Revista Colombiana de Ciencias Químico - Farmacéuticas
0034-7418
Departamento de Farmácia, Facultad de Ciencias, Universidade Nacional da Colombia
https://doi.org/10.15446/rcciquifa.v47n2.73969

Recibido: 19 de diciembre de 2017; Aceptado: 5 de abril de 2018

Acetilación del almidón de millo (Pennisetum glaucum) y evaluación de su aplicación como posible excipiente

Acetylation of millet starch (Pennisetum glaucum) and evaluation of its application as a possible excipienty

A. Sulbarán, 1G. Matiz, 1Y. Baena, 1*

Universidad Nacional de Colombia, sede Bogotá, Facultad de Ciencias, Departamento de Farmacia, Grupo de investigación Tecnología de Productos Naturales (Tecprona), Ciudad Universitaria, carrera 30 No. 45-03, Bogotá, D. C., (111311), Colombia. Universidad Nacional de Colombia Universidad Nacional de Colombia Facultad de Ciencias Departamento de Farmacia, Grupo de investigación Tecnología de Productos Naturales (Tecprona) Bogotá D. C Colombia

Correo electrónico: ybaenaa@unal.edu.co.

RESUMEN

Los almidones nativos se utilizan en la fabricación de productos farmacéuticos, cosméticos y de alimentos. Tienen limitaciones que pueden mejorarse mediante modificaciones físicas, químicas o enzimáticas. Los almidones de millo y maíz (referencia) se modificaron por acetilación a tres niveles. Se evaluaron fisicoquímicamente y farmaco-técnicamente, para comparar el comportamiento de los almidones modificados frente al nativo. El almidón de maíz alcanzó mayores índices de sustitución. A mayor acetilación, la capacidad del almidón de incorporar agua mejoró, reflejándose en índices de hincha-miento y de sorción más altos, así como un incremento en la viscosidad. Se evidenció una mayor estabilidad de los geles del almidón de millo con menor tendencia a la sinéresis. La temperatura de gelatinización disminuyó a medida que aumentaba la acetilación, lo que permitiría obtener geles más rápido y con menor consumo de energía. El perfil de cristalinidad no se vio modificado sustancialmente. No se evidenciaron cambios importantes en las propiedades farmacotécnicas de los almidones modificados frente a los nativos. La captación de agua en el estado sólido favoreció la rápida desintegración en tabletas. Estos aspectos muestran un potencial del uso del almidón de millo acetilado en la industria farmacéutica y de alimentos como agente gelificante y desintegrante.

Palabras clave:

Pennisetum glaucum, Zea mays, almidones modificados, acetilación.

SUMMARY

Native starches are very useful in the manufacture of pharmaceutical, cosmetic and food products. However, they have important limitations, which can be improved by physical, chemical or enzymatic modifications. Millet and maize starches (reference), were modified at three levels. Physicochemical and pharmaceutics tests were applied to evaluate changes in behavior. Under the same conditions, corn starch achieved higher substitution rates. Acetylation of starches, in more extensive, causes changes in the ability of the starch to trap water. The rates of swelling (swelling power) and sorption increase, as viscosity. There were an improve behavior in the characteristics of the gels and the water uptake. This behavior improves stabilization of gels, with less tendency to syneresis. The gelatinization temperature decreases as acetylation increases. By reducing the gelatinization temperature, gels are obtained in less time and with less energy consumption. The crystallinity profile do not change substantially. There were no significant changes in the pharmaceutics properties of the modified starches compared to the native ones. Higher water uptake in the solid state favors rapid disintegration in tablets. These aspects show a potential use of acetylated millet starch in the pharmaceutical and food industry as a gelling and disintegrating agent.

Key words:

Pennisetum glaucum, Zea mays, starch, acetylation.

INTRODUCCIÓN

El almidón es uno de los materiales de mayor utilidad en la industria alimenticia, farmacéutica y cosmética [1]. Gracias a sus propiedades fisicoquímicas, el almidón nativo (en su estado natural) es una excelente materia prima para modificar la textura y consistencia de los alimentos. En función de estas propiedades es empleado en la preparación de sopas, helados, gelatinas y conservas [2]. En la industria farmacéutica, se emplea como excipiente, cumpliendo funciones como desintegrante, diluyente y aglutinante en la elaboración de distintas formas farmacéuticas y en la fabricación de formas cosméticas como polvos. Sin embargo, la necesidad de mejorar sus propiedades fisicoquímicas, estabilidad y extender sus usos, hace necesaria su modificación por distintos métodos físicos, químicos o enzimáticos [3].

El millo, Pennisetum glaucum, es una gramínea anual originaria de las zonas subtropicales y tropicales de África, ampliamente sembrada como un cultivo de subsistencia en el trópico semiárido de África y la India, en donde ocupa un área cercana a los 30 millones de hectáreas [4,5]. En Colombia se produce en climas cálidos y templados hasta los 1.800 metros sobre el nivel del mar, se encuentra en departamentos como Atlántico, Meta y Casanare. El millo es un cultivo rústico, resistente a las sequías, temperaturas altas y suelos arenosos con bajo contenido de materia orgánica. Su valor nutricional, especialmente su contenido de proteínas, grasas y minerales, es comparable o superior a otros granos de cereal [4,5].

