Revista Colombiana de Ciencias Químico - Farmacéuticas
0034-7418
Departamento de Farmácia, Facultad de Ciencias, Universidade Nacional da Colombia
https://doi.org/10.15446/rcciquifa.v48n1.80072

Recibido: 6 de febrero de 2018; Aceptado: 25 de febrero de 2019

A descrição matemática do processo da detecção eletroquímica do ácido ascórbico sobre o polímero condutor, dopado pelo íon triiodeto

The mathematical description for the process of the electrochemical detection of ascorbic acid over a conducting polymer, doped by a triiodide ion

V. Tkach, 1*2M. Kushnir, 1S. Oliveira, 2Z. Kormosh, 3O. Luganska, 4V. Parchenko, 5Y. Ivanushko, 6P. Yagodynets', 1

Universidade Nacional de Chernivtsi, 58012, Rua de Kotsyubyns'ky, 2, Chernivtsi, Ucrânia. Universidade Nacional de Chernivtsi Chernivtsi Ucrânia
Universidade Federal de Mato Grosso do Sul, Av. Sen. Felinto. Müller, 1555, C/P. 549, 79074460, Campo Grande, MS, Brasil. Universidade Federal de Mato Grosso do Sul Universidade Federal de Mato Grosso do Sul Brazil
Universidade Nacional Leste-Europeia, 43000, Av. da Liberdade, 13, Luts'k, Ucrânia Universidade Nacional Leste-Europeia Ucrânia
Universidade Nacional de Zaporizhzhya, Faculdade de Biologia, 69095, Rua de Zhukovs'ky, 66, Zaporizhzhya, Ucrânia. Universidade Nacional de Zaporizhzhya Faculdade de Biologia Ucrânia
Universidade Estatal de Medicina de Zaporizhzhya, 69000, Av. de Maiakovs'ky, 26, Zaporizhzhya, Ucrânia. Universidade Estatal de Medicina de Zaporizhzhya Ucrânia
Universidade Estatal de Medicina de Chernivtsi, Departamento de Medicinas Militar e Emergencial, 58000, Rua de Olga Guzar, 2, Chernivtsi, Ucrânia. Universidade Estatal de Medicina de Chernivtsi Departamento de Medicinas Militar e Emergencial Ucrânia

Correio eletrônico : nightwatcher2401@gmail.com

Este es un artículo publicado en acceso abierto bajo una licencia Creative Commons

RESUMO

O desempenho do polímero condutor, dopado pelo íon triiodeto, na detecção eletroquímica do ácido ascórbico foi avaliado matematicamente. O modelo matemático, correspondente ao sistema, foi desenvolvido e analisado mediante a teoria de estabilidade linear e de bifurcações. Verificou-se que o polímero condutor pode servir de excelente modificador de elétrodo para a detecção do ácido ascórbico, sendo o triiodeto a substância ativa, e o polímero condutor o mediador. O estado estacionário mantém-se estável facilmente, o que corresponde à vasta zona da linearidade da dependência entre a concentração do fármaco e o parâmetro eletroquímico. A possibilidade das instabilidades oscilatória e monotônica também foi verificada.

Palavras-chave:

Ácido ascórbico, sensores eletroquímicos, polímero condutor, triiode-to, eletrooxidação, estado estacionário estável.

SUMMARY

The function of the conducting polymer, doped by triiodide ion in the electrochemical determination of the ascorbic acid has been mathematically evaluated. The mathematical model, correspondent to the system, was developed and analyzed by linear stability theory and bifurcation analysis. It was confirmed that the conducting polymer might be an excellent electrode modifier for ascorbic acid determination. The triiodide ion acts as the active substance, and the conducting polymer, as a mediator. The stable steady-state is easy maintain, which is correspondent to the vast zone of the linear dependence between the drug concentration and electrochemical parameter The possibility of oscillatory and monotonic instabilities has also been verified.

