Ingeniería e Investigación
0120-5609
Facultad de Ingeniería, Universidad Nacional de Colombia.
https://doi.org/10.15446/ing.investig.88228

Recibido: 11 de junio de 2020; Aceptado: 10 de octubre de 2021

Energy and Exergy Analysis in a Centrifugal Pump Driven by a Diesel Engine Using Soybean Biodiesel and Mixtures with Diesel

Análisis de energía y exergía en una bomba centrífuga accionada por un motor diésel con biodiésel de soya y mezclas con diésel

R. Pereira, 1 I. Silva, 2 J. Pardal, 3

Fluminense Federal University, TEM/PGMEC/PGEB, Rua Passo da Pátria 156, CEP 24210-240, Niterói - RJ, Brazil. E-mail: temrobe@vm.uff.br Universidade Federal Fluminense Fluminense Federal University Niterói RJ Brazil
Fluminense Federal University, TEM/PGMEC, Rua Passo da Pátria, 156, CEP: 24210-240, Niterói, RJ, Brazil. E-mail: juanpardal@id.uff.br Universidade Federal Fluminense Fluminense Federal University Niterói RJ Brazil
Fluminense Federal University, TEM/PGMEC, Rua Passo da Pátria, 156, CEP: 24210-240, Niterói, RJ, Brazil. E-mail: juanpardal@id.uff.br Universidade Federal Fluminense Fluminense Federal University Niterói RJ Brazil

ABSTRACT

In this study, soybean biodiesel and mixtures with diesel are used as fuel in a diesel engine that drives a centrifugal pump. The consumption useful work rate, the reversible work rate, and the efficiency of the second law of thermodynamics were calculated by means of energetic and exergetic analyses. The soybean biodiesel was produced using ethanol with a proportion of 33% v/v and the catalyst NaOH (1%), thus obtaining a yield of 90,63%. The fuels used were pure diesel (B0); 25% soybean biodiesel and 75% diesel (B25); 50% soybean biodiesel and 50% diesel (B50); 75% soybean biodiesel and 25% diesel (B75); and soybean biodiesel (B100). The density and kinematic viscosity were within the limits established by the National Petroleum, Natural Gas, and Biofuels Agency. A value of 39 017 kJ.kg-1 was obtained for the highest heating value of the soybean biodiesel (B100). A 32,05% maximum second-law efficiency was obtained in the case of soybean biodiesel at maximum pump speed and at 9,2 m2/h. The B50 fuel obtained a 29,78% maximum second-law efficiency when the centrifugal pump operated at 2 733 rpm and at a maximum flow rate.

Keywords:

soybean biodiesel, centrifugal pump, energy, exergy, sustainability.

RESUMEN

En este estudio se utilizan el biodiésel de soya y mezclas con diésel como combustible en un motor diésel que impulsa una bomba centrífuga. La tasa de trabajo útil de consumo, la tasa de trabajo reversible y la eficiencia de la segunda ley de la termodinamica se calcularon mediante análisis energético y exergético. El biodiésel de soya se produjo utilizando etanol en la proporción de 33 % v/v y el catalizador NaOH (1 %), obteniendo un rendimiento de 90,63 %. Los combustibles utilizados fueron diésel (B0); 25 % de biodiésel de soya y 75 % de diésel (B25); 50 % biodiésel de soya y 50 % de diésel (B50); 75 % de biodiésel de soya y 25 % de diésel (B75); y biodiésel de soya (B100). La densidad y la viscosidad cinemática estuvieron dentro de los límites establecidos por la Agencia Nacional de Petróleo, Gas Natural y Biocombustibles. Se obtuvo un valor de 39 017 kJ.kg-1 para el mayor poder calorifico del biodiésel de soya (B100). Se obtuvo 32,05 % de eficiencia máxima de la segunda ley en el caso del biodiésel de soya a la máxima velocidad de bombeo y a 9,2 m2/h. El combustible B50 obtuvo 29,78 % de eficiencia máxima de la segunda ley cuando la bomba centrífuga operó a 2 733 rpm y al caudal máximo.

Palabras clave:

biodiésel de soja, bomba centrífuga, energía, exergía, sustentabilidad.