En el marco del desarrollo del presente trabajo, se realizaron modificaciones químicas al almidón nativo de millo (Pennisetum glaucum), como fuente no tradicional de almidón, mediante la reacción de acetilación, con el fin de evaluar la posibilidad de mejorar algunas de las propiedades del almidón nativo, para su posible aplicación en los campos farmacéutico, cosmético o alimenticio.

METODOLOGÍA

A continuación, se presentan los ensayos realizados tanto para el almidón de millo modificado y sin modificar, como para el almidón de maíz empleado como punto de referencia de comparación.

Extracción del almidón

El almidón usado para el desarrollo del presente estudio, se obtuvo a partir del millo (Pennisetum glaucum), adquirido en el mercado público del municipio de Sabanalarga, departamento del Atlántico, Colombia. Se escogió el material fresco, entero, con adecuadas características organolépticas. Una vez disponible el material, se inició con un proceso de molienda para partir el grano, sin disminuir inicialmente demasiado su tamaño. Se retiró la cáscara de forma manual, lanzando el material al aire y recibiéndolo en una bandeja para separar la cascarilla del grano molido. Después de este proceso, se seleccionó el material limpio, sin presencia de cáscaras o partículas extrañas, para molerse nuevamente hasta el menor tamaño de partícula posible (impalpable). Posteriormente, se realizaron lavados sucesivos retirando las cáscaras y el material extraño suspendido. Se filtró, lavándose el material sólido con agua y se realizó el último lavado con alcohol USP, para evitar la contaminación microbiológica. Se llevó a un horno de secado a 50 °C por 12 horas (estufa, Doa-p704-aa, E.U.), el material seco se pasó a través de un tamiz malla No. 40 y se almacenó en un recipiente hermético hasta su uso [6].

Acetilación, determinación de grupos acetilo y grado de sustitución

El almidón nativo fue acetilado a tres niveles variando las cantidades de anhídrido acético adicionadas (grado reactivo, J.T. Baker - 5, 10 y 15 mL para los niveles I, II y III, respectivamente), empleando el método descrito por Wolff et al. [7], con algunas modificaciones. Se preparó una suspensión que contenía 40 g de almidón nativo (Pennisetum glaucum) en 100 mL de agua destilada, ajustando el pH a 8,5 (pH-metro, Mettler Toledo, Suiza) con una solución de NaOH 3,0% (grado reactivo, Merck, Alemania), con agitación constante (plancha de agitación, talboys hotplate-stirrer, E.U.). Se procedió a adicionar lentamente (gota a gota) el volumen de anhídrido acético definido, ajustando simultáneamente el pH entre 8,0-8,5 con el mismo hidróxido, dejando estabilizar el sistema por 10 minutos. Seguidamente, se ajustó el pH del sistema a 5, con una solución HCl 0,5 N (grado reactivo, Merck, Alemania), se centrifugó a 2.500 rpm durante 10 minutos y el residuo se lavó tres veces con agua destilada y finalmente con alcohol USP, con centrifugaciones sucesivas. El almidón modificado obtenido se secó en un horno de bandejas (estufa, Doa-p704-aa, E.U.) a 40 °C por 12 horas. Para la verificación de la reacción, se realizaron espectros IR de los almidones nativos y acetilados (Sprectrum BX, Perkin Elmer, E.U.). El espectro se hizo en un intervalo de longitud de onda de 400-4.000 cm-1.

Para las determinaciones del porcentaje de acetilación (PA) y el grado de sustitución (GS), se empleó la técnica de saponificación alcalina descrita por Genung y Rusell, con modificaciones [9]. En un matraz de 250 mL se adicionaron 1,0 g del almidón acetilado (base seca), 50 mL de una solución de etanol-agua (70% v/v), y luego 50 mL de una solución de KOH (grado reactivo, Merck, Alemania). La mezcla se agitó y se mantuvo a 50 °C durante 30 minutos, y posteriormente se conservó a temperatura ambiente por 72 horas con agitación ocasional. El exceso de álcali fue valorado por retroceso con una solución de HCl 0,25 N (grado reactivo, Merck, Alemania), usando fenolftaleína (grado reactivo, J.T. Baker, E.U.) como indicador. Simultáneamente se realizó un blanco con una muestra del almidón nativo siguiendo el mismo procedimiento. Los cálculos se hicieron empleando la ecuación (1).

donde: 0,043 = mili equivalentes del grupo acetilo.

La determinación del GS, que corresponde al número promedio de grupos hidroxilo que se reemplazaron por grupos acetilo en la unidad de anhidroglucosa (UAG), se calcula empleando la ecuación (2).

Donde:

PA teórico = porcentaje de acetilos teórico.

162 = masa molar de la UAG.

4.300 = 100 χ masa molar del grupo acetilo.

42 = masa molar del grupo acetilo menos 1.

