Revista Colombiana de Ciencias Químico - Farmacéuticas
0034-7418
Departamento de Farmácia, Facultad de Ciencias, Universidade Nacional da Colombia
https://doi.org/10.15446/rcciquifa.v46n3.69466

Recibido: 4 de mayo de 2017; Aceptado: 27 de octubre de 2017

1-Octanol-water partition coefficient of some cyanopyridine and chalcone compounds

Coeficientes de reparto 1-octanol-agua de algunos compuestos derivados de cianopiridina y chalcona

S. Baluja, 1*A. Movalia, 1

Department of Chemistry, Saurashtra University, Rajkot- 360 005, Gujarat (INDIA). Saurashtra University Department of Chemistry Saurashtra University India

E-mail address: shipra_baluja@rediffmail.com

SUMMARY

The partition coefficients (P) of some synthesized cyanopyridine and chalcone compounds have been studied in 1-octanol-water system at different pH. It is observed that log P depends on pH and nature of substitution group present in the compounds. The central moiety also play important role to affect hydrophilic/ hydrophobic nature of compounds. There is no regular trend for the variation of log P with different pH.

Key words:

partition coefficient, cyanopyridines, chalcones, 1-octanol-water system.

RESUMEN

Los coeficientes de reparto (P) de algunos compuestos sintetizados derivados de cianopiridina y chalcona se estudiaron en el sistema 1-octanol-agua a diferentes valores de pH. Se observa que log P depende del pH y de la naturaleza del grupo sustituyente presente en los compuestos. El grupo central también desempeña un papel importante en la naturaleza hidrofílica/hidrofóbica de los compuestos. No hay una tendencia regular para la variación de log P con el pH.

Palabras clave:

coeficiente de reparto, cianopiridinas, chalconas, sistema 1-octanol-agua.

INTRODUCTION

The knowledge of partition coefficient is highly useful in various branches of chemistry, biology and their associated technologies [1]. In medicinal chemistry and pharmacy, it is of great importance as it is used in QSAR.

The aim of Quantitative Structure-Activity Relationship (QSAR) techniques is to develop correlations between any property or form of activity normally biological activity and the properties, usually physicochemical properties of a set of molecules. There are many physicochemical parameters in QSAR like hydrophobic, electronic, theoretical and steric parameters. Out of these parameters hydrophobic parameter is one of the most important parameter in QSAR study. The ability of drug to permeate across biological membranes has traditionally been evaluated using its distribution in 1-octanol (representing lipid membrane) and water systems. Hydrophobicity governs the partition behavior between aqueous and non aqueous phases in natural, technical, and pharmacological processes.

In Pharmacokinetics, the distribution coefficient has a strong influence on ADME properties (Absorption, Distribution, Metabolism, and Excretion) of the drug [2] and in Pharmacodynamics, the hydrophobic effect is the major driving force for the binding of drugs to their receptor targets [3-7]. Partition coefficients are useful for in estimating distribution of drugs within the body because hydrophobic drugs with high partition coefficients are distributed to hydrophobic compartments of cells such as lipid bilayers while hydrophilic drugs (low partition coefficients) are found in blood serum like hydrophilic compartments.

Many industries which are preparing various consumer products also take into account of distribution coefficient such as in the formulation of cosmetics [7-9], topical ointments [10], dyes [11,12], toxicology of hair colors [13] and many other consumer products. For agro chemicals [14-16], partition coefficient is necessary to measure hydrophobicity because hydrophobic insecticides and herbicides tend to be more active but in general hydrophobic agrochemicals have longer half lives and therefore display increased risk of adverse environmental impact. In metallurgy [17,18], it is an important factor in determining how different impurities are distributed between molten and solidified metal so it is a critical parameter for purification of metals and other study of metals. For environmental study the hydrophobicity of a compound can give the information of how easily a compound might be taken up in groundwater from pollute waterways, and its toxicity to animals and aquatic life [19]. In the field of hydrogeology the 1-octanol water partition coefficient, is used to predict and model the migration of dissolved hydrophobic organic compounds in soil and groundwater [20,21]. Literature survey shows that partition coefficient of various organic compounds have been studied in 1-octanol-water system [22-26]. 1-octanol is an important molecule both for biological and environmental reasons [27].

