Boletín de Ciencias de la Tierra
0120-3630
Universidad Nacional de Colombia
https://doi.org/10.15446/rbct.n55.111624

Recibido: 15 de octubre de 2023; Revision Received: 20 de mayo de 2024; Aceptado: 24 de mayo de 2024

Estudio comparativo para áreas mínimas en contacto con el suelo de zapatas aisladas rectangulares y circulares trabajando parcialmente bajo compresión

Comparative study for minimum areas in contact with the ground of rectangular and circular isolated footings working partially under compression

A. Luévanos-Rojas, aB. Estrada-Mendoza, aM. Juárez-Ramírez, a

Instituto de Investigaciones Multidisciplinaria, Universidad Autónoma de Coahuila, Torreón, Coahuila, México. arnulfol_2007@hotmail.com, b_estrada@uadec.edu.mx, juarezm57@yahoo.com Universidad Autónoma de Coahuila Instituto de Investigaciones Multidisciplinaria Universidad Autónoma de Coahuila Torreón Mexico

Resumen

Este trabajo presenta un estudio comparativo para áreas mínimas en contacto con el terreno de ZAR (zapatas aisladas rectangulares) y ZAC (zapatas aisladas circulares) que trabajan total MA (Modelo Actual) o parcialmente NM (Nuevo Modelo) a compresión. La metodología se describe utilizando las ecuaciones desarrolladas por el mismo autor para ZAR y ZAC. Principales hallazgos: las ZAR bajo flexión uniaxial tienen menos área que las ZAC en el MA y en el NM; El NM presenta menor área que el MA para ZAR y ZAC bajo flexión biaxial en todos los casos; El NM para ZAC muestra menos área que las ZAR, cuando los momentos son iguales y la relación de la carga axial dividida por el momento es 0.75 o mayor, cuando el momento más pequeño dividido por el momento más grande está entre 0.50 y 0.75, y la carga axial es mayor que el momento más grande. Por ello, se recomienda realizar un estudio previo para elegir el tipo de zapata.

Palabras clave:

áreas mínimas, zapatas aisladas rectangulares, zapatas aisladas circulares, distribución lineal de la presión del suelo, superficie de contacto trabaja parcialmente bajo compresión.

Abstract

This paper presents a comparative study for minimum areas in contact with the ground of RIF (rectangular isolated footings) y CIF (circular isolated footings) that work totally CM (Current model) or partially NM (New model) under compression. Methodology is described using the equations developed by the same author for RIF y CIF. Main findings: RIF under uniaxial bending have less area than CIF in the CM and in the NM; NM presents less area than CM for RIF y CIF under biaxial bending in all cases; NM for CIF shows less area than RIF, when the moments are equals and the relation of the axial load divided by the moment is 0.75 or greater, when the smallest moment divided by the largest moment is between 0.50 and 0.75, and the axial load is greater than the largest moment. Therefore, it is recommended to carry out a previous study to choose the type of footing.

Keywords:

minimum areas, rectangular isolated footings, circular isolated footings, linear ground pressure distribution, contact surface works partially under compression.

1. Introducción

La cimentación es el miembro estructural (subestructura) que transfiere las cargas de la superestructura al suelo. Las zapatas se utilizan en diversos tipos de construcción en ingeniería estructural, como edificios y puentes.

El objetivo principal de la ingeniería geotécnica y estructural es obtener el área más pequeña y el costo mínimo de la zapata para soportar las cargas impuestas por la superestructura [1].

La presión total de contacto depende de la posición de la carga concentrada “P” y los momentos “Mx” y “My”, la base de la zapata puede estar completamente comprimida o una fracción de ella puede estar sin compresión y sin tensión (presión cero). El área que trabaja bajo compresión se denomina zona de compresión activa, y la condición de presión cero definida por el EN (Eje Neutro) [2].

Los modelos matemáticos para obtener el área de contacto sobre el suelo han sido desarrollados para zapatas aisladas cuadradas [3], rectangulares [4] y circulares [5] sometidas a flexión biaxial. Asimismo, se han propuesto modelos de zapatas combinadas para obtener la superficie de contacto sobre el suelo sometido a flexión biaxial en cada columna de forma rectangular [6], trapezoidal [7], en forma de L [8], correa [9] y en forma de T [10]. Estos trabajos toman en cuenta toda el área de contacto trabajando bajo compresión.

Los estudios sobre la capacidad portante de zapatas sometidas a flexión uniaxial, considerando el área de la zapata que trabaja parcialmente a compresión han sido desarrollados por: Peck et al. [11], Teng [12], Young and Budynas [13], Highter and Anders [14].

Las investigaciones sobre la capacidad portante de zapatas poco profundas sometidas a flexión biaxial han sido presentadas por: Gonzalez-Garcia [15], Irles-Más and Irles-Más [16], Rodriguez-Gutierrez and Aristizabal-Ochoa [17], Camero [18], Chagoyén et al. [19], Ramu and Madhav [20], Özmen [21], Smith-Pardo [22], Valencia et al. [23], Rodriguez-Gutierrez and Aristizabal-Ochoa [24, 25], Cunha and Albuquerque [26], Luévanos-Rojas [27], Hassaan [28], Momeni et al. [29], Camero [30], Kassouf et al. [31], Luévanos-Rojas et al. [32], Da Silva et al. [33], Munévar-Peña et al. [34], Rodrigo-García et al. [35], López-Chavarría et al. [36], Liu and Jiang [37], Al-Abbas et al. [38], Gnananandarao et al. [39], Alelvan et al. [40], Lezgy-Nazargah et al. [41], Gör [42], Himeur et al. [43].

Los trabajos que presentan el área mínima de contacto con el terreno para zapatas aisladas rectangulares [2] y zapatas aisladas circulares (Este documento muestra las ecuaciones únicamente, pero no presenta el área mínima) [44] que trabajan parcialmente en compresión.

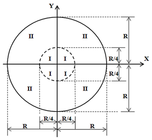
Este artículo muestra un estudio comparativo de áreas mínimas en contacto con el terreno de zapatas aisladas rectangulares y circulares trabajando parcialmente a compresión. Las comparaciones son: 1) El modelo actual y el nuevo modelo para zapatas aisladas rectangulares; 2) El modelo actual y el nuevo modelo para zapatas aisladas circulares; 3) El modelo actual para zapatas aisladas rectangulares y zapatas aisladas circulares; 4) El nuevo modelo para zapatas aisladas rectangulares y zapatas aisladas circulares. Para zapatas aisladas rectangulares, el modelo actual es el caso I (ver Fig. 2(a)) (área trabaja totalmente a compresión), y el nuevo modelo es el menor de los casos II (ver Fig. 2(b)), III (ver Fig. 2(c)), IV (ver Fig. 2(d)) y V (ver Fig. 2(e)) (área trabaja parcialmente a compresión). Para zapatas aisladas circulares, el modelo actual es el caso I (ver Fig. 5(a)) (área trabaja totalmente a compresión), y el nuevo modelo es el caso II (ver Fig. 5(b)) (área trabaja parcialmente a compresión).

2. Formulación de los dos modelos

Las cargas y momentos se obtienen a partir de un análisis estructural, donde el análisis del marco de la estructura se desarrolla por cualquiera de los métodos conocidos (Método de Rigidez, Método de Deflexión- Pendiente y Método de Hardy Cross) que incluyen carga muerta, viva, viento y sismo.

La zapata rígida se deforma de manera plana, es decir, la distribución de la presión del suelo bajo la zapata se considera lineal.

La ecuación de flexión biaxial no es válida, cuando la fuerza resultante P se ubica fuera del núcleo central, un área bien conocida y delimitada, indicando una zona no comprimida.

2.1. Zapatas aisladas rectangulares

La Fig. 1 muestra el diagrama de excentricidad completo resultante de toda la base de la zapata rectangular. Las excentricidades resultantes son medidas desde el centro de la zapata, es decir, ex (distancia en dirección X desde el centro de la zapata) = My/P, ey (distancia en dirección Y desde el centro de la zapata) = Mx/P, donde Mx es el momento sobre el eje X, My es el momento sobre el eje Y, P es la fuerza vertical (ver Fig. 1). Si P se ubica en la zona I (núcleo central), el área de la zapata trabaja completamente a compresión. Si P se ubica en las zonas II, III, IV y V, el área de la zapata trabaja parcialmente a compresión.