Determinación del poder de hinchamiento, solubilidad y absorción de agua

Para determinar el poder de hinchamiento, solubilidad y absorción de agua, se usó el método propuesto por Tsai et al. [10], con algunas modificaciones. La determinación se realizó en un rango de temperatura entre 55 °C y 90 °C. Cuatro gramos de almidón se transfirieron cuantitativamente con 200 mL de agua a un balón de 300 mL de tres bocas, dentro del cual se introdujo un agitador magnético. En la boca central del balón se conectó un refrigerante, en otra un termómetro y en la tercera boca se ubicó un tapón que se removió durante el análisis, para los muestreos correspondientes. El balón se colocó sobre una plancha de calentamiento con agitación. Se hizo un control de la temperatura y se tomaron alícuotas de 10 mL cada 5 grados entre 55 °C y 90 °C, con agitación a velocidad constante permitiendo mantener el almidón en suspensión durante el calentamiento. Dichas alícuotas se colocaron en tubos de centrífuga previamente pesados. Los tubos de centrífuga con la alícuota a temperatura ambiente se pesaron nuevamente. Se centrifugaron a 2.200 rpm durante 15 minutos. El líquido sobrenadante se llevó a cápsulas de porcelana previamente taradas, secando en estufa a 60 °C hasta peso constante. Se utilizaron las ecuaciones (3), (4), (5) y (6) para los cálculos correspondientes.

A = masa de alícuota (g).

a = masa del sedimento en el tubo (g).

b = masa del residuo en la caja de Petri (almidón solubilizado, g).

W 1 = porcentaje de almidón en base seca de la suspensión.

W 2 = almidón en cada alícuota.

% SS = porcentaje de sólidos solubles (g/g almidón).

PH = poder de hinchamiento

Determinación de la viscosidad aparente

Se prepararon dispersiones de almidón al 5% (p/v) en agua, y se colocaron inicialmente en calentamiento en un baño con agua hirviendo durante 15 minutos y luego se enfriaron a temperatura ambiente (25 °C). La viscosidad aparente de las dispersiones frías se midió a 25 °C (viscosímetro, Brookfield, E.U.) a cuatro velocidades (2, 4, 10 y 20 min-1) utilizando la aguja No. 3 [11].

Determinación de la temperatura de gelatinización

El rango de temperatura de gelatinización fue determinado por calorimetría diferencial de barrido (DSC- Mettler Toledo 822e, Suiza), previamente calibrado con indio, empleando el método propuesto por Mirmoghtadaie et al. [8], con algunas modificaciones. Se pesaron aproximadamente 2,2 mg de muestra en un crisol de aluminio, se adicionaron 7,5 μL de agua, se selló herméticamente y se dejó equilibrar por espacio de 30 minutos antes de hacer el análisis. Transcurrido el tiempo de humectación, la muestra se sometió a un programa de calentamiento en un rango de temperatura de 10 °C a 120 °C, a una velocidad de calentamiento de 10 °C min-1.

Determinación de la sinéresis

La prueba de sinéresis se realizó aplicando la metodología descrita por Sodhi y Singh [12]. Una dispersión de almidón (5% p/p) gelificado a 90 °C por 30 minutos, se sometió a enfriamiento rápido en un baño de hielo hasta temperatura ambiente (25 °C). Las muestras se almacenaron por 48, 72, 96 y 168 horas a 4 °C. La sinéresis se determinó como el porcentaje de agua liberada después de centrifugar a 3.200 rpm durante 15 minutos.

Determinación de las isotermas de sorción

A las diferentes muestras se les evaluó su comportamiento de sorción, utilizando una propuesta de diseño del equipo de Enslin (figura 1), y se les aplicó la metodología propuesta por Nogami et al., con modificaciones [13]. Este equipo presenta en uno de los extremos el soporte portamuestra (celda), que consta de un embudo de vidrio con una frita sobre la que se colocó el material a evaluar. En el otro, una pipeta graduada, que se encuentra al mismo nivel superior de la frita (para evitar el efecto de la presión hidrostática). Este sistema se llenó con agua destilada (25 °C), aprovechando prácticamente la totalidad de la pipeta; la posición del fluido en ese momento constituye el punto cero de la pipeta (posición inicial). Se colocó la muestra en forma centrada en la celda del equipo. La muestra sometida al ensayo, toma líquido por capilaridad (no debe actuar ninguna otra fuerza). Se midió el volumen captado a intervalos de tiempo predeterminados.

Representación esquemática del aparato de Enslin.

Figura 1: Representación esquemática del aparato de Enslin.

Caracterización por difracción de rayos X (DRX)

Se realizó el análisis en un rango de 10°-70° 2θ/θ, con una velocidad de barrido de 0,066°2G/s empleando el equipo de rayos X (Panalytical X pert Pro MPD, Holanda), y se aplicó una metodología similar a la de Ayala et al. [14].

