Revista Colombiana de Ciencias Químico - Farmacéuticas
0034-7418
Departamento de Farmácia, Facultad de Ciencias, Universidade Nacional da Colombia
https://doi.org/10.15446/rcciquifa.v46n2.67955

Recibido: 20 de julio de 2016; Aceptado: 2 de agosto de 2017

A avaliação mecanística teórica da utilização de oxihidróxido de cobalto (III) em sensores eletroquímicos de tramadol

The mechanistic theoretical evaluation of the use of cobalt (III) oxyhydroxide in electrochemical sensors of tramadol

V. Tkach, *12Y. Ivanushko, 1S. de Oliveira, 2R. Ojani, 3P. Yagodynets', 1

Universidade Nacional de Chernivtsi, 58012, Rua de Kotsyubyns'ky, 2, Chernivtsi, Ucrânia. Universidade Nacional de Chernivtsi Chernivtsi Ucrânia
Universidade Federal de Mato Grosso do Sul, Av. Sen. Felinto. Müller, 1555, C/P. 549, 79074460, Campo Grande, MS, Brasil. Universidade Federal de Mato Grosso do Sul Universidade Federal de Mato Grosso do Sul Campo Grande MS Brazil
Universidade de Mazandarã, 47416-95447, 3o km. da Rodovia de Forças Aéreas Iranianas, Babolsar, República Islâmica do Irã. Universidade de Mazandarã Babolsar República Islâmica do Irã

Correio eletrônico: nightwatcher2401@gmail.com

RESUMO

A possibilidade da detecção eletroquímica de tramadol in vivo e in vitro por meio do sensor, baseado em oxihidróxido de cobalto trivalente e no seu compósito com polímeros condutores, foi avaliada do ponto de vista mecanístico. O modelo matemático, correspondente ao mecanismo de oxidação sugerido, foi desenvolvido e analisado, mediante a teoria de estabilidade linear e da análise de bifurcações. Foi detectado que CoO(OH) pode aplicar-se na detecção eletroquímica de tramadol nos valores de pH neutros e levemente alcalinos, correspondentes à oxidação mais eficiente do composto. A possibilidade da aparição de instabilidades oscilatória e monotônica também foi verificada.

Palavras-chave:

envolvimento com drogas, tramadol, sensores eletroquímicos, oxihidróxido de cobalto, estado estacionário estável.

SUMMARY

The possibility of tramadol in vivo and in vitro electrochemical determination by means of the sensor, based on cobalt (III) oxyhydroxide and its composite with conducting polymers was evaluated from the mechanistic point of view. The mathematical model, correspondent to the suggested mechanism, was developed and analyzed by means of linear stability theory and bifurcation analysis. It was shown that CoO(OH) may be applied to the tramadol electrochemical determination in neutral and lightly alkaline pH values, correspondent to the more efficient oxidation of the compound. The possibility of oscillatory and monotonic instabilities has also been modified.

Keywords:

Drug dependence, tramadol, electrochemical sensors, cobalt oxyhydroxide, stable steady-state.

INTRODUÇÃO

O envolvimento de jovens com drogas é um problema não só de pais e familiares deles, mas também da sociedade inteira 1-5. É um fenômeno bastante antigo na história da humanidade e constitui um grave problema de saúde pública, com sérias consequências pessoais e sociais, levando ao aumento de criminalidade juvenil, de casos da insanidade mental e até de mutações genéticas em filhos dos jovens envolvidos em consumo de drogas 6,7. Outro problema que sobressai é o combate ao seu tráfico 8-10. Ambos os problemas são especialmente atuais nos países em desenvolvimento.

