are multiplied by the synaptic weights, applied to the adder to form a linear combination, and the result is applied to an activation function. This process is carried out on all neurons and on all layers until reaching the output layer (Silva et al., 2016). When the process reaches the output layer, the result is examined to check for the existing error between the network output and the desired signal (Haykin, 2001; Rocha, 2018; Batista, 2012).

The error obtained in the propagation phase is used to update the weights of the MLP layers, so that this update is made starting at the last layer until it reaches the first one. This process of updating of weights is known as backpropagation (Haykin, 2001). Figure 4 shows the operation of the backpropagation algorithm in an MLP network.

Backpropagation algorithm.

Figure 4: Backpropagation algorithm.

Source: Adapted from Asteris et al. (2016)

In short, the successive application of the forward and backward phases implies the minimization of error and consequent convergence of the network (Silva et al., 2016). Optimization methods are applied for derivation of the iterative expressions for updating weights.

Materials and method

After the first contacts with works on cost forecasting models for public projects, we noticed that there were gaps to be filled internationally, mainly with regard to issues related to Brazilian projects. As a matter of fact, it is common that contractors request additional, not originally foreseen values during the execution of works contracted by the public power.

According to Alvarenga (2021), out of the total public construction projects linked to educational institutions completed between December, 2006, and August, 2017, 61,89% required additional costs. It can be seen, then, that requests for additional items are, in fact, an important problem because they hinder the planning and execution of state constructions. It is then in the attempt of assisting the planning of government agencies that this work proposes the use of a computational model to forecast the final cost of public construction works.

To achieve the objectives proposed in this work, two types of variables were defined. The first, a dependent variable, is the one we want to model and predict what values it would assume when information about it is missing. The dependent variable in this research was the final cost of each construction project.

The second type of variable consisted of the characteristics of the projects available to users of the model. These were called independent variables and consisted of the following: the area of the facility to be constructed, the number of inspections, the estimated budgeted cost, and the contracted cost. These variables were chosen because information about them is available for projects on the platform of the Ministry of Education (MEC).

In terms of the methodological framework, this research can be classified as explanatory in terms of the objectives and quantitative with respect to the approach, with an ex-post facto design as to the procedures adopted for data collection.

Database

The data used in the modeling process were obtained from an online platform of the MEC (MEC, 2019). This platform is called the Integrated Monitoring, Execution and Control System (SIMEC). Authorization from MEC was requested to access the data because these are not public domain data. A complete description of the methodological acquisition procedure and an analysis of this database can be found in the work of Alvarenga (2019). The data used in the present work were provided by this researcher.

In order to avoid a high number of renovation and adaptation projects in the sample, the following filters were applied in the listing of projects: projects that were 100% completed, projects with costs above R$ 1 000 000,00, and projects in federal universities, federal institutes, and university hospitals. In the first filtering, a total of 2178 contracts were considered for the composition of the database, broken down into 109 universities and university hospitals in 27 federation units located in 460 municipalities.

The sample composition was quite diverse and included information on constructions carried out in several Brazilian municipalities in all regions of the country. The completion of the works took place in the period between December, 2006, and August, 2017, and the report was extracted from the system in early September of 2017. Out of the total data, 11% refer to works carried out in the North of Brazil, 22% in the South, 27% in the Northeast, 27% in the Southeast, and 13% in the Midwest. (Alvarenga, 2019).

A second filtering was applied in order to find only samples that contained information on both dependent and independent variables to be used in the modeling process. After performing this second filtering, the database was reduced to 1094 samples, which were then used for modeling.

Modeling

The modeling process sought to be in line with the concepts of experimentation, abstraction, resolution, validation, and modification presented by Bassanezi and Ferreira (1988). The modeling phase was therefore carried out in three stages: choice of the type of ANN and construction of the algorithm, specifications and training of the ANNs, and testing of the networks.

Choice of type of ANN and construction of the algorithm

The choice of the type of ANN usually depends on the problem to be modeled. MLP networks are commonly used for forecasting problems. Thus, a MLP network was chosen for cost forecasting in the context of this study. It was also decided that an algorithm would be written to carry out the MLP training and testing phases.