Introduction

Several countries have been using biodiesel to replace fossil fuels. Biodiesel is produced from different renewable sources such as cotton, soybean, castor bean, sunflower, coconut, and palm, in addition to beef tallow and micro algae. It can be used in conventional engines without modifications, considering that its physicochemical properties are similar to those of diesel. The use of biodiesel in engines promotes a reduction in emissions of particulate matter and polluting gases (carbon monoxide, sulfur oxides, and hydrocarbons), and it also promotes the recycling of CO2 (Pereira et al., 2017a, 2017b, 2014, 2012, 2007; Demirbas, 2009; Fajardo et al., 2010).

Soybean is one of the most important crops in the agroindustry around the world. It is a raw material that can be used for oil extraction and biofuel production. The oil content of soybean (Glycine max L., Merrill) is around 25%.

Pure soybean biodiesel has been used in engines, as well as in combination with diesel (Pereira et al., 2007, 2011; Ozener et al., 2014), as its use in energy generation contributes to sustainability and cleaner production.

Agriculture is an important component in a country's economy. In irrigation processes, the use of centrifugal pumps driven by diesel cycle engines is common, especially in places without a power network. The use of biodiesel to replace diesel has economic and socio-environmental advantages, since biodiesel is a renewable fuel. Thus, in view of the importance of using combustion engines to drive pumps, the use of soybean biodiesel and its mixtures with diesel in a centrifugal pump driven by a diesel engine was studied in this work. This system was coupled to an instrumented hydraulic circuit in order to carry out energy and exergy analyses.

Biodiesel in Brazil

The use of biodiesel is regulated in several countries; it is necessary to meet several technical specifications for use in engines. For example, in the USA, the ASTM D6751 (ASTM International, 2020) standard is used, as well as the EN 14214 (European Standards, 2012) in the European Union and, in the case of Brazil, the properties of biodiesel must meet the specifications of the National Petroleum, Natural Gas, and Biofuels Agency (ANP) detailed in Resolution No. 45 from August 25th, 2014.

Brazil has been leading in the worldwide production of biodiesel since 2008 (Pereira and Lameira, 2013). According to ANP data, Brazil produced 482 304 m3 of biodiesel in February 2020, with soybean oil representing 68,85% of the total raw materials used for biodiesel production, followed by beef tallow with 10,99%. In 2019, Brazil produced 5 899 483 m3 of biodiesel (ANP, 2020).

In February 2020, there were 51 biodiesel plants operating in Brazil which were authorized by the ANP. This corresponds to 25 918,26 m3.day-1 of the total authorized capacity (ANP, 2020), with soybean oil being the main raw material for biodiesel production.

The main fuel used in Brazil's buses and trucks is diesel, which is largely imported. In order to reduce this dependence, biodiesel is emerging as an alternative for use in diesel engines.

In 2005, the diesel sold in Brazil started to be combined with 2% of biodiesel. This percentage increased to 3% in the period from July 2008 to the first half of 2009, and it increased to 4% in July 1st, remaining constant until the end of 2009. In January 2010, the replacement percentage became 5%. 7% was implemented in November 2014, increasing to 10% in March 2016 (Law 13263) (Presidência da República, 2016). Since September 1st, 2019, the addition of biodiesel to diesel is between 11 and 15% (B11 to B15) as per the ANP (Corrêa, 2019).

Thus, this study deals with the use of soybean biodiesel and mixtures with diesel in a diesel engine that drives a centrifugal pump.

Soybean production

Soybean production has grown worldwide. In 2010, the world production was around 265x106 ton in a harvested area of 103 x 106 ha, while, in 2018, the world production was 349X106 ton in 125x106 ha (FAO, 2020).

In 2018, 118x106 ton of soybean were produced in Brazil -thus making it the second largest producer- in a harvested area of 34,77x106 ha, corresponding to the second largest harvested area in the world. The yield was 3,39 ton.ha-1, which is the fifth in the world (FAO, 2020).

Energy and exergy analysis

The energy conservation principle, also known as the first law of thermodynamics, is related to the various forms of energy transformation and the amount of energy involved in the processes, regardless of the quality of said energy (Kanoğlu et al., 2012).