Forma y tamaño de partícula

La morfología de los gránulos se determinó empleando un microscopio de barrido electrónico FEI cuanta 200, recubriendo la muestra con oro-paladio, y se utilizó la metodología descrita por Rodríguez et al. [15]. El tamaño se evaluó usando un equipo Mastersizer 2000 (Malvern Instrument 2000S, Reino Unido), con un índice de refracción de 1,494 y precisión de ±1%, y se aplicó la metodología descrita por Kaur et al. [16], con algunas modificaciones.

Densidad aparente y apisonada

Para determinar la densidad aparente se siguió una metodología similar a la indicada en la USP39 [17]. Un gramo de material, exactamente pesado, se incluyó en una probeta certificada de 5 mL, dejándolo caer libremente y tomando la lectura del volumen ocupado. Posteriormente, el material en la probeta se sometió a vibración, después de lo cual se midió el volumen ocupado, que corresponde al volumen apisonado y es el requerido para el cálculo de la densidad apisonada.

Con los datos de densidad se calcularon el índice de Hausner y el índice de Carr [15]. Las ecuaciones involucradas en los diferentes cálculos se presentan a continuación:

Compresibilidad

Se siguió el método de Kaplan y Wolf, empleando una prensa hidráulica (Carver Laboratory Press, E.U.) y comprimiendo cada uno de los materiales de manera independiente a una tonelada de presión. De acuerdo con esta metodología, se evaluaron las características individuales de los materiales a comprimir: dificultad de eyección, presencia de laminación, adhesión a los punzones y test de desintegración (equipo desintegración, Distek sensIR 3200, E.U.) [18].

RESULTADOS Y DISCUSIÓN

El porcentaje de rendimiento obtenido para el proceso de extracción del almidón de millo, siguiendo la metodología anteriormente descrita, fue del 10,3%, después de realizar varios ensayos preliminares para mejorar el proceso. El material obtenido presentó un color blanco grisáceo, libre de material extraño, olor y textura parecida a la del almidón de maíz.

Los grados de sustitución (GS) (tabla 1) muestran que este fue mayor en la medida que se aumentó el volumen de anhídrido acético adicionado, como era de esperarse. Al comparar los resultados del almidón de millo con los del almidón de maíz, se observa un comportamiento similar en ambos casos, siendo mucho mayor el GS para el almidón de maíz.

Tabla 1: Grados de sustitución obtenidos.

PA: porcentaje de grupos acetilo, GS: grado de sustitución.

La acetilación de los almidones se confirmó mediante IR, comparando el almidón nativo con el modificado para los dos almidones evaluados, y presentó la aparición de una señal a los 1.748 cm-1, correspondiente al estiramiento C=O, debido a la introducción de un grupo carbonilo (resultados no mostrados).

Las pruebas realizadas a los almidones pretendieron evaluar si se presentan diferencias o no entre los almidones modificados y nativos y así poder evidenciar si existe alguna ventaja asociada al proceso de acetilación, así como alguna posible aplicación en caso de existir esta ventaja. Por esta razón, los resultados y la discusión que se presentan a continuación, involucran la comparación de los almidones nativos y modificados para cada uno de los casos. En primer lugar, se muestran los resultados de las caracterizaciones efectuadas a los almidones en dispersión y, posteriormente, las pruebas en el estado sólido.

En dispersión

Los resultados de los ensayos en dispersión muestran ventajas en términos del poder de hinchamiento y de la viscosidad, del almidón de millo modificado en comparación del almidón de maíz; este último con grandes aplicaciones en el campo farmacéutico y de alimentos [19].

Poder de hinchamiento

Los resultados de las pruebas de determinación del poder de hinchamiento (figura 2), evidencian una mayor capacidad para el almidón de millo en comparación del almidón de maíz, viéndose esta incrementada con la temperatura y con el aumento del GS. El nivel de hinchamiento (número de veces que incrementa su tamaño) fue mayor para los almidones acetilados de millo presentando valores cercanos a 25; para los almidones modificados de maíz, estos valores fueron siempre menores a 15.

Poder de hinchamiento para los almidones de millo (nativo y modificados), a la izquierda, y maíz (nativo y modificados) como referencia, a la derecha.

Figura 2: Poder de hinchamiento para los almidones de millo (nativo y modificados), a la izquierda, y maíz (nativo y modificados) como referencia, a la derecha.

De acuerdo con la literatura, el poder de hinchamiento se incrementa, por lo general en almidones acetilados [14,20,21]. Los cambios en los valores de hinchamiento observados en los almidones modificados, pueden atribuirse a la introducción de los grupos acetilo sustituyentes que retienen moléculas de agua mediante puentes de hidrógeno en los gránulos de almidón, facilitando su acceso a las áreas amorfas del mismo [12].

Perfil de viscosidad

Los perfiles comparativos de la viscosidad aparente en función de la velocidad de corte (figura 3), para los almidones nativos y modificados de millo y de maíz, ilustran una disminución de la misma en función del aumento de la velocidad de corte para todas las muestras, demostrando un comportamiento pseudoplástico. Los valores más altos de viscosidad, se dan para las dispersiones del almidón de millo, siendo más altos en la medida que aumenta el GS. Es así como el almidón modificado de millo nivel III, mostró los valores más altos de viscosidad, 40.000 cP, valor superior a lo encontrado para los almidones acetilados de maíz y a los no modificados de maíz, con valores cercanos a los 20.000 cP.

