Boletín de Ciencias de la Tierra
0120-3630
Universidad Nacional de Colombia
https://doi.org/10.15446/rbct.n47.83793

Recibido: 4 de diciembre de 2019; Revision Received: 15 de enero de 2020; Aceptado: 22 de enero de 2020

Application of software DOPPLER in a hypothetical mining project of a polymetallic deposit

Aplicación del software DOPPLER en un proyecto minero hipotético de un yacimiento polimetálico

I. Cerchiaro-Sánchez, a J. Marulanda-Cárdenas, a G. Franco-Sepúlveda, b

Grupo de Planeamiento Minero Giplamin, Facultad de Minas, Universidad Nacional de Colombia, Medellín, Colombia. icerchiaros@unal.edu.co, .jfmarulandac@unal.edu.co Universidad Nacional de Colombia Grupo de Planeamiento Minero Giplamin Facultad de Minas Universidad Nacional de Colombia Medellín Colombia
Grupo de Planeamiento Minero Giplamin Departamento de Materiales y Minerales, Facultad de Minas, Universidad Nacional de Colombia, Medellín, Colombia. gfranco@unal.edu.co Universidad Nacional de Colombia Departamento de Materiales y Minerales Facultad de Minas Universidad Nacional de Colombia Medellín Colombia

Abstract

This article is developed with the purpose of obtaining the economic valuation and scheduling for a hypothetical open-pit gold mining project using DOPPLER as computing tool, this due to the growth and importance that has acquired the use of specialized software in the mining business. For the development of the article a series of parameters are defined to consider as the destinations, destination capacity, slope angle, metal price, among others, from which a series of schedules are executed through the different methods offered by DOPPLER. Once the results have been obtained (scheduling, NVP, etc.), they are analyzed and compared with each other in order to determine which is the most suitable for the hypothetical project considered in this article.

Keywords:

scheduling, final pit, nested pits, NPV, DOPPLER, mine planning.

Resumen

El presente artículo se desarrolla con el propósito de obtener la valoración económica y el agendamiento para un proyecto minero hipotético de oro a cielo abierto mediante el uso de DOPPLER como herramienta informática, esto debido al crecimiento y la importancia que ha adquirido el uso de software especializado en el negocio minero. Para el desarrollo del artículo se definen una serie de parámetros a considerar como los destinos, capacidad de destinos, ángulo de talud, precio del metal, entre otros, a partir de los cuales se ejecutan una serie de agendamientos mediante los diferentes métodos ofrecidos por DOPPLER. Una vez obtenidos los resultados (agendamiento, VPN, etcétera.), se analizan y se comparan entre sí con el fin de determinar cuál es el más adecuado para el proyecto hipotético considerado en este artículo.

Palabras clave:

agendamiento, tajo final, tajos anidados, VPN, DOPPLER, planeación minera.

1. Introducción

La planeación minera es una de las actividades de mayor desarrollo en los últimos años dentro del negocio minero. Por medio de esta se busca reducir el nivel de incertidumbre (implícito en cada variable de un proyecto minero) de tal manera que permita lograr los objetivos financieros propuestos mediante la maximización de indicadores económicos como el VPN, el flujo de caja, entre otros.

La planificación minera, como lo menciona [1], involucra decisiones estratégicas, tácticas y operativas en función de sus propósitos y los alcances requeridos. La planeación estratégica se encarga de generar escenarios para trasformar el recurso mineral en un máximo potencial del negocio; por su parte, la planeación táctica busca establecer un camino concreto para alcanzar el objetivo definido en la planificación estratégica y, por último, la planeación operativa es la encargada de facilitar la ejecución del plan en el día a día. Además, la planeación minera también puede descomponerse en función de su horizonte temporal de evaluación distinguiendo entre planeación a corto, mediano y largo plazo.

Debido a la incertidumbre ya mencionada del negocio minero, se han incorporado nuevos conceptos alrededor de la planeación minera como el de flexibilidad con el objetivo de reducir dichos niveles de incertidumbre. Según lo define [2] en su trabajo, la flexibilidad de un proyecto minero se entiende como una característica que permite adaptarse a los cambios del mercado, lo que concede una toma de decisiones oportuna y consecuente con la variación del precio del metal.