Diagrama de excentricidad de una zapata rectangular rígida según la zona de compresión.

Figura 1: Diagrama de excentricidad de una zapata rectangular rígida según la zona de compresión.

Fuente: Vela-Moreno et al., 2022.

2.1.1. Flexión biaxial

La Fig. 2 muestra los cinco casos posibles para una zapata aislada rectangular sometida a carga axial y dos momentos flexionantes ortogonales.

Zapata aislada rectangular sometida a flexión biaxial.

Figura 2: Zapata aislada rectangular sometida a flexión biaxial.

Fuente: Adaptada de Vela-Moreno et al., 2022.

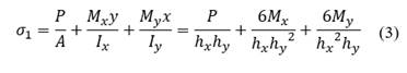
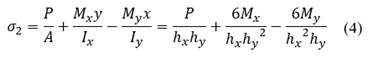
El caso I considera que el área total de la zapata trabaja a compresión.

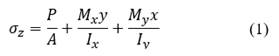
La presión generada por el suelo en cualquier punto de la zapata “σz” se obtiene mediante la ecuación de flexión biaxial [2]:

donde: P es la carga axial, Mx es el momento en el eje X, My es el momento en el eje Y, A es el área o superficie de contacto de la zapata con el suelo, Ix es el momento de inercia en el eje X, Iy es el momento de inercia en el eje Y.

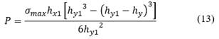
Los casos II, III, IV y V consideran que el área total de la zapata trabaja parcialmente a compresión, es decir, parte del área de la zapata tiene presión cero.

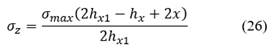
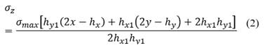
La ecuación general para la presión debajo del suelo en cualquier parte de las zapatas es [2]:

donde: σmax es la presión máxima generada por el suelo (capacidad de carga admisible disponible del suelo), hx1 es la distancia en el lado de la zapata medida en dirección X a partir de la presión máxima hasta donde cruza el EN (eje neutro), hy1 es la distancia en el lado de la zapata medida en dirección Y a partir de la presión máxima hasta donde cruza el eje neutro.

Caso I

La Fig. 2(a) muestra cuando P está dentro del núcleo central.

Las ecuaciones generales para obtener la presión del suelo sobre la zapata en las cuatro esquinas sometidas a flexión biaxial son [2]:

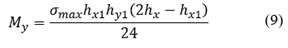
Caso II

La Fig. 2(b) muestra cuando "P" está fuera del núcleo central.

Las ecuaciones generales de la carga axial “P”, el momento en el eje X “Mx” y el momento en el eje Y “My” se obtienen [2]:

Caso III

La Fig. 2(c) muestra cuando "P" está fuera del núcleo central.

Las ecuaciones generales de la carga axial “P”, el momento en el eje X “Mx” y el momento en el eje Y “My” se obtienen [2]:

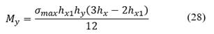
Caso IV

La Fig. 2(d) muestra cuando "P" está fuera del núcleo central.

Las ecuaciones generales de la carga axial “P”, el momento en el eje X “Mx” y el momento en el eje Y “My” se obtienen [2]:

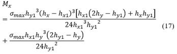
Caso V

La Fig. 2(e) muestra cuando "P" está fuera del núcleo central.

Las ecuaciones generales de la carga axial “P”, el momento en el eje X “Mx” y el momento en el eje Y “My” se obtienen [2]:

2.1.2. Flexión uniaxial

La Fig. 3 muestra los cuatro casos posibles para una zapata aislada rectangular sometida a carga axial y un momento flexionante.

Zapata aislada rectangular sometida a flexión uniaxial.

Figura 3: Zapata aislada rectangular sometida a flexión uniaxial.

Fuente: Adaptada de Vela-Moreno et al., 2022.

Dos casos, donde la carga axial está ubicada sobre el eje Y.

Caso Y-I

La Fig. 3(a) muestra cuando "P" está dentro del núcleo central y sobre el eje Y.

Las ecuaciones generales para obtener la presión debajo del suelo sobre las zapatas sometidas a carga axial “P” y momento sobre el eje X “Mx” son [2]:

Caso Y-II

La Fig. 3(b) muestra cuando "P" está fuera del núcleo central y sobre el eje Y.

La ecuación general de la presión debajo del suelo en cualquier lugar de las zapatas es [2]:

Las ecuaciones generales de la carga axial “P” y el momento en el eje X “Mx” se obtienen [2]:

Dos casos, donde la carga axial está ubicada sobre el eje X.

Caso X-I

La Fig. 3(c) muestra cuando "P" está dentro del núcleo central y sobre el eje X.

Las ecuaciones generales para obtener la presión debajo del suelo sobre las zapatas sometidas a carga axial “P” y momento sobre el eje Y “My” son [2]:

Caso X-II

La Fig. 3(d) muestra cuando "P" está fuera del núcleo central y sobre el eje X.

La ecuación general de la presión debajo del suelo en cualquier lugar de las zapatas es [2]:

Las ecuaciones generales de la carga axial “P” y el momento sobre el eje Y “My” se obtienen [2]:

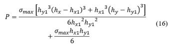
2.1.3. Área mínima para zapatas aisladas rectangulares

El área mínima “Amin” (función objetivo) para todos los casos es [2]:

La Tabla 1 muestra las funciones de restricción para la flexión biaxial en cada caso (hx, hy, hx1 y hy1 se limitan para cumplir las condiciones de cada caso).

Tabla 1: Flexión biaxial.

Caso Funciones de restricción
I Ec. (3)-(6), 0 ≤ σ1, σ2, σ3, σ4 ≤ σmax
II Ec. (7)-(9), hx ≥ hx1 y hy ≥ hy1
III Ec. (10)-(12), hx ≤ hx1 y hy ≥ hy1
IV Ec. (13)-(15), hx ≥ hx1 y hy ≤ hy1
V Ec. (16)-(18), hx ≤ hx1 y hy ≤ hy1

Fuente: Autores.

La Tabla 2 muestra las funciones de restricción para la flexión uniaxial en cada caso (hx y hy se limitan para que no haya zapatas excesivamente desproporcionadas, es decir, demasiado largas con respecto a su ancho).

Tabla 2: Flexión uniaxial.

Caso Funciones de restricción
Y-I Ec. (19)-(20), hx ≥ 𝛼 y hy ≥ 𝛼
Y-II Ec. (22)-(23), hx ≥ 𝛼, hy ≥ 𝛼 y hy ≥ hy1
X-I Ec. (24)-(25), hx ≥ 𝛼 y hy ≥ 𝛼
X-II Ec. (27)-(28), hx ≥ 𝛼, hy ≥ 𝛼 y hx ≥ hx1

Fuente: Autores.

2.2. Zapatas aisladas circulares

La Fig. 4 muestra el diagrama de excentricidad completo resultante de toda la base de la zapata circular.

Diagrama de excentricidad de una zapata circular rígida según la zona de compresión.

Figura 4: Diagrama de excentricidad de una zapata circular rígida según la zona de compresión.

Fuente: Autores.

El momento resultante “MR” se obtiene a partir del momento sobre el eje X “Mx” y el momento sobre el eje Y “My” para simplificar el problema, para trabajar con un solo momento. Esto se debe a que el momento de inercia es el mismo. El momento resultante “MR” es [44]:

La rotación “θ” del eje Y' respecto al eje Y se obtiene [44]:

2.2.1. Flexión biaxial

La Fig. 5 muestra los dos casos posibles para una zapata aislada circular sometida a carga axial y un momento.

Zapata aislada circular sometida a flexión uniaxial o biaxial.

Figura 5: Zapata aislada circular sometida a flexión uniaxial o biaxial.

Fuente: Autores.

Caso I

La Fig. 5(a) muestra cuando P está dentro del núcleo central.

Las ecuaciones generales para obtener la presión del suelo sobre la zapata circular sometida a flexión uniaxial o biaxial son [44]:

Caso II

La Fig. 5(b) muestra cuando P está fuera del núcleo central.

Las ecuaciones generales de la carga axial “P” y el momento resultante “MR” se obtienen [44]:

donde: y0´ es la distancia del eje X´ al eje neutro.

