Revista Colombiana de Ciencias Químico - Farmacéuticas
0034-7418
Departamento de Farmácia, Facultad de Ciencias, Universidade Nacional da Colombia
https://doi.org/10.15446/rcciquifa.v47n3.77375

Recibido: 25 de enero de 2018; Aceptado: 4 de octubre de 2018

A descrição matemática do desempenho do novo derivado acridínico na detecção eletroanalítica do conteúdo total do ácido gálico em alfarroba

The mathematical description of the function of a novel acridinic derivative in the electroanalytical detection of total gallic acid content in carob

V. Tkach, *12M. Kushnir, 1Y. Ivanushko, 1S. Oliveira, 2M. Zavhorodnii, 3O. Brazhko, 3O. Luganska, 3O. Ahafonova, 4P. Yagodynets', 1

Universidade Nacional de Chernivtsi, 58012, Rua de Kotsyubyns'ky., 2, Chernivtsi, Ucrânia. Universidade Nacional de Chernivtsi Chernivtsi Ucrânia
Universidade Federal de Mato Grosso do Sul, Av. Sen. Felinto. Müller, 1555, C/P. 549, 79074-460, Campo Grande, MS, Brasil. Universidade Federal de Mato Grosso do Sul Universidade Federal de Mato Grosso do Sul Campo Grande MS Brazil
Universidade Nacional de Zaporizhzhya, Faculdade de Biologia, 69095, Rua de Zhukovs'ky. 66, Zaporizhzhya, Ucrânia. Universidade Nacional de Zaporizhzhya Faculdade de Biologia Zaporizhzhya Ucrânia
Universidade Estatal de Medicina de Bucovina, 58000, Praça Teatral, 9, Chernivtsi, Ucrânia. Universidade Estatal de Medicina de Bucovina Chernivtsi Ucrânia

Correio eletrônico: nightwatcher2401@gmail.com.

RESUMO

A possibilidade do uso de um novo derivado de acridina, munido de um grupo doador de elétrons, como modificador de elétrons para a detecção do conteúdo total do ácido gálico em goma de alfarroba tem sido avaliada mediante uma análise teórica. O modelo matemático correspondente foi analisado mediante a teoria de estabilidade linear e análise de bifurcações. Foi mostrado que o derivado fosfazoico da acridina pode servir de modificador eficiente para a detecção eletroanalítica do conteúdo total do ácido gálico em alfarroba. As causas dos comportamentos oscilatório e monotônico também foram detectadas.

Palavras-chave:

Alfarroba, ácido gálico, elétrodos quimicamente modificados, sensores eletroquímicos, estado estacionário estável.

SUMMARY

The possibility of the use of the novel acridinic derivative, containing an electron donor moiety in the total gallic acid content determination in carob gum has been evaluated by means of a theoretical analysis. The correspondent mathematical model has been analyzed by linear stability theory and bifurcation analysis. It was shown that the phosphazoic acridine derivative may serve as an efficient electrode modifier for electroanalytical determination of the total content of gallic acid in carob. The causes for the oscillatory and monotonic behavior have also been stipulated.

Key words:

Carob, gallic acid, chemically modified electrodes, electrochemical sensors, stable steady-state.

INTRODUÇÃO

A alfarrobeira (Ceratonia siliqua), também conhecida como pão-de-São-João, figueira-de-Pitágoras ou figueira-do-Egito, é uma planta nativa da região mediterrânica (incluindo Espanha e Portugal), cuja fruta é alfarroba. A alfarrobeira sói utilizar-se na produção de alimentos e bebidas [1-2] e na medicina popular.

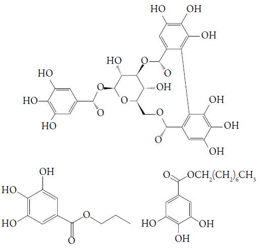
Além dos polissacarídeos, que compõem a sua goma (E410), a alfarroba contém outros compostos, dentre os quais se destacam a tanina e outros ésteres do ácido gálico (ver figura 1) [3-4]. São compostos com alto poder antioxidante, haja vista a presença dos fragmentos quinônicos nas suas formas oxidadas, permitindo o seu uso como conservante na produção tanto de alimentos, como de fármacos e até de biodiesel. No entretanto, quando em excesso, estes ésteres podem causar reações alérgicas, associadas ao ácido gálico (dores nas costas, hiperatividade, nariz entupido, dificuldades na aprendizagem) [5]. Outrossim, estes ésteres não são recomendados em produtos, que requerem emprego de forno [6]. Foi provada, ademais, a sua capacidade antagonista aos estrogênios [7]. Destarte, o desenvolvimento dos métodos da detecção analítica destes compostos é, deveras, uma tarefa atual [8-9], e os métodos eletroquímicos, envolvendo elétrodos quimicamente modificados, ser-lhe-iam uma resposta interessante.