Viscosidad aparente para los almidones de maíz y millo en estudio.

Figura 3: Viscosidad aparente para los almidones de maíz y millo en estudio.

La acetilación de los almidones de millo y maíz generaron un incremento de la viscosidad aparente, alcanzando mayores valores de viscosidad para el almidón de millo, como se comentó anteriormente. Un comportamiento similar es reportado por Bello-Pérez et al., en estudios realizados al almidón de maíz y al almidón de plátano [11]. Algunos autores atribuyen este comportamiento al aumento de la capacidad de retener agua y al desarrollo de estructuras más organizadas, por la introducción de los grupos acetilo en la molécula de almidón [22,23].

Temperatura de gelatinización

Los resultados de la determinación de la temperatura de gelatinización (figuras 4 y 5 y tabla 2), por calorimetría diferencial de barrido (DSC), muestran una disminución de esta temperatura con la acetilación. No hay una tendencia clara con los diferentes GS para ambos almidones. Es de resaltar que en el almidón de millo la disminución fue casi de 10 °C desde 71,41 °C, para el almidón no modificado, hasta 61,83 °C para el acetilado con mayor GS (nivel III). Para el almidón de maíz esta temperatura disminuyó en aproximadamente ocho grados.

Termograma de los almidones de maíz acetilados. Almidón de maíz 5 mL: nivel I; almidón de maíz 10 mL: nivel II; almidón de maíz 15 mL: nivel III.

Figura 4: Termograma de los almidones de maíz acetilados. Almidón de maíz 5 mL: nivel I; almidón de maíz 10 mL: nivel II; almidón de maíz 15 mL: nivel III.

Termograma de los almidones de millo acetilados. Almidón de millo 5 mL: nivel I; almidón de millo 10 mL: nivel II; almidón de millo 15 mL: nivel III.

Figura 5: Termograma de los almidones de millo acetilados. Almidón de millo 5 mL: nivel I; almidón de millo 10 mL: nivel II; almidón de millo 15 mL: nivel III.

Tabla 2: Temperatura de gelatinización evaluada para los almidones nativos y modificados de maíz y millo.

La disminución de la temperatura de gelatinización, observada en los almidones modificados, podría atribuirse al daño sufrido por el gránulo, que involucra la interrupción de las dobles hélices en las regiones amorfas debida a los grupos acetilo ahora presentes, lo que a su vez disminuye las tensiones de los grupos hidroxilos existentes en los almidones sin modificar. Por otra parte, la voluminosidad de los grupos acetilos le da más flexibilidad al biopolímero, lo que contribuye también a la reducción de esta temperatura, en los almidones acetilados [24].

Sinéresis

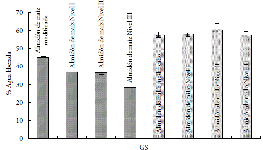
El porcentaje de agua liberada para las muestras de almidón en estudio (figura 6), como resultado del ensayo de estabilidad al congelamiento-descongelamiento se hace menor en los almidones de maíz modificados en comparación con los de millo, mostrándose más estables; mientras que para los almidones modificados de millo la acetilación solo mejoró ligeramente este comportamiento. Este aumento de la estabilidad es notorio para el almidón de maíz posiblemente atribuido al mayor GS alcanzado, disminuyendo el porcentaje de agua liberada del 44,7% para el almidón de maíz nativo hasta 27,94% para el almidón de maíz con el GS más alto. Para el almidón de millo, la reducción del agua liberada fue del 0,5%, comparando el almidón nativo con el de mayor GS.

Estabilidad al congelamiento-deshielo del almidón de maíz y el de millo (sinéresis): porcentaje de agua liberada en función del grado de sustitución (GS).

Figura 6: Estabilidad al congelamiento-deshielo del almidón de maíz y el de millo (sinéresis): porcentaje de agua liberada en función del grado de sustitución (GS).

La estabilidad al congelamiento-descongelamiento se mejora ligeramente en el almidón modificado de millo, tal vez debido a la introducción de los grupos acetilos que aumentan la capacidad de retención de agua y que se vio claramente evidenciada para el almidón de maíz, como se explicó antes [20-21,25].

En el estado sólido

Los resultados de la mayoría de las pruebas en el estado sólido no difieren mucho entre el almidón nativo y el acetilado, para el caso del almidón de millo.

La determinación de las isotermas de sorción empleando el equipo de Enslin (figura 7), evidencia que para los almidones no modificados se observa una velocidad constante de sorción, menor a la de los acetilados. Los almidones de millo, nativo y acetilados, captaron mayor volumen de agua que los almidones de maíz, a pesar de su menor GS.

Isotermas de sorción del almidón de maíz y el de millo, expresada como el volumen captado en función del tiempo.

Figura 7: Isotermas de sorción del almidón de maíz y el de millo, expresada como el volumen captado en función del tiempo.

