Revista Colombiana de Ciencias Químico - Farmacéuticas
0034-7418
Departamento de Farmácia, Facultad de Ciencias, Universidade Nacional da Colombia
https://doi.org/10.15446/rcciquifa.v47n3.77374

Recibido: 24 de abril de 2018; Aceptado: 26 de septiembre de 2018

Validación de una metodología analítica por HPLC-DAD para la cuantificación de ácido benzoico complejado, en un ensayo de permeación transdérmica in vitro empleando piel de cerdo

Validation of an analytical methodology by HPLC-DAD for the quantification of complexed benzoic acid, in an in vitro transdermal permeation assay using pig skin

L. Martínez, 1J. Martínez, 2Y. Baena, 1*

Universidad Nacional de Colombia - Sede Bogotá, Facultad de Ciencias, Departamento de Farmacia, Grupo de Investigación Sistemas para la Liberación Controlada de Moléculas Biológicamente Activas (SILICOMOBA), Carrera 30 # 45-03, Bogotá D.C., (111311), Colombia. A. A. 14490. Universidad Nacional de Colombia Universidad Nacional de Colombia Facultad de Ciencias Departamento de Farmacia Bogotá D.C Colombia
Universidad Nacional de Colombia - Sede Bogotá, Facultad de Ciencias, Departamento de Farmacia, Grupo de Investigación Aseguramiento de la Calidad, Carrera 30 # 45-03, Bogotá D.C., (111311), Colombia. A. A. 14490. Correo electrónico: jamartinezra@unal.edu.co. Universidad Nacional de Colombia Universidad Nacional de Colombia Facultad de Ciencias Departamento de Farmacia Bogotá D.C Colombia

Correo electrónico: ybaenaa@unal.edu.co.

RESUMEN

En el presente estudio se realizó la validación de una metodología analítica por cromatografía líquida de alta eficiencia con detector de arreglo de diodos (HPLC-DAD) para la cuantificación del ácido benzoico en complejos polielectrolíticos, obtenidos con Eudragit® E100. Para ello se evaluaron las características de desempeño determinando que la metodología es selectiva; lineal en el rango de concentraciones de 2 a 10 fíg/mL; precisa con un RSD inferior a un 2%; exacta con un porcentaje de recuperación de un 98,7% y se establecieron límites de cuantificación (LOQ) de 0,72 y de 1,56 (g/mL para el sistema y método respectivamente. De acuerdo a estos resultados, la metodología analítica es adecuada para evaluar la permeación in vitro, del ácido benzoico incluido en los complejos polielectrolíticos a través de piel porcina, empleando celdas de Franz.

Palabras clave:

Validación, ácido benzoico, HPLC-DAD, permeabilidad, piel de cerdo, celdas de Franz.

SUMMARY

This paper presents the studies carried out about the validation of an analytical methodology by high performance liquid chromatography with diode array detector (HPLC-DAD) for the quantification of benzoic acid in polyelectrolyte complexes obtained with Eudragit® E100. Performance characteristics of the methodology were evaluated, finding that this is selective; linear in the concentration range of 2 to 10 (g / mL; accurate with a RSD of less than 2%, exact with a recovery percentage of 98.7% and quantification limits of 0.72 and 1.56 fig / mL were established for the system and method respectively. According with this results, the analytical methodology is adequate to evaluate the in vitro permeation of benzoic acid, in polyelectrolyte complexes, through porcine skin in Franz cells.

Key words:

Vitamin C, titrimetry, content determination, quality control.

INTRODUCCIÓN

La contaminación microbiana en los productos farmacéuticos y cosméticos puede afectar significativamente la calidad y el rendimiento del producto debido a la alteración de las propiedades fisicoquímicas, de vida útil y funcionalidad [1]. Una amplia gama de preservantes son utilizados para contrarrestar este tipo de inestabilidades, los cuales evitan la descomposición de productos terminados al inhibir el crecimiento de bacterias y hongos [2].

