Boletín de Ciencias de la Tierra
0120-3630
Universidad Nacional de Colombia
https://doi.org/10.15446/rbct.n56.112384

Recibido: 6 de enero de 2024; Revision Received: 24 de junio de 2024; Aceptado: 26 de junio de 2024

Clasificación de recursos minerales: caso de estudio sobre un proyecto minero vetiforme de bajo volumen

Mineral resource classification: case study of a low volume vetiform mining project

L. Sánchez-Arredondo, a A. López-Gómez, a

Universidad Nacional de Colombia, Facultad de Minas, Medellín, Colombia. lhsanche@unal.edu.co, anlopezgo@unal.edu.co Universidad Nacional de Colombia Universidad Nacional de Colombia Facultad de Minas Medellín Colombia

Resumen

Este artículo presenta una guía metodológica para la clasificación de recursos minerales, siguiendo técnicas de análisis geoestadísticas y la terminología del reporte de recursos según el estándar colombiano de recursos y reservas (ECRR-2018). A modo de ejemplo se exhiben los resultados obtenidos del estudio de un proyecto minero de bajo volumen para un depósito filoniano con más de 700 muestras de canal, sobre una veta auro-argentífera. Se elaboraron curvas de grado tonelaje, el factor de dilución y el tenor de corte financiero. Se calculó la vida óptima del proyecto y el rendimiento óptimo de producción. Las reservas obtenidas al involucrar un tenor de corte de 4,2 Au g/ton fueron de 28.541 toneladas, con un contenido de 13.396 onzas troy de oro y un grado promedio de 14,60 Au g/ton. Análisis de conciliación de los resultados fueron elaborados utilizando el método geoestadístico de simulación condicionada por bandas rotantes.

Palabras clave:

procedimiento geoestadístico, recursos minerales, reservas minerales, curvas de grado tonelaje, conciliación.

Abstract

This article presents a methodological guide for the classification of mineral resources, following geostatistical analysis techniques and the terminology of resource reporting according to the Colombian standard of resources and reserves (ECRR-2018). As an example, the results obtained from the study of a low-volume mining project for a vein deposit with more than 700 channel samples, on an auro-argentiferous vein, are presented. Curves of tonnage grade, dilution factor and financial cut-off grade were developed. The optimal project life and optimal production performance were calculated. The reserves obtained by involving a cut-off grade of 4.2 Au g/ton were 28,541 tons, containing 13,396 troy ounces of gold and an average grade of 14.60 Au g/ton. Reconciliation analyzes of the results were prepared using the geostatistical method of conditional simulation with turning bands method.

Keywords:

geostatistical procedure, mineral resources, mineral reserves, grade tonnage curves, conciliation.

1. Introducción

Las técnicas geoestadísticas aún no son muy populares en Colombia; sin embargo, esta área de la geología económica ofrece excelentes alternativas para caracterizar los recursos minerales y brindar información confiable a la hora de tomar decisiones de inversión. La mayor parte de los problemas de estimación minera se vinculan a las estimaciones locales, donde el principal objetivo es la precisión y la localización de unidades de minado con leyes superiores a una ley de corte determinada.

Las etapas por desarrollar en un estudio geoestadístico consisten en un examen exploratorio de la información, donde el análisis variográfico representa la principal herramienta de estudio, ya que permite medir la variabilidad espacial, la cual está sujeta al tipo de muestreo; ya sea puntual, de testigos de perforación o de bloques. Por lo tanto, es necesario identificar la variabilidad espacial, áreas de influencia y anisotropías de las variables de estudio. La simulación geoestadística condicionada es actualmente considerada la mejor alternativa para la estimación local de recursos recuperables y el dimensionamiento técnico del proyecto minero. En el contexto minero, la simulación implica un intento de crear un conjunto de valores que posean las mismas características espaciales y estadísticas que los tenores reales, por lo que los resultados se asemejen, relativamente a la realidad absoluta. [1]. La base de datos a ser utilizada en este estudio corresponde a un proyecto de oro filoniano, con reporte de 783 datos de oro y espesor de una veta mineralizada esencialmente con pirita, esfalerita y galena. La secuencia lógica de una clasificación de recursos es: la elaboración del modelo geológico, la validación de los datos (muestras QAQC, donde para la realización de este ejercicio; se parte de que las muestras de canal cumplieron los estándares de calidad), interpretación geológica, análisis exploratorio de datos, variografía, estimación de leyes, validación y finalmente clasificación de recursos. Es decir, el procedimiento geoestadístico abarca desde el análisis exploratorio de datos hasta la clasificación.

2. Análisis Exploratorio de datos

Como se mencionó anteriormente, este análisis estará basado en muestras de canal, recolectadas con el objetivo de ser enviadas a análisis de laboratorio para conocer la ley mineral de oro en gramos por tonelada (Au g/ton); en el mismo sitio de la toma de muestra se midió el espesor de la veta (en metros). El mapa del Desarrollo minero y sus respectivos sitios de muestreo se observan en la Fig. 1.

Mapa de Desarrollo minero (líneas negras) y puntos de muestreo (en amarillo) de un filón de cuarzo auroargentifero mineralizado con pirita, esfalerita y galena.

Figura 1: Mapa de Desarrollo minero (líneas negras) y puntos de muestreo (en amarillo) de un filón de cuarzo auroargentifero mineralizado con pirita, esfalerita y galena.

