Boletín de Ciencias de la Tierra
0120-3630
Universidad Nacional de Colombia
https://doi.org/10.15446/rbct.n51.96150

Recibido: 26 de mayo de 2021; Revision Received: 29 de noviembre de 2021; Aceptado: 20 de abril de 2022

volteoLab: programa computacional para la modelación de inestabilidad por volcamiento en cortes de talud en carreteras

volteoLab: Computer program for the modeling of toppling instability at slopes in road cuts

L. Erazo-Martínez, a L. Suarez-Burgoa, a

Departamento de Ingeniería Civil, Facultad de Minas, Universidad Nacional de Colombia, Medellín, Colombia. aerazoma@unal.edu.co, losuarezb@unal.edu.co Universidad Nacional de Colombia Departamento de Ingeniería Civil Facultad de Minas Universidad Nacional de Colombia Medellín Colombia

Resumen

El programa computacional para la modelación de la falla por volcamiento en dos dimensiones (2D), llamado volteoLab, permite interpretar el modo de falla tipo volcamiento (toppling en inglés) de un conjunto de bloques de roca en un talud de carretera bajo el análisis de cargas de contacto y fuerzas gravitacionales en un marco de análisis. VolteoLab ha sido realizado a partir del método de equilibrio límite. En este método se plantea el cálculo de fuerzas del peso de cada bloque de estudio y las fuerzas de fricción en la base de los mismos (i.e. las fuerzas de resistencia mecánica al corte y la normal al plano de apoyo de los bloques). Por otra parte, se usa el concepto de coeficiente de transferencia (ψ) que relaciona las componentes de las fuerzas gravitacionales con la posición espacial de cada bloque con relación a un bloque guía de ubicación estratégica (denominado bloque de cresta y con un índice de ubicación en este texto denotada como m) cuyo significado físico divide al talud de análisis en dos zonas: la zona de corte y la zona de corona. Con el coeficiente de transferencia y la ubicación del bloque de cresta es posible identificar las partes vulnerables del talud y en especial es posible tener un valor numérico de otra variable que definirá la estabilidad global del talud, que es una fuerza horizontal en la pata del mismo denominada aquí como fuerza de anclaje (P). Si esta fuerza es negativa, el talud es estable y si.

Palabras clave:

macizo rocoso, vía, programa computacional, falla por volcamiento.

Abstract

The computer program for 2D toppling modeling, named volteoLab, allows interpret the toppling mode of failure of a set of rock-blocks at road slopes; all of these by analyzing under a continuum frame taking into account the contact and gravitational forces of the blocks. The analysis is done with the limit equilibrium method. In this method, the calculation of forces, such as the weight of each rock-block, where the base frictional force is also taken into account. On the other hand, it is used the concept of transfer coefficient (ψ). Under this concept, there is relation of the gravitational force components with the spatial location of each block, those against a strategic reference block called crest block and with a location index of m, where the physical meaning divides the slope of analysis in two zones: Shear and Crown zones. With the transference coefficient and the location of the crown block, it is possible to identify vulnerable parts in the slope, and especially it is possible to have a numeric value of another variable, which will define the global stability of the slope, this that is a horizontal force at the foot of the slope called here nailing force (P). If this force is negative, the slope is stable, and if the force is positive, the slope is unstable.

Keywords:

rock mass, highway, computer program, toppling failure mode.

1. Introducción

En la actualidad, la adquisición del conocimiento es más acelerada debido al constante crecimiento y evolución de la tecnología informática. Esta situación no es distinta en el caso más puntual de la geomecánica computacional; por esta razón, los conceptos teóricos deben ir acompañados de la implementación en programas computacionales con el fin de optimizar los tiempos de análisis y encontrar la respuesta acertada para tomar alguna decisión que garantice soluciones más seguras y confiables.

El análisis del modo de falla de volcamiento de bloques de roca (i.e. toppling en inglés) es un proceso difícil de sintetizar en una sola ecuación (a veces empírica e implícita) o en varias, que no son de fácil solución. Además, esto implica un procedimiento difícil de memorizar e incluso de explicar o transferir de una persona a otra.

Por estas razones, es necesario implementar una solución a través del desarrollo de un código computacional. Este artículo propone un código en el lenguaje de programación MATLAB® u Octave® para solucionar este aspecto.

El código consta de funciones de cálculo que van desde programación de fórmulas sencillas, pasando por bucles complejos, hasta llegar a archivos de lotes que integran las variables de orden geométrico con las variables físicas del problema que se desea solucionar: la falla por volcamiento de bloques.

El programa computacional que se propone en este artículo se denomina volteoLab y permite modelar la falla por volcamiento en dos dimensiones con base en el método continuo de equilibrio límite propuesto por Coggan et al. (1998) que tiene en cuenta la metodología de Liu et al. (2009). Ambas propuestas parten del método estático planteado por (Goodman y Bray 1976).

El programa computacional hace uso del concepto del coeficiente de transferencia (ψ) que relaciona las componentes físicas del talud: peso, fuerza normal de contacto, fuerzas de fricción en la base de desplazamiento y fuerzas de fricción en las paredes normales a la base; además de una fuerza tensora de un anclaje estabilizante en la pata del talud; estas con las componentes geométricas del mismo, para un caso de análisis específico.

El modelo geométrico necesita que se plantee un talud de n bloques (de igual espaciamiento cada uno) y que se establezca un bloque intermedio en la posición m, llamado bloque de cresta o bloque-eme. Este bloque intermedio divide al grupo de bloques en dos: el conjunto de bloques de corte y el conjunto de bloques de corona.

Definido este bloque de cresta, se calcula la fuerza de anclaje y con este valor se puede definir la estabilidad global del mecanismo de falla por volcamiento.

2. Análisis estático de la falla por volcamiento

Inicialmente se describe el modelo geométrico básico en dos dimensiones, para la determinación de todas las demás variables, tanto geométricas como físicas. El análisis es uno de un talud compuesto por n bloques de igual ancho pero distintas alturas que se circunscriben en un triángulo escaleno, cuyo lado más largo es la línea base de una discontinuidad geológica principal que proporciona una superficie plana de deslizamiento.

Otro de los lados del triángulo escaleno representa la línea de corte del talud, que es formada por la maquinaria que perfila el terreno para ampliar o crear una vía en un talud natural.

Finalmente, el tercer lado del triángulo escaleno define la línea de la corona de talud, que va desde el punto superior del plano de discontinuidad principal hasta unir con la línea de corte (Liu et al., 2009). Lo anterior se muestra en la Fig. 1.

Modelo geométrico de un talud.

Figura 1: Modelo geométrico de un talud.

Fuente: Adaptado de Liu et al. (2009).

También se plantea un sistema de coordenadas ortogonal, con el eje x que es paralelo a la base de bloques (la base de cada bloque no es la base del plano de deslizamiento, los bloques con sus bases forman escalas sobre la referencia de la línea de deslizamiento (vea la Fig. 1) y con el eje y paralela a las paredes de los bloques. Este sistema coordenado posibilita determinar ángulos tales como el de inclinación de la línea de discontinuidad (θr), así como el ángulo de inclinación de los bloques respecto a la horizontal (β) y los ángulos de corona y corte de talud con respecto al sistema coordenado (X; Y), β gr , β sr , (nomenclatura tomada de (Liu et al., 2009).

Finalmente se identifica las variables como la altura de corte de talud h y la altura que va desde el fin de la línea de corte hasta el inicio de la línea de discontinuidad principal H h .