El ácido benzoico (ver figura 1) es empleado como preservante de alimentos, cosméticos y productos farmacéuticos presentando una actividad antimicrobiana máxima en valores de pH entre 2,5 y 4,5. A pesar de ser considerado como una sustancia inocua, se han reportados posibles efectos toxicológicos como la generación de urticaria, eritema, escozor, asma e irritación cuando se aplica tópicamente [3], razón por la cual se deben evaluar estrategias que mejoren su perfil de seguridad. Una de las alternativas reportadas para optimizar las características funcionales y de seguridad de los preservantes de carácter ácido, como lo es el benzoico, es la formación de complejos polielectrolíticos, los cuales se generan por medio de las interacciones iónicas de las moléculas involucradas [4].

Estructura química del ácido benzoico [5]. Peso molecular: 122,13g, pKa: 4,19, solubilidad en agua: 0,29 g en 100 ml.

Figura 1: Estructura química del ácido benzoico [5]. Peso molecular: 122,13g, pKa: 4,19, solubilidad en agua: 0,29 g en 100 ml.

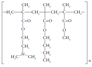
En el presente estudio se emplearon dos complejos polielectrolíticos con el ácido benzoico representados como: EuB 75 Cl 25 y EuB 100 , donde Eu corresponde al polielectrolito Eudragit E100, B al ión benzoato y Cl al ión cloruro que actúan como contraiones. Los subíndices indican el porcentaje en el que cada contraión está neutralizando al polímero. El Eudragit El00 (Eu) es un polímero catiónico preparado por copolimerización de metacrilato de butilo, metacrilato de 2-dimetilaminoetilo y metacrilato de metilo con una relación molar de 1:2:1 (ver figura 2) [5]. Su peso molecular es de 47.000g/mol y es ampliamente utilizado en formulaciones tópicas y orales, donde generalmente se considera no tóxico, no irritante, y esencialmente seguro en humanos [6]. La formación de este tipo de complejos generan cambios en propiedades fisicoquímicas e incluso de actividad y seguridad, que como se mencionó pueden ofrecer ventajas frente a las propiedades de las moléculas precursoras. La evaluación de la seguridad de moléculas y productos de aplicación tópica y en este caso de los complejos, puede ser valorada por medio de ensayos in vitro en celdas de Franz, considerado como uno de los principales métodos para determinar la penetración transepitelial [7].

Estructura química del PE Eudragit® E100 [7].

Figura 2: Estructura química del PE Eudragit® E100 [7].

Las celdas de Franz tienen dos compartimentos separados por una membrana sintética o natural (piel), uno donor y otro receptor en el que se muestrea periódicamente para evaluar la cantidad de compuesto que ha penetrado a través del tejido en el tiempo [8]. La estructura de la piel difiere de una especie a otra, sin embargo, el reemplazo de la piel humana por piel animal es aceptable para estos estudios, ya que esta última se encuentra sujeta a consideraciones éticas nacionales e internacionales y no siempre es accesible [8]. La piel de cerdo es apropiada como reemplazo de la piel humana debido a similitudes morfológicas y funcionales, demostrando una correlación eficiente (r) de 0,88 (p <0,0001) como sustituto en los estudios de penetración in vitro, siendo la oreja de cerdo una de las partes más apropiadas como reemplazo al presentar espesores similares en las capas de la piel [9].

Se pueden preparar membranas de diferente espesor para experimentos in vitro, sin embargo, para cortes efectuados con dermatomo son utilizados valores entre 400-700 μm [10]. Como medio receptor se emplean soluciones salinas ajustadas a pH 7,4; simulando las condiciones del fluido biológico en términos de pH y fuerza iónica, debido a la temperatura superficial de la piel el medio receptor se debe mantener a 32 °C y, también, se debe garantizar que la cantidad máxima de la sustancia no exceda entre el 10 % y 20 % del valor de su solubilidad total en el medio (condiciones sink) [11].