Fuente propia.

Antes de iniciar el proceso exploratorio, se verificó la presencia de datos agrupados, siendo necesario desagruparlos. El principio de desagrupamiento (declustering) consiste en la asignación de un peso a cada dato donde se define una determinada variable teniendo en cuenta posibles conglomerados de puntos muestreados para una ventana espacial. El procedimiento se elabora con una serie de pruebas con diferentes ventanas móviles. La Tabla 1 muestra los resultados del desagrupamiento, donde se resalta que el promedio del contenido de oro es 17,24 Au g/ton, mientras que después de desagrupar es de 14,70 Au g/ton, igualmente la desviación estándar antes y después de desagrupar es de 54,87 y 48,42 respectivamente. El agrupamiento de datos para la variable espesor no es notorio en el reporte, ya que se obtienen los mismos resultados antes y después.

Tabla 1: Estadísticas arrojadas por la Herramienta Declustering (Desagrupamiento).

Cantidad Promedio Desviación estándar
Bruto Ponderado Bruto Ponderado
Au [Au g/ton] 783 17,24 14,7 54,87 48,42
Espesor [m] 783 0,46 0,45 0,35 0,35

Fuente: Propia.

Por otro lado, más del 90% de los datos muestran contenidos de oro inferiores a 50 Au g/ton, por lo tanto, el diseño de la estructura variográfica se desarrolló con base a un capping de la variable oro para este valor. Los mayores tenores de oro se observan concentrados hacia el sector sur (Fig. 2) y hacia el occidente del depósito (Fig. 3), indicando que en esta área existen zonas enriquecidas.

Gráfico de franjas (Swath plot) de la variable oro para tenores inferiores o iguales a 50 Au g/ton en la dirección norte.

Figura 2: Gráfico de franjas (Swath plot) de la variable oro para tenores inferiores o iguales a 50 Au g/ton en la dirección norte.

Fuente propia.

Gráfico de franjas (Swath plot) de la variable oro para tenores inferiores o iguales a 50 Au g/ton en la dirección Este.

Figura 3: Gráfico de franjas (Swath plot) de la variable oro para tenores inferiores o iguales a 50 Au g/ton en la dirección Este.

Fuente propia.

3. Análisis variográfico

La herramienta básica de la geoestadística que nos permite rendir cuenta de la continuidad presente de la mineralización es el variograma , el cual constituye un índice de la variabilidad presente en el depósito, permitiendo medir un cierto carácter de estacionaridad presente en la mayoría de los depósitos minerales, donde el aumenta a medida que la distancia aumenta hasta alcanzar un valor máximo denominado meseta (C(0) = covarianza cuando la distancia es cero) y la distancia a la cual se produce la meseta se llama alcance o rango de influencia (a) de la mineralización. Los cambios bruscos a muy pequeña escala cuando la distancia tiende a cero, se reflejan en un salto brusco de denominado efecto de pepita (C0).

Al analizar la variabilidad espacial de un fenómeno puede ocurrir que el semivariograma no coincide en distintas direcciones de análisis, a esto se le llama anisotropía. El semivariograma debe ser entonces caracterizado desde varias direcciones con la finalidad de establecer un modelo variográfico más integral [2]. En nuestro caso de estudio se obtuvo un variograma anisotrópico como se muestra en la Fig. 4; en este podemos observar que existen dos direcciones preferenciales de la mineralización (líneas a trazos correspondiente a los variogramas experimentales y líneas continuas correspondientes a los modelos teóricos); una expresión en el sentido Este - Oeste y la otra en el sentido Norte - Sur. Los rangos de influencia en el primero y segundo caso corresponden a 14 m y 34 m respectivamente.

En este caso el efecto de pepita [55,33 (Au g/ton)2], representa el 24% de la varianza real [228,6 (Au g/ton)2]; equivalente a la meseta del variograma. Se observa además como la varianza estadística [202,7 (Au g/ton)2] subestima en un 12% la varianza real en este depósito de oro. El efecto pepita puede ser debido a que entre el 40-45% de plata y oro en este ocurren como pequeñas inclusiones dentro de la estructura cristalina de los sulfuros, mientras que entre el 55% y el 60% restante del oro ocurren en forma nativa.

Figura 4: En este caso el efecto de pepita [55,33 (Au g/ton)2], representa el 24% de la varianza real [228,6 (Au g/ton)2]; equivalente a la meseta del variograma. Se observa además como la varianza estadística [202,7 (Au g/ton)2] subestima en un 12% la varianza real en este depósito de oro. El efecto pepita puede ser debido a que entre el 40-45% de plata y oro en este ocurren como pequeñas inclusiones dentro de la estructura cristalina de los sulfuros, mientras que entre el 55% y el 60% restante del oro ocurren en forma nativa.

Fuente propia.

Ambas direcciones de variogramas están representadas por estructuras anidadas, es decir, se observa la existencia de un efecto pepita y dos estructuras esféricas que lo conforman, como se observa en las eqs. (1)y(2).

