Literatura: Teoría, Historia, Crítica
0123-5931
Universidad Nacional de Colombia
https://doi.org/10.15446/lthc.v25n2.108772

Recibido: 15 de enero de 2023; Aceptado: 12 de abril de 2023; : 1 de julio de 2023

¿Cómo evaluar la fidelidad de una traducción? Métodos cuantitativos en el estudio de las traducciones poéticas

How to Evaluate the Fidelity of a Translation? Quantitative Methods in the Study of Poetic Translations

Como avaliar a fidelidade de uma tradução? Métodos quantitativos no estudo de traduções poéticas

V. Polilova, 1

Universidad Lomonósov de Moscú, Moscú, Rusia. polilovavs@my.msu.ru Lomonosov Moscow State University Universidad Lomonósov de Moscú Moscú Russia

Resumen

Este artículo versa sobre los métodos de evaluación cuantitativa de la exactitud léxica y rítmica de las traducciones en verso y describe varios enfoques prácticos alrededor de este problema desarrollados dentro de la academia rusófona de los siglos XX y XXI. El método más conocido fue propuesto por el eminente académico Mijaíl L. Gaspárov (1975, 1986, 1989, etc.), para evaluar la correspondencia léxica entre las traducciones literales (verbum pro verbum) y las traducciones métricas basadas en ellas (traducción indirecta). Más tarde, este método fue usado por Gaspárov, y por otros investigadores, para comparar poemas originales y sus traducciones directas. Aparte del planteamiento gasparoviano del problema, el artículo presenta un ensayo relacionado con los métodos de evaluación cuantitativa de la exactitud léxica de las traducciones del investigador ucraniano Oleksandr M. Fínkel. La segunda sección del trabajo demuestra las posibilidades del análisis cuantitativo a través de la revisión de tres traducciones métricas al ruso del poema “Reyerta” (1926) de Federico García Lorca, hechas por Valentín Ya. Parnaj (1940), Anatoli M. Gueleskul (1968) y Pável M. Grushkó (1975). Además, el artículo propone un breve excursus sobre la historia de la teoría formalista del texto poético y de la traducción poética que, en mi opinión, es la base teórica de los estudios comparativo-cuantitativos de la poesía en traducción.

Palabras clave:

exactitud léxica, exactitud rítmica, fidelidad traductora, literalidad traductora.

Abstract

This article discusses the quantitative evaluation methods of lexical and rhythmic exactness of verse translations. It describes the practical approaches to this problem developed within the Russian-speaking academia of the 20th and 21st centuries. The best-known method was proposed by the eminent scholar Mikhail L. Gasparov (1975, 1986, 1989, etc.) to evaluate the lexical correspondence between literal translations (verbum pro verbum) and metrical translations based on them (indirect translation). Later, Gasparov and other researchers applied this method to compare original poems and their direct translations. Apart from Gasparov’s approach to the problem, the article presents related essays by Oleksandr M. Finkel (1966, published in 2001, 2006). The paper’s second section demonstrates the possibilities of quantitative analysis on the example of three Russian metrical translations of Federico Garcia Lorca’s poem “Reyerta” (1926) by Valentin Ya. Parnach (1940), Anatoly M. Geleskul (1968), and Pavel M. Grushko (1975). In addition, the article proposes a brief excursus on the history of the formalist theory of the poetic text and poetic translation, which should be considered the theoretical basis of comparative-quantitative studies of translated poetry.

Keywords:

lexical exactness, rhythmic exactness, faithfulness, literalness in translation.

Resumo

Este artigo é dedicado aos métodos de avaliação quantitativa da exatidão lexical e rítmica das traduções de versos e descreve as abordagens práticas para esse problema, que foram desenvolvidas no seio da academia da academia russófona dos séculos XX e XXI. O método mais conhecido foi proposto pelo eminente estudioso Mikhail L. Gasparov (1975, 1986, 1989, etc.) para avaliar a correspondência lexical entre as traduções literais (verbum pro verbum) e as traduções métricas baseadas em elas (tradução indireta). Mais tarde, esse método foi aplicado pelo próprio Gasparov e outros investigadores para comparar poemas originais e as suas traduções diretas. Para além da abordagem gasparoviana do problema, o artigo apresenta um ensaio relacionado aos métodos de avaliação quantitativa da exatidão lexical em traduções do pesquisador ucraniano de Oleksandr M. Fínkel. A segunda secção do artigo demonstra as possibilidades de análise quantitativa por meio de três traduções métricas para o russo do poema “Reyerta” (1926) de Federico García Lorca, feitas por Valentín Ya. Parnaj (1940), Anatoli M. Gueleskul (1968) e Pável M. Grushkó (1975). Além disso, o artigo oferece um breve excursus sobre a história da teoria formalista do texto poético e da tradução poética, que deve ser considerada a base teórica dos estudos comparativos-quantitativos da poesia traduzida.

Palavras-chave:

exatidão lexical, exatidão rítmica, fidelidade, literalidade na tradução.

Introducción

La cuestión de la calidad de una traducción, especialmente de la posible fidelidad de la traducción en verso, es acuciante. La variedad y amplitud de enfoques que tenemos hoy en los estudios de traducción nos permite explorar el proceso y el resultado de una traducción sin emitir juicios de valor (“buena”, “mala”, “la mejor traducción”) ni prescripciones o recetas (instrucciones didácticas sobre cómo traducir), pero el problema de la exactitud sigue siendo primordial (y, sin duda, siempre lo será).

¿Esta traducción es correcta o incorrecta? Si hay versiones, ¿cuál de ellas es la más exacta y adecuada?, ¿qué traductores son los más profesionales y talentosos? Estas preguntas se las hacen invariablemente tanto los lectores como los estudiosos de la literatura. Sin embargo, el debate sobre la calidad, adecuación, fidelidad y literalidad de las traducciones continúa siendo un ámbito tradicional de evaluación especulativa, basada en impresiones subjetivas. El análisis de las traducciones, especialmente de las traducciones métricas y rimadas, se convierte fácilmente en la enumeración de errores o se construye como un listado mecánico de soluciones dadas en una determinada traducción y, entonces, tiene poco que ofrecer, no solo para la mente y el corazón del lector, sino también para la historia y la teoría de la traducción. Todas estas circunstancias son bien conocidas y se han debatido más de una vez en la interminable bibliografía sobre la traducción.

Para luchar contra la parcialidad y la irracionalidad en la evaluación de las traducciones, y crear una historia objetiva de la traducción, dos investigadores que trabajaban en la Unión Soviética, cada uno por su cuenta, propusieron en los años sesenta y setenta usar un enfoque cuantitativo para evaluar la fidelidad léxica. Por un lado, el estudio de Oleksandr M. Fínkel, escrito en 1966, prácticamente, pasó desapercibido y no fue publicado sino hasta el 2001. Y, por el otro, el trabajo de Mijaíl L. Gaspárov (1975) sobre este tema fue ampliado y desarrollado en sus propias investigaciones (1986, 1989, etc.) y en las de sus colegas.

A continuación, se analizará el propio método y sus variantes, sus limitaciones, su base teórica y los resultados de su aplicación. Además, se mostrarán las posibilidades del análisis cuantitativo léxico y rítmico a través del ejemplo de tres traducciones métricas al ruso del poema “Reyerta” (1926) de Federico García Lorca, realizadas por Valentín Ya. Parnaj (1940), Anatoli M. Gueleskul (1968) y Pável M. Grushkó (1975).

Métodos de evaluación cuantitativa de la exactitud léxica: Oleksandr M. Fínkel y Mijaíl L. Gaspárov, sus predecesores y herederos

Aunque el método cuantitativo de evaluación de la exactitud léxica de la traducción propuesto por Mijaíl Gaspárov1 ha conseguido mayor reconocimiento y popularidad en la academia rusa, el pionero en este campo, por lo que se puede juzgar hoy, fue Oleksandr Fínkel.2 En 1966, este filólogo y traductor ucraniano, profesor de la Universidad de Járkov, escribió un artículo titulado “Las traducciones rusas de ‘Wanderers Nachtlied’ de Goethe”,3 el cual no pasó el filtro editorial y no fue publicado sino hasta principios del siglo XXI (2001, 20064). Una característica novedosa de la obra de Fínkel, razón por la cual no se permitió su aparición en las páginas de revistas soviéticas,5 es el intento de calcular la cercanía de las traducciones con el original por medio del número de palabras coincidentes, sinónimas y añadidas por el traductor.

Fínkel era un investigador de renombre. En 1929, cuando apenas tenía 30 años, publicó en ucraniano el libro Teoría y práctica de la traducción, considerado como la primera monografía sobre la traducción en Europa del Este (Kalnichenko 452) y, a partir de allí, siguió estudiando los problemas de la traducción literaria y ejerciendo como traductor durante toda su vida. Sus últimos trabajos estuvieron dedicados al estudio comparativo de las traducciones y retraducciones del mismo poema: “El soneto 66 [de Shakespeare] en las traducciones rusas”, “Lérmontov y otros traductores de las ‘Hebrew Melody’ de Byron” y “‘Zapovit’ de Tarás Shevchenko en traducciones al ruso”.6 Dos de estos ensayos fueron publicados en Masterstvo perevoda (1967, 1970), la principal edición seriada soviética dedicada al tema de la traducción artística. Sin embargo, en los trabajos publicados no se menciona el enfoque cuantitativo, aunque se compara el número de palabras en los textos en cuestión (“Lermontov i drugie perevodchiki” 183).