It is worth noting that the choice of the number of separate samples for training and testing does not come from statistical methodologies, but from tests related to the learning capacity of the ANN, that is, it depends on the problem to be solved. In some problems, this separation can occur according to the ratio of 70/30 (70% for training and 30% for testing), or even 90/10 (90% for training and 10% for testing).

The topological characteristics of the network regarding the number of layers, learning rate, stopping criteria, number of neurons in each layer, and bias were defined based on various training runs and the validation of the network.

It is also worth mentioning that there are no mathematical mechanisms for defining the characteristics of the network, thus giving an empirical character to this choice. After conducting several training sessions with different topologies, the best results were chosen, and the respective topologies were presented.

Before carrying out the training of an ANN, it is always advisable to normalize the data, so as to limit them to the interval [0,1] (Doğan, Arslan, and Ceylan, 2015). Oneway to achieve this normalization is to use Equation (3).

where A n is the normalized sample, is the original sample, and min(A) and max(A). These are the lowest and highest value among all samples of the variable to be normalized, respectively.

The specifications used in the ANN for cost forecasting were: four inputs, one hidden layer, eight neurons in the hidden layer, and one output (cost). Figure 5 illustrates the ANN's topology and training process in cost prediction.

Topology of the network used to predict public work costs.

Figure 5: Topology of the network used to predict public work costs.

Source: Authors

The value predicted by the network in each loop is compared with the measured value. Therefore, it was defined as a criterion for stopping the network when the difference between the error of one looping and the other one is not less than 10-7. Otherwise, the network continues to update the synaptic weights.

ANN testing

The testing phase of the ANN for cost forecasting consists of applying the forward phase of the backpropagation algorithm only once in new data. This phase differs from the training phase in that only one looping is performed without updating weight; the weights used are those obtained during training, and the calculated error is analyzed for model validation purposes. Figure 6 shows how the ANN testing process for cost forecasting takes place.

Network topology used to validate the cost prediction model.

Figure 6: Network topology used to validate the cost prediction model.

Source: Authors

Model Evaluation and statistical analysis

Before performing the evaluations of the results, the sample values were denormalized according to Equation (4).

For the results of the presented models, we analyzed the statistical characteristics of both the training and test phases. These analyses consisted of evaluations using accuracy and correlation measurements, as well as hypothesis tests.

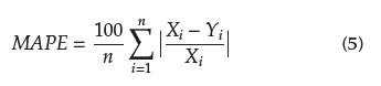
With the values calculated by the neural networks, the mean absolute percentage error (MAPE) between the outputs of the network and the real values were calculated. MAPE is mathematically defined according to Equation (5) (Belalia et al., 2017; Maues, 2017).

where X i is the measured or observed value (real value); Y i is the respective approximation to Xi, obtained through the mathematical model; and n is the number of samples evaluated. The MAPE was used to verify the accuracy (or assertiveness)of the model, and it was determined from the percentage of predicted values belongingtothe interval [Ls,Li] defined by Equations (6) and (7) (Maues, 2017).

In these Equations, L s and L i are the upper and lower limits of the assertiveness range, respectively, and V R is the real value of the database.

A correlation analysis was also carried out to verify if there was a linearity relationship between the predicted and real values. In addition to the accuracy and correlation estimates, comparisons were made between the box plots of the actual values and the values obtained by the models in order to graphically verify differences between the analyzed samples.

As graphic analyses alone are not enough to infer the existence or not of differences between the sets of the analyzed samples, it was necessary to carry out hypothesis tests. First, the Kolmogorov-Smirnov test was performed to infer the type of data distribution. The test revealed that samples did not come from a normal distribution. Then, the Mann Whitney test was carried out to check for significant differences between the real values and those obtained by the neural models (Bussab and Morettin, 2003).

Results

The simulations performed aimed to predict the final costs of construction projects. First, the network training was carried out to update the synaptic weights with the purpose of minimizing the error between the network output and the real values. In the second phase, the weights obtained in the training were used to test and validate the model.

The results obtained for cost forecasting in the training and testing of the ANN are presented in the following subsections, as wellas the hypothesis tests and the correlation testbetween values obtained by the network and the real ones.