2.1. Análisis de cuerpo libre en un bloque i

Del conjunto de análisis de i = [1,2, … ,n] bloques, se parte de la condición de que cada uno de ellos no se separa de la superficie de la base donde se deslizan. Cada bloque está en contacto con la línea de discontinuidad principal y su propia base, donde se tiene esencialmente una fuerza gravitacional del peso del bloque W i y una fuerza de contacto entre paredes.

A su vez, el modelo geométrico de un talud que presenta una posible falla por volcamiento: h, altura pared talud desde la base hasta el cambio de pendiente de corona; t , espaciamiento bloques del talud; γ [kN m-3] peso unitario material rocoso; β, inclinación respecto a la horizontal del plano de referencia X asumido (del eje-x a la base de los bloques); β b , inclinación de la base de los bloques con el plano de referencia X asumido; β r inclinación de corte del talud con respecto a la horizontal; β g , inclinación de la corona de talud con respecto a la horizontal; β br , inclinación de la base de los bloques con respecto a la línea de discontinuidad principal; β sr , inclinación de corte del talud con respecto al plano de referencia X asumido; β gr , inclinación de la corona del talud con respecto al plano de referencia X asumido; θ, inclinación de la línea de discontinuidad de base de bloques con respecto a la horizontal; θ r , inclinación de la línea de discontinuidad de base de bloques con respecto al plano de referencia X asumido.

De un cualquier bloque, que este anterior respecto a otro cualquiera que sea el de análisis, denotado el primero como N i-1 y el siguiente al mismo denotado N i ; ambas fuerzas que actúan están relacionadas con los ángulos de fricción de la pared de bloques.

Asimismo, existen las distancias de aplicación de carga de contacto entre el bloque anterior y siguiente, variables l i y k i respectivamente; así como la altura, el espesor del mismo, las fuerzas basales (fuerzas en la base del bloque) tanto de corte como normal; tal como se muestra en la Fig. 2.

Descomposición de fuerzas en un talud sin y con inclinación respecto al plano de base del macizo rocoso. Talud sin inclinación respecto al plano de base del macizo rocoso, la base del bloque coincide con la traza de la discontinuidad de base, i.e. β
 
 br
 = 0, la base del bloque está más inclinada con la traza de la discontinuidad de base, i.e. β
 
 br
 ≠ 0.

Figura 2: Descomposición de fuerzas en un talud sin y con inclinación respecto al plano de base del macizo rocoso. Talud sin inclinación respecto al plano de base del macizo rocoso, la base del bloque coincide con la traza de la discontinuidad de base, i.e. β br = 0, la base del bloque está más inclinada con la traza de la discontinuidad de base, i.e. β br ≠ 0.

Fuente: Adaptado de (Liu et al., 2009).

El objetivo de todos los cálculos conlleva a determinar la fuerza de contacto entre bloques para determinar finalmente la fuerza de anclaje en la pared del talud y así mantener el sistema en equilibrio.

2.2. Análisis de cuerpo libre bloque i, pero inclinado

El análisis anterior sufre la modificación: el bloque i de análisis posee una inclinación respecto a la línea de discontinuidad principal, lo cual incrementa las magnitudes y modifica las direcciones de las fuerzas del peso, las fuerzas de contacto normales y las fuerzas basales de corte y normal.

Esto trae en sí una mayor posibilidad de volcamiento al ser el sistema más propenso al deslizamiento por tener una menor superficie de contacto entre el talud y el macizo rocoso, lo anterior se observa en la Fig. 2.

Descomposición de fuerzas en un talud sin y con inclinación respecto al plano de base del macizo rocoso: ϕ d , ángulo de fricción de la línea cercana a ser vertical de contacto de bloques; ϕ b , ángulo de fricción de la base del conjunto de los bloques; S i , fuerza cortante basal para el bloque i; R i , fuerza normal basal para el bloque i; l i , altura de aplicación de la fuerza normal de contacto del bloque i - 1 desde la base del bloque i; k i , altura de aplicación de la fuerza normal de contacto del bloque i + 1 desde la base del bloque i; N i - 1 , fuerza normal entre bloques para el bloque i - 1; N i , fuerza normal entre bloques para el bloque i + 1 ; W i , componente de peso bruto para el bloque W i , componente de peso geométrico para el bloque i; ángulo de inclinación de la base de los bloques con respecto a la línea de discontinuidad principal β br .

3. Procedimiento de cálculo de ecuaciones asociadas al problema

Una vez definidas las variables del problema, se debe seguir un procedimiento de cálculo que involucra cada uno de los bloques i y el sistema en su conjunto. El procedimiento a seguir se resume en los siguientes pasos.

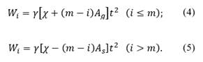
  • Calcule el radio de esbeltez χ, que relaciona la altura del bloque respecto al ancho del mismo (Liu et al., 2009), sabiendo que un radio muy alto de esbeltez podría originar falla por flexión (una especie de pandeo [i.e. buckling]) en los bloques de análisis,

  • Calcule la relación de corona de talud respecto al eje de análisis A g , que corresponde a la diferencia de tangentes entre el ángulo de corona de talud β gr y el ángulo de inclinación de la línea de discontinuidad principal θ r respecto al plano de análisis X (Liu et al., 2009),

  • Calcule la relación de corte de talud respecto al eje de análisis A s , que complementa a la anterior relación siendo la diferencia de tangentes entre el ángulo de corte de talud β sr y el ángulo de inclinación de la línea de discontinuidad principal θ r respecto al eje del plano de análisis X (Liu et al., 2009),

  • Calcule el peso bruto bloque i (W i ), que corresponde a la componente gravitacional de cada uno de los bloques segmentada en dos expresiones, cuando el bloque de análisis esta antes del bloque de cresta m , se relaciona con A g , es decir con los bloques de corona y su relación geométrica, y cuando se encuentra en la parte de la zona de corte del talud se establece la expresión relacionada con A s (Liu et al., 2009),

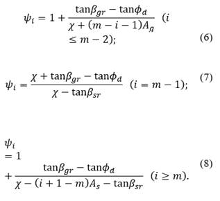
  • Calcule el coeficiente de transferencia ψ , donde este término fue propuesto por (Liu et al. 2009) como término que relacione de forma simple las componentes físicas con la geometría del talud, permitiendo obtener la fuerza de contacto entre bloques, los pesos geométricos de los bloques, y cuyas expresiones dependen de la posición de cada bloque de análisis respecto al bloque m usando los factores A s y A g ,

  • Obtenga el peso geométrico de los bloques W i , donde esta componente denominada también peso de volcamiento (Liu et al., 2009) es el peso de cada uno de los bloques adecuado a las condiciones geométricas (ángulos de inclinación, de los bloques respecto a su base y a los ángulos internos del talud). Para el desarrollo de las expresiones a su vez se toma como referencia el bloque de cresta que es la condicional de amarre para las unidades que se encuentran sobre la corona y sobre la franja de corte

  • Calcule la fuerza de contacto normal N i , que es el producto principal de las fuerzas inmersas en el sistema de volcamiento, corresponde al producto entre el peso geométrico y el coeficiente de transferencia, en un rango acumulativo, es decir que el bloque i tendrá las fuerzas de contacto de los bloques i - 1 restando las componentes de fricción inmersas, sumadas finalmente con el valor de su propio peso, las cuales determinaran el valor de la fuerza de soporte o anclaje (Liu et al., 2009)

  • Calcule el factor de deslizamiento f i , que relaciona en una ecuación el valor de peso bruto, peso geométrico, coeficiente de transferencia y los ángulos de fricción para determinar la aptitud de un conjunto al deslizamiento, lo cual finalmente determina la longitud del anclaje de soporte y a su vez la magnitud del mismo. Esta expresión significa que a partir de la posición de bloque donde el resultado sea igual o mayor a la unidad, existe deslizamiento y por lo tanto el subconjunto de bloques determinará la componente total de peso a anclar

  • Calcule la fuerza de anclaje P, esto finalmente se obtiene al determinar la cantidad de bloques a deslizarse. Se obtiene el valor total de peso del grupo y a su vez el valor de la fuerza normal de contacto, restando la componente de fricción que ofrece el talud, para obtener la siguiente expresión

4. Componentes del programa volteoLab

El código desarrollado puede ser ejecutado en OCTAVE® o en MATLAB® y está disponible para su descarga en la plataforma GitHub: https://github.com/losuarezburgoa/volteoLab/ .