Como es evidente, un estudio cuantitativo léxico puede criticarse, pues considerar el número de palabras coincidentes no equivale a evaluar la exactitud del significado. Una frase traducida puede estar formada por elementos próximos, pero distorsionar por completo el significado del texto original, y, aun así, por medio de una metodología cuantitativa, ser considerada “exacta”. A esta crítica se podría responder que el número de estos casos en las traducciones es escaso, incluso, en las de mala calidad. Ahora, el obstáculo que no permitió la publicación del artículo de Fínkel fue la aversión característica de la época al análisis cuantitativo en los estudios literarios que se remonta a las luchas contra el formalismo de los años treinta. Tanto en el plano ideológico como investigativo, la preferencia por un enfoque adaptativo de la literatura en lengua extranjera, es decir, la firme convicción de que la traducción debe preservar el espíritu más que la letra de la obra, fue desafiada, aunque levemente, solo unos años más tarde, tras la muerte de Fínkel.

En los años sesenta y setenta, en la periferia de la cultura ideológica soviética, el estructuralismo ya era tolerado; además, fue posible rehabilitar el legado formalista y publicar obras continuadoras de esta tradición en revistas de las ciudades de las repúblicas soviéticas, a pesar de que esto seguía estando prohibido en las capitales -Moscú y Leningrado-. En 1971, Gaspárov hizo un intento por desideologizar el campo de la crítica de la traducción,7 publicando un artículo titulado “Briúsov y el literalismo” (también aparece en Masterstvo perevoda, vol. 8), en el cual sugería abandonar la noción de “literalismo” como devaluadora. La discrepancia entre este trabajo y la teoría y la práctica y la crítica de la traducción dominantes era evidente, y el artículo fue precedido por un editorial, “Invitación al debate”, de Lev Ózerov. En el tomo siguiente, los editores publicaron un bloque especial de réplicas bajo el título general “¿Retorno al literalismo? (A propósito del artículo de M. Gaspárov)”, en el cual se criticaba desde diversos ángulos el enfoque de Gaspárov sobre la literalidad. La traducción literal, la traducción palabra por palabra y el enfoque de extranjerización eran considerados despreciables por la corriente preponderante. Así, en tales circunstancias, un intento por medir objetivamente la exactitud de una traducción parecía revelar las deficiencias del método dominante y sonaba como una crítica velada al mismo.

El siguiente paso hacia un enfoque descriptivo-cuantitativo del estudio de la traducción literaria fue la obra de Gaspárov, publicada por primera vez en 1975, “La traducción interlineal y la medida de la exactitud” (“Podstrochnik i mera tochnosti”).8 Al igual que el trabajo inédito de Fínkel sobre las traducciones de Goethe, este ofrecía una metodología cuantitativa para analizar las relaciones léxicas, aunque no entre el original y la traducción, sino entre las traducciones interlineales y las traducciones poéticas. A partir de la comparación de los materiales preparatorios (traducciones interlineales) de la antología Poesía de Armenia9 (1916) con las traducciones poéticas contenidas en dicha antología, Gaspárov reflexiona sobre el problema de la exactitud y se cuestiona:

Las traducciones [...] pueden contraponerse como “exactas” (“literalistas” [...]) y “libres” (“creativas”, como suele expresarse hoy en día). Pero cabe preguntarse: si es posible expresar cuantitativamente estos conceptos, si es posible decir, en vez de simplemente “una traducción es más exacta y la otra más libre”, que “una traducción es un tanto [por ciento] más exacta y la otra es un tanto [por ciento] más libre”? (“Podstrochnik i mera tochnosti” 363)

Además, distingue varios tipos de correspondencia palabra por palabra entre el interlineal y la traducción:

  • Reproducción exacta de una palabra.

  • Sustitución de una palabra del texto por un sinónimo de la misma raíz.

  • Sustitución de una palabra del texto por un sinónimo de distinta raíz.

  • Omisión de una palabra del texto interlineal.

  • Adición de palabras que no figuraban en el texto interlineal.

También, introduce dos índices: el índice de exactitud, que es la relación entre el número de palabras reproducidas y el número total de palabras del texto interlineal, y el índice de libertad, que corresponde a la relación entre el número de palabras añadidas arbitrariamente y el número total de palabras de la traducción poética. Ambos valores se expresan en porcentaje.

El planteamiento de Gaspárov está en concordancia con las sugerencias anteriores de Fínkel:

La exactitud de una traducción se determina principalmente por el grado en que la composición léxica de la traducción se corresponde con la del original. Esto se expresa en los siguientes índices:

(a) cuántas palabras del vocabulario de la traducción coinciden con el original; (b) cuántas palabras de la traducción son sinónimas del original; (c) cuántas palabras de la traducción aporta el traductor.

Todo esto puede expresarse en términos cuantitativos [...]. (“Nochnaia pesnia strannika’’ 120)10

Ahora, el artículo de Fínkel no da criterios para distinguir entre traducción sinonímica y traducción exacta, lo cual no es fácil cuando se trabaja con textos en dos idiomas. Cuando uno trabaja con interlineales y traducciones, como en los primeros estudios de Gásparov sobre la exactitud de la traducción, este problema desaparece y, sin duda, es mucho más fácil diferenciar los tipos de sustituciones. Además, Fínkel cuenta las palabras exactas y añadidas en proporción al número de palabras de la traducción, mientras que los índices de exactitud y libertad de Gaspárov son independientes entre ellos: la exactitud se determina por el número total de palabras significativas de los interlineales (o, en obras posteriores, del original) y por las palabras añadidas por el número de palabras de la traducción, lo cual es ciertamente más correcto.

Con Gaspárov como ejemplo, Violeta Nastopkienė, su colaboradora, aplicó con éxito el método de evaluación de la exactitud léxica de las traducciones y las versiones interlineales en su estudio de las traducciones al ruso de dos poemas de la poeta lituana Salomėja Nėris (usó los materiales de un concurso de traducción). Es allí, en el artículo de Nastopkienė: “Una experiencia en investigación sobre la exactitud de la traducción”,11 publicado en 1981 en la Revista de la Universidad de Vilna Literatūra, donde se describe con mayor detalle el método de análisis y las peculiaridades de su aplicación. En 1986 Gaspárov publica un artículo sobre una traducción poética de Pushkin, en el cual , por primera vez, compara textos en distintas lenguas en lugar de la traducción y el texto interlineal (“‘De Jenófanes de Colofón’ de Pushkin. La poética de la traducción”12). En 1989, continuó con este enfoque en un artículo titulado “Ánnenski, traductor de Esquilo”.13 Cabe destacar que en esta obra Gaspárov aporta sus cálculos no solo para la traducción de Esquilo de Ánnenski, sino también para otros textos:

Para comparar, algunas cifras más. El 60 % que fue añadido por Ánnenski al coro de Las suplicantes [“Umoliaiushchie”] ni siquiera es el máximo posible de libertad. En su traducción del poema de Verlaine “Ia dolgo byl bezumen i pechalen…” [“Ô triste, triste était mon âme”], el índice de exactitud de Ánnenski es del 35 % y el de libertad del 70 %: casi tres cuartas partes del poema no fueron escritas por Verlaine, sino por Ánnenski. Las traducciones literalistas de Briúsov de los sonetos armenios tienen un índice de exactitud del 40 %, un índice de libertad del 25 % (¡no obstante las limitaciones adicionales debidas al rigor de la forma!). En las traducciones de Marshak de los sonetos shakespearianos (soneto 65) la exactitud es del 45 %, la libertad del 60 % (¡como en el coro de Ánnenski!). En la traducción de Pushkin de Chénier “Ty vianesh i molchish; pechal tebia snedaet…” [“Jeune fille, ton coeur avec nous veut se taire…”], la exactitud es del 50 %, la libertad del 40 %; en la de Merimée (“Vlaj v Venetsii” [“Le Morlaque à Venise”]), la exactitud es del 55 %, la libertad del 35 % (debido a la ausencia de rima). En conjunto, se puede afirmar que, en promedio, la exactitud de la traducción rusa en verso (necesaria para que sea considerada una traducción y no una imitación) es del 50 %, con un margen de error del 10 %, mientras que la libertad oscila dentro de un margen muy amplio y merece especial atención por parte de los investigadores. (“Annenski - perevodchik Esjila” 143)

La dificultad de aplicar el método gasparoviano al análisis de textos en dos lenguas, el original y la traducción, es evidente: a menudo es difícil trazar la línea divisoria entre la reproducción exacta de una palabra y un sinónimo. Se debe tener en cuenta que las lenguas difieren en su vocabulario, funciones de las partes de la oración, estructuras gramaticales y expresiones idiomáticas. Todos estos fenómenos complican el análisis comparativo. Además, los principios de categorización de las correspondencias palabra por palabra aplicados por Gaspárov en sus propias obras no están del todo claros. En primer lugar, no está bien definido si, al comparar originales y traducciones, tiene en cuenta como correspondencias exactas los casos en que en la traducción se utiliza un sinónimo o una palabra de otra parte de la oración. Como demostró mi revisión de los datos de Gaspárov sobre la exactitud léxica de las dos traducciones de la Divina commedia (“O novom perevode”), en su análisis comparativo del original y de la traducción, este entendía por palabra reproducida “exactamente” no solo aquellas coincidencias directas e indiscutibles, sino también casos de sustitución de parte de la oración y de utilización de sinónimos. En mis propios cálculos trato todos los casos controvertidos a favor del traductor.14

