Momento
0121-4470
Universidad Nacional de Colombia
https://doi.org/10.15446/mo.n57.70375

Recibido: de enero de 2018; Aceptado: de abril de 2018

INFLUENCIA DE LAS COLISIONES ATÓMICAS EN LAS RESONANCIAS SUB-DOPPLER DE LA ESPECTROSCOPIA DE REFLEXIÓN SELECTIVA EN LA LÍNEA D2 DEL CESIO

INFLUENCE OF ATOMIC COLLISIONS IN THE SUB-DOPPLER RESONANCES OF SELECTIVE REFLECTION SPECTROSCOPY ON THE LINE D2 OF CESIUM

R. Reyes, 1*M. Oriá, 2L. Mosquera, 3

Facultad de Ingeniería Química y Textil, Universidad Nacional de Ingeniería, Av. Túpac Amaru 210, Rímac, Lima, Perú Universidad Nacional de Ingeniería Facultad de Ingeniería Química y Textil Universidad Nacional de Ingeniería Rímac Lima Peru
Departamento de Física, Universidade Federal da Paraíba, João Pessoa 58051 - 900, Caixa. Postal 5086, Paraíba, Brasil. Universidade Federal da Paraíba Departamento de Física Universidade Federal da Paraíba Paraíba Brazil
Facultad de Ingeniería Civil, Universidad Nacional de Ingeniería, Av. Túpac Amaru 210, Rímac, Lima, Perú. Universidad Nacional de Ingeniería Facultad de Ingeniería Civil Universidad Nacional de Ingeniería Lima Peru

fisicaplic@hotmail.com

Resumen

Reportamos un estudio de la reflectividad de una interface vidrio-vapor atómico de cesio cerca de la línea de resonancia D 2 del cesio para densidades del vapor de cesio desde 0.9 χ 1014 hasta 3.2 χ 1014 átomos /cm3. Los resultados experimentales se compararon con cálculos basados sobre una teoría en la cual primero se tienen en cuenta solamente las colisiones átomo - átomo y luego tomando en cuenta también las colisiones átomo-pared. También detectamos un desplazamiento δ hacia el azul de la frecuencia del pico de la resonancia 4 → 5 que depende aproximadamente en forma lineal de la densidad N.

Palabras clave:

Reflexión selectiva, Cesio, Espectroscopia, Física atómica.

Abstract

We report a study of the reflectivity of a glass-cesium vapor interface near the cesium D2 resonance line for cesium vapor densities from 0.9 χ 1014 up to 3.2 χ 1014 atoms/cm3. The experimental results are compared with calculations based on a theory on which are taken into account first only the atom-atom collisions and then also taking into account the atom-wall collisions. We also detect a shift for the blue of the frequency of the peak of the resonance 4 → 5 that approximately depends linearly on the density N.

Keywords:

Selective reflection, Cesium, Spectroscopy, Atomic physics.

1. Introducción

Cuando un haz de luz incide sobre una interface entre un medio dieléctrico y un vapor atómico, la intensidad de la luz reflejada exhibe comportamiento resonante cuando la frecuencia de la luz es sintonizada en torno de una frecuencia de transición atómica. La espectroscopia de reflexión selectiva (RS), está basada en este tipo de fenómeno resonante.

En contraste con la espectroscopia de absorción convencional que mide la intensidad de la luz transmitida, en la espectroscopia de RS es monitoreado el campo reflejado, siendo ası especialmente atractiva para el estudio de medios opticamente espesos donde las técnicas de transmisión no son viables. A partir de un punto de vista estrictamente espectroscópico se muestra que la señal lineal de la RS es sub-Doppler, y permite que se tenga acceso al ancho homogéneo de la transición atómica. Ese hecho, asociado a su alcance espacial intrínseco en el medio gaseoso permite que la espectroscopia de RS sea apropiada para el estudio de la interacción átomo-superficie: la contribución a la reflexión es esencialmente debida a los átomos desplazándose a menos de una longitud de onda de distancia de la superficie. Entre las aplicaciones de la espectroscopia de RS están [1]: la determinación de ensanche homogéneo, en particular el auto-ensanche colisional y desplazamiento de líneas de resonancia atómicas; estudio de interacciones de Van der Waals de átomos con superficies dieléctricas; estudio de procesos coherentes y magneto-ópticos; estabilización de la frecuencia de un diodo laser a una línea de resonancia atómica, entre otras aplicaciones.