Training of the ANN for cost forecasting

The input variables used in the training phase were the area of the facility to be constructed, the number of inspections, the estimated budgeted cost, and the contracted cost. The topology of the network used is described in Table 1.

Table 1: ANN Topology

Source: Authors

994 of the total of 1094 samples were randomly selected and used to carry out the training of the neural network. A MAPE equal to 9,62% was obtained. From the MAPE value, an interval was established to calculate the accuracy. Of the 994 values referring to the total cost of the works used in the training of the ANN, 878 were within the established interval, that is, the model obtained an accuracy of 88,33% in the training phase. An overview of the value sets within and outside the established interval is presented in Figure 7.

Results of the training phase of the ANN for cost forecasting.

Figure 7: Results of the training phase of the ANN for cost forecasting.

Source: Authors

A subset of samples is presented in in Figure 8 to better understand the relationship between the estimated values and the error interval established for the analysis of the model. However, in the presented samples, it appears that the estimated values that do not belong to the error interval are visibly close to the upper or lower limit.

Results of the ANN training phase for cost forecasting (some samples).

Figure 8: Results of the ANN training phase for cost forecasting (some samples).

Source: Authors

The main objective of the training phase of an MLP-type ANN is to find the weight matrices that minimize the error between the real values and the network's output. If the weight matrices are known, the neural model can be applied to new data, and the results can then be extrapolated. With that in mind, the following are the synaptic weight matrices obtained in the training process for cost forecasting:

and

where w 1 represents the weights of the first layer and w 2 , the second layer. It is important to note that the number of lines of w 1 corresponds to the number of neurons in the hidden layer, whereas the number of columns is equal to the number of inputs plus 1 (bias). The dimensions of w 2 refer to the number of output variables (row) and the number of neurons in the hidden layer plus 1 (columns).

Testing of the ANN for cost forecasting

The test of the neural model was performed usingthe matrices presented above. 100 samples were separated and used for this phase. It is worth mentioning that the samples for both training and testing were randomly chosen.

The MAPE value found in the testing phase was 9,14% and thus, in an analogous way to what was done in the training, an interval was established to check the accuracy of the model. Ninety samples were within this interval, that is, the accuracy in the testing phase was 90%. In Figure 9, it is possible to see which estimated values were within and which were outside the interval.

Results of the ANN test phase for cost forecasting.

Figure 9: Results of the ANN test phase for cost forecasting.

Source: Authors

An interesting observation to make when analyzing Figure 9 is that there are almost no values with great differences concerning the error limits. This suggests that the trained model has a strong generalization 'power'.

Statistical analysis of cost forecasting

In this subsection, a statistical analysis is presented which considers the calculation of Pearson's correlation coefficient, the characteristics of the distributions of the real and the network output values, and the hypothesis tests.

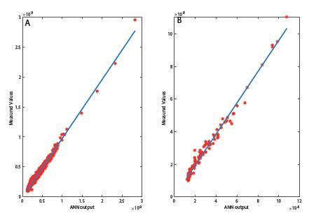
The correlation between the network output values and the measured values was 0,9921 in the training phase and 0,9912 in the testing phase. The correlation analysis is important, as it demonstrates the extent to which two variables are linearly related. Figure 10 shows the relationship between the analyzed variables and the line that best approximates them for the training and the testing phases.

Correlation between the measured values and the ANN output: A) Training phase, B) Test Phase.

Figure 10: Correlation between the measured values and the ANN output: A) Training phase, B) Test Phase.

Source: Authors

The high correlation obtained both in the training and test phases of the network means that there is a linear relationship between the real values and those obtained by the network. This fact corroborates the results related to the small number of values outside the error range.

The fact that there is a linear relationship between the real and the network output data shows that, in this particular case, in addition to small percentage error, there is a relationship of proportionality between variables. This trend indicates that, when a real value increases (or decreases), the network result also increases (or decreases). This analysis is important, as it can encourage further research on models complementary to ANN (to create a hybrid model). That is to say, the ANN output data can be used as an input to another model and generate enhanced results. As for the 'behavior' in terms of distribution, the box plots in Figure 11 show how the data in the training and testing phases are distributed around the median.