En 1997 se volvieron a publicar los artículos de Gaspárov con análisis cuantitativos en un volumen de sus obras escogidas. Hasta ese instante, dichos artículos eran casi desconocidos, pero, a partir de ese momento, otros investigadores empezaron a aplicar la metodología, lo cual condujo a que, en las dos últimas décadas, varios trabajos de análisis cuantitativos se publicaran. Este método cuantitativo se utiliza en tres situaciones principales:

  1. Descripción comparativa de traducciones de un mismo original realizadas por distintos autores.15

  2. Descripción del estilo de traducción de determinados traductores.16

  3. Distinción entre las traducciones y las imitaciones y cuantificación de los géneros de traducción.

Solo un investigador17 ha aplicado esta última línea de estudio en sus trabajos, pero nos parece muy prometedora y requiere un mayor desarrollo. A través del método gasparoviano, Igor Pílshchikov diferenció traducciones libres de imitaciones en la poesía traducida de la Edad de Oro rusa. Como resultado de su análisis, observó que los índices de exactitud y libertad en las “imitaciones” y “traducciones libres” del poeta ruso Bátiushkov se distancian. Así, los géneros de traducción, al igual que los géneros literarios en general, difieren entre ellos en la proporción de la presencia de uno u otro rasgo relevante.

La metodología de Fínkel y Gaspárov para cuantificar la exactitud de la traducción está vinculada genéticamente a la tradición formalista de los años veinte y treinta. El interés por el problema de la traducción artística en esta época fue estimulado por la ola de crecimiento de la actividad editorial en el nuevo Estado soviético y, también, fue impulsado por la demanda de las nuevas instituciones, imprentas e institutos de investigación (Baskina 5-9 et passim). En esa época, los aportes principales a los debates sobre la traducción poética fueron hechos por destacados estudiosos y traductores de Moscú, Leningrado y Járkov (entre ellos el joven Fínkel), en su mayoría representantes de la corriente formalista. Su activa labor nos permite hablar de la aparición de una escuela de traducción filológica en la URSS de este periodo. Una escuela que, debido a las circunstancias cambiantes, fue derrotada y tachada de literalista, y cuyos resultados y logros fueron relegados al olvido durante décadas, pero que, a pesar de todo, sobrevivieron en la clandestinidad. En los últimos años, ideas, búsquedas y traducciones de la época se han convertido en objetos de interés (Pym, Ayvazyan; Schippel, Zwischenberger; Baskina).

Los temas clave que se debatieron entonces fueron el de la traducción equimétrica y la exactitud verbal y figurativa. La teoría formalista del texto se caracterizaba por la división del texto en niveles (figurativo, verbal, fonético, etc.) y, a su vez, cada nivel requería atención en la traducción. A nivel fonético, la exigencia de exactitud requería la preservación de la métrica y la rima (la tradición de la traducción métrica, es decir, la reproducción e imitación de la versificación del texto fuente, sigue siendo prominente en la cultura poética rusa hasta nuestros días), la composición verbal, las figuras estilísticas, etc. Estos fructíferos debates apenas se reflejan en artículos y ensayos. Aparte de los casi olvidados artículos de Andréi V. Fiódorov18 y el trabajo del investigador de traducciones ucraniano Volodímir Derzhavin, las ideas de este periodo quedaron inéditas y abandonadas.

En esa misma época nació la idea de que la traducción podía estudiarse de forma descriptiva y no prescriptiva. Esta idea fue cultivada por Borís Yarjó, uno de los principales investigadores de la época y destacado traductor, cuyo legado ejerció una profunda influencia en Gaspárov. En su obra principal, La metodología de los estudios literarios exactos,19 la cual se publicó completa hasta 2006,20 dedica un párrafo a la traductología:

La traductología se encuentra actualmente en la fase primitiva de una disciplina normativa. Todo el mundo enseña cómo no traducir (menos frecuentemente, cómo hacerlo); nadie se ha molestado en abordar cómo se traduce [realmente] [...]. Casi al final [de mi vida] puse los fundamentos para el trabajo sobre el cual se podría construir un nuevo estudio descriptivo de la traducción [...] se trataba de hacer un fichero de los métodos de traducción, principalmente comparando varias traducciones de un mismo original. Las fichas debían clasificarse por métodos de traducción, así como por la forma del original (imagen, sintaxis, expresiones idiomáticas, etc.). Ya las primeras 5.000 fichas podrían proporcionar material para una sistematización rudimentaria de las técnicas de traducción. (Yarjó 41)

Más aún, sabemos que en el círculo de traductores y filólogos de la segunda mitad de la década del veinte se debatió la posibilidad de la evaluación cuantitativa de la exactitud de traducciones poéticas (Yarjó 632; Baskina 53). Tanto Fínkel como Gaspárov podrían haber conocido estas discusiones. En cualquier caso, es lógico que Fínkel, cuya carrera académica se inició en los años veinte, y Gaspárov, quien se autoproclamó heredero académico de Borís Jarjo, propusieran el estudio de la traducción mediante un análisis cuantitativo del léxico.

Métodos de evaluación cuantitativa de la exactitud rítmica en versología

Los estudios comparativos de la rítmica de traducciones y originales no se hacen, en su mayoría, en el marco de la traductología, sino en el de la métrica o versología comparada. Los versólogos que trabajan en la tradición del “método ruso” (Bailey, “The Russian linguistic-statistical method”), es decir, el análisis cuantitativo de la estructura rítmica del verso, empezaron sus trabajos comparatistas analizando las diferencias rítmicas entre las formas métricas rusas más estudiadas y las formas extranjeras homónimas. Los títulos de los artículos clásicos sobre rítmica comparada dan testimonio de aquel enfoque: “El pentámetro yámbico búlgaro comparado con el ruso”21 (Jakobson), “Metrical Typology: English, German, and Russian Dolnik” (Tarlinskaja), etc.22

En la actualidad, el interés en este campo se dirige hacia la recopilación y sistematización de información sobre las traducciones equimétricas y equirrítmicas y sobre las influencias rítmicas interlingüísticas. Boris Tomashevski parece haber sido el primero en descubrir, hace cien años, este último fenómeno, mostrando la influencia del ritmo del décasyllabe francés en el ritmo del pentámetro yámbico de Piotr Viázemski, el poeta contemporáneo de Pushkin (Tomashevski 226-227). Más tarde, James Bailey estudió este tema (“Blok and Heine”), a partir de los materiales del ritmo de los poemas originales de Heine y de sus traducciones al ruso realizadas por Aleksandr Blok. Esto, también, lo hicieron Gaspárov (“Verso italiano: silábico o silabotónico”23), a través de los ejemplos de traducciones rusas del endecasílabo de Dante y Mickiewicz, y Marina Tarlinskaja, en un trabajo sobre la imitación que hizo el traductor Iván Aksiónov de los rasgos rítmicos del yambo inglés (“¿Un literalismo rítmico?”24). Entre los trabajos recientes de este tipo se encuentran aquellos -Liapin, Pilshchikov- sobre la rítmica comparativa del verso acentual ruso y alemán (Heine y traducciones) y sobre los límites lingüísticos de la traducción equimétrica y equirrítmica, así como un artículo sobre las traducciones equirrítmicas del alemán de Ósip Brik -Polilova25-. En los trabajos mencionados, se han propuesto varios términos para el fenómeno de la imitación rítmica interlingüística: “estilización rítmica”, “literalismo rítmico”, “calco rítmico”.

La experiencia de los estudiosos del verso puede utilizarse en el análisis de cualquier traducción en verso, pero, por supuesto, la aplicación más productiva del análisis cuantitativo del ritmo se da en el caso de que el traductor intente reproducir la estructura rítmica del texto original. En tal caso, debe compararse la frecuencia de uso de patrones rítmicos, así como su distribución. Como veremos en la próxima sección, algunos traductores tienden a copiar las estructuras rítmicas línea por línea. Sugiero que este rasgo se considere una característica significativa de su estilo traductor.

Análisis cuantitativo léxico y rítmico de las traducciones métricas rusas del poema lorquiano “Reyerta” (1926) realizadas por Valentín Parnaj (1940), Anatoli Gueleskul (1968) y Pável Grushkó (1975)

Para mostrar cómo se efectúa en términos prácticos un análisis cuantitativo comparativo léxico-rítmico de traducciones poéticas, hemos elegido tres traducciones métricas rimadas del romance “Reyerta” (1926) de Federico García Lorca. Estas fueron hechas por ilustres traductores con una excelente reputación artística:

  1. Valentín Parnaj (1891-1951): poeta, pionero del jazz soviético y traductor del español y del francés, representante de la generación de la Edad de Plata rusa.

  2. Anatoli Gueleskul (1934-2011): el traductor más apreciado de la obra lorquiana y considerado como uno de los mejores traductores de poesía lírica de la historia de la traducción artística rusa (tradujo sobre todo del español, polaco y francés).

