Revista Colombiana de Ciencias Químico - Farmacéuticas
0034-7418
Departamento de Farmácia, Facultad de Ciencias, Universidade Nacional da Colombia
https://doi.org/10.15446/rcciquifa.v47n2.73972

Recibido: 24 de noviembre de 2016; Aceptado: 27 de abril de 2018

Evaluación teórica del desempeño del electrodo, modificado por el oxihidróxido de cobalto (III) en la detección del ácido úrico

Theoretical evaluation of the work of the electrode, modified by cobalt (III) oxyhydroxide, in the uric acid detection

V. Tkach, 12*Y. Ivanushko, 1S. Lukanova, 1M. Kushnir, 1S. de Oliveira, 2R. Ojani, 3O. Luganska, 4P. Yagodynets', 1

Universidad Nacional de Chernivtsi, 58000, calle de Kotsyubyns'ky, 2, Chernivtsi, Ucrania. Universidad Nacional de Chernivtsi Chernivtsi Ucrania
Universidade Federal de Mato Grosso do Sul, Av. Sen. Felinto. Müller, 1555, C/P. 549, 79074460, Campo Grande, MS, Brasil. Universidade Federal de Mato Grosso do Sul Universidade Federal de Mato Grosso do Sul Campo Grande MS Brazil
Universidad de Mazandarán, 3er km. Ruta de Fuerzas Aéreas, 47416-95447, Babolsar, República Islámica de Irán. Universidad de Mazandarán Babolsar República Islámica de Irán
Universidad Nacional de Zaporizhzhya, Facultad de Biología, 69095, calle de Zhukovs'ky, 66, Zaporizhzhya, Ucrania. Universidad Nacional de Zaporizhzhya Facultad de Biología Zaporizhzhya Ucrania

Correo electrónico: nightwatcher2401@gmail.com.

RESUMEN

La posibilidad del empleo de oxihidróxido de cobalto como modificador del electrodo en la detección del ácido úrico se investigó desde el punto de vista teórico. Se sugiere el mecanismo del desempeño del compuesto inorgánico en el proceso, y el modelo, correspondiente al proceso, se analizó mediante la teoría de estabilidad lineal y análisis de bifurcaciones. Se concluye que el oxihidróxido de cobalto puede servir como un modificador eficiente, facilitando la oxidación del analito en medio neutro en el modo galvanostático. La inestabilidad monotónica para este caso no puede realizarse, y la oscilatoria es causada por el único factor.

Palabras clave:

ácido úrico, sensores electroquímicos, electrodos químicamente modificados, oxihidróxido de cobalto (III), estado estacionario estable.

SUMMARY

The possibility of use of cobalt oxyhydroxide as an electrode modifier in the uric acid determination has been investigated from the theoretical point of view. The mechanism of the use of the inorganic compound in the process has been suggested, and the model, correspondent to the process, has been analyzed by means of linear stability theory and bifurcation analysis. It has been concluded that the cobalt oxyhydroxide may serve as an efficient modifier, making easier the analyte oxidation in neutral media in galvanostatic mode. The monotonic instability for this case isn't capable to realize, and the oscillatory behavior is caused by the unique factor.

Key words:

Uric acid, electrochemical sensors, chemically modified electrodes, cobalt (III) oxyhydroxide, stable steady-state.

INTRODUCCIÓN

El uso de electrodos químicamente modificados se ha convertido en una de las herramientas flexibles, modernas y eficientes del análisis electroquímico [1-6]. Sus ventajas se manifiestan en sensibilidad, precisión, exactitud y, principalmente, en la afinidad de materiales modificadores con el analito.

Por un lado, el ácido úrico (es decir, 2,6,8-trihidroxipurina, CAS: 69-93-2) es el producto final del metabolismo de las purinas, no solo en el organismo humano, sino también en algunos animales, como peces, anfibios y serpientes [7], y su producción en el organismo es un proceso genéticamente determinado [8]. Su ausencia causa síntomas de hiperuricemia, asociada a algunos estados dolosos, como el mal de Wilson [9], de Fanconi [10] u otros [11,12]. Por otro lado, su hiperfunción puede causar otros males, como el de Lesch-Nyhan [13], o la llamada "gota" [14]. Así, el desarrollo de un método de la medición de su concentración en el organismo es un problema de hoy día [15-17].

