Revista Colombiana de Ciencias Químico - Farmacéuticas
0034-7418
Departamento de Farmácia, Facultad de Ciencias, Universidade Nacional da Colombia
https://doi.org/10.15446/rcciquifa.v46n3.69463

Recibido: 13 de octubre de 2016; Aceptado: 17 de octubre de 2017

A descrição matemática da eletrooxidação de dopamina, acompanhada por sua eletropolimerização

The mathematical description for the dopamine electrooxidation, accompanied by its electropolymerization

V. Tkach, *12Y. Ivanushko, 1S. Lukanova, 1L. Romaniv, 1S. Oliveira, 2O. Aksimentyeva, 3R. Ojani, 4P. Yagodynets', 1

Universidade Nacional de Chernivtsi, 58012, Rua de Kotsyubyns'ky, 2, Chernivtsi, Ucrânia. Universidade Nacional de Chernivtsi Ucrânia
Universidade Federal de Mato Grosso do Sul, Av. Sen. Felinto. Müller, 1555, C/P. 549, 79074460, Campo Grande, MS, Brazil. Universidade Federal de Mato Grosso do Sul Universidade Federal de Mato Grosso do Sul Campo Grande MS Brazil
Universidade Nacional de Lviv, Faculdade de Química, Rua de Cirilo e Metódio, 8 - Lviv, Ucrânia. Universidade Nacional de Lviv Faculdade de Química Ucrânia
Universidade de Mazandarã, 47416-95447, 3o km. da Rodovia de Forças Aéreas Iranianas, Babolsar, República Islâmica do Irã. Universidade de Mazandarã República Islâmica do Irã

Correio eletrônico : nightwatcher2401@gmail.com

RESUMO

Um caso interessante da eletrooxidação de dopamina, acompanhada por sua eletropolimerização, em que tanto o monômero, como o polímero condutor resultante podem ser oxidados até à respectiva forma quinônica, foi investigado do ponto de vista teórico. A análise do modelo matemático, correspondente a este sistema, mostrou que o estado estacionário, neste sistema é fácil de manter estável, apesar de a zona topológica, correspondente a esta estabilidade, ser mais estreita. Já as instabilidades oscilatória e monotônica mostraram-se mais prováveis neste caso que em sistemas semelhantes.

Palavras-chave:

elétrodos quimicamente modificados, polímeros condutores, dopamina, eletropolimerização, estado estacionário estável.

SUMMARY

An interesting case for dopamine electrooxidation, in which either a monomer, or a polymer may be oxidized to the correspondent quinonic form, has been investigated from the theoretical point of view. The analysis o the correspondent mathematical model has shown that in this system the steady-state is easy to maintain stable, despite of the more narrow extension of the topological zone, correspondent to this stability. Yet the oscillatory and monotonic instabilities may be more probable in this cast, than in the similar ones.

Key words:

chemically modified electrodes, dopamine, electropolymerization, stable steady-state.

INTRODUÇÃO

A dopamina (3,4-dihidroxi-feniletanamina, CAS: 51-61-6) é um dos neurotransmis-sores mais importantes no organismo humano e dos mamíferos [1-4]. E uma das catecolaminas naturais que se podem encontrar no organismo. E precursora de epinefrina [5], uma das moléculas neurotransmissoras com importantes efeitos cardiovasculares, hormonais, renais e no sistema nervoso central. A falta de dopamina pode causar doenças, como Parkinson [6]. Pode ser aplicada aquando do tratamento, porém a sua alta concentração também pode causar efeitos no sistema nervoso simpático, acompanhados pelo aumento da pressão arterial e da pulsação e até esquizofrenia [7,8]. Destarte, a elaboração de um método eficiente, capaz de determinar as suas concentrações mínimas é uma tarefa relevante.