The second law of thermodynamics is of great importance in engineering, given that, in addition to identifying the direction of the process, it makes it possible to determine the quality and degradation degree of energy (Kanoğlu et al., 2012). Pereira and Silva (2019) have discussed the topic of exergy analysis.

Energy and exergy analyses in a centrifugal pump driven by a diesel engine

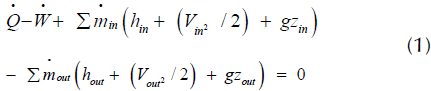
For the energy analysis, a control volume was considered, which covered the centrifugal pump driven by a diesel engine with input and output mass (Macedo, 2013; Silva, 2014). The energy balance applied to a process for control volume (steady state flow process) was used, as shown in Equation (1):

The consumption useful work rate (ẇ u ) under single current, Q = 0, uniform properties, and not considering kinetic and potential energy variations, becomes a function of the difference regarding enthalpy between the initial state 1 (at the input of the pump) and the final state 2 (at the output of the pump), which is given by Equation (2):

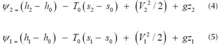
The exergy term (Xheat) was neglected, considering the pump to be an adiabatic device. To obtain an expression for the reversible work rate (W rev ), the destroyed exergy (Xdestroyed) was made zero. The reversible work rate is given by Equation (3) in terms of the specific exergies in a steady state and with uniform properties.

Where:

The reversible work rate (W rcv ) is given by Equation (6), which does not consider kinetic and potential energy variations:

rev represents the minimum power consumed by the pump.

The second-law efficiency (ηll) is the ratio between the minimum power (reversible work rate) and the real power (consumption useful work rate) for devices that consume power:

By measuring the pressure and temperature parameters at the pump inlet and outlet, it is possible to determine h1 and h2, as well as and s1 , in order to obtain the reversible work rate ( гсу), the consumption useful work rate( u ), and the second-law efficiency (η ll ).

Methodology

Production and characterization of soybean biodiesel

Soybean biodiesel production was carried out using ethanol anhydrous PA 99,7% and NaOH as a catalyst. The soybean oil used in the biodiesel production process was obtained from the national market. The experiments were conducted in batches of 100 mL of oil. An ultrasound was used in the process, as detailed by Silva (2014). Ethanol was used instead of methanol for the transesterification reaction because it is inherently safer and produced from renewable sources such as sugar cane in Brazil.

The soybean biodiesel produced was identified and stored in amber glass bottles with a capacity of 1 L, remaining in a light-free and airy place.

The mixtures were conditioned in amber-colored bottles and labeled as follows: B0 (diesel), B25 (soybean biodiesel 25% and diesel 75%), B50 (soybean biodiesel 50% and diesel 50%), B75 (soybean biodiesel 75% and diesel 25%), and B100 (soybean biodiesel).

The soybean-biodiesel mixtures were characterized, determining the following properties: kinematic viscosity (ASTM D445), density (ASTM D4052), cloud point (ASTM D2500), pour point (ASTM D97), and higher heating value (ASTM D4809) (ASTM International, 2017a, 2017b, 2018a, 2018b, 2021).

Energy and exergy analyses

By measuring the pressure and temperature parameters at the pump inlet and outlet, it is possible to determine the values of enthalpy and entropy in order to obtain the reversible work rate ( rev ), the consumption useful work rate ( u ), and the second-law efficiency ll ).Figure 1 shows the experimental apparatus used in the tests.

Experimental apparatus

Figure 1: Experimental apparatus

Source: Authors

The centrifugal pump used in the experiments was manufactured by Lintec and has a maximum flow rate of 36 m3/h, a maximum head of 26 m, and a maximum suction head of 8 m.

The diesel cycle engine used in the experiments was also manufactured by Lintec. It has a maximum speed of 3 300 rpm, and it is a four-stroke and direct injection engine with an air-cooling system, a displacement volume of 0,211 L, a maximum output of 2,8 kW, a fuel capacity of 2,5 L, and a weight of 32 kg.

