Innovar
0121-5051
Facultad de Ciencias Económicas. Universidad Nacional de Colombia.
https://doi.org/10.15446/innovar.v29n73.78025

Recibido: 8 de marzo de 2018; Revision Received: 15 de octubre de 2018

El factor institucional en el emprendimiento por oportunidad de América Latina y el Caribe

THE INSTITUTIONAL FACTOR ON OPPORTUNITY ENTREPRENEURSHIP IN LATIN AMERICA AND THE CARIBBEAN

O FATOR INSTITUCIONAL NO EMPREENDIMENTO POR OPORTUNIDADE DA AMÉRICA LATINA E DO CARIBE

LE FACTEUR INSTITUTIONNEL DANS L'ENTREPRENEURIAT PAR OPPORTUNITE EN AMERIQUE LATINE ET LES CARAÏBES

R. Saavedra-Leyva, 1*M. Texis Flores, 2

Doctorado en Ciencias Económicas, Profesor de asignatura, Universidad Autónoma de Baja California Tijuana, México, Rol del autor: intelectual y técnico., eduardo.saavedra@uabc.edu.mx, https://orcid.org/0000-0001-9200-4997 Universidad Autónoma de Baja California Universidad Autónoma de Baja California Tijuana Mexico
Doctorado en Ciencias Económicas, Profesora investigadora, Benemérita Universidad Autónoma de Puebla Puebla, México, Rol de la autora: intelectual y organizativo, michelle.texis@correo.buap.mx, https://orcid.org/0000-0001-9014-139X Benemérita Universidad Autónoma de Puebla Universidad Autónoma de Puebla Puebla Mexico

DIRECCIÓN DE CORRESPONDENCIA: Rafael Eduardo Saavedra-Leyva. Facultad de Ciencias Químicas e Ingeniería, 2do piso, Edificio 6A; Calzada Universidad 14.418, C.P. 22.427; Parque Industrial Internacional. Tijuana, México.

RESUMEN:

Este artículo estudia el efecto de las instituciones en los emprendimientos por oportunidad en América Latina y el Caribe durante el periodo 2005-2016. Se propone un modelo de emprendimiento, en el que se emplean indicadores de gobernabilidad y un índice de eficiencia gubernamental como proxies institucionales junto con otras variables explicativas. A través de un panel desbalanceado, los resultados muestran la existencia de un efecto positivo y significativo en cada una de las variables institucionales con relación a la actividad emprendedora, confirmando la importancia del papel institucional en el emprendimiento por oportunidad. En conclusión, aquellas naciones que pretendan fomentar este tipo de actividad emprendedora deberán generar y conservar un entorno institucional transparente y diligente, permitiendo a los emprendedores aprovechar las oportunidades de negocio.

PALABRAS CLAVE:

instituciones, emprendimiento por oportunidad, gobernabilidad.

ABSTRACT:

This paper studies the effect of institutions on opportunity entrepreneurship in Latin America and the Caribbean during the period 2005-2016. An entrepreneurial model is proposed, using governance indicators and an index of government efficiency as institutional proxies along with other explanatory variables. Through an unbalanced panel, the results show a positive and significant effect in each institutional variable in relation to the entrepreneurial activity, confirming the importance of the institutional role for opportunity entrepreneurship. In conclusion, the countries that intend to promote this type of entrepreneurial activity should generate and maintain a transparent and diligent institutional environment that allows entrepreneurs to take advantage of business opportunities.

KEYWORDS:

Institutions, opportunity entrepreneurship, governance.

RESUMO:

Este artigo estuda o efeito das instituições nos empreendimentos por oportunidade na América Latina e no Caribe durante o período 2005-2016. Propõe-se um modelo de empreendimento em que sejam empregados indicadores de governabilidade e um índice de eficiência governamental como proxies institucionais junto com outras variáveis explicativas. Por meio de um painel desbalanceado, os resultados mostram a existência de um efeito positivo e significativo em cada uma das variáveis institucionais quanto à atividade empreendedora, o que confirma a importância do papel institucional no empreendimento por oportunidade. Em conclusão, aquelas nações que pretendam fomentar esse tipo de atividade empreendedora deverão gerar e conservar um ambiente institucional transparente e diligente, que permita aos empreendedores aproveitarem as oportunidades de negócio.

PALAVRAS-CHAVE:

empreendimento por oportunidade, governabilidade, instituições.

RÉSUMÉ:

Cet article étudie l'effet des institutions sur les entrepreneuriats par opportunité en Amérique latine et les Caraïbes au cours de la période 2005-2016. On propose un modèle d'entreprise dans lequel on utilise des indicateurs de gouvernance et un indice d'efficacité du gouvernement comme variables de substitution institutionnelles avec d'autres variables explicatives. À travers un panel déséquilibré, les résultats montrent l'existence d'un effet positif et significatif sur chacune des variables institutionnelles en relation avec l'activité entrepreneuriale, en confirmant ainsi l'importance du rôle institutionnel dans l'entrepreneuriat par opportunité. En conclusion, les pays qui entendent promouvoir ce type d'activité entrepreneuriale devraient créer et préserver un environnement institutionnel transparent et diligent, permettant aux entrepreneurs de tirer parti des opportunités commerciales.

MOTS-CLÉ:

institutions, entrepreneuriat par opportunité, gouvernabilité.

Introducción

El espíritu empresarial es un mecanismo a través del cual se descubren y mitigan la deficiencias temporales y espaciales en una economía (Kirzner, 1997). Hay estudios donde se argumenta cómo el emprendimiento tiene un papel importante en la generación de empleo y el crecimiento económico (Audretsch & Keilback, 2002; ACS, Desai, & Hessels, 2008; Urbano & Aparicio, 2015). Por lo tanto, es de interés conocer cuáles elementos influyen en la iniciativa emprendedora. Los estudios recientes sobre emprendimiento han destacado la influencia de las condiciones legales y políticas sobre la iniciativa empresarial (Hwang & Powell, 2005), ya que el entorno político y legal define la dinámica económica y su efecto en la empresarialidad de un país (ACS & Amorós, 2008). Por consiguiente, este entorno está constituido por factores institucionales.

Para ello, la iniciativa empresarial se sitúa en un marco neoinstitucional, que propone que las instituciones crean los incentivos y oportunidades para emprender (North, 1993). Estos incentivos y oportunidades están vinculados con sociedades desarrolladas, en donde la iniciativa emprendedora por oportunidad es una característica principal en este tipo de economías (ACS & Amorós, 2008). Al respecto, estudios internacionales revelan que el surgimiento de emprendedores por oportunidad es una categoría cada vez menos frecuente en América Latina con relación a otras regiones más desarrollas (Kantis, Ishida, & Komori, 2002).