  3. Pável Grushkó (nacido en 1934): poeta, traductor y dramaturgo especializado en la traducción de la poesía de idioma español.

Los tres usaron en sus versiones de “Reyerta” el verso acentual ruso (dólnik) con tres acentos principales, que imita el octosílabo español.

En consecuencia, las tres traducciones tienen una estructura formal similar y los traductores se ven igualmente condicionados por la longitud de los versos y la rima.

El anexo 1 contiene cuadros que muestran el proceso de comparación. Las partes significativas de la oración (sustantivos, verbos, adjetivos y adverbios) se extraen secuencialmente de los fragmentos originales y de sus traducciones. Los numerales se cuentan como sustantivos o adjetivos según el tipo, los participios como adjetivos, los gerundios como verbos y los pronombres y auxiliares no se contabilizan.

Este es un ejemplo de fijación de correspondencia léxica para las primeras líneas de “Reyerta” y de su traducción por Pável Grushkó (1975).

Tabla 1: Fijación de correspondencia léxica26

“Reyerta” F. García Lorca (1926) “Схватка” Traducción de Pável Grushkó (1975)
En la mitad del barranco Сойдясь посредине лога,
las navajas de Albacete, ножи альбасетской стали
bellas de sangre contraria, вражьей кровью влажнеют,
relucen como los peces. как рыбы из алой стаи.
mitad посредине
barranco лог
navaja нож
Albacete альбасетский
bello X
sangre кровь
contrario вражий
relucir X
pez рыба
сойтись
сталь
влажнеть
алый
стая*

En los cuadros descritos se pueden rastrear las tendencias generales y las diferencias en las traducciones. Con esta forma de registro es fácil ver las correspondencias léxicas no solo entre la traducción en cuestión y el original, sino también entre todas las traducciones, como en el caso de estas líneas:

El juez, con guardia civil,

por los olivares viene.

Sangre resbalada gime

muda canción de serpiente.

Tabla 2: Correspondencias léxicas

“Reyerta” F. García Lorca (1926) “Схватка” Traducción de Valentín Parnaj (1940) “Схватка” Traducción de Anatoli Gueleskul (1968) “Схватка” Traducción de Pável Grushkó (1975)
juez судья судья судья
guardia жандарм жандарм жандарм
civil X X X
olivar маслина масличный роща
venir проходить идти крастись
sangre кровь кровь кровь
resbalado X X X
gemir стонать стонать лепетать
mudo X немой тихо
canción напев песнь напев
serpiente змеиный змеиный змеиный

Todos los traductores omiten la palabra civil, redundante en ruso, y se niegan a utilizar el adjetivo resbalada. Olivar, que en ruso se traduce por la expresión “arboleda de olivas”, recibe tres implementaciones diferentes.

Un caso interesante es la traducción de las palabras lirio y granada. Hemos contado como sinónimos la variante de Parnaj лилия (aunque no es exacta como equivalente de “ lirio” , ciertamente se trata de una flor azul, que tiene en ruso el nombre ирис), al igual que мак (amapola) y гвоздика (clavel). Es obvio que Gueleskul y Grushkó eligieron flores rojas diferentes a la granada, porque para el lector ruso esta (гранат) es una fruta. La consideración de estos casos como exactos o inexactos requiere un debate más profundo.

Tabla 3: Correspondencias léxicas (traducción de las palabras lirio y granada)

“Reyerta” F. García Lorca (1926) “Схватка” Traducción de Valentín Parnaj (1940) “Схватка” Traducción de Anatoli Gueleskul (1968) “Схватка” Traducción de Pável Grushkó (1975)
lirio лилия ирис ирис
granada гранат гвоздика мак

En conjunto, obtuvimos los siguientes resultados (en cifras absolutas):

Tabla 4: Correspondencias léxicas en cifras absolutas (reproducción exacta de palabras del texto original, adición de palabras, omisión de palabras)

Número de palabras significativas del texto original “Reyerta” Número de palabras significativas de la traducción Reproducción exacta de palabras del texto original Adición de palabras Omisión de palabras del texto original
Parnaj 99 106 77 29 22
Gueleskul 99 104 67 37 32
Grushkó 99 114 77 37 22

Al calcular los índices de exactitud (la relación entre el número de palabras reproducidas y el número total de palabras del texto original) y de libertad (la relación entre el número de palabras añadidas arbitrariamente y el número total de palabras de la traducción poética) pudimos evaluar cuantitativamente la fidelidad léxica de las traducciones en cuestión.

Tabla 5: Fidelidad léxica

Traductor Índice de exactitud Índice de libertad
Parnaj 78% 27%
Gueleskul 68% 36%
Grushkó 78% 32%

Todos los traductores obtienen buenos resultados. Por estudios anteriores, sabemos que los traductores más profesionales alcanzan un nivel de exactitud superior al 60 % e, incluso, más del 70 %. Parnaj traduce más literalmente y Gueleskul más libremente, lo cual concuerda con sus reputaciones. El grado de libertad del 30-40 % está al nivel de la norma común de la traducción poética rusa (Pilshchikov, “Traditsii russkogo petrarkizma” 150).

Fidelidad léxica27

Imagen 1: Fidelidad léxica27

Es muy importante el hecho de que las tres traducciones son métricas y rimadas, es decir, que, en todos los casos, los traductores se vieron limitados por parámetros formales. El verso de Parnaj es el más regular: utiliza solo versos octosílabos de tres acentos métricos (se ha propuesto el nombre de pseudosilábico para este tipo de verso).28 La mayoría de los versos de las traducciones de Gueleskul y Grushkó tienen ocho sílabas, pero otros versos contienen desviaciones en la longitud silábica.

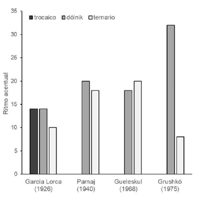
Respecto a la exactitud rítmica, las traducciones son bastante diferentes entre ellas. Ver el anexo 2 y las tablas 6-7 y las imágenes 2-3.

Tabla 6: Tipos de ritmo

Tipo de ritmo “Reyerta” F. García Lorca (1926) “Схватка” Traducción de Valentín Parnaj (1940) “Схватка” Traducción de Anatoli Gueleskul (1968) “Схватка” Traducción de Pável Grushkó (1975)
Número de líneas del ritmo binario (trocaico) 14 0 0 0
Número de líneas del ritmo mixto (dólnik puro) 14 20 18 32
Número de líneas del ritmo ternario 10 18 20 8

Ritmo acentual

Imagen 2: Ritmo acentual

Tabla 7: Patrones del ritmo mixto

Patrones del ritmo mixto (dólnik puro) García Lorca Parnaj Gueleskul Grushkó
(x)XxxXxX(x) 1 8 9 18
(x)XxXxxX(x) 8 9 8 12
(x)XxxxxX(x) 5 3 1 2

Ritmo acentual (dólnik)

Imagen 3: Ritmo acentual (dólnik)

La principal diferencia entre el ritmo de las traducciones y el del original es que los traductores rusos no reproducen las líneas de estructura binaria (trocaica).

Al repasar someramente las figuras se revela que la traducción de Grushkó es la que más se desvía de las tendencias rítmicas del original. Esto se expresa no solo en el ritmo general de la traducción, sino también en el nivel de las correspondencias rítmicas exactas línea por línea.

Por su parte, la versión de Parnaj copia rítmicamente línea por línea los 12 versos originales, por ejemplo, en la traducción de los cuatro versos siguientes, tres de los cuales son rítmicamente idénticos a los versos correspondientes del original:

Tabla 8: Correspondencia rítmica interlineal

El toro de la reyerta 2, 7 xXxxxxXx xXxxXxXx Неистовый бык раздора
se sube por las paredes. 2, 7 xXxxxxXx xXxxxxXx Кидается на обрывы.
Ángeles negros traían 1, 4, 7 XxxXxxXx XxxXxxXx Чёрные ангелы смерти
pañuelos y agua de nieve. 2, 4, 7 xXxXxxXx xXxXxxXx Приносят лёд и рубахи [...]

La versión de Gueleskul tiene 6 de estas líneas idénticas. La versión de Grushkó solo tiene 3 líneas idénticas (ver, en el anexo 2, cómo las líneas rítmicamente congruentes aparecen en gris).

Propongo que, en lo sucesivo, nos refiramos a este parámetro del verso traducido como Índice de correspondencia rítmica interlineal (línea por línea).

Está claro que Parnaj reproduce deliberadamente la estructura rítmica del texto español, copiando los patrones de las líneas traducidas y esforzándose por lograr la exactitud no solo léxica, sino también auditiva. ¿Existen ejemplos similares en la obra de otros traductores rusos o de otras lenguas? Esta pregunta solo puede responderse aplicando con denuedo el método de análisis de la exactitud rítmica que se propone en este artículo.

Un análisis cuantitativo de la exactitud léxica y rítmica de las tres versiones del poema de García Lorca nos lleva a la siguiente conclusión: todas las traducciones muestran un alto nivel de adecuación al original. Las discrepancias a nivel de la precisión léxica no son dramáticas, el ritmo se reproduce teniendo en cuenta las posibilidades del verso ruso. La traducción de Parnaj supera en precisión léxica y rítmica a las traducciones posteriores, respetando estrictamente el verso octosílabo y copiando línea por línea los patrones rítmicos, en un grado notablemente mayor que las demás traducciones. Estas diferencias deben atribuirse no solo al estilo y a la técnica individuales de Parnaj, sino también a las modas cambiantes de la traducción poética. En los periodos de preguerra y posguerra, distintas escuelas de traducción (literalista y creativa, respectivamente) fueron dominantes y el trabajo de los traductores refleja un cambio general de tendencias.