El código cuenta con 32 funciones, las cuales se encargan de tareas que van desde la conversión de decimales, la obtención del radio de esbeltez y hasta la obtención de la magnitud de la fuerza de anclaje para el conjunto de bloques en deslizamiento.

Adicionalmente, el software posee trece archivos de lotes que se encargan de asociar cada una de las funciones en una tarea específica como lo es la de instalar el código en cada programa para su corrida, así como la verificación de los ejemplos propuestos de la literatura asociada al desarrollo de esta herramienta informática.

Dentro de las carpetas que desarrollan tareas específicas se encuentran:

auxCode: que contiene funciones auxiliares que posibilitan operaciones como la conversión de ángulos de radianes a sexagesimales y viceversa. También en esta carpeta se tienen funciones que posibilita el cálculo de los factores A s y A g , la altura de los bloques del talud de análisis, la altura del bloque de cresta, así como el peso bruto y el radio de esbeltez; permitiendo entender la jerarquía del programa en cuanto a su funcionamiento.

geomCode: la principal utilidad de esta carpeta es generar un sistema de coordenadas primario, donde se puedan ubicar los vértices del triángulo escaleno que forma el talud de análisis a través de la ayuda de los ángulos internos del mismo. Las funciones internas de esta carpeta posibilitan también dividir el talud en uno discretizado en bloques de igual espesor y cuya parte media inferior y exterior quede circunscrita en cada uno de los lados, lo que facilita detectar la cantidad de bloques de estudio. La discretización se puede ver en una ventana de salida que muestra la geometría del problema (Fig. 3).

Ventana de salida del programa volteoLab.

Figura 3: Ventana de salida del programa volteoLab.

Fuente: Los autores.

mainCode: que posee la columna vertebral del programa ya que ahí se encuentran inmersas las funciones para el cálculo del peso geométrico, coeficiente de transferencia, fuerza normal y factor de deslizamiento; que finalmente arroja el valor de la fuerza P y a través de las matrices que se observan en la consola de MATLAB® u OCTAVE® posibilita detectar los bloques que se pueden llegar a deslizarse y los bloques que pueden llegar a volcarse.

verifications: posibilita integrar todas las funciones de una sola carpeta en un archivo de lotes con el fin de revisar el funcionamiento del programa frente a la variación de los parámetros físicos insertados inicialmente. Para nuestro caso, se verifica la carpeta geomCode cuyo objetivo es el de mostrar la representación de un talud dividido por n bloques y a su vez se verifica la carpeta mainCode para observar el resultado de los parámetros físicos de la simulación de volcamiento.

examples: en esta carpeta se alojan dos ejemplos que fueron resueltos con el uso del programa. Se verificaron ejemplos de casos publicados en referencias bibliográficas, como el caso del ejemplo del libro Rock Slope Engineering (Hoek and Bray, 1977) donde existe un talud de 93.4 m de altura,

conformado por 16 bloques, de espesor igual a 10 m y que a partir del desarrollo de las ecuaciones de volteo, se obtiene que 10 bloques son candidatos a volcarse y 3 a deslizarse. Este ejemplo a su vez es encontrado en A Transfer Coefficient Method for Rock Slope Toppling de los autores Liu et al. (2009), quienes poseen en su artículo el segundo ejemplo de este programa. En este segundo ejemplo se tiene un talud de 48 m de altura con 34 bloques, de los cuales 30 son candidatos a volcarse y 4 al deslizarse. Como resultado se observó que las variables obtenidas con el programa difieren en una pequeña proporción menor al 1% con los resultados de literatura existente.

Finalmente, en la parte externa a las carpetas descritas arriba pero dentro de la carpeta principal del programa, se tiene un archivo de lotes de todo el código integrado para resolver los ejemplos 1 a 2 anteriormente descritos. Estos dos ejemplos se describen con mayor detalle en la en la Sección 5: validaciones teóricas.

En adición se tiene un tercer ejemplo que corresponde al ejemplo real obtenido por los autores de este artículo para un talud en la vía Quibdó - La Mansa. Este es un talud que fue discretizado con 26 bloques y que se explica con mayor detenimiento en la Sección 6: aplicación práctica.

Asimismo, se tiene en esa carpeta el archivo de lotes para la instalación del programa.

Tras escribir en la consola de MATLAB® u OCTAVE® la palabra de llamada al programa con la frase volteoLab y con los datos de entrada del problema que se desee usar, se despliega en la misma consola todos los resultados que son útiles para la toma de decisiones.

Las variables de entrada de este problema son las variables geométricas como la altura H (i.e. altura desde el vértice inferior al vértice intermedio), la altura h h (i.e. altura desde un punto supuesto hasta el vértice superior), la altura h 2 (i.e. altura del vértice intermedio al vértice superior), la altura h 1 (i.e. altura del vértice inferior al vértice superior del triángulo) y la distancia l 2 (i.e. distancia horizontal desde el vértice superior al intermedio).

Paralelo a esta información emerge una gráfica resultado del análisis, que es en forma general la geometría del problema: un triángulo escaleno cuyos lados son el corte del talud, la superficie de deslizamiento y la superficie de la corona, donde los bloques adentro están discretizados de igual ancho pero de distinta altura.

Se supone a su vez el sistema de coordenadas alterno para el cálculo de ángulos internos que en este caso corresponde al sistema (x *, y *) como se muestra en la Fig. 3.

5. Validaciones teóricas

Algunos resultados pasados fueron usados como instrumentos de validación del programa. Como ejemplos de validación del código desarrollado del modelo numérico se plantea la simulación de dos taludes sometidos al volcamiento de autores que solucionaron el problema mediante otros métodos.

Los taludes que se ha simulado difieren en cuanto a la cantidad de bloques, dimensiones internas y parámetros de resistencia mecánica de la roca, como por ejemplo el ángulo de fricción de los planos de los bloques. Los dos ejemplos, como se dijo arriba, fueron tomados de las bibliografías de Hoek y Bray (1977) (Capítulo 10, página 267) y Liu et al. (2009) (Fig. 6). Los dos ejemplos de validación se muestran de forma respectiva en la Fig. 4.

Ejemplos de aplicación de taludes a simulación de la falla al volcamiento.

Figura 4: Ejemplos de aplicación de taludes a simulación de la falla al volcamiento.

Fuente: Los autores.

Macizo rocoso del talud izquierdo de la vía Quibdó a La Mansa en el sitio de estudio (foto tomada en el sentido inverso al aumento de las abscisas, i.e. de La Mansa a Quibdó).

