Boletín de Ciencias de la Tierra
0120-3630
Universidad Nacional de Colombia
https://doi.org/10.15446/rbct.n45.67196

Recibido: 22 de agosto de 2017; Revision Received: 11 de junio de 2018; Aceptado: 25 de agosto de 2018

Análisis de la vulnerabilidad geotécnica en las obras de ingeniería de la región niquelífera de Holguín a partir del empleo de métodos geodésicos

Analysis of the geotechnical vulnerability in the works of engineering of the region nicquelifera of Holguin starting from the employment of geodesic methods

L. Acosta-González, aM. de Lacy-Pérez de LosCobos, bS. Ricardo-Desdín, cJ. García-Díaz, cO. Hernández-Cruz, a

Departamento de Construcciones, Facultad de Ingeniería, Universidad Holguín, Holguín, Cuba. luis.acosta@uho.edu.cu, ohernandezc@uho.edu.cu Universidad de Holguín Oscar Lucero Moya Departamento de Construcciones Facultad de Ingeniería Universidad Holguín Holguín Cuba
Departamento de Ingeniería Cartográfica, Geodesia y Fotogrametría, Universidad de Jaén, Jaén, España. mclacy@ujaen.es Universidad de Jaén Departamento de Ingeniería Cartográfica, Geodesia y Fotogrametría Universidad de Jaén Jaén Spain
UCT Geocuba Investigación y Consultoría, La Habana, Cuba. sergior@uct.geocuba.cu, jgarcia120866@uct.geocuba.cu UCT Geocuba Investigación y Consultoría La Habana Cuba

Resumen

En el trabajo se aborda la problemática del análisis de vulnerabilidad geotécnica en las obras industriales, con un nuevo enfoque sobre los modelos y terminologías en el análisis de la deformación. Se presenta una metodología para la determinación de los índices de vulnerabilidad geotécnica, a partir de la comparación de los valores de asentamientos determinadas por métodos geodésicos con las tolerancias fijadas por las normativas vigentes. Se realiza la validación de la metodología en cuatro casos de estudio de la región niquelífera de la provincia de Holguín: maquinarias industriales “Secaderos tubulares rotatorios”, depósitos de sustancias tóxicas “Base de amoniaco”, depósitos de sustancias inflamables “Tanque de combustible” y depósitos de mineral. Se demuestra la factibilidad de los resultados y la importancia de los estudios integrales de vulnerabilidad, a partir de la interacción de criterios concluyentes de varias disciplinas como la Geodesia, la Geofísica, la Geotecnia y la Ingeniería Civil.

Palabras clave:

región niquelífera, vulnerabilidad geotécnica, deformación, asentamiento.

Abstract

In the work the problem of the analysis of geotechnical vulnerability is approached in the industrial works, with a new focus on models and terminologies in the analysis of deformation. A methodology for the determination of geotechnical vulnerability indexes is presented, based on the comparison of settlement values determined by geodetic methods with the tolerances fixed by current standards. It is carried out the validation of the methodology in four cases of study of the region nicquelifera of Holguín: machineries industrial "Rotational tubular dryer", deposits of toxic substances “Base of ammonia", deposits of substances inflammable “Fuel tank” and mineral deposits. It demonstrates the feasibility of the results and the importance of comprehensive vulnerability studies, based on the interaction of conclusive criteria from various disciplines such as Geodesy, Geophysics, Geotechnics and Civil Engineering.

Keywords:

región nicquelifera, geotechnical vulnerability, deformation, settlement.

1. Introducción

La construcción de grandes obras, tales como: hidrotécnicas, centrales electronucleares y edificios de considerables alturas, implica exigencias de gran rigor con respecto a su seguridad, duración en servicio y eficiencia. Por tal motivo, no se concibe su ejecución sin la aplicación de tecnologías apropiadas de las geociencias, que incluyen las mediciones geodésicas de alta precisión para el monitoreo de las deformaciones en los procesos de construcción y explotación.

En la actualidad se manifiesta la problemática de que los estudios para el monitoreo de las deformaciones no se realizan de forma multidisciplinaria (Geodesia, Geofísica, Geotecnia e Ingeniería Civil), ni se planifican con la rigurosidad necesaria durante los procesos de diseño, construcción y explotación, limitándose el alcance de la Geodesia en la predicción oportuna de la vulnerabilidad de las estructuras [1]. En ocasiones se solicitan los estudios cuando los daños o desviaciones son apreciados a simple vista o afectan la seguridad y funcionamiento de la estructura y su maquinaria industrial, trayendo como consecuencia daños y pérdidas irreparables en el orden tecnológico, económico y social.