2.2.2. Área mínima para zapatas aisladas circulares

El área mínima “Amin” (función objetivo) para todos los casos es [44]:

La Tabla 3 muestra las funciones de restricción para flexión uniaxial y biaxial en cada caso.

Tabla 3: Flexión uniaxial y biaxial.

Caso Funciones de restricción
I Ec. (30), (32)-(33), 0 ≤ σ1, σ2 ≤ σmax
II Ec. (30), (34)-(35), y0´ ≤ R

Fuente: Autores.

3. Problemas numéricos

Las Tablas 4 a 7 presentan las áreas mínimas y las dimensiones de las zapatas aisladas rectangulares y circulares sometidas a flexión biaxial para el caso I (área trabaja totalmente a compresión) de las dos zapatas, y el menor de los casos II, III, IV y V para zapatas rectangulares y el caso II para zapatas circulares (área trabaja parcialmente a compresión).

Tabla 4: Área mínima y dimensiones de las zapatas bajo flexión biaxial sujetas a P = 300 kN, Mx = 300, 600, 900, 1200 kN-m, My = 300, 600, 900, 1200 kN-m y σmax = 200 kN/m2.

Mx (kN-m) My (kN-m) Zapatas aisladas rectangulares Zapatas aisladas circulares
Caso Amin (m2) hx (m) hy (m) hx1 (m) hy1 (m) Caso Amin (m2) R (m) y0´ (m)
300 300 I 144.00 12.00 12.00 - - I 100.53 5.66 -
II 12.25 3.50 3.50 3.00 3.00 II 12.19 1.97 0.64
600 I 288.00 12.00 24.00 - - I 251.33 8.94 -
II 18.74 3.06 6.12 2.12 4.24 II 23.40 2.73 1.56
900 I 432.00 12.00 36.00 - - I 502.65 12.65 -
II 24.64 2.87 8.60 1.73 5.20 II 40.93 3.61 2.56
1200 I 576.00 12.00 48.00 - - I 854.51 16.49 -
II 30.25 2.75 11.00 1.50 6.00 II 64.64 4.54 3.57
300 600 I 288.00 24.00 24.00 - - I 251.33 8.94 -
II 18.74 6.12 3.06 4.24 2.12 II 23.40 2.73 1.56
600 I 576.00 24.00 24.00 - - I 402.12 11.31 -
II 30.25 5.50 5.50 3.00 3.00 II 34.01 3.29 2.20
900 I 864.00 24.00 36.00 - - I 653.45 14.42 -
II 40.95 5.22 7.84 2.45 3.67 II 51.16 4.04 3.02
1200 I 1152.00 24.00 48.00 - - I 1005.31 17.89 -
II 51.22 5.06 10.12 2.12 4.24 II 74.67 4.87 3.93
300 900 I 432.00 36.00 12.00 - - I 502.65 12.65 -
II 24.64 8.60 2.87 5.20 1.73 II 40.93 3.61 2.56
600 I 864.00 36.00 24.00 - - I 653.45 14.42 -
II 40.95 7.88 5.22 3.67 2.45 II 51.16 4.04 3.02
900 I 1296.00 36.00 36.00 - - I 904.78 16.97 -
II 56.25 7.50 7.50 3.00 3.00 II 67.99 4.65 3.69
1200 I 1728.00 36.00 48.00 - - I 1256.64 20.00 -
II 71.03 7.30 9.73 2.60 3.46 II 91.24 5.39 4.48
300 1200 I 576.00 48.00 12.00 - - I 854.51 16.49 -
II 30.25 11.00 2.75 6.00 1.50 II 64.64 4.54 3.57
600 I 1152.00 48.00 24.00 - - I 1005.31 17.89 -
II 51.22 10.12 5.06 4.24 2.12 II 74.66 4.87 3.93
900 I 1728.00 48.00 36.00 - - I 1256.64 20.00 -
II 71.03 9.73 7.30 3.46 2.60 II 91.24 5.39 4.48
1200 I 2304.00 48.00 48.00 - - I 1608.50 22.63 -
II 90.25 9.50 9.50 3.00 3.00 II 114.28 6.03 5.15

Fuente: Autores.

Tabla 5: Área mínima y dimensiones de las zapatas bajo flexión biaxial sujetas a P = 600 kN, Mx = 300, 600, 900, 1200 kN-m, My = 300, 600, 900, 1200 kN-m y σmax = 200 kN/m2.

Mx (kN-m) My (kN-m) Zapatas aisladas rectangulares Zapatas aisladas circulares
Caso Amin (m2) hx (m) hy (m) hx1 (m) hy1 (m) Caso Amin (m2) R (m) y0´ (m)
300 300 I 36.00 6.00 6.00 - - I 25.13 2.83 -
V 9.59 3.10 3.10 4.35 4.35 II 8.74 1.67 -0.74
600 I 72.00 6.00 12.00 - - I 62.83 4.47 -
V 12.45 2.49 4.99 3.02 6.03 II 12.68 2.01 -0.17
900 I 108.00 6.00 18.00 - - I 125.66 6.32 -
V 14.84 2.22 6.67 2.45 7.35 II 18.26 2.41 0.41
1200 I 144.00 6.00 24.00 - - I 213.63 8.25 -
V 16.98 2.06 8.24 2.12 8.49 II 25.37 2.84 0.98
300 600 I 72.00 12.00 6.00 - - I 62.83 4.47 -
V 12.45 4.99 2.49 6.03 3.02 II 12.68 2.01 -0.17
600 I 144.00 12.00 12.00 - - I 100.53 5.66 -
V 16.98 4.12 4.12 4.24 4.24 II 16.10 2.26 0.21
900 I 216.00 12.00 18.00 - - I 163.36 7.21 -
II 20.89 3.73 5.60 3.46 5.20 II 21.37 2.61 0.67
1200 I 288.00 12.00 24.00 - - I 251.33 8.94 -
II 24.50 3.50 7.00 3.00 6.00 II 28.28 3.00 1.18
300 900 I 108.00 18.00 6.00 - - I 125.66 6.32 -
V 14.84 6.67 2.22 7.35 2.45 II 18.26 2.41 0.41
600 I 216.00 18.00 12.00 - - I 163.36 7.21 -
II 20.89 5.60 3.73 5.20 3.46 II 21.37 2.61 0.67
900 I 324.00 18.00 18.00 - - I 226.19 8.49 -
II 26.23 5.12 5.12 4.24 4.24 II 26.34 2.90 1.04
1200 I 432.00 18.00 24.00 - - I 314.16 10.00 -
II 31.20 4.84 6.45 3.67 4.90 II 33.04 3.24 1.47
300 1200 I 144.00 24.00 6.00 - - I 213.63 8.25 -
V 16.98 8.24 2.06 8.49 2.12 II 25.37 2.84 0.98
600 I 288.00 24.00 12.00 - - I 251.33 8.94 -
II 24.50 7.00 3.50 6.00 3.00 II 28.28 3.00 1.18
900 I 432.00 24.00 18.00 - - I 314.16 10.00 -
II 31.20 6.45 4.84 4.90 3.67 II 33.04 3.24 1.47
1200 I 576.00 24.00 24.00 - - I 402.12 11.31 -
II 37.47 6.12 6.12 4.24 4.24 II 39.54 3.55 1.84

Fuente: Autores.

Tabla 6: Área mínima y dimensiones de las zapatas bajo flexión biaxial sujetas a P = 900 kN, Mx = 300, 600, 900, 1200 kN-m, My = 300, 600, 900, 1200 kN-m y σmax = 200 kN/m2.