En este contexto, se le ha asignado al empresario un papel importante en las economías en desarrollo, pues en él recae la responsabilidad de superar las deficiencias de mercado (Leibenstein, 1968). Por consiguiente, los países que se encuentran en la etapa de competitividad impulsada por la eficiencia deben aumentar su capacidad empresarial por medio de entornos institucionales y macroeconómicos estables (ACS et al., 2008), dentro de cuya etapa de competitividad algunas economías de América Latina se localizan (López-Claros, Altinger, Blanke, Drzeniek, & Mia, 2006).

Ante tales antecedentes, es posible señalar que la configuración emprendedora de América Latina y el Caribe se encuentra limitada por el papel institucional; por lo tanto, esta investigación supone la existencia de una relación directa entre el factor institucional y la iniciativa emprendedora por oportunidad de la región. Por ello, se busca estudiar y analizar el vínculo entre las instituciones y el emprendimiento por oportunidad en los países de Latinoamérica y el Caribe, con el propósito de explicar si las causas institucionales afectan el surgimiento de este tipo de actividad emprendedora.

Con base en lo anterior, se propone un modelo de emprendimiento, que contiene al factor institucional junto con otras variables. El aspecto institucional está representado por los indicadores de gobernabilidad, que capturan la libertad de expresión, eficiencia de los políticas y servidores públicos, la protección a los derechos de propiedad, y el control de la corrupción y de la violencia. Adicionalmente, se elaboró un índice de eficiencia gubernamental como solución al problema de multicolinealidad que presentan los indicadores de gobernabilidad; este se calcula como el promedio de los indicadores. Con la implementación del índice de eficiencia gubernamental, es posible observar la contribución conjunta de los indicadores en el emprendimiento por oportunidad, evitando la correlación existente entre estos.

Luego de esta introducción, se expone el concepto de emprendimiento por oportunidad; en seguida, se presenta una revisión del papel institucional en el emprendimiento; posteriormente, se exponen el modelo y los datos utilizados, y se muestra un análisis descriptivo de las variables más representativas del estudio; por último, se interpretan los resultados obtenidos y se desarrollan las conclusiones.

El emprendimiento por oportunidad

Para Shane y Venkataraman (2000), la iniciativa emprendedora está estrechamente vinculada con el descubrimiento y explotación de oportunidades rentables, que tienen un efecto favorable en la economía. De ahí que el fomento a la empresarialidad, entendida como la capacidad de crear y desarrollar empresas, se ha convertido en un aspecto clave de la política económica en numerosos países (Kantis, Angelelli, & Koenig, 2004).

En un contexto más amplio, se distingue entre el emprendimiento por oportunidad y por necesidad: en el primero, la actividad emprendedora se considerada procíclica, a diferencia del emprendimiento por necesidad que es contracíclico (Fairlie & Fossen, 2017). En este sentido, el emprendimiento por oportunidad es un referente de la dinámica económica, pues representa el carácter voluntario de crear una empresa, mientras la necesidad refleja al emprendimiento como la mejor opción disponible a la falta de empleo (ACS, 2006). De esta forma, un emprendedor por oportunidad cuenta con un nivel de instrucción alto, con una amplia formación empresarial y técnica, mientras que un emprendedor por necesidad ostenta un bajo perfil socioeconómico (Ramírez, Bernal, & Fuentes, 2013).

Plummer, Haynie y Godesiabois (2007) argumentan cómo el proceso para emprender está dado por el descubrimiento de una oportunidad, decisión de explotar dicha oportunidad y comercializarla (figura 1). En primer lugar, el descubrimiento de una oportunidad surge cuando un individuo especula sobre un conjunto de recursos que le generarían beneficios (Shane y Venkataraman, 2000); posteriormente, decide si se explota la oportunidad, para lo cual el individuo evalúa el valor esperado del beneficio y el costo de oportunidad; por último, el individuo decide explotar la oportunidad a través de su propia nueva empresa, o comercializar su idea con otra organización. Nuevas empresas producto de emprendimientos por oportunidad configuran un sector empresarial cuyo dinamismo presente y posterior es más significativo en relación con quienes emprenden por motivaciones distintas (Kantis, 2008). En este sentido, es preciso conocer cuáles son aquellas condiciones que favorecen el aprovechamiento de oportunidades en el proceso emprendedor.

Proceso básico del emprendimiento por oportunidad. Fuente: elaboración propia con base en Shane y Venkataraman (2000) y Plummer et al. (2007).

Figura 1: Proceso básico del emprendimiento por oportunidad. Fuente: elaboración propia con base en Shane y Venkataraman (2000) y Plummer et al. (2007).

Para Davari y Farokhmanesh (2017), el emprendimiento por oportunidad es resultado de tres dimensiones políticas: 1) educación y cultura, que se orientan en instruir y motivar a las personas a emprender; 2) acciones o políticas de apoyo, que consisten en dar soporte a los nuevos negocios, por medio de consultoría técnica y gerencial, o a través de crédito y préstamos, y 3) acciones o políticas de legislación, que se presentan con el surgimiento de nuevos estatutos, reglamentos y leyes, capaces de respaldar y mejorar el entorno empresarial.

De forma similar, Luksha (2008) sugiere que mejorar las reglas del juego es una forma de crear oportunidades empresariales. Por lo tanto, un entorno institucional confiable y diligente proporciona oportunidades y, en consecuencia, los posibles emprendedores pueden crear nuevos negocios motivados por el deseo de aprovechar las oportunidades de mercado que se visualizan.

A su vez, la evidencia empírica ha asignado un papel importante al emprendimiento por oportunidad. Por ejemplo, ACS y Varga (2005) analizan el impacto de la iniciativa emprendedora por oportunidad en el cambio tecnológico. Sus resultados muestran un impacto positivo y significativo del emprendimiento en la derrama de conocimiento tecnológico. Asimismo, Audretsch y Keilbach (2002) argumentan que el emprendimiento es el enlace entre conocimiento y crecimiento económico; mediante la estimación de una función de producción, en la que se incluye la iniciativa emprendedora, se encuentra una aportación relevante del emprendimiento al crecimiento económico.

El trabajo de Aparicio, Urbano y Audrestch (2015) sugiere que las instituciones, a través de la actividad emprendedora, tienen un impacto en el crecimiento económico y se argumenta que específicamente el emprendimiento por oportunidad es la conexión entre los factores institucionales y crecimiento económico. Utilizando un panel de datos, estos autores encuentran cómo las variables institucionales control de la corrupción y cobertura privada tienen un efecto positivo en el emprendimiento por oportunidad, y este a su vez contribuye al crecimiento económico. De igual manera, el estudio de Bosma, Content, Sanders y Stam (2018) aborda la relación entre instituciones, emprendimiento y crecimiento económico; a través de un modelo de mínimos cuadros de tres etapas, primeramente estudian los efectos de las instituciones en el emprendimiento, después analizan la relación entre el emprendimiento y el crecimiento y, por último, abordan en conjunto las dos estimaciones anteriores. Sus resultados muestran cómo las instituciones generan actividad emprendedora capaz de contribuir al crecimiento económico.

