Innovar
0121-5051
Facultad de Ciencias Económicas. Universidad Nacional de Colombia.
https://doi.org/10.15446/innovar.v27n65.64887

Recibido: de marzo de 2015; Aceptado: de junio de 2016

Creando valor mediante la aplicación de modelos de capital intelectual *

creating value through the application of intellectual capital models

criando valor mediante a APLICAÇÃO de modelos de capital intelectual

LA CRÉATION DE VALEUR PAR L'APPLICATION DE MODÈLES DE CAPITAL INTELLECTUEL

V. Azofra-Palenzuela, 1M. Ochoa-Hernández, 2B. Prieto-Moreno, 3A. Santidrián-Arroyo, 4

Doctor en Ciencias Empresariales Catedrático de la Universidad de Valladolid, Valladolid, España, Correo electrónico: vazofra@eco.uva.es, Enlace ORCID: http://orcid.org/0000-0001-6973-9282 Universidad de Valladolid Universidad de Valladolid Valladolid Spain
Doctorado en Nuevas Tendencias en Dirección de Empresas Profesora titular de la Universidad Autónoma de Tamaulipas, Tampico, México. Correo electrónico: mlochoa@docentes.uat.edu.mx , Enlace ORCID: http://orcid.org/0000-0001-8542-5726 Universidad Autónoma de Tamaulipas Universidad Autónoma de Tamaulipas Tampico Mexico
Doctora en Ciencias Económicas y Empresariales Catedrática de la Universidad de Burgos, Burgos, España, Correo electrónico: begop@ubu.es, Enlace ORCID: http://orcid.org/0000-0002-3719-6786 Universidad de Burgos Universidad de Burgos Burgos Spain
Doctora en Ciencias Económicas y Empresariales Profesora titular de la Universidad de Burgos, Burgos, España, Correo electrónico: alisant@ubu.es, Enlace ORCID: http://orcid.org/0000-0002-4082-1837 Universidad de Burgos Universidad de Burgos Burgos Spain

correspondencia: Begoña Prieto Moreno. Facultad de Ciencias Económicas y Empresariales, C/ Parralillos s/n 09001. Burgos, España.

RESUMEN

La principal contribución de este trabajo es aportar nueva evidencia a la literatura explicativa, que en el ámbito de los modelos de capital intelectual vincula a estos con la creación de valor empresarial; además, se relaciona el grado de implantación de los modelos de capital intelectual de una muestra de empresas españolas con sus estados contables anuales, bajo una perspectiva de largo plazo. Los resultados muestran evidencia de que las empresas con mayores niveles de implantación de estos modelos de capital intelectual presentan mejores índices de creación de valor: productividad -ventas por empleado y beneficio por empleado-, incremento en ventas e índice de eficiencia del capital intelectual (ICE).

PALABRAS CLAVE:

medición del rendimiento, modelos de capital intelectual, creación de valor empresarial, cuentas anuales.

abstract

The major contribution of this work is to provide new evidence to the explanatory literature on intellectual capital models that connects these models with the creation of business value. This study also relates the adoption level of intellectual capital models in a sample of Spanish companies with their annual financial statements under a long-term perspective. Results indicate that companies with higher adoption levels of such models report better value creation indexes: productivity (sales and benefit per employee), increase in sales and intellectual capital efficiency (ICE).

keywords:

Performance measurement, intellectual capital models, creation of business value, annual accounts.

resumo

A principal contribuição deste trabalho é trazer nova evidencia para a literatura explicativa, que, no âmbito dos modelos de capital intelectual, vincula estes com a criação de valor empresarial; além disso, relaciona-se o grau de implantação dos modelos de capital intelectual de uma amostra de empresas espanholas com suas demonstrações financeiras, sob uma perspectiva de longo prazo. Os resultados mostram evidência de que as empresas com maiores níveis de implantação desses modelos de capital intelectual apresentam melhores índices de criação de valor: produtividade -vendas por empregado e benefício por empregado-, aumento em vendas e índice de eficiência do capital intelectual (ICE).

palavras-chave:

criação de valor empresarial, declarações financeiras anuais, medição do rendimento, modelos de capital intelectual.

résumé

La principale contribution de ce travail est de contribuer de nouvelles preuves à la littérature explicative dans le domaine des modèles de capital intellectuel reliant ceux-ci avec la création de valeur commerciale; en outre, on rapporte le degré de mise en oeuvre des modèles de capital intellectuel d'un échantillon de sociétés espagnoles avec ses états financiers annuels, dans une perspective à long terme. Les résultats montrent des signes que les entreprises ayant des niveaux plus élevés de mise en oeuvre de ces modèles de capital intellectuel ont un meilleur taux de création de valeur: productivité (les ventes par employé et le bénéfice par employé), une augmentation des ventes et de l'indice de l'efficacité du capital intellectuel (ICE).

MOT S-CLÉ:

mesure du rendement, modèles de capital intellectuel, création de valeur commerciale, comptes annuels.

Introducción

Este trabajo examina y contrasta la utilidad de los modelos de capital intelectual como mecanismos de aprendizaje y motivación, capaces de impulsar la generación de recursos intangibles dentro de las organizaciones y la creación de valor. La implantación de estos sistemas de información puede estimular el cambio organizativo y crear ventajas competitivas a largo plazo basadas en el conocimiento. Los modelos de capital intelectual son mucho más que una mera lista de indicadores: estos sistemas son válidos solo si están enraizados en la identidad y estrategia de la empresa (Roos, Roos, Dragonetti y Edvinsson, 2001). Los modelos de capital intelectual traducen y cuantifican los objetivos estratégicos de la empresa, al tiempo que explicitan las relaciones entre estos.

El objetivo de nuestro trabajo es estudiar la relación causal entre el uso de indicadores de capital intelectual y la creación de valor empresarial. De este modo, podremos observar la utilidad de estos indicadores en el proceso de aprendizaje organizativo y contribuir a clarificar la mencionada relación.

