Momento
0121-4470
Universidad Nacional de Colombia
https://doi.org/10.15446/mo.n59.76227

Recibido: de noviembre de 2018; Aceptado: de abril de 2019

sistema de calentamiento escalonado para la medición de la conductividad térmica

step heating system used for thermal conductivity measurements

A. Gutierrez, 1J. Rodriguez, 1

Grupo de Materiales Termoeléctricos, Departamento de Física, Universidad Nacional de Colombia, Sede Bogota. Colombia. Universidad Nacional de Colombia Grupo de Materiales Termoeléctricos Departamento de Física Universidad Nacional de Colombia Bogota Colombia

Resumen

Se describe un sistema de calentamiento escalonado para la medición de la conductividad térmica, el cual mezcla las ventajas de los métodos dinámicos con las propias de los métodos estacionarios, permitiendo la realización de mediciones rápidas y confiables en el rango de temperatura entre 85K y la temperatura ambiente. Este sistema es especialmente apropiado para la mediación de materiales solidos con una relación longitud-espesor mayor que la unidad. A fin de ilustrar las capacidades y la fiabilidad del sistema se presentan mediciones de conductividad térmica en muestras de plomo (99.9%) y material cerámico del tipo La 0.92 Sr 0.08 CoO 3 . Se concluye que este arreglo experimental permite realizar mediciones rápidas y seguras, permitiendo además controlar de manera eficiente las pérdidas por radiación y convección.

Palabras clave:

Conductancia térmica, Conductividad térmica, Propiedades de transporte.

Abstract

We describe a step heating method, which is used for thermal conductivity measurements. This system takes the advantages of both dynamic and steady-state methods. It is especially suitable for solid materials having large length-to-thickness ratio. In order to illustrate the capabilities and reliability of the system we show some measurements of thermal conductivity on pure lead (99.9 %) and La 0.92 Sr 0.08 CoO 3 ceramic samples. This technique provides very good precision and fast measurements in the temperature range between 85K and room temperature, along with an effective control of radiative and convective heat losses.

Keywords:

Thermal conductance, Thermal conductivity, Transport properties.

Introducción

La conducción, dentro de los procesos de transmisión de calor, se puede representar en una escala atómica como un intercambio de energía entre moléculas, átomos, electrones y fonónes, la cual se presenta cuando existe un gradiente de temperatura a lo largo del material.

La determinación de la conductividad térmica proporciona información fundamental relacionada con las propiedades dinámicas tanto de los portadores de carga como de la distribución fonónica, así como de su interacción mutua y con el medio que los rodea (impurezas, fronteras granulares, etc.). Varias técnicas han sido desarrolladas para la medición de la conductividad térmica, las cuales son adaptadas al tipo de muestras o clase de materiales, así como a las condiciones experimentales. Escoger el método de medida a utilizar implica tener en cuenta aspectos como el orden de magnitud de la conductividad térmica, el rango de temperatura en el que se desea medir, el tamaño y las propiedades físicas de la muestra.

En general, los métodos para la medición de la conductividad térmica se pueden clasificar en dos categorías, como métodos estacionarios y métodos dinámicos, un esquema general de la clasificación de estos métodos se muestra en la figura 1.

Métodos típicamente empleados para la medición de la conductividad térmica
 [1]
 .

Figura 1: Métodos típicamente empleados para la medición de la conductividad térmica [1] .

Cuando se utilizan métodos estacionarios, la muestra alcanza el estado estacionario, esto implica largos tiempos de medición e importantes pérdidas por radiación, entre sus ventajas esta su exactitud y la obtención directa de la conductividad térmica, lo cual se logra a partir de la solución de la ecuación de Fourier, expresada como [2]:

donde U es el flujo de calor, k la conductividad térmica y T la temperatura.

En el caso unidimensional y asumiendo un material isotrópico la ecuación 1 toma la forma:

donde Q es el calor que pasa a través de la muestra por unidad de tiempo, A es el área de la sección transversal de la muestra, Δx es la longitud de la muestra, ΔT la diferencia de temperatura establecida a lo largo de la muestra y k la conductividad térmica, de acuerdo con la ecuación anterior la conductividad térmica es dada por:

donde la relación define la conductancia térmica K, este parámetro da cuenta del flujo térmico por unidad de diferencia de temperatura.