Las metodologías analíticas, empleadas para la cuantificación de moléculas en estudios con muestras biológicas, pueden influir en la evaluación e interpretación de los datos obtenidos, por ello es esencial emplear métodos analíticos bien caracterizados y validados para obtener resultados fiables que se puede interpretar adecuadamente. En la literatura se han reportado diferentes metodologías analíticas para la determinación del ácido benzoico en productos farmacéuticos y muestras biológicas [14,15], sin embargo, a la fecha no existe una metodología específica para evaluar este compuesto, que se encuentra complejado y que entra en contacto con piel porcina.

Considerando lo anterior, en este trabajo se realizó la validación de una metodología analítica por HPLC-DAD para la cuantificación de ácido benzoico a partir de complejos polielectrolíticos, con el propósito de obtener resultados confiables y apropiados para la interpretación adecuada del perfil de permeación y seguridad del ácido benzoico incluido en los respectivos complejos (EuB 75 Cl 25 y EuB100).

MATERIALES Y MÉTODOS

Materiales

Ácido benzoico (99%) Sigma Aldrich (E.U, lote: 09128 DCV); acetonitrilo grado HPLC Tedia (E.U., lote: 905154); ácido fosfórico (85%) Carlo Erba (E.U, lote: 8C109098E); cloruro de sodio J.T Baker (E.U., lote: t10c54); ácido clorhídrico 2,39 M; Eudragit® E100 (Alemania, lote: B140101519); complejo EuB75Cl25; complejo EuB 100 ; agua grado HPLC.

Equipos y condiciones analíticas

Para la realización de los ensayos de permeación se utilizaron celdas de Franz estáticas marca PermeGear® (E.U.) con área de difusión promedio de 1,75 ± 0,02cm 1 y 7 mL de volumen, baño termostatado Lauda® (E.U.), plancha de agitación multipunto IKA® modelo RO 10 PS1 Werke (Alemania), dermatomo Aesculap-B.Braun modelo ACCULAN® 3Ti, calibrador digital Thomas Scientific® modelo 1235C55, tewame-tro Courage+Khazaka® modelo TM 300 (Alemania), potenciómetro Hanna® referencia HI 2221 (E.U.), ultrasonido Cole-Parmer® modelo 8891 (E.U.), sistema de purificación de agua Direct-Q® (E.U.), equipo de filtración al vacío, balanza analítica (sensibilidad de 0,001 g y 0,0001g) marca Ohaus® serie Pioneer (E.U.), micropipetas (10-100 μL y 100-1000 μL) marca Select BioProducts® (E.U.); filtros Millex (Millipore Corporation, E.U.) de 0,45 μm. La cuantificación del ácido benzoico por HPLC-DAD se realizó en un cromatógrafo Shimadzu® (Kyoto, Japón), serie Prominence de bomba binaria LC-6AD, con detector de arreglo de diodos (DAD) SPD-M20A, horno CTO-20A, desgasificador DGU-20As, procesador de datos software LCsolution® versión 1.25, automuestreador SIL20-A, columna Kinetex® C18, de 4,6 x 150 mm y 5 μm de tamaño de partícula, temperatura isocrática de 35 °C, eluyente: ácido fosfórico (1 %)/ acetonitrilo (70:30 v/v), flujo 1 mL/min, volumen de inyección 10 (L y longitud de onda 226 nm.

Material biológico

Para el desarrollo de los ensayos de permeación se empleó piel de orejas obtenidas de cerdos recién sacrificados de peso entre 80-100 kg y con edad promedio de 4-6 meses procedentes del Frigorífico Guadalupe S.A.S (EFEGE), estas fueron retiradas y almacenadas inmediatamente en solución de NaCl 1M [12] bajo condiciones de refrigeración (4-8 °C). Una vez transportadas, se verificó que la piel no presentara ningún tipo de lesión, mancha o tatuaje, realizando cortes de piel de espesor de 600 μm a las muestras con criterios de aceptación adecuados. Finalmente, se determinó la integridad de la piel a través de la medición de pérdida de agua transepidermal (TEWL), seleccionando pieles porcinas con valores inferiores a 35 g/h/m2. Todos los experimentos fueron realizados siguiendo las consideraciones éticas en cuanto a la investigación biomédica con animales y con el aval del Comité de Ética de la Facultad de Ciencias de la Universidad Nacional de Colombia (Acta N° 07 de 2015).