En consecuencia, es relevante investigar el ámbito institucional y su impacto como generador de oportunidades, que se reflejarían a través del emprendimiento, capaz de proporcionar distintos beneficios a la economía y a la sociedad. A continuación, se aborda la discusión de las instituciones en la iniciativa emprendedora.

El rol institucional en el emprendimiento

Dentro de la corriente neoinstitucionalista, se sostiene que los talentos empresariales varían de acuerdo con las características institucionales (Viego, 2004). North (1993) señala la existencia de factores institucionales capaces de condicionar la reacción de los empresarios a las oportunidades; de esta forma, parece existir una estrecha relación entre la iniciativa emprendedora por oportunidad y el aspecto institucional. Asimismo, ACS et al. (2008) sugieren que el entorno de conformación de una economía afecta la dinámica empresarial, entorno que se caracteriza por la interacción entre el desarrollo y las instituciones económicas, que afecta la calidad del gobierno, el acceso de capital y otros recursos, y las percepciones de los empresarios.

Existen investigaciones empíricas sobre la relación emprendimiento-instituciones (tabla 1). Estrin, Aidis y Mickiewicz (2007) analizan la influencia institucional en el emprendimiento por medio de una perspectiva comparativa, y concluyen que la escasa actividad emprendedora es consecuencia del entorno institucional, en el que los negocios establecidos son más favorecidos por las normas y leyes, en comparación con los entrantes.

Tabla 1: Evidencia empírica sobre emprendimiento e instituciones.

Fuente: elaboración propia.

La investigación de Álvarez y Urbano (2012) se enfoca en la influencia del entorno institucional en la actividad emprendedora para naciones con ingreso bajo, medio y alto. Los autores distinguen el entorno institucional en formal, entendido como los procedimientos para la creación de empresas y la formación en gestión y administración, e informal, que contemplan la estabilidad política y los modelos de referencia. Asimismo, encuentran que los factores institucionales informales presentan una mayor contribución al emprendimiento en los países con ingreso bajo y medio, a diferencia de los países de ingreso alto, en donde los factores formales resultaron ser más determinantes.

De manera similar, Álvarez, Amorós y Urbano (2014) analizan, desde una perspectiva institucional, el impacto de las regulaciones en el emprendimiento de países desarrollados y en desarrollo. En su estudio, los autores determinan cómo el gasto público y la legislación empresarial influyen positivamente en la actividad emprendedora, mientras otra variable institucional, como las regulaciones para el trabajo, presenta una relación distinta dependiendo del nivel de desarrollo de los países.

Nyström (2008) investiga la relación entre el marco institucional, en términos de libertad económica, y el emprendimiento de autoempleo. El concepto de libertad económica contempla el tamaño del gobierno, estructura jurídica y la seguridad de los derechos de propiedad. A través de un estudio de datos de panel, el autor concluye que los gobiernos más pequeños, una mejor estructura legal y la seguridad de los derechos de propiedad incrementan la capacidad emprendedora.

Por otra parte, Desai, Gompers y Lerner (2003) analizan la influencia de las instituciones en la tasa de entrada, la tasa de salida y en el tamaño de las empresas. Sus resultados exhiben un rol importante del entorno institucional en la dinámica de las nuevas empresas, especialmente la protección de los derechos de propiedad, que aumentan la entrada de nuevos negocios y disminuye las tasas de salida, mientras la legitimidad afecta el tamaño del negocio, permitiendo el desarrollo de empresas pequeñas en firmas más grandes.

El trabajo de Urbano y Álvarez (2014) estudia la influencia de las dimensiones institucionales en la probabilidad de emprender, por lo que especifican tres tipos de dimensiones institucionales: cultural-cognitiva, normativa y regulativa. La dimensión cultural-cognitiva consiste en cómo la sociedad comparte el conocimiento; en la dimensión normativa se destacan los límites del comportamiento social, mientras la dimensión regulativa comprende la capacidad de establecer, inspeccionar y ejecutar leyes y reglas. Empleado un análisis logístico, estos autores encuentran que las dimensiones institucionales aumentan la probabilidad de ser emprendedor.

Siguiendo esta línea, Valdez y Richardson (2013) elaboran un estudio sobre las dimensiones institucionales y el emprendimiento. A diferencia de Urbano y Álvarez (2014), este trabajo analiza países y no individuos. Los resultados muestran como las dimensiones institucionales cultural-cognitiva y normativa influyen directamente en la actividad emprendedora de las naciones, mientras la dimensión institucional regulatoria no exhibe evidencia estadísticamente relevante con el emprendimiento.

También García-Posada y Mora-Sanguinetti (2014) estudian el impacto de las instituciones, mediante el desempeño del sistema judicial en la dinámica empresarial. Sus resultados muestran que una mayor eficacia en el sistema judicial incrementa la tasa de entrada de las empresas; sin embargo, la eficacia judicial no mostró ningún efecto en la tasa de salida de las empresas.

Por otra parte, según ACS (2006), la decisión de emprender por oportunidad está influenciada por marcos de condiciones empresariales y generales de la nación. Por condiciones empresariales se entiende aquellas características que influyen en el entorno empresarial como capital de riesgo, financia-miento, capacitación, aspecto social y cultural, mientras las condiciones generales de la nación se definen como la capacidad del país por fomentar la creación de empresas; dentro de este marco de condiciones, se destaca la gobernabilidad, apertura comercial, infraestructural, entre otros.

En el trabajo de Avnimelech et al. (2014) se analiza la relación del emprendimiento y la corrupción. Sus resultados muestran un efecto negativo entre la corrupción y la actividad emprendedora de los países desarrollados y en desarrollo. Asimismo, este efecto en los países desarrollados es mayor en contraste con las naciones en vías de desarrollo.

El estudio del factor institucional también se ha relacionado a la gobernabilidad. Así, en Méndez-Picazo et al. (2012) se define gobernabilidad como el comportamiento y rendimiento del gobierno que hace referencia a varios procesos históricos, culturales, sociales y políticos; de esta forma, se argumenta la existencia de un vínculo entre gobernabilidad e instituciones. Por lo tanto, una administración gubernamental competente se manifestaría en una serie de instituciones justas e imparciales, estableciendo leyes y políticas con la capacidad de afectar la conducta de las empresas y de otros agentes económicos, ya sea implementado o cumpliendo con los derechos de propiedad, y modificando y elaborando normas para corregir las fallas de mercado.

Al igual que Méndez-Picazo et al. (2012), Friedman (2011) también relaciona la gobernabilidad con la iniciativa empresarial. Así, se supone una contribución de la gobernabilidad al emprendimiento de los países, anudado a la confianza del emprendedor en el sistema gubernamental e institucional; es decir, se espera una relación positiva entre ambos. Sin embargo, sus resultados muestran un efecto negativo y significativo entre la efectividad del gobierno y la emprendedora, lo que se explica a través de la carga fiscal, en donde las naciones con elevados índices de gobernabilidad resultan ser países con altos impuestos sobre la renta, ocasionando bajos incentivos por emprender y una disminución en la generación de nuevos negocios.