Por outro lado, o tramadol (rac-(1R,2R)-2-(didimetilaminometil)-1-(3-metoxifenilo)-ciclohexanol - CAS: 27203-92-5) é um analgésico muito forte (pertencendo à classe de opioides) e tem ação muito rápida 11-16. No entanto, o seu quadro de desempenho apresenta múltiplos efeitos colaterais 17. No caso de uso excessivo, ou acompanhado pelo uso de várias outras substâncias, pode causar dependência e até levar à morte. Em alguns países como a Espanha 18, Ucrânia, 19, Bielorússia 20, Austrália 21 e alguns dos Estados Unidos 22, tramadol é considerado uma substância, passível de uso médico, mas cuja venda não licenciada e não controlada é qualificada como tráfico de drogas (sendo a Ucrânia o primeiro país no mundo a reconhecer tramadol como droga). No Brasil, a venda de tramadol é permitida somente com retenção da receita, em quantidades não superiores a 100 mg por unidade posológica 23. Outrossim, é planejada a inclusão da substância na lista de doping 24. Destarte, o desenvolvimento de métodos precisos e exatos da quantiicação de tramadol é muito importante tanto para fins de controle de tratamento, como para fins de perícia policial, ou desportiva 25-28, e o uso de métodos eletroquímicos, envolvendo elétrodos quimicamente modicados, já usados para vários compostos biologicamente ativos 29-35, é uma possibilidade da sua solução.

Um dos materiais modificadores, que pode ser capaz de auxiliar a eletrooxidação de tramadol é o oxihidróxido de cobalto trivalente CoO(OH), um semicondutor do tipo p, visto por alguns pesquisadores 36-40 como alternativa ao dióxido de titânio nos sistemas de foto e fotoeletrocatálise. O estudo das suas propriedades eletroanalíticas começou recentemente 41,42, mas já foi mostrado, experimental e teoricamente 43-46, que o CoO(OH) pode ser ótimo mediador de oxidação de compostos orgânicos em meios neutro e levemente alcalino. Um estudo com tramadol 47 mostrou que o valor do pH, em que a sua eletrooxidação é mais eficiente, é de 9,2. Destarte, é possível afirmar que, em princípio, CoO(OH) pode auxiliar a oxidação de tramadol, já que este valor de pH está dentro da faixa do seu melhor desempenho.

No entanto, já foi detectado que os processos, envolvendo a eletrossíntese de CoO(OH), podem ser acompanhados por instabilidades eletroquímicas 48,49, cuja presença pode alterar muito o sinal analítico. As suas causas mais prováveis só podem ser detectadas mediante o desenvolvimento de um modelo matemático, capaz de descrever adequadamente os processos neste sistema.

Assim, o objetivo geral deste trabalho é a avaliação mecanística da possibilidade de o CoO(OH) ser modificador do elétrodo para auxiliar a oxidação do tramadol. A realização deste objetivo requer o alcance dos objetivos específicos:

  • - A sugestão do mecanismo da reação, incluindo o desempenho de CoO(OH) no processo;

  • - O desenvolvimento de modelo, na base deste mecanismo;

  • - Análise de estabilidade do estado estacionário neste sistema (na base do modelo);

  • - Verificação da possibilidade das instabilidades eletroquímicas nele;

  • - Comparação do seu comportamento com o dos sistemas semelhantes 41-46.

O SISTEMA E O SEU MODELO

O conhecimento dos aspectos experimentais da eletrooxidação de tramadol 47 e do desempenho de oxihidróxido de cobalto (III) 41,42 deixa sugerir, teoricamente, o mecanismo da oxidação de tramadol sobre CoO(OH) como:

CoO(OH) é regenerado, em meio básico, conforme a reação:

e em meio neutro, conforme:

Haja vista a saída dos prótons 47, o meio levemente alcalino é mais favorável à eletrooxidação de tramadol. Por outro lado, o pH muito alto (superior a 11-12) pode levar à oxidação direta do tramadol pela hidroxila, à hidrólise do grupo metoxi, e pela dissolução de CoO(OH) conforme:

Destarte, o valor do pH de 9,2 é considerado ótimo para a eletrooxidação e será considerado no modelo. Diante do acima exposto, considerar-se-ão, para efeitos de modelagem, apenas as reações (1) e (2), e, para descrever o comportamento do sistema, introduzir-se-ão as três variáveis:

c - a concentração de tramadol na camada pré-superficial;

θ - o grau de recobrimento da superfície pelo oxi-hidróxido de cobalto;

α - a concentração do álcali na camada pré-superficial.

Para simplificar a modelagem, supomos que o reator esteja agitando-se intensamente (para menosprezar o fluxo de convecção), que o eletrólito de suporte esteja em excesso (para menosprezar o fluxo de migração). Também é suposto que a distribuição concentracional na camada pré-superficial seja lineal, e a sua espessura, constante, igual a δ.