Obras citadas

  1. Andreev, Mijail. “Gasparov-perevodchik Ariosto”. Voprosy literatury, núm. 5, 2005, págs. 25-31. 🠔
  2. Bailey, James. “Blok and Heine: An Episode from the History of Russian dol’niki”. Slavic and East European Journal, vol. 13, núm. 1, 1969, págs. 1-22. 🠔
  3. ______. “The Russian Linguistic-statistical Method for Studying Poetic Rhythm: A Review Article”. Slavic and East European Journal, vol. 23, núm. 2, 1979, págs. 251-261. 🠔
  4. Baskina, Maria E. “Filologicheski tochny perevod 1920-1930-j godov: liudi i institutsyi”. Judozhestvenno-filologicheski perevod 1920-1930-j godov. Editado por Maria E. Baskina y Vera V. Filicheva. San Petersburgo, Nestor-Istoria, 2021, págs. 5-80. 🠔
  5. Carpi, Guido. “Per una scienza esatta della letteratura: Jarcho e la sua metodologia”. Russica Romana, vol. 14, 2006, págs. 145-151. 🠔
  6. Finkel, Aleksandr M. “66-i sonet [Shekspira] v russkij perevodaj”. Masterstvo perevoda. Vol. 5. Moscú, Sovetski pisatel, 1968, págs. 161-182. 🠔
  7. ______. “Lermontov i drugie perevodchiki ‘Evreiskoi melodii’ [Hebrew Melody] Bairona”. Masterstvo perevoda, Vol. 6. Moscú, Sovetski pisatel, 1970, págs. 169-200. 🠔
  8. ______. “‘Nochnaia pesnia strannika’ [Wanderers Nachtlied] Giote v russkij perevodaj”. Russki iazyk: Ezhenedelnoe prilozhenie k gazete Pervoe sentiabria, núm. 13, 2001, págs. 6-12. Web. 15 de enero 2023. https://rus.1sept.ru/article.php?ID=200101307 [URL] 🠔
  9. ______. “‘Nochnaia pesnia strannika’ [Wanderers Nachtlied] Giote v russkij perevodaj”. Moskovski lingvisticheski zhurnal, vol. 9, núm. 1, 2006, págs. 109-140. 🠔
  10. ______. Teorіa і praktika perekladu. Kharkiv, Derzhavne vidavnitstvo Ukraini, 1929. 🠔
  11. ______. “‘Zapovіt’” T. G. Shevchenka v rosіiskij perekladaj”. Movoznavstvo, núm. 2, 1975, págs. 67-75. 🠔
  12. Fiodorov, Andrei V. “Problema stijotvornogo perevoda”. Poetika: Vremennik Otdela slovesnykh iskusstv Gosudarstvennogo instituta istorii iskusstv. Vol. 2. Leningrado, Academia, 1928, págs. 104-118. 🠔
  13. ______. “Zvukovaia forma stijotvornogo perevoda (Voprosy metriki i fonetiki)”. Poetika: Vremennik Otdela slovesnykh iskusstv Gosudarstvennogo instituta istorii iskusstv. Vol. 4. Leningrado, Academia, 1928, págs. 45-69. 🠔
  14. Gaspárov, Mijaíl L. “Briusov i bukvalizm (Po neizdannym materialam k perevodu ‘Eneidy’)”. Masterstvo perevoda . Vol. 8. Moscú, Sovetski pisatel , 1971, págs. 88-128 🠔
  15. ______. “Italianski stij: sillabika ili sillabo-tonika?”. Problemy strukturnoi lingvistiki 1978. Editado por Viktor P. Grigoriev. Moscú, Nauka, 1981, págs . 199-218. 🠔
  16. ______. “Juxtalinéaire et mesure de l’exactitude”. мета: Journal des traducteurs, vol. 37, 1992, págs. 50-58. DOI: https://doi.org/10.7202/002809ar [URL] 🠔
  17. ______. “‘Iz Ksenofana Kolofonskogo’ Pushkina. Poetika perevoda”. Izbrannye trudy, T. 2. Moscú, Iazyki russkoi kultury, 1997, págs. 88-99. 🠔
  18. ______. “Briusov i podstrochnik. Popytka izmerenia”. Izbrannye trudy. T. 2. Moscú, Iazyki russkoi kultury, 1997, págs. 130-140. 🠔
  19. ______. “Annenski - perevodchik Esjila”. Izbrannye trudy, t. 2, Moscú, Iazyki russkoi kultury, 1997, págs. 141-147. 🠔
  20. ______. Russki stij nachala XX veka v kommentariaj. Moscú, Fortuna limited, 2001. 🠔
  21. ______. “Podstrochnik i mera tochnosti”. O russkoi poezii. Analizy. Interpretacii. Jarakteristiki. Moscú, Azbuka, 2001, págs. 361-372. 🠔
  22. ______. “O novom perevode ‘Ada’ Dante, vypolnennom V. G. Marantsmanom”. Bozhestvennaia komediia. Dante Alighieri. San Petersburgo, Amfora, 2006, págs. 5-8. 🠔
  23. Gindin, Serguei I. “Pochemu gumanitarii ne sklonny doveriat chislu? (Posleslovie k svidetelstvu I. I. Kovtunovoi)”. Vestnik Rossiiskogo gosudarstvennogo gumanitarnogo universiteta. Seria: Literaturovedenie. Yazykoznanie. Kulturologia, núm. 6, 2008, págs. 216-226. 🠔
  24. Jakobson, Roman. “Bolgarski piatistopny iamb v sopostavlenii s russkim”. Selected Writings. Vol. 5. El Haya, Mouton, 1979, págs. 135-146. 🠔
  25. Kalnichenko, Aleksandr A. “Diskussia o (g)omologicheskom (stilizatsionnom) i analogicheskom perevode v Ukraine v kontse 1920-j godov (V. N. Derzhavin i A. M. Finkel)”. Judozhestvenno-filologicheski perevod 1920-1930-j godov. Editado por Maria E. Baskina, y Vera V. Filicheva. San Petersburgo, Nestor-Istoria , 2021, págs. 449-511. 🠔
  26. Liapin, Sergey y Igor Pilshchikov. “‘Ein Fichtenbaum steht einsam’ and the Typology of the Russian dolnik”. Studia Metrica et Poetica, vol. 2, núm. 1 , 2015, págs. 58-80. 🠔
  27. Mijailova, Irina M. “O perevodcheskoi strategii E. V. Vitkovskogo (perevody s niderlandskogo yazyka)”. Vestnik Sankt-Peterburgskogo universiteta. Seria 9. Filologia. Vostokovedenie. Zhurnalistika, vol. 2, núm. 2, 2008, págs. 175-180. 🠔
  28. Misnikevich, Tatiana. “‘Literally, to Recreate in Another Language’: Concerning the Specifics of the Translation Style of Fiodor Sologub”. Russkaia literatura, núm. 4, págs. 23-129. DOI: https://doi.org/10.31860/0131-6095-2021-4-123-129 [URL] 🠔
  29. Nastopkienė, Violeta V. “Opyt issledovania tochnosti perevoda kolichestvennymi metodami”. Literatūra, t. XXIII, núm. 2, 1981, págs. 53-70. 🠔
  30. Ostrovskaia, Elena S. Innokenti Annenski i francuzskaia poezia xix v.: dissertatsia kandidata filologicheskij nauk. Tesis doctoral, Moscú, 1998. 🠔
  31. Pilshchikov Igor A. Batiushkov i literatura Italii: dissertatsia kandidata filologicheskij nauk. Tesis doctoral, Moscú, 1999. 🠔
  32. ______. Batiushkov i literatura Italii: Filologicheskie razyskania. Moscú, Yazyki slavianskoi kultury, 2003. 🠔
  33. ______. “Traditsii ‘russkogo petrarkizma’ i sonety Petrarki v perevode M. Kuzmina”. Mijail Kuzmin: Literaturnaia sudba i judozhestvennaia sreda. Editado por Pavel V. Dmitriev y Aleksandr V. Lavrov. San Petersburgo, 2015, págs. 139-157. 🠔
  34. ______. “Formalismo cuantitativo ‘viejo’ y ‘nuevo’ (El Círculo Lingüístico de Moscú y El Laboratorio Literario De Stanford)”. Literatura: teoría, historia, crítica, vol. 24, núm. 1, 2022, págs. 265-295. DOI: https://doi.org/10.15446/lthc.v24n1.98440 [URL] 🠔
  35. Polilova, Vera S. “Perevodcheskaia tejnika M. Lozinskogo i A. Iljushina: popytka izmerenia”. Alexandro Il’usino septuagenario oblata. Editado por Marina V. Akimova et al. Moscú, Novoe izdatelstvo, 2011, págs. 191-195. 🠔
  36. ______. “Osip Brik i stijotvorny perevod (k probleme ekviritmicheskogo perevoda)”. Brikovski sbornik. Editado por Georgi V. Vekshin. Moscú, Azbukovnik, 2014, págs. 158-169. 🠔
  37. Polilova, Vera S., Igor A. Pilshchikov y Anastasia S. Belousova. “Comparative Verse Studies in Russia and Globally”. Voprosy Jazykoznanija, núm. 2, 2022, págs. 125-150. DOI: https://DOI.org/10.31857/0373-658X.2022.2.125-150 [URL] 🠔