Distribution of measured values and ANN output for cost forecasting: A) Training phase, B) Test Phase.

Figure 11: Distribution of measured values and ANN output for cost forecasting: A) Training phase, B) Test Phase.

Source: Authors

The distributions shown in Figure 11 allow inferring and assuming that there is not 'much difference' between the sets. However, measurements and the application of techniques are needed to verify whether or not there are significant differences between values coming from the ANN and the real values. To achieve this goal, hypothesis tests were performed. First, the Kolmogorov-Smirnov normality test was carried out using the network output values and measured values in the two phases (training and testing) of the construction of the proposed model.

Results of the tests in all data sets pointed to the rejection of the null hypothesis (normal data), with a significance level of 5%. As the null hypothesis was rejected, that is, the data did not come from a normal distribution, the Mann-Whitney U test was applied to verify the existence of significant differences.

The Mann-Whitney U test was applied to the results obtained in the training and in testing phases for the case of cost forecasting. In the training phase, the test showed that the hypothesis that the network output and real values are samples of distributions with equal medians should be rejected at the significance level of 5% (p-value = 0,0307). In the testing phase, the results pointed to the non-rejection of this hypothesis (p-value = 0,555).

Estimating the total cost of the construction based on the forecast of cost overruns

During the development of this study, we noticed possibility of obtaining a system capable of estimating the final cost of the construction projects based on the forecast of overruns. This system consists of training an ANN whose desired output is the cost overrun. After the neural model provided such value, it was added to the contracted value, thus leading to the total cost of the work. This procedure is summarized in Figure 12.

Total cost forecast through forecast of cost overruns.

Figure 12: Total cost forecast through forecast of cost overruns.

Source: Authors

Table 2 shows the values of the main evaluative metrics regarding the total cost prediction of the work from the additive values provided by the ANN.

Table 2: Results obtained for training data

Source: Authors

Results obtained in the testing phase of the total cost forecast of the work based on cost overrun values are shown in Table 3.

Table 3: Results obtained for testing data

Source: Authors

In view of the results presented in Tables 2 and 3, it is evident that the methodology based on the use of the system proposed in Figure 12 presents relatively better results than those obtained with the use of the model directly trained for cost forecasting.

These error percentages of cost forecasting are promising and demonstrate that this research brings an important contribution to the proposal of collaborations aimed at improving the planning process of construction projects, given that, according to Hyari et al. (2016), conceptual cost estimates relying on traditional methods are inherently associated with high percentage errors, usually in the range between 20,8 and 27,9%.

For comparison purposes, one can observe the results obtained by Hyari et al. (2016), who carried out a similar work, applying a neural model to forecast costs. They obtained 28,2% of MAPE (testing phase). However, it is important to note an important difference between their work and ours, namely the amount of values available for training the network, as it is known that the performance of ANNs increases with the amount of training samples. That is, as the number of samples used in the present study is much greater than those used by Hyari et al. (2016), better results were expected.

As the weight matrices were made available in the text, the forecasting model can be implemented in more popular software such as Microsoft Excel, and thus be used by engineering professionals (even without any knowledge of ANNs) in their professional practice, provided they have access to the network. Furthermore, this model can be 'embedded' in electronic devices such as computers and cellphones.

Discussion

As it can be seen, the results obtained in the ANN training phase showed two important points regarding the building of the model. The first is that the low error value indicates that the training algorithm converged because the goal of training is to find the synaptic weights that minimize the error.

The second point to be highlighted about the results of the training phase is that the accuracy of the model reached a percentage close to 90%. This demonstrates that, although the data were collected from different Brazilian cities and, therefore, represent different realities, the algorithm kept the vast majority of forecasts within the interval established by MAPE values. The good results regarding the percentage error and the MAPE in the training phase are of great importance. However, it is in the testing phase that the model can be analyzed more carefully.

When observing results of the testing phase, the mistake of extolling the "low" error value (MAPE = 9,14%) may be incurred. However, Alvarenga (2021) demonstrated that, for values used in the database, the average percentage cost overrun was 15,14%, that is to say, without considering any computational mechanism, the original budget has an error of approximately 15% on average.