Mx (kN-m) My (kN-m) Zapatas aisladas rectangulares Zapatas aisladas circulares
Caso Amin (m2) hx (m) hy (m) hx1 (m) hy1 (m) Caso Amin (m2) R (m) y0´ (m)
300 300 I 16.00 4.00 4.00 - - I 11.17 1.89 -
V 10.18 3.19 3.19 5.71 5.71 II 9.41 1.73 -1.58
600 I 32.00 4.00 8.00 - - I 27.93 2.98 -
V 12.19 2.47 4.94 3.86 7.72 II 11.89 1.95 -1.09
900 I 48.00 4.00 12.00 - - I 55.85 4.22 -
V 13.82 2.15 6.44 3.09 9.27 II 15.15 2.20 -0.63
1200 I 64.00 4.00 16.00 - - I 94.95 5.50 -
V 15.26 1.95 7.81 2.65 10.58 II 19.08 2.46 -0.20
300 600 I 32.00 8.00 4.00 - - I 27.93 2.98 -
V 12.19 4.94 2.47 7.72 3.86 II 11.89 1.95 -1.09
600 I 64.00 8.00 8.00 - - I 44.68 3.77 -
V 15.26 3.91 3.91 5.29 5.29 II 13.92 2.10 -0.79
900 I 96.00 8.00 12.00 - - I 72.61 4.81 -
V 17.80 3.44 5.17 4.27 6.41 II 16.89 2.32 -0.43
1200 I 128.00 8.00 16.00 - - I 111.70 5.96 -
V 20.06 3.17 6.33 3.68 7.37 II 20.65 2.56 -0.05
300 900 I 48.00 12.00 4.00 - - I 55.85 4.22 -
V 13.82 6.44 2.15 9.27 3.09 II 15.15 2.20 -0.63
600 I 96.00 12.00 8.00 - - I 72.61 4.81 -
V 17.80 5.17 3.44 6.41 4.27 II 16.89 2.32 -0.43
900 I 144.00 12.00 12.00 - - I 100.53 5.66 -
V 21.11 4.59 4.59 5.20 5.20 II 19.61 2.50 -0.15
1200 I 192.00 12.00 16.00 - - I 139.63 6.67 -
V 24.08 4.25 5.67 4.50 6.00 II 23.17 2.72 0.17
300 1200 I 64.00 16.00 4.00 - - I 94.95 5.50 -
V 15.26 7.81 1.95 10.58 2.65 II 19.08 2.46 -0.20
600 I 128.00 16.00 8.00 - - I 111.70 5.96 -
V 20.06 6.33 3.17 7.37 3.68 II 20.65 2.56 -0.05
900 I 192.00 16.00 12.00 - - I 139.63 6.67 -
V 24.08 5.67 4.25 6.00 4.50 II 23.17 2.72 0.17
1200 I 256.00 16.00 16.00 - - I 178.72 7.54 -
II 27.72 5.26 5.26 5.20 5.20 II 26.56 2.91 0.44

Fuente: Autores.

Tabla 7: Área mínima y dimensiones de las zapatas bajo flexión biaxial sujetas a P = 1200 kN, Mx = 300, 600, 900, 1200 kN-m, My = 300, 600, 900, 1200 kN-m y σmax = 200 kN/m2.

Mx (kN-m) My (kN-m) Zapatas aisladas rectangulares Zapatas aisladas circulares
Caso Amin (m2) hx (m) hy (m) hx1 (m) hy1 (m) Caso Amin (m2) R (m) y0´ (m)
300 300 I 11.34 3.37 3.37 - - I 10.62 1.84 -
V 11.34 3.37 3.37 7.15 7.15 II No hay solución disponible
600 I 18.00 3.00 6.00 - - I 15.71 2.24 -
V 13.06 2.56 5.11 4.72 9.45 II 12.69 2.01 -1.80
900 I 27.00 3.00 9.00 - - I 31.42 3.16 -
V 14.37 2.19 6.56 3.74 11.23 II 15.09 2.19 -1.38
1200 I 36.00 3.00 12.00 - - I 53.41 4.12 -
V 15.49 1.97 7.87 3.18 12.73 II 17.85 2.38 -1.00
300 600 I 18.00 6.00 3.00 - - I 15.71 2.24 -
V 13.06 5.11 2.56 9.45 4.72 II 12.69 2.01 -1.80
600 I 36.00 6.00 6.00 - - I 25.13 2.83 -
V 15.49 3.94 3.94 6.36 6.36 II 14.19 2.13 -1.52
900 I 54.00 6.00 9.00 - - I 40.84 3.61 -
V 17.45 3.41 5.12 5.08 7.63 II 16.32 2.28 -1.20
1200 I 72.00 6.00 12.00 - - I 62.83 4.47 -
V 19.17 3.10 6.19 4.35 8.70 II 18.92 2.45 -0.87
300 900 I 27.00 9.00 3.00 - - I 31.42 3.16 -
V 14.37 6.56 2.19 11.23 3.74 II 15.09 2.19 -1.38
600 I 54.00 9.00 6.00 - - I 40.84 3.61 -
V 17.45 5.12 3.41 7.63 5.08 II 16.32 2.28 -1.20
900 I 81.00 9.00 9.00 - - I 56.55 4.24 -
V 19.97 4.47 4.47 6.12 6.12 II 18.21 2.41 -0.96
1200 I 108.00 9.00 12.00 - - I 78.54 5.00 -
V 22.21 4.08 5.44 5.26 7.01 II 20.64 2.56 -0.69
300 1200 I 36.00 12.00 3.00 - - I 53.41 4.12 -
V 15.49 7.87 1.97 12.73 3.18 II 17.85 2.38 -1.00
600 I 72.00 12.00 6.00 - - I 62.83 4.47 -
V 19.17 6.19 3.10 8.70 4.35 II 18.92 2.45 -0.87
900 I 108.00 9.00 12.00 - - I 78.54 5.00 -
V 22.21 5.44 4.08 7.01 5.26 II 20.64 2.56 -0.69
1200 I 144.00 12.00 12.00 - - I 100.53 5.66 -
II 24.90 4.99 4.99 6.03 6.03 II 22.90 2.70 -0.46

Fuente: Autores.

La Tabla 4 muestra los resultados para P = 300 kN, Mx = 300, 600, 900, 1200 kN-m, My = 300, 600, 900, 1200 kN-m y σmax = 200 kN/m2.

La Tabla 5 muestra los resultados para P = 600 kN, Mx = 300, 600, 900, 1200 kN-m, My = 300, 600, 900, 1200 kN-m y σmax = 200 kN/m2.

La Tabla 6 muestra los resultados para P = 900 kN, Mx = 300, 600, 900, 1200 kN-m, My = 300, 600, 900, 1200 kN-m y σmax = 200 kN/m2.

La Tabla 7 muestra los resultados para P = 1200 kN, Mx = 300, 600, 900, 1200 kN-m, My = 300, 600, 900, 1200 kN-m y σmax = 200 kN/m2.

Las Tablas 8 a 11 presentan las áreas mínimas y las dimensiones de las zapatas aisladas rectangulares y circulares sometidas a flexión uniaxial para el caso Y-I (área trabaja totalmente a compresión) y el caso Y-II (área trabaja parcialmente a compresión).

Tabla 8: Área mínima y dimensiones de las zapatas bajo flexión uniaxial sujetas a P = 300 kN, Mx = 300, 600, 900, 1200 kN-m, My = 0 kN-m y σmax = 200 kN/m2.

Mx (kN-m) My (kN-m) Zapatas aisladas rectangulares Zapatas aisladas circulares
Caso Amin (m2) hx (m) hy (m) hx1 (m) hy1 (m) Caso Amin (m2) R (m) y0´ (m)
300 0 Y-I 12.00 2.00 6.00 - - I 50.27 4.00 -
Y-II 6.00 2.00 3.00 - 1.50 II 8.05 1.60 0.15
600 Y-I 24.00 2.00 12.00 - - I 201.06 8.00 -
Y-II 10.00 2.00 5.00 - 1.50 II 19.77 2.51 1.30
900 Y-I 36.00 2.00 18.00 - - I 452.39 12.00 -
Y-II 14.00 2.00 7.00 - 1.50 II 37.48 3.45 2.38
1200 Y-I 48.00 2.00 24.00 - - I 804.25 16.00 -
Y-II 18.00 2.00 9.00 - 1.50 II 61.29 4.42 3.44

Fuente: Autores.

Tabla 9: Área mínima y dimensiones de las zapatas bajo flexión uniaxial sujetas a P = 600 kN, Mx = 300, 600, 900, 1200 kN-m, My = 0 kN-m y σmax = 200 kN/m2.

