Revista Colombiana de Ciencias Químico - Farmacéuticas
0034-7418
Departamento de Farmácia, Facultad de Ciencias, Universidade Nacional da Colombia
https://doi.org/10.15446/rcciquifa.v48n1.80073

Recibido: 12 de febrero de 2018; Aceptado: 25 de febrero de 2019

Análisis teórico de la posibilidad de la detección electroquímica de la sacarina, asistida por oxihidróxido de vanadio

The theoretical analysis of the possibility of the electrochemical determination of saccharin, assisted by vanadium (III) oxyhydroxide

V. Tkach, 12*M. Kushnir, 1S. Oliveira, 2O. Luganska, 3V. Lorents, 1O. Pishak, 1R. Boychuk, 1P. Yagodynets', 1

Universidad Nacional de Chernivtsi, 58012, Calle de Kotsyubyns'ky, 2, Chernivtsi, Ucrania Universidad Nacional de Chernivtsi Chernivtsi Ucrania
Universidade Federal de Mato Grosso do Sul, Av. Sen. Felinto. Müller, 1555, C/P. 549, 79074460, Campo Grande, MS, Brasil. Universidade Federal de Mato Grosso do Sul Universidade Federal de Mato Grosso do Sul Brazil
Universidad Nacional de Zaporizhzhya, Facultad de Biología, 69095, Calle de Zhukovs'ky, 66, Zaporizhzhya, Ucrania. Universidad Nacional de Zaporizhzhya Facultad de Biología Ucrania

Correio eletrônico : nightwatcher2401@gmail.com

Este es un artículo publicado en acceso abierto bajo una licencia Creative Commons

RESUMEN

Mediante el análisis mecanístico teórico, ha sido evaluada la posibilidad del empleo del oxihidróxido de vanadio como modificador de electrodo para la detección electroquímica de sacarina. El proceso electroanalítico se realiza a través de un proceso catódico. El modelo matemático correspondiente ha sido analizado mediante la teoría de estabilidad lineal y análisis de bifurcaciones. El análisis del modelo ha mostrado que el oxihidróxido de vanadio puede ser un modificador eficiente para la detección electroquímica de la sacarina en las condiciones del pH suficientemente ácido para mover el proceso, pero insuficiente para disolver el oxihidróxido. Las causas de los comportamientos oscilatorio y monotónico también fueron estipuladas.

Palabras claves:

Sacarina, electrodos químicamente modificados, oxihidróxido de vanadio trivalente, sensores electroquímicos, estado estacionario estable.

SUMMARY

By means of the theoretical mechanistic analysis, the possibility of the use of vanadium oxyhydroxide as electrode modifier for saccharin electrochemical determination has been evaluated. The electroanalytical process is realizing by a cathodic route. The correspondent mathematical model has been analyzed by means of the linear stability theory and bifurcation analysis. The analysis of the model has shown that the vanadium oxyhydroxide is an efficient electrode modifier for saccharin electrochemical detection in pH sufficiently low to maintain the process, but insufficiently acidic to dissolve the oxyhydroxide. The causes for the oscillatory and monotonic instabilities have also been derived.

Key words:

Saccharin, chemically modified electrodes, trivalent vanadium oxyhydroxide, electrochemical sensors, stable steady-state.

INTRODUCCIÓN

La sacarina (E954, 2H-H6,2-benzotiazol-1,1,3-triona, número CAS 81-07-2) es un edulcorante artificial, que suele utilizarse con frecuencia, tanto en la industria alimentar, como en formulaciones farmacéuticas [1-3]. Ella es considerada 500 veces más dulce que el azúcar y 1,5 más dulce que el aspartamo. Pasando por el organismo humano con pequeño grado de metabolismo, se usa en alimentación especial para diabéticos [4]. Ella tiene potencial de ser antídoto para casos de envenenamiento por compuestos de metales pesados [5].

Sin embargo, como la sacarina contiene un conjunto con potencial tóxico (CO - NH - SO2, o CO - NNa - SO2, en su forma soluble) su uso es conjugado con varios efectos colaterales [6-10], por ejemplo, reacciones alérgicas y alteración de microbiota intestinal, puede provocar cáncer. Así, el desarrollo de un método eficiente, barato y rápido para su detección y cuantificación es una tarea actual [11-13], y los métodos electroquímicos pueden servirle de respuesta interesante.