  38. Pym, Anthony, Ayvazyan, Nune. “The Case of the Missing Russian Translation Theories”. Translation Studies, vol. 8, núm. 3, 2015, págs. 32-341. 🠔
  39. Schippel, Larisa, y Cornelia Zwischenberger, editores. Going East: Discovering New and Alternative Traditions in Translation Studies. Berlín, Frank & Timme, 2017. 🠔
  40. Tarlinskaja, Marina. “Metrical Typology: English, German, and Russian dolnik Verse”. Comparative Literature, núm. 1, 1992, págs. 1-21. 🠔
  41. ______. “Ritmicheskij bukvalizm? O tom, kak Ivan Aksionov perevodil elizavetintsev”. Slavianski stij: Stijovedenie, lingvistika i poetika. Editado por Mijail L. Gasparov. Moscú, Nauka, 1996, págs. 147-155. 🠔
  42. Tomashevski, Boris V. “Piatistopny iamb Pushkina”. Izbrannye raboty o stije. San Petersburgo, spbgu, 2008, págs. 140-242. 🠔
  43. Witt, Susanna. “Between the Lines: Totalitarianism and Translation in the USSR”. Contexts, Subtexts and Pretexts: Literary Translation in Eastern Europe and Russia. Editado por Brian James Baer. Amsterdam, John Benjamins, 2011, págs. 149-170. 🠔
  44. Yarjó, Boris. Metodologia tochnogo literaturovedenia: Izbrannye trudy po teorii literatury. Editado por M. V. Akimova, I. A. Pilshchikov y M. I. Shapir. Moscú, Yazyki slavianskij kultur, 2006. 🠔
  45. Zavialov, Sergei A. “Viacheslav Ivanov-perevodchik grecheskoi liriki”. Novoe literaturnoe obozrenie, núm. 95, 2009, págs. 163-184. 🠔
Mijaíl Leónovich Gaspárov (1935-2005) fue investigador de la literatura, traductor y filólogo clásico ruso. Autor de obras fundamentales sobre el verso ruso y el verso europeo; historiador de la literatura antigua y la poesía rusa, teórico de la literatura, ensayista y poeta.
Oleksandr Moiséiovich (en ruso: Aleksandr Moiséevich) Fínkel (1899-1968).
Fínkel “Nochnaia pesnia strannika”.
En 2001, el artículo fue impreso en un periódico; en 2006, en una revista lingüística. Ambas publicaciones fueron preparadas por Serguéi I. Guindin.
Ver Gindin, quien ofrece datos indirectos y directos del rechazo de los métodos cuantitativos en los estudios de traducción soviéticos en relación con la obra de Fínkel, y también habla del rechazo de la estadística en otros campos de los estudios literarios y la lingüística.
“66-i sonet”, “Lermontov i drugie perevodchiki”, “‘Zapovіt’ T. G. Shevchenka”.
La disputa alrededor de la traducción “creativa” y la traducción “filológica” —y más literal— en la Unión Soviética tiene su propia historia (Witt, Baskina), en la cual no es posible detenerse en este artículo.
Ver, también, la versión del mismo trabajo en francés (“Juxtalinéaire et mesure de l’exactitude”) y Gasparov, “Briusov i podstrochnik”.
Poesia Armenii.
Los resultados de Fínkel: “Así pues, estamos autorizados a concluir que la traducción de Briúsov, que conservó el 63 % del léxico original y lo sustituyó en un 21 %, es mucho más exacta en este aspecto que la traducción de Ánnenski (37 % conservado y 53 % sustituido), y aún más que las traducciones de Pasternak y Lérmontov, que conservaron la mitad (29 % y 32 %) y sustituyeron casi tres veces más (59 % y 58 %)” (Finkel 122). Ambos porcentajes de Fínkel se cuentan en relación con el número de palabras significativas de la traducción.
“Opyt issledovania tochnosti perevoda”.
“Iz Ksenofana Kolofonskogo Pushkina. Poetika perevoda”.
“Annenski — perevodchik Esjila”.
En el contexto actual, cuando existen los repositorios de datos abiertos en línea es deseable publicar los materiales analíticos en su totalidad. De este modo, quedaría claro la forma en la que se tienen en cuenta las correspondencias léxicas en un estudio concreto y sería posible comparar los resultados de distintos trabajos sin ninguna ambigüedad.
Por ejemplo, Pilshchikov, “Traditsii russkogo petrarkizma”.
Ostrovskaia, Mijailova, Zavialov, Polilova “Perevodcheskaia tejnika”, Andreev.
Pilshchikov “Batiushkov i literatura Italii: dissertatsia” 195-202, 369, “Batiushkov i literatura Italii” 63-71).
Ver Fiodorov “Problema stijotvornogo perevoda” y “Zvukovaia forma”.
“Metodologia tochnogo literaturovedenia”.
Sobre Yarjó véanse: Pilshchikov “Formalismo Cuantitativo”, Carpi.
“Bolgarski piatistopny iamb v sopostavlenii s russkim”.
Ver más información sobre esta línea de investigación en Polilova, Pilshchikov, Belousova.
“Italianski stij: sillabika ili sillabo-tonika”.
“Ritmicheskij bukvalizm?”.
“Osip Brik i stijotvorny perevod”.
Esta y todas las tablas son propias. Al final de la columna están en cursiva las palabras añadidas por el traductor. Si la palabra original no tiene correspondencia en la traducción, se pondrá una X en la columna. Las palabras añadidas en posición de rima están marcadas con un asterisco.
Esta y todas las figuras son propias.
Gasparov, “Russki stij nachala XX veka” 160.
Polilova, Vera. “¿Cómo evaluar la fidelidad de una traducción? Métodos cuantitativos en el estudio de las traducciones poéticas”. Literatura: teoría, historia, crítica, vol. 25, núm. 2, 2023, págs. 21-59
Vera Polilova es Licenciada en Literatura Europea y Lenguas Romances y tiene un doctorado en Literatura Rusa y Europea. Actualmente, es investigadora Senior del Instituto de Cultura Mundial de la Universidad Lomonósov de Moscú. Sus intereses de investigación son la métrica y la poética comparadas y la traductología. Coordina el equipo que desarrolla cpcl, el Sistema de Información sobre la Poética Comparada y Literatura Comparada (http://es.cpcl.info/). Algunas de sus publicaciones recientes son: “The Poetics of the Carnation: the Word and the Image in Russian Poetry from Trediakovsky to Brodsky (in the Context of European Tradition). P. 1-3” (en ruso; Imagology and Comparative Studies, 2022-2023), “Russian Verse Studies after Gasparov” (Studia Metrica et Poetica, 2021), “Marina Tsvetáyeva, traductora de Federico García Lorca: historia y poética de las traducciones perdidas al francés” (Mundo eslavo, 2020), “Spanish Romancero in Russian and the Semantization of Verse Form” (Studia Metrica et Poetica, 2018).
Esta investigación fue realizada en el marco de los proyectos 19-78-10132 (el análisis comparativo del ritmo del poema de F. García Lorca “Reyerta” y sus traducciones al ruso y la revisión bibliográfica relacionada con el estudio comparado del ritmo; https://rscf.ru/project/19-78-10132/) y 22-78-10153 (el estudio comparativo de la exactitud léxica de las traducciones poéticas según el método de evaluación cuantitativa y la revisión bibliográfica relacionada con este método; https://rscf.ru/project/22-78-10153/) que se llevan a cabo en el Instituto de Cultura Mundial de la Universidad Estatal de Moscú con el apoyo del Fondo Científico Ruso. La autora agradece a Anastasia Belousova, Paula Ruiz, Santiago Méndez y a un evaluador anónimo por sus comentarios y sugerencias.