Mx (kN-m) My (kN-m) Zapatas aisladas rectangulares Zapatas aisladas circulares
Caso Amin (m2) hx (m) hy (m) hx1 (m) hy1 (m) Caso Amin (m2) R (m) y0´ (m)
300 0 Y-I 6.00 2.00 3.00 - - I 12.57 2.00 -
Y-II 6.00 2.00 3.00 - 3.00 II 7.10 1.50 -1.07
600 Y-I 12.00 2.00 6.00 - - I 50.27 4.00 -
Y-II 8.00 2.00 4.00 - 3.00 II 11.45 1.91 0.33
900 Y-I 18.00 2.00 9.00 - - I 113.10 6.00 -
Y-II 10.00 2.00 5.00 - 3.00 II 17.19 2.34 0.31
1200 Y-I 24.00 2.00 12.00 - - I 201.06 8.00 -
Y-II 12.00 2.00 6.00 - 3.00 II 24.38 2.79 0.90

Fuente: Autores.

Tabla 10: Área mínima y dimensiones de las zapatas bajo flexión uniaxial sujetas a P = 900 kN, Mx = 300, 600, 900, 1200 kN-m, My = 0 kN-m y σmax = 200 kN/m2.

Mx (kN-m) My (kN-m) Zapatas aisladas rectangulares Zapatas aisladas circulares
Caso Amin (m2) hx (m) hy (m) hx1 (m) hy1 (m) Caso Amin (m2) R (m) y0´ (m)
300 0 Y-I 7.05 2.00 3.53 - - I 8.21 1.62 -
Y-II 9.00 4.50 2.00 - 2.00 II No hay solución disponible
600 Y-I 8.66 2.00 4.33 - - I 22.34 2.67 -
Y-II 9.00 2.25 4.00 - 4.00 II 11.15 1.89 -1.22
900 Y-I 12.00 2.00 6.00 - - I 50.27 4.00 -
Y-II 10.00 2.00 5.00 - 4.50 II 14.54 2.15 -0.71
1200 Y-I 16.00 2.00 8.00 - - I 89.36 5.33 -
Y-II 11.33 2.00 5.67 - 4.50 II 18.55 2.43 -0.25

Fuente: Autores.

Tabla 11: Área mínima y dimensiones de las zapatas bajo flexión uniaxial sujetas a P = 1200 kN, Mx = 300, 600, 900, 1200 kN-m, My = 0 kN-m y σmax = 200 kN/m2.

Mx (kN-m) My (kN-m) Zapatas aisladas rectangulares Zapatas aisladas circulares
Caso Amin (m2) hx (m) hy (m) hx1 (m) hy1 (m) Caso Amin (m2) R (m) y0´ (m)
300 0 Y-I 8.20 2.00 4.10 - - I 9.46 1.74 -
Y-II No hay solución disponible II No hay solución disponible
600 Y-I 9.71 2.00 4.85 - - I 12.57 2.00 -
Y-II 12.00 4.00 3.00 - 3.00 II 12.11 1.96 -1.93
900 Y-I 10.94 2.00 5.47 - - I 28.27 3.00 -
Y-II 12.00 2.67 4.50 - 4.50 II 14.65 2.16 -1.44
1200 Y-I 12.00 2.00 6.00 - - I 50.27 4.00 -
Y-II 12.00 2.00 6.00 - 6.00 II 17.48 2.36 -1.05

Fuente: Autores.

La Tabla 8 muestra los resultados para P = 300 kN, Mx = 300, 600, 900, 1200 kN-m, My = 0 kN-m y σmax = 200 kN/m2.

La Tabla 9 muestra los resultados para P = 600 kN, Mx = 300, 600, 900, 1200 kN-m, My = 0 kN-m y σmax = 200 kN/m2.

La Tabla 10 muestra los resultados para P = 900 kN, Mx = 300, 600, 900, 1200 kN-m, My = 0 kN-m y σmax = 200 kN/m2.

La Tabla 11 muestra los resultados para P = 1200 kN, Mx = 300, 600, 900, 1200 kN-m, My = 0 kN-m y σmax = 200 kN/m2.

4. Resultados y discusión

La Tabla 4 presenta lo siguiente: El área mínima más pequeña entre los nuevos modelos aparece en el caso II para zapatas aisladas circulares en P = 300 kN, Mx = 300 kN-m y My = 300 kN-m, y para los demás ejemplos de esta tabla aparece en el caso II para zapatas aisladas rectangulares. El área mínima más pequeña entre los modelos actuales aparece en el caso I para zapatas aisladas circulares en P = 300 kN, Mx = 300, 600 kN-m y My = 300 kN-m; P = 300 kN, Mx = 300, 600, 900, 1200 kN-m y My = 600 kN-m; P = 300 kN, Mx = 600, 900, 1200 kN-m y My = 900 kN-m; P = 300 kN, Mx = 600, 900, 1200 kN-m y My = 1200 kN-m; y para los demás ejemplos de esta tabla aparece en el caso I para zapatas aisladas rectangulares.

La Tabla 5 muestra lo siguiente: El área mínima más pequeña entre los nuevos modelos aparece en el caso II para zapatas aisladas circulares en P = 600 kN, Mx = 300 kN-m y My = 300 kN-m; P = 600 kN, Mx = 600 kN-m y My = 600 kN-m; y para los demás ejemplos de esta tabla aparece en el caso II o V para zapatas aisladas rectangulares. El área mínima más pequeña entre los modelos actuales aparece en el caso I para zapatas aisladas circulares en P = 600 kN, Mx = 300, 600 kN-m y My = 300 kN-m; P = 600 kN, Mx = 300, 600, 900, 1200 kN-m y My = 600 kN-m; P = 600 kN, Mx = 600, 900, 1200 kN-m y My = 900 kN-m; P = 600 kN, Mx = 600, 900, 1200 kN-m y My = 1200 kN-m; y para los demás ejemplos de esta tabla aparece en el caso I para zapatas aisladas rectangulares.

La Tabla 6 presenta lo siguiente: El área mínima más pequeña entre los nuevos modelos aparece en el caso II para zapatas aisladas circulares en P = 900 kN, Mx = 300, 600 kN-m y My = 300 kN-m; P = 900 kN, Mx = 300, 600, 900 kN-m y My = 600 kN-m; P = 900 kN, Mx = 600, 900, 1200 kN-m y My = 900 kN-m; P = 900 kN, Mx = 900, 1200 kN-m y My = 1200 kN-m; y para los demás ejemplos de esta tabla aparece en el caso II o V para zapatas aisladas rectangulares. El área mínima más pequeña entre los modelos actuales aparece en el caso I para zapatas aisladas circulares en P = 900 kN, Mx = 300, 600 kN-m y My = 300 kN-m; P = 900 kN, Mx = 300, 600, 900, 1200 kN-m y My = 600 kN-m; P = 900 kN, Mx = 600, 900, 1200 kN-m y My = 900 kN-m; P = 900 kN, Mx = 600, 900, 1200 kN-m y My = 1200 kN-m; y para los demás ejemplos de esta tabla aparece en el caso I para zapatas aisladas rectangulares.

La Tabla 7 muestra lo siguiente: El área mínima más pequeña entre los nuevos modelos aparece en el caso II para zapatas aisladas circulares en P = 1200 kN, Mx = 600 kN-m y My = 300 kN-m; P = 1200 kN, Mx = 300, 600, 900, 1200 kN-m y My = 600 kN-m; P = 1200 kN, Mx = 600, 900, 1200 kN-m y My = 900 kN-m; P = 1200 kN, Mx = 600, 900, 1200 kN-m y My = 1200 kN-m; y para los demás ejemplos de esta tabla aparece en el caso II o V para zapatas aisladas rectangulares. El área mínima más pequeña entre los modelos actuales aparece en el caso I para zapatas aisladas circulares en P = 1200 kN, Mx = 300, 600 kN-m y My = 300 kN-m; P = 1200 kN, Mx = 300, 600, 900, 1200 kN-m y My = 600 kN-m; P = 1200 kN, Mx = 600, 900, 1200 kN-m y My = 900 kN-m; P = 1200 kN, Mx = 600, 900, 1200 kN-m y My = 1200 kN-m; y para los demás ejemplos de esta tabla aparece en el caso I para zapatas aisladas rectangulares.

La Tabla 8 presenta lo siguiente: El área mínima más pequeña entre los nuevos modelos aparece en el caso Y-II para zapatas aisladas rectangulares. El área mínima más pequeña entre los modelos actuales en el caso Y-I para zapatas aisladas rectangulares para todos los ejemplos de esta tabla.