Figura 5: Macizo rocoso del talud izquierdo de la vía Quibdó a La Mansa en el sitio de estudio (foto tomada en el sentido inverso al aumento de las abscisas, i.e. de La Mansa a Quibdó).

Fuente: Los autores.

Orientaciones de los planos de discontinuidad en el sitio de estudio. La línea “eje de la vía” muestra el eje de la vía, la cual es levemente menor a la dirección de rumbo del plano del talud; la dirección de la vía es N45E, mientras que el rumbo del plano es N50E (i.e. dirección de buzamiento 140). Proyección equiangular, hemisferio sur generado en el programa BuzyPlus.

Figura 6: Orientaciones de los planos de discontinuidad en el sitio de estudio. La línea “eje de la vía” muestra el eje de la vía, la cual es levemente menor a la dirección de rumbo del plano del talud; la dirección de la vía es N45E, mientras que el rumbo del plano es N50E (i.e. dirección de buzamiento 140). Proyección equiangular, hemisferio sur generado en el programa BuzyPlus.

Fuente: Los autores.

Ensayo en campo del ángulo de fricción básica con la mesa inclinada (Tilt Test) en el sitio de estudio. El ángulo de fricción básica 
								
									
										ϕ
									
									
										b
									
								
							 influye en la resistencia mecánica de las discontinuidades sin tomar en cuenta la ondulación, pero sí la aspereza.

Figura 7: Ensayo en campo del ángulo de fricción básica con la mesa inclinada (Tilt Test) en el sitio de estudio. El ángulo de fricción básica ϕ b influye en la resistencia mecánica de las discontinuidades sin tomar en cuenta la ondulación, pero sí la aspereza.

Fuente: Los autores.

El software volteoLab determina todas las variables de importancia como son los pesos brutos de bloques, los pesos geométricos y las componentes de contacto entre bloques, esto para finalmente obtener los bloques sometidos a deslizamiento.

Como valioso resultado del modelo se tiene el valor la orientación y la magnitud de la fuerza de anclaje que se necesita aplicar al sistema analizado para mantener el sistema en equilibrio (Liu et al., 2009).

Para los dos ejemplos de validación que se mencionan, las variables de entrada para cada caso fueron las que se muestran en las Tablas 1 y 2.

Tabla 1: Variables de ingreso para el modelo matemático para la falla por volcamiento en el caso de 16 bloques (13 activos).

Variable Valor Variable Valor
H   ( m ) 93.4 β s r ° 26.63
t   ( m ) 10 β g r ° -26.53
γ ( k N m - 3 ) 25 θ ° 35.8
β ° 30 θ r ° 5.8
β b 30 A s 0.4
β s ° 56.6 A g -0.6
β g ° 3.5 ϕ d 38.15
β b r ° 0 ϕ b 38.15

Fuente: Los autores.

Tabla 2: Variables de ingreso para el modelo matemático para la falla por volcamiento en el caso de 34 bloques.

Variable Valor Variable Valor
H   ( m ) 48 β s r ° 30
t   ( m ) 2 β g r ° -10
γ ( k N m - 3 ) 25 θ ° 42
β ° 25 θ r ° 17
β b 25 A s 0.272
β s ° 55 A g -0.482
β g ° 15 ϕ d 39
β b r ° 0 ϕ b 39

Fuente: Los autores.

En los dos casos analizados se destaca lo siguiente.

  1. El bloque de cresta m, corresponde al punto de división del talud en dos segmentos: corte y corona, siendo este bloque de cresta para los dos casos el de mayor longitud.

  2. En el primer ejemplo, la cantidad de bloques estables fue de tres, para el caso de los bloques sometidos a volcamiento corresponde a diez y la cantidad de bloques que se deslizan fue de tres.

  3. En el segundo ejemplo existieron cuatro bloques estables, treinta bloques sometidos a volcamiento y por último cuatro sometidos al deslizamiento.

  4. La fuerza de anclaje para el primer ejemplo fue de - 24.35 kN que es igual a la que proponen los autores Liu et al. (2009) y de 0.099 kN para el segundo ejemplo, valor que difiere a la propuesta por los autores en 4.36 kN ya que el valor obtenido por Liu et al. (2009) fue de 5.35 kN.

Los bloques amarillos son los que se deslizan, los grises claros los que se vuelcan, el gris claro central es el bloque de cresta y los bloques blancos en la corona también se deslizan. La orientación de la fuerza P es siempre perpendicular al lado alto de los bloques (o paralelo al lado de la base de los bloques).

6. Aplicación práctica

Dentro de la aplicación de este programa computacional se propone un caso real de un talud en roca en el trazado de la vía Quibdó-Medellín (Colombia) en el tramo Quibdó a La Mansa, el cual es susceptible a la falla por volcamiento luego de una apreciación visual y posterior medida de los planos de las discontinuidades del macizo rocoso (Fig. 5); sin embargo, el macizo rocoso aún se ve estable.

La formación geológica en la zona de estudio está descrita como intercalaciones de areniscas con lutitas del Oligoceno con bajo grado de metamorfismo (Calle et al., 1984).

Para la determinación del modelo geométrico y mecánico de este caso de estudio se realizó el respectivo trabajo de campo y laboratorio. Una descripción minuciosa de los trabajos de campo, laboratorio y análisis se puede leer en la tesis de maestría de Erazo-Martínez (2017). La geometría del talud fue medida en campo con el uso de un clinómetro de Abney, cinta métrica y jalones; la caracterización geométrica de las discontinuidades presentes en el macizo rocoso mediante el uso de la brújula Clar y los métodos de líneas de rastreo explicados en Suarez-Burgoa (2013) en la sección 4.8 "Obtención de información del macizo rocoso".

6.1. El material rocoso

El peso unitario del material rocoso fue el promedio de los pesos unitarios de todos los bloques encontrados en el sitio, estos que se estimaron en laboratorio por el método del canastillo sumergido, similar a lo que se hace en suelos para estimar esa misma variable, i.e. basados en el ensayo de peso unitario en rocas, norma ASTM C127-15 (2015) y las recomendaciones de Ulusay y Hudson (2007), dando un valor de 26.2 kN m-3.

La resistencia mecánica del material rocoso representada por la resistencia a compresión uniaxial (UCS: Uniaxial Compressive Strength) aproximada y en la roca arenisca es alrededor de los 90 MPa y el de la lutita alrededor de los 40 MPa; ambas propiedades inferidas a partir de correlaciones con el índice de carga puntual corregida (I s50) resultado del ensayo a carga puntual simple (PLT: Point Load Test).

Para la determinación de estos valores de la UCS no se ha considerado (por simplificación) una posible isotropía transversal en el comportamiento de resistencia y deformación (que puede presentarse en algunas de estas), mientras que las areniscas por lo general son isótropas en comportamiento mecánico.

6.2. Las discontinuidades

El macizo rocoso está conformado por: una familia de discontinuidad totalmente persistente (F 1: planos de estratificación) con orientaciones promedio (dadas en dirección de buzamiento y buzamiento) de 280/55; una segunda familia de discontinuidad con persistencia intermitente (F2) y orientación 130/50, que marca el plano de deslizamiento de base (direct toppling); una tercera familia de diaclasas (F3), cercanamente normal a las dos anteriores familias, con orientación 000/60 e intermitencia en su persistencia.