En este trabajo se analizara la influencia de las colisiones inter-atómicas en los espectros realizando experimentos de espectroscopia de RS. Para esto utilizamos un sistema de diodo laser de bajo costo descrito previamente [2]. Con un diodo laser como fuente de excitación, sintonizado en la línea D 2 del cesio, hacemos incidir la luz sobre una celda que contiene vapor de cesio y obtenemos espectros de RS experimentales para diferentes densidades de vapor atómico, y lo comparamos con espectros obtenidos teóricamente.

2. Modelos Teóricos

A continuación, vamos a presentar dos modelos para la descripción de la reflexión selectiva. En ambos casos trataremos a los átomos como dipolos atómicos clásicos. Esta aparente limitación no es importante visto que esta suposición es suficiente para explicar los efectos de presión observados experimentalmente en los espectros de RS.

La idea de la RS es observar un haz reflejado en una interface dieléctrico-vapor, del lado del dieléctrico con índice de refracción n, estando la frecuencia del haz próxima a la resonancia del vapor. La reflectividad R varia con la frecuencia por causa de la variación del índice de refracción n v del vapor, y para incidencia normal es dada por la relación [3]:

2.1. Teoría convencional de la reflexión selectiva

En la teoría convencional se toma en cuenta solamente las colisiones inter-atómicas pero no las colisiones de los átomos con la pared de la celda.

Consideremos un vapor atómico con densidad atómica N confinado en una celda de vidrio, irradiada por luz monocromática con frecuencia en torno de una resonancia con una transición atómica. La luz incidente es supuesta ser suficientemente débil para que el número de atamos excitados sea mucho menor que el número de átomos que permanecen en el estado fundamental. Los atamos del vapor son considerados como sistemas de dos niveles, con estado fundamental ф g y estado excitado ф е ambos no degenerados. La frecuencia de la transition es ω0 y el tiempo de vida natural es denotado por τη.

En esta situation, la respuesta del vapor al campo incidente es descrita por el índice de refracción complexo n v (ω) y satisface una relación implícita, la cual para bajas densidades, |n v (ω) - 1| << 1, se reduce a [3]:

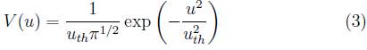
donde la distribución V(u) de las componentes x de la velocidad es dada por la distribución de Maxwell:

siendo u th la velocidad más probable de los átomos de masa m A del vapor con temperatura absoluta T, dado por:

Además, e es la carga del electron, m su masa, ω la frecuencia del campo óptico incidente, k el número de onda (ω = ck), t 0 la constante dieléctrica del vacío, / la "fuerza" del oscilador, y γ es el ancho espectral homogéneo de la transición atómica.

La diferencia en la reflectividad ΔΚ = R - R 0 tal como es comparado con la reflectividad dieléctrico-vacío:

esto es:

es proporcional a la dispersión -D (ω).

2.2. Teoría modificada

La modificación de la teoría convencional por la inclusión de colisiones átomo-pared requiere conocimiento acerca de la naturaleza de estas colisiones. En relation a las velocidades atómicas, se puede distinguir entre colisiones especulares y difusas. Las primeras son colisiones elásticas y las últimas son colisiones en que las velocidades de los átomos son redistribuidas de acuerdo con la distribution de Maxwell según la temperatura del vapor. La polarización atómica inducida por la radiación puede ser totalmente perdida o parcialmente conservada en una colisión átomo-pared.

En vista de las grandes fuerzas que actúan sobre el átomo cuando colisiona con la pared, es razonable asumir que la polarización es perdida en una colisión átomo-pared. Las mudanzas de velocidad en una colisión no necesitan entonces ser especificadas ya que toda la memoria acerca del pasado es perdida en la colisión.