Por otra parte, según [3], con base en las diferentes temáticas planteadas en una serie de artículos analizados en su trabajo, se definen 5 categorías que pueden relacionarse para un proceso integral de planeación minera a cielo abierto las cuales, dispuestas en orden de relevancia según el número de menciones que se encuentren en los diferentes artículos analizados, son: planeamiento minero, decisiones bajo incertidumbre, modelos de optimización, evaluación financiera y modelamiento geológico.

Este artículo está enfocado en la implementación del software DOPPLER, desarrollado en el laboratorio Delphos de la Universidad de Chile, con el objetivo de obtener la valoración económica y el agendamiento a largo plazo de un yacimiento hipotético polimetálico de un proyecto minero a cielo abierto con mayor interés en el oro.

DOPPLER provee herramientas para el cálculo de pits anidados; motor de visualización 3D; capacidad para realizar una serie de gráficas para su posterior análisis como curva tonelaje-ley, histogramas, etc. Además, es posible llevar a cabo un Agendamiento Directo de Bloques (DBS), lo que permite crear un plan de producción directamente desde el modelo de bloques (sin pasar por la creación de los pits anidados). [4]

Todas las anteriores son herramientas que proporcionan al planeador diferentes perspectivas desde las cuales, de acuerdo con su criterio, podrá elegir cuáles son las más adecuadas para el proyecto.

2. Metodología

En la Tabla 1 se presenta la metodología como un diagrama de procesos mínimo necesario para llevar a cabo la planificación minera a cielo abierto en DOPPLER; dicho proceso fue el que se implementó para la realización de este artículo.

Tabla 1: Diagrama de procesos mínimo para el uso de DOPPLER.

Fuente. Los Autores

2.1. Caso de estudio

Se pretende que el modelo de bloques utilizado represente un pórfido polimetálico (con mayor concentración de oro) debido a que, como puede verse en las Figs. 1 y 2, el cuerpo mineralizado se encuentra en forma masiva en el centro del modelo.

Modelo de bloques.

Figura 1: Modelo de bloques.

Fuente. Los Autores.

Cuerpo mineralizado.

Figura 2: Cuerpo mineralizado.

Fuente. Los Autores.

En la Tabla 2 se presentan las diferentes especificaciones del modelo de bloques.

Tabla 2: Parámetros de entrada del modelo de bloques.

Fuente. Los Autores.

En la Tabla 3 se presentan cada una de las consideraciones económicas que se tuvieron en cuenta para la realización del presente artículo

Tabla 3: Parámetros económicos.

Fuente. Los Autores.

Teniendo en cuenta las Tablas 2 y 3, se procede a calcular los demás atributos necesarios para el correcto desarrollo del artículo, utilizando los modelos descritos en la Tabla 4.

Tabla 4: Modelos ingresados al software para el cálculo de nuevos atributos.

Fuente. Los Autores.

En la Tabla 5 se muestran los supuestos de tipo técnico que se tuvieron en cuenta en el desarrollo del presente artículo.

Tabla 5: Parámetros técnicos.

Fuente. Los Autores.

Los parámetros se tuvieron en consideración de acuerdo con las características del proyecto y de cada uno de los aspectos que componen este, como el tipo de yacimiento, la capacidad de cada uno de los destinos y la determinación de los periodos, entre otros.

3. Resultados y análisis

A continuación, se presentan los resultados obtenidos en DOPPLER para cada uno de los componentes del proyecto. Se podrá observar el pit final, los pits anidados, los resultados para cada tipo de agendamiento desarrollado en DOPPLER y una tabla comparativa entre los resultados de cada tipo de agendamiento.

3.1. Pit final

El pit final se logró una vez ingresado el ángulo de 50° como precedencia y el atributo del modelo de bloques que nos da el valor de cada bloque (valor planta). En la Fig. 3 puede verse el pit final obtenido en DOPPLER.

Corte transversal del pit final.

Figura 3: Corte transversal del pit final.

Fuente: Elaboración propia en DOPPLER

La Fig. 3 viene acompañada del valor económico del pit, el cual fue de 5856673890.2; y el número de bloques tomados por el pit final, donde el resultado fue de 48656 bloques.