Con el fin de abordar nuestro propósito, hemos combinado dos fuentes de información: 1) una muestra de empresas españolas -con un número igual o superior a 25 trabajadores y pertenecientes a todos los sectores de actividad, exceptuando el sector financiero y el primario-, obtenida inicialmente a partir de las respuestas a un cuestionario, y 2) sus cuentas anuales publicadas en el Sistema de Datos de Balances Ibéricos (SABI). El cuestionario resultó de utilidad para observar el grado real de implantación de los sistemas de información sobre capital intelectual, e identificar tres diferentes grupos de empresas, clasificadas de acuerdo con el grado de compromiso que mostraron hacia la implantación y uso de los modelos de capital intelectual: "comprometidas", "desconfiadas" y "escépticas"1.

El objeto del presente trabajo se centra en conocer, para cada uno de los tres grupos, la tendencia seguida por determinados índices de creación de valor, entre los cuales se encuentra el índice de eficiencia del capital intelectual (ICE), con el fin de detectar las posibles relaciones que pudieran derivarse del grado de implantación de modelos de capital intelectual y la creación de valor. Este análisis se ha realizado observando, durante seis periodos, las empresas de la muestra que disponen de información financiera completa a día de hoy y que han permanecido en su grupo de partida -79 empresas de las 211 iniciales-, en cuanto al nivel de compromiso con la medición y gestión del capital intelectual.

El análisis de tendencias de los índices de creación de valor se ha realizado a través de sus cuentas anuales. El mencionado estudio ha permitido observar su evolución en cada empresa y grupo, durante el periodo comprendido entre el 20082 y el 2013, ambos incluidos. En nuestra opinión, este periodo aporta evidencia en un amplio rango hasta ahora no estudiado acerca del posible vínculo entre el uso de indicadores de capital intelectual, que favorecen la generación de conocimiento y la innovación, y su efecto en la creación de valor, principal objetivo de nuestro estudio.

La estructura de este trabajo se desarrolla en la forma que a continuación exponemos. En primer lugar, se presentan algunas de las más significativas contribuciones sobre la importancia del conocimiento y la categorización de los recursos que constituyen el concepto de capital intelectual. A continuación, se presta una especial y exhaustiva atención a la literatura que ha abordado la vinculación entre la dotación de elementos vinculados al capital intelectual y la creación de valor, con el objeto de identificar nuevas evidencias aún pendientes de verificar y que requieren un análisis más minucioso; esta revisión ha permitido encontrar la brecha de la que se ocupa la presente investigación, esto es, la inexistencia de trabajos que vinculan la previa implantación de modelos de capital intelectual con la posterior creación de valor para un amplio rango temporal. Adicionalmente, se desprende de esta la escasez o práctica inexistencia de trabajos causales para el ámbito español que, además, partan de fuentes primarias para conocer el estado actual de sus prácticas de medición y gestión del capital intelectual.

En la tercera sección del trabajo se describe la metodología implementada para la realización del trabajo empírico, cuyos resultados se exponen en la cuarta sección. El trabajo finaliza señalando sus principales aportaciones, sentando un precedente en la observación de esta relación con variables hasta ahora no utilizadas y, en consecuencia, susceptibles de posteriores réplicas.

Revisión de la literatura

La visión que en este trabajo se propone sobre el papel de los sistemas de información sobre capital intelectual parte de la convicción de que son un componente más del sistema de control de gestión, tal y como sugieren Johanson, Martensson y Skoog (2001), que actúan identificando y evaluando recursos intangibles que incorporan parte del conocimiento organizativo. Varias décadas más tarde estas reflexiones están plenamente vigentes, dado que en nuestro entorno económico y productivo el conocimiento parece erigirse en la principal fuente duradera de ventaja competitiva (IFAC, 1998; Carlucci, Marr y Schiuma, 2004). En este sentido, el capital intelectual, de acuerdo con IFAC (1998), sería el resultado final de un proceso de transformación del conocimiento o el conocimiento en sí que se transforma en propiedad intelectual o en activos intelectuales de la organización. Cada empresa debe gestionar de forma eficiente y efectiva ese proceso de transformación que precisaría de varias etapas; estas etapas, aunque son descritas de forma ligeramente distinta por los diferentes autores, contemplan la generación de conocimiento, su transformación en una forma que sea fácilmente comprensible y la transferencia de este conocimiento con el fin de que esté disponible dentro de los límites de la organización (Chong, Chong y Gan, 2011).

Dada la importancia atribuida al conocimiento, sería preciso el diseño de un conjunto de indicadores que sean capaces de cuantificar, a través de diversas magnitudes, los elementos intangibles clave en cada una de las áreas de la organización. Esta medición y seguimiento parecen imprescindibles, dadas las aportaciones realizadas en la literatura que vinculan la inversión en recursos intangibles con efectos positivos sobre el rendimiento empresarial, una relación causal que, en opinión de Carlucci et al. (2004), es compleja de identificar.

No existe un consenso en la literatura sobre el conjunto de recursos intangibles que forman parte del concepto de capital intelectual. Sin embargo, gran parte de los autores apuntan las categorías de capital humano, estructural y relacional, aun cuando la terminología no siempre es coincidente.

De forma concisa, el capital humano estaría formado, para Bontis, Chong y Richardson (2000), por el stock de conocimientos individuales que reside en los empleados. Una noción más detallada la proporciona Brooking (1996), para quien los activos humanos estarían incorporando la experiencia, creatividad, habilidades, estilo de liderazgo y capacidad de resolución de problemas de cada individuo de la organización. Por su parte, el capital estructural incluye los mecanismos y las estructuras que dan soporte a los empleados, esto es, las rutinas organizativas que permiten la conversión del conocimiento individual en colectivo (Bollen, Vergauwen y Schnieders, 2005). De acuerdo con Edvinsson y Malone (1997), el capital estructural, a diferencia del capital humano, sí puede ser propiedad de la empresa y objeto de negociación.

Además, el capital relacional engloba el conjunto de relaciones que la empresa establece con diferentes stakeholders, relaciones que, como afirman Roos et al. (2001), se construyen a través del intercambio de información y de productos a largo plazo. Mientras Sveiby (1997) menciona solo a clientes y proveedores como colectivos implicados, Roos et al. (2001) amplían el abanico de stakeholders a los socios aliados, accionistas y otros participantes. En el trabajo de Bueno, Salmador y Rodríguez (2004) se propone, además, la consideración de lo que denominan como capital social, en el cual se incluiría el compromiso que la empresa mantiene respecto al desarrollo tecnológico y científico, el desarrollo económico del entorno y la defensa del patrimonio artístico y cultural.