Key words:

Ascorbic acid, electrochemical sensors, conducting polymer, triiodide, electrooxidation, stable steady-state.

INTRODUÇÃO

Ácido ascórbico (3-oxo-L-gulofuranolactona-(5R)-5-[(1S)-1,2-diidroxietil]-3,4-diidroxi-furano-2(5H)-ona, número CAS: 50-81-7), ou seja, a vitamina C, é um composto importante para o metabolismo humano [1-3]. Participando de várias reações bioquímicas na célula, tem por sua principal função a hidroxilação de colageno [4]. Outrossim, ele é um forte antioxidante [5-6] e participa da biossíntese de neutrotransmissores e hormônios [7].

A sua falta provoca uma doença, conhecida como escorbuto [8-9], conhecida também como doença dos marinheiros (por exemplo, Vasco da Gama, durante a viagem à Índia, perdeu a maioria dos seus marinheiros por escorbuto), que se caracteriza pelas hemorragias nas gengivas, tumefação purulenta das gengivas (inchaço com pus), dores nas articulações, feridas que não cicatrizam, além de desestabilização dos dentes. O escorbuto como doença dos marinheiros foi mencionado até em Os Lusíadas de Luís de Camões, (Canto V, Estâncias 81 - 82):

[...] E foi, que de doença crua e feia A mais que eu nunca vi, desempararam Muitos a vida, e em terra estranha e alheia Os ossos para sempre sepultaram. Quem haverá que sem ver o creia?

Que tão disformemente ali lhe incharam As gengivas na boca, que crescia A carne, e juntamente apodrecia,

Apodrecia com fétido e bruto Cheiro, que o ar vizinho infeccionava. Não tínhamos ali médico astuto, Surugião sutil menos se achava:

Mas qualquer, neste ofício pouco instruto, Pela carne já podre assim cortava, Como se fora morta; e bem convinha, Pois que morto ficava quem a tinha. [...]

Hodiernamente, o ácido ascórbico é amplamente utilizado como fármaco em doses, que excedem significantemente as necessidades diárias do organismo humano, para prevenção ou tratamento de muitas doenças [10]. Entretanto, apesar de ser, em geral, um composto de pouca toxicidade, provoca, quando usado em concentrações excessivas, outros efeitos colaterais, por exemplo, aumenta a sorção de ferro pelo organismo [11], pode causar a dita oxalúria [12], náusea, diarreia e outras influências no sistema digestivo. Ademais, ele é capaz de interagir com outros fármacos, impedindo a sua função [13-15]. Destarte, o desenvolvimento de um método rápido e eficiente da detecção da sua concentração é realmente uma questão atual [16], e a aplicação dos processos eletroanalíticos serlheia uma ótima solução.

A metodologia clássica da detecção e quantificação do ácido ascórbico consiste na titulação das soluções, que, alegadamente, a contêm, pelo íon triiodeto, conforme a reação a seguir [17]:

Esta metodologia poder-se-ia instrumentalizar, usando os elétrodos específicos, modificados pelos polímeros condutores ou outros compostos (mesmo sendo micromole-culares), capazes de ser dopados pelos íons triiodeto e iodeto, inclusive os triazólicos, tetrazólicos, piridínicos, quinolínicos e acridínicos [18-20]. A dopagem dos polímeros condutores pelo íon triiodeto já tem sido realizada e descrita em [21].

Sem embargo, tanto o desenvolvimento das novas metodologias eletroanalíticas, bem como a modificação das já existentes para o certo caso, ainda dependem da resolução de certos problemas como:

- A indecisão acerca do mecanismo de imobilização e dopagem do íon e da sua intração com o ácido ascórbico nas condições da matriz.

- A possibilidade das instabilidades eletroquímicas, características para a oxidação anódica dos compostos orgânicos pequenos (um dos quais é o ácido ascórbico) [22 -25].

A resolução destes problemas não é possível sem desenvolver e analisar um modelo matemático, capaz de descrever adequadamente o comportamento do sistema. A modelagem também nos deixa comparar o seu comportamento com o dos sistemas análogos.