Estos aspectos han propiciado el desarrollo de nuevos procedimientos y terminologías en la modelación y análisis de las deformaciones a partir de un enfoque integrador [2,3], con el empleo de novedosos modelos (descriptivos y causa- respuesta), que describen el comportamiento de la interrelación terreno-estructura, expresando los resultados a través de un Sistema de Información Espacial de Deformaciones (SIED), con criterios concluyentes del período de vida de la estructura a partir del nivel de vulnerabilidad geotécnica.

En el presente trabajo se analizan las aplicaciones [3] de la metodología “Determinación de índices de vulnerabilidad geotécnica por métodos geodésicos” en la región niquelífera de la provincia de Holguín, Cuba, ubicada en los municipios de Mayarí y Moa (Ver Fig. 1).

Ubicación de la región de estudio.

Figura 1: Ubicación de la región de estudio.

Fuente: [3].

En el diseño de los experimentos para validar la metodología se seleccionaron cuatro casos de estudio:

  1. Maquinaria industrial (Secaderos).

  2. Depósitos de sustancias tóxicas (Base de amoniaco).

  3. Depósitos de mineral.

  4. Depósitos de sustancias inflamables (Tanque de combustible).

Estos objetos están conformados por elementos estructurales comunes, presentes en la mayoría de las industrias, así como las condiciones de su cimentación, sustentada principalmente sobre estratos de baja resistencia con características de expansividad, que facilitan la ocurrencia de asentamientos diferenciales; tienen la particularidad de incluir los procesos de construcción y explotación.

Maquinaria industrial “Secaderos”: Esta estructura forma parte de la mayoría de las industrias del níquel y de materiales de la construcción; formado por siete secaderos tubulares rotatorios, los cuales van a girar sobre rodillos y engranajes apoyados sobre los cimientos tecnológicos. (Ver Fig. 2)

Secador tubular rotatorio (Secadero).

Figura 2: Secador tubular rotatorio (Secadero).

Fuente: Los autores.

Depósitos de sustancias tóxicas “Base de amoniaco”: Se encuentran en las obras de apoyo a la industria, como es el caso de las Bases de Amoniaco y soportan depósitos de sustancias tóxicas (tanques horizontales y verticales), redes de tuberías y obras auxiliares de funcionamiento (Casa de bombas, Panel de control, Casa de compresores y Panel eléctrico). Ver Fig. 3.

Base de Amoniaco.

Figura 3: Base de Amoniaco.

Fuente: Los autores.

Depósito de mineral: Es una estructura formada por muros de contención que soportan el ferrocarril y las cargas dinámicas que transitan por las vías, como son: trenes y vagones, alimentadores, grúas pórticos y transportador de mineral. Tiene una longitud de 370 m, un ancho de 70 m y altura o profundidad de 4.5 m, su capacidad efectiva es de 116 550 m3. (Ver Fig. 4).

Vista frontal del depósito.

Figura 4: Vista frontal del depósito.

Fuente: Los autores.

Depósitos de sustancias inflamables “Tanque de combustible”: Es una estructura metálica, con un diámetro exterior de 32 m y una altura de 22.5 m, está cubierto por una bóveda de acero. La superestructura se cimentó sobre un anillo circular de hormigón armado de 0.9 m de espesor, a 1.40 m sobre la superficie del terreno, apoyada en una capa de 1.9 m de macadán confinado y material de la cantera de Pilón en capas de 0.3 m. El peso muerto de la estructura es aproximadamente de 3 000 t [3]. Ver Fig. 5.

Tanque de combustible

Figura 5: Tanque de combustible

Fuente: Los autores.

2. Materiales y métodos

2.1.Metodología para la determinación de los índices de vulnerabilidad geotécnica en las obras estructurales

La esencia de la determinación de los índices de vulnerabilidad geotécnica (IVG) radica en la relación empírica que existe entre los valores de las deformaciones obtenidos por métodos teóricos y los determinados a partir de mediciones geodésicas a escala real y en condiciones de campo [3]. Los métodos teóricos, es decir, determinísticos y estadísticos han propiciado el perfeccionamiento de los valores admisibles, que hoy conforman las normativas existentes para diferentes países, entre los cuales se encuentra el nuestro, estos valores límites se utilizan para la revisión del diseño de las construcciones, donde actualmente [4-6] uno de los más utilizados es el Método de los Estados Límites (MEL). Ver Fig. 6.

Determinación de los IVG

Figura 6: Determinación de los IVG

Fuente: [3].