De lo apuntado, se puede concluir que los sistemas de información sobre capital intelectual permiten controlar aspectos relativos a (i) recursos humanos, (ii) procesos y (iii) relaciones con los diferentes stakeholders con los que la empresa interactúa.

Para ello, en cada una de las categorías mencionadas se identificarán los factores clave de éxito, al tiempo que se han de seleccionar adecuados indicadores que se integrarán en los sistemas de información sobre capital intelectual. Estos factores clave de éxito son, de acuerdo con Ferreira y Otley (2009), actividades, atributos, competencias y capacidades que se consideran requisitos críticos para el éxito de una organización en una determinada industria y periodo de tiempo. Es por ello que la importancia que se concede a los elementos que conforman cada una de las categorías mencionadas de capital intelectual varía dependiendo de factores tales como el sector de actividad, tamaño de la industria o ubicación geográfica (Axtle-Ortiz, 2013).

Además, como sugieren Johanson et al. (2001), la implantación de estos sistemas proporciona información sobre las relaciones entre las tres categorías de capital intelectual y su efecto final sobre la creación de valor empresarial. La literatura interesada en investigar la relación entre capital intelectual y creación de valor ha sido muy prolija en esta última década. De la revisión de esta se desprende que este análisis se ha abordado desde diferentes disciplinas y perspectivas, habiendo obtenido resultados mixtos que, en determinados casos, contradicen algunas bases teóricas (Kamukama, Ahiauzu y Ntayi, 2010). Unas contradicciones que, de acuerdo con estos autores, no son extrañas, dado que el efecto que las dimensiones del capital intelectual tienen sobre el rendimiento empresarial es específico de cada industria y país.

Partiendo de la triple clasificación de elementos del capital intelectual, comentamos a continuación diferentes trabajos, atendiendo a la evidencia hallada sobre relaciones entre bloques de capital intelectual -capital humano, estructural y relacional- y creación de valor.

Así, Huselid (1995), Ng (2006), Appuhami (2007), Liu, Tseng y Yen (2009), Maditinos, Chatzoudes, Tsairidis y Theriou (2011), García-Zambrano, García-Merino y Rodríguez-Castellanos (2012), Komnenic y Pokrajcic (2012) y Nimtrakoon (2015) encuentran evidencia de una relación positiva entre diferentes medidas de elementos del capital humano y variables representativas de la creación de valor empresarial.

Considerando el capital estructural como variable independiente, han visto la luz, entre otras, las investigaciones de Bontis et al. (2000), Ng (2006), Appuhami (2007), Jardon y Martos (2009) y Ling (2013). En particular, Chen, Cheng y Hwang (2005), y Huang y Liu (2005) concluyen que la inversión en tecnologías de la información no tiene efecto significativo sobre el rendimiento empresarial, mientras que del trabajo de Wu y Chou (2007) se desprende la fuerte influencia que sobre el valor de mercado tiene la inversión en tecnologías de la información. Hawajreh (2013) observa la relación positiva de parte del capital estructural, a excepción de la propiedad intelectual, con el rendimiento empresarial, pero de forma moderada con el valor de mercado.

En lo que respecta a la inversión en innovación y desarrollo (i+d), Chen et al. (2005), Huang y Liu (2005), Hawajreh (2013) y Amat, Antón y García (2013) han observado la influencia significativa de este tipo de inversiones sobre diferentes medidas de creación de valor, mientras que el trabajo de Kujansivu y Lónnqvist (2007) no encuentran relación entre las inversiones en i+d y la rentabilidad, sugiriendo que tal vez se deba a que no se ha incluido el posible retardo temporal que pudiera existir, o porque se trata de inversiones que no siempre resultan exitosas. También el trabajo de Duarte-Atoche, Pérez-López y Camúñez-Ruiz (2012) pone de manifiesto que los gastos de i+d no generan valor de mercado para la empresa, señalando que la incertidumbre sobre las posibilidades de éxito que acompaña estos gastos podría dar lugar a que los inversores no la consideren como una partida fiable para la generación de futuras rentas.

Por otro lado, Lev y Radhakrishnan (2003) muestran que el capital organizativo contribuye significativamente a la explicación del valor de mercado de la empresa, aun cuando también ponen de manifiesto que el mercado no descuenta toda la información sobre intangibles -que puede deberse a que esta sea pobre y esté sesgada-. También en el ámbito del capital organizativo, Nold (2012) obtiene evidencia de que las empresas con mayores niveles de atributos culturales, tales como el orgullo o el compañerismo, tienen mayores probabilidades de generar resultados financieros superiores.

En cuanto a la posible relación positiva entre el capital re-lacional y la creación de valor, esta se pone de manifiesto, entre otros, en los trabajos de Wu y Chou (2007), Cleary (2009), Welbourne y Pardo del Val (2009), O'Sullivan y Mc-Callig (2012) y, con algunas excepciones, en Suraj y Bontis (2012). El trabajo de Tayles, Pike y Sofian (2007), planteado en términos de percepciones, indica que los directivos en-cuestados perciben que los elementos del capital rela-cional sí tienen influencia sobre los resultados financieros, al tiempo que creen que aquellas empresas que en mayor medida gestionan su capital intelectual se encuentran en una posición más competitiva en el mercado, dado que entienden que el empleo de indicadores de este tipo contribuye a reducir la incertidumbre del entorno en la toma de decisiones. St-Pierre y Audet (2011) muestran cómo, en el caso de pequeñas y medianas empresas que siguen una estrategia defensiva, sí existe influencia del capital relacional sobre los resultados. También encuentran evidencia de este efecto directo Scafarto, Ricci y Scafarto (2016), destacando la necesidad de dedicar recursos suficientes a las actividades de promoción y comunicación comercial. En Pucci, Simoni y Zanni (2015) se sugiere el efecto positivo que la interacción de diferentes activos de marketing, tales como las marcas, o los procesos de promoción y comunicación, pueden ejercer sobre el rendimiento empresarial.

