Innovar
0121-5051
Facultad de Ciencias Económicas. Universidad Nacional de Colombia.
https://doi.org/10.15446/innovar.v29n72.77932

Recibido: de mayo de 2017; Aceptado: de abril de 2018

La adopción de las tic en restaurantes de Puerto Nuevo, Rosarito, Baja California*

ICT ADOPTION IN RESTAURANTS IN PUERTO NUEVO, ROSARITO, BAJA CALIFORNIA

A ADOÇÃO DAS TIC EM RESTAURANTES DE PUERTO NUEVO, ROSARITO, BAJA CALIFORNIA

L'ADOPTION DES TIC DANS LES RESTAURANTS DE PUERTO NUEVO, ROSARITO, BAJA CALIFORNIA

I. Cruz Estrada, 1**A. Miranda Zavala, 2

Ph. D. en Planeación Estratégica para la Mejora del Desempeño Profesor investigador de tiempo completo, Universidad Autónoma de Baja California Tijuana, México Cuerpo Académico Desarrollo Turístico Rol del autor: conceptual y comunicativo icruz@uabc.edu.mx https://orcid.org/0000-0002-7673-0195 Universidad Autónoma de Baja California Universidad Autónoma de Baja California Tijuana Mexico
Ph. D. Ciencias Administrativas y Negocios Internacionales Profesora de tiempo completo, Universidad Autónoma de Baja California Tijuana, México Cuerpo Académico Desarrollo Turístico Rol de la autora: conceptual y experimental amiranda@uabc.edu.mx https://orcid.org/0000-0001-6796-2309 Universidad Autónoma de Baja California Universidad Autónoma de Baja California Tijuana Mexico

DIRECCIÓN DE CORRESPONDENCIA: Isaac Cruz Estrada. Privada Cedro, Número 16082 -Interior 54. Residencial Buenaventura. Vía rápida Alamar Oriente. Colonia Alamar. Tijuana, México.

RESUMEN

El objetivo de la investigación es analizar la adopción de las Tecnologías de la Información y la Comunicación (TIC) en restaurantes de Puerto Nuevo, Rosarito, Baja California. La investigación inicia con la revisión de literatura, seguido de la aplicación de un cuestionario a 23 administradores de restaurantes registrados ante el Comité de Turismo y Convenciones (Cotuco) de Rosarito. Dentro de las consideraciones para aplicar el instrumento, al menos debería utilizar uno de los siguientes tres elementos tecnológicos en la operación del negocio: red social, sitio de Internet o correo electrónico. Los resultados obtenidos muestran un índice de adopción alto de las tic en la administración del negocio, y un índice de adopción medio en el empleo de e-marketing y en la administración de las relaciones con los clientes; aunado a lo anterior, se encontró una correlación entre las variables analizadas. De esta manera, es necesario incrementar la adopción de las tic en los restaurantes, con el fin de desarrollar la competitividad del destino ante otras opciones que pueda llegar a tener el visitante, además de buscar la implementación de las nuevas tecnologías en función de satisfacer y facilitar los servicios que requieren los consumidores.

PALABRAS CLAVE:

competitividad, innovación, restaurantes, tic, turismo.

ABSTRACT

The objective of the research is to analyze the adoption of Information and Communication Technologies (ICT) in restaurants in Puerto Nuevo, Rosarito, Baja California. The research begins by reviewing the literature, followed by the application of a survey to 23 restaurant managers registered in the Tourism and Convention Committee of Rosarito. To apply the survey, companies should use one of the following three technological elements in the operation of the business: social network, Internet site or email. The results obtained show a high adoption rate of ICT in business administration, as well as an average index in the use of e-marketing and in the management of customer relations; In addition to the above, a correlation was found between the variables. In this way, it is necessary to increase the adoption of ICT in restaurants, to develop the competitiveness of the destination to other options that the visitor may have, in addition to seeking the implementation of new technologies to meet and facilitate the services that require the consumers.

KEYWORDS:

Competitiveness, innovation, restaurants, ICT, tourism.

RESUMO

O objetivo da pesquisa é analisar a adoção das Tecnologias da Informação e da Comunicação (TIC) em restaurantes de Puerto Nuevo, Rosarito, Baja California. A pesquisa inicia mediante a revisão de literatura, para encontrar as vantagens e os elementos associados que permitem que as tecnologias sejam aproveitadas para aumentar a competitividade das organizações e do destino turístico. Dessa maneira, aplicou-se um questionário a 23 restaurantes registrados no Comitê de Turismo e Convenções (Cotuco) de Rosarito. Dentro das considerações para aplicar o instrumento, destaca-se aquela na qual, pelo menos, deveria ser utilizado um dos seguintes três elementos tecnológicos na operação: rede social, site de Internet ou e-mail. Os resultados obtidos mostram um índice de adoção alto das TIC na administração do negócio, e um índice de adoção médio no emprego de e-marketing e na administração das relações com os clientes; além do exposto, encontrou-se uma correlação entre as variáveis analisadas. Com base na revisão da literatura e nos resultados das pesquisas, é necessário aumentar a adoção das TIC nos restaurantes, com o objetivo de desenvolver a competitividade do destino diante de outras opções que o turista ou visitante possam chegar a ter, além de procurar a implementação das novas tecnologias para satisfazer e facilitar os serviços requeridos pelos consumidores.

PALAVRAS-CHAVE:

competitividade, inovação, restaurantes, TIC, turismo.

RÉSUMÉ

L'objectif de la recherche est d'analyser l'adoption des technologies de l'information et de la communication (TIC) dans les restaurants de Puerto Nuevo, Rosarito, Baja California. La recherche commence par une revue de la littérature afin de déterminer les avantages et les éléments associés permettant d'utiliser les technologies pour accroître la compétitivité des organisations et de la destination touristique. De cette façon, on a appliqué un questionnaire à 23 restaurants inscrits auprès du Comité de tourisme et des congrès (Cotuco) de Rosarito. Parmi les considérations à prendre en compte lors de l'application de l'instrument, il convient de citer l'utilisation d'au moins un des trois éléments technologiques suivants dans l'opération : réseau social, site Internet ou courrier électronique. Les résultats obtenus montrent un indice de forte adoption des TIC dans l'administration des entreprises et un taux moyen d'adoption dans l'utilisation du marketing électronique et dans la gestion de la relation client. En plus de ce qui précède, on a trouvé une corrélation entre les variables analysées. Sur la base de la revue de la littérature et des résultats des enquêtes, il est nécessaire d'intensifier l'adoption des TIC dans les restaurants, afin de développer la compétitivité de la destination par rapport aux autres options que le touriste ou le visiteur peut avoir, en plus de rechercher la mise en œuvre de nouvelles technologies afin de satisfaire et de faciliter les services dont les consommateurs ont besoin.

MOTS-CLÉ :

compétitivité, innovation, restaurants, TIC, tourisme.

Introducción

La necesidad de las empresas turísticas para la atracción de visitantes regionales, nacionales y de otras partes del mundo crea la oportunidad de ampliar la infraestructura de las Tecnologías de Información y Comunicación (en adelante, TIC) en las organizaciones, que permita realizar la promoción y comercialización de los atractivos del destino en todo momento, haciendo uso de las herramientas digitales para la difusión de los servicios. A través de este medio, es posible lograr un intercambio de información con los usuarios, que puede añadirse a la estrategia del negocio para el desarrollo de contenido en Internet que logre llegar al mercado objetivo.

Las nuevas tecnologías se han constituido en un componente fundamental para el sector del turismo. Los retos de conectividad y movilidad inteligente hacen posible tener un control más eficiente del tiempo para el desplazamiento y desarrollo de las actividades en el destino (Santillán-Núñez, Velarde-Valdez, & Obombo-Magio, 2015; Medina-Ramírez, 2016; Organización Mundial de Turismo [OMT], 2017). Asimismo, las pymes deben empoderarse de las tic para capitalizar las oportunidades que ofrece el mercado digital, sobre todo en lo relativo a las relaciones con el viajero (OMT, 2017).

De acuerdo con la Secretaría de Turismo de México (Sectur), el uso de las nuevas tecnologías y los procesos de digitalización está impulsando la actividad turística en este país. A través de tecnologías como el big data, es posible determinar políticas públicas con el propósito de satisfacer las necesidades de los turistas y conocer las tendencias y preferencias que se tienen en los destinos del país; por lo tanto, es indispensable llevar a cabo una cruzada de culturalización en la materia de digitalizar las empresas, entre las que se encuentran los hoteles y los restaurantes, ya que el consumidor está cambiando y ahora desea que las organizaciones añadan canales de comunicación para encontrar información de los servicios y productos que ellos desean obtener (Sectur, 2016).

El Gobierno de Baja California (GobBC, 2017) describe Puerto Nuevo como una comunidad restaurantera, con promedio de 30 establecimientos, en los que se puede consumir la langosta como platillo típico regional; se encuentra aproximadamente a 50 km al sur de Tijuana, Baja California, y 22 km de Rosarito, Baja California. Debido a su situación geográfica, este poblado tiene una fuerte competencia con otros destinos turísticos de la región, por lo que es indispensable la implementación de estrategias relacionadas con el mantenimiento de los clientes que visitan la zona, además de la atracción de consumidores que puedan informarse a través de los medios digitales acerca de atractivos que se encuentran en esta comunidad langostera.