Se han usado varios modificadores de electrodos para la detección del ácido úrico, como los polímeros conductores [18-21], nanopartículas metálicas y sus compósitos [22-24], derivados ferrocénicos [25,26], y el oxihidróxido de cobalto, un semiconductor del tipo p, visto por algunos investigadores como una alternativa al dióxido de titanio [27,28] y usado para detectar las sustancias, cuya oxidación se da en condiciones semejantes [29,30], también puede ser una buena alternativa.

Sin embargo, las propiedades electroanalíticas de este compuesto recién comenzaron a investigarse, y la tentativa de su aplicación al caso del ácido úrico puede enfrentar problemas como los siguientes:

- la incertidumbre acerca del(los) mecanismo(s) más probable(s) del desempeño de la sustancia modificadora y de la oxidación del analito;

- la posibilidad de inestabilidades electroquímicas, capaces de acompañar la elec-troxidación y la electropolimerización de ciertos compuestos orgánicos [31,32], bien como la electrosíntesis del propio CoO(OH) [33];

- la incertidumbre acerca de la posibilidad de reacciones laterales de la modificadora con otras sustancias, presentes en la solución.

La solución para los mencionados problemas se da mediante el análisis del comportamiento de este sistema desde el punto de vista mecanístico, incluyendo el desarrollo y análisis de un modelo matemático, capaz de describir, de forma adecuada, su comportamiento. El modelo también proporciona la posibilidad de comparar el comportamiento de sistemas análogos sin ensayos experimentales.

Así, el objetivo general de este trabajo es el análisis mecanístico del sistema de la electroxidación del ácido úrico sobre el oxihidróxido de cobalto trivalente. Su realización se da por el alcance de objetivos específicos como:

- la sugerencia de un mecanismo de acción de modificadora;

- el desarrollo de un modelo matemático, basado en los datos del mecanismo;

- el análisis del modelo, con la detección de condiciones de estabilidad del estado estacionario y de inestabilidades electroquímicas;

- comparación del comportamiento del modelo con el de los sistemas semejantes [34,35].

EL SISTEMA Y SU MODELO

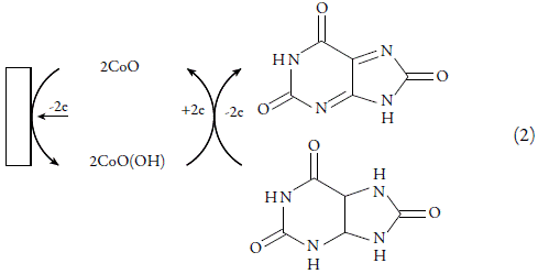
Conforme a los datos de literatura [18-26], en la mayoría de los casos, la detección electroquímica del ácido úrico se da en medio neutro, o ligeramente alcalino, según el mecanismo:

Y esta reacción hace que el sistema conjugado en el producto se establezca sin interrupciones.

Con la participación del oxihidróxido de cobalto, el mecanismo se describe en el esquema (2):

Para investigar el comportamiento del sistema analítico en medio neutro y en modo galvanostático, introducimos tres variables:

c = la concentración del ácido úrico en la capa presuperficial;

θ = el grado de recubrimiento de la superficie por el óxido de cobalto bivalente;

q = la carga del ánodo.

Para simplificar el modelaje, suponemos que evitando la aparición de ecuaciones diferenciales complejas, la solución se agite intensamente (lo que da posibilidad de menospreciar el flujo de convección), de que el electrólito suporte esté en exceso (lo que da posibilidad de menospreciar el flujo de migración). También es supuesto que el perfil de concentraciones de analito y protones en la capa presuperficial sea lineal y el espesor de la propia capa sea constante e igual a δ. Se cree que la concentración de los protones, que aparecen durante la reacción, no es suficiente para influenciar mucho en el sistema.