Por otro lado, varias investigaciones han prestado atención a las relaciones causa-efecto que se establecen entre los distintos bloques del capital intelectual, y su repercusión final en los resultados empresariales, incorporando en el análisis la posibilidad de que existan relaciones indirectas. Así, Bontis y Fitz-Enz (2002) observan que la gestión acertada del capital humano, estructural y relacional supone un incremento de los resultados financieros, hipótesis también contrastada por Wang y Chang (2005). En particular,

Youndt, Subramaniam y Snell (2004) muestran el efecto beneficioso que sobre el rendimiento financiero presentan empresas que mantienen simultáneamente inversiones en recursos humanos, en tecnologías de la información y en i+d, frente a aquellas que solo se centran en un área. También el trabajo de Tseng y Goo (2005) encuentra evidencia de la secuencia de relaciones que existe entre los bloques de capital intelectual hasta desembocar en la creación de valor empresarial, excepto para el caso del capital organizativo, en el cual no observan un impacto directo y positivo sobre este valor. Por su parte, Widener (2006) solo encontró evidencia parcial de que el capital humano y el estructural afectaran a la creación de valor. En la investigación de Zeglat y Zigan (2014) se observan relaciones positivas y significativas entre los diferentes bloques del capital intelectual, en particular, entre el capital humano y el relacional, así como un efecto también positivo y significativo del capital humano, estructural y relacional sobre la creación de valor, especialmente del capital estructural. El trabajo de Scafarto, Ricci y Scafarto (2016) muestra que las inversiones en capital humano y capital de innovación -componente del capital estructural-, han de considerarse de forma complementaria dado el efecto positivo que esta interacción tiene sobre el valor de la empresa.

Finalmente, varios trabajos proporcionan explicaciones a los bajos niveles alcanzados por variables de creación de valor en empresas donde se han desarrollado iniciativas de gestión del capital intelectual. Ittner (2008) sugiere una explicación para el bajo nivel de rentabilidad económica (roa, por sus siglas en inglés) en aquellas empresas usuarias del Balanced Scorecard que fueron examinadas por Ittner, Larcker y Randall (2003): las organizaciones que presentan menores niveles de rentabilidad son las que con mayor probabilidad adoptan innovaciones organizativas, con el ánimo de que estas iniciativas contribuyan a una mejora de sus resultados. La investigación de Braam y Nijssen (2004) encuentra evidencia de bajos niveles del indicador de retorno sobre la inversión (ROI, por sus siglas en inglés) en empresas con altos niveles de utilización de sistemas de información sobre capital intelectual. García-Merino, Arregui-Ayastuy, Rodríguez-Castellanos y García-Zambrano (2010) sugieren que existen algunas acciones que pueden reforzar los recursos intangibles de la empresa, consolidando su posición en el mercado pero afectando negativamente a sus resultados más inmediatos.

Esta revisión de la literatura nos confirma nuevamente la diversidad de resultados obtenidos en relación con el vínculo entre niveles de implantación y uso de modelos de capital intelectual y creación de valor; nos confirma, igualmente, la ausencia de trabajos realizados para un rango temporal amplio. Con el fin de aportar evidencia sobre esta relación inconclusa, abordamos en los siguientes epígrafes la investigación empírica que hemos llevado a cabo.

Diseño de la investigación

Tal y como se anticipa en la introducción, con el fin de atender al objetivo principal descrito -vincular el nivel de implantación y uso de modelos de capital intelectual con la creación de valor bajo una perspectiva de largo plazo-, el diseño de la investigación para el presente análisis ha sido el siguiente:

La muestra de empresas descrita -identificadas individualmente y clasificadas de acuerdo con su grado de compromiso hacia el uso de sistemas de información sobre capital intelectual- se ha combinado con la información extraída de sus cuentas anuales durante los seis últimos periodos de los que dispone la base de datos SABI, obteniendo diferentes variables de creación de valor para las 79 empresas que a día de hoy disponen de información financiera completa y permanecen en el grupo inicialmente asignado. Los porcentajes de distribución de estas empresas en los tres grupos son: 20% comprometidas, 57% desconfiadas y 27% escépticas.

En sintonía con lo hasta aquí expresado, nuestro estudio se centra en observar las diferencias que surgen entre los tres grupos en relación con la creación de valor, la cual se ha medido a través de variables representativas de rentabilidad, crecimiento en ventas, productividad y el índice de ice, que resulta innovador y significativo en el ámbito investigado. Así, se ha tomado como:

(Importe neto de la cifra de ventas(t) - importe neto en cifra de ventas(t-1) /importe neto de cifra de ventas(t-1).

El cálculo de la variable ice se realiza de la siguiente forma:

ICE = VAHU + STVA, lo que representa la contribución del capital humano y del estructural, de manera conjunta, a la creación de valor; donde VAHU es el indicador de eficiencia del capital humano y stva es el indicador de eficiencia del capital estructural. De forma desagregada, ICE = VA/HU + ST/VA; siendo va el valor añadido generado por la empresa, HU el importe del coste de personal, y ST es la diferencia entre el valor añadido (va) y el coste de personal (HU).

Resultados

La observación de la evolución en el periodo del 2008 al 2013 de las variables de creación de valor correspondientes a cada empresa y con cada uno de los tres grupos -a través de sus promedios- nos permite extraer las consideraciones que se muestran a continuación:

  • Son las empresas comprometidas las que muestran mayores niveles en relación con la productividad, tanto para ventas por empleado (213.330 € de promedio durante el referido periodo) como para beneficio de explotación por empleado (17.270 € de promedio durante el referido periodo), alcanzando diferencias significativas durante el referido periodo con respecto a las empresas desconfiadas (176,71 y 4,65 respectivamente) y las empresas escépticas (168,10 y 0,78 respectivamente) (tablas 1 y 2).

Tabla 1: Promedio de ventas por trabajador (miles de euros).

Fuente: elaboración propia a partir de los estados financieros.

Tabla 2: Promedio de beneficio de explotación por trabajador (miles de euros).

Fuente: elaboración propia a partir de los estados financieros.

  • Son igualmente las empresas comprometidas las que alcanzan mejores índices de creación de valor medido a través del crecimiento en ventas (3,66%), frente al -4,99% de las empresas desconfiadas y el -7,15% de las escépticas, lo que puede observarse en la tabla 3. No obstante, hemos de señalar con respecto a esta variable que, si bien en el periodo considerado muestra un comportamiento dispar en los diferentes ejercicios, un rango de datos más amplio nos permite generalizar dicho comportamiento en mayor medida (2001-2013).