In the present study, partition coefficient of some newly synthesized cyanopyridines and chalcones has been studied in 1-octanol-water system by UV spectroscopy at different pH. The partition coefficient is highly affected by pH. So, in the present study, a wide range of pH (0.84 to 8.0) is selected. For 0.84 pH, 0.1 N hydrochloric acid was taken whereas for pH 6.0, 7.4 and 8.0, phosphate buffer was used. These values of pH are selected due to their existence in human body. As hydrochloric acid exists in gastric juice in stomach, 0.1 N HCl is taken. Blood has 7.4 pH, so the study is done at pH 7.4. Further, the middle and upper range of body pH is 6.0 and 8.0 respectively, so study was done at this pH also.

THEORY

Partition coefficient (P) is defined as the ratio of the compounds in organic phase to that present in the aqueous phase 28, i.e.

where Corg and Caq are concentration of solute in organic and aqueous phases respectively.

In the present case, concentrations were determined by UV measurement so, equation (1) written as 29:

where A 0 and Ax are the initial and final absorbance values of organic layer. From equation (2), log P were calculated for each set of experiment.

EXPERIMENTAL

The different chemicals used in the synthesis are purchased from Spectrochem Ltd., Mumbai and are of AR grade. The solvent, 1-octanol was purchased from Spectrochem Ltd., Mumbai and of HPLC grade. It was distilled by usual procedure [30].The purity of solvent was checked by GC (SHIMADZU- GC 14 B) and found to be 99.8%. Distilled water was used throughout for all experiments.

Synthesis of Cyanopyridines

An equimolar mixture of 1-naphthyl amine and acetic anhydride in methanol was refluxed in water bath for 2-3 hrs using CH3COOH as catalyst. The crude product formed was N-(naphthalen-1-yl) acetamide which was isolated and crystallized from absolute ethanol. This synthesized product was added in a mixture of Vilsmeier-Haack reagent (prepared by drop wise addition of 6.5 ml POCl3 in ice cooled 2 ml DMF) and was refluxed for 27 hrs. The reaction mixture was poured into ice and kept for overnight followed by neutralization using sodium bicarbonate. The crude product was isolated and crystallized from ethanol. The product was 2-chloro benzo[h]quinoline-3-carbaldehyde.

To a well stirred equimolar solution of 2-chloro benzo[h]quinoline-3-carbaldehyde and p-methoxy-acetophenone in the binary mixture of ethanol- DMF (75:25), 40% NaOH was added till the solution became basic. The reaction mixture was stirred for 48 hrs. The contents were poured into ice and acidified. The product formed was 3-(2-chlorobenzo[h]quinolin-3-yl)-1-(4-methoxy-phenyl) prop-2-en-1-one, which was filtered and crystallized from ethanol. This is dissolved in ethanol and malononitrile and ammonium acetate was added. The resulting solution was refluxed for 10-12 hrs. The content was poured on crushed ice. The product obtained was filtered, washed with water and crystallized from DMF.

Similarly, other substituted cyanopyridines have been prepared. The reaction scheme for the synthesis is given in figure 1.

Reaction scheme of cyanopyridine (SP) compounds.

Figure 1: Reaction scheme of cyanopyridine (SP) compounds.

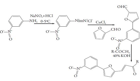
Synthesis of Chalcones

An equimolar mixture of 2-Furaldehyde derivative and substituted acetophenone is stirred for 24 h using NaOH as catalyst. The product was isolated and crystallized from ethanol. Similarly other compounds have also been prepared and crystallized. The purity of compounds was checked by TLC and their structures were confirmed by IR, NMR and mass spectroscopic techniques.