O uso de elétrodos quimicamente modificados (EQM) é uma das ferramentas modernas, baratas e flexíveis da análise, e uma das suas principais vantagens é a afinidade entre o modificador e o analito. Para compostos hidroquinônicos, sendo um deles a dopamina, foram desenvolvidos vários modificadores de elétrodos, desde os polímeros condutores e ésteres específicos até bioobjetos, como casca de banana [9-15] e, até, os próprios compostos de natureza quinono-hidroquinônica. No entanto, é preciso admitir que dopamina é um composto eletropolimerizável [16], podendo o polímero ser usado, inclusive como o modificador de elétrodos, como foi o caso de polializarina em [17]. Para estimar o impacto da eletropolimerização e das insabilidades, por que este pode acompanhar-se [18-20], no comportamento do sistema, é preciso introduzir um modelo matemático, capaz de descrever adequadamente os seus processos e as reações.

O modelo matemático anterior [21], referente ao comportamento da dopamina durante a sua detecção eletroquímica, não incluía o fator da eletropolimerização, por não ser cabido naquele caso. Sem embargo, este fator deve ser tomado em conta, na hora de analisar o comportamento do sistema do ponto de vista mais geral. Por isso, tem este trabalho como objetivo geral estimar o impacto da influência da eletropoli-merização da dopamina no processo da sua eletrooxidação, introduzindo, por sua vez, o elo importante entre os sistemas da detecção eletroquímica de compostos bioativos e os da modificação de elétrodo por sua eletropolimerização.

O SISTEMA E SEU MODELO

A eletropolimerização de dopamina realiza-se em potenciais anódicos inferiores aos correpondentes para benzeno, haja vista a presença dos grupos doadores de elétrons (duas hidroxilas e um grupo etilamina). A ligação entre as unidades monoméricas realiza-se tanto pelos átomos de oxigênio, como pelos átomos de carbono aromáticos nas posições 3 e 6:

Como a estrutura hidroquinônica se mantém (pelo menos, parcialmente) no polímero, este também é oxidado até à sua forma quinônica. O serem oxidadas as unidades hidroquinônicas do polímero faz o sistema semelhante ao dito "paradoxo de politiofeno". Sem embargo, são fenômenos de natureza diferente, embora similar, dada a reversibilidade do processo da oxidação do polímero, contrária à irreversibilidade da "sobreoxidação". Alterando-se a polaridade do elétrodo, ela se manifesta na recuperação da forma hidroquinônica.

Haja vista o exposto, para descrever o comportamento do sistema, introduzir-se-ão as equações de balanço de seguintes variáveis:

c - a concentração da dopamina na camada pré-superficial;

θ - o grau de recobrimento da dopamina;

θ p - o grau de recobrimento da polidopamina.

Para simplificar a modelagem, supõe-se que:

- o eletrólito de suporte esteja em excesso - destarte podemos menosprezar o fluxo de migração, bem como as despesas do dopante;

- o reator se esteja agitando intensamente - assim podemos menosprezar o fluxo de convecção;

- a distribuição concentracional do analito na camada pré-superficial seja linear e a espessura da camada, constante e igual a δ.

E possível provar que o conjunto de equações diferenciais que descreve o sistema pode ser descrito como:

em que Δ é o coeficiente de difusão da dopamina, c0 é a sua concentração no interior da solução, G e J são concentrações máximas da dopamina e do seu polímero, e os parâmetros r são as velocidades da adsorção, da dessorção, da eletrooxidação do monômero, da sua eletropolimerização e da eletrooxidação do polímero resultante e podem ser calculadas como:

em que o parâmetro α é a variável, que descreve a interação entre as partículas da dopa-mina, F é o número de Faraday, Z e j é o número de elétrons transferidos aquando da formação e oxidação do polímero, γ e ξ são parâmetros que descrevem as influências dos processos eletroquímicos nas capacitâncias da dupla camada elétrica (DCE), R é a constante universal de gases, e T é temperatura universal.

Não obstante que este sistema seja semelhante ao paradoxo de politiofeno e tenha presentes todos os fatores, que agem naquele caso, é diferente em princípio, o que se discutirá abaixo.