Así, considerando que tanto los átomos se mueven en la dirección de la interface como los que parten de ella contribuyen igualmente para la reflexión, y usandose directamente la teoría convencional para átomos con u < 0, se tiene que n v (ω) es dado por [3,4]:

De ahí se tiene para Δ, obtenida a partir de (1), (6) y (7), de acuerdo con la teoría modificada:

La reflectividad extra Δ R = R-R 0 es proporcional a la convolución del perfil de dispersión lorentziano de un simple átomo (Δω + ku)/[( Δ ω; + ku)2 + γ2] con una distribución de velocidades que es la siguiente: igual a 2V(u) para u < 0, tiene una discontinuidad en u = 0 y se anula para u > 0.

Para Δω 2 + γ 2 << y2 D, con y d como el ancho Doppler, la contribución dominante en (8) viene de los átomos con 0 ≤ |u| << u t h. Entonces, escribiendo:

se puede encontrar, para Δω2 + γ2 << y2D (y así γ << yd), que:

donde:

Para Δω2 + γ2 >> Y 2 D, todos los átomos contribuyen para la reflectividad y se puede escribir u = 0 en el denominador de (8), encontrándose ası el resultado asintótico dado por la expresión:

La teoría convencional predice una expresión para Δ que se diferencia de la expresión (8) por el factor 2 y por la integration de u que va de -∞ a ∞. Se puede observar también que para Y << YD, la reflectividad modificada comparada a la reflectividad convencional contiene una contribución extra que es de naturaleza logarítmica, centrada en la resonancia, simétrica en frecuencia y tiene un ancho espectral del orden de.

Siguiendo el modelo presentado arriba para la teoría de la reflexión selectiva, procedemos ahora a la presentación de espectros calculados numericamente donde utilizamos la teoría modificada.

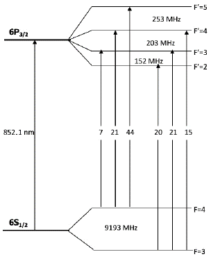
Para comparar con los resultados obtenidos experimentalmente vamos a calcular espectros numéricos de reflexión selectiva para el caso específico de la línea D 2 del cesio, cuyo diagrama de niveles de energía es mostrado en la figura 1 evidenciando su estructura hiperfina.

Estructura hiperfina y las probabilidades de transición relativas de la línea D
 
 2
 del cesio.

Figura 1: Estructura hiperfina y las probabilidades de transición relativas de la línea D 2 del cesio.

Para los cálculos numéricos de las formas de línea fue utilizado el valor del índice de refracción del vidrio tipo pírex n = 1.45 y f = 0.81 [5]. Tenemos además que , donde el factor es debido a la forma gausseana de ancho Doppler [3], . El ancho natural es γnat y el ensanchamiento por colisiones es γcol. El ancho natural Δνηαt para la línea D2 del cesio es igual a 5.3 MHz y el ancho Doppler es dado por MHz. El ensanchamiento por colisiones Δν col es entonces dado por la relación [6]:

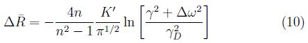
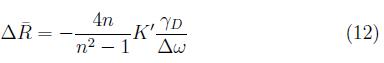
Considerando entonces estos valores calculamos la forma de línea para la contribución logarítmica dado por la relación (10) y su contribución asintótica, dada por la relación (12). Obtenemos así los espectros numéricos de la reflexión selectiva para la transición hiperfina F = 4 →· F' = 3, 4, 5 de la línea D 2 del cesio mediante la relation:

donde P 4-j son las probabilidades relativas de cada transición considerada y son las contribuciones a la reflectividad de cada resonancia hiperfina.

En la figura 2 se presenta un espectro calculado con la teoría de dispersión convencional junto con un espectro calculado con la teoría modificada. Tenemos que en el espectro calculado con la teoría modificada se puede observar las resonancias correspondientes a las transiciones hiperfinas F = 4 → F' = 3,4, 5. Estas resonancias no aparecen en el espectro calculado con la teoría de dispersión convencional.

(a) Espectro de reflexión selectiva calculado con la teoría de dispersión convencional. (b) Espectro de reflexión selectiva calculado con la teoría modificada. Los cálculos fueron realizados para un vapor de densidad 0.9 χ 1014 
 átomos/cm
 
 3
 
 .

FIGURA 2: (a) Espectro de reflexión selectiva calculado con la teoría de dispersión convencional. (b) Espectro de reflexión selectiva calculado con la teoría modificada. Los cálculos fueron realizados para un vapor de densidad 0.9 χ 1014 átomos/cm 3 .