The reaction scheme for the synthesis is given in figure 2.

Reaction scheme of chalcone (SC) compounds.

Figure 2: Reaction scheme of chalcone (SC) compounds.

The physical parameters along with different substitutions of all the synthesized compounds are listed in tables 1 and 2.

Table 1: Physical constants, substitutions groups and pKa values of synthesized Cyano pyridine compounds.

Table 2: Physical constants, substitutions groups and pKa values of synthesized Chalcone compounds.

Preparation of standard solution

10 mg sample was dissolved in 1-octanol to give 100 ml solution of 100 ppm. This solution was known as standard solution. λmax values were measured by using UV spectrophotometer (Shimadzu, UV-1700, Pharmaspec) from this solution at 298.15 K. Suitable dilutions (2 µg to 20 µg) were made from this standard solution. The absorbance of all the solutions was measured. The calibration curve of absorbance versus concentration of compounds was drawn.

Determination of Partition coefficient

A known amount of the compound under investigation was dissolved in 1-octanol at a concentration not higher than 20 µg. Equal volumes of this solution and water is mixed in oven dried stoppered flask and the mixture was stirred for 24 h at room temperature.

After 24 hours, the solution was transferred into 60 ml of separating funnel and allowed to stand in order to separate the aqueous and organic layers. The organic layer will be upper one while lower will be aqueous. The organic layer was then analyzed by UV spectrophotometer. Using calibration curve, the concentration of compounds in organic layer was also then evaluated.

RESULTS AND DISCUSSION

Cyanopyridine derivatives

The values of log P for the studied compounds at different pH are given in table 3 and Fig. 3. It is evident that the value of log P varies with pH for each compound. Log P value depends upon the hydrophilic and hydrophobic character of compounds. Log P values have inverse relation with hydrophilic nature of compounds. All the studied compounds have the same moiety but different side chain. Thus, log P depends upon the side chain. Further, the position of substitution affects log P. Thus, different side chains have different hydrophilic or hydrophobic character which affects log P. The compounds with higher log P value are hydrophobic in nature whereas those with lower log P value are hydrophilic.

Table 3: Apparent log p values for compounds of cyanopyridine compounds.

Apparent log P values of compounds of cyanopyridine series.

Figure 3: Apparent log P values of compounds of cyanopyridine series.

In water, SP-10 is highly hydrophobic in nature among all the compounds whereas SP-7 is highly hydrophilic. Thus, when there is no substitution, hydrophobicity increases whereas presence of chloro-group at para position increases the hydrophilic character. So, SP-7 will easily be absorbed in blood than SP-10. Due to this reason SP-10 easily spread in body than any other studied compounds. However, it is more likely to absorb in fatty tissues [31,32]. Overall, the decreasing order of hydrophobicity of compounds in water is: SP-10 > SP-5 > SP-8 > SP-4 > SP- 6 > SP-2 > SP-1 > SP-9 > SP-3 > SP-7.

In 0.1N HCl-1-octanol system, SP-8 (containing nitro group at meta-position) is highly hydrophobic whereas SP-9 (containing hydroxyl group at para position) is highly hydrophilic in nature. Thus, in gastric juice also, SP-8 will not be absorbed whereas SP-9 can be easily absorbed. In this case the decreasing order of hydrophobicity of compounds is: SP-8 > SP-1 > SP-5 > SP-10 > SP-3 > SP-2 > SP-7 > SP-4 > SP-6.

At 6.0 pH, SP-1 with methoxyl group at para-position to aromatic ring is highly hydrophobic in nature. While SP-6 is more hydrophilic which contains hydroxyl group at meta-position. Overall the decreasing order of hydrophobicity of compounds is: SP-1 > SP-5 > SP-8 > SP-2 > SP-3 > SP-10 > SP-7 > SP-4 > SP-9 > SP-6.