Varios métodos electroanalíticos han sido desarrollados [14-16] o previstos [17-18] para la sacarina, en los que varios modificadores han sido usados. Un material interesante con potencial para ser modificador de cátodo para la reducción electroanalítica de la sacarina podría ser el oxihidróxido de vanadio (VO(OH)), un material análogo al oxihidróxido de cobalto, estable en la banda de pH entre 3 y 14, pero con un comportamiento electroquímico más inclinado para catódico, pudiendo ser sustancia activa o mediador.

Por otro lado, por ahora, ningún método electroanalítico, que use el oxihidróxido de vanadio con sacarina o cualquier otro analito ha sido desarrollado. Solamente un trabajo [19], en que VO (OH) es usado como modificador de electrodo en condensadores, ha sido publicado. De otra parte, el desarrollo y uso práctico de nuevos métodos electroanalíticos puede implicar la resolución de ciertos problemas como:

  • - La necesidad de combinar los parámetros de estabilidad de sustancias, que participan en el acto electroanalítico, con los de la mayor eficiencia del proceso electroanalítico.

  • - La posibilidad de la aparición de inestabilidades electroquímicas, que ya han sido observadas durante el desempeño del oxihidróxido de cobalto [20-21], que es un compuesto semejante.

Teniendo en cuenta lo citado, el análisis teórico a priori es necesario para describir un sistema con potencial electroquímico. Así, el objetivo general de este trabajo es el análisis aplicado para el sistema con la detección electroquímica de sacarina en el cátodo y modificado por VO(OH). El modelo matemático, capaz de describir adecuadamente el comportamiento del sistema, se desarrolla y analiza mediante la teoría de estabilidad lineal y análisis de bifurcaciones. Del análisis se concluye acerca de la eficiencia del proceso en la detección electroanalítica de la sacarina y, también se compara el comportamiento de este proceso con otros procesos los semejantes [17, 18, 22, 23].

EL SISTEMA Y SU MODELO

El esquema del proceso electroanalítico, en el que la reducción electroquímica de la sacarina es asistida por el oxihidróxido de vanadio, puede ser descrita como:

El esquema del desempeño de VO(OH) como modificador del cátodo en la reducción electroquímica de la sacarina.

Figura 1: El esquema del desempeño de VO(OH) como modificador del cátodo en la reducción electroquímica de la sacarina.

Como se puede ver, el medio ácido es necesario para la realización del proceso electroanalítico. Entretanto, mantener el pH en valores muy bajos, inferiores a 3 llevará a la disolución de VO(OH):

Esta reacción se realiza sin oxidación o reducción, pero causa alteración en las capacitancias de la doble capa eléctrica (DCE), fuerza iónica y composición de la superficie. Si el oxihidróxido de vanado está presente en la superficie de un material polimérico o carbónico como componente de la matriz, la disolución puede ser parcial o hasta no ocurrir, solo haciendo que el ion del vanadio trivalente permanezca en la matriz.

Así, para describir el comportamiento de este sistema introducimos tres variables:

c: la concentración de la sacarina en la capa presuperficial.

v: el grado de recubrimiento de la superficie por el oxihidróxido de vanadio.

h: concentración de los protones en la capa presuperficial.

Para simplificar el modelo, suponemos que el reactor se agite intensamente, lo que nos deja menospreciar el flujo de convexión. Consecuentemente, suponemos que el electrólito de soporte esté presente en su exceso, dejándonos menospreciar el flujo de migración. Suponemos, también, que el perfil concentracional de las sustancias en la capa presuperficial sea lineal, y su espesor, constante e igual a δ.

Es posible mostrar que, considerando lo citado, el comportamiento del sistema será descrito por un conjunto de ecuaciones diferenciales conforme:

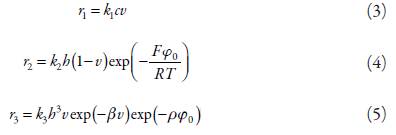
En que D y Δ son los coeficientes de difusión de los protones y de la sacarina, c0 y h0, sus concentraciones en la capa presuperficial, G es la concentración superficial máxima del oxihidróxido de vanadio en la superficie del cátodo y los parámetros r son las velocidades de las reacciones de la reducción de sacarina, regeneración y disolución del oxihidróxido de vanadio, que se pueden calcular como:

En que los parámetros k son constantes de velocidades de las respectivas reacciones, F es el número de Faraday, (0 es el salto de potencial en la doble capa eléctrica (DCE), relacionado al potencial de carga cero, las variables β y ρ describen las influencias superficiales y electroquímicas de la disolución VO(OH) a las capacitancias de la DCE, R es la constante universal de gases y T es la temperatura absoluta.