Mediante esta investigación, se identifica el índice de adopción de las TIC en la administración del negocio, el e-Marketing y la administración de las relaciones con los clientes en los restaurantes de Puerto Nuevo, Rosarito,

Baja California, además de conocer la relación entre estas variables. Asimismo, se analizan las áreas de oportunidad y los elementos indispensables que deben implementar las empresas para incrementar su competitividad a través de las tecnologías. En la investigación, se aporta información acerca de los beneficios en la difusión, promoción y atracción de los visitantes o turistas a través de la utilización eficiente de las herramientas digitales.

Revisión de literatura

En la actualidad, las empresas buscan ser más competitivas mediante la innovación de sus procesos, con el objetivo de asegurar su existencia, lo que les permite anticiparse a las necesidades del mercado. De acuerdo con Prada (2016), Guadarrama y Rosales (2015) y Padilla-Meléndez y Garrido-Moreno (2012), hay un incremento de poder en los clientes y, debido a la globalización, es más notable la diversificación de los productos que están a disposición de los consumidores a través de las TIC. Bajo este escenario, la expectativa apunta a que los medios digitales se conviertan en un factor importante ante la toma de decisión de los clientes, quienes serán los primeros beneficiados ante la necesidad de innovación de las organizaciones, lo que a su vez las incitará a mejorar el valor del servicio entregado.

Desde hace unos años, el uso de las tecnologías se ha vuelto indispensable en la creación y gestión de un destino turístico, así como en la realización misma del viaje. Este crecimiento parte desde la reservación en los sistemas de las aerolíneas hasta las herramientas utilizadas por los usuarios para la obtención de información acerca de los lugares que desea visitar, y que les permite anticipar su experiencia sobre los atractivos que están a disposición de las personas (Caro, Luque, & Zayas, 2015; Pulido-Fernández & López-Sánchez, 2016).

De esta manera, la implementación de las TIC en la estrategia corporativa del negocio contribuye en la mejora de la calidad del servicio y la satisfacción de los viajeros. A través de Internet, es factible llevar a cabo de forma efectiva la promoción turística sobre las opciones que el viajero puede encontrar en un destino; sin embargo, es necesario analizar y dar seguimiento a las herramientas que se estarán utilizando, que con el tiempo puedan otorgar mejores resultados con base en la experiencia adquirida y, en consecuencia, aumente la confianza e impacto en los usuarios. Asimismo, el administrador de los recursos tecnológicos debe dar continuidad a las actividades que corresponda para el alcance de las metas presupuestadas (Buhalis & Law 2008; Caro et al, 2015).

Cabe destacar que la supervivencia de las empresas turísticas está condicionada a su capacidad de adaptación en el actual entorno dinámico y complejo, por lo que es necesario que las organizaciones logren anticiparse a los cambios. De acuerdo con Rey (2015), Hütt (2012) y Bezerra, Melo y Rocha (2012), esto implica el desarrollo de sistemas de información que faciliten el monitoreo de la competencia, así como difundir e intercambiar información en las diferentes áreas del negocio, que provoque una dinámica proactiva en la toma de decisiones, lo que resulta fundamental para lograr el éxito en el sector turístico.

También es indispensable la inclusión del factor de la innovación tecnológica y comunicación con los clientes como parte de la estrategia competitiva de las empresas, en vista de que contribuyen a la difusión del destino turístico, con la intensión de hacer crecer el interés en el turista o visitante. Además, con el estilo de vida actual, las tic llegan a formar parte de la vida de las personas, facilitando la interconexión entre los usuarios y las organizaciones, lo que flexibiliza el flujo de información para trasmitir el mensaje del negocio con sus consumidores.

Las Tic en el turismo

De alguna manera, el turismo se ha visto vinculado siempre al patrimonio y la cultura de un destino. La Organización de las Naciones Unidas para la Educación, la Ciencia y la Cultura (Unesco) señala que tanto la oferta como la demanda, en esta parte del sector, han evolucionado en las últimas décadas. Entre las razones que explican este aumento, se encuentra el auge de Internet y la promoción mediante organismos que ahora consideran entre sus obligaciones la difusión de los atractivos de los lugares, ante la necesidad de la demanda de los servicios y experiencia que desean tener las personas (Unesco, 2016). El uso de las nuevas tecnologías puede llegar a cambiar la expectativa de las personas: los elementos como las pantallas táctiles; el envío de mensajes basados en geoposicionamiento; el deseo de comentar y buscar referencias mediante las redes sociales, etc., son fenómenos que pueden influir en la reputación de un destino y en la confianza de las personas al momento de planificar su estancia (Caro et al., 2015; Mendes, Augusto, & Gândara, 2013; Martínez-Valerio, 2012).

Asimismo, el turismo se encuentra dentro de las actividades económicas que lideran el comercio electrónico mundial, entre las que se encuentran el servicio de alojamiento, las aerolíneas y las agencias de viajes. Es una realidad que las tic han significado una innovación creciente en la relación de la oferta y la demanda (Sociedad Estatal para la Gestión de la Innovación y las Tecnologías Turísticas [Segittur], 2015), que conduce a la necesidad de adaptarse a la economía digital, tanto para los gestores de destinos del sector público como las empresas privadas, que requieren prepararse para cubrir las necesidades del turista, que siempre se encuentra informado y exige el cumplimiento de sus expectativas de acuerdo con la información encontrada en Internet.

Mediante los resultados de la 28. a Reunión de Trabajo de la OMT, celebrada en Japón, se abordó el impacto de la tecnología en el turismo. Akihiko Tamura, comisario de la Agencia de Turismo Japonesa del Ministerio de Territorio, Infraestructura, Transporte y Turismo de Japón, asegura que dentro del trabajo del organismo se debe buscar la forma de mejorar el nivel de satisfacción de los viajeros con experiencias y actividades diversas durante sus traslados, lo que resulta ser una tarea difícil, pero fundamental. En este sentido, el secretario general de la OMT, Taleb Rifai, señaló que las últimas décadas han estado marcadas por la revolución de los viajes y el auge de las nuevas tecnologías, que cambian las reglas del juego de muchos sectores, entre ellos el turismo, a causa del crecimiento de las herramientas que están a disposición de los viajeros (OMT, 2016).

En concordancia con lo anterior, y con base en estimaciones de la OMT, para el 2030 se tendrán 1.800 millones de turistas internacionales viajando por el mundo, de los que 535 millones visitarán Asia y el Pacífico; esta cifra casi duplica a las llegadas registradas actualmente en esta región. En este marco de crecimiento continuo, la innovación tecnológica se destaca como un factor para potenciar el sector turístico. Los viajes fomentan un intercambio humano directo, a la vez que crean espacios para aprender sobre la importancia de la cultura y la vida de los demás; sin duda, la tecnología ha contribuido notablemente a estos cambios (OMT, 2016; Unesco, 2016).

De acuerdo con un estudio desarrollado por Daries-Ramon, Cristóbal-Fransi, Martín-Fuentes y Mariné-Roig (2015), referente a la adopción del turismo de nieve y montaña en España, destaca que el futuro del turismo, al menos en este país, debe centrarse en nuevas perspectivas en la innovación y el aprovechamiento de los medios digitales, haciendo uso de Internet en todas las dimensiones como elemento fundamental en la promoción y comercialización, dadas las necesidades actuales, para conectar los servicios del destino con los personas. De esta manera, se podrá facilitar la estancia del turista en los lugares que ha decidido visitar.

En el marco del Primer Congreso sobre Destinos Inteligentes, celebrado en Murcia, España, se expuso que este tipo de proyectos es fundamental para el desarrollo sostenible y no solo impulsan al sector turístico, sino a la sociedad en general, ya que el uso de soluciones tecnológicas contribuye de manera efectiva para que las decisiones se tomen sobre una base empírica, con el fin de priorizar las medidas y anticipar los futuros escenarios, algo fundamental para una gestión responsable del turismo y su impacto (OMT, 2017). Asimismo, los destinos inteligentes tienden a centrar sus esfuerzos en satisfacer las necesidades de los turistas, mediante el uso de diversas herramientas (big data, sistemas de realidad virtual, sistemas de realidad aumentada, sistemas de videoguías), que facilitan el entendimiento del comportamiento de las personas durante su estancia (Caro et al, 2015; Castillo-Palacio & Castaño-Molina, 2015).

El desarrollo de destinos inteligentes se basa en la cooperación de los organismos públicos y privados, pero es fundamental contar con la participación y opinión de los protagonistas de esta transformación de los destinos, entre los que se encuentran las grandes multinacionales, el Gobierno, las asociaciones de pymes y emprendedores; todos ellos tienen mucho que decir y aportar a lo que representa el desarrollo del destino turístico inteligente en cada uno de sus ejes: la innovación, la tecnología, la accesibilidad y la sostenibilidad (Segittur, 2015).

En México, la Sectur señala que anteriormente los turistas buscaban y utilizaban información que estaba a disposición en ciertos lugares, con algunos organismos que ofrecían este servicio, además de las agencias de viajes, que mostraban libros y folletos desarrollados por los promotores de los mismos destinos turísticos. Esto ocasionaba que la demanda de los viajes se focalizara en los paquetes de viajes clásicos programados por los operadores de la ciudad, con itinerarios fijos, baja comunicación y limitada retroalimentación (Sectur, 2014). Esta situación generaba un acceso restringido a todo lo que podían llegar a encontrar las personas, con un flujo de datos estáticos y un turista pasivo en la localización, recomendación y valoración de la experiencia; asimismo, la recomendación del lugar a viajar surgía a partir de los comentarios positivos de personas cercanas al círculo familiar y de amistad.