Los dos planos de diaclasas de las familias F2 y F3 son casi perpendiculares entre sí y a los planos de estratificación de la familia F1; es decir, las tres familias son ortogonales, muy común desarrollado en la parte rígida (las areniscas) en una intercalación de estas con la arcillolita. Esta ortogonalidad hace que el macizo genere bloques prismáticos paralelepípedos donde se tendría un macizo con puros bloques sueltos, pero en este caso no se han generado tales bloques de forma completa debido a que las dos familias de diaclasas (F2 y F3) no son totalmente persistentes (no son omnipresentes como lo es el plano de estratificación, F1).

Con las medidas de los planos realizadas en campo se calculó los valores promedios, valores que se muestra en la Fig. 6 a través de un diagrama estereográfico y en la Tabla 3.

Tabla 3: Medida de los planos de discontinuidad en el macizo del talud izquierdo del KM84-400 de la vía 6003.

Familia Descripción Dirección de buzamiento Buzamiento
F1 Estratificación 280 55
F2 diaclasas de base, normal a la estratificación 130 50
F3 Diaclasa normal a F1 y F2 080 50

Fuente: Los autores.

La determinación del ángulo de fricción de la superficie de la roca fueron medidas en campo y laboratorio a partir de los ensayos de mesa inclinada, llamado también ensayo Tilt Test (para el caso del ángulo básico, Fig. 7) y a partir de la medida de la ondulación y aspereza (rugosidad) de la superficie de la roca mediante el peine de Barton (para con el calcular la ondulación), Fig. 8.

Uso del peine de Barton para la medida de la geometría de la ondulación de las discontinuidades. El peine de Barton es llamado así en la mecánica de rocas latina, al instrumento llamado duplicador de contorno, usado en carpintería.

Figura 8: Uso del peine de Barton para la medida de la geometría de la ondulación de las discontinuidades. El peine de Barton es llamado así en la mecánica de rocas latina, al instrumento llamado duplicador de contorno, usado en carpintería.

Fuente: Los autores.

El ángulo de fricción básica influye en la resistencia mecánica de las discontinuidades sin tomar en cuenta el aporte de la ondulación. Se la llama por esta razón la microrugosidad. Para la familia F1 se encontró que el ángulo de fricción básica con el ensayo de la mesa inclinada es de 40º y para la familia F2 de 42º. Si este ángulo es muy alto, basta con esta propiedad para tener un talud estable.

La ondulación de los planos de estratificación en la arenisca (en una longitud de 70 mm de análisis) tiene una amplitud alrededor de 1 mm y la de los planos normales a ésta, una amplitud cercana a 4 mm; obtenido a partir del análisis de los tres perfiles de rugosidad por cada tipo, resultados que se detallan en Erazo-Martínez (2017). La Fig. 9a muestra el Perfil 2 de ondulación de la superficie de la discontinuidad del plano de la estratificación de la arenisca (Familia F 1); la Fig. 9b, el Perfil 6 de las diaclasas normales al plano de estratificación (Familia F 2).

Perfil de ondulación de las discontinuidades: a) del plano de estratificación F1, b) del plano de diaclasa normal al de estratificación F2 (elaboración propia).

Figura 9: Perfil de ondulación de las discontinuidades: a) del plano de estratificación F1, b) del plano de diaclasa normal al de estratificación F2 (elaboración propia).

Fuente: Los autores.

La aspereza de las discontinuidades no es ni lisa ni áspera, como para sentir una la sensación de lustrocidad ni abrasión en la palma de la mano. Lo cual se puede clasificar como rugosidad mediana.

Sin embargo, con el análisis de los mismos perfiles, se ha inferido a partir del ábaco de Barton (1982), que relaciona la amplitud y longitud del perfil de rugosidad, que para la familia F1 el JRC (Joint Roughness Coefficient) es de 7 y para la familia F2 el JRC es igual a 9 (Erazo-Martínez, 2017). También, el JRC se obtuvo de las medidas de los perfiles de ondulación y en ensayo de la mesa inclinada, a partir del empleo de las ecuaciones empíricas mostradas en las ecuaciones 1.40 y 1.41 de Suarez-Burgoa (2016) con base a lo expuesto en Tse y Cruden (1979).

La resistencia mecánica de la superficie de las discontinuidades expuestas (JCS: Joint Compressive Strength) se estimó mediante pruebas en campo con el martillo de rebote Schmidt Tipo L (para rocas) y el uso de correlaciones empíricas de este valor de rebote Schmidt (R) con la resistencia a compresión uniaxial, resumida en la Tabla 9.4 de Suarez-Burgoa (2013) a partir de varios autores. El valor para todas las discontinuidades se escogió como representativo igual a 65 MPa (del promedio de los valores que se encontraron en el intervalo de 40 MPa a 90 MPa).

6.3. La vía y el talud izquierdo

El sentido del eje de la vía es de un acimut (desde el Norte hacia el Este) de N045 (i.e. N45E), tomando en cuenta que se está viendo hacia el eje en sentido en que incrementan las abscisas de la vía (i.e. de Quibdó hacia la Mansa).

Bajo esta misma regla de sentido en que se ve el eje de la vía, la orientación del plano del talud izquierdo (donde está el corte de la vía cuando se aprecia la vía en direcciones del aumento de la progresiva) es de un acimut de N140 (i.e. S40E). La cara del talud no es exactamente normal al eje de la vía, esta varía en 5 º como se puede apreciar en las medidas de las direcciones, ya que el acimut de la vía es 045, un talud perpendicular al eje de la vía tendría que tener un acimut de 45 º + 90 º = 135 º y se midió que es 140 º (Vea la Fig. 6).

La relación de este talud con el plano de estratificación se evidencia con sus orientaciones, que la estratificación está entrando de la cara del talud hacia el macizo, situación que en principio es una condición estable.

La inclinación del talud izquierdo de corte, respecto a la horizontal, fue medido con un clinómetro Abney y dio un valor de 55 º y su altura de 4.6 m. A partir de la corona del talud y hacia atrás se tiene una inclinación del terreno de 41º.

6.4. Susceptibilidad a varios mecanismos de rotura

Con la existencia de las diferentes familias de discontinuidades, es posible que se tenga susceptibilidad a que se creen otros distintos mecanismos de rotura del de volcamiento por flexión (flexural toppling) o de volcamiento de base (direct toppling), ambos que se buscan y se presenta en este artículo.

Un análisis cinemático (kinematic analysis) de este sitio en particular da que se tiene una susceptibilidad a rotura plana del 26 % y una susceptibilidad a rotura de cuñas del 33 %; porcentajes obtenidos tras contar el número de discontinuidades (o pares de ellas) susceptibles a cada fenómeno, dividido por el total de las discontinuidades medidas bajo las premisas del análisis cinemático que se resume en Suarez-Burgoa (2016) basado en Simons et al. (2001).

En lo que concierne al tema de este estudio particular, de la falla por volcamiento a flexión y de volcamiento de base, se ha encontrado que la susceptibilidad a rotura por volcamiento por flexión (flexural toppling) es del 51 % y por volcamiento por falla de base (direct toppling) del 30 %; tal como se muestra en la Fig. 10. Sumando ambas susceptibilidades, es claro que, en el sitio de estudio bajo esas condiciones, las fallas por volcamiento están al borde de límite de aceptabilidad y es la que se debe analizar con mayor rigurosidad.

Análisis cinemático a volcamiento por flexión directa (región A) y volcamiento por rotura de base (regiones B y C) del caso del talud en estudio. Los puntos en blanco corresponden a los polos de los planos de discontinuidades, los negros a sus valores promedio. Si los polos están en las zonas sombreadas presentan susceptibilidad a la falla por volcamiento. Puntos circulares, cuadrados y triangulares corresponden respectivamente al plano de estratificación F1, al plano de diaclasa normal al de estratificación F2 y al plano de diaclasas normales a F1 y F2.