Tabla 3: Promedio de incremento en ventas.

Fuente: elaboración propia a partir de los estados financieros.

  • Con respecto al indicador roa, calculado en la tabla 4, son las empresas que no utilizan estos sistemas de medición las que arrojan niveles ligeramente superiores a las que sí los utilizan (2,10% frente al 0,88% de las desconfiadas y 1,74% de las comprometidas).

Los peores niveles de roa registrados los primeros años por parte de las empresas comprometidas, en relación con los otros dos grupos, parecen ir en la línea ya apuntada en la revisión de la literatura por Braam y Nijssen (2004), Ittner (2008) y García-Merino et al. (2010). Es decir, se observa la aplicación de los modelos de capital intelectual como una herramienta imprescindible en la obtención de información rápida y fiable para la acertada toma de decisiones en cualquier periodo, también en aquellos que presentan dificultades económicas con reducciones de los márgenes.

Tabla 4: Promedio de la rentabilidad económica (roa).

Fuente: elaboración propia a partir de los estados financieros.

Evolución de la rentabilidad económica (ROA). Fuente: elaboración propia a partir de los estados financieros.

Gráfico 1: Evolución de la rentabilidad económica (ROA). Fuente: elaboración propia a partir de los estados financieros.

Cabe destacar que, a partir del 2011, se observa la inversión de los porcentajes de rentabilidad económica a favor de las empresas comprometidas (gráfico 1), alcanzando una diferencia de al menos cuatro puntos sobre los otros grupos, a pesar de haber registrado tasas negativas durante los tres períodos de crisis anteriores (2008-2011), lo que hace disminuir considerablemente la media del rango 2008-2013. Esta observación se complementa con la evidencia de ser las empresas industriales las que mayores índices de rentabilidad económica han alcanzado para el último rango de datos (2011-2013), según los datos extraídos de la base de datos SABI. El análisis de la muestra de empresas pertenecientes al grupo de comprometidas confirma igualmente que se incorporan a este grupo empresas industriales de los sectores de actividad 1 y 2 (sectores industriales de la clasificación nacional de actividades económicas (CNAE)).

  • En relación con el índice de ice o suma del valor agregado del capital humano y valor agregado del capital estructural, se confirman igualmente resultados más favorables para el grupo de empresas comprometidas con la consecución de sus objetivos estratégicos bajo una perspectiva de largo plazo. Los datos obtenidos en la tabla 5 muestran un ice promedio del periodo de 2,17, frente a 1,46 y 1,61, cifras obtenidas a partir de las tablas 6 y 7, donde los índices de capital humano de los cuatro últimos periodos muestras diferencias importantes.

Tabla 5: Promedio del índice de capital intelectual.

Fuente: elaboración propia a partir de los estados financieros.

Tabla 6: Promedio del índice de capital humano.

Fuente: elaboración propia a partir de los estados financieros.

Si bien los datos expuestos para cada uno de los tres grupos, resultantes del promedio de las empresas de la muestra, indican resultados claramente diferenciados y suficientes para un análisis de expertos, hemos de señalar que estas diferencias entre grupos resultan también significativas desde el punto de vista estadístico, contraste realizado a través de un análisis de la varianza, tal y como puede observarse en las tablas 8 a 11.

Tabla 7: Promedio del índice de capital estructural.

Fuente: elaboración propia a partir de las cuentas anuales incluidas en la base de datos SABI

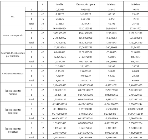
Este análisis para el 2012 revela que existen diferencias estadísticamente significativas entre las medias de los grupos en relación con las siguientes variables: roa (F = 3,033; p < 0,10), beneficio de explotación por empleado (F = 2,934; p < 0,10), índice de capital humano (F = 3,163; p < 0,05), índice de capital estructural (F = 2,796; p < 0,1) e índice de capital intelectual (F = 3,120; p = 0,05).

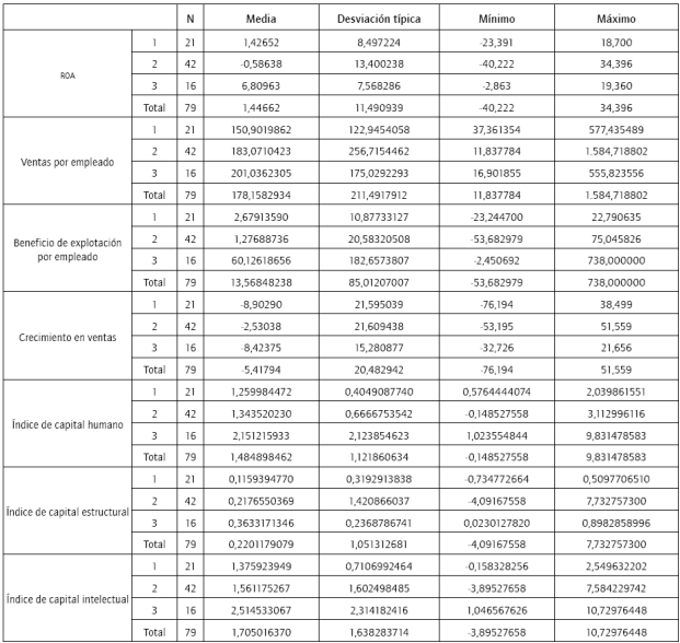
Considerando los datos del 2013, existen diferencias estadísticamente significativas en lo que se refiere a roa (F = 2,492; p < 0,10), beneficio de explotación por empleado (F = 3,179; p < 0,05), índice de capital humano (F = 3,838; p < 0,05) e índice de capital intelectual (F = 2,646; p < 0,10).

Conclusiones

La medición de los recursos intangibles que integran el capital intelectual permite evaluar algunas de las expresiones clave del conocimiento que reside en las organizaciones. El conocimiento, en el entorno actual, parece constituir un factor explicativo para la generación de ventajas competitivas y la creación de valor.