Anexo 1. Fidelidad léxica

“Reyerta” F. García Lorca (1926) “Схватка” Traducción de Valentín Parnaj (1940) “Схватка” Traducción de Anatoli Gueleskul (1968) “Схватка” Traducción de Pável Grushkó (1975)
En la mitad del barranco В черных глубинах ущелья В токе враждующей крови Сойдясь посредине лога,
las navajas de Albacete, Две альбасетских навахи, над котловиной лесною ножи альбасетской стали
bellas de sangre contraria, Красуясь вражеской кровью, нож альбасетской работы вражьей кровью влажнеют,
relucen como los peces. Блестят, как рыбы во мраке. засеребрился блесною. как рыбы из алой стаи.
mitad глубина X посредине
barranco ущелье котловина лог
navaja наваха нож нож
Albacete альбасетский альбасетский альбасетский
bello красоваться X X
sangre кровь кровь кровь
contrario вражеский враждующий вражий
relucir блестеть засеребриться X
pez рыба X рыба
черный ток сойтись
два лесной* сталь*
мрак* работа влажнеть
блесна* алый
стая*
Una dura luz de naipe Под острой иглою света Отблеском карты атласной Карточный свет тасует
recorta en el agrio verde, Из резкой листвы возникли луч беспощадно и скупо в сумерках едко-зеленых
caballos enfurecidos Морды коней исступленных, высветил профили конных профили конников злобных
y perfiles de jinetes. Профили всадников диких. и лошадиные крупы. и морды коней взбешенных.
duro X X X
luz свет луч свет
naipe X карта карточный
recortar X высветить X
agrio резкий X едко
verde листва X зеленый
caballo конь лошадиный конь
enfurecido исступленный X взбешенный
perfil профиль профиль профиль
jinete всадник конный конник
острый отблеск тасовать
игла атласный сумерки
возникать* беспощадно злобный
морда скупо* морда
дикий* круп*
En la copa de un olivo Горестно плачут старухи Заголосили старухи Две матери стонут, пряча
lloran dos viejas mujeres. Под сенью древней оливы. в гулких деревьях сьерры. в листву масличную лица.
El toro de la reyerta Неистовый бык раздора Бык застарелой распри А битва быком безумным
se sube por las paredes. Кидается на обрывы. ринулся на барьеры. в загоне тесном ярится.
copa сень X листва
olivo олива дерево масляничный
llorar плакать заголосить стонать
dos X X два
viejo X X X
mujer старуха старуха мать
toro бык бык бык
reyerta раздор распря битва
subirse кидаться ринуться яриться
pared X X загон
горестно гулкий прятать
древний сьерра* лицо*
неистовый застарелый безумный
обрыв* барьер* тесный
Ángeles negros traían Черные ангелы смерти Черные ангелы стелют Черные ангелы реют
pañuelos y agua de nieve. Приносят лед и рубахи, снежную пряжу по скалам. с набухшей от снега ватой,
Ángeles con grandes alas Ангелы, чье оперенье - Их вороненые крылья - страшней альбасетских лезвий
de navajas de Albacete. Блеск альбасетской навахи. сталь с альбасетским закалом. их крыл отлив синеватый.
ángel ангел ангел ангел
negro черный черный черный
traer приносить X X
pañuelo рубаха пряжа вата
agua X X X
nieve лед снежный снег
ángel ангел X X
grande X X X
ala оперенье крыло крыло
navaja наваха сталь лезвие
Albacete Альбасете альбасетский альбасетский
смерть стелить реять
блеск скала* набухший
вороненый страшный
закал* отлив
синеватый*
Juan Antonio el de Montilla Хуан Антоньо Монтильский Монтилец Хуан Антоньо Уже Хуану Антонио
rueda muerto la pendiente, Катится мертвым по скатам. листом покатился палым. не видеть родной Монтильи,
su cuerpo lleno de lirios Тело исполнено лилий, В лиловых ирисах тело, ирисовые букеты
y una granada en las sienes. Лоб расцветает гранатом. над левою бровью - гвоздика. тело его остудили,
Ahora monta cruz de fuego, Огненный крест пламенеет И огненный крест венчает он катится вниз по склону,
carretera de la muerte. Над этой дорогой ада. дорогу смертного крика. на каждом виске по маку.
Огненный крест пришпорив,
он скачет к смертному мраку.
Juan Хуан Хуан Хуан
Antonio Антонио Антоньо Антонио
Montilla Монтильский Монтилец Монтилья
rodar катиться покатиться катиться
muerto мертвый X X
pendiente скат X склон
cuerpo тело тело тело
lleno исполненный X X
lirio лилия ирис ирис
granada гранат гвоздика мак
sien лоб бровь висок
ahora X X X
montar X венчать скакать
cruz крест крест крест
fuego огненный огненный огненный
muerte X смертный смертный
muerte X смертный смертный
расцветать лист не видеть
пламенеть палый родной
ад* лиловый букет
левый остудить*
крик* вниз
каждый
пришпорить
мрак*
El juez, con guardia civil, Судья и за ним жандармы Судья с отрядом жандармов Судья по роще крадется
por los olivares viene. Проходят сквозь тень маслины идет масличной долиной. со свитой жандармов бравых.
Sangre resbalada gime Кровь, пробиваясь из раны, А кровь змеится и стонет Кровь свой напев змеиный
muda canción de serpiente. Стонет напевом змеиным. немою песней змеиной. тихо лепечет в травах.
juez судья судья судья
guardia жандарм жандарм жандарм
civil X X X
olivar маслина масличный роща
venir проходить идти красться
sangre кровь кровь кровь
resbalado X X X
gimir стонать стонать лепетать
mudo X немой тихо
canción напев песнь напев
serpiente змеиный змеиный змеиный
тень отряд свита
пробиваться долина* бравый*
рана змеиться трава*
Señores guardias civiles: - Сеньоры жандармы, это - Так повелось, сеньоры, Сеньоры жандармы, порядок
aquí pasó lo de siempre. Обычные приключенья. с первого дня творенья. здешних мест неизменен:
Han muerto cuatro romanos Погибло четверо римлян В Риме троих не дочтутся четверку римлян с собою
y cinco cartagineses. И пятеро карфагенян. и четверых в Карфагене. забрали пять карфагенян.
señor сеньор сеньор сеньор
guardia жандарм X жандарм
civil X X X
aquí X X здешний
pasar X повестись X
siempre обычный X неизменный
morir погибнуть X X
cuatro четверо четверо четверка
romano римлянин Рим римлянин
cinco пятеро X пять
cartaginés карфагенин Карфаген карфагенин
приключенье* первый порядок
день место
творенье* забрать
трое
не дочесться
La tarde loca de higueras Сойдя с ума от смоковниц, Полная бреда смоковниц Полночь, хмелея от смоквы
y de rumores calientes От жгучих, странных звучаний, и отголосков каленых, и слухов разгоряченных,
cae desmayada en los muslos Вечер упал, бездыханный, заря без памяти пала бредила, гладя бедра
heridos de los jinetes. Приникнув к смертельной ране. к ногам израненных конных. всадников иссеченных.
tarde вечер заря полночь
loco ум бред хмелеть
higuera смоковница смоковница смоква
rumor звучание отголосок слух
caliente жгучий каленый разгоряченный
caer падать падать X
desmayado бездыханный без памяти бредить
muslo X X бедро
herido рана израненный иссеченный
jinete X конный всадник
сойти полный гладить
странный нога
приникнуть
смертельный
Y ángeles negros volaban Черные ангелы реют И ангел черней печали А черные ангелы плыли
por el aire del poniente. В закатном небе укором, - тела окропил росою. зарей, пока не погасла.
Ángeles de largas trenzas Ангелы с ликом цыганок Ангел с оливковым сердцем Их космы земли касались,
y corazones de aceite. И с бальзамическим взором. и смоляною косою. сердца разбухли от масла.
ángel ангел ангел ангел
negro черный черный черный
volar реть X плыть
aire небо X заря
poniente закатный X X
ángel ангел ангел X
largo X X X
trenza X коса косма
corazón X сердце сердце
aceite бальзамический оливковый масло
укор* печаль погаснуть*
лик тело земля
цыганка окропить касаться
взор* роса* разбухать
смоляной