Como se ve, la presencia de un medio ácido es necesaria para mantener el proceso electroanalítico "en el aire". Sin embargo, las soluciones fuertemente ácidas llevan a la disolución del oxihidróxido e inestabilidades vinculadas a esta disolución, lo que será descrito abajo.

RESULTADOS Y DISCUSIÓN

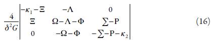
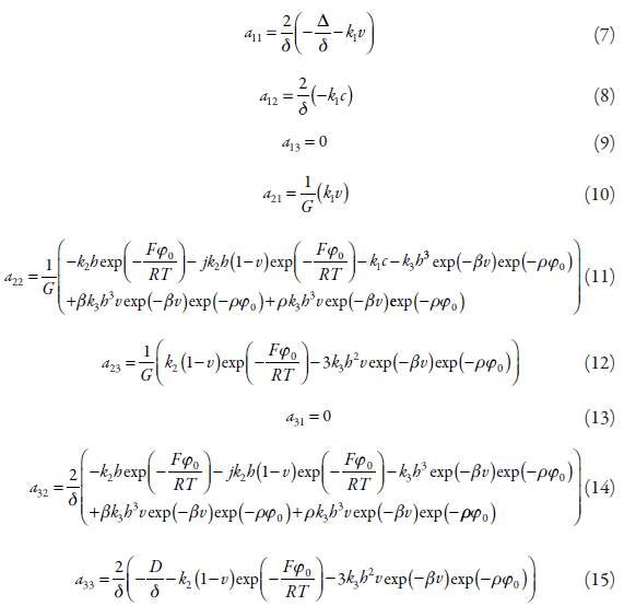
Para investigar el comportamiento del sistema con la detección electroquímica de sacarina en soluciones ácidas, mediante un proceso de reducción, asistida por el oxihidróxido de vanadio, analizamos el conjunto de ecuaciones diferenciales (2), mediante la teoría de estabilidad linear. Los elementos estacionarios de la matriz funcional de Jacobi se presentan así:

en que:

Es posible ver que el comportamiento oscilatorio en este sistema es más probable que en los semejantes. Hay tres factores responsables por este tipo de comportamiento, contra uno o dos en los sistemas semejantes [17, 18, 22, 23].

Para que la condición principal de la bifurcación de Hopf (que describe el comportamiento oscilatorio) se satisfaga, es preciso que los elementos de la diagonal principal de la matriz (7), (11) y (15) contengan elementos positivos, correspondientes a la positiva conexión del retorno. No solo el elemento , que describe las influencias a la DCE de la electroreducción de VO2 típicas para sistemas semejantes [17, 20, 21], sino el elemento , que describe la atracción de las partículas durante la disolución de VO(OH) y el pk 3 vexp (־βν)exp (־ρφ0 ) si ρ > 0, que describe las influencias en la CDE, causadas por la formación de los iones V3+ cerca del cátodo. Las oscilaciones se esperan frecuentes y de poca amplitud.

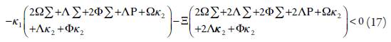
Para investigar la estabilidad de estado estacionario aplicamos al conjunto de ecuaciones diferenciales (2) el criterio Routh-Hurwitz. Evitando las expresiones grandes introducimos nuevas variables para que el determinante del Jacobiano se describa como:

Abriendo los paréntesis y aplicando el requisito Det J<0, según el criterio, se obtiene la condición de estabilidad del estado estacionario descrita como:

Este requisito se satisfice de forma garantizada, no habiendo influencias fuertes en la DCE y en la superficie, y, así, manteniéndose positivos los valores de los parámetros Ω y Φ. Consecuentemente, teniendo los dichos parámetros valores positivos, lo que se obtiene, cuando las variables β y ρ mantienen valores nulos o negativos, el estado estacionario se hará estable.

Entretanto, en este sistema, al contrario de la mayor parte de los semejantes [17, 18, 22, 23] la estabilidad de estado estacionario, en el aspecto más general no garantiza la eficiencia electroanalítica. De veras, siendo los valores de los parámetros Φ y P superiores a los de los demás parámetros del sistema (lo que ocurre, cuando el oxihidróxido de vanadio se disuelve de la superficie formando los cationes V+), el proceso electroanalítico no se realizará, es decir, no tendrá el sentido estipulado, aunque el estado estacionario permanezca estable.