RESULTADOS E DISCUSSÃO

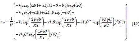
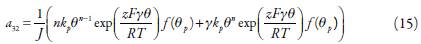
Para investigar o comportamento do sistema com a eletrooxidação da dopamina, acompanhada por sua eletropolimerização, analisamos o conjunto de equações diferenciais (1) mediante a teoria de estabilidade linear. A matriz funcional de Jacobi, cujos elementos podem ser calculados para estado estacionário, descrever-se-á como:

em que:

Observando as expressões (8), (12) e (15), pode-se ver que o comportame"to oscilatório, neste caso é possível. Outrossim, ele é ainda mais provável que em sistemas semelhantes [19,20], pois na diagonal principal da matriz há mais elementos positivos que para os modelos, vigentes para os casos dos trabalhos [18-20].

O comportamento oscilatório causar-se-á por seguintes fatores:

- atração entre as partículas adsorvidas, representada pela positividade do elemento + ak1c(1 - θ - θp )exp(αθ) e do + ak-1θ exp(-αθ). Este caso é comum e representa a instabilidade superficial, descrita experimentalmente em [18] e confirmada teoricamente em [19] e [20];

- influência forte dos processos eletroquímicos sobre as capacitâncias da dupla camada elétrica (DCE). Este caso também é comum e representa a instabilidade eletroquímica, relacionada a dependência da amplituda das oscilações da composição da solução, observada em [18]. No caso da dopamina, há três processos eletroquímicos, em cujo decorrer se altera (cresce e decresce) a condutividade do material na superfície. Diante disso, o valor da capacitância da DCE alterar-se-á de mesma maneira, o que causará as oscilações em parâmetro eletro-químico. Matematicamente elas se descrevem pela positividade dos elementos

- autocatálise na formação do polímero, que ocorre, haja vista a transferência mais rápida do elétron do oligômero e polímero, comparados ao monômero. Este fenômeno como causa do comportamento oscilatório aparece também no caso do já mencionado "paradoxo de politiofeno" e matematicamente é descrito pela

positividade do elemento

Destarte, é possível concluir que, neste caso, o comportamento oscilatório tem três possíveis fatores causadores contra os dois no caso geral da eletropolimerização [19], assemelhando-se ao caso de paradoxo de politiofeno [20].

Para avaliar a estabilidade do estado estacionário, aplicamos ao conjunto de equações diferenciais (1) o critério de estabilidade Routh-Hurwitz. Para evitar expressões grandes, introduzimos as novas variáveis, de modo que o determinante de Jacobiano se descreva como:

Abrindo os parênteses e aplicando ao jacobiano o requisito Det J<0, saliente do critério, obtém-se a condição de estabilidade do estado estacionário como:

A zona topológica da satisfação da inequação (17) é menor que no casos semelhantes [18-20], incluindo, mesmo, o caso do paradoxo de politiofeno. No entretanto, a estabilidade de estado estacionário é fácil de manter, pois ele será garantidamente estável nos casos de:

- repulsão entre as partículas adsorvidas, descrita pela positividade do parâmetro Λ, quando o parâmetro α é negativo. Destarte, satisfeitas, ainda, as condições expostas abaixo, o elemento ΛΣ mantém-se positivo, e a expressão do lado esquerdo da inequação, mais negativa;

- fraqueza das influências dos processos eletroquímicos nas capacitâncias da DCE, descrita pelas positividades dos parâmetros Ω, P e Σ, cada um correspondente a certo processo eletroquímico - eletrooxidação, eletropolimerização e a eletrooxidação do polímero. No caso da positividade dos mencionados parâmetros, a expressão ΛΣ+ΩΣ + PΣ+PY terá valor positivo e isso empurrará a expressão do lado esquerdo da inequação (17) para valores mais negativos, resultando na satisfação da inequação;

- a ausência ou fraqueza do efeito autocatalítico na eletropolização. Deveras, se a autocatálise não ocorre, f (θ)=const, e Ρ(θ)=0, o que leva os elementos que contêm o parâmetro K (que, tendo um valor nulo ou negativo, "puxariam" a expressão do lado esquerdo a valores menos negativos, ao zero e até aos positivos, correspondentes ao estado estacionário instável) à nulidade, estabilizando, satisfeitas as condições supracitadas, o estado estacionário.

A depender da concentração da dopamina, da área do elétrodo e da disponibilidade de áreas ativas de adsorção, o processo será regulado por difusão ou por adsorção.