Bearing in mind that the reduction of error from 15,14 to 9,14% is not as drastic as expected, the forecast system, also based on ANNs, was presented in this work (Figure 12). Thereupon, considering the mentioned system, an error of only 5,27% was observed. This error value stimulates the application of the proposed system in the practice, as it can, in fact, assist the person responsible for the budgetary planning of public construction works.

In addition to an error of relatively less than 9,14%, the presented system has a high accuracy, that is, few works in practice can be expected to have a budget forecast outside the established range of more or less 5%. This fact can increase confidence when approving resources for the execution of state undertakings. This budgetary safety, obtained through the presented system, can translate into a reduced number of paralyzed projects or reduced loss of public money.

Notwithstanding the promising results, some limitations, typical of ANN-based models, and which can be the subject of future research, must be mentioned. One of them is the fact that this computational mechanism is based on pattern learning, which means that it is uncertain whether the system presented in this research, trained with Brazilian data, will have the same success if applied in other countries.

Another limitation of ANN-based models is that they require an extensive data set for training, therefore restricting their applicability to some specific problems. However, it is worth mentioning that the data set used in this research overcame this limitation, for the algorithm converged to a satisfactory error value.

Conclusions

The success of construction projects generally depends on good planning. In public sector construction works, however, poor planning is commonplace, especially in emerging countries. In this context, one of the factors observed to contribute to inefficient execution of the plan is the lack of mechanisms capable of predicting the real cost of undertakings.

Aiming to provide more credible estimates of real values necessary for the completion of governmental projects, computational models based on the functioning of neurons were proposed in this work. The main purpose of using such models is to collaborate with the planning of public construction or renovation projects.

The neural model used in the cost forecast obtained a learning process that, when applied to new samples, resulted in a percentage error of 9,14%. This demonstrates that the use of artificial intelligence in this type of problem can help to improve the planning phase. When the cost overrun forecast was combined with the final cost forecast, it was found that the total cost forecasting model was improved, and the results were reduced to errors of 5%.

It is notable, therefore, that the ANN-based modeling technique can be used as an auxiliary tool in the pricing of projects and thus improve the planning of public agencies responsible for construction or renovation projects, as the cost forecasting model showed average percentage errors between 5 and 9%.

Bearing in mind that the presented model mirrors a wide reality in several Brazilian states with an assertiveness of 96,25%, it can be said that it can be adopted in developing countries that have similar characteristics to those of Brazil.

Acknowledgements

Acknowledgements

The authors thank the support of the Coordination for the Improvement of Higher Education Personnel (CAPES) in Brazil.