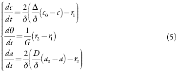
Dada a ausência, do ponto de vista cinético, das reações laterais da base no valor do pH escolhido, o conjunto de equações de balanço ver-se-á mais fácil que nos casos semelhantes 43-46, e descrever-se-á como:

em que D e Δ são coeficientes de difusão da droga e do álcali correspondentemente, r1 e r 2 são velocidades das reações (1) e (2), que podem calcular-se como:

c 0 e α 0 são concentrações da droga e do álcali no interior da solução, G é a concentração máxima do CoO(OH) na superfície do ânodo, os parâmetros k são constantes das respectivas reações, F é o número de Faraday, φ 0 é o salto do potencial, correspondente ao potencial da carga zero, R é a constante universal de gases e T é temperatura absoluta. O salto do potencial depende de θ conforme a relação φ 0 = Υ θ.

É possível ver que a aparência do conjunto de equações se deu semelhante à característica para sensores, baseados em polímeros condutores 50-56. Isso pode levar à pressuposição de que a aparição das instabilidades eletroquímicas nele seja menos provável que nos semelhantes 43-46, aproximando-se da observada no caso dos polímeros condutores. A análise do modelo e a sua interpretação discutir-se-ão abaixo.

RESULTADOS E DISCUSSÃO

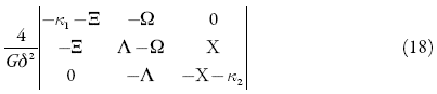
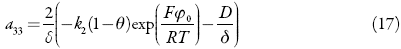
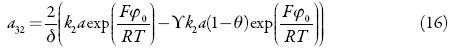
Para investigar o comportamento do sistema da eletrooxidação de tramadol, auxiliada por oxihidróxido de cobalto, analisamos o conjunto de equações (5), mediante a teoria de estabilidade linear. A matriz funcional de Jacobi, cujos elementos são calculados para o estado estacionário, ver-se-á como:

Em que:

Observando atentamente as expressões (9), (13) e (17), vê-se que o comportamento oscilatório neste sistema é possível, já que existem elementos positivos (referentes à positiva conexão de retorno) na diagonal principal da matriz. Sem embargo, contrariamente aos sistemas semelhantes 43-46, neste, não há oscilações, vinculadas à instabilidade superficial, e o comportamento do sistema se aproxima do observado nos casos da presença dos polímeros condutores 50-56. Como neles, neste sistema o comportamento oscilatório pode ser causado apenas pelas influências do processo eletroquímico nas capacitâncias da dupla camada elétrica. Nenhuma instabilidade superficial, característica para outros sistemas envolvendo o oxihidróxido de cobalto trivalente, é observada, dada a ausência de reações laterais que levam à dissolução do composto de cobalto.

Analisando o conjunto de equações diferenciais (5), com a aplicação do critério de Routh-Hurwitz, obtemos o requisito de estabilidade do estado estacionário. Para simplificar os cálculos, evitando as expressões grandes, introduzimos as novas variáveis, de modo que o determinante de jacobiano se descreva como:

Abrindo os parênteses em (18) e aplicando a inequação Det J < 0, saliente do critério de estabilidade do estado estacionário, obtemos a condição desta, expressa sob a forma:

Garantida-mente satisfeita no caso da negatividade do parâmetro A, que descreve a eletrooxidação de CoO a CoO(OH). A negatividade deste parâmetro define a ausência das influências fortes do processo eletroquímico sobre a DCE, ou o impacto insuficiente destas para superar o efeito estabilizador do decrescimento da área não coberta por CoO(OH). Como há menos fatores capazes de desestabilizar o estado estacionário neste sistema que nos semelhantes 43-46, dá para afirmar que neste caso a região topológica de estabilidade do estado estacionário será mais vasta. O estado estacionário formar-se-á de forma rápida, e, como ele é correspondente à dependência linear entre o parâmetro eletroquímico e a concentraçao do composto, é possível afirmar que o sinal analítico será bem interpretado. Disso, dá para fazer a conclusão de que CoO(OH) pode ser compatível com a eletroanálise de tramadol in vitro (inclusive na perícia) e, limitadamente, in vivo. Reação será controlada pela difusão, já que dos mencionados é um processo mais devagar e uma vez que os seus parâmetros k 1 e k 2 estão presentes em quase todos os elementos da inequação. A influência difusional neste caso também é mais forte que nos sistemas semelhantes 43-46.