Este aumento en la capacidad de sorción, debida a la acetilación, se favorece seguramente por la inclusión de los grupos acetilos que facilitan la incorporación de moléculas de agua en el almidón, por la formación de puentes de hidrógeno [4,23].

Difracción de rayos X

La evaluación de difracción de rayos X (DRX) (figura 8) evidencia, de manera cualitativa, una disminución de la intensidad de todas las señales a medida que se incrementa el GS; sin embargo, los ángulos a los que se presentan estas señales no se modificaron con estas variaciones.

Perfil cristalográfico de los almidones de maíz (a) y millo (b) en estudio mediante DRX.

Figura 8: Perfil cristalográfico de los almidones de maíz (a) y millo (b) en estudio mediante DRX.

Los difractogramas muestran que la reacción de acetilación aparentemente produce daños pequeños en la estructura cristalina de los almidones modificados de millo; resultados similares se encontraron para las muestras de almidón de maíz acetilado [25,26].

Morfología

Las fotografías obtenidas por microscopia electrónica de barrido para los almidones nativo y acetilado de millo y maíz nivel III (figuras 9 y 10), permitieron evidenciar su forma poligonal irregular, con una superficie rugosa para el caso del almidón de millo. Para el almidón de maíz se observó una superficie lisa y tamaño uniforme, posiblemente debido al origen industrial de las muestras analizadas. Los almidones modificados se caracterizaron por un mayor estado de agregación y ruptura en la estructura del gránulo, similar a lo encontrado por otros autores [25].

Microfotografías de los almidones de millo (izquierda) y de maíz (derecha) no modificados (3200X), por SEM.

Figura 9: Microfotografías de los almidones de millo (izquierda) y de maíz (derecha) no modificados (3200X), por SEM.

Microfotografías de los almidones de millo (izquierda) y de maíz (derecha) modificados a nivel III (3200X), por SEM.

Figura 10: Microfotografías de los almidones de millo (izquierda) y de maíz (derecha) modificados a nivel III (3200X), por SEM.

Los gránulos de almidón de maíz aparentemente no fueron erosionados por el proceso de acetilación, debido probablemente a su pequeño tamaño de gránulo [16]. Van Hung y Morita, en un estudio del efecto del tamaño del gránulo en almidones acetilados, mostraron que cuando el tamaño del gránulo es mayor, sufren mayor daño durante el proceso de modificación química [27], lo que explicaría la presencia de gránulos más amorfos y con imperfecciones en su superficie, para el caso del almidón de millo acetilado.

Tamaño de partícula

En cuanto al tamaño de partícula (figura 11), se observa una disminución para los almidones en estudio, en la medida que aumenta el GS, tanto para el almidón de maíz como para el de millo, siendo este último el de mayor tamaño. El almidón de maíz nativo presenta un tamaño de partícula menor a 30,664 μπι (para el 90% de las partículas), mientras el de millo tiene un tamaño menor a 90,778 μm (para el 90% de las partículas). El almidón de millo disminuyó significativamente su tamaño de partícula con la acetilación, el 90% de las partículas que tuvieron un tamaño menor a 51,1 μm cuando se llega al mayor GS, de acuerdo con los reportes generados por el equipo Mastersizer®.

Tamaño de partícula de los almidones de maíz y millo en función del grado de sustitución. Nat: nativo; Nivel I: grado de sustitución 1; Nivel II: grado de sustitución II; Nivel III: grado de sustitución III.

Figura 11: Tamaño de partícula de los almidones de maíz y millo en función del grado de sustitución. Nat: nativo; Nivel I: grado de sustitución 1; Nivel II: grado de sustitución II; Nivel III: grado de sustitución III.

La diferencia en el tamaño de partícula de los dos almidones está asociada con su origen [12]. La disminución en el tamaño de partícula con el aumento en el GS, puede deberse a la reacción química, que ocasiona un daño en los gránulos de mayor tamaño, como ha sido reportado en la literatura [25].

Densidad aparente, densidad apisonada y propiedades relacionadas

La densidad apisonada (figura 12) presentó un aumento respecto a la densidad aparente, para los dos almidones, pero la tendencia no fue muy clara al aumentar el GS. Los almidones de millo en estudio presentaron mayor voluminosidad aparente con valores entre 2,76 y 3,22, su voluminosidad apisonada se encontró entre 1,40 y 1,57; los almidones de maíz presentaron menor voluminosidad aparente (1,75-2,01) y voluminosidad apisonada entre 1,32 y 1,44.

Densidad aparente y apisonada para los almidones de millo y maíz modificados y nativos en función del grado de sustitución (GS).

Figura 12: Densidad aparente y apisonada para los almidones de millo y maíz modificados y nativos en función del grado de sustitución (GS).

Los valores de índice de Hausner (tabla 3) de 1,26 a 1,97 clasifican a los almidones de maíz y millo, acetilados y no modificados como materiales de una fluidez pobre a extremadamente pobre; la acetilación de estos almidones no mostró un cambio favorable con respecto a este índice. Los valores de índice de Carr (tabla 3) sugieren una compresibilidad extremadamente pobre para el almidón de millo, 41-47 y pobre para el almidón de maíz con valores de 21-28.