Es posible demostrar que el comportamiento de este proceso electroanalítico puede describirse por un modelo clásico de tres ecuaciones de balance:

En que Δ es el coeficiente de difusión, c0 es la concentración del ácido úrico en el interior de la solución, r 4 y r 5 son las velocidades de las reacciones, expuestas en el esquema (2), según lo descrito abajo:

G es la concentración máxima de CoO en la superficie, e i F es la corriente de Faraday.

Las velocidades de las respectivas reacciones pueden presentarse así:

y la corriente de Faraday, como:

Los parámetros k son las constantes de velocidades de las respectivas reacciones, F es el número de Faraday, γ es el coeficiente que describe las relaciones entre la carga del ánodo y el grado de recubrimiento de las respectivas sustancias, suponiéndose que γθ = φ 0 = fq es el salto de potencial, relativo al de carga cero, R es la constante universal de gases y T es la temperatura absoluta.

En el modo galvanostático, el comportamiento será más dinámico que en condiciones potenciostáticas. Sin embargo, aunque haya más factores que colaboran para influenciar el sistema, en el caso del modo potenciostático, el estado estacionario estable también se mantiene con facilidad, lo que será descrito abajo.

RESULTADOS Y DISCUSIÓN

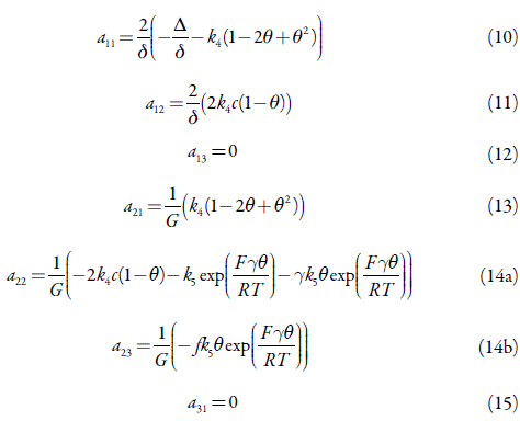
Para investigar el comportamiento electroquímico del sistema con la detección electroquímica del ácido úrico, asistida por el oxihidróxido de cobalto trivalente, analizamos el conjunto de ecuaciones diferenciales (3) mediante la teoría de estabilidad lineal. Los elementos estacionarios de la matriz funcional de Jacobi para este sistema serán descritos como:

en que:

Para investigar la estabilidad del estado estacionario, aplicamos al conjunto de ecuaciones diferenciales (3) el criterio de Routh-Hurwitz. Con fines de simplificar los cálculos, evitando la aparición de ecuaciones grandes, introducimos nuevas variables, y el determinante de la matriz se describe como:

Abriendo los paréntesis y aplicando la condición Det J < 0, saliente del criterio, obtendremos el requisito de estabilidad de estado estacionario, después de eliminar los elementos del módulo igual y signos opuestos, en la forma de:

Esta condición se realiza con mayor probabilidad que en los sistemas semejantes [34,35], ya que los elementos que describían las influencias electroquímicas se eliminan, y, contrariamente a lo observado en [34,35], no dan influencias a la estabilidad del estado estacionario. Para fines electroanalíticos, ella es correspondiente a la linealidad de la dependencia entre la concentración y el parámetro electroquímico. Así, para la detección del ácido úrico sobre el oxihidróxido de cobalto, el modo galvanostático es eficiente.

El proceso será controlado, mayoritariamente, por la difusión, pudiéndose controlar, en el caso de uso de electrodo pequeño, por la reacción. Algunas restricciones aplicadas al requisito (19), relacionadas con el comportamiento oscilatorio, se discutirán abajo.

Como ninguna de las variables mencionadas en la inecuación (19) puede tener valores nulos, la inestabilidad monotónica, cuya condición principal de aparición es Det J = 0, en este sistema, no se realiza.