Preparación de soluciones de trabajo

Para la validación del sistema y del método se prepararon soluciones madre de ácido benzoico (SM-AB) de 125μg/mL, realizando las diluciones correspondientes para obtener un rango entre 2 μg/mL y 10 μg/mL de la curva de calibración. Con relación a la validación del método se empleó como medio de disolución NaCl 0,9% ajustado a pH 7,4; el cual permaneció en contacto con los cortes de piel de oreja durante 24 horas a 32 °C simulando las condiciones del ensayo de permeación.

Idoneidad del sistema

Para establecer la idoneidad del sistema cromatográfico se preparó una solución de ácido benzoico de concentración 10 μg/mL la cual se inyectó 10 veces al cromatógrafo. Se determinaron los siguientes parámetros: factor de asimetría, número de platos teóricos, factor de capacidad y precisión de la inyección.

Validación de la metodología analítica

Con el fin de garantizar que las características de desempeño del método son adecuadas y confiables para la cuantificación del ácido benzoico, en los complejos durante los ensayos de permeación [13], se realizó la validación de la metodología con base en las directrices establecidas por la conferencia Internacional de armonización (ICH) guía Q2 (R1), así como los lineamientos de la Guía para la industria de validación de métodos bioanalíticos de la FDA [14].

Especificidad

Para la evaluación de la especificidad se analizaron los componentes de la fase móvil (ácido fosfórico al 1% y acetonitrilo), medio de almacenamiento para las orejas de cerdo (NaCl 1M), EudragitE® 100, ácido clorhídrico 2,39M, 10 muestras de blanco de matriz obtenidas de los ensayos de permeación cuyo montaje se realizó con 10 pieles de oreja porcina de diferente procedencia en las celdas de Franz a 32 °C, empleando NaCl 0,9% ajustado a pH 5 en el compartimento donor y pH 7,4 en el compartimento receptor. Después de 24 horas de duración del ensayo se tomaron alícuotas de 500 μL del compartimento receptor y se analizaron, estableciendo como variables de especificidad a evaluar: el tiempo de retención (tr) del ácido benzoico con una ventana de detección menor al 3%, los espectros de absorción molecular (EAM) y la pureza espectral del pico.

Linealidad

Partiendo de tres SM-AB se prepararon soluciones por triplicado de concentraciones: 2, 4, 6, 8, 10 μg/mL tanto para el sistema como para el método. El análisis respectivo de la pendiente e intercepto se realizó por medio del estadístico t de Student y la regresión fue evaluada a través del análisis de varianza (ANOVA). Como criterio de aceptación para el estadístico t asumiendo 13 grados de libertad (GL) se tuvo en cuenta un t crítico de 2,1604, y en el caso del ANOVA un F crítico de 4,667 con GL en el numerador de 1 y en el denominador de 13. Tanto para el estadístico t como para el ANOVA la probabilidad seleccionada fue del 95%.