Os derivados importantes do ácido gálico. Galotanina, galato de propila (E310) e galato de octila (E311).

Figura 1: Os derivados importantes do ácido gálico. Galotanina, galato de propila (E310) e galato de octila (E311).

Para a detecção eletroquímica dos ésteres do ácido gálico e outros compostos quinô-nicos foram utilizadas várias metodologias eletroquímicas, envolvendo os materiais modificadores como líquidos iónicos [10], polímeros condutores [11], éster específico do ácido molibdênico [12] e até a casca de banana [13]. No entanto, existe, também, a possibilidade de uso de outros tipos de modificadores, como o oxihidróxido de cobalto (teoricamente previsto em [14]) e, também, os novos derivados orgânicos.

Em [15], foi descrita a síntese de um novo derivado orgânico, com possibilidades para ser aditivo fluorescente ao polímero condutor ou monômero para uso eletroanalítico e conversor em pilhas solares. Contendo um sistema conjugado, substituído por um doador forte de elétrons pi, ele pode ser eletroquimicamente ativo. No entretanto, o uso de novos modificadores e processos eletroanalíticos pode acarretar a resolução de novos problemas, como:

  • - A indecisão acerca do mecanismo de interação entre o modificador e o analito.

  • - A possível incompatibilidade do modificador do elétrodo para análise in vivo.

  • - A possibilidade da realização das instabilidades eletroquímicas, características para a eletrooxidação dos compostos orgânicos [16-21], inclusive a eletropolimerização de compostos heterocíclicos.

Destarte, o desiderato deste trabalho é a investigação mecanística teórica do desempenho do novo derivado acridínico, cuja síntese foi descrita no nosso trabalho anterior, para a determinação do conteúdo total do ácido gálico em alfarroba. Para alcançá-lo, é-nos preciso realizar os seguintes objetivos específicos:

  • - Propor o mecanismo do processo eletroanalítico.

  • - Desenvolver e analisar o modelo matemático, que lhe é correspondente.

  • -Da análise do modelo, julgar acerca da possibilidade da realização da quantificação eletroquímica do conteúdo do ácido gálico, mediante a aplicação do elétrodo, dopado pelo composto acridínico.

  • - Comparar o comportamento deste sistema com o dos semelhantes [22-24].

O SISTEMA Ε O SEU MODELO

A síntese da nova (9-trifenilfosfazo)acridina tem sido descrita em [15] e é apresentada na figura 2:

A síntese do novo derivado da acridina.

Figura 2: A síntese do novo derivado da acridina.

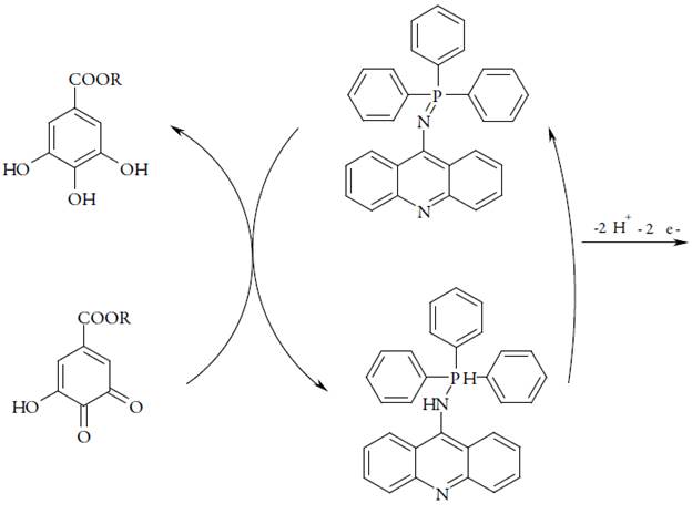
A presença do grupo trifenilfosfazoico, que consegue doar 20 elétrons pi ao sistema conjugado acridínico, diminui o seu potencial da eletrooxidação, fazendo possível, até a polimerização deste composto, ou a introdução do fragmento dentro de uma cadeia polimérica condutora. Destarte, o mecanismo do processo eletroanalítico para derivados do ácido gálico dar-se-á conforme a figura 3:

O desempenho eletroanalítico da (9-trifenilfosfazo)acridina.