Observando las ecuaciones (10), (14) y (17), es posible ver que ellas contienen un elemento, que puede tener valores positivos:, lo que describe influencias fuertes del proceso de la oxidación electroquímica a la doble capa. Este caso del comportamiento oscilatorio, es el único posible en este sistema y es común para todos los sistemas semejantes [34,35].

Todavía existiría, teóricamente, el comportamiento oscilatorio, descrito por la positividad del elemento , cuando f < 0. Sin embargo, el parámetro f solo puede llevarse a negatividad, cuando, durante la aplicación del modo galvanostático, el electrodo cambia su polaridad, lo que, en este proceso, no ocurre. Por eso, las influencias del proceso de la oxidación en la doble capa en el modo galvanostático siguen siendo el único factor responsable por el comportamiento oscilatorio. Las oscilaciones se esperan que sean frecuentes y de pequeña amplitud.

La condición suficiente del comportamiento oscilatorio para este sistema puede describirse así:

La ecuación (20) puede resolverse, y los significados de los lados derecho e izquierdo solo pueden tener valores opuestos en el caso de la negatividad del parámetro Ω.

Para el caso del modo potenciodinámico con voltaje constante, a la tercera ecuación diferencial del modelo se añade otro elemento, que describe la influencia del cambio de la resistencia del material en el ánodo, en la estabilidad del estado estacionario.

Para el modo potenciostático con decrecimiento de pH, cuando la concentración de protones crece bastante para intervenir en la estabilidad de CoO o CoO(OH), el modelo también es diferente, añadiéndosele una ecuación de balance que describe el comportamiento de protones. Este caso será descrito en uno de nuestros próximos trabajos.

CONCLUSIONES

El análisis del sistema con la detección del ácido úrico sobre el oxihidróxido de cobalto en el modo galvanostático, dejó la siguiente conclusión:

- CoO(OH) puede ser un modificador eficiente de ánodo para la detección del ácido úrico. El estado estacionario estable es electroanalíticamente eficiente y se mantiene fácilmente. Satisface las condiciones del comportamiento oscilatorio, su manutención es garantizada;

- El proceso electroanalítico es controlado, mayoritariamente, por difusión, o, dependiendo del tamaño del electrodo, por la reacción;

- La inestabilidad monotónica para este sistema, contrariamente a lo observado para sistemas semejantes, no es posible, porque no se pueden satisfacer las condiciones necesarias para su realización;

- La inestabilidad oscilatoria, en este sistema, puede realizarse, siendo causada apenas por los factores de las influencias de la reacción electroquímica a la doble capa eléctrica;

- Para el caso del modo potenciodinámico con voltaje constante, a la tercera ecuación diferencial del modelo se añade otro elemento, que describe la influencia del cambio de la resistencia del material en el ánodo, en la estabilidad del estado estacionario.