Cabe destacar que el efecto pepita (C0) reportado por el semivariograma es característico de este tipo de depósitos. La expresión de este fenómeno se debe a la existencia de 2 tipos de génesis del oro en depósitos vetiformes; a nivel molecular, el oro se presenta como inclusiones dentro de la estructura cristalina de los sulfuros, además puede presentarse de manera nativa, acumulándose en cantidades que pueden llegar a ser visibles macroscópicamente. La gráfica del semivariograma a su vez denota una anisotropía geométrica, lo que quiere decir que ambas estructuras coinciden en la Meseta, en el efecto pepita y difieren en el rango de influencia.

4. Validación Cruzada

Una vez construido el Semivariograma representativo del depósito, se hace necesario validarlo con el objetivo de evaluar los errores de estimación y así establecer el grado de bondad del modelo variográfico. La validación cruzada es un procedimiento ampliamente utilizado para este propósito; consiste en extraer individualmente datos puntuales de una matriz de datos para posteriormente, ser estimados mediante un grupo de datos vecinos, permitiendo comparar los resultados obtenidos de las estimaciones puntuales con los valores conocidos [2]. Con la técnica geoestadística denominada kriging puntual y el algoritmo del variograma, se estiman de nuevo los puntos de muestreo y posteriormente se procede a comparar con los datos reales de los tenores obtenidos.

Según Chiles y Delfiner (1999), para considerar que un modelo es representativo del fenómeno en estudio, debe cumplir con los parámetros de validación descritos a continuación. 1) un promedio de los errores cercano a cero, 2) una desviación estándar de los errores cercana a 1 (Como se muestra en la Fig. 5), 4), un rechazo de los datos estimados inferior a un 10% (es decir, aquellos datos que queden por fuera de los umbrales establecidos con base al nivel de confianza) [1], y un parámetro adicional sería una buena correlación entre los datos estimados y los datos reales.

Histograma de los errores de estimación estandarizados arrojado por la herramienta Validación Cruzada. Los valores atípicos son aquellos que se encuentran por fuera de las líneas verticales, trazadas con base al valor umbral que a su vez está asociado al nivel de confianza (95%). Podemos observar que el promedio de los errores es 0 y la desviación estándar es aproximadamente 1.

Figura 5: Histograma de los errores de estimación estandarizados arrojado por la herramienta Validación Cruzada. Los valores atípicos son aquellos que se encuentran por fuera de las líneas verticales, trazadas con base al valor umbral que a su vez está asociado al nivel de confianza (95%). Podemos observar que el promedio de los errores es 0 y la desviación estándar es aproximadamente 1.

Fuente propia.

El cumplimiento de estos parámetros permite considerar que una estructura variográfica es adecuada para proceder con cierto grado de bondad al aplicar un método de estimación para tenores y espesores con técnicas geoestadísticas sobre un diseño de bloques.

5. Estimación

5.1. Estimación por Kriging Ordinario de Bloques (KOB)

La estimación local de los recursos “in situ” debe hacerse con técnicas geoestadísticas, las cuales proporcionan un procedimiento de estimación denominado Kriging, el cual fue establecido por el Profesor Matheron (1962) [3]. Este método permite elaborar una cartografía automática (por ejemplo, de tenores), detectar zonas cuya estimación es menos confiable y evaluar bloques de minado considerando la continuidad de la mineralización.

Como ejemplo de la dinámica del Kriging de bloques, tenemos una unidad de minado como el bloque de la Fig. 6, la cual está siendo influenciada por 4 muestras (muestras de canal o perforaciones).

El método de estimación por bloques consiste en establecer un grado promedio para el bloque usando un grupo de datos cercanos. Para mejor comprensión del lector se ha idealizado un panel minero a ser estimado con muestras localizadas simétricamente.

Figura 6: El método de estimación por bloques consiste en establecer un grado promedio para el bloque usando un grupo de datos cercanos. Para mejor comprensión del lector se ha idealizado un panel minero a ser estimado con muestras localizadas simétricamente.

Fuente propia.

El procedimiento Kriging:

  • Introduce la continuidad de la mineralización.

  • Busca un estimador lineal Z* = λ1X1+ λ2X2 +λ3X3 +λ4X4 en el cual λ1+ λ2 +λ3 + λ4 =1.

  • Condiciona la estimación para que la varianza sea mínima (varianza Kriging).

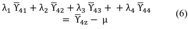
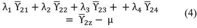
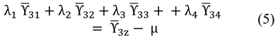
El Sistema para determinar λ1, λ2, λ3, λ4, se escribe como se muestra en las Ec. (3) - (8):

constituye el valor medio de la función γ cuando un punto x se mueve en el espacio de un punto A a la coordenada x+h ubicada en un punto B. A pesar de la impopularidad de las técnicas geoestadísticas, debido en su mayoría a la complejidad matemática que requieren, existen de igual maneta una serie de propuestas para la clasificación de recursos, en su mayoría basadas en el error estandarizado de la varianza KOB. En el proyecto minero objeto de estudio, se diseñaron unidades de minado de 5 m * 5 m para efectos de la homogeneidad de los resultados; sin embargo, otra opción viable para el diseño de bloques o unidades de minado es el de utilizar el 50% o el 100% de la persistencia de la mineralización (es decir, del rango de influencia) del variograma anisotrópico de la Fig. 4, obteniéndose unos bloques de 17 m * 7 m o 34 m * 14 m aproximadamente (ver Fig. 7).