Figura 3: O desempenho eletroanalítico da (9-trifenilfosfazo)acridina.

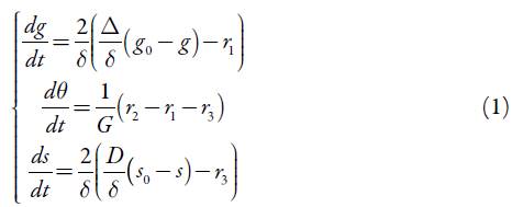
Tomando em conta a possibilidade da reação lateral do composto fosfazoico com o um composto, presente no meio reacional (podendo ou não dissolver o composto fosfazoico) e incapaz de reagir com o ácido gálico, introduzimos as três variáveis:

g: a concentração do derivado do ácido gálico em meio pré-superficial;

θ: o grau de recobrimento da área do elétrodo pelo derivado fosfazoico inicial;

s: a concentração da substância, capaz de reagir com o modificador do elétrodo, na camada pré-superficial.

Para simplificar a modelagem, supomos que o reator esteja agitando-se intensamente, de modo que possamos menosprezar o fluxo de convecção, que o eletrólito de suporte esteja em excesso, para menosprezar o fluxo de migração. Também supomos que a camada pré-superficial esteja de espessura constante, igual a δ, e que o perfil concentracional dos dois analitos seja linear.

É possível mostrar que, haja vista o supracitado, o comportamento do sistema poder-se-á descrever pelo conjunto de equações diferenciais, representado como:

em que Δ e D são coeficientes de difusão dos derivados do ácido gálico e da substância interferente, g0 e s0 são as suas concentrações no interior da solução e os parâmetros r são as velocidades das respectivas reações, que se podem calcular conforme:

em que os parâmetros k são constantes das respectivas reações, F é o número de Faraday, φ 0 é o salto do potencial, relativo ao potencial de carga zero, R é a constante universal de gases, T, a temperatura absoluta e β o parâmetro, que descreve a interação entre as partículas do fosfazocomposto da acridina durante a sua dissolução e igal a 0, quando esta não ocorre.

O comportamento do sistema mostra-se parecido aos já descritos em [22-24]. No entretanto, a presença de uma reação lateral dinamiza, de maneira significante, o comportamento do sistema, o que se mostrará abaixo.

RESULTADOS Ε DISCUSSÃO

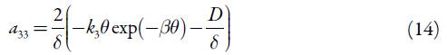
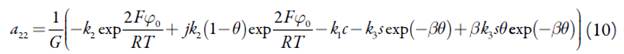
Para investigar o comportamento do sistema com a detecção eletroquímica do conteúdo total do ácido gálico em alfarroba, assistida pelo derivado fosfazoico da acridina, analisamos o conjunto de equações diferenciais (1) mediante a teoria de estabilidade linear. Os elementos estacionários da matriz funcional de Jacobi descrever-se-ão como:

em que:

Analisando as equações (6), (10) e (14), que representam os elementos da diagonal principal, é possível mostrar que o comportamento oscilatório é possível neste sistema. De qualquer maneira, quando o parâmetro j, que descreve as influências da etapa ele-troquímica na capacitância da dupla camada elétrica, tem valores positivos, o adendo é positivo, descrevendo, destarte, a positiva conexão de retorno. Assim, ele descreve o comportamento oscilatório, causado por essas influências e característico para os sistemas semelhantes [22-24].

Quanto à influência das instabilidades superficiais, elas só se realizam, havendo dissolução do composto fosfazoico. Assim, , descrevendo a atração entre as partículas adsorvidas do composto fosfazoico como causa do comportamento oscilatório. Não havendo dissolução, o fator da atração das partículas do composto será desprezível; β=0, e o elemento supracitado anular-se-á. Destarte, é possível ver que a presença do fator superficial como causa do comportamento oscilatório dependerá da característica da reação lateral.

A fim de investigar a estabilidade do estado estacionário, aplicamos o critério de Routh -Hurwitz. Simplificando o determinante da matriz, introduzimos as novas variáveis, de modo que este se descreve como:

Abrindo os colchetes, e aplicando a condição Det J<0, saliente do critério, obtemos o requisito de estabilidade do estado estacionário, descrito como:

Requisito fácil de satisfazer, não havendo influências superficiais e eletroquímicas na dupla camada elétrica. Deveras, se não houver as influências supracitadas, os parâmetros X e Λ manter-se-ão positivos, e as expressões do lado esquerdo da inequação (16), deslocar-se-ão para valores mais negativos, e o estado estacionário far-se-á mais estável. A expressão (16) tem aparência de uma expressão, característica para um processo ele-troanalítico, controlado por difusão do analito e da substância interferente.