References

  1. Alvarenga, F. C. (2019). Análise das causas de aditivos de custo e de prazo em obras públicas de instituicóes federais de ensino [Master's thesis]. Universidade Federal do Para. http://repositorio.ufpa.br/jspui/handle/2011/11129 [URL] 🠔
  2. Alvarenga, F. C., Maués, L. M. F., Santos Júnior, P. C. D., and Macedo, A. N. (2021). Alterac5es de custo e prazo em obras públicas. Ambiente Construido, 27(1), 161-180. 10.1590/s1678-86212021000100500 [URL] 🠔
  3. Asteris, P. G., Kolovos, K. G., Douvika, M. G., and Roinos, K. (2016). Prediction of self-compacting concrete strength using artificial neural networks. European Journal of Environmental and Civil Engineering, 8789(November), 121. 10.1080/19648189.2016.1246693 [DOI] 🠔
  4. Bassanezi, R. and Ferreira, W. (1988). Equações Diferenciais com Aplicações. São Paulo, Brazil: Harbra. 🠔
  5. Batista, C. F. B. (2012). Soluções de Equações Diferenciais Usando Redes Neurais de Múltiplas camadas com os métodos da Descida mais íngreme e Levenberg- Marquardt [Master's thesis]. Universidade Federal do Pará. 🠔
  6. Bear, M. F., Connors, B. W., and Paradiso, M. A. (2002). Neurociências: Desvendando o Sistema Nervoso (2nd edition). Porto Alegre, Brazil: Artmed. 🠔
  7. Belalia, O., Bakhta, D., Mohamed, B., and Arezki, G. (2017). Prediction of properties of self-compacting concrete containing fly ash using artificial neural network. Neural Computing and Applications, 28(1), 707-718. 10.1007/s00521-016-2368-7 [URL] 🠔
  8. Borba, R. T. R. and Marinho, M. (2019). Estatísticas dos Contratos de Obras Públicas no Estado de Pernambuco. Revista de Engenharia e Pesquisa Aplicada, 4(3), 52-66. 10.25286/repa.v4i3.994 [DOI] 🠔
  9. Brasil. Lei 8.666 de 21 de Junho de 1993. Regulamenta o art. 37, inciso XXI, da Constituyo Federal, institui normas para licitacões e contratos da Administracão Pública e dá outras providências. Diário Oficial (Separata), 1993-06-26. http://www.planalto.gov.br/ccivil_03/leis/l8666compilado.htm [URL] 🠔
  10. Bucciol, A., Chillemi, O., and Palazzi, G. (2013). Cost overrun and auction format in small size public works. European Journal of Political Economy, 30, 35-42. 10.1016/j.ejpoleco.2013.01.002 [URL] 🠔
  11. Bussab, W. de O. and Morettin, P. A. (2003). Estatística Básica (5th edition). São Paulo, Brasil: Saraiva. 🠔
  12. Cunha, W. S., and Caffé Filho, H. P. (2019). Management of Public Works: Logistics more suited to the fulfillment of planned deadlines. Revista de Psicologia, 73(45), 77-89. 10.14295/idonline.v13i45.1823 [DOI] 🠔
  13. Doğan , G., Arslan, M. H., and Ceylan, M. (2015). Statistical feature extraction based on an ANN approach for estimating the compressive strength of concrete. Neural Network World, 25(3), 301. 10.14311/NNW.2015.25.016 [DOI] 🠔
  14. Elmousalami, H. H. (2020). Artificial Intelligence and Parametric Construction Cost Estimate Modeling: State-of-the-Art Review. Journal of Construction Engineering and Management, 746(1), 03119008. 10.1061/(ASCE)CO.1943-7862.0001678 [DOI] 🠔
  15. Famiyeh, S., Amoatey, C. T., Adaku, E., and Agbenohevi, C. S. (2017). Major causes of construction time and cost overruns: A case of selected educational sector projects in Ghana. Journal of Engineering, Design and Technology, 75(2), 181-198. 10.1108/JEDT-11-2015-0075 [DOI] 🠔
  16. Haykin, S. (2001). Redes Neurais: Princípios e Prática (2nd edition). Porto Alegre, Brasil: Bookman. 🠔
  17. Hyari, K. H., Al-Daraiseh, A., and El-Mashaleh, M. (2016). Conceptual Cost Estimation Model for Engineering Services in Public Construction Projects. Journal of Management in Engineering, 32(1), 1-9. 10.1061/(ASCE)ME.1943-5479.0000381 [DOI] 🠔
  18. Jorge, R. and Ribeiro, B. (2006). Possibilidades de atuaçoâo do Poder Legislativo frente a questão das obras inacabadas. Revista do TCU, 707(2006), 95-100. https://revista.tcu.gov.br/ojs/index.php/RTCU/article/view/510 [URL] 🠔