No caso da igualdade das influências desestabilizadoras na DCE às estabilizadoras, forma-se a instabilidade monotônica. Para obter a sua condição, transformamos a inequação 19a em equação (haja vista a condição Det J = 0), e resolvemo-la relativamente ao parâmetro da eletrossíntese de CoO(OH) Λ.

Disso, a igualdade de influências descrever-se-á como:

Este valor marginal é correspondente ao limite de detecção. Nesta margem, existe a multiplicidade de estados estacionários, cada um instável, pois se destrói, após a mudança das condições da síntese.

No caso da presença das substâncias interferentes, também capazes de oxidar-se sobre CoO(OH), os picos, referentes às suas oxidações podem facilmente ser discriminados do correspondente à presença de tramadol, haja vista as propriedades mediadoras deste material desiguais em relação a eles.

No caso da presença das substâncias interferentes, que entram em reação com o analito e com o CoO(OH), o sistema aproximar-se-á aos semelhantes, descritos em 43-46.

A aplicabilidade deste modelo também se estende aos sistemas com polímeros condutores, cuja reversibilidade se alcança com a presença de uma substância adicional.

CONCLUSÕES

A análise teórica da possibilidade de uso de CoO(OH) na detecção eletroquímica de tramadol deixou concluir que:

  • - CoO(OH), haja vista a estabilidade do material e capacidade de oxidar o tramadol, pode ser usado na eletrooxidação deste. A estabilidade do estado estacionário mantém-se numa ampla região topológica de parâmetros, o que significa que a resposta do sensor é fácil de interpretar;

  • - Contrariamente aos sistemas semelhantes, envolvendo CoO(OH), a estabilidade do estado estacionário só pode ser comprometida pelas influências eletroquímicas. Nenhuma instabilidade supericial, característica para outros sistemas com a dissolução, é possível. A reação será controlada pela difusão.

  • - O comportamento oscilatório neste sistema é menos provável que nos outros casos de uso de CoO(OH), aproximando-se a probabilidade à do caso do uso dos polímeros condutores, sendo-lhe a causa apenas as influências eletroquímicas das capacitâncias da dupla camada elétrica.