Assim sendo, o objetivo geral deste trabalho é a investigação teórica mecanística da oxidação eletroquímica do ácido ascórbico sobre o polímero condutor, dopado pelo íon triiodeto. A sua resolução é alcançada pela realização dos objetivos específicos como:

- A sugestão de um mecanismo da eletrooxidação do ácido, incluindo a participação do polímero condutor e do íon triiodeto.

- O desenvolvimento de um modelo matemático, que descreve adequadamente o sistema.

- A análise do modelo e a sua interpretação em termos de estabilidade do estado estacionário, bem como nos termos eletroanalíticos.

- A comparação do comportamento deste sistema com o dos semelhantes [25 - 28].

O SISTEMA Ε O SEU MODELO

O sistema eletroanalítico é realizado na base de uma titulação clássica, que se realiza conforme a reação (1). A reversibilidade do elétrodo, destarte, realiza-se mediante as reações (2 - 3) a seguir:

que ocorre na matriz polimérica, que funciona como mediador de transferência de elétrons

Assim, trata-se de um processo eletroanalítico com uma transferência de elétrons do sistema sensitivo ao sistema analítico, mediada pela matriz polimérica condutora. Obter-se-á, destarte, um sistema, que é descrito por um conjunto de equações, análogo ao já descrito ainda em 2011 [25], mas com retificações, relativas ao comportamento dos íons dentro da matriz.

Este conjunto de equações tem três variáveis:

c: a concentração do ácido ascórbico na camada pré-superficial.

ι : o grau de recobrimento da matriz polimérica pelo íon iodeto.

Θ: o grau de recobrimento da superfície do elétrdo pelo polímero condutor na sua forma reduzida.

Para simplificar a modelagem, supomos que o reator esteja agitando-se intensamente, de modo que possamos menosprezar o fluxo de convecção, que o eletrólito de suporte esteja em excesso, para menosprezar o fluxo de migração. Também supomos que a camada présuperficial esteja de espessura constante, igual a δ, e que o perfil concentracional dos dois analitos seja linear.

É possível mostrar que, haja vista o supracitado, o comportamento do sistema poder-se-á descrever pelo conjunto de equações diferenciais, representado como:

em que Δ é o coeficiente da difusão do ácido ascórbico, c0, a sua concentração no interior da solução, G e P são as concentrações máximas do iodeto na matriz e do polímero na superfície do elétrodo e os parâmetros r são as velocidades das respectivas reações, que se podem calcular como:

em que Δ é o coeficiente da difusão do ácido ascórbico, c 0, a sua concentração no interior da solução, G e P são as concentrações máximas do iodeto na matriz e do polímero na superfície do elétrodo e os parâmetros r são as velocidades das respectivas reações, que se podem calcular como:

Em que os parâmetros k são as constantes das respectivas reações, as variáveis j e ω descrevem as influências das mudanças das composições da matriz polimérica e do próprio polímero na dupla camada elétrica (DCE), n é o número dos sítios na matriz, onde, no início da reação, é hospedado o triiodeto, F é o número de Faraday, p0 é o salto do potencial do elétrodo, relativo ao potencial da carga zero, R é a constante universal de gases e T é a temperatura absoluta do vaso.

Haja vista a presença de mais influências na dupla camada elétrica que no caso mais simples, descrito em [25], o comportamento do sistema tornar-se-á mais dinâmico, isto é, mais complicado, o que será exposto embaixo.