La investigación realizada contribuye a arrojar evidencia sobre la vinculación entre el uso de modelos de capital intelectual y la creación de valor medida a través de los parámetros extraídos de las cuentas anuales que se han mencionado con anterioridad, en la idea de que las empresas con estas herramientas de gestión, enfocadas a la consecución de los objetivos estratégicos, las implantan como guías de aprendizaje capaces de generar conocimiento e innovación, principales fuentes de riqueza en nuestros días.

De estas observaciones, correspondientes al periodo 2008-2013, se puede concluir que las empresas con mayores niveles de uso e implantación de indicadores de capital intelectual presentan mejores índices de creación de valor en: productividad (en sus dos expresiones mencionadas), incremento en ventas e ICE. Con respecto a la variable referida a la rentabilidad económica, se debe señalar igualmente que, si bien el promedio del periodo es inferior al grupo de escépticas, se detectan índices claramente superiores durante los dos últimos ejercicios, lo que puede apuntar hacia un repunte y consolidación de su posición de ventaja también para esta variable.

Tabla 8: Descriptivos (2012).

Fuente: elaboración propia.

Aunque no hemos incluido en el presente estudio la denominación social y sector al que pertenecen las empresas analizadas, sí ha sido útil esta información, recabada a través del cuestionario, para realizar un análisis individualizado de las empresas de la muestra que han permanecido durante el periodo objeto de análisis en su grupo inicial. Esta información nos permite señalar que aquellas pertenecientes a sectores industriales maduros, pero con innovación constante (auto-moción, componentes, máquina herramienta, industria alimentaria, recuperación de residuos, etc.) alcanzan mayores índices de creación de valor sostenidos en el tiempo, con caídas puntuales (2008/2010) pero con repuntes finales (2011/2013), y globalmente positivos, en cuanto a incremento en ventas, productividad y eficiencia en capital intelectual. Estas son empresas a las que, en general, no les ha guiado la especulación ni se han volcado en el corto plazo, sino que han priorizado generar conocimiento e innovación como estrategia para sobrevivir, y se han servido tanto de la tecnología (activo no siempre específico), como de instrumentos de gestión que favorecen la transformación de conocimiento individual en organizativo, así como han obtenido mejores resultados bajo una perspectiva de largo plazo.

Tabla 9: Descriptivos (2013).

Fuente: elaboración propia.

Puntualmente, determinados indicadores, como la rentabilidad económica en los años de plena crisis, eran notablemente superiores para las empresas escépticas y desconfiadas, donde se incluye un elevado porcentaje del sector construcción, materiales de construcción, publicidad, transporte, empresas con escasas herramientas para la medición y control de la calidad, los tiempos, la formación, la flexibilidad, la seguridad, la satisfacción, la motivación, la innovación, etc. El seguimiento y evolución de sus variables nos señalan problemas actuales.

Es preciso señalar también como aportación del trabajo, en lo que se refiere al análisis económico-financiero, que se ha incorporado el ICE y sus componentes, además de incluir en el estudio las medidas de creación de valor tradicional-mente consideradas, lo que resulta novedoso y abunda en el análisis explicativo.

Siguiendo con la línea de investigación planteada en este artículo, se sugieren diferentes alternativas que podrían ser abordadas en futuros trabajos. En este sentido creemos valioso realizar réplicas al presente estudio, mediante muestras más amplias y de entornos diferentes. Por otro lado, y empleando estudios de casos, se podría profundizar en el proceso de implantación de estos modelos y en las claves de su éxito o fracaso. Finalmente, otra interesante línea de investigación futura, que se desprende de las observaciones de este estudio, es la relativa al examen de la existencia de un posible vínculo entre el sector de actividad al que pertenezca la muestra de empresas y el grado de compromiso en la implantación de los modelos de capital intelectual, de forma que lleguemos a una mejor comprensión de los factores determinantes en esta relación.

Tabla 10: ANOVA (2012).

Fuente: elaboración propia.

TABLA 11: ANOVA (2013).

Fuente: elaboración propia.