Figura 10: Análisis cinemático a volcamiento por flexión directa (región A) y volcamiento por rotura de base (regiones B y C) del caso del talud en estudio. Los puntos en blanco corresponden a los polos de los planos de discontinuidades, los negros a sus valores promedio. Si los polos están en las zonas sombreadas presentan susceptibilidad a la falla por volcamiento. Puntos circulares, cuadrados y triangulares corresponden respectivamente al plano de estratificación F1, al plano de diaclasa normal al de estratificación F2 y al plano de diaclasas normales a F1 y F2.

Fuente: Los autores.

En la Fig. 10 se muestra la relación de las orientaciones de los polos de los planos de las tres familias de discontinuidades. El área sombreada por delante de la traza que representa el talud, indica que todo polo de discontinuidad que caiga dentro de ella es potencial a generar un modo de falla por volcamiento tipo flexión; mientras que el área sombreada detrás de la traza del talud indica que todo polo general falla por volcamiento por rotura de base (direct toppling); nuevamente recalcando que es un análisis más general donde no se toma en cuenta la resistencia mecánica entre las discontinuidades.

También en campo se apreció evidencias de deformación de los estratos y se midió que la dirección de la flexión de estos (la que produciría el volcamiento por flexión) tiene un acimut de N80E, indicando que la flexión tampoco es paralela a la dirección de buzamiento del plano de corte, que es de S40E.

Por las razones expuestas arriba, se deduce que la actual estabilidad del talud se puede precisar mejor a partir de las condiciones mecánicas del macizo, especialmente de la resistencia mecánica de las paredes de discontinuidades (familias F1 y F2) y de la resistencia mecánica del material rocoso a tracción.

6.5. Factor de seguridad a volcamiento por flexión

Para el caso de la rotura por volcamiento de flexión (flexural toppling) se realizó la verificación del factor de seguridad mediante el método de la viga empotrada, expuesta en Suarez-Burgoa (2016) basado en Amini et al. (2009) y Majdi y Amini (2011).

El factor de seguridad a rotura por volcamiento por flexión por el método de la viga empotrada dio igual a Fs = 18 (valor 10 veces más grande del límite admisible y seguro, Fs = 1.8). Este valor es así de grande, porque la longitud crítica representativa (l rep) que en flexión se produzca rotura fue calculado es de 6.3 m, un valor algunas veces más largo que la altura misma del talud que se analiza, que es de 4.6 m; esto asumiendo una resistencia a tracción de la roca de 0.15 veces la de compresión (aquí asumida a 9 MPa de multiplicar 0.15 por 65 MPa; i.e. UCS promedio de lo hallado en la descripción) y que el espaciamiento entre las estratificaciones es un valor esperado de 0.20 m (promedio de los valores descritos arriba).

El análisis de arriba indica que el talud es estable a volcamiento por flexión (flexural toppling). Mientras que para definir el factor de seguridad a volcamiento por falla en la base (direct toppling), se hace el uso del programa volteoLab.

6.6 Uso de voletoLab para estimar la estabilidad por volcamiento de base

Una expresión cerrada, corta y analítica para determinar el factor de seguridad a rotura por volcamiento de base (direct toppling) no se conoce según la exploración literaria de los autores. Para tener una idea de la seguridad a este mecanismo de falla se hace uso del análisis estático descrito detalladamente en la Sección 2, cuyo procedimiento fue descrito en la Sección 3 y cuya implementación se logró con el programa volteoLab, descrito en la Sección 4; todos en el presente documento.

Sin embargo, el programa no da un valor de factor de seguridad como se está acostumbrado en la mayoría de los análisis de estabilidad de taludes. El presente programa da el valor de una fuerza estabilizante en la pata del talud. De este modo, si la fuerza es mayor a cero, el talud es inestable; mientras que, si la fuerza es menor o al menos igual a cero, entonces el talud es estable. En la medida que la fuerza sea más negativa, el talud es más estable.

Como el presente artículo se dedica al desarrollo del programa volteoLab únicamente, se expone a continuación las variables introducidas al modelo para el caso de este caso real práctico. Además, el macizo rocoso descrito aquí fue apropiado para calibrar y verificar el modelo de volcamiento que está inmerso en el programa volteoLab.

De este modo para el análisis de la rotura por volteo de base, se definió como modelo geométrico de los bloques la agrupación de 43 bloques, de los cuales 17 son estables y 26 tienen alta susceptibilidad de falla al volcamiento; tal como se muestra en la Fig. 11.

Modelo geométrico del caso de estudio con 43 bloques (27 activos más 16 estables).

Figura 11: Modelo geométrico del caso de estudio con 43 bloques (27 activos más 16 estables).

Fuente: Los autores.

Esta discretización del número de bloques fue acorde al espaciamiento de los planos de estratificación de las rocas sedimentarias que se está analizando. En este análisis, el ángulo total de la fricción de todas las discontinuidades, ϕ d y ϕ b, se asumió constante para todas ellas (Vea la Tabla 4), esto con el fin de poder hacer un análisis inverso que se detalla más adelante.

Tabla 4: Variables de ingreso para el modelo matemático para la falla por volcamiento en el caso de 43 bloques.

Variable Valor Variable Valor
H   ( m ) 4.64 β s r ° 45
t   ( m ) 0.4 β g r ° 16
γ ( k N m - 3 ) 25 θ ° 49
β ° 25 θ r ° 24
β b 25 A s 0.4
β s ° 70 A g -0.6
β g ° 41 ϕ d 43.25
β b r ° 0 ϕ b 43.25

Fuente: Los autores.

Todos los valores finalmente usados en la modelación numérica con el programa volteoLab se muestran en la Tabla 4.

Inicialmente, se hizo correr el modelo que está inmerso en el programa volteoLab varias veces bajo el concepto de hacer un análisis inverso (análisis retrospectivo o back analysis), para ver si la condición estable vista en campo se lograba con los parámetros geométricos y mecánicos asumidos en la Tabla 4. Esto posibilitó mejorar los valores de las variables asumidas en la entrada del modelo.

Las variables que se modificaron fueron el ángulo total de la fricción de las discontinuidades ϕ d, familia F1 y del plano de deslizamiento de base ϕ b, familia F2. Todos estos ángulos se asumieron iguales, es decir ϕ d = ϕ b, con el fin de tener que variar solo un valor por cada iteración estimativa.

Tras repetir el proceso diez veces, se obtuvo que los valores de equilibrio para el caso estable en las variables angulares son muy cercanos a los valores que se muestra en la Tabla 4, i.e. ϕ d = ϕ b = 43.25º (redondeado a 43º), tras haber empezado una estimación conservadora de esos ángulos en un valor de 25 º. El proceso del análisis inverso se muestra en la Fig. 12.

Cálculo del ángulo de fricción total en los planos de base y en los planos de pared de los bloques. Se hizo el análisis inverso para tener la condición estable de para P = 0kN.

Figura 12: Cálculo del ángulo de fricción total en los planos de base y en los planos de pared de los bloques. Se hizo el análisis inverso para tener la condición estable de para P = 0kN.

Fuente: Los autores.