Precisión

La evaluación de la precisión fue llevada a cabo a tres niveles de concentración (2, 6, 10 μg/mL) para el sistema y método. En el caso de repetibilidad (niveles intradía) se prepararon por triplicado cada uno de los niveles de concentración, con el mismo analista, equipo y día. Para la precisión intermedia (niveles interdía) se prepararon por triplicado cada uno de los niveles de concentración, con dos analistas y en tres días diferentes. La repetibilidad se reporta en términos del coeficiente de variación promedio ponderado (RSDp), teniendo como criterio de aceptación un RSDp < 5% para el sistema y < 15% para el método [14,15]. Adicionalmente, se evaluó a través del RSDp empleando el test de Cochran con un G crítico de 0,8709, asumiendo k y n = 3 y nivel de confianza del 95%. En el caso de la precisión intermedia se evaluó mediante un análisis de varianza (ANOVA), asumiendo un nivel de confianza del 95%, un F crítico de 4,1034 con GL en el numerador de 1 y en el denominador de 48, para el factor analista y un F crítico de 3,183 con GL en el numerador de 2 y en el denominador de 48, para los factores día y réplica.

Exactitud

Se prepararon por triplicado soluciones de concentración 2, 6, 10 μg/mL. Derivado de los estudios de linealidad se calculó el porcentaje de recuperación; la exactitud debe encontrarse entre 98 % y 102 %. Adicionalmente, se realizó el análisis correspondiente por medio del estadístico t Student, asumiendo un nivel de confianza del 95%.

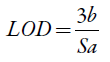
Límites de detección y cuantificación

Para la determinación de los límites de detección (LOD) y cuantificación (LOQ) se prepararon 10 curvas de calibración del método y sistema en el rango de 2 a 10 μg/mL.

El límite de detección (ver ecuación 1) y el límite de cuantificación (ver ecuación 2) fueron calculados con base en la desviación estándar de los interceptos de las líneas de regresión (Sa) y de la pendiente (b) de la curva de calibración del método y sistema respectivamente.

Ecuación 1: límite de detección [13]

Ecuación 2: límite de cuantificación [13].

RESULTADOS Y DISCUSIÓN

En el análisis cromatográfico para comprobar la idoneidad del sistema se consideraron los siguientes parámetros: factor de asimetría, número de platos teóricos, factor de capacidad y precisión en la inyección (% RSD); de acuerdo con la tabla 1 es posible afirmar que el sistema cumple con los criterios de aceptación y por lo tanto es adecuado para el análisis requerido. Ni la selectividad, ni la resolución fueron factores considerados pues estos parámetros se relacionan con la posición y separación de dos o más compuestos en una mezcla, debido a que las muestras a evaluar no son mezclas y en el cromatograma solo se evidencia un compuesto (ácido benzoico), la determinación de estos no se estableció [16].

Tabla 1: Parámetros idoneidad del sistema cromatográfico.

El ácido benzoico presentó un tiempo de retención de 3,84 +/- 0,02 min siendo apropiado para la realización de análisis rápidos y de bajo costo sin interferir con la señal de la matriz. Por medio del espectro de absorción molecular (ver figura 3) de una muestra del estándar del ácido benzoico a 6 μg/mL se determinó que la longitud de onda de máxima absorción (λ max) era de 226 nm, utilizándose este valor para la realización del análisis de las muestras.

EAM Ácido benzoico. Procesado con el software LCsolution.

Figura 3: EAM Ácido benzoico. Procesado con el software LCsolution.

Por medio de la comparación de los tiempos de retención de los cromatogramas obtenidos de las muestras de los componentes de la fase móvil (ácido fosfórico al 1% y acetonitrilo), medio de almacenamiento para las orejas de cerdo (NaCl 1M), componentes de los complejos EuB 75 Cl 25 y EuB m (EudragitE® 100 y ácido clorhídrico 2,39 M) y de los blancos de matriz de piel porcina sin ácido benzoico, se determinó que no se presentaban interferentes en el tiempo de retención del ácido benzoico, puesto que no se identificó ninguna señal adicional como se observa en la figura 4. Adicionalmente, se verificó que ninguna de las muestras modificaba el EAM y la curva de similitud no se cruzara con la línea umbral, como es lo esperado. Esto indica que tras la comparación del espectro medio del pico con el resto de espectros, a medida que eluye el analito, no se presentan interferentes ya que la relación entre los mismos es 1 (índice de pureza de pico), como puede verse en la figura 5. Por lo tanto, la metodología analítica empleada garantiza la obtención de una señal inequívoca y específica del analito sin ningún interferente.