RESULTADOS Ε DISCUSSÃO

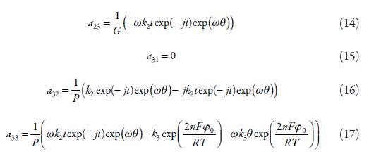
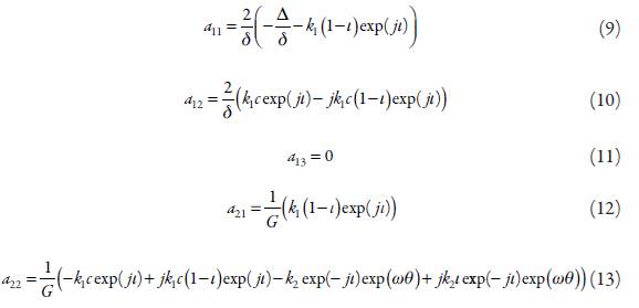
Para investigar o comportamento do sistema com a detecção do ácido ascórbico, assistida pelo polímero condutor, dopado pelos íons triiodeto, analisamos o conjunto de equações diferenciais (4) mediante a teoria de estabilidade linear. Os elementos estacionários da matriz funcional de Jacobi, para este caso, podem ser descritos conforme:

em que:

Observando as expressões (9), (13) e (17), é possível ver que o comportamento oscilatório, neste caso, é possível, porque na diagonal principal da matriz Jacobiana existem elementos de signo positivo, correspondentes à positiva conexão de retorno.

No entretanto, ao contrário do caso mais simples, descrito em [25], bem como dos semelhantes [26-27], a DCE é afetada não só aquando da etapa eletroquímica, senão também durante as químicas. Tanto as composições iônicas da matriz como a composição química do polímero em relação ao grau e tipo de dopagem influenciam as capacitancias da dupla camada elétrica e a coação dessas influências ao longo do processo eletroanalítico fará com que a probabilidade do comportamento oscilatório aumente. Deveras, não só o elemento - , pode ser positivo, como nos sistemas [25 - 28], mas também os outros, jk 1 c (1 - ¿)exp( ji) >0 jk 2 t exp(- j)exp (ωθ)> 0, se j < 0, bem como o a>k2 ιexp(- j)exp (ωθ)> 0, se ω > 0, todos, correspondentes às influências das reações químicas nas capacitancias da DCE. As oscilações se esperam mais frequentes que nos casos mais simples [25 - 28] e de amplitude menor.

Para investigar a estabilidade do estado estacionário neste sistema, aplicamos ao conjunto de equações diferenciais (4) o critério Routh-Hurwitz.

Para investigar a estabilidade do estado estacionário neste sistema, aplicamos ao conjunto de equações diferenciais (4) o critério de estabilidade Routh-Hurwitz. Evitando a aparição de expressões grandes, introduzimos as novas variáveis, de modo que o determinante jacobiano se descreva como:

Abrindo os parênteses e aplicando à expressão (18) a inequação Det/<0, saliente do critério, obtemos o requisito de estabilidade sob a forma de:

Ο requisito (19) satisfar-se-á de forma garantida, no caso da positividade dos parâmetros Ω, Ρ, Λ e Φ, que descreve a fraqueza das já mencionadas influências da dupla camada elétrica. Vista a maior quantidade dos processos que influenciam a DCE que nos casos mais simples [25 - 28], a zona topológica da estabilidade do estado estacionário far-se-á mais estreita. Porém, mesmo nesta zona mais estreita, o estado estacionário estável far-se-á eletroanaliticamente eficiente e correspondente à linearidade da dependência entre a concentração do ácido ascórbico e o parâmetro eletroquímico (neste caso, a corrente), já que não há fatores externos e colaterais, capazes de comprometer a estabilidade do analito e do modificador.

A expressão (19) é típica para processos, controlados pela difusão. No entretanto, isso é válido apenas quando os parâmetros Ξ e Ω têm valores relativamente grandes, ou seja, quando a matriz polimérica é capaz de hospedar o triiodeto na concentração suficiente. Caso contrário, o processo eletroanalítico far-se-á controlado pela reação.

No caso da igualdade das influências desestabilizadoras às estabilizadoras, realiza-se a inestabilidademonotônica, cuja aparição é condicionada à satisfação da equação de:

No ponto desta instabilidade, correspondente ao limite de detecção, para o sistema definem-se vários estados estacionários, cada qual instável, dos quais o sistema escolhe apenas um, que se destrói, mudando-se as condições do sistema.