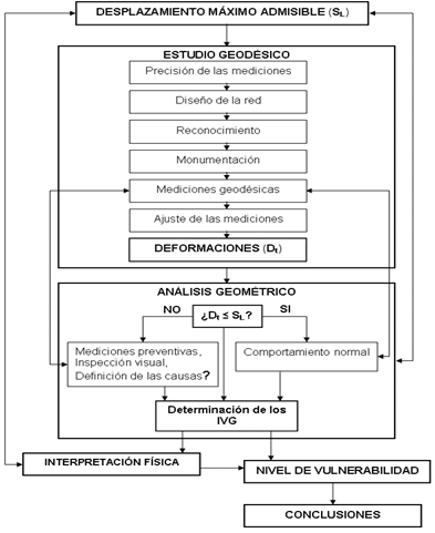
De acuerdo con [3], la metodología para la determinación de los índices de vulnerabilidad geotécnica en la vigilancia de las estructuras en los procesos de construcción y explotación, se distingue por combinar los valores de las deformaciones límites proyectadas con las observadas realmente por métodos geodésicos, lo que facilita los análisis multidisciplinarios e integrados de la deformación. Su esquema tecnológico se muestra en la Fig. 7.

Esquema tecnológico de la metodología.

Figura 7: Esquema tecnológico de la metodología.

Fuente: [3].

2.2. Deformaciones límites

A medida que particularizamos en la investigación de obras estructurales especiales en nuestro país, contribuimos al perfeccionamiento de [8], debido a que los valores actuales, aunque han sido aceptados por la mayoría de los especialistas, son el resultado de la experiencia de otros países, principalmente de la ex-URSS.

La definición del valor máximo admisible [7] es imprescindible para el inicio del estudio geodésico, debido a que actualmente en muchos casos se obvia este parámetro, lo que trae como consecuencia afectaciones económicas y conclusiones que no se correspondan con la realidad del fenómeno que estamos investigando. Las tolerancias se tomarán de [8] y excepcionalmente para determinados casos, serán calculadas con la utilización de los métodos teóricos.

Para cada proyecto de ejecución de la obra los proyectistas civiles deben calcular el Estado Limite de deformación para un período determinado que incluye la puesta en servicio, al cual en lo adelante llamaremos deformaciones límites de la obra. En el procedimiento de cálculo [8] se específica la revisión de las deformaciones límites (en los procesos de construcción y explotación). Donde se establece [4] la condición:

Donde Dt son las deformaciones totales medidas (absolutas y relativas) y T son las tolerancias límites definidas por las normativas para el diseño de cimentaciones.

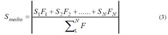
Al exponer estas tolerancias [8] utiliza la terminología de asentamiento medio, absoluto y distorsión angular, que detallaremos su significado a continuación. El asentamiento medio se determina por las formulas:

Donde:

S1….,Sn - Asentamientos de los puntos de control.

F1…., Fn - Áreas de la base de los cimientos, correspondientes a los puntos de control.

n: Número de puntos y N: número de cimientos.

En la práctica se pueden emplear cualquiera de las dos fórmulas, ya que los resultados son similares, en el caso de las losas de cimentación [9] recomienda utilizar la expresión (3) y para cimientos aislados, donde el área no es representativa, se usará la expresión (2).

El asentamiento absoluto es el valor máximo del desplazamiento en toda el área de la cimentación.

La distorsión angular (β) es una deformación relativa, producida por los asentamientos diferenciales, contiene elementos de la flecha relativa, inclinación, sus valores se dan en radianes y de acuerdo con [10], se calcula mediante la expresión:

Donde ∆S es el asentamiento diferencial entre dos puntos y L la distancia entre los puntos donde se produce el asentamiento.

Donde Smáx, mín son los valores máximos y mínimos de los asentamientos absolutos, en toda el área cargada de la cimentación.

Ambos indicadores de la deformación límite (SL y β), se emplearán luego para el cálculo de los índices de vulnerabilidad geotécnica en diferentes objetos de obras.

Lo establecido en [8] presenta la limitante, que en la mayoría de los casos para las cimentaciones superficiales solo se hace referencia al asentamiento producido por las cargas verticales, excepto en las construcciones (presas y taludes) que poseen muros de contención y se deben considerar los desplazamientos horizontales producidos principalmente por la acción (empuje activo) de las cargas.

2.3. Estudio geodésico

El estudio geodésico se realiza en correspondencia con [11] desarrollada por GEOCUBA y tiene como máxima expresión la obtención del valor de la deformación (Dt).

Las observaciones para la determinación de las deformaciones en las obras ingenieras deben cumplir las siguientes condiciones:

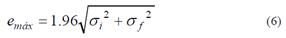
  1. Precisión, donde el error de determinación (emáx) de las coordenadas debe ser menor o igual a un cuarto de la deformación total máxima esperada (emáx ≤1/4 Dt). En los estudios de la deformación [10] calcula el error de máximo por:

    Donde es la precisión obtenida durante el ciclo inicial y la precisión durante el ciclo final.