Diseño de bloques de minado de 5 m * 5 m en contraste con el elipsoide de búsqueda, las dimensiones de este último elaboradas automáticamente conforme a la persistencia de la mineralización (i.e rango de influencia del Semivariograma).

Figura 7: Diseño de bloques de minado de 5 m * 5 m en contraste con el elipsoide de búsqueda, las dimensiones de este último elaboradas automáticamente conforme a la persistencia de la mineralización (i.e rango de influencia del Semivariograma).

Fuente propia.

Los resultados obtenidos al ejecutar el procedimiento del KOB se muestran en el plano de la Fig. 8. La estimación de los volumétricos para cada uno de los paneles requiere adicionalmente de la estimación por kriging de los espesores promedios para cada bloque. `El histograma de los resultados de esta estimación es presentado en la Fig. 9, donde se reportan 1.754 bloques estimados con un espesor promedio de 0,39 m, variando entre un mínimo de 0,03 m y un máximo de 1,11 m.

Mapa de bloques estimados por KOB y reclasificados por colores según los cuantiles 5, 25, 50, 75, 90, y 98 de los tenores estimados.

Figura 8: Mapa de bloques estimados por KOB y reclasificados por colores según los cuantiles 5, 25, 50, 75, 90, y 98 de los tenores estimados.

Fuente propia.

Histograma de frecuencias que resume las estadísticas obtenidas al estimar la variable espesor por el método de Kriging ordinario de bloques.

Figura 9: Histograma de frecuencias que resume las estadísticas obtenidas al estimar la variable espesor por el método de Kriging ordinario de bloques.

Fuente propia.

Kriging genera mapas suaves que no consideran el efecto proporcional, ni el efecto de información. Como veremos más adelante, la simulación condicional permite ejecutar múltiples realizaciones y tiene la ventaja de cuantificar la incertidumbre de la variable en consideración. Kriging tiene como objetivo seguridad, en cambio, la simulación es una forma alternativa de modelar la realidad; es decir apunta al realismo. La simulación reproduce la variabilidad correcta de la variable, por lo que se puede utilizar para medir los recursos recuperables.

5.2. Curvas de grado tonelaje (QTM)

Las curvas de grado tonelaje son una forma útil de resumir los resultados del inventario minero obtenido en los procedimientos anteriormente realizados. En estas se analiza como varia el contenido de metal (Q), el tonelaje (T) y el grado promedio (M) al variar el tenor de corte. Las curvas QTM se basan en la dispersión de tenores o leyes con el objetivo de clasificar las unidades de minado selectivo (UMS) como mena o como estéril, de esta manera proveen una cuantificación de los recursos basados en los datos exploratorios dando una estimación inicial aproximada del tamaño general de los recursos (toneladas de mena o cantidad de metal) para varios tenores de corte. Para este tipo de minería se estima el tenor de corte involucrando los factores modificadores que corresponden a los costos de operación, el valor de venta del producto en el mercado, el porcentaje de recuperación en la planta de beneficio y el factor de dilución.

Al integrar varios tenores de corte será fácil construir las curvas QTM, como las que se muestran en las Fig. 10, 11, 12. Es de notar, que para la elaboración de estas curvas es necesario involucrar adicionalmente la variable espesor y la densidad de la mena, esta última se consideró constante en el depósito, con un valor de 2.700 Kg/m3. La variable espesor fue tratada geoestadísticamente al igual que como se hizo con la variable tenor de oro.

Reporte de contenido de metal vs tenor de corte para las estimaciones realizadas por KOB de la variable oro.

Figura 10: Reporte de contenido de metal vs tenor de corte para las estimaciones realizadas por KOB de la variable oro.

Fuente propia.

Reporte de tonelaje vs tenor de corte para las estimaciones realizadas por KOB de la variable oro.

Figura 11: Reporte de tonelaje vs tenor de corte para las estimaciones realizadas por KOB de la variable oro.

Fuente propia.

Reporte de grado promedio vs tenor de corte para las estimaciones realizadas por KOB de la variable oro.

Figura 12: Reporte de grado promedio vs tenor de corte para las estimaciones realizadas por KOB de la variable oro.

Fuente propia.

6. Tenor de corte operacional

Los resultados de las curvas QTM se resumen en la Tabla 2. Para un tenor de corte de 1.56 Au g/ton, obtendremos el mayor tonelaje posible para los recursos, computarizados en 38.250 toneladas, con un contenido de metal de 14.288 onzas de oro y un grado promedio de 11,62 Au g/ton. Nótese que un aumento en el tenor de corte representa menor tonelaje, menor contenido de metal y mayor grado promedio. Esto nos da una aproximación inicial del tamaño general del depósito en términos de recursos, que son necesarios investigar desde un punto de vista del planeamiento minero para establecer el inventario de reservas minerales. Miremos el caso de una mina pequeña, que tiene el objetivo de producir 20 toneladas por día (ton/d). Si consideramos unos costos operativos de 200 $US/ton y tomando como referencia un precio del oro en el mercado de 2.042 $US/Ozt (1 oz troy = 31,103 gramos) entonces podemos calcular el tenor operativo según la eq. (9):

Tabla 2: Reporte de recursos según curvas QTM.

