Cuadernos de Geografía: Revista Colombiana de Geografía
0121-215X
2256-5442
Facultad de Ciencias Humanas de la Universidad Nacional de Colombia
https://doi.org/10.15446/rcdg.v31n2.101013

Recibido: 12 de octubre de 2021; Revision Received: 13 de diciembre de 2021; Aceptado: 22 de diciembre de 2021

Caracterización espacial del desplazamiento forzado en Colombia durante el periodo 1984-2016

Spatial Characterisation of Forced Displacement in Colombia During the Period 1984-2016

Caracterização espacial do deslocamento forçado na Colômbia no período 1984-2016

W. Siabato, *a Y. Montilla-Montilla,

Universidad Nacional de Colombia, Bogotá D.C. - Colombia - Universidad Politécnica de Madrid, Madrid - España. wlsiabatov@unal.edu.co - ORCID 0000-0001-6543-1133. Universidad Nacional de Colombia Universidad Nacional de Colombia Departamento de Geografía Universidad Politécnica de Madrid Bogotá D.C. Colombia
Universidad Nacional de Colombia, Especialización en Análisis Espacial, Departamento de Geografía, Bogotá D.C. - Colombia. ymontilla@unal.edu.co - ORCID: 0000-0002-5504-2377. Universidad Nacional de Colombia Universidad Nacional de Colombia Departamento de Geografía Bogotá D.C. Colombia

Correspondencia: Willington Siabato, Universidad Nacional de Colombia, Departamento de Geografía, Edificio 212 - Oficina 321, Bogotá D.C., Colombia.

Resumen

Al considerar el desplazamiento forzado como el hecho histórico con mayor número de víctimas en el conflicto armado colombiano, este artículo presenta la caracterización espacial de este fenómeno durante el periodo 1984-2016. Se analizaron principalmente los datos oficiales del Registro Único de Víctimas y del Centro Nacional de Memoria Histórica mediante la aplicación de métodos como la autocorrelación espacial (índice de Moran, coeficiente de Geary) y la media central ponderada (centro de gravedad). Se identificaron patrones espaciales que indican que el fenómeno analizado responde principalmente a la disputa entre diferentes actores armados por el control territorial de áreas valoradas como geoestratégicas en el marco del conflicto armado colombiano. Además, los resultados del análisis de correlación sugieren que el desplazamiento forzado está principalmente motivado por hechos victimizantes como la desaparición forzada, las amenazas, los delitos contra la libertad y la integridad sexual, el homicidio y las masacres. Se vinculan los resultados del análisis espacial con hitos histórico-sociales y hechos victimizantes documentados que contextualizan los patrones identificados. Este artículo muestra a través de la estadística espacial que el desplazamiento forzado no es un fenómeno aleatorio, por el contrario, sigue un patrón espacial tipo clúster que revela cómo ha afectado de forma localizada a diversas zonas de Colombia según el periodo estudiado. Mediante los análisis se determinaron como principales núcleos de afectación la región del Magdalena Medio; las subregiones de Urabá, Alto Sinú, San Jorge y los Montes de María; la Sierra Nevada de Santa Marta; el Litoral Pacífico y la antigua zona de distensión. El desplazamiento forzado es un fenómeno permanente en el territorio colombiano.

Ideas destacadas:

El desplazamiento forzado ha afectado a Colombia de forma ininterrumpida entre 1984 y 2016. Durante este periodo, ha afectado al 99,8 % de los municipios y victimizado a más de ocho millones de ciudadanos. Los municipios más afectados han sido Buenaventura, Turbo, Medellín, El Carmen de Bolívar y Tumaco. El desplazamiento forzado muestra un comportamiento espacial agrupado, tanto para las zonas de alto impacto como para las de bajo. Es un fenómeno que responde a diferentes hechos victimizantes, según el periodo y el momento político y social del país.

Palabras clave:

análisis local, autocorrelación espacial, coeficiente de Geary, Colombia, conflicto armado, conflicto interno colombiano, desplazamiento forzado, hechos victimizantes, índice de Moran, víctimas por desplazamiento.