Metodología

Para analizar la relación entre el emprendimiento e instituciones, se utiliza el método de datos de panel desbalanceado. Al mismo tiempo, se propone un modelo de emprendimiento (ecuación 1), que incorpora el elemento institucional junto con otras variables independientes. Esta metodología contiene información de trece países latinoamericanos (Argentina, Belice, Bolivia, Brasil, Chile, Colombia, Costa Rica, Guatemala, México, Panamá, Perú, Uruguay y Venezuela) y cuatro caribeños (Barbados, Trinidad y Tobago, Jamaica y República Dominicana) para el periodo 2005-2016.

La ecuación 1 presenta la estructura de un modelo econométrico de emprendimiento para datos de panel, en donde, EMP es el emprendimiento por oportunidad, INS señala el factor institucional, CI representa el crecimiento del ingreso, DE es el desempleo, IE simboliza una variable de inestabilidad económica, TI especifica la tasa de interés, AC representa la apertura comercial, mientras que i y t simbolizan el país y el año, respectivamente.

Un requisito previo a la estimación de los datos de panel es la determinación de los efectos fijos o aleatorios. Por lo tanto, la estructura de la ecuación 1 puede cambiar dependiendo del tipo de efecto. Para ello, es necesario utilizar a priori la prueba de Hausman (1978), cuya hipótesis nula sugiere como apropiada la aplicación de efectos aleatorios; en consecuencia, el rechazo de esta hipótesis, a un nivel de significancia del 5%, alude el uso de efectos fijos en las estimaciones. Del mismo modo, es importante mencionar que los resultados arrojados deben ser tomados con cautela, debido a la estructura del panel desbalanceado de esta investigación, que presenta limitantes al momento de realizar pruebas de robustez.

Variables y datos

La variable dependiente de la ecuación 1 es el emprendimiento por oportunidad. Para el análisis empírico, este tipo de actividad emprendedora se especifica por medio de la razón del emprendimiento por oportunidad entre la actividad emprendedora por necesidad. Esta especificación ha sido utilizada en los trabajos de emprendimiento de ACS (2006) y ACS et al. (2008); en este último, la razón de la actividad emprendedora oportunidad-necesidad se estudia junto con el elemento institucional. La relación emprendimiento oportunidad-necesidad refleja lo deseable, debido a que el emprendimiento por oportunidad percibe el carácter voluntario, a diferencia del emprendimiento por necesidad, que se presenta como la mejor opción disponible para estar ocupado. Esta variable se construyó utilizando información del Global Entrepreneurship Monitor (GEM), fuente que en particular no tiene registros de emprendimiento en varios años del periodo 2005-2016 para algunos países de América Latina y el Caribe; no obstante, se obtuvieron la cantidad suficiente de observaciones para realizar estimaciones a través de un panel desbalanceado.

Los emprendedores por oportunidad se definen por el GEM como aquellos individuos que están comenzado su negocio, inspirados por una oportunidad; es decir, personas sin problemas económicos y con una idea de negocios deciden emprender para aumentar sus ingresos. Esta serie captura el porcentaje de la población entre 18 y 64 años, que es emprendedora por no más de 42 meses. Asimismo, el GEM define a los emprendedores por necesidad como aquellos emprendimientos en los que la falta de empleo es la principal motivación del dueño para iniciar su negocio, pues los individuos emprenden de manera involuntaria a causa de una situación laboral y económica complicada. Estos datos se presentan como porcentaje de la población entre 18 y 64 años, que es emperadora por no más de 42 meses.

Para representar el enfoque institucional, se manejan como proxies los indicadores de gobernabilidad de Kaufmann, Kraay y Mastruzzi (2004). Los datos de estos indicadores se obtuvieron del Worldwide Governance Indicators, cuya fuente de información se ha empleado en otros trabajos de emprendimiento como los de Álvarez y Urbano (2012), Aparicio et al. (2015), Friedman (2011) y Méndez-Picazo et al. (2012). Kaufmann et al. (2004) definen la gobernabilidad como las tradiciones e instituciones mediante las cuales se ejerce la autoridad en un país. Bajo esta perspectiva, los indicadores contemplan el aspecto institucional de los países. Los indicadores de gobernabilidad son los siguientes:

  • Rendición de cuentas: mide la participación ciudadana para elegir al gobierno; adicionalmente, en este indicador se engloban conceptos como la libertad de expresión, libertad de asociación y medios de comunicación libres.

  • Control de la violencia: presenta la probabilidad del gobierno de ser derrocado por medio de actos inconstitucionales o violentos; en este sentido, un valor alto de este indicador significaría una menor posibilidad que el gobierno en vigor sea destituido involuntariamente.

  • Efectividad del gobierno: captura la calidad de los servicios públicos, administración pública, y la competencia de los funcionarios públicos; en otras palabras, refleja la independencia de la función pública sobre las presiones políticas.

  • Calidad regulatoria: representa la capacidad y habilidad del gobierno por formular e implementar reglamentaciones y políticas que promuevan el sector privado.

  • Estado de derecho: se asocia a la protección de los derechos de propiedad, a tal grado que contempla el éxito de una sociedad por desarrollarse en un entorno en el que las reglas justas y predecibles son base de las interacciones económica y social; por lo tanto, este indicador representa la calidad de la ejecución de contrato y la eficiencia de los tribunales y policías.

  • Control de la corrupción: se concibe como la falta de respeto a las normas, que rigen las interacciones económicas y sociales; de esta forma, el indicador refleja el grado en el que el poder público no es superado por el beneficio privado, de modo que valores bajos en este indicador señalan una débil gestión para contrarrestar la corrupción e impunidad.

Con base en estos conceptos de Kaufmann et al. (2004), se espera una relación directa y significativa entre cada indicador proxy institucional y el emprendimiento, de tal manera que un desempeño eficiente de las instituciones incrementará la actividad emprendedora por oportunidad. Asimismo, cada uno de estos indicadores toma valores dentro de un intervalo, cuyo rango va del 2,5 al -2,5, en donde una cantidad de 2,5 o próxima señala un desempeño eficiente, mientras un valor cercano al -2,5 representara un pobre desempeño. Sin embargo, para fines de interpretación y econométricos, en este trabajo se decidió cambiar el rango anterior de los indicadores a términos porcentuales, con el fin de evitar valores negativos. La conversión se calcula aplicando la ecuación 2.

En la ecuación 2, GOB es el nuevo valor entre 0 y 1 para el indicador j del país i en el tiempo t; RGOB es el valor original entre -2,5 y 2,5 para el indicador j del país i en el tiempo t. Por ejemplo, si un indicador toma un valor de -1,5 en su rango original, para este trabajo representaría un 20% de desempeño eficiente en el indicador.