Do ponto de vista eletroanalítico, isto corresponde à dependência linear entre o parâmetro eletroquímico e a concentração, e do pondo de vista eletrossintético, à formação controlável de um polímero.

A instabilidade monotônica, correspondente ao limite de detecção do ponto de vista eletroanalítico, também é provável para este sistema, e as suas condições descrevem-se como:

Neste caso, o principal fator responsável por sua aparição é a autocatálise, pois a sua ação desestabilizadora é a mais intensa.

No caso da presença de íons oxidantes fortes na solução, além da eletropolimerização de dopamina, realizar-se-á, também, a polimerização química desta. Destarte, o modelo alterar-se-á, acrescentando-se-lhe a expressão, corespondente à polimerização química superficial. Como ela também pode acompanhar-se por autocatálise, a estabilidade do estado estacionário dar-se-á em área ainda menor que neste caso, mantendo-se, no entretanto o estado estacionário facilmente. O comportamento deste sistema analisar-se-á num dos nossos próximos trabalhos.

CONCLUSÕES

A análise do comportamento do sistema com a eletrooxidação da dopamina, acompanhada por sua eletropolimerização deixa concluir que:

- o estado estacionário estável, apesar de ser correspondente a uma área topológica menor que no caso de uma eletropolimerização comum, mesmo acompanhada pelo dito "paradoxo de politiofeno", mantém-se facilmente. Os fatores que garantem a sua estabilidade são a repulsão entre as partículas adsorvidas e a fraqueza das influências dos processos eletroquímicos nas capacitâncias da DCE, bem como a fraqueza ou ausência de autocatálise durante a eletropolimerização;

- dependendo da concentração da dopamina, da área do elétrodo e da disponibilidade de áreas ativas de adsorção, o processo reger-se-á por difusão ou por adsorção;

- o comportamento oscilatório, neste caso, é mais provável que em casos comuns da eletropolimerização, sendo causado por fatores superficial, eletroquímico e autocatalítico;

- a instabilidade monotônica neste sistema pode aparecer, sendo causada, principalmente, pela síntese autocatalítica do polímero;

- no caso da presença de íons oxidantes fortes na solução, além da eletropolimerização de dopamina, realizar-se-á, também, a polimerização química desta. Destarte, o modelo alterar-se-á, e acrescentar-se-lhe-á a expressão, corespondente à polimerização química superficial, contendo a função de influência autocatalítica. A estabilidade do estado estacionário, assim, dar-se-á em área ainda menor que neste caso, mantendo-se, porém, o estado estacionário facilmente.