A centesimal precision thermometer (Instrutherm, Model THR-080) was used to measure the suction and discharge temperatures of the fluid. A digital thermometer (Hikari, model HK - T 220) with decimal precision was used to measure the room temperature (T0).

The suction and discharge pressures were determined using Bourdon-type pressure gauges with a measuring range of 0-40 kPa (0-400 mbar) in the suction line and from 0-392,27 kPa (0-4 kgf/cm2) in the discharge line.

The flow rate was obtained using an InControl digital meter, model PRO 1000.

The SteamTab software was used to obtain the values of entropy and enthalpy from the measured pressure and temperature values at the inlet and outlet of the centrifugal pump.

Centrifugal pump at maximum speed

With the speed of the centrifugal pump kept at 3 300 rpm (maximum speed) and the globe valve restricted to six positions, the following parameters were measured: the suction and discharge temperatures, the room temperature, and the pressures at the suction manometer and in the two manometers positioned before and after the globe.

Centrifugal pump at the maximum flow rate

With the maximum opening of the globe valve (maximum flow rate) and while changing the pump speed, the following parameters were measured: the suction and discharge temperatures, the room temperature, the pressures at the suction manometer and in the two manometers positioned before and after the globe valve.

Results and discussion

Soybean biodiesel production

A yield of 90,63% was obtained for the soybean biodiesel.

Properties of diesel-soybean biodiesel blends

Table 1 shows the properties of the diesel-soybean biodiesel blends.

Table 1: Properties of diesel-soybean biodiesel blends

Source: Authors

The expanded uncertainty in the measurements is as follows: densità = ± 0,00008 kg.L-1; viscosity = ±0,006 mm2.s-1; cloud point = ±1,5 °C; and pour point = ± 1,8 °C (Abreu, 2010; Santo Filho, 2010).

As shown in Table 1, the viscosity of soybean biodiesel at 40 °C (4,312 mm2.s-1) is kept within the limits established by the ANP (3-6 mm2.s-1 at 40 °C). The density of soybean biodiesel at 20 °C (0,87984 kg. L-1) is also within the limits established by the ANP (0,850-0,900 kg.L-1 at 20 °C). It is more viscous than diesel, and increasing the biodiesel percentage in the diesel mixture leads to an increase in viscosity. This tendency was also reported by Mejía et al. (2013) and Geller et al. (2008).

The pour point of the diesel-soybean biodiesel blends varies from -6,9 to -2,2 °C, indicating favorable conditions for use in winter conditions.

The diesel has a higher heating value (45 280 kJ.kg-1), whereas soybean biodiesel has 39 017 kJ.kg-1. The use of diesel-soybean biodiesel blends in the motor pump set showed a good behavior; no anomaly was observed.

Energy and exergy analyses

Centrifugal pump at the maximum speed

The consumption useful work rate and the reversible work rate at the maximum pump speed (3 300 rpm) for the diesel-soybean biodiesel mixtures are shown in Figures 2 and 3. The lower consumption useful work rate and reversible work rate occur under the lower flow rate conditions.

Consumption useful work rate vs. flow rate (maximum pump speed)

Figure 2: Consumption useful work rate vs. flow rate (maximum pump speed)

Source: Authors

Reversible work rate vs. flow rate (maximum pump speed)

Figure 3: Reversible work rate vs. flow rate (maximum pump speed)

Source: Authors

The consumption useful work rate and the reversible work rate at maximum flow rate for the diesel-soybean biodiesel mixtures are shown in Figures 4 and 5. The lower consumption useful work rate and reversible work rate occur at the lower speed conditions.

Consumption useful work rate vs. speed (maximum pump flow rate)

Figure 4: Consumption useful work rate vs. speed (maximum pump flow rate)

Source: Authors

Reversible work rate vs. speed (maximum pump flow rate)

Figure 5: Reversible work rate vs. speed (maximum pump flow rate)

Source: Authors

Second-law efficiency

The behavior of the second-law efficiency is shown in Figure 6 as a function of the flow rate at maximum pump speed for diesel, diesel-soybean biodiesel mixtures, and soybean biodiesel. The efficiency ranges from 15,80% (B50 at 5,66 m3/h) to 36,82% (diesel at 11,69 m3/h). In the case of soybean biodiesel (B100), the efficiency ranges from 19,29%, at 6,63 m3/h to 32,05%, at 9,2 m3/h. The maximum second-law efficiency (25,02%) for the mixtures of soybean biodiesel with diesel occurs for B50 at 11,66 m3/h. The average second-law efficiency value for all fuels used in the centrifugal pump at maximum pump speed (3 300 rpm) was 22,64%.