Cromatogramas de la evaluación de especificidad. Datos procesados con el software LCsolution®.

Figura 4: Cromatogramas de la evaluación de especificidad. Datos procesados con el software LCsolution®.

Pureza de pico ácido benzoico. Procesado con el software LCsolution®.

Figura 5: Pureza de pico ácido benzoico. Procesado con el software LCsolution®.

Por otro lado, en la figura 6 se observan las curvas de calibración para el rango de concentraciones del ácido benzoico para el sistema y método. El rango de concentraciones se seleccionó considerando la ley de Lambert y Beer que establece, con base en el coeficiente de absortividad, el rango de concentraciones en el cual se espera que la curva de calibración sea lineal [17]; de esta manera se empleó la mínima concentración posible para cuantificar pequeñas cantidades de ácido benzoico en los ensayos de absorción.

Curvas de calibración ácido benzoico (método y sistema).

Figura 6: Curvas de calibración ácido benzoico (método y sistema).

Para evaluar el intercepto, la pendiente y el coeficiente de correlación de las curvas de calibración del sistema y método se plantearon pruebas de hipótesis las cuales fueron analizadas por medio del estadístico t Student (ver tabla 2).

Tabla 2: Análisis estadístico t Student para el intercepto, pendiente y coeficiente de correlación de las curvas de calibración del sistema y método.

De acuerdo con los datos obtenidos, se observa que con relación al intercepto se presenta un t estimado para el sistema y método menor al t tabulado, por lo que no se rechaza la hipótesis nula y en consecuencia se puede afirmar que el intercepto con el eje Y no es significativamente diferente de cero. Respecto a las pendientes y coeficientes de correlación para el sistema y método, el t estimado es mayor al t tabulado, por tanto no se acepta la hipótesis nula, obteniendo como resultado que las pendientes son significativamente diferentes de cero y que existe una correlación significativa entre los valores de la concentración de ácido benzoico (eje X) y las áreas obtenidas de los picos de absorción para las concentraciones dadas (eje Y).

Adicionalmente, para evaluar la regresión y la dispersión de los datos entre las réplicas para los diferentes niveles de concentración analizados se empleó el ANOVA y estadístico de Fisher (F) (ver tabla 3). Respecto a la regresión el Festimado > Ftabulado, por lo tanto, la hipótesis nula (Ho) "la regresión no es significativa" se rechaza, demostrando que la regresión es significativa para el sistema y método. De manera análoga, estadísticamente no hay un desvío significativo de la linealidad ya que el F estimado < F tabulado, por lo tanto la Ho, "el desvío no es significativo", se acepta.

Tabla 3: Análisis de varianza (ANOVA) y estadístico de Fisher para determinar la regresión y desvío significativo de las curvas de calibración del sistema y método.

Considerando los resultados obtenidos en los test realizados, y con base en los parámetros evaluados, es posible afirmar que la metodología analítica garantiza la linealidad del método y del sistema en el rango de concentraciones establecidas.

Como se indicó anteriormente, la repetibilidad (precisión intradía) fue evaluada a través del Test de Cochran (estadístico G); en la tabla 4 se observa que el G xp < G aab por lo que no hay diferencia significativa entre las varianzas de los niveles de concentración evaluados. De manera complementaria, los RSDp para la curva de calibración del sistema y del método son ≤ 5% y ≤ 15 %, respectivamente, cumpliendo con las especificaciones establecidas [14,15].

Tabla 4: Test de Cochran para evaluación de repetibilidad (precisión intradía) en las curvas de calibración del sistema y método.