Anexo 2. Exactitud rítmica

“Reyerta” F. García Lorca (1926) Ritmo acentual del original Ritmo acentual del original Ritmo acentual de la traducción “Схватка” Traducción de Valentín Parnaj (1940)
A Rafael Méndez
En la mitad del barranco 4, 7 00010010 10010010 В чёрных глубинах ущелья
las navajas de Albacete, 3, 7 00100010 10010010 Две альбасетских навахи,
bellas de sangre contraria, 1, 4, 7 10010010 01010010 Красуясь вражеской кровью,
relucen como los peces. 2, 4, 7 01010010 01010010 Блестят, как рыбы во мраке.
Una dura luz de naipe 3, 5, 7 00101010 01001010 Под острой иглою света
recorta en el agrio verde, 2, 5, 7 01001010 01001010 Из резкой листвы возникли
caballos enfurecidos 2, 7 01000010 10010010 Морды коней исступлённых,
y perfiles de jinetes. 3, 7 00100010 10010010 Профили всадников диких.
En la copa de un olivo 3, 7 00100010 10010010 Горестно плачут старухи
lloran dos viejas mujeres. 1, 3, 4, 7 10110010 01010010 Под сенью древней оливы.
El toro de la reyerta 2, 7 01000010 01001010 Неистовый бык раздора
se sube por las paredes. 2, 7 01000010 01000010 Кидается на обрывы.
Ángeles negros traían 1, 4, 7 10010010 10010010 Чёрные ангелы смерти
pañuelos y agua de nieve. 2, 4, 7 01010010 01010010 Приносят лёд и рубахи,
Ángeles con grandes alas 1, 5, 7 10001010 10010010 Ангелы, чьё оперенье -
de navajas de Albacete. 3, 7 00100010 10010010 Блеск альбасетской навахи.
Juan Antonio el de Montilla 1, 3, 7 10100010 01010010 Хуан Антоньо Монтильский
rueda muerto la pendiente, 1, 3, 7 10100010 10010010 Катится мёртвый по скатам.
su cuerpo lleno de lirios 2, 4, 7 01010010 10010010 Тело исполнено лилий,
y una granada en las sienes. 4, 7 00010010 10010010 Лоб расцветает гранатом.
Ahora monta cruz de fuego, 1, 3, 5, 7 10101010 10010010 Огненный крест пламенеет
carretera de la muerte. 3, 7 00100010 01001010 Над этой дорогой ада.
* * * * * *
El juez, con guardia civil, 2, 4, 7 0101001 01001010 Судья и за ним жандармы
por los olivares viene. 5, 7 00001010 01001010 Проходят сквозь тень маслины.
Sangre resbalada gime 1, 5, 7 10001010 10010010 Кровь, пробиваясь из раны,
muda canción de serpiente. 1, 4, 7 10010010 10010010 Стонет напевом змеиным.
Señores guardias civiles: 2, 4, 7 01010010 01001010 - Сеньоры жандармы, это
aquí pasó lo de siempre. 2, 4, 7 01010010 01000010 Обычные приключенья.
Han muerto cuatro romanos 2, 4, 7 01010010 01010010 Погибло четверо римлян
y cinco cartagineses. 2, 7 01000010 01000010 И пятеро карфагенян.
* * * * * *
La tarde loca de higueras 2, 4, 7 01010010 01010010 Сойдя с ума от смоковниц,
y de rumores calientes 4, 7 00010010 01010010 От жгучих, странных звучаний,
cae desmayada en los muslos 1, 4, 7 10010010 10010010 Вечер упал, бездыханный,
heridos de los jinetes. 2, 7 01000010 01001010 Приникнув к смертельной ране.
Y ángeles negros volaban 1, 4, 7 10010010 10010010 Чёрные ангелы реют
por el aire del poniente. 3, 7 00100010 01010010 В закатном небе укором,
Ángeles de largas trenzas 1, 5, 7 10001010 10010010 Ангелы с ликом цыганок
y corazones de aceite. 4, 7 00010010 00010010 И с бальзамическим взором.
“Reyerta” F. García Lorca (1926) Ritmo acentual del original Ritmo acentual del original Ritmo acentual de la traducción “Схватка” Traducción de Anatoli Gueleskul (1968)
A Rafael Méndez
En la mitad del barranco 4, 7 00010010 10010010 В токе враждующей крови
las navajas de Albacete, 3, 7 00100010 00010010 над котловиной лесною
bellas de sangre contraria, 1, 4, 7 10010010 10010010 нож альбасетской работы
relucen como los peces. 2, 4, 7 01010010 00010010 засеребрился блесною.
Una dura luz de naipe 3, 5, 7 00101010 10010010 Отблеском карты атласной
recorta en el agrio verde, 2, 5, 7 01001010 10010010 луч беспощадно и скупо
caballos enfurecidos 2, 7 01000010 10010010 высветил профили конных
y perfiles de jinetes. 3, 7 00100010 00010010 и лошадиные крупы.
En la copa de un olivo 3, 7 00100010 00010010 Заголосили старухи
lloran dos viejas mujeres. 1, 3, 4, 7 10110010 1001010 в гулких деревьях сьерры.
El toro de la reyerta 2, 7 01000010 1001010 Бык застарелой распри
se sube por las paredes. 2, 7 01000010 1000010 ринулся на барьеры.
Ángeles negros traían 1, 4, 7 10010010 10010010 Черные ангелы стелют
pañuelos y agua de nieve. 2, 4, 7 01010010 10010010 снежную пряжу по скалам.
Ángeles con grandes alas 1, 5, 7 10001010 00010010 Их вороненые крылья -
de navajas de Albacete. 3, 7 00100010 10010010 сталь с альбасетским закалом.
Juan Antonio el de Montilla 1, 3, 7 10100010 01001010 Монтилец Хуан Антоньо
rueda muerto la pendiente, 1, 3, 7 10100010 01001010 листом покатился палым.
su cuerpo lleno de lirios 2, 4, 7 01010010 01010010 В лиловых ирисах тело,
y una granada en las sienes. 4, 7 00010010 010010010 над левою бровью - гвоздика.
Ahora monta cruz de fuego, 1, 3, 5, 7 10101010 01001010 И огненный крест венчает
carretera de la muerte. 3, 7 00100010 01010010 дорогу смертного крика.
* * *
El juez, con guardia civil, 2, 4, 7 0101001 01010010 Судья с отрядом жандармов
por los olivares viene. 5, 7 00001010 01010010 идет масличной долиной.
Sangre resbalada gime 1, 5, 7 10001010 01010010 А кровь змеится и стонет
muda canción de serpiente. 1, 4, 7 10010010 01010010 немою песней змеиной.
Señores guardias civiles: 2, 4, 7 01010010 1001010 - Так повелось, сеньоры,
aquí pasó lo de siempre. 2, 4, 7 01010010 1001010 с первого дня творенья.
Han muerto cuatro romanos 2, 4, 7 01010010 10010010 В Риме троих не дочтутся
y cinco cartagineses. 2, 7 01000010 00010010 и четверых в Карфагене.
* * *
La tarde loca de higueras 2, 4, 7 01010010 10010010 Полная бреда смоковниц
y de rumores calientes 4, 7 00010010 00010010 и отголосков каленых,
cae desmayada en los muslos 1, 4, 7 10010010 01010010 заря без памяти пала
heridos de los jinetes. 2, 7 01000010 01010010 к ногам израненных конных.
Y ángeles negros volaban 1, 4, 7 10010010 01001010 И ангел черней печали
por el aire del poniente. 3, 7 00100010 01001010 тела окропил росою.
Ángeles de largas trenzas 1, 5, 7 10001010 10010010 Ангел с оливковым сердцем
y corazones de aceite. 4, 7 00010010 00010010 и смоляною косою.
“Reyerta” F. García Lorca (1926) Ritmo acentual del original Ritmo acentual del original Ritmo acentual de la traducción “Схватка” Traducción de Pável Grushkó (1975)
A Rafael Méndez
En la mitad del barranco 4, 7 00010010 01001010 Сойдясь посредине лога,
las navajas de Albacete, 3, 7 00100010 01001010 ножи альбасетской стали
bellas de sangre contraria, 1, 4, 7 10010010 1010010 вражьей кровью влажнеют,
relucen como los peces. 2, 4, 7 01010010 01001010 как рыбы из алой стаи.
Una dura luz de naipe 3, 5, 7 00101010 1001010 Карточный свет тасует
recorta en el agrio verde, 2, 5, 7 01001010 10010010 в сумерках едко-зелёных
caballos enfurecidos 2, 7 01000010 10010010 профили конников злобных
y perfiles de jinetes. 3, 7 00100010 01001010 и морды коней взбешённых.
En la copa de un olivo 3, 7 00100010 01001010 Две матери стонут, пряча
lloran dos viejas mujeres. 1, 3, 4, 7 10110010 01010010 в листву масличную лица.
El toro de la reyerta 2, 7 01000010 01001010 А битва быком безумным
se sube por las paredes. 2, 7 01000010 01010010 в загоне тесном ярится.
Ángeles negros traían 1, 4, 7 10010010 10010010 Чёрные ангелы реют
pañuelos y agua de nieve. 2, 4, 7 01010010 01001010 с набухшей от снега ватой,
Ángeles con grandes alas 1, 5, 7 10001010 01001010 страшней альбасетских лезвий
de navajas de Albacete. 3, 7 00100010 01010010 их крыл отлив синеватый.
Juan Antonio el de Montilla 1, 3, 7 10100010 01010010 Уже Хуану Антонио
rueda muerto la pendiente, 1, 3, 7 10100010 01001010 не видеть родной Монтильи,
su cuerpo lleno de lirios 2, 4, 7 01010010 10000010 ирисовые букеты
y una granada en las sienes. 4, 7 00010010 10010010 тело его остудили,
Ahora monta cruz de fuego, 1, 3, 5, 7 10101010 01001010 он катится вниз по склону,
carretera de la muerte. 3, 7 00100010 01001010 на каждом виске по маку.
1001010 Огненный крест пришпорив,
01010010 он скачет к смертному мраку.
* * *
El juez, con guardia civil, 2, 4, 7 0101001 01010010 Судья по роще крадётся
por los olivares viene. 5, 7 00001010 01001010 со свитой жандармов бравых.
Sangre resbalada gime 1, 5, 7 10001010 1001010 Кровь свой напев змеиный
muda canción de serpiente. 1, 4, 7 10010010 1001010 тихо лепечет в травах.
Señores guardias civiles: 2, 4, 7 01010010 010010010 Сеньоры жандармы, порядок
aquí pasó lo de siempre. 2, 4, 7 01010010 1010010 здешних мест неизменен:
Han muerto cuatro romanos 2, 4, 7 01010010 01010010 четвёрку римлян с собою
y cinco cartagineses. 2, 7 01000010 01010010 забрали пять карфагенян.
* * *
La tarde loca de higueras 2, 4, 7 01010010 10010010 Полночь, хмелея от смоквы
y de rumores calientes 4, 7 00010010 01000010 и слухов разгорячённых,
cae desmayada en los muslos 1, 4, 7 10010010 1001010 бредила, гладя бёдра
heridos de los jinetes. 2, 7 01000010 1000010 всадников иссечённых.
Y ángeles negros volaban 1, 4, 7 10010010 010010010 А чёрные ангелы плыли
por el aire del poniente. 3, 7 00100010 01010010 зарёй, пока не погасла.
Ángeles de largas trenzas 1, 5, 7 10001010 01001010 Их космы земли касались,
y corazones de aceite. 4, 7 00010010 01010010 сердца разбухли от масла.