Caso as influências das etapas químicas para a DCE sejam menosprezíveis, os valores de ω anular-se-ão, fazendo-se as exponentes iguais a um e transformando-se o conjunto de equações diferenciais (4) no descrito [25].

A análise do sistema eletroanalítico da detecção do ácido ascórbico, assistida pelo polímero condutor, dopado pelos íons triiodeto deixou concluir que:

CONCLUSÕES

  • - Apesar de haver mais processos, que influenciam a capacitância e a estrutura da dupla camada elétrica, o processo eletroanalítico far-se-á eficiente.

  • - A linearidade da dependência entre o parâmetro eletroquímico e a concentração manter-se-á na faixa mais estreita que no caso mais comum, mas, mesmo assim, ampla.

  • - A depender da capacidade da matriz polimérica de hospedar os íons triiodeto, o processo eletroanalítico far-se-á controlado pela difusão ou pela reação.

  • - O comportamento oscilatório, neste sistema, é mais provável que nos análogos, dada a maior quantidade das reações que influenciam a capacitância e a estrutura da dupla camada elétrica.

REFERÊNCIAS

  1. 1. https://pubchem.ncbi.nlm.nih.gov/compound/ascorbic_acid , acesso aos 23 de janeiro de 2017. [URL] 🠔
  2. 2. https://www.drugs.com/cdi/ascorbic-acid.html , acesso aos 23 de janeiro de 2017. [URL] 🠔
  3. 3. M. de Vuono Camargo, "Vitaminas. Aspectos nutricionais, Bioquímicos, Clínicos e Analíticos" São Paulo, 2003. 🠔
  4. 4. S. Murad, D. Grove, K.A. Lindberg et al ., Regulation of collagen synthesis by ascorbic acid, Proc. Natl. Acad. Sci. USA ., 78, 2879-2882 (1981). 🠔
  5. 5. W.M. Cort, Ascorbic acid. Chemistry, metabolism and uses, Advances in Chemistry, 200, 533 (1982). 🠔
  6. 6. S. J. Padayatti, A. Katz, Y. Wang et al ., Vitamin C as an antioxidant: evaluation of its role in disease prevention,/ Am. Coll. Nutr ., 22, 18-35 (2003). 🠔
  7. 7. M. Walingo, Role of Ascorbic Acid (Vitamin C) in a Human Health. A Review, Afr. J. Food Agr. Nutr. Dev ., 5, 1-13 (2005). https://tspace.library.utoronto.ca/bitstream/1807/7699/1/nd05011.pdf [URL] 🠔
  8. 8. http://emedicine.medscape.com/article/125350-overview , acesso aos 23 de janeiro de 2017 [URL] 🠔
  9. 9. http://www.indiaportuguesa.com/a-viagem-de-vasco-da-gama.html , acesso aos 23 de janeiro de 2017 [URL] 🠔
  10. 10. M.D. Mashkovskiy, "Livro de fármacos", Moscou, 2012, 16a Edição Revista e ampliada em russo. 🠔
  11. 11. B. Teucher, M. Olivares, H. Cori, Enhancers of iron absorption: ascorbic acid and other organic acids, Intr. J. Vit. Nutr. Res ., 74, 403-419 (2004). 🠔
  12. 12. J. Lamarche, R. Nair, A. Peguero C. Courville, Vitamin C-Induced Oxalate Nephropathy, Int. J. Nephrol ., 2011, 146927 (2011). 🠔
  13. 13. https://www.drugs.com/drug-interactions/ascorbic-acid,vitamin-c.html , acesso aos 23 de janeiro de 2017. [URL] 🠔
  14. 14. http://umm.edu/health/medical/altmed/supplement-interaction/possible-interactions-with-vitamin-c-ascorbic-acid , acesso aos 23 de janeiro de 2017. [URL] 🠔