Los métodos estacionarios en general (absolutos y comparativos) pueden ser de flujo lineal o de flujo radial de calor, dependiendo de la geometría de la muestra y del mecanismo de calentamiento empleado (figura 1). A temperaturas cercanas y superiores a 200K es común utilizar métodos protegidos a fin de reducir las pérdidas por radiación. Igualmente, cuando se estudian muestras donde la relación longitud-diámetro es menor que uno es común utilizar métodos comparativos y así obtener la conductividad térmica a partir de la comparación con muestras patrón cuya conductividad térmica es conocida [1,3,4].

Por otra parte, la utilización de los métodos dinámicos implica tiempos de medición más cortos y menores perdidas por radiación. Estos permiten encontrar la difusividad térmica a, siendo esta una propiedad intrínseca de cada material, que describe que tan rápido un material específico alcanza el estado de equilibrio. a se relaciona con la conductividad térmica mediante la expresión α = κ/(ρc), donde ρ y c son la densidad y el calor específico del material. De esta forma cuando se utilizan métodos dinámicos es posible obtener k conociendo ρ y c.

Cuando se utilizan métodos dinámicos la distribución de la temperatura a través de la muestra varía con el tiempo, por lo tanto, es necesario resolver la ecuación de transmisión de calor:

Aquí, el primer término de la izquierda representa la cantidad neta de calor que entra a un volumen de control en una unidad de tiempo por unidad de volumen. El termino q G da cuenta de la energía térmica generada en una unidad de tiempo por unidad de volumen en el interior del volumen de control (fuentes térmicas internas). El término de la derecha es el cambio en la energía interna en una unidad de tiempo en el interior de un volumen de control.

Estos métodos pueden ser periódicos o transitorios (ver figura 1). En los primeros un extremo de la muestra se calienta periódicamente, entonces la temperatura a lo largo de ella también varía con el mismo periodo, pero con diferente amplitud y relación de fase. Por otra parte, los métodos transitorios son métodos fuera del equilibrio en los cuales una muestra inicialmente en equilibrio sale de éste estado y se somete a un cambio de flujo térmico. En estos métodos el cambio de flujo térmico puede ocurrir por un calentamiento pulsado, donde la muestra no necesariamente llega al equilibrio o por un calentamiento escalonado, más lento (cuasiestático) donde el calentamiento se mantiene un tiempo más largo, de tal manera que en la mayoría de los casos se alcanza el estado estacionario. En este trabajo se describe un sistema para la medición de la conductividad térmica, el cual utiliza un calentamiento escalonado. Este permite la obtención de la conductividad térmica en forma más rápida y confiable, mostrando un control eficiente de las perdidas por radiación y convección.

Procedimiento Experimental

La determinación de la conductancia térmica es una medida de estado sólido en la cual una diferencia de temperatura (ΔT) a través de una muestra es medida como respuesta a un flujo térmico (Q). Esencialmente es una medida del flujo de calor a través de la muestra por unidad de diferencia de temperatura. La conductancia térmica es una propiedad de carácter extensivo, por el contrario, la conductividad térmica k es de carácter intensivo, pues se trata de la misma medida pero teniendo en cuenta las dimensiones de la muestra, de tal manera que de acuerdo con la ecuación 3 la conductividad térmica es expresada como: κ = K L/A, donde L es la distancia entre los termómetros y A es el área de la sección transversal de la muestra a través de la cual fluye el calor.

La figura 2a muestra un esquema del arreglo experimental utilizado, el cual es esencialmente el mismo empleado en el caso del método estacionario, pero la corriente de calentamiento es escalonada en forma de onda cuadrada, de tal manera que es posible escoger de forma independiente los valores para el tiempo útil t 1, el tiempo muerto t 2 y la altura del pulso I 0, de acuerdo con las propiedades de la muestra. El valor del tiempo t 1 debe ser tal que permita que la muestra alcance el estado estacionario, mientras que t 2 debe permitir que ésta llegue al estado de equilibrio (si se desea). En un sistema como el mostrado en la figura 2a, la muestra en estudio puede ser considerada como una conductancia térmica colocada entre un baño térmico el cual se encuentra a una temperatura T 0 y la fuente de calor la cual se encuentra a una temperatura T 1(t) (ver figura 2b).