El crecimiento del ingreso estará representado por las tasas de crecimiento del Producto Interno Bruto (PIB) per cápita, que se obtuvo a través de la base de datos del Banco Mundial. La actividad emprendedora en función del crecimiento del PIB se ha utilizado en el trabajo de ACS y Amorós (2008), en el que se observa una relación directa entre ambas variables. De igual manera, para América Latina y el Caribe, se espera que el crecimiento del ingreso propicie aumentos en la tasa de actividad emprendedora por oportunidad, lo que se puede percibir como una demanda fructífera del país, propiciando la creación y explotación de oportunidades de mercado por medio del emprendimiento.

Otra variable explicativa del emprendimiento es el desempleo. Para este estudio se utilizan las tasas de desempleo del Banco Mundial. La relación entre emprendimiento y desempleo es ambigua (Storey, 1991). Sin embargo, al trabajar exclusivamente con emprendimientos por oportunidad, se espera una relación negativa entre ambas variables, en la que un aumento en los niveles de desempleo se asocia con una demanda deprimida, ocasionando una disminución en la actividad emprendedora por oportunidad, o bien una reducción del desempleo señalaría una abundancia de oportunidades ocasionando un amento en la cantidad de estos emprendimientos.

La variable inestabilidad captura la consistencia económica y financiera del país. La relación de esta variable con el emprendimiento no es clara, dado que un entorno de inseguridad económica debería ocasionar una disminución en la actividad emprendedora del país. Sin embargo, si se considera al emprendedor como un agente tomador de riesgo, la inestabilidad económica sería un problema menor para aquellos amantes al riesgo (Bjornskov & Foss, 2008), por lo que esto podría no reducir el número de emprendimientos, incluso si se tratan de emprendimientos por oportunidad. En este estudio, para representar la inestabilidad económica, se utiliza como variable proxy la tasa de inflación, cuyos datos se obtuvieron por medio del Banco Mundial.

Con respecto a la tasa de interés, se espera un efecto negativo hacia el emprendimiento por oportunidad. Dado que una disminución en la tasa provocaría una reducción en el ahorro, estimulando a los agentes económicos a invertir posiblemente en nuevos negocios, se obtendría un mayor rendimiento y, en consecuencia, se incrementaría la actividad emprendedora (Méndez-Picazo et al., 2012). La serie de la tasa de interés se tomó del Banco Mundial.

La apertura comercial se calcula sumando las exportaciones e importaciones como porcentaje del PIB. Estos registros acerca del comercio se extrajeron de la base de datos del Banco Mundial. ACS et al. (2008) manifiestan la posibilidad de que los factores institucionales y ambientales expliquen las variaciones de los emprendimientos orientados a la exportación, sugiriendo una relación entre comercio, instituciones y emprendimiento. De este modo, las políticas nacionales orientadas al libre comercio deberían favorecer la creación de nuevos negocios, en cuyo sentido se esperaría una relación positiva entre la actividad emprendedora por oportunidad y la apertura comercial.

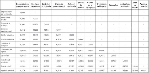
Finalmente, el índice de eficiencia gubernamental (IEG) se incorpora debido a los problemas de multicolinealidad que exhiben los indicadores de gobernabilidad, que se encuentran fuertemente correlacionados, impidiendo realizar una estimación conjunta de los indicadores (tabla 2). En otras palabras, este índice es la solución al conflicto de multicolinealidad y permite llevar a cabo una estimación confiable de estos indicadores. De esta forma, a través del IEG es posible apreciar el impacto conjunto de los indicadores en el emprendimiento por oportunidad de los países de América Latina y el Caribe. El cálculo del IEG consiste en el promedio de los indicadores de gobernabilidad.

Tabla 2: Matriz de correlación de las variables de estudio.

Fuente: elaboración propia.

Análisis descriptivo del emprendimiento por oportunidad y del aspecto institucional

La tabla 3 muestra los estadísticos de emprendimiento, como el promedio, la desviación estándar, el valor máximo y mínimo, para cada uno de los países de estudio. Barbados es el país que reporta la media más alta en la razón emprendimiento oportunidad/necesidad, seguido de Belice, que presenta la mayor razón de emprendimiento oportunidad/necesidad entre los países latinoamericanos; sin embargo, estos dos países también presentaron la mayor dispersión. Por otra parte, las naciones con el menor promedio en la razón oportunidad/necesidad son Jamaica, República Dominicana y Guatemala, con 1,01, 1,01 y 1,20, respectivamente; curiosamente, estos países aparecen junto con Argentina y Venezuela dentro de las cinco naciones con las menores desviaciones.

Asimismo, la tabla 3 muestra los valores máximos y mínimos de la razón emprendimiento por oportunidad/necesidad durante el periodo 2005-2016. Barbados exhibió la mayor razón de 8,57 entre los países analizados, mientras Trinidad y Tobago, Belice y Perú presentaron máximos superiores a 5. En contraparte, los países que obtuvieron una razón máxima inferior a 2 fueron República Dominicana, Jamaica, Venezuela, Guatemala y Brasil. Por otro lado, al observar los valores mínimos de la razón emprendimiento oportunidad/necesidad, se percibe a Barbados y Belice, que presentaron el mayor promedio y desviación, y también ostentan los mínimos más altos dentro de este conjunto de países. Los valores mínimos más pequeños se observan en Jamaica, República Dominicana, Argentina, Brasil y Uruguay. Si bien se mencionaron los países con los estadísticos más extremos, es importante destacar a Bolivia, Chile, Colombia, Costa Rica, México y Panamá, pues mantuvieron valores intermedios en cada uno de los estadísticos analizados en este apartado.

Tabla 3: Estadísticos descriptivos de la razón emprendimiento oportunidad/necesidad para los países de América Latina y el Caribe, 2005-2016.

Fuente: elaboración propia con datos del CEM.

La tabla 4 esboza el análisis descriptivo del aspecto institucional, contemplado por el IEG, que conjunta todos los indicadores de gobernabilidad. Inicialmente, el país con el mayor promedio del IEG es Chile, con 73,26, seguido de Barbados, que también presenta la mayor media en la razón emprendimiento oportunidad/necesidad (tabla 2). Los menores promedios del IEG corresponden a Venezuela, Guatemala y Bolivia, con 24,55, 38,00 y 38,18, respectivamente. Las mayores dispersiones en el IEG pertenecen a Venezuela y Colombia, mientras Trinidad y Tobago, Guatemala y Bolivia manifestaron desviaciones menores a la unidad.

Tabla 4: Estadísticos descriptivos del índice de eficiencia gubernamental para los países de América Latina y el Caribe, 2005-2016.

Fuente: elaboración propia con base en los datos del Worldwide Governance Indicators.