REFERENCIAS

  1. 1. C.C. Vishvanatha, B. Kumara Swamy, K. Vasantakumar Pai, Electrochemical studies of dopamine, ascorbic acid and uric acid at lignin modified carbon paste electrode by cyclic voltammetric, J. Anal. Bioanal. Techn ., 6, 237 (2015). 🠔
  2. 2. J.B. Raoof, A. Kiani, R. Ojani, R. Valliolahi, Electrochemical determination of dopamine using banana-MWCNTs modified carbon paste electrode, Anal. Bioanal. Electrochem ., 3, 59 (2011). 🠔
  3. 3. M.A. Sheikh-Mohseni, S. Pirsa, Simultaneous determination of dopamine and acetaminophen by a carbon paste electrode doubly modified with poly (pyrrole) and CuO nanoparticles, Anal. Bioanal. Electrochem ., 8, 777 (2016). 🠔
  4. 4. A. Rudbaraki, M.A. Khalilzadeh, Analysis of nitrite using a voltammetric sensors employing NiO nanoparticle modified carbon paste electrode, Anal. Bioanal. Electrochem ., 8, 748 (2016). 🠔
  5. 5. M. Maximiano, C.A. Lima Cardoso, G.J. Arruda, Detecção eletroquímica de carbendazim em sucos de frutas cítricas utilizando eletrodo de pasta de carbono, OrbitalElec. J. Chem ., 8, 232 (2016). 🠔
  6. 6. P. Manisankar, G. Selvanathan, С. Vedhi, Utilization of polypyrrole modified electrode for the determination of pesticides, Int. J. Env. Anal. Chem ., 85, 409 (2005). 🠔
  7. 7. M.A. Singer, Dietary protein-induced changes in excretory function: A general animal design feature, Comp. Biochem. Physiol ., 134, 543 (2003). 🠔
  8. 8. J. Maiuolo, F. Oppedisano, S. Gretteri et al ., Regulation of uric acid metabolism and excretion, Int. J. Cardiol ., 213, 8 (2014). 🠔
  9. 9. E.A. Roberts, M.L. Schilsky, Diagnosis and treatment of Wilson disease: An update, Hepatology, 47, 2089 (2008). 🠔
  10. 10. Y. Moriwaki, T. Yamamoto, S. Takahashi et al ., Uric acid transport in Fanconi syndrome with marked renal hypouricemia: Analysis using pyrazinamide and benzbromarone, Nephron, 74, 452 (1996). 🠔
  11. 11. K. Ichida, M. Hosoyamada, N. Kamatani et al ., Age and origin of the G774A mutation in SLC22A12 causing renal hypouricemia (en japonés), Clin. Genet ., 74, 243 (2008). 🠔
  12. 12. G. Bugdayci, Y. Balaban, O. Sahin, Causes of hypouricemia among outpatients, Labmedicine, 39, 550 (2008). 🠔
  13. 13. R.J. Torres, J. Puig, Hypoxanthine-guanine phosophoribosyltransferase (HPRT) deficiency: Lesch-Nyhan syndrome, Orph. J. Rare Dis ., 2, 48 (2007). 🠔
  14. 14. N. Schlesinger, Diagnosing and treating gout: A review to aid primary care physicians, Postgrad. Med ., 122, 157 (2010). 🠔
  15. 15. R. Tanaka, Y. Miyata, F. Sakazaki, An improved, highly sensitive HPLC-based method for determining uric acid levels in microliter plasma volumes, Gout Nucl. Ac. Met ., 37, 117 (2013). 🠔
  16. 16. X. Dai, X. Fang, С. Zhang et al ., Determination of serum uric acid using high-performance liquid chromatography (HPLC)/isotope dilution mass spectrometry (ID-MS) as a candidate reference method, J. Chromatogr. B, 857, 287 (2007). 🠔
  17. 17. H.H. Hamzah, Z.M. Zain, N.L.W. Musa et al ., Spectrophotometric determination of uric acid in urine based-enzymatic method uricase with 4-aminodiphenylamine diazonium sulfate (Variamine blue RT salt), Anal. Bioanal. Techn ., 11, 7 (2013). 🠔
  18. 18. F. Arslan, An amperometric biosensor for uric acid determination prepared from uricase immobilized in polyaniline-polypyrrole film, Sensors, 8, 5492 (2008). 🠔
  19. 19. S. Cete, A. Yasar, F. Arslan, An amperometric biosensor for uric acid determination prepared from uricase immobilized in polypyrrole film, Artif. Cells. Blood Substit. Immobil. Technol ., 34, 367 (2006). 🠔