  2. La periodicidad de las observaciones será una función del crecimiento de la carga sobre la base de la cimentación, de las velocidades de las deformaciones y de la ocurrencia de eventos extremos.

  3. Se considera movimiento o desplazamiento total (Dt), aquel que sea mayor que el error máximo de determinación (Dt > emáx).

Los métodos a emplear para el control de deformaciones pueden ser tradicionales [9]: Nivelación geométrica, nivelación trigonométrica, trilateración de lados cortos, nivelación hidrostática, microtriangulación con metodologías rigurosas y otros no tan tradicionales [10] como las mediciones combinadas que facilitan las Estaciones Totales y la tecnología GPS .

La confirmación de la estabilidad de los puntos de referencia es uno de los problemas principales en el análisis de las deformaciones, aún no resuelto, la dificultad radica en los defectos de los datos de las redes de monitoreo y cualquier distorsión puede afectar la fiabilidad de los resultados. En nuestro país se ha desarrollado una metodología para los análisis de estabilidad [11], que ha sido aplicada sucesivamente en la mayoría de los proyectos, con resultados satisfactorios.

Los puntos de control se ubicarán en el objeto de estudio de forma tal que permita el análisis geométrico y la interpretación física de las deformaciones, lo que propicia que con los resultados de las observaciones se pueda valorar sobre su deformación (asentamiento, desplazamiento horizontal e inclinación) en su base. Estos puntos se colocarán directamente en el cuerpo de los elementos estructurales (cimientos, columnas, losas y vigas).

El reconocimiento es una de las etapas más importantes para el estudio geodésico, en él debe participar un equipo multidisciplinario. La tarea principal es diseñar una red que modele el comportamiento del objeto, donde se le presta especial atención a la ubicación de los puntos de referencia, que constituyen la base y fiabilidad del estudio.

Los puntos de referencia y las marcas se construyen según las metodologías establecidas por el grupo empresarial Geocuba [11]. Para determinar las deformaciones se necesitan como mínimo tres ciclos de observaciones y, como máximo, cuantos sean necesarios en dependencia de las exigencias y de la magnitud del proceso de deformación a evaluar, por lo que, la periodicidad de las mediciones es determinante desde el punto de vista técnico y económico y es una problemática no resuelta en la actualidad.

De forma general se recomienda [9-12], que la periodicidad de las mediciones dependerá de la velocidad de las deformaciones en los procesos de construcción y explotación de la obra. En la etapa constructiva de las obras estructurales suelen ocurrir las mayores deformaciones, esto implica que se deben realizar las mediciones en función del crecimiento de la carga (0, 25, 50, 75 y 100 %), y luego en el proceso de explotación los ciclos se espaciarán hasta alcanzar la fase de atenuación de las deformaciones, excepto, en suelos arcillosos donde el proceso de atenuación puede demorar varios años. El criterio más usado para la definición de la fase de atenuación o estabilización es la condición [9] de que el valor de la deformación en los últimos tres ciclos permanezca dentro del rango de los límites de precisión o su error máximo de determinación.

El procesamiento de las mediciones se realizó por las herramientas desarrolladas en [11], que incluye el ajuste de las observaciones por el programa “AJUSNIV”. De esta forma fueron determinadas las coordenadas de los puntos de control para cada ciclo. El valor de la deformación (Dt) se obtuvo a partir de la comparación de las coordenadas de las marcas entre cada ciclo.

Una vez concluido el estudio geodésico estamos en condiciones de realizar el análisis geométrico del proceso de la deformación, donde se chequeará el cumplimiento de la condición en el estado límite de servicio, con la particularidad de verificarlo a partir de mediciones a escala real y en condiciones de campo.

2.4. Análisis de vulnerabilidad geotécnica

Al chequear la condición ¿D ≤ T?, si la respuesta es afirmativa (SI), el comportamiento de la estructura es normal, pero es necesario revisar en que etapa se encuentra la misma, si es en el proceso de construcción, deben continuarse los estudios, teniendo en cuenta que las deformaciones pueden incrementarse por el crecimiento de la carga sobre su base, principalmente la de uso; cuando la obra está en el periodo de explotación, puedo concluir el análisis de la deformación. Si el resultado es NO, entonces debemos definir las causas que producen las deformaciones como parte de la interpretación física, para ello realizaremos inspecciones visuales y mediciones preventivas por un equipo multidisciplinario, que a partir del nivel de vulnerabilidad geotécnica tomará las decisiones correspondientes, desde el mantenimiento hasta la paralización o fuera de servicio, por requisitos de seguridad operacional.