[a] Esquema del arreglo experimental empleado para la medición de la conductividad térmica, [b] Modelo esquemático del arreglo experimental.

Figura 2: [a] Esquema del arreglo experimental empleado para la medición de la conductividad térmica, [b] Modelo esquemático del arreglo experimental.

El comportamiento térmico de un sistema como este puede asimilarse al de una aleta recta de espesor uniforme u, como el que se muestra en la figura 3. Si se considera un elemento de volumen de la aleta de longitud δx y si llamamos q 1 al calor que ingresa por conducción a este elemento de volumen ubicado en x, q 2 el calor saliente por conducción del elemento en x + δx y q 3 al calor eliminado por convección de la superficie del elemento. Entonces el principio de conservación de la energía nos permite afirmar que:

Aleta recta de espesor uniforme sometida a un flujo térmico.

Figura 3: Aleta recta de espesor uniforme sometida a un flujo térmico.

A partir de la ley de Fourier y la ley de Newton sobre el enfriamiento de los cuerpos, la ecuación anterior se puede escribir como:

donde T m es la temperatura media del elemento, T f la temperatura del fluido (medio ambiente), ρ el perímetro de la sección transversal, A el área de la sección transversal y h el coeficiente de transmisión de calor. Si se expresa el gradiente de temperatura en x + δx en función del gradiente en x, a partir del desarrollo de Taylor y dividimos por el volumen del elemento Aδx, se tiene que:

Si se hace que δx → 0, se obtiene la ecuación diferencial para la distribución de temperatura en la aleta:

Se supone que la conductividad térmica y el coeficiente de transmisión de calor son constantes, entonces esta ecuación puede resolverse fácilmente.

Esta ecuación diferencial puede expresarse de forma más simple definiendo la variable diferencia de temperatura como:

y un parámetro

Entonces la ecuación de campo sería:

Esta ecuación tiene una solución de la siguiente forma:

Donde las constantes B y D son cantidades determinadas por las condiciones de contorno en los extremos de la aleta.

Sin embargo, en este caso se necesita una expresión que describa la diferencia de temperatura en función del tiempo en una región determinada. Para esto es necesario hacer el balance energético entre la energía entrante y la saliente en la región de interés.

Cuando una corriente externa fluye a través de R, la cantidad de calor por unidad de tiempo Q acumulada en este extremo de la muestra (aleta) puede ser escrita como el balance entre la potencia disipada por la resistencia y la conductancia de la muestra (despreciando las perdidas por radiación y convección), es decir:

donde C(T 1) es la capacidad calorífica de la muestra, R(T 1) la resistencia del calentador y K la conductancia térmica de la muestra.

Restando T 0 (cambios temporales de la temperatura base del sistema) en ambos miembros de la ecuación 13 es posible expresarla como una ecuación diferencial en términos de T 1 - T 0 como:

La solución de esta ecuación para ΔT = T 1 - T 0 es de la forma:

Donde el primer termino de la derecha describe el proceso de enfriamiento, mientras que el segundo describe el proceso de calentamiento. Integrando este termino se encuentra que el calentamiento esta dado por la expresión: ΔT(t) = . La relación K/C describe el tiempo característico del sistema. La figura 4 muestra un trazado típico del comportamiento de la diferencia de temperatura ΔT en función del tiempo. Si la temperatura del baño térmico es constante (T 0 = 0) y permitimos que la corriente I0 fluya a través de la resistencia hasta que el sistema alcance el estado estacionario, entonces la conductancia térmica (ecuación 14) se puede obtener de la relación:

Comportamiento de la diferencia de temperatura en función del tiempo.

Figura 4: Comportamiento de la diferencia de temperatura en función del tiempo.

Por otra parte, si el sistema no alcanza el estado estacionario, entonces es necesario solucionar la ecuación 14 y de esta manera obtener la conductancia térmica de la muestra en función de la temperatura. Es importante notar que esta ecuación es en general no lineal y no siempre fácil de resolver analíticamente. Entonces, suponiendo constante la temperatura base del sistema, la solución de la ecuación 14 permite encontrar la conductancia térmica, la cual es dada por la expresión [5-7]:

Esta ecuación puede resolverse por iteración numérica si los otros parámetros experimentales son conocidos (la capacidad calorífica de la muestra, el periodo del pulso de corriente aplicado, τ, etc.)