3. Experimental

Utilizando el sistema de diodo láser descrito en un artículo previo [2], se hace incidir el haz del láser en la ventana de la celda con el vapor de cesio y se detecta la intensidad de luz reflejada. Para tener una referencia en frecuencia, simultáneamente se obtienen espectros de absorción saturada (AS) [2].

El ángulo de incidencia del haz del láser en la celda de cesio, era del orden de 10 mrad, esto es, un ángulo de incidencia cerca de la normal. La intensidad del haz del laser utilizado fue de aproximadamente 0,2 mW/cm2.

En la figura 3 se muestra la disposición experimental de la reflexión selectiva hecha simultaneamente con el experimento de absorción saturada para referencia en frecuencia.

Esquema de la disposición experimental de la reflexión selectiva (RS), hecha simultáneamente con la absorción saturada (AS). E: espejo, BS: divisor de haz.

Figura 3: Esquema de la disposición experimental de la reflexión selectiva (RS), hecha simultáneamente con la absorción saturada (AS). E: espejo, BS: divisor de haz.

El diodo laser utilizado fue un modelo SDL-5401-G1, con una longitud de onda nominal de 853 nm. La corriente umbral de operación laser esta en torno de 17 mA. El area típica de incidencia fue de 0.5 cm2. La celda conteniendo los átomos del cesio 133 estaba a una temperatura inicial de 20 oC, siendo así su densidad de ~ 2 χ 1010 átomos/cm3. El haz del láser fue sintonizado en una frecuencia próxima a la línea D 2 del cesio (λ=852.1 nm), con la transición de resonancia 6S1/2 →6P3/2 (figura 1). El estado fundamental 6S1/2 consiste de estados hiperfinos con F = 3 y 4; el estado 6P3/2 consiste de cuatro estados hiperfinos con F' = 2, 3, 4 y 5.

4. Resultados y Discusión

4.1. Comparación de espectros teóricos y experimentales de la reflexión selectiva

En la figura 4 se muestran espectros de reflexión selectiva tanto teóricos como experimentales de la línea D 2 del cesio, en las resonancias hiperfinas F = 4 → F' = 3, 4, 5. Estos espectros son obtenidos considerando bajas densidades del vapor atómico, o sea cuando Y col << y d , y por lo tanto el ancho del espectro es dominada por el ancho Doppler γ d . En nuestro caso, tenemos que un vapor a baja densidad cuando N es relativamente menor que 4 χ 1014 átomos/cm3. Los espectros experimentales son obtenidos con una intensidad del láser de ~0.2 mW/cm2, por tanto, menor que la intensidad de saturación.

Espectros de reflexión selectiva teóricos (izquierda) y experimentales (derecha), para densidades: (a) 0.9 χ 1014, (b) 1.3 χ 1014, (c) 2.1 χ 1014, (d) 3.2 χ 1014, átomos/cm
 
 3
 
 .

FIGURA 4: Espectros de reflexión selectiva teóricos (izquierda) y experimentales (derecha), para densidades: (a) 0.9 χ 1014, (b) 1.3 χ 1014, (c) 2.1 χ 1014, (d) 3.2 χ 1014, átomos/cm 3 .

Los espectros experimentales mostrados en la figura 4 tuvieron sus escalas ajustadas debido al hecho que por la disposición experimental no fue posible hacer una medición absoluta de la señal reflejada y normalizada en relación a la reflexión no resonante. Sin embargo, se observo experimentalmente que la amplitud de la señal reflejada crece con la densidad, lo que teoricamente esta descrito por la expresión (8) de la reflectividad. Este hecho es reportado también en experimentos de reflexión selectiva con vapor atómico de sodio [4] donde se muestra que las amplitudes de los espectros teóricos y experimentales están en buena concordancia, y en ambos casos la reflectividad aumenta tal como aumenta la densidad del vapor atómico.