La relación entre los valores de las deformaciones máximas medidas en un objeto de obra (Dt) y las límites calculadas en el proyecto de ejecución de la obra (SL) se puede definir como el índice de vulnerabilidad geotécnica absoluto (IVGa).

La relación entre los valores máximos de las distorsiones angulares medidas y los límites calculada en el proyecto de ejecución de la obra se puede definir como el índice de vulnerabilidad geotécnica relativo (IVGr).

La determinación de los índices de vulnerabilidad está sujeta a la vigilancia de la estructura en los procesos de construcción y explotación, en correspondencia con [1], las relaciones (7) y (8) se pueden dar los siguientes casos:

  1. Las deformaciones medidas son menores que las deformaciones límites calculadas por proyecto. El IVGa,r es menor que 1. Se concluye que la vulnerabilidad geotécnica es baja .La obra se comporta según los parámetros de diseño. (Etapa de compactación)

  2. Las deformaciones medidas son aproximadamente iguales a las deformaciones límites calculadas por proyecto. El IVGa,r es aproximadamente igual a 1. Se concluye que la vulnerabilidad geotécnica es “límite”. La obra se comporta según los parámetros de diseño, puesto que no han sido superados; pero deben evitarse factores externos que puedan intensificar las deformaciones y hacer que estas superen sin dificultad los estados límites calculados.

  3. Las deformaciones medidas son mayores que las deformaciones límites calculadas por proyecto. El IVGa,r es mayor que 1.

    • Para IVGa,r entre 1 y 1.5 se concluye que la vulnerabilidad geotécnica es media .Los cimientos de la obra se comportan fuera de los parámetros de diseño y deben adoptarse medidas para minimizar los riesgos que puede provocar un comportamiento anómalo de los suelos . (Etapa de deformación, “compactación y desplazamientos locales”)

    • Para IVGa,r entre 1.5 y 2.0 se concluye que la vulnerabilidad geotécnica es alta .Los cimientos de la obra se comportan fuera de los parámetros de diseño. Comportamiento anómalo de los suelos. (Etapa de deformación “desplazamientos considerables”)

    • Para IVGa,r mayores que 2.0 se concluye que la vulnerabilidad geotécnica es muy alta . Los cimientos de la obra se comportan muy por encima de los parámetros de diseño. (Etapa de deformación “Levantamiento”, aparecen desplazamientos laterales y daños estructurales).

Esta clasificación se perfeccionará en la medida que se realicen ensayos a escala real para diferentes obras estructurales y para casos puntuales, desde un elemento estructural hasta un objeto de obra. En la Tabla 1 se muestra un resumen, que facilita el entendimiento multidisciplinario y la toma de decisiones en las etapas de construcción y explotación de una obra de ingeniería, a partir de las condiciones expresadas anteriormente, en función de los Índices de Vulnerabilidad Geotécnica (IVG) y de los Niveles de Vulnerabilidad Geotécnica (NVG). [3].

Tabla 1: Clasificación de la vulnerabilidad geotécnica

Fuente: [3]

El informe final con los resultados de los análisis de vulnerabilidad geotécnica se confecciona sin ambigüedades, se debe dejar claro la precisión con que se determinaron las deformaciones absolutas y relativas, así como el nivel de vulnerabilidad geotécnica a que está expuesta la obra.

3. Resultados y discusión

3.1. Control de las deformaciones

En los objetos investigados se realizó el estudio de la deformación por métodos geodésicos en función de las cargas verticales, es decir, el asentamiento [13], excepto en el depósito de mineral donde se consideraron los desplazamientos horizontales. Para la determinación de los asentamientos se utilizó el método de la nivelación geométrica de precisión y para los desplazamientos horizontales se usó el método combinado.

La nivelación de primera categoría como caso especial se utilizó en los objetos que conforman la Base de amoniaco. Estableciendo por [11] un Error Medio Cuadrático (EMC) en la determinación de las alturas menor o igual que ± 1,0 mm y un error de cierre de la nivelación (ƒh) menor o igual al calculado por la fórmula:

La nivelación de segunda categoría se utilizó para el resto de las obras estructurales (secaderos, depósito de mineral y el tanque de combustible), debido a que su cimentación se sustenta principalmente sobre suelos arcillosos de baja compresibilidad, con un EMC en la determinación de las alturas < ±2,0 mm y el error de cierre de la nivelación (ƒh) menor o igual al calculado por la fórmula:

Donde n es el número de puestas de instrumento.