En el caso del arreglo mostrado en la figura 2, la muestra se fija por uno de sus extremos de tal manera que haga buen contacto térmico con el baño térmico (bloque de cobre OFHC1), pero que permanezca aislada eléctricamente de éste (la muestra debe estar flotando eléctricamente). En el otro extremo de la muestra se coloca una micro-resistencia (300Ω), a través de la cual circula la corriente mediante la cual se genera el gradiente térmico a largo de la muestra. La diferencia de temperatura alcanzada se mide utilizando un termopar diferencial de Cobre-Constantan-Cobre, el cual se encuentra calibrado en el rango de temperatura estudiado (84K - 300K), este termopar se elabora con alambres de 50 μm de diámetro. Todo el ensamble está cubierto por una tapa metálica a fin de minimizar las perdidas por radiación. Estas pérdidas fueron evaluadas utilizando la ley de Stefan-Boltzmann:

donde A es el área de la superficie de la muestra, є su emisividad, σ la constante de Stefan-Boltzmann y T 1 y T 0 las temperaturas de los extremos de la muestra (junturas del termopar).

La conductividad térmica fue obtenida utilizando un sistema de adquisición de datos automatizado mediante un lenguaje de programación visual (LabView®), la longitud interior entre las junturas del termopar diferencial (L) fue medida utilizando medios fotográficos y calculada mediante el softwere Tracker.

Un control de temperatura Lakeshore® 321 permite una estabilidad térmica de hasta 50mK. Cuando la temperatura del sistema es suficientemente estable se hace circular la corriente por la micro-resistencia, lo cual da lugar a un flujo de calor a través de la muestra hasta que esta alcance el estado estacionario, entonces se mide la diferencia de temperatura (ΔT) utilizando un multímetro Keithley® 182. Las medidas se realizan con incrementos de 2K a través del rango de temperatura en estudio (84K a 300K).

A fin de controlar las pérdidas por convección todo el sistema se evacúa hasta alcanzar un presión de 10-3 mbar.

La medición de la conductividad térmica se realizó calentando el sistema a lo largo del rango de temperatura en estudio, teniendo en cuenta que térmicamente es más estable el proceso de calentamiento que el de enfriamiento (en este rango de temperatura).

Resultados

Para determinar la Habilidad del método, aquí se presentan y se comparan mediciones realizadas sobre muestras de plomo y un material cerámico con los datos de referencia, los cuales fueron obtenidos utilizando el método estacionario.

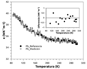
Inicialmente se muestran los datos correspondientes a la medición de una muestra de plomo (pureza 99.9%), los resultados de la medición se pueden observar en la figura 5, donde los círculos abiertos corresponden a esta medición, mientras que los círculos llenos corresponden a los establecidos en la referencia [8,9]. Estos datos de referencia fueron obtenidos utilizando el método estacionario sobre una barra de plomo con una densidad de 11.29 gcm -3 a 25° C y una resistividad eléctrica de 20.9/i Ωcm a 20°C.

Comportamiento de la conductividad térmica en función de la temperatura, para una muestra de plomo comparada con los valores de referencia
 [8,9]
 . En el inserto se muestra la diferencia entre la conductividad térmica medida y el valor de referencia.

Figura 5: Comportamiento de la conductividad térmica en función de la temperatura, para una muestra de plomo comparada con los valores de referencia [8,9] . En el inserto se muestra la diferencia entre la conductividad térmica medida y el valor de referencia.

Uno de los problemas a tener en cuenta al realizar mediciones de conductividad térmica es la presencia de pérdidas por radiación, las cuales sobre 150K se convierten en un problema muy importante. Para controlar estas pérdidas, aparte del apantallamiento metálico, en este caso y de acuerdo con la ecuación 13 se utilizan muestras del área superficial reducida (Δ ≈ 5X 10-5 m 2), pequeñas diferencias de temperatura (ΔT ≈ 0.1K) y cortos periodos de calentamiento (t 1 ≈ 20s). Teniendo en cuenta que la longitud de la muestra es aproximadamente 7 mm y su espesor 1 mm, las pérdidas generadas por radiación se estiman del orden de 10-2 WK -1 - m -1, a temperatura ambiente, lo cual es despreciable si se les compara con la magnitud los valores obtenidos en las mediciones a esta misma temperatura. Sin embargo, el tiempo empleado en el proceso de medición es de alrededor de 8 horas, el cual es inferior al utilizado en el caso estacionario puro (puede llegar a ser mayor a 24 horas).