Tenor de corte [Au g/ton] Tonelaje (T) [t] Contenido de metal (Q) [ozt] Grado Promedio (M) [Au g/ton]
1,56 38.250,90 14.288,10 11,62
4,20 28.541,40 13.396,30 14,60
6,84 21.948,60 12.230,20 17,33
9,49 17.023,90 10.952,90 20,01
12,13 13.716,20 9.789,85 22,20
14,78 11.239,90 8.724,46 24,14
17,42 9.039,72 7.600,72 26,15
20,07 7.177,83 6.491,01 28,13
22,71 5.641,92 5.433,07 29,95
25,36 4.582,53 4.614,56 31,32
28,00 3.180,48 3.416,56 33,41
30,65 2.332,92 2.622,69 34,97
33,29 1.269,03 1.524,82 37,37
35,94 648,35 836,31 40,12
38,58 423,05 566,50 41,65
41,23 199,96 283,14 44,04
43,87 72,39 107,81 46,32
46,52 26,57 41,19 48,22

Fuente: propia.

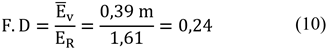
Una vez obtenido este tenor operativo, debemos tener en cuenta también el porcentaje de recuperación y el factor de dilución. El factor de dilución (F.D) es la relación entre el espesor promedio de la veta o filón mineralizado y el espesor de la roca estéril, obtenido como se muestra en la eq. (10):

Donde corresponde al espesor promedio de la veta y ER corresponde al espesor de la roca estéril. Finalmente, al multiplicar el tenor operativo por el factor de dilución y dividirlo por el porcentaje de recuperación (el cual establecimos en este caso en un 90%) obtenemos el tenor de corte como se muestra en la eq. (11).

Finalmente, si tenemos en cuenta este tenor de corte en el análisis de las curvas QTM, vemos que el tonelaje obtenido es 28.541 toneladas (Tabla 2), con un contenido de metal de 13.396 onzas troy de oro y un grado promedio de 14,60 Au g/ton. seguidamente es procedente elaborar una clasificación de estos recursos con el objetivo de establecer el grado de confianza de los recursos y las reservas estimadas.

7. Clasificación de recursos

Según Silva & Boisvert (2014), de una revisión de los informes canadienses más recientes bajo la norma 43-101 se concluye que las técnicas más comunes utilizadas para la clasificación de recursos son de naturaleza geométrica. Estas técnicas no tienen en cuenta la continuidad espacial de las variables ni la frecuencia entre datos [4].

La calidad de la clasificación de recursos y reservas minerales es clave para una evaluación económica y medioambiental. La divulgación pública de los resultados de los proyectos mineros en Colombia debe seguir las normas del estándar Colombiano de Recursos y Reservas (ECRR) [6]; también es importante anotar que Colombia es miembro de CRIRSCO (Comité de Recursos y Reservas Minerales para el Estándar Internacional de Reportes Públicos). La idea de las normas de clasificación es ofrecer una definición general de las distintas categorías en un nivel cuantificado de confianza geológica para que una persona competente pueda juzgar la incertidumbre basándose en su experiencia con yacimientos similares. La estimación de la calidad y confianza geológica no sólo depende de la cantidad de datos disponibles, sino también de su calidad. Los resultados de evaluación económica suelen ser comunicados por empresas para atraer inversionistas [4].

Una de las ventajas de las técnicas de estimación kriging es que cuando se aplican correctamente éstas, producen estimaciones de bloques imparciales y aseguran una varianza de estimación mínima conocida como varianza kriging. La ventaja de utilizar la varianza kriging como criterio para la clasificación es la consideración de la estructura espacial de la variable y la redundancia entre muestras; sin embargo, a menudo produce mapas de clasificación con efecto proporcional, el cual puede ser de impacto negativo en la estimación para zonas de alta ley, donde la varianza es elevada. Este efecto consiste en una relación directamente proporcional entre el promedio y la varianza local del fenómeno estimado [5]. Como es de notar en la Fig. 13, el coeficiente de correlación entre el promedio kriging para cada bloque y su correspondiente desviación estándar es muy bajo, por lo tanto, se verifica la no existencia de un efecto proporcional.

El coeficiente de correlación es de sólo 0,14, es decir bastante bajo. No existe una relación entre los tenores estimados con kriging ordinario de bloques y la desviación estándar de los errores. Por lo tanto, se demuestra que no existe un efecto proporcional.

Figura 13: El coeficiente de correlación es de sólo 0,14, es decir bastante bajo. No existe una relación entre los tenores estimados con kriging ordinario de bloques y la desviación estándar de los errores. Por lo tanto, se demuestra que no existe un efecto proporcional.

Fuente propia.

El ECRR (2018) es un estándar para reportes públicos que no regula la manera como una persona competente debe estimar recursos y reservas minerales [6]. Existen múltiples criterios para la clasificación de recursos basados en estudios geoestadísticos [7]. Para darle curso al caso de estudio que estudio que venimos desarrollando, se propone como metodología un sistema basado en el error relativo, el cual se

calcula como la relación entre la desviación estándar de kriging y el valor estimado de cada bloque por el método de KOB. A un nivel de confianza del 90% y un error relativo dentro del intervalo [0,20%] el recurso se clasificará como medido; si se encuentra entre el intervalo (20%-50%] se considera como recurso indicado; finalmente, si supera el 50% el recurso se clasificará como inferido.

La Tabla 3 resume los resultados de la clasificación de los recursos minerales. Del total de los recursos estimados, solo el 5% corresponden a recursos medidos, el 21% son indicados y el 74% restantes son inferidos.