El método combinado se utilizó en el depósito de mineral, debido a que la mayor componente de la deformación se manifiesta en los desplazamientos horizontales. Las coordenadas (x, y) de los puntos de referencia y de las marcas se determinaron por la combinación de la tecnología GPS y la Estación Total. Se obtuvo una precisión de ±5 mm, lo cual satisface las exigencias para este tipo de estructura.

Las observaciones de la base de referencia se realizaron utilizando la tecnología GPS, por el método estático-relativo de forma radial. El tiempo de medición en los puntos principales fue de 1 hora y en los puntos de control de 30 minutos.

La curvatura por desplazamientos horizontales del muro 'E' se determinó utilizando el método de las alineaciones, tomando como referencia la alineación entre los puntos 'E0' y 'E30' ubicados en el inicio y final del muro respectivamente. Las coordenadas del resto de las marcas se determinaron por el método polar.

El análisis de la estabilidad de la base de referencia de los objetos estudiados se realizó según [11], los resultados obtenidos son confiables y satisfacen las exigencias para el análisis integrado de las deformaciones, ya que los valores de los desplazamientos determinados no están influenciados por los datos iniciales.

Los puntos de control se situaron en los elementos estructurales de forma tal que representen las áreas más deformables y pueda modelarse la geometría del objeto por sus puntos característicos, lo que permite poder juzgar sobre el tipo de deformación (asentamiento, desplazamiento horizontal, inclinación y torsión) en su base.

El objeto “Secaderos” se controla a partir de los puntos 'CF-XIII', 'CF-3A' y 'E-14', por estar próximos al mismo. Para su monitoreo se colocaron un total de 77 marcas. Ver Fig. 8.

Esquema de la base geodésica

Figura 8: Esquema de la base geodésica

Fuente: [3].

En la “Base de amoniaco” se realizó el análisis integrado de las deformaciones para todas las estructuras que la conforman, es decir, los tanques de solución amoniacal, balas de almacenamiento de amoniaco y las construcciones auxiliares de funcionamiento (panel eléctrico, compresores, panel de mando y casa de bombas), colocando los puntos de control en las cimentaciones y elementos estructurales de cada objeto. El sistema de referencia para el control de los asentamientos está formado por tres puntos o ramillete de profundidad ('PR-1', 'PR-2' y 'PR-3'), situados fuera del área de influencia de la obra, que se enlazan con los puntos de control por dos polígonos (interior y exterior), siguiendo el esquema de medición mostrado en la Fig. 9.

Esquema de la base geodésica

Figura 9: Esquema de la base geodésica

Fuente: [3].

Para el monitoreo de las deformaciones (asentamientos y desplazamientos horizontales) en el “Depósito de mineral” se creó una base de referencia conformada por puntos planimétricos y altimétricos, ubicados fuera del objeto de estudio, a partir de la cual se determinaron las coordenadas (x,y,z) de los puntos de control (marcas) empotrados en los diferentes cimientos y muros del objeto. La zona situada en el centro de la luz de los diferentes muros de contención que conforman el objeto se le llamó sección (área) critica. (Ver Fig. 10).

Esquema de la base geodésica

Figura 10: Esquema de la base geodésica

Fuente: [3].

Para supervisar [14] la deformación vertical (asentamiento) del “Tanque de combustible” fueron empotrados 6 puntos de control en su cimentación ('T1', 'T2',…, 'T6') distribuidos uniformemente alrededor de su perímetro, que se controlan de los puntos de referencia: auxiliar 'C-8' y del ramillete (PR1', 'PR2' y 'PR3'), siguiendo el esquema de medición ilustrado en la Fig. 11, los cuales están situados fuera del área de influencia de la cimentación (bulbo de presiones), a 60 y 150 m respectivamente.

Esquema de la base geodésica

Figura 11: Esquema de la base geodésica

Fuente: [3].

3.2. Evaluación de la vulnerabilidad geotécnica

Luego de realizado el análisis geométrico y la interpretación física del proceso de la deformación, determinamos los índices y niveles de vulnerabilidad geotécnica, que demuestran la factibilidad de la aplicación de la metodología [3] a los casos de estudios y permiten la toma de decisiones para alertar sobre la seguridad operacional de estas obras, durante su vigilancia en los procesos de construcción y explotación. Los resultados se muestran en la Tabla 2.

Tabla 2: Evaluación de la vulnerabilidad geotécnica

Fuente: [3]

En los secaderos las mayores deformaciones se observan en los secaderos 5, 6 y 7, en este último con un valor de -81.5 mm, llegando a alcanzar un nivel de vulnerabilidad límite. De acuerdo con [3], el comportamiento diferencial se debe al cambio de litología en la sustentación de la cimentación, los secaderos del 1 al 4 están ubicados sobre un horizonte de terreno natural y del 5 al 7 sobre un suelo de relleno. Este nivel de vulnerabilidad puede aumentar en la medida que inicie el proceso de explotación producto de la incidencia de las cargas dinámicas.