La Tabla 9 muestra lo siguiente: El área mínima más pequeña entre los nuevos modelos aparece en el caso Y-II para zapatas aisladas rectangulares. El área mínima más pequeña entre los modelos actuales en el caso Y-I para zapatas aisladas rectangulares para todos los ejemplos de esta tabla, pero coincide el caso Y-I con el caso Y-II para P = 600 kN, Mx = 300 kN-m y My = 0 kN-m.

La Tabla 10 presenta lo siguiente: El área mínima más pequeña entre los nuevos modelos aparece en el caso Y-II para zapatas aisladas rectangulares. El área mínima más pequeña entre los modelos actuales en el caso Y-I para zapatas aisladas rectangulares para todos los ejemplos de esta tabla, pero el caso Y-I es menor que el caso Y-II para P = 900 kN, Mx = 300, 600 kN-m y My = 0 kN-m.

La Tabla 11 muestra lo siguiente: El área mínima más pequeña entre los nuevos modelos aparece en el caso Y-II para zapatas aisladas rectangulares. El área mínima más pequeña entre los modelos actuales en el caso Y-I para zapatas aisladas rectangulares para todos los ejemplos de esta tabla, pero el caso Y-I es menor que el caso Y-II para P = 1200 kN, Mx = 300, 600, 900 kN-m y My = 0 kN-m, y coincide el caso Y-I y el caso Y-II para P = 1200 kN, Mx = 1200 kN-m y My = 0 kN-m.

Para flexión biaxial en términos del área de contacto con el suelo se observó lo siguiente:

El modelo actual es más grande que el nuevo modelo en todos los casos. La mayor diferencia para zapatas aisladas rectangulares es 25,53 veces el modelo actual que el nuevo modelo y la mayor diferencia para zapatas aisladas circulares es 14,08 veces el modelo actual que el nuevo modelo. Ambos modelos son para P = 300 kN, Mx = 1200 kN-m, My = 1200 kN-m (ver. Tabla 4).

La diferencia del modelo actual entre las dos zapatas es la misma para cada momento Mx y momento My, para cualquier tipo de carga P. La mayor diferencia es para zapatas aisladas rectangulares de 1,43 veces que las zapatas aisladas circulares para Mx = 300 kN-m y My = 300 kN-m; Mx = 600 kN-m y My = 600 kN-m; Mx = 900 kN-m y My = 900 kN-m; Mx = 1200 kN-m y My = 1200 kN-m, es decir, cuando las zapatas aisladas rectangulares tienen lados iguales.

La diferencia del nuevo modelo entre las dos zapatas es: La mayor diferencia para las zapatas aisladas rectangulares es de 1,10 veces que las zapatas aisladas circulares para P = 600 kN, Mx = 300 kN-m y My = 300 kN-m; P = 900 kN, Mx = 600 kN-m y My = 600 kN-m; P = 1200 kN, Mx = 900 kN-m y My = 900 kN-m. La mayor diferencia para las zapatas aisladas circulares es de 2,14 veces que las zapatas aisladas rectangulares o 0,47 veces las zapatas aisladas rectangulares que las zapatas aisladas circulares para P = 300 kN, Mx = 1200 kN-m y My = 300 kN-m; P = 300 kN, Mx = 300 kN-m y My = 1200 kN-m.

Para flexión uniaxial en términos del área de contacto con el suelo se observó lo siguiente:

El modelo actual es más grande que el nuevo modelo en todos los casos, excepto en P = 900 kN, Mx = 600 kN-m y My = 0 kN-m (ver. Tabla 10); P = 1200 kN, Mx = 600, 900 kN-m y My = 0 kN-m (ver. Tabla 11) para zapatas aisladas rectangulares. La mayor diferencia para zapatas aisladas rectangulares es 2,67 veces el modelo actual que el nuevo modelo y la mayor diferencia para zapatas aisladas circulares es 13,12 veces el modelo actual que el nuevo modelo en ambos modelos son para P = 300 kN, Mx = 1200 kN-m, My = 0 kN-m (ver. Tabla 8).

La diferencia del modelo actual entre las dos zapatas es: La mayor diferencia para zapatas aisladas rectangulares de 0,06 veces que las zapatas aisladas circulares o 16,76 veces para las zapatas aisladas circulares que las zapatas aisladas rectangulares para P = 300 kN, Mx = 1200 kN-m , My = 0 (ver. Tabla 8).

La diferencia del nuevo modelo entre las dos zapatas es: La mayor diferencia para zapatas aisladas rectangulares de 0,29 veces que las zapatas aisladas circulares o 3,40 veces para las zapatas aisladas circulares que las zapatas aisladas rectangulares para P = 300 kN, Mx = 1200 kN-m, My = 0 (ver. Tabla 8).

Por lo tanto, el impacto en el costo de estas cimentaciones seria: Menor costo en el volumen de la excavación del terreno, ya que se presenta menor área en planta.

5. Conclusiones

Este artículo presenta cuatro estudios comparativos de áreas mínimas de contacto con el terreno para zapatas aisladas rectangulares y circulares. Los estudios comparativos son: 1) El modelo actual y el nuevo modelo para zapatas aisladas rectangulares; 2) El modelo actual y el nuevo modelo para zapatas aisladas circulares; 3) El modelo actual para zapatas aisladas rectangulares y zapatas aisladas circulares; 4) El nuevo modelo para zapatas aisladas rectangulares y zapatas aisladas circulares.

Para zapatas aisladas rectangulares, el modelo actual es el caso I (área trabaja totalmente a compresión), y el nuevo modelo es el menor de los casos II, III, IV y V (área trabaja parcialmente a compresión). Para zapatas aisladas circulares, el modelo actual es el caso I (área trabaja totalmente a compresión), y el nuevo modelo es el caso II (área trabaja parcialmente a compresión).

Los principales aportes presentados en este documento son:

  1. Las zapatas aisladas rectangulares bajo flexión uniaxial requieren menor área que las zapatas aisladas circulares en el modelo actual y en el nuevo modelo.

  2. El nuevo modelo requiere menor área que el modelo actual para zapatas aisladas rectangulares y circulares bajo flexión biaxial en todos los casos, excepto para las zapatas aisladas circulares del ejemplo P = 1200 kN, Mx = 300 kN-m y My = 300 kN -m, que rige el modelo actual, ya que el nuevo modelo no tiene solución disponible.

  3. El nuevo modelo para zapatas aisladas circulares requiere menor área que las zapatas aisladas rectangulares, cuando los momentos Mx y My son iguales y la relación de la carga P entre el momento Mx o My es 0,75 o mayor.

  4. El nuevo modelo para zapatas aisladas circulares requiere menor área que las zapatas aisladas rectangulares, cuando el momento menor dividido por el momento mayor está entre 0,50 y 0,75, y la carga P es mayor que el momento mayor.

  5. El nuevo modelo para zapatas aisladas circulares requiere menor área que las zapatas aisladas rectangulares, cuando el momento menor dividido por el momento mayor está entre 0,67 y 0,75, y la carga P es igual al momento mayor.

  6. El nuevo modelo para zapatas aisladas circulares requiere menor área que las zapatas aisladas rectangulares, cuando el momento menor dividido por el momento mayor es 0,75, y la carga P es igual al momento menor.

  7. El nuevo modelo para zapatas aisladas circulares requiere menor área que las zapatas aisladas rectangulares, cuando el momento menor dividido por el momento mayor es 0,50, y la carga P es igual al momento mayor.

  8. Cuando la carga axial aumenta, la relación entre el modelo actual y el nuevo modelo disminuye para zapatas aisladas rectangulares y circulares bajo flexión uniaxial y biaxial.

  9. El área mínima del nuevo modelo para zapatas aisladas rectangulares bajo flexión biaxial muestra lo siguiente: cuando aparece el caso V, no se presenta el caso II.

La principal ventaja de este estudio es que impacta directamente en el costo de construcción de la zapata, ya que, al presentar menor área de contacto con el terreno, genera menor volumen de relleno de zapata.

Las sugerencias para la próxima investigación son: Un estudio comparativo para el diseño completo de zapatas aisladas rectangulares y circulares tomando en cuenta que la superficie de contacto trabaja parcialmente en compresión.