REFERÊNCIAS

  1. 1. J.M. Fellous, R.E. Suri, The Roles of Dopamine, Suri, The Roles of Dopamine, http://128.196.98.170/pubs/Dopamine-HBTNN2e-preprint.pdf , acesso aos 28 de setembro de 2016. [URL] 🠔
  2. 2. F.M. Benes, Amygdalocortical circuitry in schizophrenia: From circuits to molecules, Tr. Pharm. Sci ., 22, 46 (2001). 🠔
  3. 3. https://pubchem.ncbi.nlm.nih.gov/compound/dopamine#section=Use-and-Manufacturing , acesso aos 28 de setembro de 2016. [URL] 🠔
  4. 4. http://www.guidetopharmacology.org/GRAC/LigandDisplayForward?tab=-biology&ligandId=940 , acesso aos 28 de setembro de 2016. [URL] 🠔
  5. 5. N. Kirshner, M.C. Goodall, The formation of adrenaline from noradrenaline, Biochim. Biophis. Acta, 24, 658 (1957). 🠔
  6. 6. L.C. Triarhou, Dopamine and Parkinson Disease, Triarhou, Dopamine and Parkinson Disease, http://www.ncbi.nlm.nih.gov/books/NBK6271/ , acesso aos 28 de setembro de 2016. [URL] 🠔
  7. 7. P. Seeman, Glutamate and dopamine components in schizophrenia, J. Psych. Neurosci ., 34, 143 (2009). 🠔
  8. 8. M.L. Costa, A. Loria, M. Marchetti et al ., Effects of dopamine and nitric oxide on arterial pressure and renal function in volume expansion, Clin. Exp. Pharmacol. Physiol ., 29, 772 (2002). 🠔
  9. 9. L. Sasso, A. Heiskanen, F. Diazzi et al ., Doped overoxidized polypyrrole micro-electrodes as sensors for the detection of dopamine released from cell populations, Analyst, 138, 3651 (2013). 🠔
  10. 10. L. Scarpetta, A. Mariño, K. Bolaños et al ., Determinación de hidroquinona usando un electrodo de carbono vítreo modificado con quitosano, nanotubos de carbono de pared múltiple y líquido iónico. Posible uso como sensor, Rev. Colomb. Ciem. Quím. Farm ., 44, 311 (2015). 🠔
  11. 11. S.R. Ankireddy, J. Kim, Selective detection of dopamine in the presence of ascorbic acid via fluorescence quenching of InP/ZnS quantum dots, Int. J. Nanomed ., 10, 113 (2015). 🠔
  12. 12. O.F. Fayemi, A.S. Adekunle, E.E. Ebenso, Metal oxide nanoparticles/multi-walled carbon nanotube nanocomposite modified electrode for the detection of dopamine: Comparative electrochemical study, J. Biosem. Bioelectr ., 6, 190 (2015). 🠔
  13. 13. T. Peik-See, A. Pandikumar, H. Nay-Ming et al ., Simultaneous electrochemical detection of dopamine and ascorbic acid using an iron oxide/reduced graphene oxide modified glassy carbon electrode, Semors, 14, 15227 (2014). 🠔
  14. 14. C.C. Vishvanatha, B. Kumara-Swamy, K. Vasantakumar-Pai, Electrochemical studies of dopamine, ascorbic acid and uric acid at lignin modified carbon paste electrode by cyclic voltammetric, J. Anal. Bioanal. Techn ., 6, 237 (2015). 🠔
  15. 15. J.B. Raoof, A. Kiani, R. Ojani, R. Valliolahi, Electrochemical determination of dopamine using banana-MWCNTs modified carbon paste electrode, Anal. Bioanal. Electrochem ., 3, 59 (2011). 🠔
  16. 16. J.L. Wang, B.C. Li, Z.J. Li et al ., Electropolymerization of dopamine for surface modification of complex-shaped cardiovascular stents, Biomaterials, 35, 7679 (2014). 🠔
  17. 17. K.R. Mahantesha, B.E. Kumara-Swamy, K. Vasantakumar-Pai , Poly (alizarin) Modified glassy carbon electrode for the electrochemical investigation of omeprazole: A voltammetric study, Anal. Bioanal. Electrochem ., 6, 234 (2014). 🠔
  18. 18. I. Das, N.R. Agrawal, S.A. Ansari, S.K. Gupta, Pattern formation and oscillatory electropolymerization of thiophene, Ind. J. Chem ., 47A, 1798 (2008). 🠔
  19. 19. V. Tkach, V. Nechyporuk, P. Yagodynets’, Eletropolimerização de compostos heterocíclicos. Modelos matemáticos, Ciê"c. Tec". Mat ., 24, 54 (2012). 🠔
  20. 20. V. Tkach , V. Nechyporuk , P. Yagodynets’ , Descripción matemática de la síntesis electroquímica de polímeros conductores en la presencia de surfactants, Ava". Quím ., 8, 9 (2013). 🠔
  21. 21. V. Tkach , R. Ojani , V. Nechyporuk , P. Yagodynets' , A descrição matemática do desempenho do sensor de dopamina, baseado no elétrodo da pasta de carbono, modificado por nanotubos e fragmentos da banana, Rev. Colomb. Cienc. Quím. Farm ., 44, 58 (2015). 🠔
Os autores declaram que não há conflito de interesses.
V.V. Tkach, Y.G. Ivanushko, S.M. Lukanova, L.V. Romaniv, S.C. de Oliveira, O.I. Aksimentyeva, R. Ojani, P.I. Yagodynets', A descrição matemática da eletrooxidação de dopamina, acompanhada por sua eletropolimerização, Rev. Colomb. Cie"c. Quím. Farm., 46(3), 331-341 (2017).