En la Base de amoniaco el nivel de vulnerabilidad en sus objetos fundamentales (tanques y balas) es baja, estos están apoyados sobre cimentaciones profundas (pilotes) [3], sin embrago, en las obras auxiliares (Casa de compresores y Panel eléctrico) tienen niveles de vulnerabilidad de alta y media respectivamente, producto del comportamiento diferencial de los asentamientos, lo que afecta su seguridad operacional teniendo en cuenta las características de esta obra donde sus objetos están unidos por interconexiones que se apoyan en cimentaciones superficiales. En el caso de los compresores han influido negativamente las vibraciones, propias de su funcionamiento, generando cargas dinámicas que inciden en el comportamiento diferencial de las deformaciones.

El depósito exterior de mineral presenta un nivel de vulnerabilidad de muy alta, producto a la ocurrencia de deformaciones excesivas, con un mayor valor absoluto de -260.0 mm, que supera los valores límites establecidos en las normativas vigentes [3], estos desplazamientos se localizan en los puntos de control situados en el área central (sección critica) donde se concentran las mayores cargas, observándose daños en los elementos estructurales, lo que afecta la seguridad operacional en las vías que soportan los muros de contención.

El Tanque de combustible alcanzó un nivel de vulnerabilidad límite, producto de los valores significativos de los asentamientos durante la prueba de la carga de agua [3,14], con un mayor valor de -127.0 mm y como aspecto más crítico el comportamiento de los asentamientos tuvo un carácter diferencial, lo que ha producido grietas en la estructura de la cimentación [3].

4. Conclusiones

Se crea una nueva metodología integral que permite incorporar los métodos geodésicos a los estudios de vulnerabilidad geotécnica para la industria cubana, demostrándose su factibilidad en las obras estructurales: maquinaria industrial (secaderos), depósitos de sustancias tóxicas (base de amoniaco), depósitos de sustancias inflamables (tanque de combustible) y depósitos de mineral.

En los secaderos las mayores deformaciones se observan en los secaderos 5, 6 y 7 llegando a alcanzar un nivel de vulnerabilidad límite. Este nivel de vulnerabilidad puede aumentar en la medida que inicie el proceso de explotación producto de la incidencia de las cargas dinámicas.

En la Base de amoniaco el nivel de vulnerabilidad en sus objetos fundamentales es baja, no obstante, en sus obras auxiliares (Casa de compresores y Panel eléctrico) tienen niveles de vulnerabilidad de alta y media respectivamente, producto del comportamiento diferencial de los asentamientos, lo que afecta su seguridad operacional teniendo en cuenta las características de esta obra donde sus objetos están unidos por interconexiones. En el caso de los compresores incide significativamente en el alto índice de vulnerabilidad las vibraciones producidas por el funcionamiento del equipamiento tecnológico.

El depósito exterior de mineral presenta un nivel de vulnerabilidad de muy alta, observándose daños en sus elementos estructurales, que son más significativos en su parte central, lo que afecta la seguridad operacional en las vías que soportan los muros de contención.

El Tanque de combustible alcanzó un nivel de vulnerabilidad límite, se observa un comportamiento diferencial en los asentamientos que han producido grietas en la estructura de la cimentación.

Acknowledgements

Agradecimientos

Los autores desean agradecer a los colaboradores de las Empresas Oriente Norte y UCT del Grupo Empresarial Geocuba, a los técnicos y especialistas del Taller Geodesia de la Agencia Geocuba Holguín, por el apoyo en las investigaciones de campo. Agradecemos a los revisores anónimos, cuyos consejos y sugerencias ayudaron a mejorar la claridad y la estructura del manuscrito.