El valor ϕ d = ϕ b = 43° fue verificado con el modelo de rotura de Barton y Choubey (1977) y Bandis et al. (1981), Bandis et al., 1981) para un esfuerzo normal igual a UCS, lo que daría que el ángulo total de la discontinuidad es igual al ángulo de fricción básica, la obtenida por las pruebas de Tilt Test y la reportada arriba en un intervalo de 40 º a 42 º.

Adicionalmente, se realizó un conjunto de ensayos de corte directo en los planos de las discontinuidades en la máquina portátil de corte de Hoek, siguiendo lo establecido en la sección 10.7.3 en Suarez-Burgoa (2013) detallado en Erazo-Martínez (2017); donde se obtuvo los pares de valores últimos: esfuerzos normal y tangencial respecto a deformación; para diferentes valores de esfuerzo normal. La Fig. 13 muestra la gráfica esfuerzo cortante y deformación cortante de la muestra Número 4 de la batería de ocho muestras sometidas a corte directo.

Ensayo de corte directo (muestra 4) a esfuerzo normal 17 MPa.

Figura 13: Ensayo de corte directo (muestra 4) a esfuerzo normal 17 MPa.

Con base a todas estas medidas, se estableció que ϕ d = ϕ b = 56° (Erazo-Martínez, 2017); lo cual indica que por estimaciones con base a medias en campo y laboratorio los ángulos de fricción ϕ d = ϕ b son levemente mayores al análisis inverso del modelo volteoLab; una diferencia de 56 º - 43 º = 13 º (i.e. de 30 %). Sin embargo, establece en ambos casos de análisis, que el talud es estable; tanto con las estimaciones del modelo como con las medias de campo y laboratorio.

La simulación definitiva con el uso programa volteoLab del talud sometido a falla por la base (direct toppling) para el ejemplo real de campo arroja que este talud es estable, porque la fuerza de anclaje dio cerca de cero.

Sin embargo, a pesar de que el modelo indica que matemáticamente el talud es estable, es siempre importante analizar otras posibles condiciones que pueden desencadenar una falla por volcamiento, por razones que no ha sido tomadas en cuenta en el modelo. Dos de esas razones son por ejemplo la presión hidráulica entre las discontinuidades (cuando el talud se sature) y la vibración por paso de vehículos o eventos sísmicos.

El modelo que calcula el programa volteoLab no toma en cuenta estos dos aspectos más complicados, pero sí mostró buen acercamiento a la realidad para determinar la estabilidad de los cortes al fenómeno de volcamiento en condiciones drenadas o secas y estáticas.

La secuencia de comandos escritos en un archivo de lotes para hacer funcionar volteoLab para este problema se muestra en el Listado 1, para el último caso, donde se obtuvo la estabilidad (i.e. fuerza P nula).

Listado 1. Comandos para ejecutar el problema de la aplicación práctica (Sección 5) con volteoLab.

7. Conclusiones

Se resume las siguientes conclusiones.

La geomecánica computacional es una herramienta actualmente indispensable para el cálculo de diferentes fenómenos geotécnicos debido al rápido y eficiente procesamiento cuando se refiere a gran cantidad de datos insertados y de rutinas de iteración, facilitando la concentración por parte del analista en la dependencia de cada una de las variables en el resultado final y en la proposición del tratamiento para dar su respectiva solución.

Es posible en la actualidad crear herramientas computacionales a partir de publicaciones técnicas revisada por pares con el fin de crear soluciones particulares, tal como se hizo en este caso con el programa volteoLab.

La forma de mostrar el procedimiento de cálculos complejos es a través de posibilitar al lector el código de forma abierta, tal como el caso del programa volteoLab.

Respecto a los taludes de análisis con problemas de rotura por volcamiento, se tiene el volcamiento por flexión y el de volcamiento con falla de base (direct toppling). El programa volteoLab analiza el caso de volcamiento por falla de base. Se evidencio a lo largo de este artículo, que el modelo asumido en el programa volteoLab es útil para establecer las variables preponderantes en la estabilidad mecánica de los taludes que previamente muestran inestabilidad en un análisis cinemático; i.e. las variables geométricas y de resistencia mecánica totales (no toma en cuenta presiones hidráulicas ni fuerzas dinámicas o vibratorias).

Para el caso de análisis del talud de la vía Quibdó-Medellín en el tramo de Quibdó a La Mansa, se observa que la calibración del modelo que está inmerso en el programa volteoLab es exitosa ya que muestra en primera instancia que este talud es estable y segundo que la estabilidad se debe a la fricción que existe en las paredes de las discontinuidades, tanto en las discontinuidades de base como las de pared. Analizando el mismo problema mediante un análisis cinemático (que es un análisis común en la práctica actual) se observa nuevamente que la susceptibilidad de la falla por volcamiento, en este caso, está controlada por la resistencia mecánica de las discontinuidades, ya que la orientación espacial de los planos de discontinuidades respecto al plano de corte predispone a una falla por volcamiento de base (direct toppling).

El análisis de falla por volcamiento de bloques de roca en dos dimensiones con el modelo del programa volteoLab es un punto de partida para seguir implementando soluciones computacionales de este fenómeno. Sin bien el programa volteoLab no es amigable con el usuario inexperto, ya que no tiene una interfaz gráfica, porque es una librería de funciones procedimentales, este programa podrá ser el punto de partida para que el usuario entendido en el fenómeno de caída de bloques y entendido en la programación computacional pueda obtener mejores conceptos para tomar decisiones sobre la estabilidad de un talud bajo este tipo de falla.

Debido a que el programa volteoLab tiene su código fuente bajo la licencia libre y código abierto, es posible que desde un estudiante hasta un profesional en geotecnia y con conocimientos computacionales, pueda leer, estudiar, entender, modificar y mejorar el código de acuerdo a sus necesidades. El código en sí, no es apto para aplicaciones industriales, pero sí una buena alternativa para su uso en la academia. Este mismo programa, puede ser un punto de partida para que pueda pasar a un desarrollo comercial, si existe la suficiente demanda de análisis de este fenómeno en las vías en construcción o ampliación en el territorio colombiano.

Acknowledgements

8. Agradecimientos

Los autores agradecen a la Universidad Nacional de Colombia, sede Medellín, por destinar de tiempo y recursos para el desarrollo de esta herramienta.