Con respecto a los valores máximos del IEG (tabla 4), aparecen Chile, Barbados, Uruguay y Costa Rica con cifras superiores al 60. Contrariamente, Venezuela, Guatemala y Bolivia muestran los promedios del IEG más bajos del grupo, pero también presentan los datos más pequeños en la columna de máximos. Entretanto, las naciones con los valores más bajos en el estadístico de mínimos son Venezuela, Guatemala, Bolivia y Colombia, mientras los mayores valores en el estadístico de los mínimos corresponden a Chile, Barbados y Uruguay. En general, Chile y Barbados se presentan como las dos naciones con los mejores IEG en América Latina y el Caribe, mientras que Venezuela presentó un bajo IEG, a tal grado que ni el máximo IEG de Venezuela (29,35) durante el periodo 2005-2016 es capaz de superar al IEG más pequeño (36,65 de Bolivia) entre el resto de los demás países.

Por último, al analizar las medias de ambas tablas (3 y 4), se aprecia cómo Barbaros, Chile, y Trinidad y Tobago, países con un elevado IEG, también presentan una alta razón de emprendimiento oportunidad/necesidad. En contraparte, Venezuela, Guatemala y República Dominicana, naciones con un bajo IEG, ostentan bajos niveles de emprendimiento por oportunidad. Estos hallazgos preliminares indicarían la posibilidad de una relación directa entre la actividad emprendedora por oportunidad y la eficiencia gubernamental.

Análisis de resultados

A continuación, se presentan los resultados de la ecuación de emprendimiento por oportunidad. Es importante recordar que, por problemas de correlación entre los indicadores de gobernabilidad, se efectuó una estimación por indicador, realizando un total de siete, incluyendo la estimación con el IEG. Así, también se utilizó la prueba de Hausman (1978) para contrastar el tipo de efecto en el análisis de datos de panel, cuya prueba sugiere la aplicación de efectos aleatorios en todas las estimaciones reportadas, dado que no hay evidencia suficiente para rechazar la hipótesis nula al obtener valores-p mayores al 0,05 (tabla 5).

Tabla 5: Resultados del emprendimiento por oportunidad en los países de América Latina y el Caribe, 2005-2016.

Nota. (**) Significancia al 0,05; y (*) Significancia al 0,1. a se reporta el valor-p de la prueba de Hausman, en donde nr implica no rechazo de la hipótesis nula a un nivel de significancia del 0,05.

Fuente: elaboración propia.

En la primera estimación de la tabla 5 aparece rendición de cuentas, como variable proxy institucional, en la función de emprendimiento por oportunidad. Esta variable institucional se relaciona positivamente con la actividad emprendedora, pues presenta un coeficiente de 0,0287 y estadísticamente significativo, de tal forma que una unidad en el indicador rendición de cuentas incrementará el emprendimiento por oportunidad en 0,0287%. En esta misma estimación, se destacan las variables explicativas de crecimiento del ingreso, desempleo y apertura comercial, pues resultaron ser estadísticamente relevantes para el emprendimiento; sin embargo, crecimiento del ingreso presenta una relación contraria a la esperada.

En la segunda estimación de la tabla 5, se observa que la variable proxy institucional, control de la violencia, es positiva y estadísticamente significativa en el emprendimiento por oportunidad. No obstante, el coeficiente del control de la corrupción presenta un menor impacto en comparación con el desempleo e inestabilidad económica, a tal grado que un 10% en el control de la violencia proporcionaría un incremento del 0,19% en la actividad emprendedora por oportunidad. De igual forma, variables independientes como desempleo, inestabilidad económica y apertura comercial resultaron estadísticamente significativas. Mientras las variables crecimiento del ingreso y tasa de interés no mostraron significancia estadística a ningún nivel convencional.

El resultado de la variable efectividad de gobierno se exhibe en la ecuación 3 de la tabla 5, reportando un parámetro positivo y significativo con el emprendimiento, en el que cada unidad del indicador efectividad de gobierno incrementa en 0,0419% la actividad emprendedora por oportunidad. Por otra parte, en esta estimación, el desempleo y la apertura comercial también resultan ser significativas a un nivel de 0,05.

La estimación 4 en la tabla 5 reporta un coeficiente significativo de 0,0200 en la variable proxy institucional calidad regulatoria. Este coeficiente de la calidad regulatoria es mayor al reportado por la apertura comercial, pero su impacto es menor al comparase en términos absolutos con el desempleo y crecimiento del ingreso. Estas variables de desempleo y apertura comercial también resultaron significativas y con el signo esperado; en cambio, el crecimiento del ingreso exhibió relevancia estadística, pero presentó un signo contrario al esperado.

En la estimación 5 (tabla 5), la variable proxy institucional estado de derecho reporta un parámetro positivo y estadísticamente significativo, con un valor de 0,0242; es decir, la actividad emprendedora por oportunidad incrementa en 0,0242% por cada unidad porcentual en el indicador de estado de derecho. Asimismo, en esta estimación, las variables explicativas de crecimiento del ingreso, desempleo y apertura comercial mostraron significancia estadística, aunque solamente el desempleo y la apertura comercial presentaron el signo esperado. La inestabilidad económica y la tasa de interés exhibieron una relación acorde con el emprendimiento por oportunidad, pero sin significancia estadística a ningún nivel usual.

El indicador control de la corrupción se presenta como una variable institucional importante para el emprendimiento por oportunidad en América Latina y el Caribe, pues cada unidad del indicador control de la corrupción aumentara el remordimiento en 0,0337%. También es importante mencionar cómo las variables de desempleo y apertura comercial, al igual que las variables institucionales, mantuvieron la significancia estadística en cada una de las estimaciones, mostrando en la estimación 6 de la tabla 5 coeficientes de 0,1281 y 0,0133, respectivamente.

Finalmente, la ecuación 7 de la tabla 5 contiene el resultado de la estimación con el IEG, que obtuvo un parámetro de 0,0317 y significativo a un nivel de 0,05 y, por lo tanto, un aumento de diez unidades porcentuales del IEG incrementaría en 0,317% la actividad emprendedora por oportunidad. En esta estimación también destacan las variables desempleo y apertura comercial, al presentar el signo esperado y la relevancia estadística. Por otra parte, la inestabilidad económica y la tasa de interés presentan la relación esperada con el emprendimiento por oportunidad, pero carecen de significancia estadística. El crecimiento del ingreso, además de no ser estadísticamente significativo, no muestra la relación esperada.

En general, las variables institucionales se relacionan directamente con la actividad emprendedora, en donde se destacan las contribuciones de la efectividad del gobierno y el control de la corrupción. Asimismo, el IEG se presenta como un factor clave para la iniciativa emprendedora por oportunidad en América Latina y el Caribe; incluso, la aportación de este índice al emprendimiento es mayor que la presentada por la variable apertura comercial. El desempleo y la apertura comercial, al igual que las variables institucionales, mostraron significancia estadística en cada una de las estimaciones de este trabajo, dejando entrever la relevancia de dichos factores en la generación de emprendimientos por oportunidad. No obstante, el crecimiento del ingreso y la inestabilidad económica resultaron ser intermitentes para el emprendimiento al ser significativas en pocas estimaciones. Por último, la tasa de interés en ningún momento pudo explicar al emprendimiento por oportunidad, dado que no demostró ser significativa en términos estadísticos, además de alternar el signo de su coeficiente entre las estimaciones.