Referencias

  1. [1] Acosta, L.E y García, J., La Geodesia en los estudios de peligro, vulnerabilidad y riesgos de desastres. Informática, XII Convención y Expo Internacional 2007, La Habana, Cuba. 2007. 🠔
  2. [2] Chrzanowski, A. et al., Combination of geometrical analysis with physical interpretation for the enhancement of deformation modelling. XIX. FIG Congress, Helsinki, Proceedings, Com. 6, pp. 326-341, 1990. 🠔
  3. [3] Acosta, L.E., Determinación de índices de vulnerabilidad geotécnica por métodos geodésicos, Tesis Doctoral, ITM, La Habana, Cuba, 2009. 🠔
  4. [4] Quevedo, G., Aplicación de los estados límites y teoría de seguridad en el diseño geotécnico en Cuba, Tesis de grado científico, UCLV, Cuba, 2002. 🠔
  5. [5] Recarey, C.A., Modelación del terreno y las estructuras en el dominio del tiempo. Memorias 4to. Simposio Internacional de Estructuras, Geotecnia y Materiales de Construcción, La Habana, Cuba, 2000. 🠔
  6. [6] Das, B.M., Fundamentals of geotechnical engineering. Third edition. CL-Engineering ed. ISBN-10: 0-495-29572-8, 2008. 🠔
  7. [7] Heunecke, O. and Welsch, W., A contribution to terminology and classification of deformation models in engineering surveys. Journal of Geospatial Engineering, 2(1), pp. 35-44, 2000. 🠔
  8. [8] NC 1,. Norma para el diseño geotécnico de cimentaciones superficiales. La Habana, Cuba, 2007. 🠔
  9. [9] Sundakov, A.Ya., Trabajos geodésicos para la construcción de grandes obras industriales y altos edificios, Editorial Mir, Moscú, Rusia, 1981. 🠔
  10. [10] USACE.EM.1110-2-1009, Structural deformation surveying, Washington, DC 20314-1000, Junio, 2002. 🠔
  11. [11] MET 30-27. Metodología para el control de deformaciones de obras a partir de métodos geodésicos, 2004. 🠔
  12. [12] Vila-Ortega et al., Monitoreo y control topográfico de obras, Quindío, Armenia, 2012. 🠔
  13. [13] USACE.EM.1110-1-1904, U.S. Army Corps of Engineers Manual, Settlement analysis, Washington, DC 20314-1000, September, 1999 🠔
  14. [14] Acosta, L.E. et al., Monitoreo geodésico de los asentamientos en tanques verticales de almacenamiento de combustibles. Minería y Geología, 33(3), pp. 266-278, 2017. 🠔
Acosta-González, L.E., de Lacy-Pérez de Los Cobos, M.C., Ricardo-Desdín, S.E., García-Díaz, J. and Hernández-Cruz, O., Análisis de la vulnerabilidad geotécnica en las obras de ingeniería de la región niquelífera de Holguín a partir del empleo de métodos geodésicos. Boletín de Ciencias de la Tierra, 45, pp. 5-13, Agosto 2018 - Enero 2019.
es Ingeniero Civil de la Universidad de Holguín (1995). Master en Geodesia Aplicada. Doctor en Ciencias Técnicas. Profesor Titular e Investigador Auxiliar del Departamento de Construcciones de la Facultad de Ingeniería de la Universidad de Holguín. Especialista en Topografía y Geotecnia con experiencia en la dirección de proyectos vinculados al sector empresarial. ORCID:0000-0002-2723-9850
es Licenciada en Ciencias Matemáticas de la Universidad Complutense de Madrid (1993). Doctora en Ciencias Matemáticas (2001). Actualmente es Profesora Titular del Departamento de Ingeniería Cartográfica, Geodésica y Fotogrametría de la Universidad de Jaén. Pertenece al Grupo de Investigación de Microgeodesia y al Centro de Estudios Avanzados de Ciencias de la Tierra, Jaén, España. Dentro de su investigación ha trabajado fundamentalmente en los sistemas GNSS y sus aplicaciones. Ha sido responsable de proyectos de investigación sobre los sistemas GPS modernizado y Galileo. Se desempeña como Coordinadora de la Red Iberoamericana de Investigación en Ingeniería geodésica (RIBINGEO). ORCID: 0000-0003-0654-778X
es Ingeniero Aerofotogeodesta (1994). Doctor en Ciencias Técnicas. Investigador Auxiliar de la Empresa UCT Geocuba Investigación y Consultoría, donde actualmente se desempeña como Director Adjunto. Ha ejecutado múltiples proyectos de alcance territorial y nacional, entre ellos, la caracterización de los movimientos recientes de la corteza terrestre en polígonos geodinámicos. ORCID: 0000-0002-8110-4850
es Ingeniero Astrónomo Geodesta del MIIGAIK, Rusia (1990). Doctor en Ciencias Técnicas. Profesor e Investigador Titular de la Empresa UCT Geocuba Investigación y Consultoría, La Habana, Cuba. Ha participado y dirigido proyectos de investigación relacionados con la Geodinámica y los estudios de PVR, principalmente en la región oriental de Cuba. ORCID: 0000-0002-4505-2715
es Ingeniero civil de la Universidad de Holguín (2016). Es Profesor instructor del Departamento de Construcciones, de la Facultad de Ingeniería de la Universidad de Holguín. Actualmente cursa estudios de maestría en la mención de estructuras en la Universidad Tecnológica de La Habana ¨ISPJAE¨. ORCID: 0000-0003-1663-1790