Por otra parte, con base en el Instituto Nacional de Estadística y Geografía (Inegi), en el 2014 el 44,4% de la población en México de seis años o más se declaró usuaria de Internet, lo que confirma el nivel de adopción de esta tecnología en el país y la oportunidad de abrir un canal entre las empresas y los usuarios. Además, en los estados de Nuevo León, el Distrito Federal y Baja California, cinco de cada 10 hogares manifestaron tener acceso a esta herramienta (Inegi, 2015). Los medios convencionales de comunicación como la televisión, la radio y la prensa escrita han cambiado, al punto de tener una transformación total para ofrecer sus servicios a través de los medios digitales.

La información es un elemento esencial para el turismo, motivo por el cual la tecnología se vuelve fundamental para que el sector logre desarrollar sus actividades. A diferencia de otros bienes duraderos, no es posible examinar físicamente los servicios antes de lograr comprarlos; por lo general, esto se adquiere con anticipación y lejos del lugar de consumo (Sectur, 2013; OMT, 2015). Es necesario estar en constante comunicación con las personas, para conocer las motivaciones, necesidades y deseos de los usuarios, con el fin de trasladarlos y conectarlos con el producto que disfrutarán durante su estancia, además de tener un canal de retroalimentación sobre las experiencias y reacciones obtenidas una vez terminado su viaje (Coromoto-Paredes & Coromoto-Morillo, 2016; Zamora, Castro, & Marín, 2013).

En lo que corresponde al comercio electrónico, las cifras de gasto en México han aumentado significativamente, con base en datos de la Asociación Mexicana de Internet (Amipci), en la gráfica 1 se muestra cómo se ha comportado este factor desde el 2009; en el periodo 2013-2014 obtuvo un incremento de 34%, mientras que en el periodo 2014-2015 este fenómeno creció un 59% (Amipci, 2016), cuya tendencia continúa en este sentido. La Sectur (2013) estimó que para el 2016 la economía en Internet en el mundo debió alcanzar los 4.200 millones de dólares y, para el mismo periodo, se llegaría a los 3.000 millones de usuarios en todo el mundo.

Los datos que se exponen en la gráfica 1 muestran el avance que ha tenido la forma en el que las personas acostumbran a realizar, de forma confiada, alguna transacción mediante Internet. Esto provoca que las organizaciones añadan servicios a disposición de los clientes, que facilitan el acceso a los consumidores para confirmar o asegurar la compra de un servicio o producto.

Gasto progresivo de comercio electrónico en México.

Gráfica 1: Gasto progresivo de comercio electrónico en México.

Fuente: elaboración propia con base en Amipci (2016).

De esta manera, un estudio realizado por Amipci (2014) sobre marketing digital y social media asegura que el 92,6% de los encuestados indica que han visto publicidad de Internet; asimismo, las principales actividades que realizan las personas se presentan en el siguiente orden: el uso de redes sociales; correo electrónico; navegación en sitios corporativos; consulta de noticias; mensajería instantánea; uso de apps mediante teléfonos inteligentes, y escuchar música en línea. Adicionalmente, el 55,7% ha visto anuncios relacionados con boletos de avión y 32,8%, sobre reservaciones de hotel.

De esta manera, las empresas turísticas que desean incrementar la compra de sus servicios y reservaciones mediante Internet deben trabajar en hacer cada vez más confiables los medios que han puesto a disposición de los clientes. En la gráfica 2, se presentan los resultados del estudio de la Amipci, en el que el 91% de los encuestados asegura que incrementarían sus compras con empresas minoristas, siempre y cuando los métodos de pago sean seguros, lo que en consecuencia implica la captación de las personas que acostumbran adquirir los servicios por este medio (Amipci, 2016). En la misma gráfica, cabe destacar el servicio al cliente mediante chat en línea, con 74%, y las redes sociales, con 71%, que se ha convertido en un medio para informar a los consumidores y dar seguimiento a la compra realizada por las personas que utilizan estas herramientas.

Factores que contribuyen en los clientes para incrementar sus compras en empresas minoristas.

Gráfica 2: Factores que contribuyen en los clientes para incrementar sus compras en empresas minoristas.

Fuente: elaboración con base en Amipci (2016).

Sin duda, la revolución de las TIC incide en forma sustantiva en el sector turístico, en el que se observa una veloz difusión de todo un sistema de estas tecnologías, cuya influencia afecta a todas las partes, ya que representa la digitalización de los procesos y actividades, entre los que se encuentran estratégicamente el servicio de viajes, la hotelería y los restaurantes. El turismo electrónico, por lo tanto, acarrea una transformación de todos los procesos comerciales, la cadena de valor y las relaciones de las empresas turísticas con sus seguidores (Sectur, 2013).

Por su parte, los turistas buscan y utilizan información con mayor frecuencia en los servicios digitales disponibles, como el sitio web, aplicaciones de todo tipo y las comunidades creadas en las redes sociales, que contribuyen a que la demanda de viajes se encuentre diversificada en lo que respecta a hospedaje, actividades de recreación e, incluso, las opciones gastronómicas, que cuentan con horarios flexibles y personalizados, además de existir un alto nivel de retroalimentación mediante las aplicaciones destinadas para esta actividad (Sectur, 2014). En muchas ocasiones, la elección del lugar para el próximo viaje obedece a recomendaciones y comentarios, que pueden verse reflejados en la información gestionada mediante la tecnología big data y, algunas veces, en los grupos de redes sociales que acostumbran utilizar los turistas (Lichtle & Sánchez, 2014).

Las Tic en las empresas turísticas

El nivel de desarrollo de las TIC hace referencia al grado en que la empresa adopta las tecnologías, y es considerado como un indicador al momento de encontrar mejores formas para ofrecer un servicio superior al de la competencia. Así, alinear los sistemas con los proveedores y los clientes definirá el grado de compatibilidad de acuerdo con las necesidades encontradas (Caro, Leyva, & Vela, 2011; Moliner, Fuentes, & Gil, 2014). Por esta razón, es necesario estar en constante investigación, con el propósito de determinar las oportunidades que faciliten la distribución de información y productos turísticos mediante Internet, relacionados con mecanismos de la difusión, la promoción, la comercialización y demás estrategias implementadas en las organizaciones.

Las tic en la operación administrativa de las empresas pueden concentrarse en sistemas de gestión interna y colaboración con proveedores; distribución de sus servicios; uso de correo electrónico como medio de comunicación; herramientas de reservaciones y confirmación de compra, etc. Además, pueden contar con equipo de cómputo indispensable para el funcionamiento de los sistemas de venta y expedición de los comprobantes solicitados por los clientes (Caro et al, 2011; Moliner et al, 2014). Sumado a lo anterior, en algunos destinos se implementan nuevas tecnologías que traen consigo modernos sistemas globales de distribución (CDS, por las siglas de Global Distribution System), que requieren de inmensas bases de datos, redes, ingeniería de software, herramientas de información geográfica, modelado 3D, entre otros, para su funcionamiento (Caro et al, 2015).

De esta manera, en lo que corresponde al e-marketing en las empresas turísticas, en la medida en que Internet ha ganado mayor presencia el turista ha adoptado el papel de productor de contenidos, subiendo imágenes, videos y comentarios de viaje en Facebook, Instagram, Twitter, You-Tube; incluso, se encarga de hacer recomendaciones de los lugares que visita y del servicio recibido (Andrade, 2016). Esto ha conducido a utilizar la tecnología como una herramienta para eliminar las distancias, ya que la información que ahí se encuentra puede ser compartida en todo el mundo. Algunas herramientas que se pueden destacar son las páginas web, aplicaciones móviles, foros, redes sociales, correo electrónico, entre otras, que mediante un proceso definido pueden generar valor en la organización, logrando satisfacción, confianza, compromiso, lealtad y comunicación eficiente con los visitantes o turistas (Moliner et al, 2014; Andrade, 2016; Schmal & Olave, 2014; Montoya & Boyero, 2013).

De acuerdo con los resultados del estudio de la Amipci (2014) sobre marketing digital y social media en México, el 99,3% de los encuestados asegura estar inscrito en alguna red social; el 98,3% tiene una cuenta en Facebook; el 80,3%, en YouTube; el 62,6%, en Instagram; el 45%, en Foursquare, y el 38,1%, en Pinterest. Estos medios se destacan, en particular, por su flexibilidad y oportunidad para las empresas turísticas de comunicar la oferta del negocio a los clientes, destacando que el 46,6% de las personas ha comprado algo después de ver publicidad de algún producto o servicio en Internet.

En este sentido, la promoción de un destino turístico debe tener los siguientes propósitos: informar, persuadir, inducir, recordar, comunicar y sensibilizar a los clientes actuales y potenciales, así como atraer y conquistar la fidelidad de los consumidores (Da Cruz & De Camargo, 2008; Marujo, 2012; Álvarez, 2015). Para alcanzar los objetivos indicados por estos autores, es necesario que la promoción turística esté alineada con la planificación de marketing, con el fin de obtener los resultados esperados por los gestores turísticos.

La inclusión de las tic en la estructura empresarial se ha vuelto indispensable e involucra cambios importantes en el ambiente de los negocios. Por esta razón, el comercio minorista no puede ser ajeno, siendo uno de los sectores en donde la aplicación de las tecnologías tiene una importante injerencia, partiendo desde la forma de comunicarse con sus clientes hasta el control que requieren los servicios o mercancías abastecidas. Esto permite tener mayor seguridad al momento de crear la oferta de la empresa para que sea atractiva a sus consumidores (Bocanegra & Vázquez, 2010; Saavedra & Tapia, 2013; Rodríguez, Martínez-Fernández, Juanatey-Boga y Rodríguez-Fernández, 2014).