Sem embargo, como se sói acontecer, neste sistema, a estabilidade do estado estacionário não garantirá a sua eficiência eletroanalítica. Decerto, havendo reação lateral rápida do composto fosfazoico da superfície do elétrodo, o material modificador não poderá mais assistir o processo eletroanalítico, embora o estado estacionário permaneça estável. Assim sendo, faz-se um requisito específico de estabilidade relativa do composto fosfazoico em meio à reação lateral.

Satisfeito este requisito, a estabilidade do estado estacionário descreverá a linearidade da dependência entre o parâmetro eletroquímico e a concentração do analito e corres-ponder-se-lhe-á. Destarte, é possível concluir que, não havendo reações laterais rápidas, o fosfazocomposto da acridina será um modificador eficiente para a detecção do conteúdo do ácido gálico.

A instabilidade monotônica correspondente ao limite de detecção, neste sistema se realiza no caso da nulidade do determinante da matriz de Jacobi, e a sua condição de aparição é:

Se a substância, presente na solução, não reagir com o fosfazocomposto, nem com o ana-lito, considerar-se-á indiferente, e a variável s excluir-se-á do conjunto de equações diferenciais (1), e o conjunto transformar-se-á no descrito, por exemplo, em [15] e em [22].

Na alfarroba, não existem substâncias, capazes de provocar a modificação e dissolução do fosfazocomposto de acridina. Destarte, o seu uso é compatível com a análise do conteúdo de alfarroba em soluções neutras.

CONCLUSÕES

A avaliação teórica do comportamento do composto fosfazoico da acridina na detecção eletroquímica do conteúdo total do ácido gálico em alfarroba deixou concluir que:

  • - A estabilidade do estado estacionário é fácil de manter. O processo eletroanalítico é controlado pela difusão.

  • - Desde que não haja reações laterais rápidas, o estado estacionário estável manter-se-á eficiente do ponto de vista eletroanalítico e correspondente à dependência linear entre o parâmetro eletroquímico e a concentração do analito.

  • - O comportamento oscilatório, neste caso, é possível, sendo causado pelas influências da etapa eletroquímica na capacitância da dupla camada elétrica e, se for o caso, pelos efeitos superficiais da dissolução do composto fosfazoico.