3.2. Pits anidados

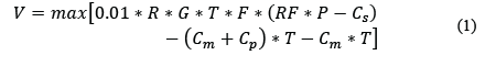
Luego, siguiendo con el diagrama de procesos de la Tabla 1, se procede al cálculo de los pits anidados. En esta instancia, en la cual el software implementa el modelo de valoración que se verá a continuación (1), se ingresaron los diferentes parámetros económicos descritos con anterioridad, al igual que el RF.

Donde:

  • V: Valoración del bloque de salida

  • R: Bloque de recuperación de mineral

  • G: Grado de mineral de bloque

  • T: Tonelaje de bloque

  • F: Factor de conversión

  • RF: Revenue factor

  • P: Precio del oro

  • Cs: Costo de venta

  • Cm: Costo de minado

  • Cp: Costo de procesamiento

Los resultados dados por el software pueden verse gráficamente en la Fig. 4, donde se nota claramente cada pit anidado diferenciados por color.

Corte transversal de los pits anidados.

Figura 4: Corte transversal de los pits anidados.

Fuente: Elaboración propia en DOPPLER.

Además, el software genera como resultado un par de columnas en el modelo de bloques, estas son pits_anidados_value y pits_anidados_waste; la primera arroja el valor de cada bloque en los pits anidados y la segunda puede arrojar dos números, 0 si el bloque tiene algún valor económico y 1 si no lo tiene, lo que quiere decir que irá a botadero.

3.3. Agendamientos

En el presente artículo se ejecutaron cuatro tipos de agendamientos ofrecidos por DOPPLER con el objetivo final de comparar los resultados entre estos y definir el más conveniente para el hipotético proyecto. Cada tipo de agendamiento se presentará con sus respectivos resultados; posterior a esto se planteará la comparación entre cada uno de estos teniendo en cuenta su VPN.

3.3.1. Agendamiento por bancos

Dentro de esta herramienta, el software permite agendar los bloques pit anidado a pit anidado (Best Case) o agendar banco a banco el pit final (Worst Case). En este trabajo se llevó a cabo el agendamiento tanto por Best Case como por Worst Case; los resultados se presentan a continuación.

En la Fig. 5 se puede observar el número de periodos que arroja el software mediante el uso de Best Case el cual fue de 9. Además, se observa cómo será la distribución de estéril y mineral para cada periodo.

Agendamiento por bancos tipo Best Case.

Figura 5: Agendamiento por bancos tipo Best Case.

Fuente: Elaboración propia en DOPPLER.

Se nota una tendencia de aumento en mineral y disminución del estéril debido a que el agendamiento se hace por bancos horizontales avanzando en la profundidad del pit; al encontrarse el cuerpo mineralizado en el centro del modelo, y debido a la geometría del pit, la cantidad de estéril que se extrae disminuye a medida que se avanza en la explotación; puede notarse que en el periodo 9 la cantidad de estéril a extraer es mínima. Esta apreciación se notará con mayor facilidad en el agendamiento por bloques.

En la Fig. 6, se observa el número de periodos a explotar mediante la implementación del Worst Case. DOPPLER arrojó un total de 8 periodos cumpliendo con la misma tendencia descrita en el anterior, en la que disminuye la cantidad de estéril por periodo y aumenta la cantidad de mineral.

Agendamiento por bancos tipo Worst Case.

Figura 6: Agendamiento por bancos tipo Worst Case.

Fuente: Elaboración propia en DOPPLER.

3.3.2. Agendamiento por bloques

Este tipo de agendamiento se desarrolló por medio de By Pit and Bench (pit anidado a pit anidado) y, en la Fig. 7, se muestra la distribución y el número de periodos arrojados por el software; allí puede verse un total de 9 periodos y se nota que las zonas más profundas del pit corresponden a los periodos más alto debido a que el cuerpo mineralizado tiene mayor concentración en dichas zonas.

Corte transversal Agendamiento por bloques.

Figura 7: Corte transversal Agendamiento por bloques.

Fuente: Elaboración propia en DOPPLER

En la Fig. 8, al igual que en los casos inmediatamente anteriores, se nota la tendencia de disminución de estéril y aumento de mineral a extraer. Nótese la disposición de cada periodo; es aquí donde se evidencia una clara disminución en cuanto a material estéril por extraer en cada periodo debido a disposición que se tiene del yacimiento y la geometría del pit.