En el proceso de medición las variables I, R y ΔT pueden determinarse con suficiente precisión, sin embargo, la distancia L no siempre lo es, por esta razón la principal fuente de error encontrada en este arreglo experimental está asociada con la incertidumbre en la medición de la distancia entre las junturas del termopar diferencial. Teniendo en cuenta esto se hace necesario modelar la forma que toman los contactos del termopar diferencial y así poder encontrar el promedio de la distancia que mejor describa la magnitud de L. Se encontró que una diferencia de 0.5mm en L puede generar una diferencia de hasta el 10 % en el valor final de la conductividad térmica. Teniendo en cuenta lo anterior se encontró que la incertidumbre en los valores experimentales obtenidos para la conductividad térmica tiene un valor máximo cercano al 5 %.

Adicionalmente, en la figura 6 se muestran los resultados de la medición de la conductividad térmica a una muestra cerámica policristalina del compuesto La 0.92 Sr 0.08 CoO 3, compuestos que son ampliamente estudiados gracias sus propiedades termoeléctricas y su actividad catalítica. Los valores obtenidos se comparan por los reportados en la referencia [10]. Los insertos mostrados en las figuras 5 y 6 muestran la diferencia (discrepancia) entre los valores obtenidos para κ(T) y los valores de referencia.

Conductividad térmica en función de la temperatura, para una muestra del compuesto La
 
 0
 
 .
 
 92
 
 Sr
 
 0
 
 .
 
 08
 
 C oO
 
 3
 
 comparada con la de la referencia
 [10]
 . El inserto muestra la diferencia entre la conductividad térmica medida y el valor de referencia.

Figura 6: Conductividad térmica en función de la temperatura, para una muestra del compuesto La 0 . 92 Sr 0 . 08 C oO 3 comparada con la de la referencia [10] . El inserto muestra la diferencia entre la conductividad térmica medida y el valor de referencia.

Conclusiones

Utilizando un proceso de calentamiento escalonado fue posible desarrollar un sistema para la medición de la conductividad térmica. Este sistema permite controlar de manera eficiente tanto las perdidas por radiación como las convectivas, a la vez permite realizar mediciones en forma rápida y confiable si se le compara con los métodos estacionarios. Además permite obtener directamente la conductividad térmica, lo cual es una ventaja frente a los métodos dinámicos.

Tanto la magnitud como la dependencia con la temperatura de la conductividad térmica obtenida presentan un comportamiento próximo a los reportados para las muestras de referencia. La incertidumbre experimental encontrada en la mediciones toma valores máximos cercanos al 5 % de la magnitud medida.

Referencias

  1. [1] H. Bougrine and M. Ausloos, Review of Scientific Instruments 66, 199 (1995). 🠔
  2. [2] J. E. Parrott and A. D. Stuckes, Thermal conductivity of solids (London, Pion Limited, 1975). 🠔
  3. [3] T. Tritt, Thermal conductivity (New York, Springer, 2004). 🠔
  4. [4] H. S. Carslaw and J. C. Jaeger, Conduction of Heat in Solids (NBristol, Oxford Science Publications, 2000). 🠔
  5. [5] A. J. Chapman, Transmisión del calor (Ed. Bellisco, Madrid. Cap. 3, 1974). 🠔
  6. [6] O. Maldonado, Cryogenics 32, 908 (1999). 🠔
  7. [7] N. H. Aharon Nabi, Yedidia Cohen, High temperatures - High pressures 32, 589 (2000). 🠔
  8. [8] A. Buch, Pure metals properties: A scientific and technical handbook (1999). 🠔
  9. [9] J. F. Shackelford, Y.-H. Han, S. Kim, and S.-H. Kwon, CRC Materials Science and Engineering Handbook (CRC Press, 2005). 🠔
  10. [10] K. Berggold and et. al, Phys. Rev. B 72, 155116 (2005). 🠔
Oxygen-Free High Thermal Conductivity Copper