Referencias bibliográficas

  1. Al-Twaijry, A. (2009). Intangible assets and future growth: evidence from Japan. Asian Review of Accounting, 17(1), 23-39. 🠔
  2. Amat, O., Antón, M., & García, M. J. (2013). Factors that determine the evolution of high-growth businesses. Intangible Capital, 9(2), 379-391. 🠔
  3. Appuhami, B. A. R. (2007). The usefulness of intellectual capital on investors' capital gains on shares: an empirical investigation of Thai banking, finance & insurance sector. International Management Review, 3(2), 14-25. 🠔
  4. Axtle-Ortiz, M. A. (2013). Perceiving the value of intangible assets in context. Journal of Business Research, 66, 417-424. 🠔
  5. Bollen, L., Vergauwen, P., & Schnieders, S. (2005). Linking intellectual capital and intellectual property to company performance. Management Decision, 43(9), 1161-1185. 🠔
  6. Bontis, N., & Fitzenz, J. (2002). Intellectual capital roi: a causal map of human capital antecedents and consequents. Journal of Intellectual Capital, 3(3), 223-247. 🠔
  7. Bontis, N., Chong, W. C., & Richardson, S. (2000). Intellectual capital and business performance in Malaysian industries. Journal of Intellectual Capital, 1(1), 85-100. 🠔
  8. Braam, G., & Nijssen, E. (2004). Performance effects of using the balanced scorecard: the Dutch experience. Longe Range Planning, 37, 335-349. 🠔
  9. Brooking, A. (1996). Intellectual capital. Core asset for the third millennium enterprise. Londres: International Thomson Business Press. 🠔
  10. Bueno, E., Salmador, M. P., & Rodríguez, O. (2004). The role of social capital in today's economy: empirical evidence and proposal of a new model of intellectual capital. Journal of Intellectual Capital, 5(4), 556-574. 🠔
  11. Carlucci, D., Marr, B., & Schiuma, C. (2004). The knowledge value chain: how intellectual capital impacts on business performance. International Journal of Technology Management, 27(6/7), 575-590. 🠔
  12. Chen, C. P. (2005). Intellectual capital performance of commercial banks in Malaysia. Journal of Intellectual Capital, 6(3), 385-396. 🠔
  13. Chen, M., Cheng, S., & Hwang, Y. (2005). An empirical investigation of the relationship between intellectual capital and firm's market value and financial performance. Journal of Intellectual Capital, 6(2), 159-176. 🠔
  14. Chong, C. W., Chong, S. C., & y Can, C. C. (2011). The km processes in Malaysian smes: an empirical validation. Knowledge management research & practice, 9, 185-196. 🠔
  15. Cleary, P. (2009). Exploring the relationship between management accounting and structural capital in a knowledge-intensive sector. Journal of Intellectual Capital, 10(1), 37-52. 🠔
  16. Cohen, S., & Kaimenakis, N. (2007). Intellectual capital and corporate performance in knowledge-intensive SMES. The Learning Organization, 14(3), 241-262. 🠔
  17. Duarte-Atoche, T., Pérez López, J. A., & Camúñez-Ruiz, J. A. (2012). La relevancia de los gastos de i+d. Estudio empírico en el sector del automóvil. Revista de Contabilidad, 75(2), 257-286. 🠔
  18. Edvinsson, L., & Malone, M. S. (1997). Intellectual capital. Realizing your company's true value by findings its hidden brainpower. Nueva York: Harper Collins. 🠔
  19. Ferreira, A., & Otley, D. (2009). The design and use of performance management systems: An extended framework for analysis. Management Accounting Research, 20, 263-282. 🠔
  20. Firer, S., & Williams, S. M. (2003). Intellectual capital and traditional measures of corporate performance. Journal of Intellectual Capital, 4(3), 348-360. 🠔
  21. García-Merino, J. D., Arregui-Ayastuy, G., Rodríguez-Castellanos, A. y García-Zambrano, L. (2010). The intangibles' mindset of cfos' and corporate performance. Knowledge management research & practice, 8, 340-350. 🠔
  22. García-Zambrano, L., García-Merino, J. D., & Rodríguez-Castellanos, A. (2012). Impacto de la Inversión en Capital Humano sobre el Valor Empresarial. Academia, Revista Latinoamericana de Administración, 51, 15-26. 🠔
  23. Hawajreh K. M. (2013). The Impact of Structural Capital on Business Performance in Jordanian Pharmaceutical Manufacturing Companies. European Journal of Business and Management, 5(10),177-189. 🠔
  24. Huang, C. J., & Liu, C.J. (2005). Exploration for the relationship between innovation, IT and performance. Journal of Intellectual Capital, 6(2), 237-252. 🠔
  25. Huselid, M. (1995). The impact of human resource management practices on turnover, productivity and corporate financial performance. Academy of Management Journal, 38(3), 635-672. 🠔
  26. lazzolino, G., & Laise, D. (2013). Value Added Intellectual Coefficient (vaic). A methodological and critical review. Journal of Intellectual Capital, 14(4), 547-563. 🠔
  27. [IFAC] International Federation of Accountants (1998). The measurement and management of intellectual capital: an introduction. New York: ifac. 🠔
  28. Ittner, C. (2008). Does measuring intangibles for management purposes improve performance? A review of the evidence. Accounting and Business Research, 38(3), 261-272 🠔
  29. Ittner, C., Larcker, D., & Randall, T. (2003). Performance implications of strategic performance measurement in financial services firms. Accounting, Organizations and Society, 28, 715-741. 🠔
  30. Jardón, C. M., & Martos, M.S. (2009). Intellectual capital and performance in wood industries of Argentina. Journal of Intellectual Capital, 10(4), 600-616. 🠔
  31. Johanson, U., Martensson, M., & Skoog, M. (2001). Mobilizing change through the management control of intangibles. Accounting, Organizations and Society, 26, 715-733. 🠔
  32. Kamath, G. B. (2008). Intellectual capital and corporate performance in Indian pharmaceutical industry. Journal of Intellectual Capital, 9(4), 684-704. 🠔
  33. Kamukama, N., Ahiauzu, A., & Ntayi, J. M. (2010). Intellectual capital and performance: testing interaction effects. Journal of Intellectual Capital, 11(4), 554-574. 🠔
  34. Komnenic, B., & Pokrajcic, D. (2012). Intellectual capital and corporate performance of MNCs in Serbia. Journal of Intellectual Capital, 13(1), 106-119. 🠔
  35. Kujansivu, P., & Lónnqvist, A. (2007). How do investments in intellectual capital create profits?. International Journal of Learning and Intellectual Capital, 4(3), 256-275. 🠔
  36. Lev, B., & Radhakrishnan, S. (2003). The measurement of firm-specific organization capital. Working Paper 9581. Cambridge, MA. Recuperado el 4 de febrero de 2015, desde: Recuperado el 4 de febrero de 2015, desde: http://www.nber.org/ papers/w9581 [URL] 🠔
  37. Ling, Y-H. (2013). The influence of intellectual capital on organizational performance. Knowledge management as moderator. Asia Pacific Journal of Management, 30 (3), 937-964. 🠔
  38. Liu, D. Y., Tseng, K. A., & Yen, S. W. (2009). The incremental impact of intellectual capital on value creation. Journal of Intellectual Capital, 10(2), 260-276. 🠔