Conclusión

En este trabajo se estudia el efecto de las instituciones sobre la formación de emprendimientos por oportunidad de América Latina y el Caribe durante el periodo 20052016. Para realizar este análisis, se usaron los indicadores de gobernabilidad de Kaufmann et al. (2004) como variables proxies institucionales. Estos indicadores son rendición de cuentas, control de la violencia, efectividad del gobierno, calidad regulatoria, estado de derecho y control de corrupción. A través de un estudio de datos de panel desbalanceado, se encontraron que estas variables institucionales presentan un efecto directo y estadísticamente significativo en la creación de emprendimientos por oportunidad para los países de América Latina y el Caribe.

Con base en estos resultados, este trabajo destaca la aportación de cada indicador de gobernabilidad y, más aún, se enfatiza en la contribución del IEG como elemento generador de emprendimiento por oportunidad, pues contiene la contribución conjunta de estos indicadores. En este sentido, el aspecto institucional es un factor clave para propiciar el emprendimiento por oportunidad en los países estudiados. De tal forma, si las naciones pretenden fomentar este tipo de actividad emprendedora, deberán generar y conservar un entorno institucional transparente y diligente, capaz de crear oportunidades para que estas sean potencialmente explotadas por los emprendedores.

Además, también se exploró la influencia de otras variables en la actividad emprendedora por oportunidad de América Latina y el Caribe, en donde resaltan el desempleo y la apertura comercial. De acuerdo con lo esperado, el desempleo contribuye negativamente al emprendimiento, pues un alto nivel de desempleo es indicativo de un entorno económico deprimido, asociado con carencias de oportunidades y efectos adversos en las perspectivas de los emprendedores potenciales. Caso contrario es la apertura comercial, que exhibió una relación directa con la actividad emprendedora por oportunidad; el argumento a este resultado señala que el acceso a mercados externos origina una mayor rentabilidad para el negocio, y esto es visto por los emprendedores como sinónimo de oportunidad.

Por otra parte, variables como crecimiento del ingreso e inestabilidad económica no demostraron consistencia con el emprendimiento por oportunidad, ya que en pocas ocasiones fueron estadísticamente significativas. En esta investigación, la tasa de interés en ningún momento se manifestó como un factor relevante en términos estadísticos para la actividad emprendedora por oportunidad.

Así, el papel de las instituciones en la actividad emprendedora por oportunidad es fundamental para consolidar una base emprendedora con características deseables para cualquier economía. En los países de América Latina y el Caribe, en donde las instituciones condicionan la estructura emprendedora, es necesario fortalecer y hacer cumplir las normas y leyes, con el fin de propiciar un ambiente libre, justo y confiable que permita el surgimiento de emprendimientos generadores de empleo e innovación, con orientación al fortalecimiento de mercados internos y externos.