Referencias

  1. [1] Luévanos-Rojas, A., Minimum cost design for rectangular isolated footings taking into account that the column is located in any part of the footing, Buildings, 13, art. 2269, 2023. DOI: https://doi.org/10.3390/buildings13092269 [URL] 🠔
  2. [2] Vela-Moreno, V.B., Luévanos-Rojas, A., López-Chavarría, S., Medina-Elizondo, M., Sandoval-Rivas, R., and Martinez-Aguilar, C., Optimal area for rectangular isolated footings considering that contact surface works partially to compression, Structural Engineering and Mechanics, 84(4), pp. 561-573, 2022. DOI: https://doi.org/10.12989/sem.2022.84.4.561 [URL] 🠔
  3. [3] Luévanos-Rojas, A., A mathematical model for dimensioning of footings square, International Review of Civil Engineering, 3(4), pp. 346-350, 2012. 🠔
  4. [4] Luévanos-Rojas, A., A mathematical model for dimensioning of footings rectangular, ICIC Express Letters Part B: Application, 4(2), pp. 269-274, 2013. 🠔
  5. [5] Luévanos-Rojas, A., A mathematical model for the dimensioning of circular footings, Far East Journal of Mathematical Sciences, 71(2), pp. 357-367, 2012. 🠔
  6. [6] Luévanos-Rojas, A., A mathematical model for the dimensioning of combined footings of rectangular shape, Revista Técnica de la Facultad de Ingeniería Universidad, [online]. 39(1), pp. 3-9, 2016. Available at: https://produccioncientificaluz.org/index.php/tecnica/article/view/21090/20946 [URL] 🠔
  7. [7] Luévanos-Rojas, A., A new mathematical model for dimensioning of the boundary trapezoidal combined footings, International Journal of Innovative Computing, Information and Control, [online]. 11(4), pp. 1269-1279, 2015. Available at: http://www.ijicic.org/ijicic-110411.pdf [URL] 🠔
  8. [8] López-Chavarría, S., Luévanos-Rojas, A. and Medina-Elizondo, M., Optimal dimensioning for the corner combined footings, Advances in Computational Design, 2(2), 169-183, 2017. DOI: https://doi.org/10.12989/acd.2017.2.2.169 [URL] 🠔
  9. [9] Aguilera-Mancilla, G., Luévanos-Rojas, A., López-Chavarría, S., and Medina-Elizondo, M., Modeling for the strap combined footings Part I: optimal dimensioning, Steel and Composite Structures, 30(2), pp. 97-108, 2019. DOI: https://doi.org/10.12989/scs.2019.30.2.097 [URL] 🠔
  10. [10] Luévanos-Rojas, A., López-Chavarría, S., and Medina-Elizondo, M., A new model for T-shaped combined footings Part I: optimal dimensioning, Geomechanics and Engineering, 14(1), pp. 51-60, 2018. DOI: https://doi.org/10.12989/gae.2018.14.1.051 [URL] 🠔
  11. [11] Peck, R.B., Hanson, W.E. and Thornburn, T.H., Foundation Engineering. 2nd ed., John Willy & Sons, USA, 1974. 🠔
  12. [12] Teng, W.C., Foundation Design. Prentice-Hall Inc., USA, 1979. 🠔
  13. [13] Young, W.C., and Budynas, R.G. Roark's Formulas for Stress and Strain, 7th ed., McGraw-Hill, USA, 2002. 🠔
  14. [14] Highter, W.H., and Anders, J.C., Dimensioning footings subjected to eccentric loads, Journal of Geotechnical Engineering, 111(5), pp. 659-665, 1985. DOI: https://doi.org/10.1061/(ASCE)0733-9410(1985)111:5(659) [URL] 🠔
  15. [15] Gonzalez-Garcia, A.J., Carga crítica en cimientos superficiales continuos, Ingeniería e Investigación, 4(2), pp. 3-10, 1987. DOI: https://doi.org/10.15446/ing.investig.n14.19553 [URL] 🠔
  16. [16] Irles-Más, R., y Irles-Más, F., Alternativa analítica a la determinación de tensiones bajo zapatas rectangulares con flexión biaxial y despegue parcial, Informes de la Construcción, 44(419), pp. 77-89, 1992. DOI: https://doi.org/10.3989/ic.1992.v44.i419.1338 [URL] 🠔
  17. [17] Rodriguez-Gutierrez, J.A., y Aristizabal-Ochoa, J.D., Presiones en zapatas rígidas de forma arbitraria sometidas a carga axial excéntrica. Revista Internacional de Desastres Naturales, Accidentes e Infraestructura Civil., [en línea]. 4(1), pp. 67-82, 2004. Available at: https://www.scipedia.com/wd/images/2/27/Draft_Content_636675925Rodriguez-Gutierrez_Aristizabal-Ochoa_a.pdf [URL] 🠔
  18. [18] Camero, H.E. A new method for designing floor slabs on grade due to the difficulty of applying simplified design methods, amongst them being the Portland Cement Association (PCA) and Wire Reinforcement Institute (WRI) methods, Ingeniería e Investigación, 27(1), pp. 93-100, 2007. DOI: https://doi.org/10.15446/ing.investig.v35n2.45603 [URL] 🠔
  19. [19] Chagoyén, E., Negrín, A., Cabrera, M., López, L. and Padrón, N., Diseño óptimo de cimentaciones superficiales rectangulares. Formulación, Revista de la Construcción, 8(2), pp. 60-71, 2009. 🠔
  20. [20] Ramu, K. and Madhav, M.R., Response of rigid footing on reinforced granular fill over soft soil, Geomechanics and Engineering, 2(4), pp. 281-302, 2010. DOI: https://doi.org/10.12989/gae.2010.2.4.281 [URL] 🠔
  21. [21] Özmen, G., Determination of base stresses in rectangular footings under biaxial bending, Teknik Dergi Digest, [online]. 22(4), pp. 1519-1535, 2011. Available at: http://www.imo.org.tr/resimler/dosya_ekler/7b559795bd3f63b_ek.pdf?dergi=472 [URL] 🠔
  22. [22] Smith-Pardo, J.P., Performance-based framework for soil-structure systems using simplified rocking foundation models, Structural Engineering and Mechanics, 40(6), pp. 763-782, 2011. DOI: https://doi.org/10.12989/sem.2011.40.6.763 [URL] 🠔
  23. [23] Valencia, Y., Camapum, J. y Lara, L., Aplicaciones adicionales de los resultados de pruebas de carga estáticas en el diseño geotécnico de cimentaciones, DYNA, 79(175), pp. 182-190, 2012. 🠔
  24. [24] Rodriguez-Gutierrez, J.A. and Aristizabal-Ochoa, J.D., Rigid spread footings resting on soil subjected to axial load and biaxial bending. I: simplified analytical method, International Journal of Geomechanics, 13(2), pp. 109-119, 2013. DOI: https://doi.org/10.1061/(ASCE)GM.1943-5622.0000218 [URL] 🠔
  25. [25] Rodriguez-Gutierrez, J.A. and Aristizabal-Ochoa, J.D., Rigid spread footings resting on soil subjected to axial load and biaxial bending. II: design aids, International Journal of Geomechanics, 13(2), pp. 20-131, 2013. DOI: https://doi.org/10.1061/(ASCE)GM.1943-5622.0000210 [URL] 🠔
  26. [26] Cunha, P.R., and Albuquerque, P.J.R., Advance of foundation techniques in Brazil since colonial times, DYNA, 81(183), pp. 178-187, 2014. DOI: https://doi.org/10.15446/dyna.v81n183.31435 [URL] 🠔
  27. [27] Luévanos-Rojas, A., Design of boundary combined footings of rectangular shape using a new model, DYNA, 81(188), pp. 199-208, 2014. DOI: https://doi.org/10.15446/dyna.v81n188.41800 [URL] 🠔
  28. [28] Hassaan, G.A., Optimal design of machinery shallow foundations with sand soils, International Journal of Research in Engineering and Technology, 3(5), pp. 1-8, 2014. 🠔
  29. [29] Momeni, E., Nazir, R., Armaghani, D.J. and Maizir, H., Application of artificial neural network for predicting shaft and tip resistances of concrete piles, Earth Sciences Research Journal, 19(1), pp. 85-95, 2015. DOI: https://doi.org/10.15446/esrj.v19n1.38712 [URL] 🠔
  30. [30] Camero, H.E., A novel finite element method for designing floor slabs on grade and pavements with loads at edges, Ingeniería e Investigación, 35(2), pp. 15-22, 2015. DOI: https://doi.org/10.15446/ing.investig.v35n2.45603 [URL] 🠔