Agendamiento por bloques tipo By Pit and Bench

Figura 8: Agendamiento por bloques tipo By Pit and Bench

Fuente: Elaboración propia en DOPPLER.

3.3.3. Agendamiento Directo de bloques (DBS)

Este tipo de agendamiento pone énfasis en la temporalidad del problema buscando indentificar cual bloque será explotado, en qué momento será explotado y cuál será su destino. El software requiere del ingreso de varios de los parámetros de entrada que se describieron en la Tablas 3 y 5 los cuales son: tasa de descuento, destinos y capacidades. Adicionalmente, se requiere del ingreso de un horizonte T, que sería el número de periodos a evaluar; en este último se definió un total de 9 periodos con el fin de realizar la comparación con los agendamientos anteriores.

Los resultados obtenidos en DOPPLER aplicando DBS se presentan en las Figs. 9 y 10.

Vista transversal agendamiento directo de bloques.

Figura 9: Vista transversal agendamiento directo de bloques.

Fuente: Elaboración propia en DOPPLER

Agendamiento directo de bloques

Figura 10: Agendamiento directo de bloques

Fuente: Elaboración propia en DOPPLER.

Nótese el cambio considerable en cuanto a la disposición de cada periodo con respecto a los agendamientos anteriores. Se observa que esta estrategia requirió de sólo 8 periodos para agendar la producción. En la Fig. 9 se puede ver que el software crea los periodos en forma del pit, lo que genera una Fig. 10 que difiere totalmente con respecto a sus similares en los resultados de los agendamientos anteriores.

Se aprecia un comportamiento que se puede considerar constante en cuanto a la relación de estéril y mineral a extraer en casi todos los periodos, exceptuando el periodo 3, en el cual es mayor la cantidad de mineral; este comportamiento, contrario a los demás agendamientos, obedece a la determinación de los periodos en forma de pit.

3.4. Resumen comparativo

Con el objetivo de hacer la comparación entre un método de agendamiento y otro, se realizó la Tabla 6 en la cual se puede ver el VPN asociado a cada uno de estos.

De la Tabla 6 se observa que la maximización del VPN para el agendamiento directo de bloques es mayor en comparación con sus similares ya que este logra optimizar de manera simultánea la creación de pits, la definición del mejor destino del bloque dependiendo su valor y la programación de la excavación.

Tabla 6: Resumen comparativo.

Fuente. Los Autores.

4. Conclusiones

A continuación, se describen las principales conclusiones obtenidas a partir del análisis de los resultados de la investigación.

  • A. El software de planeamiento minero DOPPLER presenta una interfaz de fácil interpretación y un lenguaje sencillo, lo que facilita al planeador la realización rápida del agendamiento. Para esto, el planeador debe dominar ampliamente cada parámetro que se le ingresa al software, para que este funcione correctamente. A su vez DOPPLER genera una serie de graficas estadísticas que son de especial importancia para el usuario, puesto que a partir del análisis que se hace depende la viabilidad que se le da al proyecto minero.

  • B. Para el agendamiento directo de bloques, el software requiere de una mayor cantidad de parámetros de entrada; estos parámetros están directamente relacionados con las labores tanto técnicas como económicas del negocio minero, debido a que el objetivo final es maximizar la valoración económica del proyecto. Se puede observar para el DBS el software muestra un total de 8 periodos, aun ingresando un horizonte T=9.

  • C. En los agendamientos tipo Best Case y By Pit and Bench se advierte un comportamiento idéntico. Este resultado se atribuye a que ambos agendan los bloques pit anidado a pit anidado. Caso contrario ocurre con el agendamiento directo por bloques (DBS), ya que, este no limita su funcionamiento con los pits anidados.

  • D. El VPN obtenido por los algoritmos de agendamiento directo de bloques y agendamiento por bloques son considerablemente mayores con respecto a los obtenidos en Best Case y Worst Case; esto ocurre como consecuencia de que el agendamiento directo de bloques, por ejemplo, puede seleccionar bloques cualesquiera dentro de un banco mientras que, en el agendamiento basado en pits anidados, se debe extraer todo el estéril para empezar a explotar mineral.