REFERÊNCIAS

  1. 1. M. de Brito-Santos, C.L.N. do Amaral-Costa, O uso de drogas na adolesccência, Cad. Grad. Ciên. Hum. Soc, 1, 143 (2013). 🠔
  2. 2. URL: URL: http://www.bbc.com/ukrainian/health/2013/07/130729_un_ukraine_drags_aids_az - acesso aos 19 de julho de 2016. [URL] 🠔
  3. 3. I.O. Roshchyna, O vício de drogas: estado atual e meios do combate (um paradigma moderno), Visn. Krym. Sudoch ., 2, 175 (2015) (publicado em ucraniano). 🠔
  4. 4. URL: URL: http://www.cdc.gov/nchs/fastats/drug-use-illegal.htm , acesso aos 19 de julho de 2016. [URL] 🠔
  5. 5. A. Camacho, A. Gaviria, C. Rodríguez, "El consumo de droga en Colombia", Universidad de los Andes, ISSN: 1657-7191, URL: https://economia.uniandes.edu.co/components/com_booklibrary/ebooks/dcede2010-22.pdf. [URL] 🠔
  6. 6. A.J. de Almeida-Filho, M. de Assunção Ferreira, M. da Luz Barbosa Gomes et al ., O adolescente e as drogas: conseqüências para a saúde, Esc. Anna Nery. Rev. Enf ., 11, 605 (2007). 🠔
  7. 7. A.S. Reece, G.K. Hulse, Chromothripsis and epigenomics complete causality criteria for cannabis- and addiction-connected carcinogenicity, congenital toxicity and heritable genotoxicity, Mut. Res. Fund. Mol. Mech. Mutagenesis, 789, 15 (2016). 🠔
  8. 8. URL: URL: http://obid.senad.gov.br/obid/dados-informacoes-sobre-drogas/pesquisa-e-estatisticas - acesso aos 19 de julho de 2016. [URL] 🠔
  9. 9. URL: URL: http://www.cn.npu.gov.ua/uk/publish/article/81683 , acesso aos 19 de julho de 2016. [URL] 🠔
  10. 10. URL: URL: http://outremers360.com/societe/traic-de-drogue-prise-record-pour-lesdouaniers-guyanais/ , acesso aos 19 de julho de 2016. [URL] 🠔
  11. 11. R.B. Raffa, D.J. Stone, Unexceptional seizure potential of tramadol or its enantiomers or metabolites in mice, J. Pharm. Exp. Ther ., 325, 500 (2008). 🠔
  12. 12. K.S. Lewis, N.H. Han, Tramadol: A new centrally acting analgesic, Amer. J. Health. Sys. Pharm, 15, 643 (1997). 🠔
  13. 13. T.J. Schnitzer, W.L. Gray, R.Z. Paster, M. Kamin, Efficacy of tramadol in treatment of chronic low back pain, J. Rheumat ., 271, 772 (2000). 🠔
  14. 14. M. van der Laar, J.V. Pergolizzi, H.-U. Melinghoff et al. Pain treatment in arthritis-related pain: Beyond NSAIDs, Open Rheumat. J ., 6, 320 (2012). 🠔
  15. 15. S. Grond, A. Sablotzki, Clinical pharmacology of tramadol, Clin. Pharmacokinet, 43, 879 (2004). 🠔
  16. 16. C.R. Lee, D. McTavish, E.M. Sorkin, Tramadol. A preliminary review of its pharmacodynamic and pharmacokinetic properties, and therapeutic potential in acute and chronic pain states, Drugs, 46, 313 (1993). 🠔
  17. 17. P.C. Langley, A.D. Patkar, K.A. Bosswell et al, Adverse event profile of tramadol in recent clinical studies of chronic osteoarthritis pain, Curr. Med. Res. Op ., 26, 239 (2010). 🠔
  18. 18. URL: URL: https://www.drugs.com/mtm_esp/tramadol.html , acesso aos 19 de julho de 2016. [URL] 🠔
  19. 19. URL: URL: http://zakon3.rada.gov.ua/laws/show/z0512-00 , acesso aos 19 de julho de 2016. [URL] 🠔
  20. 20. URL: URL: http://www.medseek.by/belarus/189-belarus-vnesla-tramadol-v-spisok-narkotikov.html , acesso aos 19 de julho de 2016. [URL] 🠔
  21. 21. S. Rossi (editor), "Australian Medicines Handbook" (2013 ed.), The Australian Medicines Handbook Unit Trust, Adelaide (ISBN 978-0-9805790-9-3), 2013. 🠔
  22. 22. URL: URL: http://www.nabp.net/news/tennessee-news-tramadol-and-carisoprodol-now-classified-schedule-iv , acesso aos 19 de julho de 2016. [URL] 🠔
  23. 23. URL: URL: http://www.crfce.org.br/novo/images/Orientacoes-para-Dispensacao-de-Mededicamentos-Controlados-2015_23062015.pdf , acesso aos 19 de julho de 2016. [URL] 🠔
  24. 24. URL: URL: https://www.wada-ama.org/en/resources/research/tramadol-and-sport-effects-on-physical-and-sustained-attention-performance-during , acesso aos 19 de julho de 2016. [URL] 🠔