Tabla 3: Resultados de clasificación de recursos minerales.

Clasificación Tonelaje %
Medidos 1859 5
Indicados 8092 21
Inferidos 28300 74
TOTAL 38251 100

Fuente: Propia.

Finalmente, los recursos medidos e indicados deben ser afectados por el tenor de corte calculado en la sección anterior (4,2 Au g/ton), de esta manera podrán ser considerados reservas minerales probadas y reservas minerales probables, ya que los resultados obtenidos al aplicar este criterio reflejan que estos recursos cumplen con superar el tenor de corte. Taylor (1977), propuso una fórmula empírica para estimar el tiempo de vida óptima de un depósito (TVO) [8]; en este caso con 9951 toneladas de reservas minerales (probadas + probables), la ecuación propuesta (eq. 12) quedaría de la siguiente manera:

Es decir 4.976 toneladas por año (ton/a), que, para los 260 días anualmente laborales en Colombia, representaría un ritmo de explotación de 19 ton/d.

8. Conciliación de los recursos minerales estimados

El análisis de conciliación es una de labores más importantes de la cadena productiva minera. Se lleva a cabo con el objetivo de planear mejoras en todos los procesos, permitiendo calibrar los tres principales factores de producción: Factor 1 o de geología, el cual contrala los grados o tenores de los materiales insitu, el Factor 2 o de minería, involucrado con la calidad de los materiales entre el arranque y el inicio del proceso de beneficio (por ejemplo, se responde por el control de leyes en cabeza de molino) y el Factor 3, el cual tiene que ver con los procesos de beneficio de los materiales hasta llegar parcialmente o totalmente hasta los productos terminados.

Los procesos de conciliación juegan un papel muy importante, porque ayudan a identificar y a estandarizar la cadena productiva con los más altos controles de calidad. Previamente al beneficio de minerales, la geoestadística ofrece técnicas de control la estimación de recursos, denominadas simulación geoestadística. La forma de obtener estas simulaciones es muy sencilla si se usa el Kriging, dadas sus propiedades de ser un estimador exacto y de que los errores Kriging son “ortogonales” a los valores estimados [9].

El Objetivo de la Estimación geoestadística por KOB, que se llevó a cabo en la sección 3.1, consistió básicamente en minimizar la varianza del error de estimación, con la tendencia de producir patrones de variación más suavizados que los reales. Con la intención de realizar una conciliación de los recursos es recomendado llevar a cabo la simulación geoestadística, cuyo objetivo es reproducir mejor el aspecto de las fluctuaciones del fenómeno real. La simulación geoestadística viene siendo ampliamente reconocida, a tal grado que muchos autores la consideran como el reporte de una realidad relativa del fenómeno en estudio (en este caso estimación de tenores de oro).

Con esto en mente, es posible realizar una evaluación que nos permita determinar el grado de confiablidad del método de estimación seleccionado para nuestro estudio (es decir, KOB). En términos prácticos, KOB es un método relativamente económico que cae dentro de la capacidad financiera de un proyecto minero de bajo volumen como el desarrollado en este estudio.

8.1. Simulación condicionada por bandas rotantes (TBS)

Como se mencionó anteriormente, el método de simulación involucra un intento de crear un conjunto de datos que reflejen características espaciales y estadísticas similares a los datos reales tomados en el muestreo. De los resultados obtenidos por distintos métodos de estimación, es conocido que estos no reflejan las fluctuaciones locales reales en la distribución espacial de los tenores, más bien tienden a suavizar estas variaciones. Los valores de las matrices simuladas se construyen para variar al mismo nivel que la variación real de los tenores muestreados. En otras palabras, se dice que en la estimación se busca minimizar la varianza del error, mientras que en las simulaciones nos preocupamos por reproducir la varianza de dispersión de los datos reales [4].

El método de bandas rotantes (TBS) consiste en generar procesos unidimensionales a lo largo de líneas distribuidas uniformemente en el espacio. Las simulaciones condicionales son útiles cualitativamente para obtener imágenes realistas de variabilidad espacial. Son la herramienta de elección para evaluar el impacto de la incertidumbre espacial en los resultados de procedimientos complejos, como modelación numérica de un sistema dinámico u optimización económica del desarrollo de un recurso natural. Las simulaciones condicionales entran dentro del alcance de los llamados métodos de Monte Carlo; en realidad no son más que simulaciones consistentes de Monte Carlo [1]. Este método proporciona posibles realizaciones ZS(x) (simulación no condicional) de la variable aleatoria Z(x) cuya estructura de covarianza espacial sea igual a la de Z(x), para posteriormente realizar el proceso de condicionamiento a los datos que se obtienen experimentalmente.

La respuesta depende del objetivo y de la estructura del fenómeno. Al modelar un campo estacionario sobre un área mucho mayor que el rango, una sola simulación puede dar una visión de una variedad de posibles situaciones locales. Este suele ser suficiente para evaluar el rendimiento de un escenario minero, que depende principalmente de la variabilidad local de las leyes o espesores del mineral. Típicamente es posible que se necesiten cien simulaciones, pero este número depende en gran medida de la distribución del parámetro de interés.