  • E. Según los valores del VPN para cada tipo de agendamiento, se postula el agendamiento directo de bloques como el agendamiento óptimo para el yacimiento. Cabe aclarar que dicho valor de VPN se nota algo bajo teniendo en cuenta las altas inversiones que genera un proyecto minero, donde lo que se busca finalmente es maximizar la rentabilidad de la misma.

  • F. Se debe tener en cuenta que el presente artículo se desarrolló considerando un precio de oro fijo, el cual fue de 43.89USD/g, lo que impide el análisis en escenarios tanto negativos como positivos con respecto a la posible variación de este, de tal manera que pueda afectar los intereses de proyecto.

  • G. En relación con la conclusión anterior, se abre el camino hacia futuras investigaciones en las cuales se consideren diferentes escenarios mediante una ecuación que modele la variación del precio del oro en el tiempo, de esta manera se lograrían resultados más amplios y se conseguiría disminuir la incertidumbre asociada al precio del metal.

Referencias

  1. [1] Seguel, S., Incorporación de atributos geometalúrgicos e incetidumbre geológica en la definición de pit final y la secuencia de extracción de largo plazo, Tesis de grado, Universidad de Chile, 2017. 🠔
  2. [2] Meneses, D., Morales, N. y Jélvez, E., Metodología de planificación minera a cielo abierto considerando planes alternativos, Santiago de Chile, Chile, 2018. 🠔
  3. [3] Franco-Sepúlveda, G., Branch-Bedoya, J.W. y Jaramillo-Álvarez, G., Una aproximación a la planeación minera a cielo abierto desde un enfoque basado en decisiones bajo incertidumbre, Boletín Ciencias la Tierra, 28, pp. 7-14, 2010. 🠔
  4. [4] Canales, D., Comparación de metodologías de planificación de largo plazo en minería a cielo abierto, Tesis de grado, Universidad de Chile, 2018. 🠔
  5. [5] Lamghari, A. and Dimitrakopoulos, R., Progressive hedging applied as a metaheuristic to schedule production in open-pit mines accounting for reserve uncertainty, Eur. J. Oper. Res., 253(3), pp. 843-855, 2016. 🠔
  6. [6] Goodfellow, R.C. and Dimitrakopoulos, R., Global optimization of open pit mining complexes with uncertainty, Appl. Soft Comput. J., 40, pp. 292-304, 2016. 🠔
  7. [7] Paithankar, A. and Chatterjee, S., Open pit mine production schedule optimization using a hybrid of maximum-flow and genetic algorithms, Appl. Soft Comput. J., 81, art. 105507, 2019. 🠔
  8. [8] Gmbh, C., Conininvest, 2019. [En línea]. [Consulted in: 16-Aug-2019]. Available at: Available at: https://www.coininvest.com/es/graficos/precio-del-oro/gramo/1mes/#chart . [URL] 🠔
es estudiante de pregrado de Ingeniería de Minas y Metalurgia de la Universidad Nacional de Colombia, sede Medellín. Hace parte del grupo de planeamiento minero GIPLAMIN de la misma institución desde febrero de 2017.ORCID: 0000-0002-8440-8331
es estudiante de Ingeniería de Minas y Metalurgia de la Universidad Nacional de Colombia, sede Medellín. Hace parte del grupo de planeamiento minero GIPLAMIN de la misma institución desde septiembre de 2018.ORCID: 0000-0001-6725-3537
graduado como Ing. de Minas y Metalurgia en 1998 de la Universidad Nacional de Colombia - Sede Medellín. MSc. en Ciencias Económicas en 2006 y PhD. en Ingeniería en 2017 de la misma universidad. Actualmente es profesor en dedicación exclusiva adscrito al Departamento de Materiales y Minerales de la Facultad de Minas de la Universidad Nacional de Colombia - Sede Medellín. Director del Grupo de Investigación en Planeamiento Minero-GIPLAMIN, grupo reconocido - Colciencias ORCID: 0000-0003-4579-8389
Cerchiaro-Sánchez, I, Marulanda-Cárdenas, J.F. y Franco-Sepúlveda, G, Aplicación del software DOPPLER en un proyecto minero hipotético de un yacimiento polimetálico. Revista Boletín de Ciencias de la Tierra, 47, pp. 21-26, Agosto 2019 - Enero 2020.