  39. Maditinos, D., Chatzoudes, D., Tsairidis, Ch., & Theriou, G. (2011). The impact of intellectual capital on firm's market value and financial performance. Journal of Intellectual Capital, 12(1), 132-151. 🠔
  40. Nazari, A. J., & Herremans, M.I. (2007). Extended vaic model: measuring intellectual capital components. Journal of Intellectual Capital, 8(4), 595-609. 🠔
  41. Ng, W. A. (2006). Reporting intellectual capital flow in technology-based companies: Case studies of Canadian wireless technology companies. Journal of Intellectual Capital, 7(4), 492-510. 🠔
  42. Nimtrakoon, S. (2015). The relationship between intellectual capital, firms' market value and financial performance. Journal of Intellectual Capital, 16 (3), 587-618. 🠔
  43. Nold, H. A. (2012). Linking knowledge processes with firm performance: organizational culture. Journal of Intellectual Capital, 13(1), 16-38. 🠔
  44. Ochoa, M. L., Prieto, B., & Santidrián, A. (2010). Análisis exploratorio de la implantación y uso de los sistemas de información sobre el capital intelectual en empresas castellano-leonesas: evidencia empírica e ideas para la reflexión. Revista Española de Financiación y Contabilidad, 39(145), 109-148. 🠔
  45. O'Sullivan, D., & McCallig, J. (2012). Customer satisfaction, earnings and firm value. European Journal of Marketing, 46(6), 827-843. 🠔
  46. Pérez-Méndez, J. A., & Machado-Cabezas, A. (2015). Relationship between management information systems and corporate performance. Revista de Contabilidad - Spanish Accounting Review, 78(1), 32-43. 🠔
  47. Phusavat, K., Comepa, N., Sitko-Lutek, A., & Ooi, K. (2011). Interrelationships between intellectual capital and performance: empirical examination. Industrial Management & Data Systems, 3(6), 810-829. 🠔
  48. Pucci, T., Simoni, C. & Zanni, L. (2015). Measuring the relationship between marketing assets, intellectual capital and firm performance. Journal of Management and Governance, 79(3), 589-616. 🠔
  49. Pulic, A. (2000). vaic™ -an accounting tool for ic management. International Journal of Technology Management, 20(5-8), 702-714. 🠔
  50. Roos, J., Roos, C., Dragonetti, N., & Edvinsson, L. (2001). Capital intelectual. Buenos Aires: Paidós. 🠔
  51. Scafarto, V., Ricci, F. & Scafarto, F. (2016). Intellectual capital and firm performance in the global agribusiness industry. The moderating role of human capital. Journal of Intellectual Capital, 17 (3), 530-552. 🠔
  52. Sharabati, A. A., Jawad, S. N., & Bontis, N. (2010). Intellectual capital and business performance in the pharmaceutical sector of Jordan. Management Decision, 48(1), 105-131. 🠔
  53. Shiu, H. (2006). The application of the value added intellectual coefficient to measure corporate performance: evidence from technological firms. International Journal of Management, 23(2), 356-364. 🠔
  54. St-Pierre, J., & Audet, J. (2011). Intangible assets and performance. Journal of Intellectual Capital, 72(2), 202-223. 🠔
  55. Suraj, O. A., & Bontis, N. (2012). Managing intellectual capital in Nigerian telecommunications companies. Journal of Intellectual Capital, 73(2), 262-282. 🠔
  56. Sveiby, K. E. (1997). The new organizational wealth. Managing and measuring knowledge-based assets. San Francisco: Berrett-Koehler. 🠔
  57. Tan, H. P., Plowman, D., & Hancock, P. (2007). Intellectual capital and financial returns of companies. Journal of Intellectual Capital, 8(1), 76-95. 🠔
  58. Tayles, M., Pike, R. H., & Sofian, S. (2007). Intellectual capital, management accounting practices and corporate performance. Accounting, Auditing & Accountability Journal, 20(4), 522-548. 🠔
  59. Tseng, C., & Coo, J. (2005). Intellectual capital and corporate value in an emerging economy: empirical study of Taiwanese manufacturers. R&D Management, 35(2), 187-201. 🠔
  60. Valladares, L. E., & Cuello de Oro, D. J. (2007). Evaluating the scope of Intellectual Capital in firms' value. Journal of Intellectual Capital,8(3), 470-493. 🠔
  61. Vishnu, S., & Cupta, V. K. (2014). Intellectual capital and performance of pharmaceutical firms in India. Journal of Intellectual Capital, 75(1), 83-99. 🠔
  62. Wah, S. K., Chang, K. H., & Wu, W. Y. (2011). Charting intellectual capital performance of the gateway to China. Journal of Intellectual Capital, 72(2), 249-276. 🠔
  63. Wang, W., & Chang, C. (2005). Intellectual capital and performance in causal models. Evidence from the information technology industry in Taiwan. Journal of Intellectual Capital, 6(2), 222-236. 🠔
  64. Welbourne, T. M., & Pardo del Val, M. (2009). Relational capital: strategic advantage for small and medium-size enterprises (SMEs) through negotiation and collaboration. Group Decision and Negociation, 78, 483-497. 🠔
  65. Widener, S. K. (2006). Associations between strategic resource importance and performance measure use: the impact on firm performance. Management Accounting Research, 77, 433-457. 🠔
  66. Wu, Y-C. J., & Chou, Y. H. (2009). A new look at logistics business performance: intellectual capital perspective. The International Journal of Logistics Management, 78(1), 41-63. 🠔
  67. Youndt, M. A., Subramaniam, M., & Snell, S. A. (2004). Intellectual capital profiles: an examination of investments and returns. Journal of Management Studies, 47 (2), 335-361. 🠔
  68. Zeglat, D. & Zigan. K. (2014). Intellectual capital and its impact on business performance: evidences from the Jordanian hotel industry. Tourism and Hospitality Research, 73(2), 83-100 🠔
*El artículo proviene del proyecto de investigación BU016A07 de M. Begoña Prieto Moreno, cuyo título era "Análisis de los modelos de capital intelectual en las empresas de Castilla y León y su impacto en los resultados económicos-financieros de las cuentas anuales. Evaluación global ex-post (2010) de la Agencia para la Calidad del Sistema Universitario de Castilla y León: 79 sobre 100". El proyecto fue financiado por la Consejería de Educación de la Junta de Castilla y León.
citación: Azofra Palenzuela, V., Ochoa Hernández, M. L., & Prieto Moreno, B. (2017). Creando valor mediante la aplicación de modelos de capital intelectual. Innovar, 27(65), 25-38. doi: 10.15446/innovar.v27 n65.64887.
clasificación jel: M10, M41, 034.
Las empresas comprometidas son las que presentan mayor intensidad en la medición del capital intelectual y se interesan por su divulgación, lo que es materializado en algún tipo de informe. Las empresas desconfiadas utilizan indicadores para medir diferentes elementos del capital intelectual, pero menos intensamente que las comprometidas, y no son proclives a la divulgación de información. Las empresas escépticas no tienen interés por el capital intelectual. La descripción detallada de los criterios de clasificación puede consultarse en Ochoa, Prieto y Santidrián (2010).
Se han tomado dos periodos anteriores a la obtención de los datos del primer cuestionario, lo que permitió clasificar las empresas, por tratarse del rango temporal mínimo de permanencia en el grupo asignado.