In 7.4 pH range, among all these compounds SP-7 has minimum log P values máximum is observed for SP-4 which can be considered more hydrophobic in nature. The decreasing order of hydrophobicity of compounds is:

SP-4 > SP-2 > SP-10 > SP-1 > SP-8 > SP-5 > SP-9 > SP-6 > SP-3 > SP-7.

For 8 pH, SP-2 is most hydrophobic whereas SP-7 is most hydrophilic among all the studied compounds. So, due to the hydrophobic nature of SP-2 can be accumulated in lipid material [33,34]. The decreasing order of hydrophobicity of compounds at 8 pH is: SP-2 > SP-4 > SP-10> SP-1 > SP-9 > SP-5 > SP-6 > SP-8> SP-3 > SP-7.

Over all, it is concluded that type of substitution, position of substitution and pH of solution play important role in partition coefficient.

Chalcones

The values of log P for the studied compounds at different pH are given in table 4 and fig. 4. It is observed that SC-7 is highly hydrophobic in nature among all the compounds whereas SC-1 is highly hydrophilic. It is well known fact that plasma of blood constitutes 55% of blood fluid and is mostly water (about 92% by volume). Thus, due to hydrophobic character SC-7 will not be absorbed in blood, and is less likely to spread in the body. However, it is more likely to accumulate in fatty tissues [33,34]. Overall the decreasing order of hydrophobicity of compounds is: SC-7 > SC-6 > SC-8 > SC-5 > SC-3 > SC-4 > SC-2 > SC-1.

Table 4: Apparent log P values for compounds of Chalcone compounds.

Apparent log P values of compounds of Chalcone series.

Figure 4: Apparent log P values of compounds of Chalcone series.

In 0.1N HCl-1-octanol system also, SC-7 is again highly hydrophobic whereas SC-5 is highly hydrophilic in nature. Thus, in gastric juice also, SC-7 will not be absorbed whereas SC-5 can be easily absorbed. In this case the decreasing order of hydrophobicity of compounds is:

SC-7 > SC-4 > SC-6 > SC-8 > SC-2 > SC-3 > SC-1 > SC-5.

At 6.0 pH, SC-6 is highly hydrophobic. However SC-7 showed maximum hydrophilicity. Overall the decreasing order of hydrophobicity of compounds is: SC-6 > SC-8 > SC-4 > SC-3 > SC-5 > SC-1 > SC-2 > SC-7.

In 7.4 pH range, among all these compounds SC-2 has minimum log P values whereas maximum is observed for SC-5 which can be considered more hydrophobic in nature. The decreasing order of hydrophobicity of compounds is: SC-5 > SC-4 > SC-7 > SC-3 > SC-1 > SC-6 > SC-8 > SC-2.

Again at 8.0 pH, log P is highest for SC-7 and minimum for SC-2. Further, it is observed from table 4 that at alkaline pH 8.0, most of the compounds have higher log P which suggests that most of these compounds will not be absorbed by the blood but can be accumulated in fatty tissues as observed by Rowe et al. [33] and Fresta et al. [34]. The decreasing order of hydrophobicity of compounds is: SC-7 > SC-6 > SC-5 > SC-8 > SC-1 >SC-4 > SC-3 > SC-2.

Thus, among 8 studied chalcones, SC-7 exhibits maximum hydrophobic nature.

In most of the synthesized cyanopyridine and chalcone compounds, substitution groups are same. So, comparison of log P values of these cyanopyridine and chalcone compounds at different pH shows that log P also depends on the central moiety.

The log P values are also compared with pKa values of compounds reported in Tables 1 and 2. However, there is no regular trend is observed between pKa and log P values at different pH.

Thus, it concluded that in the studied compounds, log P values depend on pH, nature and position of substitution groups as well as on central moiety. No direct relation between pKa and log P values is observed in the studied compounds.