Tabla 3: Índices de Hausner y de Carr para los almidones nativos y modificados de maíz y millo.

El leve incremento observado en la densidad apisonada con el aumento en el grado de sustitución para el almidón de millo, podría atribuirse a la disminución del tamaño del gránulo explicado previamente y, por consiguiente, a su mejor empaquetamiento [12]. El aumento del GS no permitió mejoras significativas en las características de fluidez, compresibilidad o voluminosidad de los almidones de millo y maíz acetilados y no modificados. Rodríguez et al. encontraron resultados similares para el almidón de arracacha no modificado [15].

Compresión

El comportamiento bajo compresión no fue bueno, se caracterizó porque los almidones analizados presentaron adherencia a la matriz y dificultad en la expulsión. Las tabletas elaboradas y sometidas a observación por dos días, se mostraron inestables, liberando polvo y presentando grietas. El test de desintegración no mostró modificación en el tiempo entre las que se elaboraron con el almidón nativo y el acetilado, en todos los casos los tiempos de desintegración fueron menores a 1 minuto.

Teniendo en cuenta que los tiempos de desintegración entre los almidones nativos de millo y maíz fueron similares, se evidencia la capacidad del almidón de millo para emplearse como agente desintegrante, lo que concuerda con un estudio realizado en el que se emplea cloroquina como fármaco y el almidón de millo nativo como desintegrante [4].

De los resultados conseguidos se observan diferencias con la literatura científica, atribuidas, entre otras, a las fuentes del almidón de millo que no siempre son las mismas, incluso se han trabajado con otras especies [25,28] o la misma pero provenientes de sitios diferentes [4].

CONCLUSIONES

La acetilación realizada al almidón de millo, produjo mejoras en sus propiedades en dispersión como su poder de hinchamiento, perfil de viscosidad y disminución de su temperatura de gelatinización y, en menor grado, una disminución de la sinéresis, lo que plantearía posibles aplicaciones de este almidón en la elaboración de geles más estables y fáciles de obtener, que los que se consiguen con el almidón nativo ya sea en el campo farmacéutico o en el de alimentos.

Los resultados no permitieron evidenciar mejoras en propiedades como la voluminosidad, la fluidez y la compresibilidad; por tanto, no es adecuado para emplearse como diluyente de compresión directa. Sin embargo, su buen comportamiento en la sorción de agua (mejor que el del almidón de maíz) y bajos tiempos de desintegración como almidón nativo, confirman que pudiera emplearse como desintegrante en la elaboración de formas farmacéuticas sólidas de liberación inmediata, de manera similar a lo reportado por otros autores [4].

Acknowledgements

AGRADECIMIENTOS

Los autores manifiestan su agradecimiento por la financiación recibida de la División de Investigación y Extensión de la Universidad Nacional de Colombia, sede Bogotá, para llevar a cabo este proyecto (Código Proyecto: 12205). Además, el apoyo recibido por Laboratorios Procaps S.A.S. al permitirnos usar algunas de sus instalaciones y equipos.