  15. 15. D.S. Oliveira, Interação medicamentosa, Parte I. Cad., Farm. UFRGS ., 2, 3-20 (1986). 🠔
  16. 16. L.A. Pachla, D.L. Reynolds, P.T. Kissinger, Analytical methods for determining ascorbic acid in biological samples, food products, and pharmaceuticals, J. Assoc. Off. Anal. Chem ., 68, 1-12 (1985). 🠔
  17. 17. N. Baccan, J.C. de Andrade, O.E.. Godinho, J.S. Barone, "Química analítica quantitativa elementar", Blucher, São Paulo, SP, 2012. 🠔
  18. 18. J.P. Tosar Rovira, "Estudio de la inmovilización de oligonucleótidos a elétrodos modificados de oro: polipirrol, y detección electroquímica de secuencias complementarias", Tesis licenciatura en Bioquímica, Universidad de la República, Montevideo, 2008. 🠔
  19. 19. A. Ramanavicius, A. Ramanaviciene, A. Malinauskas, Electrochemical sensors, based on conducting polymer polypyrrole, Electrochim. Acta, 51 , 6025-6037 (2006). 🠔
  20. 20. T. McQuade, A. Pullen, T.M. Swager, Conjugated Polymer-Based Chemical Sensors, Chem. Rev ., 100, 2537-2574 (2000). 🠔
  21. 21. T. Hanawa, H. Yoneyama, Gas Sensitivities of Electropolymerized Polythiophene, Films Synth. Met, 30, 341-350 (1989). 🠔
  22. 22. S.U. Rahman, M.S. Ba-Shammakh, Thermal effects on the process of electropolymerization of pyrrole on mild steel, Synth. Met. 140, 207-223 (2004). 🠔
  23. 23. I. Das, N.R. Agrawal, S.A. Ansari, S.K. Gupta, Pattern Formation and Oscillatory Electropolymerization of Thiophene, Ind. J. Chem, 47, 1798-1803 (2008). 🠔
  24. 24. M. Bazzaoui, E.A. Bazzaoui, L. Martins, J.I. Martins, Electropolymerization of pyrrole on zinc- lead-silver alloys' electrodes in neutral and acid organic media, Synth. Met ., 130, 73-83 (2002). 🠔
  25. 25. V.V. Tkach, V.V. Nechyporuk, P. I. Yagodynets', Y. Meslyuk, Mathematical model of the work of the mediated conducting polymer sensors with the use of the polymers of heterocyclic compounds, Rev. Soc. Quím. Perú, 77, 259-266 (2011). 🠔
  26. 26. V.V. Tkach, V.V. Nechyporuk, P.I. Yagodynets', A investigação matemática do desempenho de biossensores eletroquímicos enzimáticos baseados nos polímeros condutores, Rev. Colomb. Cienc. Quím. Farm, 41 , 203-216 (2012). 🠔
  27. 27. V.V. Tkach, Ya. G. Ivanushko, S. M. Lukanova et al ., The Theoretical Evaluation of the Possibility of Theacrine Electrichemical Detection over the Polymers of Quinonic Compounds, Anal. Bioanal. Electrochem, 9, 145-153 (2017). 🠔
  28. 28. V.V. Tkach, B. Kumara Swamy, R. Ojani et al ., El mecanismo de la oxidación de omeprazol sobre el electrodo de carbono vitroso, modificado por polializarina, y su descripción matemática, Orbital Elec J. Chem, 7, 1-7 (2015). 🠔
Os autores declaram que não há conflito de interesses.
V.V. Tkach, M.V. Kushnir, S.C. de Oliveira, Z.O. Kormosh, O.V. Luganska, V.V. Parchenko, Y.G. Ivanushko, P.I. Yagodynets', A descrição matemática do processo da detecção eletroquímica do ácido ascórbico sobre o polímero condutor, dopado pelo íon triiodeto, Rev. Colomb. Cienc. Quím. Farm., 48(1), 159-169 (2019).