De acuerdo con esto, Benavides (2012), De Guzmán y Niño (2014), y Farías (2014) señalan que la prioridad en el ambiente actual de los negocios es la retención de los clientes, antes que la búsqueda de nuevos consumidores, ya que esto último resulta cinco veces más caro que mantener al actual. Mediante la mercadotecnia digital, las empresas pueden lograr una cercana relación con el mercado, además de ser un medio para hacer más eficiente el servicio ofertado por el negocio, siempre que las organizaciones asuman el compromiso de resolver las deficiencias en el producto y servicio denunciadas por los usuarios de Internet.

Adicionalmente, hoy en día la mercadotecnia digital se ha convertido en medio esencial para que los pequeños comerciantes puedan ser competitivos en el mercado. La revolución tecnológica conduce a una revolución comercial, al transformar los procesos que hacen uso de estos medios en las pequeñas empresas (Bocanegra & Vázquez, 2010; Caro et al, 2015). Además, el comercio y los sistemas de intercambio electrónico de datos favorecen en mayor medida la operatividad de este tipo de empresas, sobre todo en la generación de acopio y trasmisión de información.

En lo que corresponde al proceso de administración de las relaciones con los clientes, las tic han propiciado el acercamiento que ahora pueden tener las empresas con sus clientes dentro del ámbito turístico, convirtiéndose en una herramienta fundamental y en un aliado para el mantenimiento y la atracción de turistas de los diferentes destinos, quienes reciben los mensajes de promoción con información más precisa sobre las necesidades de los clientes. Esto hace posible que los productos y servicios construidos se desarrollen con base en resultado de un proceso, cuyo objetivo es conocer las necesidades y expectativas de los consumidores (Buhalis & Law, 2008; Andrade, 2016; Peña, Ramírez y Osorio, 2015).

Cabe destacar que el auge y popularidad de las redes sociales ha conducido a las empresas a utilizarlas como estrategia social media dentro del plan de marketing digital, con la finalidad de plantear las metas que deberán alcanzarse, trabajando en la calidad de contenidos y el compromiso con los usuarios con base en la información distribuida, que influye en la credibilidad de la organización en Internet. Asimismo, se debe mantener una actualización periódica que muestre su actividad y ofrecer respuestas inmediatas a las preguntas de los usuarios en la plataforma, además de la flexibilidad de realizar los cambios necesarios, respetando y unificando la imagen corporativa del negocio (Saavedra, Rialp, & Llonch, 2013; Miranda, Cruz, Valle, & Flores, 2015).

De acuerdo con Andrade (2016), las estrategias de marketing digital permiten a la empresa mejorar la relación con los clientes y monitorear la manera en que interactúan con la empresa o marca. Actualmente, el cliente está cada vez más formado e informado de los medios digitales; no se trata únicamente de tener un producto digital, sino también hay que saberlo enfocar para lograr que sea atractivo, para que termine siendo adquirido por las personas y cumpla con las expectativas de los clientes (Valenzuela & Martínez, 2015).

Internet se ha convertido en un elemento fundamental para enlazar los diversos medios empleados por las organizaciones. Figueroa, Hernández, González y Arrieta (2013) aseguran que las TIC deben ser parte integral de las pymes; además, el comercio electrónico es una pieza fundamental para los negocios, en conjunto con la relación que puede lograrse con los consumidores a través de estos medios, ya que esta actividad está ligada a la satisfacción del cliente, la rapidez de acceso a nuevos mercados y los esfuerzos en investigación y desarrollo, que logran hacer más eficiente la labor posventa del negocio.

De este modo, la ventaja competitiva sostenible en el contexto de las pymes, y en especial en las organizaciones turísticas, se explica mediante las capacidades emprendedoras y de marketing, ya que el servicio ofrecido por este tipo de empresas se caracteriza por la intangibilidad y la interactividad, definiendo la intangibilidad como el servicio que no se puede palpar, y la interactividad que requiere del cliente para que se presente u otorgue el servicio (Hernández, Domínguez, & De Ita, 2008; Gutiérrez-Leefmans & Nava-Rogel, 2016).

Además, lo verdaderamente valioso de las empresas turísticas son los intangibles, entre los que se destacan el servicio prestado al consumidor, la relación con intermediarios, la inversión en publicidad, la investigación de mercados y la innovación tecnológica en el servicio al cliente. Estos permiten realizar las operaciones más rápidas en los medios digitales puestos a disposición de los usuarios, para satisfacer la necesidad de informarse o hacer su reservación mediante las plataformas que están disponibles para los usuarios (Hernández et al. 2008; Sectur, 2013).

Por último, en las conclusiones del estudio desarrollado por Miranda et al. (2015), mediante la prueba de correlación, se encontró que las redes sociales tienen una influencia en la decisión de compra de las personas, enfocado particularmente en hoteles de cuatro y cinco estrellas, ubicados en Tijuana, Baja California. Allí, destaca la necesidad de realizar un seguimiento de la estrategia, que permita el incremento de la confianza del cliente, además de respetar las promociones e información publicada en esta página, sumado a la unificación y el mantenimiento de un enlace con el sitio principal del Hotel.

Lo que exponen los autores citados permite plantear el modelo teórico expuesto en la figura 1, en donde se evidencia que la adopción de las TIC para la administración y operación de los restaurantes y el e-marketing influyen en la administración de las relaciones con los clientes, ya que es importante para lograr mantener a los clientes actuales y la atracción de nuevos consumidores mediante esta modalidad, contando con las herramientas necesarias para que este proceso sea más eficiente con base en la experiencia adquirida.

Modelo teórico de adopción de las tic y su relación en la administración de las relaciones con los clientes.

Figura 1: Modelo teórico de adopción de las tic y su relación en la administración de las relaciones con los clientes.

Con base en los autores citados en la figura 1, la adopción de las tecnologías en las empresas turísticas permite el acceso a herramientas que funcionan como un medio para obtener una mejor relación con los consumidores, además de que la aplicación eficiente del e-marketing genera las condiciones en la mejora de la gestión de las relaciones con los clientes. Por lo tanto, esta variable está vinculada con el e-marketing y la adopción de las TIC en las organizaciones, lo que en consecuencia aporta a la competitividad del negocio y contribuye al alcance de los objetivos del plan corporativo del negocio.

Metodología

Esta investigación es de tipo no experimental. Se observa y analiza el fenómeno en su contexto, en las situaciones que actualmente están ocurriendo. En este caso particular, se atrae información que permite analizar el nivel de adopción de las TIC en los restaurantes de la comunidad de Puerto Nuevo, Rosarito, Baja California, México.

En esta comunidad existen en promedio 30 restaurantes, en los que se puede consumir la langosta, que se distingue como platillo típico regional. Se consideró como marco de muestreo 23 restaurantes registrados en el sitio de Internet del Comité de Turismo y Convenciones de Rosarito (Cotuco-Rosarito, 2017). Para seleccionar las empresas en las que se aplicó el instrumento, se tubo como criterio que debían utilizar por los menos uno de los siguientes tres elementos tecnológicos en su operación con proveedores 0 dientes: una red social; un sitio de Internet o el correo electrónico. Esto se hizo con el fin de analizar las organizanizaciones que aporten a los objetivos del estudio, para identificar el nivel de adopción de las TIC de los restaurantes que utilizan las tecnologías.

En la tabla 1 se encuentran las dimensiones que describen la encuesta aplicada a los administradores de las organiza-dones, para conocer el nivel de adopción de las TIC en los restaurantes de Puerto Nuevo, Rosarito, Baja California. Cabe destacar que el instrumento final se construyó mediante la validación de tres profesores de la Universidad Autónoma de Baja California (UABC): uno de ellos, con el perfil, experiencia y relación en el sector turístico; otro ha estado involucrado en proyectos de innovación en turismo, y el tercero cuenta con experiencia, difusión y generación de conocimiento en artículos relacionados con la temática abordada.

Tabla 1: Tabla de dimensiones del instrumento aplicado.

Fuente: elaboración propia.

Las dimensiones presentadas en la tabla 1 tienen como objetivo analizar los medios utilizados para la comunicación con los empleados y proveedores para, de esta manera, conocer la tecnología empleada al interior de la empresa, así como los canales digitales en la comunicación con los consumidores. Asimismo, sirven para identificar los elementos de servicio al cliente que estos negocios consideran importantes ofrecer, conjuntamente con la forma en que implementan la gestión de relaciones con los clientes, y si existen organizaciones que destinen un presupuesto para la inversión en tecnología.

Por otra parte, para el análisis de la confiabilidad del instrumento, en la tabla 2 se presentan los resultados obtenidos mediante el Alfa de Cronbach, con la herramienta estadística SPSS 20, en el que se agruparon las preguntas considerando el planteamiento teórico elaborado en la revisión de literatura, así: 1) TIC en la administración del negocio (correo electrónico, sistema empresa-proveedores, sistema contable, herramienta para gestión de inventario, equipo de cómputo, terminal bancaria, sistema para venta o reservación), con un coeficiente de 0,617; 2) estrategias a través e-marketing (mailing, apps, anuncios en Internet, aparición en páginas de otras organizaciones, servicio de chat), con un coeficiente de 0,545, y 3) las que están asociadas con la administración de las relaciones con el cliente (monitoreo de respuestas de los clientes, Internet para analizar a la competencia, registro de clientes, clasificación, procedimiento para adquisición de información de los visitantes, y tácticas para evaluar la satisfacción), en el que se consiguió un coeficiente de 0,541. Por lo tanto, se tiene una confiabilidad media de acuerdo con las valoraciones realizadas.