Así, con el pH bajo, la probabilidad de la realización de inestabilidades electroquímicas en el sistema electroanalítico se hará mayor. Por eso, a pesar de la manutención muy probable de la estabilidad del estado estacionario en los valores bajos de pH, para que se realice la eficiencia electroanalítica del sistema es preciso usar las soluciones frágil o moderadamente ácidas, pudiendo hasta llegar a valores neutros (3<pH<7).

Satisfechas las condiciones de eficiencia electroanalítica del estado estacionario, la curva de la dependencia entre el parámetro electroanalítico y la concentración del analito se mantendrá lineal. Es decir, la señal electroanalítica se hará fácil de interpretar.

El proceso electroanalítico se hará controlado por la difusión, o por la reacción, dependiendo de la concentración de la sacarina, del pH, del tamaño del cátodo y de la dispersión del VO(OH) en su superficie).

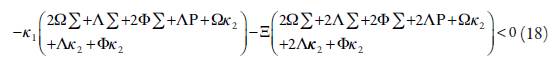
La inestabilidad monotónica en este sistema también es posible. Su condición principal es Det J =0, lo que, para este sistema corresponde a:

En términos electroanalíticos, esta inestabilidad es correspondente al límite de detección, y en este punto coexisten varios estados estacionarios, todos inestables. El sistema escoge apenas uno, y este se autodestruye, cuando las condiciones del sistema se alteran.

En el caso de la nulidad de los parámetros β y ρ, las exponentes incluidas en la velocidad de la disolución se harán iguales a 1, y el comportamiento del sistema se hará más estable y menos dinámico. Aún, si la disolución de VO(OH) no ocurre o sea menospreciablemente lenta, lo que deja anular el elemento r3 y todos los elementos de la matriz, que son derivados de él. Eso también hará el comportamiento del sistema más próximo de los semejantes [17, 18, 22, 23]

CONCLUSIONES

El análisis teórico de la posibilidad de la detección electroquímica de la sacarina, asistida por el oxihidróxido de vanadio trivalente, se concluye que:

  • - Para la mayor eficiencia de reducción electroanalítica, es preferible usar los valores de pH, suficientes para mantener la reducción electroanalítica, pero insuficientes para disolver el modificador del cátodo, es decir, satisfaciendo el pH la condición 3<pH≤7.

  • - Dependiendo de varios factores del sistema, el proceso electroanalítico se controlará por la difusión o por la reacción.

  • - El comportamiento oscilatorio en este sistema se hará más probable, visto que hay más factores superficiales y electroquímicos, capaces de causarlo.

  • - La probabilidad de este tipo de comportamiento aumenta cuando hay valores relativamente bajos de pH, las oscilaciones se esperan frecuentes y de pequeña amplitud, que, mismo así, se mantendrá dependiente del pH.