REFERENCIAS

  1. 1. L.A. Bello, E. Agama-Acevedo, En "Starch-based materials in food packaging. Processing, characterization and applications". Ed. por M.A. Villa, S.E. Barbosa, M.A. García, L.A. Castillo, O. López, Elsevier, London, 2017, pp. 1-18. 🠔
  2. 2. C.G. Biliaderis, The structure and interaction of the starch with the food constituents, Can. J. Physiol. Pharmacol ., 69, 60 (1991). 🠔
  3. 3. N. Masina, Y.E. Choonara, P. Kumar, L.C. du Toit, M. Govender, S. Indermun, V. Pillay, A review of the chemical modification techniques of starch, Carbohydr. Polym ., 157, 1226 (2017). 🠔
  4. 4. O.A. Odeku, C.O Alabi, Evaluation of native and modified forms of Pennisetum glaucum (millet) starch as disintegrant in chloroquine tablet formulations, J. Drug Del. Sci. Tech ., 17(2), 155 (2007). 🠔
  5. 5. A.K. Jukanti, C.L. Laxmipathi, K.N. Rai, V.K. Manga, R.K. Bhatt, Crops that feed the world 11. Pearl Millet (Pennisetum glaucum L.): An important source of food security, nutrition and health in the arid and semi-arid tropics, Food Sec ., 8(2), 307 (2016). 🠔
  6. 6. F. Zhu, Structure, physicochemical properties and uses of millet starch, Food Res. Int ., 64, 200 (2014). 🠔
  7. 7. I.A. Wolff, D.W. Olds, G.E. Hilbert, The acylation of corn starch, amylose and amylopectin, J. Am. Chem. Soc ., 73(1), 346 (1951). 🠔
  8. 8. L. Mirmoghtadaie, M. Kadivar, M. Shahedi, Effects of cross-linking and acetylation on oat starch properties, Food Chem ., 116(3), 709 (2009). 🠔
  9. 9. L. Genung, R. Mallatt, Analysis of cellulose derivatives: Determination of total combined acyl in cellulose organic esters, Ind. Eng. Chem. Anal. Ed ., 13(6), 369 (1941). 🠔
  10. 10. M.L Tsai, C.F Li, C.Y Lii, Effects of granular structures on the pasting behaviours of starches, Cereal Chem ., 74(6), 750 (1997). 🠔
  11. 11. L.A. Bello -Pérez, S.M. Contreras-Ramos, R. Romero-Manilla, J. Solorza-Feria, A. Jiménez-Aparicio, Propiedades químicas y funcionales del almidón modificado de plátano Musa paradisiacaL. (var. macho), Agrociencia, 36(2), 169 (2002). 🠔
  12. 12. N.S. Sodhi, N. Singh, Characteristics of acetylated starches prepared using starches separated from different rice cultivars, J. Food Eng ., 70, 117 (2005). 🠔
  13. 13. H. Nogami, T. Nagai, E. Fukuoka, T. Sonobe, Disintegration of the aspirin tablets containing potato starch and microcrystalline cellulose in various concentrations, Chem. Pharm. Bull ., 17, 1450 (1969). 🠔
  14. 14. G. Ayala, I.C. Freitas, R.L. Vinicius, A.M. Quinta-Barbos, P.J. Sobral, Physicochemical, morphological, and functional properties of flour and starch from peach palm (BactrisgasipaesK.) fruit, Starch/Stärke, 67, 163 (2015). 🠔
  15. 15. D. Rodríguez, M. Espitia, Y. Caicedo, Y. Córdoba, Y. Baena, C. Mora, Caracterización de algunas propiedades fisicoquímicas y farmacotécnicas del almidón de arracacha (Arracacia xanthorriza), Rev. Colomb. Cienc. Quím. Farm ., 34(2), 140 (2005). 🠔
  16. 16. L. Kaur, J. Singh, O.J. McCarthy, H. Singh, Physico-chemical, rheological and structural properties of fractionated potato starches,/ Food Eng ., 82, 383 (2007). 🠔
  17. 17. USP 39-NF 34, "The United States pharmacopeia", 4th edition, The United States Pharmacopeial Convention, Rockville, MD, 2016. 🠔
  18. 18. L. Kaplan, E. Wolff, Compression characteristics in tableting, Drug and Cosmetic Industry, 88, 594 (1961). 🠔
  19. 19. C. Chung-Wai, D. Solarek, en "Starch: Chemistry and technology", 3th edition, Elsevier, 2009, p. 629. 🠔
  20. 20. A.B. Das, G. Singh, S. Singh, C.S. Riar, Effect of acetylation and dual modification on physico-chemical, rheological and morphological characteristics of sweet potato (Ipomoea batatas) starch. Carbohydr. Polym ., 80(3), 72 (2010). 🠔
  21. 21. S. Garg, A.K. Jana, Characterization and evaluation of acylated starch with different acyl groups and degrees of substitution, Carbohydr. Polym ., 83, 1623 (2011). 🠔
  22. 22. O. López, N. Zaritzky, M. García, Physicochemical characterization of chemically modified corn starches related to rheological behavior, retrogradation and film forming capacity, J. Food Eng ., 100, 160 (2010). 🠔
  23. 23. W. Berski, A. Ptaszek, P. Ptaszek, R. Ziobro, G. Kowalski, M. Grzesik, B. Achremowicz, Pasting and rheological properties of oat starch and its derivatives, Carbohydr. Polym ., 83(2), 665 (2011). 🠔
  24. 24. C.I.K. Diop, H.L. Li, B.J. Xie, J. Shi, Effects of acetic acid/acetic anhydride ratios on the properties of corn starch acetates, Food Chem ., 126(4), 1662 (2011). 🠔
  25. 25. L. Jeng-Yune, Y. An-I, Relationships between thermal, rheological characteristics and swelling power for various starches, J. Food Eng ., 50(3), 141 (2001). 🠔
  26. 26. H. Chi, K. Xu, X. Wu, Q. Chen, D. Xue, C. Song, W. Zhang, P. Wang, Effect of acetylation on the properties of corn starch, Food Chem ., 106, 923 (2008). 🠔
  27. 27. P. Van Hung, N. Morita, Effect of granule sizes on physicochemical properties of cross-linked and acetylated wheat starches, Starch/Stärke , 57, 413 (2005). 🠔
  28. 28. A. Afolabi, B.I. Olu-Owolabi, K.O. Adebowale, O.S. Lawal, C.O. Akintayo, Functional and tableting properties of acetylated and oxidised finger millet (Eleusine coracana) starch, Starch/Stärke , 64, 326 (2012). 🠔
Los autores declaran no tener conflicto de intereses.
A. Sulbarán, G.E. Matiz, Y. Baena, Acetilación del almidón de millo (Pennisetum glaucum) y evaluación de su aplicación como posible excipiente, Rev. Colomb. Cienc. Quím. Farm, 47(2), 255-276 (2018).