La evaluación de la precisión intermedia (interdía) se determinó a través del ANOVA a tres niveles de concentración (2, 6, 10 (g/mL). Empleando el estadístico F se evidencia que para el sistema y el método el F estimado es menor al F tabulado (ver tabla 5), en todas las fuentes de variación esperadas (analista, día y réplicas), por lo que no existe variación significativa en los resultados obtenidos con analistas y días diferentes.

Tabla 5: Análisis de varianza (ANOVA) y estadístico de Fisher para determinar la precisión intermedia en las curvas de calibración del sistema y método.

Los resultados obtenidos permiten establecer que la metodología analítica es precisa para los diferentes niveles analizados (repetibilidad y precisión intermedia).

Considerando la ecuación de la curva de calibración del sistema, se determinó que el porcentaje de recuperación de la metodología analítica es 98,7%, por lo tanto, cumple con los criterios de aceptación requeridos para la exactitud.

Adicionalmente, el análisis realizado con el estadístico t de Student (ver tabla 6) evidencia que el t estimado < t tabulado, lo cual conlleva a aceptar la Ho y concluir que el porcentaje de recuperación no es significativamente diferente de 100, por lo tanto, la metodología analítica es exacta para la cuantificación del ácido benzoico en la matriz biológica empleada.

Tabla 6: Análisis estadístico t Student para la evaluación de la exactitud de la metodología analítica empleada.

El límite de cuantificación (LOQ) fue de 0,72 y 1,56 μg/mL para el sistema y método respectivamente, el valor del límite de detección (LOD) para el sistema fue de 0,23 μg/mL y de 0,51 μg/mL para el método, por lo que todos los niveles de concentración de la curva de calibración del sistema y método pueden ser cuantificados con exactitud y precisión (ver tabla 7).

Tabla 7: Pendiente y desviación estándar de las curvas de calibración del sistema y método para el cálculo de los límites de cuantificación y límites de detección.

La metodología analítica validada permitió determinar el flujo y el coeficiente de permeación del ácido benzoico, evaluados a través de piel de cerdo en condiciones de dosis infinitas, empleando las celdas de Franz. De manera similar, fue posible cuantificar al ácido benzoico, sólo y complejado, en concentraciones normales de uso (dosis finita), para evaluar si los complejos ofrecen ventaja en términos de seguridad frente al ácido benzoico. Las concentraciones estudiadas estuvieron comprendidas en el rango de concentraciones evaluadas a lo largo de la validación, siendo posible cuantificarlo con precisión, exactitud y especificidad en valores comprendidos alrededor del límite de cuantificación.

CONCLUSIONES

Se implementó una metodología analítica por HPLC-DAD para evaluar la permeación in vitro de ácido benzoico a partir de complejos polielectrolíticos a través de piel porcina. Dicha metodología resultó específica, lineal en el rango de concentraciones de 2 a 10 μg/mL, precisa (RSDp ≤ 5 % y ≤ 15% para el sistema y método), exacta con un porcentaje de recuperación de 98,7%, con LOD de 0,23 (g/mL (sistema) y de 0,51 (g/mL (método) y con LOQ de 0,72 y de 1,56 (g/mL para el sistema y método respectivamente.

Acknowledgements

AGRADECIMIENTOS

Los autores agradecen a COLCIENCIAS por la financiación otorgada al proyecto de investigación que apoyó este trabajo de investigación-Contrato 037-2016.