Tabla 2: Resultados del análisis de confiabilidad con Alfa de Cronbach.

Fuente: elaboración propia.

Asimismo, se realizó la estimación de índices de adopción de innovaciones por categorías (INAC), mediante el procedimiento que expone Muñoz, Rendón, Aguilar, García y Altamirano (2004). Para la investigación, se contemplaron tres categorías que corresponden a las tecnologías utilizadas mediante los sistemas administrativos en las empresas para su funcionamiento o servicio al cliente, e-marketing y administración de las relaciones con el cliente apoyadas de las herramientas tecnológicas aplicadas en las organizaciones. De acuerdo con estos autores, el índice de adopción es bajo cuando es menor al 30%; se establece medio si está entre 30% y 60%, y si este rebasa el 60%, es alto, que se relaciona con alcanzar el nivel de enfoque estratégico en las empresas.

Las preguntas utilizadas para definir el índice de adopción las TIC en la administración del negocio son las siguientes: el uso del correo electrónico exclusivo para fines corporativos; la utilización de un sistema en la empresa vinculado con los proveedores; contar con un sistema contable para el negocio; la implementación de una herramienta para la gestión del inventario del negocio; la asignación de equipo de cómputo para operación del negocio; la disposición de terminai bancaria, y el servicio de venta o reservación en línea.

Para el índice de adopción en e-marketing se utilizaron las preguntas que corresponde al uso de las redes sociales en las empresas: contar con sitio de Internet; empleo de e-mail marketing; utilización de apps para el negocio; uso de anuncios en Internet; aparición de información del restaurante en páginas de otras organizaciones proveedoras de este servicio, y uso del chat como parte del servicio al cliente.

De esta manera, para el índice de adopción en administración de relaciones con los clientes, se contempló revisar si en las organizaciones implementan un trabajo de monitoreo de las respuestas de los clientes en los medios digitales; la utilización de Internet para analizar a la competencia; la incorporación de un proceso para registro de clientes; la clasificación de estos últimos; si contaban con un procedimiento para adquisición de información de las personas que las visitan, y si realizan tácticas para la evaluación de la satisfacción de los consumidores.

El procedimiento para obtener el índice de Innovación por Categoría (Muñoz et al, 2004) se calcula mediante la expresión 1, en donde se obtendrían los resultados que corresponde a los sistemas administrativos en las empresas para su funcionamiento o servicio al cliente, e-marketing y la administración de las relaciones con los clientes:

Donde IAIC k = índice de adopción de innovación para la categoría k, Innov = Valor del indicador i, en la categoría k, y η = Número total de indicadores en la categroría k

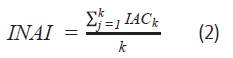
Una vez obtenido el índice por categoría, mediante la suma de los IAIC se construyó el índice de Adopción de Innovaciones (INAI), con base en Muñoz et al, (2004), y se calculó mediante la expresión 2.

Donde INAI = índice de adopción de innovaciones, IAIC k = índice de de desempeño de la categoría k y k = Número total de categrorías.

La ventaja de utilizar este índice es que permite ubicar las categorías en las que el proceso de innovación muestra mayor intensidad; asimismo, se pueden agrupar las organizaciones, atendiendo a diferentes elementos, siendo para este en particular la adopción en los sistemas administrativos para la operación o funcionamiento de la empresa, la adopción del e-marketing y la adopción de la administración de las relaciones con los clientes.

De esta manera, utilizando el programa estadístico SPSS 20, se revisó la correlación bivariada con el coeficiente de Pearson, en lo que corresponde a las tecnologías utilizadas en la administración y operación de la empresa, el e-marketing y la administración de las relaciones con el cliente, con el propósito de conocer la relación entre las variables analizadas.

Por último, mediante la regresión múltiple, al obtener el valor de r, se identifica el total de la varianza que logra ser explicada en la variable dependiente (administración de las relaciones con el cliente), producto de las independientes (tecnologías utilizadas para la administración y operación de las empresas - e-marketing). Además, mediante el coeficiente de determinación es posible conocer el porcentaje de esta relación que se explica en el modelo.

Resultados

Los resultados muestran la adopción de las tecnologías en los restaurantes de Puerto Nuevo, Rosarito, Baja California, encontrándose la necesidad de actualización de los medios utilizados para estar en contacto con los visitantes que acostumbran arribar a esta localidad, ya que las herramientas empleadas son muy básicas. Estas se caracterizan por mostrar información de los productos y servicios que ofrecen, sin un periodo de actualización establecido, salvo algunas excepciones, que se han visto favorecidas al realizar retroalimentación y atención constante a los usuarios. En la mayoría de los negocios existen posiciones estáticas en las herramientas utilizadas, lo que puede generar desconfianza y motivos para que los visitantes decidan buscar otras opciones cercanas al destino turístico, dada la falta de iniciativa de los negocios por brindarlo, lo que puede influir en la decisión de las personas.

De esta manera, en la gráfica 3 se muestra el índice de adopción de las TIC en los restaurantes de Puerto Nuevo, para su operación y servicio al cliente. Allí se muestra que el 96% hace uso de la terminal bancaria para el cobro del consumo; el 83% cuenta con correo electrónico como medio de comunicación con sus proveedores; el 78% tiene equipo de cómputo en servicio para el desarrollo de las operaciones diarias en el restaurante; el 74% utiliza un sistema de comunicación directa con el proveedor, y solamente el 57% de las organizaciones encuestadas ofrece el servicio de reservación o venta mediante las tecnologías utilizadas por los negocios, lo que podría ser de utilidad para seguridad del visitante o turista al planear su estancia en este destino.

Índice de adopción de las TIC en los sistemas administrativos y servicio al cliente.

Gráfica 3: Índice de adopción de las TIC en los sistemas administrativos y servicio al cliente.

Fuente: elaboración propia.

Los resultados encontrados permiten identificar que, al menos en lo que corresponde a la operación del negocio, las empresas cuentan con la mayoría de los requerimientos básicos que les permite ofrecer su servicio. Las áreas de oportunidad recaen en la adquisición de sistemas de inventarios para llevar un control de los insumos que los restaurantes necesitan y la implementación de un sistema o proceso que permita realizar reservaciones a las personas que acostumbran visitar la comunidad langostera.

En cuanto al índice de adopción de e-marketing en los restaurantes, en la gráfica 4 se muestra que, para dar a conocer el servicio y producto que ofrecen los negocio, el 83% cuenta con un sitio de Internet; el 74% hace uso de las redes sociales, siendo Facebook su principal herramienta; el 61% emplea el sistema de chat para atender a los usuarios; el 22% tiene contratado el servicio para anunciarse en otros sitios de Internet; otro 22% usa mensajes en Internet y mailing relacionadas con el negocio. Lo último que utilizan son las apps, y cabe aclarar que algunos de los elementos incorporados fueron añadiéndose con base en las respuestas de las empresas encuestadas.

Indice de adopción de e-marketing en los restaurantes.

Gráfica 4: Indice de adopción de e-marketing en los restaurantes.

Fuente elaboración propia.

Los resultados muestran la falta de un enfoque estratégico en algunos indicadores que corresponde al e-marketing, ya que tienen un índice de adopción bajo. En consecuencia, el alcance de resultados logra verse limitado a intentos aislados, haciendo uso del sitio de Internet y las redes sociales, que con base en las respuestas de los administradores en su mayoría mantienen posiciones estáticas. Esto impide lograr un impacto en la decisión de compra de los visitantes, quienes acostumbran utilizar los medios digitales para informarse de las opciones gastronómicas presentes en los lugares donde realizan su consumo.

En lo que corresponde al índice de adopción en la administración de las relaciones con los clientes, la gráfica 5 muestra que el 70% evalúa la satisfacción de los clientes; el 60% asegura estar monitoreando la respuesta de los usuarios; el 50% señala llevar un registro de los consumidores que los visitan, y solamente el 20% utiliza Internet para monitorear a la competencia; este mismo porcentaje corresponde a las empresas que mencionan llevar a cabo un proceso para adquirir información y la calificación de los clientes de los restaurantes.

Indice de adopción de la administración de las relaciones con los clientes.

Gráfica 5: Indice de adopción de la administración de las relaciones con los clientes.

Fuente: elaboración propia.

El índice de adopción de la administración en las relaciones con los clientes en la mayoría de los indicadores tiene un nivel bajo, lo que refleja la falta de enfoque estratégico. Se presentan algunos avances en lo que corresponde a monitorear y dar respuestas a las preguntas de los clientes en los medios digitales y evaluar la satisfacción del cliente, pero no hay un proceso que refleje una estrategia integral para el procesamiento de la información y, en consecuencia, no contribuye a la toma de decisiones y el alcance de las metas de negocio.

En la gráfica 6 se presenta el índice de adopción por categorías. El empleo de las tic en los sistemas administrativos y servicio al cliente tiene un índice de adopción alto, de 0,7, que se relaciona con el nivel estratégico para esta categoría (Muñoz et al, 2004). Para lograrlo, este debe ser mayor a 0,6. Sin embargo, existen áreas de oportunidad, siendo necesario incrementar el uso de sistemas de inventario para control de los insumos del negocio y la herramienta para reservaciones que pueda estar a disposición de las personas que planean visitar la comunidad. En lo que corresponde a la categoría de e-marketing y la administración de las relaciones con los clientes, existe un índice de adopción medio. No es posible asegurar que existe una estrategia integral, ya que las herramientas en mercadotecnia se limitan, en la mayoría de los casos analizados, a la utilización de la red social Facebook y un sitio en Internet, además de no contar con un plan que establezca un proceso definido, para el manteamiento y atracción de nuevos consumidores utilizando los medios digitales, que permita ser utilizado como un medio que contribuya en la decisión de compra de los visitantes.