Referencias bibliográficas

  1. Acs, Zoltan. (2006). How is Entrepreneurship Good for Economic Growth?. Innovations: technology, Governance and Globalization, 1(1), 97-107. https://doi.org/10.1162/itgg.2006.L1.97_ [URL] 🠔
  2. Acs, Zoltan; Amorós, José Ernesto. (2008). Entrepreneurship and Competitiveness Dynamics in Latin America. Small Business Economics, 31(3), 305-322. https://doi.org/10.1007/s11187-008-9133-y [URL] 🠔
  3. Acs, Zoltan; Desai, Sameeksha; Hessels, Jolanda. (2008). Entrepreneurship, Economic Development and Institutions. Small Business Economics, 31(3), 219-234. https://doi.org/10.1007/s11187-008-9135-9 [URL] 🠔
  4. Acs, Zoltan; Varga, Attila. (2005). Entrepreneurship, Agglomeration y Technological Change. Small business Economics, 24(3), 323-334. https://doi.org/10.1007/s11187-005-1998-4 [URL] 🠔
  5. Álvarez, Claudia; Amorós, José Ernesto; Urbano, David. (2014). Regulations and Entrepreneurship: Evidence from Developed and Developing Countries. Innovar, 24(edición especial) 2014, 81-89. https://doi.org/10.15446/innovar.v24n1spe.47548 [URL] 🠔
  6. Álvarez, Claudia; Urbano, David. (2012). Factores del Entorno y Creación de Empresas: un Análisis Institucional. Revista Venezolana de Gerencia, 17(57), 9-38. 🠔
  7. Aparicio, Sebastian; Urbano, David; Audrestch, David. (2015). Institutional Factors, Opportunity Entrepreneurship and Economic Growth: Panel Data Evidence. Technological Forecasting and Social Change, 102, 45-61. https://doi.org/10.1016/j.techfore.2015.04.006 [URL] 🠔
  8. Audretsch, David; Keilbach, Michael. (2002). Entrepreneurship Capital and Economic Performance. ZEW Discussion Paper 02-76. ftp://ftp.zew.de/pub/zew-docs/dp/dp0276.pdf [URL] 🠔
  9. Avnimelech, Gil; Zelekha, Yaron; Sharabi, Eyal. (2014). The Effect of Corruption on Entrepreneurship in Developed vs non-Developed Countries. International Journal of Entrepreneurship behavior and Research, 20(3), 237-262. https://doi.org/10.1108/ ijebr-10-2012-0121 [URL] 🠔
  10. Bjornskov, Christian; Foss, Nicolai. (2008). Economic Freedom and Entrepreneurial Activity: Some Cross-Country Evidence. Public Choice, 134(3-4), 307-328. https://doi.org/10.1007/s11127-007-9229-y [URL] 🠔
  11. Bosma, Niels; Content, Jeroen; Sanders, Mark; Stam, Erik (2018). Institutions, Entrepreneurship, and Economic Growth in Europe. Small business Economics, 51(2), 483-499. https://doi.org/10.1007/s11187-018-0012-x [URL] 🠔
  12. Davari, Ali; Farokhmanesh, Taraneh. (2017). Impact of Entrepreneurship Policies on Opportunity to Startup. Management Science Letters, 7, 431-438. https://doi.org/10.5267/j.msl.2017.6.003 [URL] 🠔
  13. Desai, Mihir; Gompers, Paul; Lerner, Josh. (2003). Institutions, Capital Constraints, and Entrepreneurial Firms Dynamics: Evidence from Europe. National Bureau of Economic Research, Working Papers Series 10165. https://doi.org/10.3386/w10165 [URL] 🠔
  14. Estrin, Saul; Aidis, Ruta; Mickiewicz, Tomasz. (2007). Institutions and Entrepreneurship Development in Russia: A Comparative Perspective. Journal of business Venturing, 23, 656-672. https://doi.org/10.2139/ssrn.1017252 [URL] 🠔
  15. Fairlie, Robert; Fossen, Frank. (2017). Opportunity versus Necessity Entrepreneurship: Two Components of Business Creation. SIERPR Discussion Paper, N.° 17-014. https://doi.org/10.2139/ ssrn.3010267 [URL] 🠔
  16. Friedman, Barry. (2011). The Relationship between Governance Effectiveness and Entrepreneurship. International Journal of Humanities and Social Science, 1 (17), 221-225.https://www.researchgate.net/publication/264999560_The_Relationship_between_Go-vernance_Effectiveness_and_Entrepreneurship [URL] 🠔
  17. García-Posada, Miguel; Mora-Sanguinetti, Juan. (2014). Entrepreneurship and Enforcement Institutions: Disaggregated Evidence for Spain. Banco de España, Documento de Trabajo 1405. https://doi.org/10.2139/ssrn.2413422 [URL] 🠔
  18. Hausman, Jerry. (1978). Specification Test in Econometrics. Econometrica, 45(6), 1251-1271. https://doi.org/10.2307/1913827 [URL] 🠔
  19. Hwang, Hokyu; Powell, Walter. (2005). Institutions and Entrepreneurship. En S. A. Álvarez, R. Agarwal & O. Sorenson (Eds.), International Handbook Series on Entrepreneurship (pp. 201-232). Boston: Springer. https://doi.org/10.1007/0-387-23622-8_10 [URL] 🠔
  20. Kantis, Hugo. (2008). Emprendedores de origen humilde: ¿Cómo incide la estructura social en la creación de empresas en América Latina? Nueva York: Banco Interamericano de Desarrollo y FUNDES Internacional. 🠔
  21. Kantis, Hugo; Angelelli, Pablo; Koenig, Virginia (Eds.). (2004). Desarrollo Emprendedor: América Latina y la Experiencia Internacional. Nueva York: Banco Interamericano de Desarrollo y fundes Internacional . 🠔
  22. Kantis, Hugo; Ishida, Masahiko; Komori, Masahiko. (2002). Empresarialidad en Economías Emergentes: Creación y Desarrollo de Nuevas Empresas en América Latina y el Este de Asia. Banco Interamericano de Desarrollo. https://publications.iadb.org/publications/spanish/document/Empresarialidad-en-econom%C3%ADas-emergentes-Creaci%C3%B3n-y-desarrollo-de-nuevas-empresas-en-Am%C3%A9rica-Latina-y-el-Este-de-Asia.pdf [URL] 🠔
  23. Kaufmann, Daniel; Kraay, Aart; Mastruzzi, Massimo. (2004). Governance Matters III: Governance Indicators for 1996, 1998, 2000 and 2002. The World bank Economic Review, 18(2), 253-287. https://doi.org/10.1093/wber/lhh041 [URL] 🠔
  24. Kirzner, Israel. (1997). Entrepreneurial Discovery and the Competitive Market Process: An Austrian Approach. Journal of Economics Literature, 35(1), 60-85. https://www.jstor.org/stable/2729693 [URL] 🠔
  25. Leibenstein, Harvey. (1968). Entrepreneurship and Development. The American Economic Review, 58(2), 72-83. https://www.jstor.org/stable/1831799 [URL] 🠔
  26. López-Claros, Augusto; Altinger, Laura; Blanke, Jennifer; Drzeniek, Margareta; Mia, Irene. (2006). Assessing Latin America Competitiveness: Challenges and Opportunities. En López-Claros (Ed.), The Latin America Competitiveness Review (pp. 3-36). World Economic Forum. 🠔
  27. Luksha, Pavel. (2008). Niche Construction: The Process of Opportunity Creation in the Environment. Strategic Entrepreneurship Journal, 2(4). 269-283. https://doi.org/10.1002/sej.57 [URL] 🠔
  28. Méndez-Picazo, María-Teresa; Galindo-Martín, Miguel-Ángel; Ribeiro-Soriano, Domingo. (2012). Governance, Entrepreneurship and Economic Growth. Journal of Entrepreneurship and Regional Development, 24(9-10), 865-877. https://doi.org/10.1080/08985626.2012.742323 [URL] 🠔
  29. North, Douglas. (1993). Instituciones, cambio institucional y desempeño económico. México: Fondo de Cultura Económica. 🠔
  30. Nyström, Kristina. (2008). The Institutions of Economic Freedom and Entrepreneurship: Evidence from Panel Data. Public Choice, 136(3-4), 269-282. https://doi.org/10.1007/s11127-008-9295-9 [URL] 🠔
  31. Plummer, Lawrence; Haynie, Michael; Godesiabois, Joy (2007). An Essay on the Origins of Entrepreneurial Opportunity. Small business Economics, 27(4), 363-379. https://doi.org/10.1007/s11187-006-9036-8 [URL] 🠔
  32. Ramírez, Martín; Bernal, Manuel; Fuentes, Roberto. (2013). Emprendimiento y desarrollo manufactureros en las entidades federativas de México. Revista Problemas del Desarrollo, 44(174), 167-195. https://doi.org/10.1016/s0301-7036(13)71892-3 [URL] 🠔
  33. Shane, Scott; Venkataraman, Sankaran. (2000). The Promise of Entrepreneurship as a Field of Research. Academy of Management Review, 25(1), 217-226. https://doi.org/10.5465/amr.2000.2791611 [URL] 🠔
  34. Storey, David. (1991), The Birth of New Firms - Does Unemployment Matter? A Review of the Evidence. Small business Economics, 3(3), 167-178. https://doi.org/10.1007/bf00400022 [URL] 🠔
  35. Urbano, David; Álvarez, Claudia. (2014). Institutional Dimensions and Entrepreneurial Activity: An International Study. Small business Economics, 42(4), 703-7016. https://doi.org/10.1007/s11187-013-9523-7 [URL] 🠔
  36. Urbano, David; Aparicio, Sebastian. (2015). Entrepreneurship Capital Types and Economic Growth: International Evidence. Technological Forecasting and Social Change, 102, 34-44. https://doi.org/10.1016/j.techfore.2015.02.018 [URL] 🠔
  37. Valdez, Michael; Richardson, James. (2013). Institutional Determinants of Macro-Level Entrepreneurship. Entrepreneurship Theory and Practice, 37(5), 1149-1175. https://doi.org/10.1111/etap.12000 [URL] 🠔
  38. Viego, Valentina. (2004). La empresarialidad e instituciones: dos nuevas perspectivas del análisis regional contemporáneo. Revista Eure, 30(90), 41-63. https://doi.org/10.4067/s0250-71612004009000004 [URL] 🠔
Saavedra-Leyva, Rafael Eduardo; flores, Michelle Texis. (2019). El factor institucional en el emprendimiento por oportunidad de América Latina y el Caribe. Innovar, 29(73), 99-112. https://doi.org/10.15446/innovar.v29n73.78025.
K0, L26, O54
Los autores no manifiestan conflictos de intereses institucionales ni personales.