REFERENCIAS

  1. 1. S. Miao, E.S. Beach, T. J. Sommer et al ., High-Intensity Sweeteners in Alternative Tobacco Products, Nicot. Tob. Res ., 23(141), 2169-2173 (2016). 🠔
  2. 2. V.M. Sardesai, T.H. Valdshan, Natural and synthetic intense sweeteners, J. Nutr. Biochem ., 2, 236-244 (1991). 🠔
  3. 3. K. Rosenman, Benefits of Saccharin. A Review, Environm. Res ., 15, 70-80 (1978). 🠔
  4. 4. S.A. Miller, V.P. Fratalli, Saccharin, Diab. Care, 12, 75-80 (1989). 🠔
  5. 5. K.M.A. Malik, S.Z. Haider, M.A. Hossain, Dipotassium sodium trisacchari-nate monohydrate, K2Na(C7H4NO3S)3.H2O, Acta Crystall. C ., 40, 1696-1698 (1984). 🠔
  6. 6. J. Suez, T. Korem, D. Zeevi et al ., Artificial sweeteners induce glucose intolerance by altering the gut microbiot, Nature, 514, 181-186 (2014). 🠔
  7. 7. M.R. Torloni, M.U. Nakamura, A. Megale et al ., O uso de adoçantes na gravidez: uma análise dos produtos disponíveis no Brasil, Rev. Bras. Gin. Obstetr ., 29, 267-275 (2007). 🠔
  8. 8. A. Saad, F.A. Khan, A. Hayee, M.S. Nazir, A Review on potential toxicity of artificial sweetners vs safety of stevia: A natural bio-sweetner, J. Biol. Agr. Health, 4, 137-147 (2014). 🠔
  9. 9. M.R. Weinbrauch, V. Diehl, Artificial sweeteners do they bear a carcinogenic risk, Ann. Oncol ., 15, 1460-1465 (2004). 🠔
  10. 10. J. Whysner, G.M. Williams, Saccharin mechanistic data and risk assessment: urine composition, enhanced cell proliferation, and tumor promotion, Pharmacol. Ther, 71, 225- 252 (1991). 🠔
  11. 11. S.N.F. Bruno, C.R. Cardoso, M.M.A. Maciel et al ., Selective identification and quantification of saccharin by liquid chromatography and fluorescence detection, Food Chem ., 159, 309-315 (2014). 🠔
  12. 12. V.N. Oliveira Fernandes, L. Bellozi Fernandes, J. Pereira Vasconsellos et al ., Simultaneous analysis of aspartame, cyclamate, saccharin and acesulfame-K by CZE under UV detection, Anal. Meth, 5, 1524-1532 (2013). 🠔
  13. 13. K. Kh. Khamud, R.R. Neema, I.Sh. Hamza, E.A. Salih, Qualitative and Quantitative Determination of Artificial Sweetener Saccharin Sodium by FTIR Spectroscopy, Int. J. Adv. Pharm. Biol. Chem ., 3, 617-622 (2014). 🠔
  14. 14. O. Fatibello-Filho, J. Araújo, A.J. Moraes, Flow injection potenciometric determination of saccharin in dietary products with relocation of filtration unit, Talanta, 41, 731-734 (1994). 🠔
  15. 15. I. Tabakovic, S. Riemer, K. Tabakovic et al ., Mechanism of Saccharin Transformation to Metal Sulfides and Effect of Inclusions on Corrosion Susceptibility of Electroplated CoFe Magnetic Films, J. Electrochem. Soc ., 153, 586-593 (2006). 🠔
  16. 16. D.P. Nikoletis, S. Pantoulias, S.J. Krull et al ., Electrochemical transduction of the interactions of the sweeteners acesulfame-K, saccharin and cyclamate with bilayer lipid membranes (BLMs), Electrochim. Acta, 46, 1025-1031 (2001). 🠔
  17. 17. V.V. Tkach, G. Ivanushko, S. M. Lukanova et al ., The Theoretical Evaluation of Saccharin Electrochemical Detection on CP-Based Diazonium Salts, Anal. Bioanal. Electrochem, 8, 1044-1054 (2016). 🠔
  18. 18. V.V. Tkach, G. Ivanushko, S. M. Lukanova et al ., Detecção eletroquímica de sacarina em meio neutro por polímeros condutores especificamente modificados: Uma descrição matemática, Bol. Inf. Geum ., 7, 12-17 (2016). 🠔
  19. 19. Y. Zhang, X. Jing, Hydrothermal synthesis and supercapacitor electrode of low crystallinity VOOH hollow spheres with pseudocapacitance in aqueous solution, Mat. Lett., 205, 1-5 (2017). 🠔
  20. 20. O. Stadnik, Synthesis, electrochemical and photoelectrochemical properties of the oxide-hydroxide compounds of cobalt, Diss. Kand. Chim. N.-Kyiv 2011. 🠔
  21. 21. O. Stadnik, N. Ivanova, Y. Boldyrev, 218, Int. Electrochem. Soc. Meeting. Abstract # 2240, Abstract # 2240, http://ma.ecsdl.org/content/MA201002/38/2240.full.pdf accessed at 8th of August 2015. [URL] 🠔
  22. 22. V. Tkach, S.C. de Oliveira, F.J. Anaissi et al ., The Mechanism of Electroanalytical Function of CoO(OH) in the Oxalic Acid Electrochemical Determination and its Mathematical Representation, Anal. Bioanal. Electrochem ., 8, 1-11 (2016) 🠔
  23. 23. V. Tkach, Y. Ivanushko, S. C. de Oliveira et al ., A avaliação mecanística teórica da utilização de oxihidróxido de cobalto (III) em sensores eletroquímicos de tramadol, Rev. Colomb. Cien. Quím. Farm ., 46(2), 188-201 (2017). 🠔
Los autores no declaran conflicto de intereses.
V.V. Tkach, M.V. Kushnir, S.C. de Oliveira, O. Luganska, V. Lorents, O.V. Pishak, R.R. Boychuk, P.I. Yagodynets', Análisis teórico de la posibilidad de la detección electroquímica de la sacarina, asistida por oxihidróxido de vanadio, Rev. Colomb. Cienc. Quím. Farm, 48(1), 170-180 (2019).