  31. [31] Kassouf, R., De Carvalho, D., and Rocha-de Albuquerque, P.J., The behavior of a foundation transversally loaded at the top over highly porous and collapsible soil, DYNA, 83(199), pp. 134-139, 2016. DOI: http://dx.doi.org/10.15446/dyna.v83n199.52529 [URL] 🠔
  32. [32] Luévanos-Rojas, A., López-Chavarría, S., and Medina-Elizondo, M., Optimal design for rectangular isolated footings using the real soil pressure, Ingeniería e Investigación, 37(2), pp. 25-33, 2017. DOI: https://doi.org/10.15446/ing.investig.v37n2.61447 [URL] 🠔
  33. [33] Da Silva, J.L., Aoki, N., and Barbosa-Franco, Y., Use of the order statistics when predicting pile foundation failure probability, DYNA, 84(200), pp. 247-252, 2017. DOI: https://doi.org/10.15446/dyna.v84n200.54867 [URL] 🠔
  34. [34] Munévar-Peña, M.A., Ramos-Cañón, A.M., and Prada-Sarmiento, L.F. Incorporación de la incertidumbre aleatoria de las propiedades del suelo en la geoestadística. Aplicación al diseño de cimentaciones basado en confiabilidad, Boletín de Ciencias de la Tierra, 44, pp. 38-48, 2018. DOI: https://doi.org/10.15446/rbct.n44.69266 [URL] 🠔
  35. [35] Rodrigo-García, J., and Rocha-de Albuquerque, P.J., Model of nonlinear behavior applied to prediction of settlement in deep foundations, DYNA, 85(205), pp. 171-178, 2018. DOI: https://doi.org/10.15446/dyna.v85n205.68523 [URL] 🠔
  36. [36] López-Chavarría, S., Luévanos-Rojas, A., Medina-Elizondo, M., Sandoval-Rivas, R., and Velázquez-Santillán, F., Optimal design for the circular isolated footings, Advances in Computational Design, 4(3), pp. 273-294, 2019. DOI: https://doi.org/10.12989/acd.2019.4.3.273 [URL] 🠔
  37. [37] Liu, B., and Jiang, X., Consolidation and deformation characteristics of soft rock foundation in a hydrological wetland environment, Earth Sciences Research Journal, 24(2), pp. 183-190, 2020. DOI: https://doi.org/10.15446/esrj.v24n2.87920 [URL] 🠔
  38. [38] Al-Abbas, K.A., Saadoon, S., and Al-Robay, A.A., Experimental study for elastic deformation under isolated footing, Periodicals of Engineering and Natural Sciences, 8(2), pp. 942-948, 2020. 🠔
  39. [39] Gnananandarao, T., Khatri, V.N. and Dutta, R.K., Bearing capacity and settlement prediction of multi-edge skirted footings resting on sand, Ingeniería e Investigación, 40(3), pp. 9-21, 2020. DOI: https://doi.org/10.15446/ing.investig.v40n3.83170 [URL] 🠔
  40. [40] Alelvan, G.M., Toro-Rojas, D., Pedron-Rossato, A.C., Reinaldo, R.,L. and Cordão-Neto, M.P., MPM and ALE simulations of large deformations geotechnics instability problems, DYNA, 87(212), pp. 226-235, 2020. DOI: https://doi.org/10.15446/dyna.v87n212.80975 [URL] 🠔
  41. [41] Lezgy-Nazargah, M., Mamazizi, A., and Khosravi, H., Analysis of shallow footings rested on tensionless foundations using a mixed finite element model, Structural Engineering and Mechanics, 81(3), pp. 379-394, 2020. DOI: https://doi.org/10.12989/sem.2022.81.3.379 [URL] 🠔
  42. [42] Gör, M., Analyzing the bearing capacity of shallow foundations on two-layered soil using two novel cosmology-based optimization techniques, Smart Structures and Systems, 29(3), pp. 513-522, 2022. DOI: https://doi.org/10.12989/sss.2022.29.3.513 [URL] 🠔
  43. [43] Himeur, N., Mamen, B., Benguediab, S., Bouhadra, A., Menasria, A., Bouchouicha, B., Bourada, F., Benguediab, M., and Tounsi, A., Coupled effect of variable Winkler-Pasternak foundations on bending behavior of FG plates exposed to several types of loading, Steel and Composite Structures, 44(3), pp. 339-355, 2022. DOI: https://doi.org/10.12989/scs.2022.44.3.339 [URL] 🠔
  44. [44] Soto-Garcia, S., Luévanos-Rojas, A., Barquero-Cabrero, J.D., López-Chavarría, S., Medina-Elizondo, M., Farias-Montemayor, O.M., and Martinez-Aguilar, C., A New Model for the contact surface with soil of circular isolated footings considering that the contact surface works partially under compression, International Journal of Innovative Computing, Information and Control, [online]. 18(4), pp. 1103-1116, 2022. Available at: http://www.ijicic.org/ijicic-180406.pdf [URL] 🠔
Luévanos-Rojas, A.,Estrada-Mendoza, B.L. and Juárez-Ramírez, M., (2024). Estudio comparativo para áreas mínimas en contacto con el suelo de zapatas aisladas rectangulares y circulares trabajando parcialmente bajo compresión. BOLETÍN DE CIENCIAS DE LA TIERRA. 55, pp. 85 - 98. DOI: https://doi.org/10.15446/rbct.n55.111624
recibió su título en Ing. Civil en 1981, MSc. en Ciencias con especialidad en Planeación y Construcción de Obras en 1990 y Dr. en Ingeniería con especialidad en Sistema de Planeación y Construcción en 2009, todos ellos de la Universidad Juárez del Estado de Durango, Gómez Palacio, Durango, México. Además, es MSc. en Estructuras en 1983 del Instituto Politécnico Nacional, Distrito Federal, México. MSc. en Administración en 2004 de la Universidad Autónoma de Coahuila. Profesor e Investigador de la Universidad Juárez del Estado de Durango (2006-2014). Profesor e Investigador de la Universidad Autónoma de Coahuila (2015-Actual). El autor tiene más de 130 artículos publicados en revistas de investigación científica internacionales. Autor de dos libros. Editor Asociado de 11 revistas internacionales. También ha participado en 100 como parte de Comités de Programas Técnicos, 15 como Editor y 19 como presidente en varios Congresos Internacionales. Pertenece al Sistema Nacional de Investigadores de México Nivel II (SNI-II). Él es Investigador Estatal Honorifico por el Estado de Coahuila, México. Ha recibido varias distinciones: Maestro distinguido ULSA (Universidad La Salle Laguna) 2002, 2007, 2010. Investigador del año 2023 por UAC (Universidad Autónoma de Coahuila). Ha sido incluido en el “2023 World’s Top 2% Scientists List” por la Universidad de Stanford. ORCID: 0000-0002-0198-3614
recibió su título en Licenciatura en Administración de Empresas Turísticas 1992 del Instituto Tecnológico de Zacatepec, Cuernavaca, Morelos, México. MSc. en Administración con acentuación en Finanzas en 2014 y Dr. en Administración y Alta Dirección 2023, estos dos de la Universidad Autónoma de Coahuila, Torreón, Coahuila, México. Profesor e Investigador de la Universidad Autónoma de Coahuila (2015-Actual). Ella es investigadora estatal honorifico por el Estado de Coahuila, México. ORCID: 0000-0002-3954-5310
recibió su título en Ing. Industrial en Producción en 1993 del Instituto Tecnológico de Saltillo, Saltillo, Coahuila, México. MSc. en Productividad en 1999 y MSc. en Administración de Empresas en 2002 de la Universidad Autónoma del Noreste, Piedras Negras, Coahuila, México y Dr. en Administración y Alta Dirección en 2023 de la Universidad Autónoma de Coahuila, Torreón, Coahuila, México. Trabajó como: gerente de producción y planeación (operación) de Intrex Global Solutions Company: Eagle Pass, Texas, US (2007-2009). Gerente de Procesos y Mejora Continua de Southwest Metal Finishing Company: New Berlin, Wisconsin, US (2010-2017). Profesor e investigador de la Universidad Autónoma de Coahuila (2017-Actual). ORCID: 0009-0005-3870-0146