Second-law efficiency vs. flow rate (maximum pump speed)

Figure 6: Second-law efficiency vs. flow rate (maximum pump speed)

Source: Authors

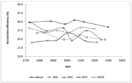
The behavior of the second-law efficiency as a function of pump speed at maximum flow rate is shown in Figure 7 for diesel, diesel-soybean biodiesel mixtures, and soybean biodiesel. The efficiency ranges from 17,98% (B75 at 2 742 rpm) to 30,93% (diesel at 3 054 rpm). In the case of soybean biodiesel (B100), the efficiency ranges from 23,81% at 3 012 rpm to 26,69% at 3 097 rpm. The maximum second-law efficiency (29,78%) for the mixtures of soybean biodiesel with diesel was obtained by B50 at 2 733 rpm. At the maximum flow rate, the average second-law efficiency value for all fuels used in the centrifugal pump was 24,03%.

Second law efficiency vs. speed (maximum pump flow rate)

Figure 7: Second law efficiency vs. speed (maximum pump flow rate)

Source: Authors

For comparison, an exergetic efficiency value of 33% was found in the case of soybean oil used in a compression ignition engine at 1 800 rpm (Nieto Garzón et al., 2015).

Table 2 shows the average second-law efficiency value () for all fuels at different flow rates, at maximum pump speed, and at different pump speeds at maximum flow rate.

Table 2.: for all fuels

Source: Authors

According to Table 2, it can be pointed out that the average second-law efficiency value was the highest in the case of diesel fuel. For the other fuels, the maximum value of was obtained with B100, which corresponds to a 100% substitution of diesel by a renewable fuel (soybean biodiesel).

Conclusions

The extracted oil from soybean constitutes a potential raw material for biodiesel production.

A centrifugal pump can be driven by a diesel engine operating with soybean biodiesel and different mixtures of soybean biodiesel with pure diesel.

The maximum second-law efficiency (32,05%) was obtained for B100 at maximum pump speed and at the flow rate of 9,2 m3/h. This optimal condition corresponds to a 100% substitution of diesel by a renewable fuel (soybean biodiesel).

For different flow rate and pump speed conditions, using the B50 fuel is recommended, given that it showed the best average second-law efficiency for the mixtures of diesel and soybean biodiesel.

Acknowledgements

Acknowledgments

The authors Roberto G. Pereira and Juan M. Pardal are grateful to the National Council for Scientific and Technological Development (CNPq) for the financial support.