Indice de adopción de las innovaciones por categorías.

Gráfica 6: Indice de adopción de las innovaciones por categorías.

Fuente: elaboración propia.

En este sentido, en la tabla 3 se muestran los resultados de la correlación bivariada con base en el coeficiente de Pearson, en donde se encontró una correlación media de 0,583 con significancia de 0,01 entre el uso de las TIC para la administración de las empresas y el e-marketing implementado. Asimismo, existe una correlación media de 0,570 con significancia de 0,01 entre las tecnologías utilizadas en la administración de las empresas y la administración de las relaciones con los clientes; de esta manera, se muestra una correlación fuerte entre el e-marketing y la administración de las relaciones con el cliente de 0,714 de significancia en el nivel de 0,01. Lo anterior confirma la relación existente entre las variables y la tendencia positiva entre los elementos sometidos a evaluación.

Tabla 3: Correlación bivariada (TIC en la empresa, e-marketing, Administración de las relaciones con los clientes).

Nota. ** La correlación es significativa al nivel 0,01 (bilateral).

Fuente: elaboración propia.

Asimismo, en la tabla 4 se muestran los resultados obtenidos en la correlación múltiple, que corresponde a las variables independientes e-marketing en los restaurantes y uso de las TIC en la administración de las empresas, con la variable dependiente administración de las relaciones con los clientes, en donde se obtiene una correlación fuerte positiva (R= 0,738). Este resultado indica el total de la varianza que es explicada en la variable dependiente, producto de las independientes. Además, de acuerdo con el valor de R cuadro corregida, se puede observar que esta influencia puede darse hasta en un 50%, lo que permite valorar la importancia que añaden estos elementos para mejorar los resultados en el mantenimiento de los clientes actuales y realizar un seguimiento a las necesidades que exponen los visitantes en los medios tecnológicos.

Tabla 4: Correlación múltiple: variables independientes (e-marketing - TIC en la administración de la empresa), variable dependiente (administración de las relaciones con los clientes).

Nota. a. Variables predictoras: (constante), e-marketing, TIC en la administración de la empresa.

Fuente: elaboración propia.

De esta manera, en la tabla 5 se presenta el resultado de la prueba Anova, en el que se sometieron las variables independientes (e-marketing - TIC en la administración de las empresas), con la variable dependiente (administración de las relaciones con los clientes), obteniendo un nivel de significancia de 0,01 entre los elementos analizados.

Tabla 5: Nivel de significancia con Anova.

Nota. a. Variable dependiente: administración de las relaciones con los clientes. b. Variables predictoras: (constante), e-marketing, uso de tecnologías en la administración de la empresa. Fuente: elaboración propia.

Por último, es importante destacar que los resultados obtenidos muestran el total de la varianza explicada por las variables independientes, lo que muestra la necesidad de la adopción de las TIC a través de una estrategia definida, que puede otorgar un seguimiento, ya que la mayoría de las empresas consideradas en esta investigación realizan un trabajo básico en el uso de las tecnologías para la operación del negocio y solamente algunas de ellas se refleja un proceso definido, tiempo e inversión, lo que les permite aprovechar las bondades de los medios digitales en su relación con los consumidores.

Discusión

Con base en los resultados, la baja adopción de las TIC para la implementación del e-marketing y la gestión de las relaciones con los clientes limita los beneficios que pueden obtener los restaurantes ubicados en la zona turística de estudio. Andrade (2016), por su parte, señala que las tecnologías pueden convertirse en un aliado para la atracción de turistas de los diferentes destinos, utilizando redes sociales, mensajes en aplicaciones móviles, sitios web, entre otros que actualmente están al alcance dada la digitalización a la que están expuestas las personas; sin embargo Saavedra et al. (2013) advierten que deben atenderse los riesgos al no dar continuidad a las estrategias sin un plan definido que pudiera convertirse en falta de confianza, que ahuyente a las personas, y que consideren aquellas opciones que dan continuidad a sus inquietudes y expectativas expuestas en los medios sociales de Internet.

El índice de adopción de las TIC para la administración de los restaurantes cumple con los elementos básicos. No obstante, no todos los casos analizados cuentan con la operación de los sistemas de venta, sistema contable, sistema de contacto con proveedores y disponibilidad de cobro mediante la terminal bancaria, sin necesidad de buscar innovar hacia nuevas herramientas que generen una ventaja competitiva. Con base en Bocanegra y Vázquez (2010) y Caro et al. (2015), es necesario involucrar los procesos de los pequeños negocios en la mercadotecnia digital para ser más competitivos en el mercado. La revolución tecnológica está relacionada con la revolución comercial, al transformar los procesos que utilizan las pequeñas empresas, en este caso los restaurantes ubicados en esta zona turística.

Además, los resultados obtenidos muestran la necesidad de facilitar los servicios mediante las TIC a los visitantes de Puerto Nuevo, ya que el sistema implementado para dar respuesta a las preguntas del visitante funciona en pocas empresas, así como el medio de reservación y acceso dinámico a la información de los atractivos y posibilidades del visitante. Figueroa et al. (2013) señalan que las tecnologías deben ser parte integral en las pymes turísticas, ya que las transacciones mediante Internet aumentan cada día, además de la relación que logra obtenerse a través de estos medios, buscando la satisfacción de los clientes y mantenimiento en el trabajo posventa.

Dentro de las opciones que actualmente son implementadas en las empresas turísticas, con base en Caro et al. (2011), se destaca la gestión interna y colaboración con proveedores, distribución de los servicios, aplicaciones para reservación y confirmación de compra, añadiendo en algunos casos las nuevas tecnologías basadas en sistemas globales de distribución y geolocalización, que requieren de inmensas bases de datos, redes e ingeniería de software. Estos sistemas son integrados con el impulso de los gobiernos locales y federales, para ponerlos a disposición de las empresas y los visitantes que desean averiguar de los atractivos del destino, y una vez desarrollados pueden ser aprovechados por las empresas turísticas ubicadas en la comunidad de los sitios turísticos.

La relación encontrada en los resultados entre las variables independientes tecnologías en la administración de las empresas y el marketing digital, con la variable dependiente administración de las relaciones con los clientes, destaca la necesidad en las empresas objeto de estudio de establecer un lazo más estrecho con el mercado objetivo. De acuerdo con Buhalis y Law (2008) y Andrade (2016) en el ámbito turístico actualmente las TIC se han convertido en una herramienta fundamental y un aliado en el mantenimiento y la atracción de turistas de los diferentes destinos, quienes reciben mensajes de promoción con información más precisa sobre las expectativas de los clientes.

Conclusiones

Las TIC han evolucionado la visión de los negocios en el mundo y, en particular, en el sector turístico. Los restaurantes y los hoteles, entre otros, encuentran en las tecnologías un aliado que les permite distribuir sus productos y servicios, ya que mediante Internet es posible dirigir los mensajes del negocio hacia muchos usuarios o receptores en instantes. Se tiene, además, la ventaja de lograr una comunicación dinámica entre las personas y las empresas, comparada con los medios tradicionales como la prensa escrita, la radio y la televisión, que tienen un estado insensible por su estructura y no les permite reaccionar al instante, aunque cabe reconocer que por su configuración e inversión de los grandes corporativos aún logran conectar con los usuarios de estos medios masivos.

De esta manera, los resultados muestran un índice de adopción alto en lo que corresponde al uso de las TIC para la administración del negocio en los restaurantes de Puerto Nuevo, lo que puede llegar a relacionarse con tener un enfoque estratégico para esta categoría. No obstante, las oportunidades están a partir de la necesidad de utilizar en todas las empresas un programa para el control de inventario y para el control de los insumos indispensables para el servicio que ofrece, así como contar con un sistema de reservaciones a disposición de los clientes. En algunas de las organizaciones no se tienen sistemas vinculados con los proveedores, herramientas para llevar la contabilidad de la compañía, equipo de cómputo exclusivo para la operación, siendo el mayor desarrollo la incorporación en casi todas las empresas la terminal bancaria para recibir los pagos de los consumidores y todas tienen un correo electrónico especial para fines corporativos.

La adopción de las TIC para el trabajo administrativo cumple con los requerimientos básicos para realizar las actividades diarias de los restaurantes; sin embargo, la innovación en estas empresas debe realizarse con mayor intensidad y adoptar aquellas que fomenten la diferenciación. Asimismo, se debe incentivar la mejora de los servicios ofrecidos en los medios digitales, que permita mostrar desde la forma de llegar al destino y al restaurante, hasta llevar a cabo el seguimiento a los comentarios de los clientes en la web. En este sentido, se pueden dar a conocer las opciones disponibles para el visitante, sumado a la oportunidad de reservar con anticipación, lo que incrementa la probabilidad de asistencia al destino de interés. Es también importante mantener actualizada y unificada la información de la promoción en Internet, que debe estar conectada con el resto de las plataformas utilizadas por el negocio.