El procedimiento de la simulación condicionada por bandas rotantes (TBS), el cual se resume en la Fig. 14, requiere transformar los datos a gaussianos (Anamorphosis), elaborar un análisis variográfico a la información transformada, ejecutar el método geoestadístico de simulación y por último realizar la transformación inversa al proceso realizado, para ejecutar la cartografía automática e interpretar los resultados. Para realizar la estimación en un modelo de bloques es necesario cuantificar el efecto de cambio soporte de puntos a bloques de 5 m x 5 m, por lo tanto, requerimos de un modelo de la distribución definido mediante una función de anamorfosis gaussiana. De esta manera la varianza de los bloques puede calcularse mediante la relación de Krige que da la varianza de dispersión en función del variograma.

Diagrama de flujo del procedimiento a seguir en el método de simulación por bandas rotantes.

Figura 14: Diagrama de flujo del procedimiento a seguir en el método de simulación por bandas rotantes.

Fuente: Adaptado de Chilés & Delfiner, 1999.

8.2. Conciliación

Como caso de aplicación se presentan los resultados de 100 simulaciones de bloques discretizados por el método de bandas rotantes. La idea de la conciliación en este ejercicio es graficar los resultados obtenidos por TBS en el eje de las x, y los valores obtenidos con KOB, involucrando dos ejes adicionales relacionados con el tenor de corte (Fig. 15) y los cuales nos permiten identificar cuatro sectores de importancia económica para el proyecto minero: el primer sector que encierra el volumen de estériles; el segundo sector corresponde a el mineral perdido, es decir, mena que equivocadamente sería enviada al botadero; el tercer sector corresponde a él volumen de material estéril que erróneamente estaría siendo enviado a la pila de beneficio aumentando así el factor de dilución; el cuarto sector contiene el volumen de material de mena de la operación.

Grafica de conciliación de recursos minerales, donde comparamos los resultados obtenidos por el método de estimación KOB y la realidad relativa por TBS. Las líneas rojas están basadas en el tenor de corte operacional de la sección 4 y dan a lugar a 4 sectores de análisis para los recursos minerales. En la parte superior izquierda se encuentra la ecuación de regresión lineal y el coeficiente de correlación.

Figura 15: Grafica de conciliación de recursos minerales, donde comparamos los resultados obtenidos por el método de estimación KOB y la realidad relativa por TBS. Las líneas rojas están basadas en el tenor de corte operacional de la sección 4 y dan a lugar a 4 sectores de análisis para los recursos minerales. En la parte superior izquierda se encuentra la ecuación de regresión lineal y el coeficiente de correlación.

Fuente propia.

De las 38.250 toneladas estimadas por el método de KOB, 384 toneladas (equivalente al 1%) no pudieron ser involucradas en el análisis; debido a que estas no lograron ser simuladas. Por lo tanto, el volumen considerado para el estudio corresponde a 37.868 toneladas de mineral. De este modo, para el primer sector de análisis encontramos que 1074 toneladas de material deben ser remitido a la zona de estériles, los cuales representan un 3% del volumen total. El análisis del segundo sector arroja que 8345 toneladas consideradas por el método KOB también como estériles (22 % de la operación), irán a parar igualmente a la pila de estériles; sin embargo, según el reporte de TBS este volumen corresponde también a material de mena, y por ende es reconocido como mineral perdido. El tercer sector señala que 372 toneladas de estéril (1% de la operación), serían enviadas a la planta de beneficio, provocando así un aumento en el factor de dilución. Finalmente, en el cuarto sector se encuentra un volumen de 28.076 toneladas de mena (74%), que serían destinadas como material óptimo para la planta de beneficio.

9. Conclusiones

El análisis geoestadístico reportó un Efecto de Pepita C0 = 55,34 (Au g/ton)2, equivalente al 24% de la varianza real (meseta del variograma). El C0 es característico de este tipo de depósitos con mineralización metálica; en este caso el 45% del oro y de la plata ocurre como pequeñas inclusiones dentro de la estructura cristalina de los sulfuros y un 55% en forma nativa. También se identificó una anisotropía de tipo geométrico, con dos direcciones preferenciales y dos modelos esféricos. El primero de estos en la dirección norte-sur con alcances de 3 y 34 metros y el segundo de dirección Este-Oeste de 13 y 14 metros de rango. Los dos modelos esféricos podrían estar representando por lo menos dos eventos mineralizantes, el primero considerablemente pobre en metales preciosos; el cual sufrió fracturamiento y fue reinyectado con cuarzo de grano más fino en un segundo evento, siendo este más rico en sulfuros y metales preciosos.

Se estimaron 38251 toneladas de recursos minerales clasificados en medidos, indicados e inferidos, con base en el error relativo de la varianza mínima reportada por el método geoestadístico del Kriging Ordinario de Bloques. Con base en los recursos y reservas minerales estimadas, se involucraron parámetros tales como la vida óptima del depósito, el rendimiento óptimo de producción, dilución, porcentaje de recuperación y tenor de corte. A través de técnicas de simulación condicionada, se elaboró un análisis de conciliación de los recursos, utilizando el promedio de 100 simulaciones geoestadística por el método de bandas rotantes.