  20. 20. A. Nur Hasanah, N. Wathoni, A.I. Reflani, Y. Wahyuni, Biosensor for uric acid determination based on combination of polypyrrole and poly(allylamine) films, J. YoungPharm ., 6, 39 (2014). 🠔
  21. 21. P. Krzyczmonik, E. Socha, Electrodes modified with composite layers ofpoly(3,4-ethylenedioxythiophene) (PEDOT) and polyaniline (PANI) for applications in bioelectroanalysis, Chemik, 87, 801 (2013). 🠔
  22. 22. W. He, Y. Ding, W. Zhang et al ., A highly sensitive sensor for simultaneous determination of ascorbic acid, dopamine and uric acid based on ultra-small Ni nanoparticles, J. Electroanal. Chem ., 775, 205 (2016). 🠔
  23. 23. B. Fang, Y. Feng, G. Wang et al ., A uric acid sensor based on electrodeposition of nickel hexacyanoferrate nanoparticles on an electrode modified with multi-walled carbon nanotubes, Microchim. Acta, 173, 27 (2011). 🠔
  24. 24. W. Dai, H. Li, M. Li et al ., Electrochemical imprinted polycrystalline nickel-nickel oxide half-nanotube-modified boron-doped diamond electrode for the detection of l-serine, ACSAppl. Mat. Interfaces, 7, 22858 (2015). 🠔
  25. 25. T. Ghosh, P. Sarkar, A. P. Turner et al ., Novel third generation uric acid. biosensor using uricase electro-activated with ferrocene on a Nafion coated glassy carbon electrode, Bioelectrochemistry, 102, 1 (2015). 🠔
  26. 26. N. Xia, L. Liu, Zh. Sun et al ., Nanocomposites of graphene with ferrocene or hemin: Preparation and application in electrochemical sensing, J. Nanomater ., 2015, ID: 892674, 9 pages (2015). 🠔
  27. 27. M.S. Burke, M.G. Kast, L. Trotochaud et al ., Cobalt-iron (oxy)hydroxide oxygen evolution electrocatalysts: The role of structure and composition on activity, stability, and mechanism, J. Am. Chem. Soc ., 137, 3638 (2015). 🠔
  28. 28. C.J. Raj, B. Ch. Kim, W.J. Cho et al ., Rapid hydrothermal synthesis of cobalt oxyhydroxide nanorods for supercapacitor applications, J. Electroanal. Chem ., 747, 130 (2015). 🠔
  29. 29. A. Stadnik, E.M. Caldas, A. Galli, F.J. Anaissi, Eletrodo modificado com [CoO(OH)] coloidal aplicado na detecção de ácido oxálico, Orbital. Elec. J. Chem ., 7, 122 (2015). 🠔
  30. 30. J.S. Bonini, F.Q. Mariani, E. Guimarães Castro et al ., Partículas de CoO(OH) dispersas em pasta de carbono aplicado na eletrooxidação de compostos fenólicos, Orbital Elec. J. Chem ., 7, 318 (2015). 🠔
  31. 31. I. Das, N.R. Agrawal, S.A. Ansari, S.K. Gupta, Pattern formation and oscillatory electropolymerization of thiophene, Ind. J. Chem ., 47, 1798 (2008). 🠔
  32. 32. K. Aoki, I. Mukoyama, J. Chen., Polymerization and dissolution of polythiophene films, Russ. J. Electrochem ., 40, 319 (2004). 🠔
  33. 33. O. Stadnik, N. Ivanova, Y. Boldyrev, 218th Int. Electrochem. Soc. Meeting. Abstract # 2240, URL: Abstract # 2240, URL: http://ma.ecsdl.org/content/MA2010-02/38/2240.full .pdf, consultado en agosto de 2015. [URL] 🠔
  34. 34. V. Tkach, S.C. de Oliveira, G. Maia et al ., The mathematical investigation for the mechanism of the electrochemical oxidation of phenolic compounds over CoO(OH) in alkaline solution, Mor. J. Chem ., 4, 153 (2016). 🠔
  35. 35. V. Tkach , Ya. Ivanushko, S.C. de Oliveira et al ., The theoretical evaluation of the possibility of CoO(OH)-assisted omeprazole electrochemical detection, Anal. Bioanal. Electrochem ., 8, 749 (2016). 🠔
Los autores declaran que no hay conflicto de interés.
V.V. Tkach, Y.G. Ivanushko, S.M. Lukanova, M.V. Kushnir, S.C. de Oliveira, R. Ojani, O.V. Luganska, P.I. Yagodynets', Evaluación teórica del desempeño del electrodo, modificado por el oxihidróxido de cobalto (III) en la detección del ácido úrico, Rev. Colomb. Cienc. Quím. Farm., 47(2), 289-300 (2018).