En lo que corresponde al e-marketing, se encontró un índice de adopción medio, que representa el nivel estratégico en esta categoría. Lo más importante es que la mayoría de los restaurantes aseguran tener habilitado un sitio de Internet, y el 74% utiliza las redes sociales, aunque se limitan a emplear Facebook, con la finalidad de informar sobre los servicios y productos de las empresas sin aprovechar otras herramientas que contribuya a una estrategia social media. Es indispensable aprovechar los datos que pudieran recabar las organizaciones a través de los comentarios en el muro de la página de la red social y preguntas obtenidas con el servicio de mensajería instantánea, con la finalidad de crear un proceso para gestionar la información, que en consecuencia contribuya a la elaboración del plan de mercadotecnia, además de atender las áreas de oportunidad descubiertas en los negocios.

En lo que corresponde en la administración de las relaciones con los clientes, se encontró un índice de adopción medio, que se relaciona con el nivel estratégico considerado insuficiente para atender de manera eficiente las demandas y satisfacción de las personas que acostumbran visitar Puerto Nuevo, ya que no existe un proceso para la gestión de los datos obtenidos en la mayoría de las empresas, lo que refleja el escaso registro y clasificación de la información recolectada. Con este resultado, no es posible dar seguimiento a las necesidades detectadas con eficiencia. El aprovechamiento de las herramientas tecnológicas puede facilitar el procesamiento de los datos obtenidos, de manera que las iniciativas implementadas en beneficio de los clientes ostenten un respaldo y dirección hacia las personas que ameritan una retribución o distinción especial por parte del restaurante.

La correlación encontrada entre las tecnologías utilizadas para la administración de los restaurantes y el e-marketing, implementado con respecto a la administración de las relaciones con los clientes, permite asegurar que existe una relación entre las variables. Asimismo, confirmar la necesidad de incrementar el índice de adopción de las TIC en las empresas turísticas para el caso estudiado permitirá a la comunidad restaurantera de Puerto Nuevo añadirlo como un factor para el desarrollo de su competitividad. De esta manera, los atractivos de la comunidad generarán información de calidad mediante las herramientas utilizadas, que motiven a las personas a incrementar la frecuencia de sus visitas, y para que estos mismos se conviertan en promotores del destino una vez que existan los canales de retroalimentación, con la finalidad de innovar en los negocios de manera continua bajo las necesidades encontradas y expuestas por los consumidores.