Abstract

Considering forced displacement as the historical event with the highest number of victims in the Colombian armed conflict, a spatial characterisation of this phenomenon was conducted for the period 1984 - 2016. Official data from the Registro Único de Víctimas and the Centro Nacional de Memoria Histórica were analysed by applying spatial analysis methods namely spatial autocorrelation (Moran's I, Geary's c) and weighted mean centre (centre of gravity). The identified spatial patterns have shown that the phenomenon mainly responds to disputes amongst different armed actors because of territorial control of areas considered geostrategic within the framework of the Colombian armed conflict. In addition, the results of the correlation analysis suggest that forced displacement is motivated by victimising events as forced disappearance, threats, crimes against liberty and sexual integrity, homicide, and massacres. The spatial analysis results are linked to historical and social milestones as well as documented victimising events that contextualise the identified patterns. This article shows through spatial statistics that forced displacement is not a random phenomenon; in contrast it follows a cluster-like spatial pattern that reveals how such phenomenon has affected different areas of Colombia in a more localized way, depending on the period analysed. The analysis identifies as the primary nuclei of displacement the region of Magdalena Medio; the sub-regions of Urabá, Alto Sinú, San Jorge, and Montes de María; the Sierra Nevada de Santa Marta; the Pacific Coast (Litoral Pacífico); and the former zone of détente. Forced displacement is a permanent phenomenon in the Colombian national territory.

Highlights:

Forced displacement has affected Colombia continuously between 1984 and 2016. During this period, it has affected 99.8 % of municipalities and victimised more than eight million citizens. The most affected municipalities have been Buenaventura, Turbo, Medellín, El Carmen de Bolívar, and Tumaco. Forced displacement shows a clustered spatial behaviour both in high and low-impact areas. Moreover, it is a phenomenon that responds to different victimising events, depending on the period and the political and social moment in the country.

Keywords:

local analysis, spatial autocorrelation, Geary's c, Colombia, military conflict, Colombian internal conflict, forced displacement, victimising events, Moran's Index, internally displaced people.

Resumo

Considerando o deslocamento forçado como o evento histórico com a maior quantidade de vítimas no contexto do conflito armado na Colômbia, este artigo apresenta a caracterização espacial desse fenômeno para o período 1984-2016. Foram analisados dados oficiais do Registro Único de Víctimas e do Centro Nacional de Memoria Histórica aplicando métodos como a autocorrelação espacial (índice de Moran, coeficiente de Geary) e a média central ponderada (centro de gravidade). Os padrões espaciais identificados indicam que o fenômeno analisado responde principalmente à disputa entre os diferentes grupos armados pelo controle territorial de áreas consideradas geoestratégicas no âmbito do conflito armado colombiano. Além disso, os resultados da análise da correlação sugerem que o deslocamento forçado é motivado principalmente por atos vitimizadores como o desaparecimento forçado, ameaças, crimes contra a liberdade e integridade sexual, homicídios e massacres. Os resultados da análise espacial estão associados a marcos histórico-sociais e eventos vitimizadores documentados que contextualizam os padrões identificados. Este artigo expõe através de estadísticas espaciais que o deslocamento forçado não é um fenômeno aleatório, ao contrário, segue um padrão espacial de aglomerado que revela como afeta diferentes áreas da Colômbia de forma localizada no período analisado. As análises determinaram que a região do Magdalena Médio; as sub-regiões de Urabá, Alto Sinú, San Jorge, Montes de María; a Sierra Nevada de Santa Marta; a costa do Pacífico e a antiga zona desmilitarizada como os principais núcleos afetados. O deslocamento forçado é um fenômeno permanente no território colombiano.

Ideias destacadas:

O deslocamento forçado afetou a Colômbia continuamente entre 1984 e 2016. Durante este período afetou 99,8 % dos municípios e vitimizou mais de oito milhões de cidadãos. Os municípios mais afetados tem sido Buenaventura, Turbo, Medellín, El Carmen de Bolívar e Tumaco. O deslocamento forçado apresenta um comportamento espacial agrupado, tanto para áreas de alto impacto quanto para áreas de baixo impacto. É um fenômeno que responde a diferentes eventos de vitimização, dependendo do período e do momento político e social do país.

Palavras-chave:

análise local, autocorrelação espacial, coeficiente de Geary, Colômbia, conflito armado, conflito interno colombiano, deslocamento forçado, eventos vitimizadores, índice de Moran, vítimas de deslocamento.

Introducción

A partir de 1984 y hasta 2021, el conflicto armado colombiano acumuló un total de 9.23L426 víctimas (Unidad para la Atención y Reparación Integral a las Víctimas 2022). De estas, el ~ 88,98 % corresponden a víctimas por desplazamiento forzado, lo cual convierte este hecho victimizante en el mayor flagelo de la población del país al afectar al ~16,51 %1 del total de ciudadanos. En 2002 se presenta el punto más álgido del fenómeno al registrar 758.148 eventos por desplazamiento. Desde entonces y hasta 2016, el desplazamiento forzado ha disminuido gradualmente respondiendo a las dinámicas políticas y sociales de Colombia, por ejemplo, el proceso de paz y la posterior firma del acuerdo de paz entre el Gobierno y las extintas Fuerzas Armadas Revolucionarias de Colombia - Ejército del Pueblo - en adelante, FARC-ЕР-. Aunque los datos analizados muestran que el nivel de desplazamiento ha descendido, este es un problema que aún aqueja de forma dramática a Colombia, situación que motivó el desarrollo del análisis descrito en este artículo y con el que se espera aportar a una mejor comprensión de la evolución del desplazamiento forzado no solo desde las perspectivas social y política, sino también la geográfica. Los resultados del estudio ofrecen información geográfica estructurada que ayudará a orientar las actuales políticas de apoyo y reparación, y evaluar si las acciones tomadas en las décadas pasadas fueron aplicadas en las zonas históricamente más afectadas.