REFERENCES

  1. 1. A. Leo, C. Hansch, D. Elkins, Partition coefficients and their uses, Chem. Rev ., 71, 525 (1971). 🠔
  2. 2. H. Kubinyi, Nonlinear dependence of biological activity on hydrophobic character: The bilinear model, Farmaco Sci ., 34, 248 (1979). 🠔
  3. 3. D. Eisenberg, A. McLachlan, Solvation energy in protein folding and binding, Nature, 319, 199 (1986). 🠔
  4. 4. S. Miyamoto, P. Kollman, What determines the strength of noncovalent association of ligands to proteins in aqueous solution? Proc. Natl. Acad. Sci. USA, 90, 8402 (1993). 🠔
  5. 5. P. Vladimir, B. Testa, H. Waterbeemd, "Lipophilicity in drug action and toxicology", John Wiley Ltd., New York, 1996, p. 439. 🠔
  6. 6. L.M. Johnson, Z. Li, A.J. LaBelle, F.S. Bates, T.P. Lodge, M.A. Hillmyer, Impact of polymer excipient molar mass and end groups on hydrophobic drug solubility enhancement, Macromolecules, 50, 1102 (2017). 🠔
  7. 7. D.P. Yeggoni, M. Gokara, D.M. Manidhar, A. Rachamallu, S. Nakka, C.S. Reddy, R. Subramanyam, Binding and molecular dynamics studies of 7-hydroxycoumarin derivatives with human serum albumin and its pharmacological importance, Mol. Pharmaceutics, 11, 1117 (2014). 🠔
  8. 8. A. Bianco, E. Pramauro, M. Gallarate, M. Carlotti, G. Orio, Determination of micelle/water partition coefficients of cosmetic preservatives. Optimization of the capillary electrophoretic method, Anal. Chim. Acta, 412, 141 (2000). 🠔
  9. 9. J. Arct, A. Oborska, M. Mojski, A. Binkowska, B. Swidzikowska, Common cosmetic hydrophilic ingredients as penetration modifiers of flavonoids, Int. J. Cosmetic Sci ., 24, 357 (2002). 🠔
  10. 10. T. Viegas, L. Winkle, P. Lehman, S. Franz, T. Franz, Evaluation of creams and ointments as suitable formulations for peldesine, Int. J. Pharm ., 219, 73 (2001). 🠔
  11. 11. B. Candanedo, V. David, D. Gray, Partitioning of charged and neutral dextran dye derivatives in biphasic cellulose nanocrystal suspensions, Can. J. Chem ., 86, 503 (2008). 🠔
  12. 12. A. Sallo, Ε. Seciaman, E. Sarandan, E. Crasmareanu, Z. Simon, Lipophilicity evaluation of some monoazoic dyes and of a series of arylamides by means of partition coefficients and RP-TLC, Annals West Univ. Timisoara, Series of Chemistry, 12, 1453 (2003). 🠔
  13. 13. I. Bialas, J. Arct , M. Mojski , Safety of hair dyes use. Toxicological exposure, J. Appl. Cosmetol ., 27, 97 (2009). 🠔
  14. 14. Ε. Baker, G. Hunt, Factors affecting foliar penetration and translocation of pesticides, ACSSymp. Series, 371, 8 (1988). 🠔
  15. 15. S. Joerg, B. Peter, Modeling penetration of plant cuticles by crop protection agents and effects of adjuvants on their rates of penetration, Pestic. Sci ., 42, 185 (1994). 🠔
  16. 16. W. Ibrahim, W. Aini, D. Hermawan, H. Mohamed, Y. Hassan, Rapid estimation of octanol-water partition coefficient for triazole fungicides by MEKC with sodium deoxycholate as surfactant, Chromatographia, 68, 415 (2008). 🠔
  17. 17. K. Itagaki, M. Hino, R. Pagador, S. Surapunt, Distribution of elements between liquid alloy and slag phases in extractive metallurgy, Berichte der Bunsengesellschaft für physikalische Chemie, 102, 1304 (1998). 🠔