  25. 25. B. Yilmaz, A.F. Erdem, J. Simultaneous determination of tramadol and its metabolite in human urine by the gas chromatography-mass spectrometry method, Chromatogr. Sci ., 53, 1037 (2015). 🠔
  26. 26. S. Manish, V. Vivek, A new RP-HPLC method development and validation for the simultaneous estimation of ketorolac tromethamine and tramadol hydrochloride in pharmaceutical dosage forms, J. Drug. Del. Ther, 4, 63 (2014). 🠔
  27. 27. E.M. Garrido, J.M. Garrido, F. Borges, C. Delerue-Matos, Development of electrochemical methods for determination of tramadol-analytical application to pharmaceutical dosage forms, J. Pharm. Biomed. Anal, 32, 985 (2003). 🠔
  28. 28. A.A. Hathoot, M.E. Fahmy, M.A. Azzem, Electrooxidation and determination of tramadol in the presence of dopamine at poly 1,8-diaminonaphthalene derivative modified platinum electrode, Int. J. Chem. Mat. Sci, 1, 45 (2013). 🠔
  29. 29. M. Lin, A dopamine electrochemical sensor based on gold nanoparticles/overoxidized polypyrrole nanotube composite arrays, RSC Adv ., 5, 9848 (2015). 🠔
  30. 30. C.C. Vishwanath, B. Kumara Swamy, Electrochemical studies of paracetamol at poly (aniline blue) modified carbon paste electrode: A voltammetric study, Anal. Bioanal. Electrochem ., 6, 573 (2014). 🠔
  31. 31. H. Beitollahi, H. Karimi-Maleh, I. Sheikhoae, Simultaneous voltammetric determination of ascorbic acid and uric acid using a modiied multiwalled carbon nanotube paste electrode, Casp. J. Chem ., 1, 17 (2012). 🠔
  32. 32. L.H. de Oliveira, A.C. Dias Souza, L. Pizzuti et al ., Determinação voltamétrica do antioxidante galato de propila em biodiesel empregando eletrodos de pasta de carbono modificados com líquido iônico, Orbital. Elec. J. Chem, 6, 255 (2014). 🠔
  33. 33. J.B. Raoof, A. Kiani, R. Ojani, R. Valliolahi, Electrochemical determination of dopamine using banana-MWCNTs modified carbon paste electrode, Anal. Bioanal. Electrochem, 3, 59 (2011). 🠔
  34. 34. T. Khajvand, R. Ojani, J.B. Raoof, Tetrachloro ortho benzoquinone as catalyst for electrocatalytic oxidation of sulfite in acidic media and its analytical application, Anal. Bioanal. Electrochem ., 6, 501 (2014). 🠔
  35. 35. S.Z. Mohammadi, H. Beitollahi, E.B. Asadi, Electrochemical determination of hydrazine using a ZrO2 nanoparticles-modified carbon paste electrode, Environm. Monit. Assess ., 187, 121 (2015). 🠔
  36. 36. J. Yang, H. Liu, W.N. Martens, R.L. Frost, Synthesis and characterization of cobalt hydroxide, cobalt oxyhydroxide, and cobalt oxide nanodiscs, J. Phys. Chem. C, 114, 111 (2010). 🠔
  37. 37. J.W. Wang, Yi Ming-Kuo, Hierarchically porous cobalt oxyhydroxide derived from Morpho-butterfly wings: Preparation, characterization, and carbon monoxide detection at low temperatures, Phys. Stat. Sol ., 210, 494 (2013). 🠔
  38. 38. A.D. Jagadale, D.P. Dubal, C.D. Lokhande, Electrochemical behavior of potentiodynamically deposited cobalt oxyhydroxide (CoOOH) thin films for supercapacitor application, Mat. Res. Bull ., 47, 672 (2012). 🠔
  39. 39. Y. Cen, Y. Yang, R.Q. Yu et al ., A cobalt oxyhydroxide nanoflake-based nanoprobe for the sensitive fluorescence detection of T4 polynucleotide kinase activity and inhibition, Nanoscale, 15, 8202 (2016). 🠔
  40. 40. Y. Yang, Y. Cen, W. Deng et al ., An aptasensor based on cobalt oxyhydroxide nanosheets for the detection of thrombin, Anal. Meth 8, 7199 (2016). 🠔
  41. 41. A. Stadnik, E.M. Caldas, A. Galli, F.J. Anaissi, Eletrodo modificado com [CoO(OH)] coloidal aplicado na detecção de ácido oxálico, Orbital. Elec. J. Chem ., 7, 122 (2015). 🠔