REFERENCIAS

  1. 1. H. Dao, P. Lakhani, A. Police, Microbial stability of pharmaceutical and cosmetic products, AAPS Pharm SciTech, 18, 19 (2017). 🠔
  2. 2. T. Sandle. "Antibiotics and preservatives Pharm. Microbiol. Essentials Qual. Assur. Qual. Control" 1st Ed., Cambridge: Elsevier Ltd., Cambrigde, 2015, p. 171-83. 🠔
  3. 3. A. Olmo, J. Calzada, M. Nuñez, Benzoic acid and its derivatives as naturally occurring compounds in foods and as additives: uses, exposure and controversy, Crit. Rev. FoodSci. Nutrition, 57, 3084 (2015). 🠔
  4. 4. D. Le Cerf, A.S. Pepin, Formation ofpolyelectrolyte complexes with diethylaminoethyl dextran: Charge ratio and molar mass effect, Carbohydr. Polym ., 113, 217 (2014). 🠔
  5. 5. R.I. Moustafine, V.A. Kemenova, Characteristics of interpolyelectrolyte complexes of Eudragit E 100 with sodium alginate, Int.J. Pharm ., 294, 113 (2015). 🠔
  6. 6. M. Guzmán, R. Manzo, M. Olivera, Eudragit E100 as a drug carrier: The remarkable affinity of phosphate ester for dimethylamine, Mol. Pharmaceutics, 9, 2424 (2012). 🠔
  7. 7. Y. Baena, L.J. Dallos, R. Manzo, L.F. Ponce D'León, Estandarización de celdas de Franz para la realización de ensayos de liberación de fármacos a partir de complejos con polielectrolitos, Rev. Colomb. Cienc. Quím. Farm ., 40, 174 (2011). 🠔
  8. 8. A. Simona, M. Amarob, A. Healy, Comparative evaluation of rivastigmine permeation from a transdermal system in the Franz cell using synthetic membranes and pig ear skin with in vivo-in vitro correlation, Int.J. Pharm ., 512, 234 (2016). 🠔
  9. 9. V.P. Shah, H.I. Maibach, J. Jenner, "Topical Drug Bioavailability, Bioequivalence, and Penetration", Springer Ed., New York, 2014, Vol. 1, p. 23-24. 🠔
  10. 10. C. Ehrhardt, K. Kim, "Drug Absorption Studies In Situ, In Vitro and In Silico Models", Springer Ed., New York , 2008, Vol. 7, p. 14. 🠔
  11. 11. L. Aponte, "Estudios de permeación transdérmica in vitro : estado del arte y perspectivas", trabajo de grado, Universidad Nacional de Colombia, 2015, p. 15. 🠔
  12. 12. N. Solarte, "Estudio de las condiciones para la evaluación de permeación transdérmica de un ingrediente funcional cosmético in vitro empleando piel de cerdo en celdas de Franz", trabajo de grado, Universidad Nacional de Colombia, 2013, p. 7-19. 🠔
  13. 13. The International Conference on Harmonisation of Technical Requirements for Registration of Pharmaceuticals for Human Use (ICH). Q2(R1): Validation of Analytical Procedures: Text and methodology, November 2005. URL: URL: https://www.ich.org/fileadmin/Public_Web_Site/ICH_Products/Guidelines/Quality/Q2_R1/Step4/Q2_R1_Guideline.pdf . Consultado en Agosto de 2017 [URL] 🠔
  14. 14. US Food and Drug Administration, Guidance for Industry, Bioanalytical Method Validation, Center for Drug Evaluation and Research, September 2013. URL: URL: https://www.fda.gov/downloads/Drugs/Guidances/ucm368107.pdf . Consultado en Julio de 2017. [URL] 🠔
  15. 15. L. Aguirre, F. García, T. Junca, et al ., "Validación de Métodos Analíticos", AEFI, Barcelona, 2001. 🠔
  16. 16. USP 30-NF 25, Farmacopea de los Estados Unidos de América, 2007, Vol. 3. 🠔
  17. 17. W. Mántele, E. Deniz, UV-VIS absorption spectroscopy: Lambert-Beer reloaded, Spectrochim. Acta Part A: Mol. Biomol. Spectrosc ., 173, 965 (2017). 🠔
Los autores declaran no tener conflicto de intereses.
L.A. Martinez, J.A. Martinez, Y. Baena, Validacion de una metodologia analitica por HPLC-DAD para la cuantificacion de acido benzoico complejado, en un ensayo de permeacion transdermica in vitro empleando piel de cerdo, Rev. Colomb. Cienc. Quím. Farm., 47(3), 424-440 (2018).