  18. 18. Ε. Vojtech, J. Zdenek, J. Claude, J. Emil, Zinc partitioning between glass and silicate phases in historical and modern lead-zinc metallurgical slags from the Pribram district, Czech Republic, Comptes Rendus lAcad. Sci ., 331, 245 (2000). 🠔
  19. 19. D. Cronin, T. Mark, The role of hydrophobicity in toxicity prediction, Curr. Comm. Aided Drug Design, 2, 405 (2006). 🠔
  20. 20. N. Simmleit, R. Herrmann, The behavior of hydrophobic, organic micropollutants in different karst water systems. II. Filtration capacity of karst systems and pollutant sinks, Water, Air, SoilPollut ., 34, 97 (1987). 🠔
  21. 21. J. Arey, G. Samuel, P. Gschwend, A physical-chemical screening model for anticipating widespread contamination of community water supply wells by gasoline constituents, J. Contam. Hydrol ., 76, 109 (2005). 🠔
  22. 22. S. Banerjee, S.H. Yalkowsky, S.C. Valvani, Water solubility and octanol/water partition coefficients of organics. Limitations of the solubility-partition coefficient correlation, Environ. Sci. Technol ., 14, 1227 (1980). 🠔
  23. 23. S.H. Hilal, S.W. Karickhoff, L.A. Carreira, Prediction of the solubility, activity coefficient and liquid/liquid partition coefficient of organic compounds, Mol. Informat ., 23, 709 (2004). 🠔
  24. 24. J. Sangster, Octanol-water partition coefficients of simple organic compounds, J. Phys. Chem. Ref Data, 18, 1111 (1989). 🠔
  25. 25. C. Chiou, V.H. Freed, D.W. Schmedding, R.L. Kohnert, Partition coefficient and bioaccumulation of selected organic chemicals, Environ. Sci. Technol ., 11, 475 (1977). 🠔
  26. 26. R. Collander, The partition of organic compounds between higher alcohols and water, Acta Chem. Scand ., 5, 774 (1951). 🠔
  27. 27. J. Sangster, "Octanol-water partition coefficients", John Wiley Ltd., Chichester, 1997. 🠔
  28. 28. D.T. Sawyer, W.R. Heineman, J.M. Beebe, "Chemistry experiments for instrumental analysis", Wiley, New York, 1984. 🠔
  29. 29. B. Jayshree, A. Sahu, M. Murthy, K. Venugopala, Synthesis, determination of partition coefficient and antimicrobial activity of triazole thiadiazinyl bromocoumarin derivatives, Mat. Sci. Res. Ind ., 3, 187 (2005). 🠔
  30. 30. J.A. Riddick, W.B. Bunger, T. Sakano, "Organic solvents: Physical properties and methods of purification (techniques of chemistry)", 4th edition, A Wiley-Interscience Publication, John Wiley, New York , 1986. 🠔
  31. 31. C. Hansch , A. Leo , "Substituent constants for correlation analysis in chemistry and biology", John Wiley Ltd., New York , 1979, p. 178. 🠔
  32. 32. A. Leo , D. Hoekman, C. Hansch , "Exploring QSAR, hydrophobic, electronic and steric constants", American Chemical Society, Washington, 1995. 🠔
  33. 33. Ε. Rowe, F. Zhang, T. Leung, J. Parr, P. Guy, Thermodynamics of membrane partitioning for a series of n-alcohols determined by titration calorimetry: Role of hydrophobic effects, Biochemistry, 37, 2430 (1998). 🠔
  34. 34. M. Fresta, S. Guccione, A.R. Beccari, P.M. Furneri, G. Puglisi, Combining molecular modeling with experimental methodologies: Mechanism of membrane permeation and accumulation of ofloxacin, Bioorg. Med. Chem ., 10, 3871 (2002). 🠔
No potential conflict of interest was reported by the authors.
Sh. Baluja, A. Kulshrestha, J. Movalia, 1-Octanol-water partition coefficient of some cyanopyridine and chalcone compounds, Rev. Colomb. Cienc. Quím. Farm., 46(3), 342-356 (2017).