Por otra parte, se puede ver a partir de los espectros teóricos presentados en la figura 4, que los resultados de la teoría modificada describen bien la forma de línea de los espectros experimentales. Quiere decir que la teoría modificada claramente predice la aparición de una estructura sub-Doppler en los espectros de reflexión selectiva. En un análisis más detallado de las formas de líneas se puede notar que existe una diferencia en lo que respecta a la anchura de los picos: el ancho de las resonancias correspondientes a las transiciones hiperfinas de los espectros teóricos son menores que las correspondientes en los espectros experimentales; por ejemplo para una densidad de 2.1 χ 1014 átomos/cm3 el ancho teórico del pico de la transición 4 → 5 es de ~115 MHz en cuanto que el ancho experimental para esta misma transición es de ~47 MHz, y esto puede deberse a la influencia del ancho del laser utilizado que es de ~30 MHz. Una discrepancia similar entre el ancho de los perfiles teóricos y experimentales fue observada para el sodio fue reportado en la referencia [4] y en [6] para el caso del cesio.

Para una densidad de 3.2 χ 1014 átomos/cm3 se puede ver que existe una mayor diferencia entre el espectro teórico y experimental; en el espectro teórico prácticamente la resonancia de la transición 4 → 3 desapareció, en cuanto que en el espectro experimental todavía se puede apreciar esta resonancia. Sin embargo, debemos recordar también que el cálculo del espectro teórico a esta densidad se torna cuestionable, debido al hecho de que la densidad no es mucho menor que 4 χ 1014 átomos/cm3, límite de bajas densidades. Asó, finalmente podemos decir que para vapores atómicos de baja densidad los resultados de la teoría modificada dan resultados que son consistentes cuando son comparados con los resultados experimentales.

4.2. Análisis del desplazamiento del perfil espectral de la reflexión selectiva en función de la densidad del vapor atómico

En nuestros resultados experimentales, en los espectros de reflexión selectiva para densidades con valores aproximadamente mayores a 5. 5 x 1014 átomos/cm3, se hace evidente un desplazamiento del perfil espectral de la reflexión selectiva, tal como se puede apreciar en la figura 5, donde se observa el desplazamiento del pico de la resonancia correspondiente a la transición 4 → 5 para el azul, en relación al espectro de absorción saturada de referencia, para una densidad de 5.5 χ 1014 átomos/cm3.

Observación de desplazamiento de la frecuencia del pico correspondiente a la transición 4 → 5. Densidad del vapor atómico: 5.5 x 1014 
 átomos/cm
 
 3
 
 .

FIGURA 5: Observación de desplazamiento de la frecuencia del pico correspondiente a la transición 4 → 5. Densidad del vapor atómico: 5.5 x 1014 átomos/cm 3 .

En este caso medimos el desplazamiento δ de la frecuencia del pico de la resonancia 4 → 5, desde una densidad 5.5 x 1014 átomos/cm3 hasta 63 x 1014 átomos/cm3, es decir desde densidades moderadas hasta relativamente altas densidades del vapor atómico.

En la figura 6 mostramos un gráfico del desplazamiento de la frecuencia del pico correspondiente a la transición 4 → 5 en función de la densidad del vapor atómico.

Desplazamiento para el azul de la frecuencia del pico de la transición 4 → 5 en función de la densidad del vapor atómico de cesio.

FIGURA 6: Desplazamiento para el azul de la frecuencia del pico de la transición 4 → 5 en función de la densidad del vapor atómico de cesio.

Observamos que la dependencia del desplazamiento con la densidad atómica es aproximadamente lineal. Esta función lineal se puede expresar como:

donde, δ0 = (-2.2 ± 1.6) MHz es el desplazamiento que permanece cuando la densidad N → 0 y α = (1.1 ± 0.1) χ 10-8 Hz.cm3 es el coeficiente del desplazamiento para el azul en este caso.

Uno de los mecanismos debido al cual se tiene un desplazamiento de línea son las colisiones entre los átomos [7]. En adición a este mecanismo existe otra contribución al desplazamiento que está conectada con la corrección de campo local o corrección de Lorentz-Lorenz [8]. En un vapor atómico denso, un átomo no solo es expuesto al campo incidente en el vacó, sino también a la radiación generada por los otros átomos en la muestra. Una descripción aproximada de esta situación es posible con el concepto del campo local, definido como el campo efectivo que actua sobre un átomo tópico en el vapor. La diferencia del campo local con el campo incidente introduce una modification de la constante dieléctrica que da lugar a un desplazamiento de la lónea, el desplazamiento de Lorentz-Lorenz [9,10]. Por otra parte, la interacción atomo-pared de tipo Van der Waals conduce a una distorsión y tambien a un desplazamiento de la frecuencia del perfil de la reflexión selectiva, la cual puede ser medida para determinar las características de la interaction átomo-superficie [9,11-14].