  19. Kaming, P. F., Olomolaiye, P. O., Holt, G. D., and Harris, F. C. (1997). Factors influencing construction time and cost overruns on high-rise projects in Indonesia. Construction Management and Economics, 75(1), 83-94. 10.1080/014461997373132 [DOI] 🠔
  20. Lu, Y., Luo, X. Y., and Zhang, H. (2011). A gene expression programming algorithm for highway construction cost prediction problems. Journal of Transportation Systems Engineering and Information Technology, 77(6), 85-92. 10.1016/S1570-6672(10)60150-X [DOI] 🠔
  21. Mahamid, I. (2018). Critical Determinants of Public Construction Tendering Costs. International Journal of Architecture, Engineering and Construction, 7(1). 10.7492/ijaec.2018.005 [DOI] 🠔
  22. Maués, M. (2017). Modelo para Estimar o Prazo de Execucão de Obras Residenciais Verticais-Por meio da Lógica Fuzzy [Master's thesis]. Universidade Federal do Maranhão. http://repositorio.ufpa.br/jspui/handle/2011/9877 [URL] 🠔
  23. MEC. Ministério da Educacão. (2019). Sistema Integrado de Monitoramento Execucão e Controle. http://simec.mec.go v.br/login.php [URL] 🠔
  24. Monteiro, M. O. (2010). Processos de obras de infra-estruturas viárias municipais: uma análise dos desvios de custo e de prazo [Doctoral dissertation]. Universidade de Trás-os-Montes e Alto Douro, Vila Real. 🠔
  25. Oliveira, T. D. (2016). Improbidade administrativa e seus efeitos nos casos de desvio de recursos públicos nas obras inacabadas e contratadas pelo poder público [Undergraduate s thesis].Centro Universitário Tabosa de Almeida. http://repositorio.asces.edu.br/bitstream/12345 6789/656/1/Concluida%20Thiago%20%281%29.pdf [URL] 🠔
  26. Rocha, P. L. (2018). Reconhecimento de Voz utilizando Selecão Dinâmica de Redes Neurais. Universidade Federal do Maranhão. 🠔
  27. Santos, A. de P. and Garcia, L. E. M. (2012). Orcamento executivo como ferramenta do processo de planejamento e controle de custos de obras públicas. Revista Gestão e Políticas Públicas, 2(1), 40-67. https://www.revistas.usp.br/rgpp/article/view/97850 [URL] 🠔
  28. Shahandashti, S. M. and Ashuri, B. (2013). Forecasting engineering news-record construction cost index using multivariate time series models. Journal of Construction Engineering and Management, 739(9), 1237-1243. 10.1061/(ASCE)CO.1943-7862.0000689 [URL] 🠔
  29. Shahandashti, S. M. and Ashuri, B. (2016). Highway Construction Cost Forecasting Using Vector Error Correction Models. Journal of Management in Engineering, 32(2), 1-8. 10.1061/(ASCE)ME.1943-5479.0000404 [DOI] 🠔
  30. Silva, I. N., Spatti, D., and Flauzino, R. (2016). Redes Neurais Artificiais para Engenharia e Ciências Aplicadas: Curso Prático (2nd edition). São Paulo, Brazil: Artliber. 🠔
  31. Silva, M. A. O., Corrêa, L. R., and Ruas, A. X. A. (2018). Gerenciamento De Projetos Na Construcão Civil: Tempo, Custo e Qualidade. Construindo, 70, 1-20. http://revista.fu mec.br/index.php/construindo/article/view/5034 [URL] 🠔
  32. TCU. Tribunal de Contas da União (2018). Relatório de Auditoria elaborado pelo Ministério da Economia. 🠔
  33. Tisaka, M. (2006). Orcamento na construcão civil consultoria, projeto e execucão. São Paulo, Brasil: Pini. 🠔
  34. Ugur, L. (2017). A Neuro-Adaptive Learning (NAL) approach about costs of residential buildings. Acta Physica Polonica A, 132(3), 585-587. 10.12693/APhysPolA.132.585 [DOI] 🠔
  35. Wanjari, S. P. and Dobariya, G. (2016). Identifying factors causing cost overrun of the construction projects in India. Sadhana - Academy Proceedings in Engineering Sciences, 47 (6), 679-693. 10.1007/s12046-016-0498-3 [DOI] 🠔
  36. Zanella, L. C. H. (2011). Metodologia de Pesquisa (2nd edition). Florianópolis: Departamento de Ciências da Administracão. Universidade Federal de Santa Catarina/ Sistema UAB. 🠔
Pessoa, A., Sousa, G., Maués, L., Alvarenga, F., and Santos, D. (2021). Cost forecasting of Public Construction Projects Using Multilayer Perceptron Artificial Neural Networks: A Case Study. Ingeniería e Investigación, 47(3), e87737. https://doi.org/10.15446/ing.investig.v41n3.87737