References

  1. Abreu, F. L. B. (2010). Power generation and analysis of emissions in stationary engine using biodiesel, blends of biodiesel and blends of biodiesel containing additive, produced via ethylic route and its characterization [Doctoral thesis, Universidade Federal Fluminense]. 🠔
  2. ANP (2014). Especificação do biodiesel. https://www.gov.br/anp/pt-br/assuntos/producao-e-fornecimento-de-biocom-bustiveis/biodiesel/especificacao-do-biodiesel [URL] 🠔
  3. ASTM International (2017a). Standard test method for cloud point of petroleum products and liquid fuels (ASTM D2500-17a). https://webstore.ansi.org/Standards/ASTM/ASTM-D250017a [URL] 🠔
  4. ASTM International (2017b). Standard test method for pour point of petroleum products. (ASTM D97-17b). https://www.astm.org/d0097-17b.html [URL] 🠔
  5. ASTM International (2018a). Standard test method for density, relative density, and api gravity of liquids by digital density meter (ASTM D4052-18a). https://webstore.ansi.org/Search/Find?in=1&st=ASTM + D4052 [URL] 🠔
  6. ASTM International (2018b). Standard test method for heat of combustion of liquid hydrocarbon fuels by bomb calorimeter (precision method) (ASTM D4809-18). https://webstore.ansi.org/Standards/ASTM/ASTMD480918 [URL] 🠔
  7. ASTM International (2020). Standard specification for biodiesel fuel blend stock (b100) for middle distillate fuels (ASTM D6751-20a). https://www.astm.org/d6751-20a.html [URL] 🠔
  8. ASTM International (2021). Standard test method for kinematic viscosity of transparent and opaque liquids (and calculation of dynamic viscosity) (ASTM D445-21e1). https://www.astm.org/d0445-21e01.html [URL] 🠔
  9. National Petroleum, Natural Gas, and Biofuels Agency (ANP) (2020). Informações de mercado. http://www.anp.gov.br/producao-de-biocombustiveis/biodiesel/informacoes-de--mercado [URL] 🠔
  10. Demirbas, A. (2009). Biofuels securing the planet's future energy needs. Energy Conversion and Management, 50(9), 2239-2249. https://doi.org/10.1016/j.enconman.2009.05.010 [URL] 🠔
  11. Corrêa, D. (2019, August 6). ANP aprova aumento do percentual de adição de biodiesel ao óleo diesel. Agência Brasil. https://agenciabrasil.ebc.com.br/economia/noticia/2019-08/anp-aprova-aumento-do-percentual-de-adicao-de-biodie-sel-ao-oleo-diesel [URL] 🠔
  12. European Standards (2012). Liquid petroleum products. Fatty acid methyl esters (FAME) for use in diesel engines and heating applications. Requirements and test methods. (BS EN 14214:2012+A2:2019). https://www.en-standard.eu/bs-en-14214-2012-a2-2019-liquid-petroleum-products-fa-tty-acid-methyl-esters-fame-for-use-in-diesel-engines-and-heating-applications-requirements-and-test-methods/?gcli-d = EAIaIQobChMI6pm_37zk9gIVdMqzCh1uxw24EAAYA-SAAEgKt4fD_BwE [URL] 🠔
  13. Fajardo, C. A. G., León, I. D. O., and Vargas, F. E. S. (2010). Evaluating the effect of temperature on biodiesel production from castor oil. Ingeniería e Investigación, 30(2), 52-61. https://doi.org/10.15446/ing.investig.v30n2.15733 [URL] 🠔
  14. Food and Agriculture Organization of the United Nations (FAO) (2020). FAOSTAT. https://www.fao.org/faostat/en/#data/QCL [URL] 🠔
  15. Geller, D. P., Adams, T. T., Goodrum, J. W., and Pendergrass, J. (2008). Storage stability of poultry fat and diesel fuel mixtures: Specific gravity and viscosity. Fuel, 87, 92-102. https://doi.org/10.1016/j.fuel.2007.03.043 [URL] 🠔
  16. Kanoğlu, M., Çengel, Y. A., and Dinger, I. (2012). Efficiency evaluation of energy systems. Springer. https://doi.org/10.1007/978-1-4614-2242-6_2 [URL] 🠔
  17. Macedo, T. O. (2013). Methodology for experimental exergetic evaluation of a pump driven by a diesel engine, operating with standard diesel and biodiesel [Master's thesis, Universidade Federal Fluminense]. 🠔
  18. Mejía, J. D., Salgado, N., and Orrego, C. E. (2013). Effect of blends of diesel and palm-castor biodiesels on viscosity, cloud point and flash point. Industrial Crops and Products, 43, 791-797. https://doi.org/10.1016/j.indcrop.2012.08.026 [URL] 🠔