Referencias bibliográficas

  1. Álvarez, A. (2015). Imagen, Lealtad y Promoción Turística. Análisis con Ecuaciones Estructurales. Pasos, Revista de Turimo y Patrimonio Cultural, 13(3), 629-648. doi: 10.25145/j.pasos.2015.13.044 [DOI] 🠔
  2. Andrade, D. A. (2016). Estrategias de marketing digital en la promoción de Marca Ciudad. Revista Escuela de Administración de Negocios, 80, 59-72. doi:10.21158/01208160.n80.2016.1457 [DOI] 🠔
  3. Asociación Mexicana de Internet (Amipci). (2014). Estudio de Marketing Digital y Social Media 2012. Recuperado de https://amipci.org.mx/images/Estudio_Marketing_2014.pdf. [URL] 🠔
  4. Asociación Mexicana de Internet (Amipci). (2016). Estudio de Comercio Electrónico en México 2016. Recuperado de https://www.aso-ciaciondeinternet.mx/es/component/remository/Comercio-Electronico/Estudio-de-Comercio-Electronico-en-Mexico-2016/lang,es-es/?Itemid=. [URL] 🠔
  5. Benavides, J. (2012). De la repetición a la prescripción. TecnoHotel. Claves para los líderes del Turismo, 451, 12-15. Recuperado de http://files.epeldano.com/publications/pdf/96/tecnohotel_451.pdf [URL] 🠔
  6. Bezerra, E. D., Melo, M. C., & Rocha, A. L. (2012). El turismo en la sociedad de la información: Un abordaje conceptual sobre el "posturismo". Estudios y Perspectivas en Turismo, 21 (5), 1262-1280. Recuperado de https://www.redalyc.org/articulo.oa?id=180724156011 [URL] 🠔
  7. Bocanegra, C., & Vázquez, M. Á. (2010). El uso de tecnología como ventaja competitiva en el micro y pequeño comercio minorista en Hermosillo, Sonora. Estudios Fronterizos, 11 (22), 207-229. Recuperado de https://www.redalyc.org/articulo.oa?id=53015788008 [URL] 🠔
  8. Buhalis, D., & Law, R. (2008). Progress in Information Technology and Tourism Management: 20 Years on and 10 Years after the Internet. The State of eTourism Research. Tourism Management, 29(4), 609-623. doi:10.1016/j.tourman.2008.01.005 [DOI] 🠔
  9. Caro, J. L., Luque, A., & Zayas, B. (2015). Nuevas tecnologías para la interpretación y promoción de los recursos turísticos culturales. Pasos, Revista de Turimo y Patrimonio Cultural, 13(4), 931-945. Recuperado de https://www.redalyc.org/articulo.oa?id=88140288014 [URL] 🠔
  10. Caro, M. J., Leyva, C. E., & Vela, R. (2011). Calidad de las tecnologías de la información y competitividad en los hoteles de la península de Yucatán. Contaduría y Administración, 235, 121-146. Recuperado de https://www.redalyc.org/pdf/395/39519916007.pdf [URL] 🠔
  11. Castillo-Palacio, M., & Castaño-Molina, V. (2015). La Promoción Turística a Través de Técnicas Tradicionales y Nuevas: Una revisión de 2009 a 2014. Estudios y Perspectivas en Turismo, 24(3), 755-775. Recuperado de https://www.redalyc.org/articulo.oa?id=180739769017 [URL] 🠔
  12. Coromoto-Paredes, D., & Coromoto-Morillo, M. (2016). Influencia de la Comunicación Directa de las Agencias de Viaje en el Turismo Emisivo Merideño. Saber, 28(1), 125-136. Recuperado de https://www.redalyc.org/pdf/4277/427746276014.pdf [URL] 🠔
  13. Comité de Turismo y Convenciones de Rosarito (Cotuco-Rosarito). (2017). Restaurantes en Puerto Nuevo: Rosarito, Baja California. Recuperado de http://www.rosarito.org/es/donde-comer/puerto-nuevo [URL] 🠔
  14. Da Cruz, G., & De Camargo, P. (2008). Estrategias de promoción en la web. Análisis de destinos turísticos internacionales. Estudios y Perspectivas en Turismo, 17(2), 156-169. Recuperado de https://www.redalyc.org/articulo.oa?id=180713896005 [URL] 🠔
  15. Daries-Ramon, N., Cristóbal-Fransi, E., Martín-Fuentes, E., & Mariné-Roig, E. (2015). Adopción del comercio electrónico en el turismo de nieve y de montaña: análisis de la presencia web de las estaciones de esquí a través del Modelo eMICA. Cuadernos de Turismo, 37(enero-julio), 113-134. doi:10.6018/turismo.37.256171 [DOI] 🠔
  16. De Guzmán, M., & Niño, J. C. (2014). Estrategia de marketing relacional para lograr la fidelización de los clientes. Apuntes Universitarios, (2), 25-42. doi:10.17162/au.v0i2.259 [DOI] 🠔
  17. Farías, P. C. (2014). Estrategias de marketing utilizadas por las empresas chilenas para incrementar el valor de los clientes. Cuadernos de Administración, 30(51), 8-14. doi:10.25100/cdea.v30i51.38 [DOI] 🠔
  18. Figueroa, E. G., Hernández, F. I., González, M. B., & Arrieta, D. (2013). Comercio electrónico como factor competitivo en las micro, pequeñas y medianas empresas del sector comercial en el estado de Durango. Revista Internacional de Administración & Finanzas, 6(3), 29-44. Recuperado de https://www.theibfr.com/es/download/naf/2013-naf/naf-v6n3-2013/RIAF-V6N3-2013-3.pdf [URL] 🠔
  19. Gobierno de Baja California (GobBC). (2017). Ruta Gastronómica Baja California. Gobierno de Baja California. Recuperado de http://www.bajacalifornia.gob.mx/portal/nuestro_estado/gastro-nomia/ruta_gastronomica/langosta.jsp [URL] 🠔
  20. Guadarrama, E. & Rosales, E. (2015). Marketing relacional: valor, satisfacción, lealtad y retención del cliente. análisis y reflexión teórica. Ciencia y Sociedad, 40(2), 307-340. doi:10.22206/CYS.2015.V40I2.PP307-340 [DOI] 🠔
  21. Gutiérrez-Leefmans, C., & Nava-Rogel, R. M. (2016). Mercadotecnia digital y las pequeñas y medianas empresas. Enl@ce, 13(1), 45-61. Recuperado de https://www.redalyc.org/articulo.oa?id=82346016004 [URL] 🠔
  22. Hernández, J., Domínguez, M. L., & De Ita, D. (2008). Ventaja competitiva sostenible en pequeñas y medianas empresas hoteleras del sur de México. Pensamiento y Gestión, 25, 161-177. Recuperado https://www.redalyc.org/articulo.oa?id=64612241009 [URL] 🠔
  23. Hütt, H. (2012). Las redes sociales: Una nueva herramienta de difusión. Reflexiones, 91(2), 121-128. Recuperado de https://www.redalyc.org/articulo.oa?id=72923962008 [URL] 🠔
  24. Instituto Nacional de Estadística y Geografía (Inegi). (2015). Estadísticas a propósito del día Mundial de Internet. Chilpancingo de los Bravo: Inegi. 🠔
  25. Lichtle, P. & Sánchez, J. (2014). Uso productivo de big data y redes sociales en el sector turismo. Documentos de Investigación Estadística y Económica, 2014(1), 1-18. Recuperado de http://www.datatur.sectur.gob.mx/documentos%20publicaciones/2014_1_docinvs.pdf [URL] 🠔
  26. Martínez-Valerio, L. (2012). Estrategias de promoción turística a través de Facebook. Palabra Clave, 15(2), 318-338. doi: 10.5294/pacla.2012.15.2.5 [DOI] 🠔
  27. Marujo, N. (2012). Imagen y Promoción de los Destinos Turísticos en Internet. El Caso de los Municipios de la Isla Madeira. Estudios y Perspectivas en Turismo, 21 (4), 825-837. Recuperado de https://www.redalyc.org/pdf/1807/180724056002.pdf [URL] 🠔
  28. Medina-Ramírez, S. (2016). Movilidad Inteligente: Diagnóstico de la situación actual en México. México: ITDP. Recuperado de http://mexico.itdp.org/wp-content/uploads/Movilidad-Inteligente.pdf [URL] 🠔
  29. Mendes, G., Augusto, A., & Gândara, J. M. (2013). Innovación en la promoción turística en medios y redes sociales: Un estudio comparativo entre destinos turísticos. Estudios y Perspectivas en Turismo, 22(1), 102-119. Recuperado de https://www.redalyc.org/pdf/1807/180725735006.pdf [URL] 🠔
  30. Miranda, A. M., Cruz, I., Valle, M. R., & Flores, J. C. (2015). Estrategias de marketing con redes sociales en hoteles de cuatro y cinco estrellas en la ciudad de Tijuana, Baja California. Teoría y Praxis, Especial, 10-31. doi: 10.22403/uqroomx/typne2015/01 [DOI] 🠔
  31. Moliner, B., Fuentes, M., & Gil, I. (2014). Las TIC como base de segmentación en el contexto B2B Turístico: Estudio aplicado en Hoteles Españoles. Revista de Análisis Turístico, 18(2), 19-31. Recuperado de https://www.aecit.org/jornal/index.php/AECIT/article/view/184/150 [URL] 🠔
  32. Montoya, C. A., & Boyero, M. R. (2013). El CRM como herramienta para el servicio al cliente en la organización. Visión de Futuro, 17(1), 130-151. Recuperado de https://www.redalyc.org/pdf/3579/357935480005.pdf [URL] 🠔
  33. Muñoz, M., Rendón, R., Aguilar, J., García, J. G., & Altamirano, J. R. (2004). Redes de innovación, un acercamiento a su identificación, análisis y gestión para el desarrollo rural. Michoacán: Fundación Produce Michoacán y Universidad Autónoma Chapingo. 🠔
  34. Organización de las Naciones Unidas para la Educación, la Ciencia y la Cultura (Unesco). (2016). Evolución y tendencias del turismo cultural. Unesco. Recuperado de http://www.aprendedeturismo.org/evolucion-y-tendencias-del-turismo-cultural/ [URL] 🠔
  35. Organización Mundial de Turismo (OMT). (2015). Recomendaciones de la OMT sobre accesibilidad de la información turística. Madrid: OMT. Recuperado de http://cf.cdn.unwto.org/sites/all/files/docpdf/accesibilidadinfoturwto2015accesible.pdf [URL] 🠔
  36. Organización Mundial de Turismo (OMT). (2016). El impacto de las nuevas tecnologías en el sector turístico. Nara: OMT. Recuperado de http://media.unwto.org/es/press-release/2016-06-10/la-omtaborda-en-japon-el-impacto-de-las-nuevas-tecnologias-en-el-sector-tu. [URL] 🠔
  37. Organización Mundial de Turismo (OMT). (2017). Innovación, tecnología y sostenibilidad: pilares de los destinos inteligentes. Murcia: OMT. Recuperado de http://media.unwto.org/es/press-release/2017-03-07/innovacion-tecnologia-y-sostenibilidad-pi-lares-de-los-destinos-inteligentes. [URL] 🠔
  38. Padilla-Meléndez, A., & Garrido-Moreno, A. (2012). Gestión de relaciones con clientes como iniciativa estratégica: implementación en hoteles. Revista Venezolana de Gerencia, 17(60), 587-610. Recuperado de https://www.redalyc.org/html/290/29024892003/ [URL] 🠔
  39. Peña, S., Ramírez, G. S., & Osorio, J. C. (2015). Evaluación de una estrategia de fidelización de clientes con dinámica de sistemas. Revista Ingenierías Universidad de Medellín, 14(26), 87-104. doi: 10.22395/rium.v14n26a6 [DOI] 🠔
  40. Prada, R. (2016). Las TIC, factor de efectividad en la aplicación del mercadeo digital en negocios de retail. Revista Escuela de Administración de Negocios, 80, 105-115. doi: 10.21158/01208160.n80.2016.1460 [DOI] 🠔
  41. Pulido-Fernández, J. I., & López-Sánchez, Y. (2016). La cadena de valor del destino como herramienta innovadora para el análisis de la sostenibilidad de las políticas turísticas. El caso de España. Innovar, 26(59), 155-175. doi:10.15446/innovar.v26n59.54369 [DOI] 🠔
  42. Rey, M. (2015). Dirección de marketing turístico. España: Pirámide. 🠔
  43. Rodríguez, C., Martínez-Fernández, V. A., Juanatey-Boga, O., & Rodríguez-Fernández, M. (2014). El marketing de afiliación como herramienta de comunicación y gestión de las agencias de viaje en el mercado virtual. Estudios y Perspectivas en Turismo, 23(1), 60-80. Recuperado de https://www.redalyc.org/pdf/1807/180729920004.pdf [URL] 🠔
  44. Saavedra, F., Rialp, J., & Llonch, J. (2013). El uso de las redes sociales digitales como herramienta de marketing en el desempeño empresarial. Cuadernos de Administración, 26(47), 205-231. Recuperado de https://revistas.javeriana.edu.co/index.php/cuadernos_admon/article/view/7105 [URL] 🠔
  45. Saavedra, M. L., & Tapia, B. (2013). El uso de las tecnologías de información y comunicación TIC en las micro, pequeñas y medianas empresas (MipyME) industriales mexicanas. Enl@ce: Revista Venezolana de Información, Tecnología y Conocimiento, 10(1), 85-104. Recuperado de https://www.redalyc.org/pdf/823/82326270007.pdf [URL] 🠔
  46. Santillán-Núñez, M. A., Velarde-Valdez, M., & Obombo-Magio, K. (2015). Tecnologías de Información y Comunicación al servicio del turismo en Mazatlán, Sinaloa, México. Ciencias Holguín, 21(1), 1-10. Recuperado de https://www.redalyc.org/articulo.oa?id=181537107003 [URL] 🠔
  47. Schmal, R. F., & Olave, T. Y. (2014). Optimización del proceso de atención al cliente en un restaurante durante periodos de alta demanda. Información Tecnológica, 25(4), 27-34. doi:10.4067/S0718-07642014000400005 [DOI] 🠔
  48. Secretaría de Turismo de México (Sectur). (2013). Boletín Cuatrimestral del Turismo. SECTUR-DATATUR 39. Recuperado de http://www.datatur.sectur.gob.mx/Documentos%20Publicaciones/BoletinCuatrimestralTurismoNo39_5.pdf#search=destinos%20 inteligentes. [URL] 🠔
  49. Secretaría de Turismo de México (Sectur). (2014). Boletín Cuatrimestral de Turismo. SECTUR-DATATUR 40. Recuperado de http://www.datatur.sectur.gob.mx/documentos%20publicaciones/bct_no40final.pdf1-66. [URL] 🠔
  50. Secretaría de Turismo de México (Sectur). (2016). Impulsan la actividad Turística nuevas tecnologías y la digitalización. México: Sectur. Recuperado de http://www.gob.mx/sectur/prensa/impulsan-la-actividad-turistica-nuevas-tecnologias-y-la-digitalizacion-de-la-madrid. [URL] 🠔
  51. Sociedad Estatal para la Gestión de la Innovación y las Tecnologías Turísticas (Segittur). (2015). Informe destinos turísticos inteligentes: Construyendo el futuro. Madrid: Segittur. Recuperado de http://www.segittur.es/opencms/export/sites/segitur/.content/galerias/descargas/proyectos/Libro-Blanco-Destinos-Tursticos-Inteligentes-ok_es.pdf [URL] 🠔
  52. Valenzuela, L., & Martínez, C. (2015). Orientación al Cliente, Tecnologías de Información y Desempeño Organizacional: Caso empresa de consumo masivo en Chile. Revista Venezolana de Gerencia, 20(70), 334-352. Recuperado de https://www.redalyc.org/pdf/290/29040281009.pdf [URL] 🠔
  53. Zamora, J., Castro, M., & Marín, A. (2013). Determinación de necesidades de investigación en turismo: El Caso del Centro de Investigación en Turismo y Patrimonio de la Región de Valparaíso, Chile. Estudios y Perspectivas en Turismo, 22(5), 926-952. Recuperado de https://www.redalyc.org/articulo.oa?id=180728713007. [URL] 🠔
El proyecto de investigación del que se deriva el artículo es “Análisis de la Adopción de las tic en las mipymes Turísticas de Puerto Nuevo, Rosarito, Baja California”. La entidad financiadora del proyecto de investigación es la Secretaría de Educación Pública (Subsecretaría de Educación Superior).
Cruz Estrada, I. & Miranda Zavala, A. (2019). La adopción de las Tic en restaurantes de Puerto Nuevo, Rosarito, Baja California. Innovar, 29(72), 59-76. doi: 10.15446/innovar.v29n72.77932
M10, M15, O32.
Los autores no manifiestan conflictos de intereses institucionales ni personales.