  42. 42. J.S. Bonini, F.Q. Mariani, E. Guimarães-Castro et al ., Partículas de CoO(OH) dispersas em pasta de carbono aplicado na eletrooxidação de compostos fenólicos, Orbital Elec. J. Chem ., 7, 318 (2015). 🠔
  43. 43. V. Tkach, S.C. de Oliveira, G. Maia et al ., The mathematical investigation for the mechanism of the electrochemical oxidation of phenolic compounds over CoO(OH) in alkaline solution, Mor. J. Chem ., 4, 157 (2016). 🠔
  44. 44. V. Tkach, S.C. de Oliveira, F.J. Anaissi et al ., The mechanism of electroanalytical function of CoO(OH) in the oxalic acid electrochemical determination and its mathematical representation, Anal. Bioanal. Electrochem ., 8, 1 (2016). 🠔
  45. 45. V. Tkach, S.C. de Oliveira, G. Maia et al. The mechanism for the electrooxidation of procarbazine pharmaceutical preparation in alkaline media and its mathematical description, Chim. Techn. Acta, 3, 30 (2016). 🠔
  46. 46. V. Tkach, S.C. de Oliveira, S.C.B. de Oliveira et al. The electrochemical oxidation of procarbazine on cobalt(III)oxyhydroxide and its mathematical evaluation, Anal. Bioanal. Electrochem ., 8, 432 (2016). 🠔
  47. 47. D. Patil, N.M. Gokavi, A.M. Bagoji, S.T. Nandibewoor, Electrochemical characterization and determination of tramadol drug using graphite pencil electrode, Anal. Bioanal. Electrochem ., 8, 78 (2016). 🠔
  48. 48. O. Stadnik, N. Ivanova, Y. Boldyrev, 218th Int. Electrochem. Soc. Meeting. Abstract # 2240, URL: Abstract # 2240, URL: http://ma.ecsdl.org/content/MA2010-02/38/2240.full.pdf , acesso aos 08 de agosto de 2015. [URL] 🠔
  49. 49. O. Stadnik, Synthesis, electrochemical and photoelectrochemical properties of the oxide-hydroxide compounds of cobalt, Diss. Kand. Chim. N. - Kyiv., 2011. 🠔
  50. 50. V. Tkach, V. Nechyporuk, P. Yagodynets', A investigação matemática do desempenho de biossensores eletroquímicos enzimáticos, baseados nos polímeros condutores, Rev. Colomb. Cienc. Quím. Farm, 41, 203 (2012). 🠔
  51. 51. V. Tkach, V. Nechyporuk, P. Yagodynets', Mathematical model of the work of the mediated conducting polymer sensors with the use of the polymers of heterocyclic compounds, Rev. Soc. Quím. Perú, 77, 259 (2011). 🠔
  52. 52. V. Tkach, B. Kumara-Swamy, R. Ojani et al ., El mecanismo de la oxidación de omeprazol sobre el electrodo de carbono vitroso, modiicado por polializarina, y su descripción matemática, Orbital. Elec. J. Chem ., 7, 1 (2015). 🠔
  53. 53. V. Tkach, B. Kumara-Swamy, R. Ojani et al ., Comportamento de paracetamol durante a sua oxidação eletrocatalítica sobre poli(azul da anilina) e a sua descrição matemática, Rev. Colomb. Cienc. Quím. Farm, 44, 148 (2015). 🠔
  54. 54. V. Tkach, R. Ojani, V. Nechyporuk, P. Yagodynets', O estudo matemático do desempenho do sensor eletroquímico de nitrito, baseado em poli(p-aminoacetanilida), Rev. Fac. Ing. UCV, 30, 65 (2015). 🠔
  55. 55. V. Tkach, H. Nascimento, V. Nechyporuk, P. Yagodynets', A descrição matemática do desempenho de sensores e biossensores eletroquímicos de pH, baseados em polímeros condutores, no processo de medição do pH dos líquidos de cavidade bucal no modo de voltagem constante, Rev. Colomb. Cienc. Quím. Farm ., 43, 119 (2014). 🠔
  56. 56. V. Tkach, G. Maia, S.C. de Oliveira et al ., O estudo de estabilidade do Estado estacionário no desempenho do sensor seletivo dos íons de metais transitivos, baseado em polipirrol, dopado pelo ácido 5-sulfosalicílico, Quím. Mater ., 4, 7 (2014). 🠔
Os autores declaram que não há conflito de interesses.
V.V. Tkach, Y.G. Ivanushko, S.C. de Oliveira, R. Ojani, P.I. Yagodynets', A avaliação mecanística teórica da utilização de oxihidróxido de cobalto (III) em sensores eletroquímicos de tramadol, Rev. Colomb. Cienc. Quím. Farm., 46 (2), 188-201 (2017).