Referencias

  1. American Society of Testing of Materials, (2015). ASTM C127-15, standard test method for relative density (specific gravity) and absorption of coarse aggregate. Annual Book of ASTM standards, Technical Report, PA: ASTM International, West Conshohocken. 🠔
  2. Amini, M., A. Majdi and Ö. Aydan, (2009). Stability analysis and the stabilization of flexural toppling failure. Rock Mechanics and Rock Engineering, 42: 751-782. 🠔
  3. Bandis, S.C., A.C. Lumsden and N.R. Barton, (1981). Experimental studies of scale effects on the shear behaviour of rock joints. International Journal of Rock Mechanics and Mining Sciences Geomechanics Abstracts, 18: 1-21. DOI: https://doi.org/10.1016/0148-9062(81)90262-X [URL] 🠔
  4. Barton, N., (1982). Shear strength investigations for surface mining. Proceedings of the 3rd International Conference on Surface Mining, Vancouver: 171-196. 🠔
  5. Barton, N.R., and Choubey, V., (1977). The shear strength of rock in theory and practice. Rock Mechanics, 10: 1-54. Doi: https://doi.org/10.1007/BF01261801 [URL] 🠔
  6. Calle, B., R. Salinas, H. Castro, H. Caballero, M. Mejía, C. Rodríguez, J. Durango, M. Calderón, A. Arias, E. Álvarez, E. Parra, y O. Ramírez, (1984). Geología de la plancha 165 - Carmen de Atrato. Escala 1:100.000. INGEOMINAS 🠔
  7. Coggan, J., D. Stead, and J. Eyre, (1998). Evaluation of techniques for quarry slope stability assessment. Transactions of the Institution of Mining and Metallurgy. Section B. Applied Earth Science 107. DOI: https://doi.org/10.4236/ce.2012.326136 [URL] 🠔
  8. Erazo-Martínez, L.A., (2017). Modelación de la falla por volcamiento en climas tropicales en Carreteras de Montaña. Universidad Nacional de Colombia, Medellín, Colombia. MSc. Trabajo de grado de Maestro en Ingeniería Geotécnica. [en línea]. Disponible en: https://repositorio.unal.edu.co/handle/unal/58366 [URL] 🠔
  9. Goodman, R.E. and Bray, J.W., (1976). Toppling of rock slopes. Proceedings of the Specialty Conference on Rock Engineering for Foundations and Slopes, Boulder Colorado (Aug): 201-234. 🠔
  10. Hoek, E. and Bray, J.W., (1977). Rock slope engineering (revised 2nd Ed.). London: The Institution of Mining and Metallurgy. 🠔
  11. Liu, C.H., Jaksa, M.B and Meyers, A.G., (2009). A transfer coefficient method for rock slope toppling. Canadian Geotechnical Journal, 46: 1-9. DOI: https://doi.org/10.1139/T08-094 [URL] 🠔
  12. Majdi, A. andAmini, M ., (2011). Flexural toppling failure in rock slopes: from theory to applications. International Journal of Mining and Geo-Engineering, 46 (1): 21-32. DOI: https://doi.org/10.22059/IJMGE.2011.30513 [URL] 🠔
  13. Simons, N., B. Menzies and M. Matthews, (2001). A short course: soil and rock slope engineering. London: Thomas Telford. 🠔
  14. Suarez-Burgoa, L.O., (2013). Descripción del macizo rocoso: introducción a la ingeniería de rocas de superficie y subterránea. Medellín. 🠔
  15. Suárez-Burgoa, L.O., (2016). Análisis de estabilidad de taludes: con aplicaciones en Matlab. Medellín 🠔
  16. Tse, R. and D.M. Cruden, (1979). Estimating joint roughness coefficients. International Journal of Rock Mechanics Mining Sciences, 16(5): 303-307. DOI: https://doi.org/10.1016/0148-9062(79)90241-9 [URL] 🠔
  17. Ulusay, R. and J.A. Hudson, (2007). The complete ISRM suggested methods for rock characterization testing and monitoring: 1974-2006. Ankara, Turkey: ISRM Turkish National Group. 🠔
Erazo-Martínez, L.A y L.O., Suárez-Burgoa (2022). volteoLab: programa computacional para la modelación de inestabilidad por volcamiento en cortes de talud en carreteras. BOLETÍN DE CIENCIAS DE LA TIERRA. 51, pp. 9-22. DOI: https://doi.org/10.15446/rbct.n51.96150
es MSc en Geotecnia de la Universidad Nacional de Colombia, Especialización en Vías y Transporte de la Universidad Nacional de Colombia y graduado como Ing. Civil de la Universidad Nacional de Colombia (UNAL). Es profesor Hora Cátedra del Departamento de Ingeniería Civil de la Facultad de Ingeniería de la Universidad de Nariño en San Juan de Pasto, Colombia. Ha desarrollado actividades dentro de la consultoría en Ingeniería Geotécnica en Colombia alrededor de nueve años, enfocándose en áreas tales como la mecánica de rocas, mecánica de suelos. Ha desarrollado códigos computacionales en el lenguaje en Matlab 11 (Octave 4.X), en aplicaciones de la geotecnia aplicada como lo son la falla por volcamiento en taludes en roca, de la cual se deriva el software volteoLab. Actualmente es miembro del semillero de investigación en geología matemática (http://geomecanica.org/), parte del grupo de investigación de geotecnia del Departamento de Ingeniería Civil de la Facultad de Minas, Universidad Nacional de Colombia, sede Medellín. ORCID: 0000-0002-9426-081X
es PhD en Geotecnia de la Universidad de Brasilia (UnB) en Brasil, MSc. en Ingeniería Geotécnica de la Universidad Nacional de Colombia (UNAL) y graduado como Ingeniero Civil de la Universidad Mayor de San Andrés de Bolivia (UMSA). Es profesor asociado del Departamento de Ingeniería Civil de la Facultad de Minas de la UNAL en Medellín, Colombia. Desarrolló actividades como consultor e investigador por más de quince años en el campo de la geotecnia civil y minera en Bolivia, Chile, Brasil y Colombia, con énfasis en la mecánica de rocas. Actualmente es desarrollador de códigos computacionales en lenguajes intérpretes, tales como Matlab 11 (Octave 4.X) y Python3.X, en temas relacionados a la geología aplicada y geotecnia; habiendo producido herramientas como: jelinekstat, BuzyPlus, pyCSS, volteoLab, GeonetDigitizer, SVG-stereographicPlot, pyBimStab, discontClust, entre otros. Es director del semillero de investigación en geología matemática (http://geomecanica.org/), parte del grupo de investigación de geotecnia del Departamento de Ingeniería Civil de la Facultad de Minas, Universidad Nacional de Colombia, sede Medellín; ORCID: 0000 0002 9760 0277.

Anexos

1. Validación

Como parte de validación del programa volteoLab se realizaron dos pruebas con ejemplos en la literatura. El primer ejemplo es el caso del Ejemplo 1 (Cap. 10, pag. 267) del libro Rock Slope Engineering (Hoek y Bray, 1977); el segundo, el Ejemplo 1 descrito en A Transfer Coefficient Method for rock Slope Toppling (Liu et al., 2009) (Fig. 6). Detalles sobre esta validación puede ver en la Sección 5 de este artículo, bajo el título Validaciones Teóricas.

Como resultado se observó que las variables obtenidas con el programa volteoLab difieren en una pequeña proporción menor al 1 % con los resultados de los problemas de validación.

2. Alojamiento y desarrollo del código

El desarrollo y administración del presente código está alojado en la plataforma para el hospedaje de códigos, que permite la colaboración y control de versiones, denominada GitHub, dirección https://github.com/losuarezburgoa/volteoLab/ .

Allí podrá obtener un archivo comprimido ZIP que contiene el programa volteoLab y el respectivo manual del usuario. A través de este sitio se hace las respectivas descargas, aportes y peticiones de participación en el proyecto.

3. Licencia

Los autores son miembros del Semillero de Geología Matemática y Computacional parte del Grupo de Investigación en Geotecnia de la Facultad de Minas de la Universidad Nacional de Colombia en Medellín.

Copyright © 2016-2021 y en adelante, Luis Alejandro Erazo-Martínez, Ludger O. Suárez-Burgoa y Universidad Nacional de Colombia.

Este código abierto es software libre: usted puede redistribuirlo y/o modificarlo bajo los términos de la Licencia BSD, ya sea la versión 2 de dicha Licencia, o (a su elección) cualquier versión posterior. Usted encontrará una copia de la Licencia BSD-2 en los archivos del código, consulte detalles en https://opensource.org/licenses/BSD-2-Clause

4. Descargo de responsabilidades

El presente código computacional se distribuye con la esperanza de que sea útil para los fines académicos, pero sin ninguna garantía; sin la garantía implícita en su comercialización o idoneidad para un propósito particular.