Conclusiones

En este trabajo utilizamos diodos láser en experimentos de espectroscopia de reflexión selectiva observando la línea D 2 del cesio. Usando una formulación teórica que lleva en consideración tanto las colisiones entre átomos como las colisiones de los átomos del vapor con la pared de la celda, podemos hacer obtener espectros teóricos que están en buen acuerdo con nuestras medidas experimentales, cuya principal limitación era el ancho de línea del láser utilizado, varias veces más ancho que el ancho natural de la transición.

En el caso del vapor con moderada a relativamente alta densidad, verificamos que la contribution de las resonancias hiperfinas prácticamente desaparece, dando lugar a un espectro de tipo puramente dispersivo. Por otra parte, observamos un desplazamiento en frecuencia del espectro de reflexión selectiva, en relación a un espectro de absorción saturada utilizado como referencia. Medimos el desplazamiento de la frecuencia del pico de la transición 4 → 5, encontrando un desplazamiento para el lado azul del espectro, y con dependencia lineal con la densidad.

Finalmente, a partir de los resultados presentados, podemos decir que la espectroscopia de reflexión selectiva es una buena herramienta para el estudio de sistemas atómicos, en particular bastante adaptable para el estudio de efectos de presión como es evidenciado en este trabajo.

Acknowledgements

Agradecimientos

Los autores agradecen al Consejo Nacional de Pesquisas (CNPq) del Brasil y al IGI-UNI del Perú.

Referencias

  1. [1] W. S. Martins, M. Oria, M. Chevrollier, and T. P. de Silans, Appl. Opt. 52, 6074 (2013). 🠔
  2. [2] R. Reyes, G. Altuna, and C. Carhuancho, Rev. Cient. TECNIA 24, 69 (2017). 🠔
  3. [3] M. H. Schuurmans, Contem. Phys. 21, 463 (1980). 🠔
  4. [4] Burgmans, A.L.J. and Woerdman, J.P., J. Phys. France 37, 677 (1976). 🠔
  5. [5] A. M Akul'shin, V. L Velichanskit, A. Zibrov, V. V Nikitin, V. Sautenkov, E. K Yurkin, and N. V Senkov, JETP Lett. 36, 247 (1982). 🠔
  6. [6] V. A. Sautenkov, V. L. Velichanskiĭ, A. S. Zibrov, V. N. Luk'yanov, V. V. Nikitin, and D. A. Tyurikov, Sov. J. Quantum Electron. 11, 1131 (1981). 🠔
  7. [7] W. Demtröder, Laser Spectroscopy: Basic Concepts and Instrumentation, Advanced Texts in Physics No. v. 2 (Springer, 1996). 🠔
  8. [8] M. Klein and T. Furtak, Optics, Wiley series in pure and applied optics (Wiley, 1986). 🠔
  9. [9] J. Guo, J. Cooper, and A. Gallagher, Phys. Rev. A 53, 1130 (1996). 🠔
  10. [10] V. Vuletióc, V. Sautenkov, C. Zimmermann, and T. Haönsch, Opt. Commun. 99, 185 (1993). 🠔
  11. [11] M. Fichet, F. Schuller, D. Bloch, and M. Ducloy, Phys. Rev. A 51, 1553 (1995). 🠔
  12. [12] H. Failache, S. Saltiel, M. Fichet, D. Bloch, and M. Ducloy, Phys. Rev. Lett. 83, 5467 (1999). 🠔
  13. [13] A. Laliotis, I. Maurin, M. Fichet, D. Bloch, M. Ducloy, N. Balasanyan, A. Sarkisyan, and D. Sarkisyan, Appl. Phys. B 90, 415 (2008). 🠔
  14. [14] P. Chaves de Souza Segundo, I. Hamdi, M. Fichet, D. Bloch, and M. Ducloy, Laser Phys. 17, 983 (2007). 🠔