  19. Nieto-Garzón, N. A., Oliveira, A. A. M., Hartmann, R. M., and Bazzo, E. (2015) Experimental and thermodynamic analysis of a compression ignition engine operating with straight soybean oil. Journal of the Brazilian Society of Mechanical Sciences and Engineering, 37, 1467-1478. https://doi.org/10.1007/s40430-014-0287-z [URL] 🠔
  20. Özener, O., Yüksek, L., Ergenç, A. T., and Özkan, M. (2014). Effects of soybean biodiesel on a DI diesel engine performance, emission and combustion characteristics. Fuel, 115, 875-883. https://doi.org/10.1016/j.fuel.2012.10.081 [URL] 🠔
  21. Pereira, R. G., and Silva, I. M. (2019). Energy and exergy analysis of a centrifugal pump driven by a diesel engine operating with passion fruit biodiesel and mixtures with diesel. Revista Ibero-americana de Ciências Ambientais, 10(1), 262-273. https://doi.org/10.6008/CBPC2179-6858.2019.001.0022 [URL] 🠔
  22. Pereira, R. G., Tulcan, O. E. P., Lameira, V. J., Santo Filho, D. M. E., and Andrade, E. T. (2011). Use of soybean oil in energy generation. In D. Krezhova (Ed.), Recent trends for enhancing the diversity and quality of soybean (pp. 301-320). Intech Open Access Publisher. 🠔
  23. Pereira, R. G., Tulcan, O. E. P., and Fellows, C. E. (2017a). Engine performance: biofuels versus petrofuels. In M. R. Riazi and D. Chiaramonti (Eds.), Biofuels Production and Processing Technology (1st ed., pp. 596-586). CRC Press Taylor & Francis Group. https://doi.org/10.1201/9781315155067-20 [URL] 🠔
  24. Pereira, R. G., Tulcan, O. E. P., Fellows, C. E., and Braz, A. J. L. (2017b). Energy generation and exhaust emissions analysis in a stationary engine using palm biodiesel, palm oil and diesel, International Journal of Oil, Gas and Coal Technology, 16(4), 402-421. https://doi.org/10.1504/IJO-GCT.2017.10008349 [URL] 🠔
  25. Pereira, R. G., Tulcan, O. E. P., Fellows, C. E., Silva, I. M., Santo Filho, D. M. E., Lameira, V. J., and Quelhas, O. L. G. (2014). Energy generation using coconut biodiesel and coconut oil in a stationary engine. International Journal of Oil, Gas and Coal Technology, 7(4), 450-473. https://doi.org/10.1504/IJOGCT.2014.062165 [URL] 🠔
  26. Pereira, R. G., Tulcan, O. E. P., Fellows, C. E., Lameira, V. J., Quelhas, O. L. G., Aguiar, M. E., and Santo Filho, D. M. E. (2012). Sustainability and mitigation of greenhouse gases using ethyl beef tallow biodiesel in energy generation. Journal of Cleaner Production, 29(30), 269-276. https://doi.org/10.1016/j.jclepro.2012.01.007 [URL] 🠔
  27. Pereira, R. G., Oliveira, C. D., Oliveira, J. L., Oliveira, P. C. P., Fellows, C. E., and Piamba, O. E. (2007). Exhaust emissions and electric energy generation in a stationary engine using blends of diesel and soybean biodiesel. Renewable Energy, 32(14), 2453-2460. https://doi.org/10.1016/j.rene-ne.2006.05.007 [URL] 🠔
  28. Pereira, R. G., and Lameira, V. J. (2013). Production and consumption of biodiesel and ethanol: A comparison, from 2000 to 2010. Journal of Materials Science and Engineering B, 3(10), 677-682. https://doi.org/10.17265/2161-6221/2013.10.007 [URL] 🠔
  29. Presidência da República (2016). Lei no. 13 263, de 23 de março de 2016. http://www.planalto.gov.br/ccivil_03/_ato2015-2018/2016/lei/l13263.htm [URL] 🠔
  30. Santo Filho, D. M. E. (2010). Metrology applied to analysis of biodiesel [Doctoral thesis, Universidade Federal Fluminense]. 🠔
  31. Silva, I. M. (2014). Power generation and exergy analysis in a motor-pump set using biodiesel produced through transesterification by ultrasound [Doctoral thesis, Universidade Federal Fluminense]. 🠔
Pereira, R. G., da Silva, I. M., and Pardal, J. M. (2022). Energy and Exergy Analysis in a Centrifugal Pump Driven by a Diesel Engine Using Soybean Biodiesel and Mixtures with Diesel. Ingeniería e Investigación, 42(3), e88228. https://doi.org/10.15446/ing.investig.88228
The authors declare that they have no conflict of interest.