REFERÊNCIAS

  1. 1. M. Kamal, E. Yousseff, M.M. El-Manfaloty, H.M. Ali, Assessment of proximate chemical composition, nutritional status, fatty acid composition and phenolic compounds of carob (Ceratonia Siliqua L.), FoodPubl. Health ., 3, 304 (2013). 🠔
  2. 2. R. Avallonne, M. Plessi, M. Baraldi, A. Monzan, Determination of chemical composition of carob (Ceratonia siliqua): protein, fat, carbohydrates, and tannins, J. Food Comp. Anal ., 10, 166 (1997). 🠔
  3. 3. http://www.nlm.nih.gov/cgi/mesh/2006/MB_cgi?mode=&term=Propyl+-Gallate , acceso a los 7 de Febrero de 2015. [URL] 🠔
  4. 4. J. Widergen, A. Chmyrov, C. Eggeling et al ., Strategies to improve photostabili-ties in ultrasensitive fluorescence spectroscopy, J. Phys. Chem ., 111, 429 (2007). 🠔
  5. 5. E. Ritzer, R. Sundermann, "Hydroxycarboxylic Acids, Aromatic", Ullmann's Encyclopedia of Industrial Chemistry (7th ed.), Wiley, p. 6, 2007. 🠔
  6. 6. Final report on the amended safety assessment of propyl gallate, Int. J. Toxicol ., 26, 89 (2007). 🠔
  7. 7. A. Adamasi, A. Mozzarelli, C. Meda et al ., Identification of xenoestrogens in food additives by an integrated in silico and in vitro approach, Chem. Res. Toxicol ., 22, 52 (2009). 🠔
  8. 8. M. Debbab, S. El-Hajjaji, A.H. Aly et al ., Cypermethrin residues in fresh vegetables: Detection by HPLC and LC-ESIMS and their effect on antioxidant activity, Mater. Environ. Sci ., 5, 2257 (2014). 🠔
  9. 9. A. Alnokkari, M. Ataie, M. Rajab, Z. Alassaf, Determination of propyl gallate in some vegetable oil samples by thin layer chromatography-image analysis method, Int. J. Pharm., Sci, 26, 268 (2014). 🠔
  10. 10. L.H. de Oliveira, A.C. Dias Souza, L. Pizzuti, et al. Determinação voltamétrica do antioxidante galato de propila em biodiesel empregando eletrodos de pasta de carbono modificados com líquido iônico, OrbitalElec. J. Chem ., 6, 255 (2014). 🠔
  11. 11. M. Lin, A dopamine electrochemical sensor based on gold nanoparticles/overo-xidized polypyrrole nanotube composite arrays, RSC Adv ., 5, 9848 (2015). 🠔
  12. 12. H. Beitollahi, H. Karimi-Maleh, I. Sheikhoae, Simultaneous voltammetric determination of ascorbic acid and uric acid using a modified multiwalled carbon nanotube paste electrode, Casp. J. Chem ., 1, 17 (2012). 🠔
  13. 13. J.B. Raoof, A. Kiani, R. Ojani, R. Valliolahi, Electrochemical determination of dopamine using banana-MWCNTs modified carbon paste electrode, Anal. Bioanal. Electrochem ., 3, 59 (2011). 🠔
  14. 14. V.V. Tkach, Y.G. Ivanushko, S.M. Lukanova et al ., Avaliação teórica da deteção eletroquímica CoO(OH)-assistida de galatos em alfarroba, TecnoAlimentar, 12, 50 (2017). 🠔
  15. 15. V.V. Tkach, Y.G. Ivanushko, S.M. Lukanova et al ., (9-triphenylphosphazo)acri-dine, Synthesis and theoretical modeling for electroanalytical action, Appl. J. Env. Eng. Sci, 3, 365 (2017). 🠔
  16. 16. I. Das, N. Goel, N.R. Agrawal, S.K. Gupta, Growth patterns of dendrimers and electric potential oscillations during electropolymerization of pyrrole using mono-and mixed surfactants, J. Phys. Chem, 114, 12888 (2010). 🠔
  17. 17. D. Sazou, The dynamical behavior of the electrochemical polymerization of indole on Fe in acetonitrile-water mixtures, Synth. Met ., 130, 45 (2002). 🠔
  18. 18. I. Das, N.R. Agrawal, S.A. Ansari, S.K. Gupta, Pattern formation and oscillatory electropolymerization of thiophene, Ind. J. Chem ., 47, 1798 (2008). 🠔
  19. 19. M. Bazzaoui, E.A. Bazzaoui, L. Martins, J.I. Martins, Electropolymerization of pyrrole on zinc-lead-silveralloys' electrodes in neutral and acid organic media, Synth. Met, 130, 73 (2002). 🠔
  20. 20. S.U. Rahman, M.S. Ba-Shammakh, Thermal effects on the process of electropoly-merization of pyrrole on mild steel, Synth. Met ., 140, 207 (2004). 🠔
  21. 21. M.S. Ba-Shammakh, "Electropolymerization of pyrrole on mild steel for corrosion protection", Ph. D. Thesis, King Fahd University of Petroleum and Minerals, Dharan, Saudi Arabia, 2002. 🠔
  22. 22. V.V. Tkach, V.V. Nechyporuk, P.I. Yagodynets', A investigação matemática do desempenho de biossensores eletroquímicos enzimáticos baseados nos polímeros condutores, Rev. Colomb. Cienc. Quím. Farm, 41 , 203 (2012). 🠔
  23. 23. V.V. Tkach, Ya. G. Ivanushko, S.M. Lukanova et al ., The Theoretical Evaluation of the Possibility of Theacrine Electrichemical Detection over the Polymers of Quinonic Compounds, Anal. Bioanal. Electrochem ., 9, 145 (2017). 🠔
  24. 24. V.V. Tkach, B. Kumara Swamy, R. Ojani et al., El mecanismo de la oxidación de omeprazol sobre el electrodo de carbono vitroso, modificado por polializarina, y su descripción matemática, OrbitalElec J. Chem, 7, 1 (2015). 🠔
Os autores não tem conflitos de interesses.
V.V. Tkach, M.V. Kushni, Y.G. Ivanushko, S.C. de Oliveira, M.P. Zavhorodnii, O.A. Brazhko, O.V. Luganska, O.V. Ahafonova, P.I. Yagodynets', A descrição matemática do desempenho do novo derivado acridínico na detecção eletroanalítica do conteúdo total do ácido gálico em alfarroba, Rev. Colomb. Cienc. Quím. Farm., 47(3), 441-451 (2018).