Este acercamiento a los métodos geoestadísticos para la pequeña minería nos demuestra que esta puede ser una herramienta fundamental al momento de evaluar y planificar adecuadamente un proyecto y evaluar su potencialidad en términos de recursos y reservas minerales; este es el primer eslabón que sienta las bases para el estudio de otros factores financieros que determinaran la continuidad o no del proyecto en desarrollo como lo son factores ambientales, tasas de extracción y producción, precio en el mercado del metal, tecnología para la explotación y exploración, entre otros. La vida a largo plazo de la mina se basará en un equilibrio entre estos factores siendo la actualización constante de las reservas minerales indispensable para mantener el proyecto en marcha.

Acknowledgements

Agradecimientos

A la Facultad de Minas de la Universidad Nacional de Colombia por el apoyo dado para la elaboración de este manuscrito. El análisis variográfico y la estimación por KOB en este informe, hizo parte del trabajo de grado para optar el título de Ingeniero Geólogo del estudiante Andrés López Gómez. El software utilizado para la estimación geoestadística fue Isatis Neo Mining 2023.08.1, versión académica adquirida por la Facultad de Minas a Geovariances

Doy mis agradecimientos al Profesor Luis Hernán Sánchez Arredondo, gran maestro y amigo, por su apoyo a mi formación profesional en el área de los recursos minerales. A mis padres Pedro José y Rubiela y mi hermano Pedro Pablo por su incansable e incondicional apoyo en mi carrera.

Referencias

  1. [1] Chilés, J.-P., and Delfiner, P., Geostatistics - Modeling Spatial Uncertainty. John Wiley & Sons. 1999. DOI: https://doi.org/10.2307/2685361 [URL] 🠔
  2. [2] Sinclair, A.J. and Blackwell, G.H., Applied mineral inventory estimation. Cambridge University Press,. 2006. DOI: https://doi.org/10.1017/CBO9780511545993 [URL] 🠔
  3. [3] Matheron, G., Traité de géostatistique appliquée, Tome I; Tome II: Le krigeage. I: Mémoires du Bureau de Recherches Géologiques et Minières, No. 14 (1962), Eds. Technip, Paris. II: Mémoires du Bureau de Recherches Géologiques et Minières, No. 24, 1963, Eds B.R.G.M., Paris. 🠔
  4. [4] Silva, D.S.F., and Boisvert, J.B., Mineral resource classification: a comparison of new and existing techniques. Journal of the Southern African Institute of Mining and Metallurgy, [online]. 114(3), pp. 265-273, 2014. Available at: https://www.scielo.org.za/scielo.php?pid=S2225-62532014000300017&script=sci_arttext [URL] 🠔
  5. [5] Emery, X., Ortiz, J.M., and Rodríguez, J.J., Quantifying uncertainty in mineral resources by use of classification schemes and conditional simulations. Math. Geol., 38, pp. 445-464, 2006. DOI: https://doi.org/10.1007/s11004-005-9021-9 [URL] 🠔
  6. [6] Comision Colombiana de Recursos y Reservas CCRR. (2018).Estándar Colombiano para el Reporte Público de Resultados de Exploración, Recursos y Reservas Minerales -ECRR-. [online]. Available at: https://www.anm.gov.co/sites/default/files/ecrr_espanol_version_final.pdf [URL] 🠔
  7. [7] Dohm, C., Quantifiable mineral resource classification: a logical approach. In: Leuangthong, O., and Deutsch, C.V., (eds), Geostatistics Banff, 2004. Quantitative Geology and Geostatistics, vol 14. Springer, Dordrecht. 2005, pp 333-342. DOI: https://doi.org/10.1007/978-1-4020-3610-1_34 [URL] 🠔
  8. [8] Taylor, H.K., Mine valuation and feasibility studies. In: Mineral Industry Costs. Compiled by Hoskins, J.R. and Green. W.R., Northwest Mining Association, Spokane, WA. 1977, pp. 1-17. 🠔
  9. [9] Journel, A.G., and Huijbregts, C., Mining geostatistics, Academic Press, New York, 1978, pp. 495-498 🠔
Sánchez-Arredondo, L.H. y López-Gómez A., (2024). Clasificación de recursos minerales: caso de estudio sobre un proyecto minero vetiforme de bajo volumen. Boletín de Ciencias de la Tierra. 56, pp. 8 - 17. DOI:https://doi.org/10.15446/rbct.n56.112384
Los autores declaran que no tienen intereses económicos ni relaciones personales que pudieran haber influido en el trabajo presentado en este artículo
es profesor asociado de la Universidad Nacional de Colombia. Área de estimación de depósitos minerales y geología de minas, geoestadística ambiental y minera. Actualmente se dedica a la investigación de proyectos relacionados con la reutilización de terrenos mineros con enfoque hacia el geoturismo de sitios mineros y actividades relacionadas con la geoeducación, geoconservación y geoturismo. Participante en el curso digital “UNESCO Gobal Geoparks and Sustaintability, 2021”. Super Mentor certificado por iNNpulsa y CEmprende (Ministerio de Comercio, Industria y Turismo) en el año 2023. ORCID: 0000-0003-1501-8345
es estudiante de último año de Ingeniería Geológica en la Universidad Nacional de Colombia. Integrante del Semillero Minero Energético y Ambiental de la Facultad de Minas. Actualmente enfocado en el área de estimación de recursos y reservas para planeamiento minero y al diseño de proyectos relacionados con geoeducación, geoconservación y geoturismo. ORCID: 0000-0002-6994-775