El problema del desplazamiento forzado en Colombia comienza a adquirir un carácter especial a partir del Conpes n.° 2804 del 13 de septiembre de 1995, en el que se establece el Programa Nacional de Atención Integral a la Población Desplazada por la Violencia y las medidas para atenderla. A partir de este momento y al ser parte de la agenda de planificación nacional, se aprobaron múltiples leyes que permitieron amparar las víctimas a través del Programa para la Atención Integral de la Población Desplazada (Ley 387 del 18 de julio de 1997); garantizar el derecho de las víctimas a la verdad, justicia y reparación, y facilitar los acuerdos humanitarios (Ley 975 del 25 de julio de 2005); y la restitución de sus derechos a través del Registro Único de Víctimas (Ley 1448 de 2011). Gracias a este registro y el trabajo preliminar de compilación y estructuración realizado por la Unidad para la Atención y Reparación Integral a las Víctimas, se ha podido contar con el conjunto de datos que habilitó el análisis implementado.

En este artículo se presenta un análisis transversal del desplazamiento forzado en Colombia que aplica métodos derivados de la estadística espacial con el fin de caracterizar su impacto y comportamiento geográfico durante el periodo 1984-2016. Los resultados presentados corresponden estrictamente al periodo analizado y no reflejan tendencia alguna para los años posteriores. En las siguientes secciones se responde a las preguntas: ¿presenta el desplazamiento forzado causado por el conflicto armado colombiano estructura espacial positiva (agrupamiento), negativa (dispersión) o se trata de un fenómeno aleatorio? Si existe estructura espacial positiva, ¿cuáles son las zonas con mayor y menor concentración del fenómeno? ¿Cuáles son los hechos victimizantes que mayor impacto han tenido en la ciudadanía y cómo se relacionan con el desplazamiento forzado?

Marco conceptual

La Ley 1448 de 2011 del Congreso de la República de Colombia, "por la cual se dictan medidas de atención, asistencia y reparación integral a las víctimas del conflicto armado interno", considera en el artículo 3° como víctimas

aquellas personas que individual o colectivamente hayan sufrido un daño por hechos ocurridos a partir del i° de enero de 1985, como consecuencia de infracciones al Derecho Internacional Humanitario o de violaciones graves y manifiestas a las normas internacionales de Derechos Humanos, ocurridas con ocasión del conflicto armado interno.

Para complementar esta definición general, la ley aclara más ampliamente quiénes son víctimas, por ejemplo, "el cónyuge [...] y familiar en primer grado de consanguinidad", también "las personas que hayan sufrido un daño al intervenir para asistir a la víctima en peligro o para prevenir la victimización". Esta definición es relevante a la hora de comprender quiénes están o pueden estar registrados en las bases de datos analizadas.

Debido al grave impacto del desplazamiento forzado en los territorios colombianos, este problema ha sido objeto de múltiples investigaciones y estudios. Salaya y Rodríguez (2014) presentan un análisis sobre la dinámica poblacional considerando el desplazamiento interno como consecuencia de la violencia armada. Los autores implementaron un estudio "ecológico descriptivo", aplicaron como unidad de observación los municipios, calcularon las tasas de expulsión y recepción para el periodo 2002-2010 a partir de los valores dispuestos en el Registro Único de Población Desplazada y clasificaron las variables demográficas en cuatro categorías cualitativas: alta y baja expulsión, y alta y baja recepción. En los hallazgos de este análisis, Salaya y Rodríguez (2014, 158) afirman que "la dinámica poblacional ha sido afectada por la violencia armada y no tiene una distribución regular a lo largo del territorio colombiano". Nosotros, por el contrario, mostraremos a través de la caracterización que para el periodo analizado el fenómeno del desplazamiento forzado presenta una estructura espacial positiva clara y definida.

Desde un punto de vista complementario, Mora Cortés (2013, 719) analiza el desplazamiento forzado desde la óptica de la violencia socioeconómica, en particular, "el despojo, la inseguridad económica y la no generación de oportunidades". A través de la integración de índices y características sociodemográficas para el periodo 1985-2011, el autor analiza la distribución territorial y las implicaciones del desplazamiento en las familias afectadas. Este estudio no presenta un marco de análisis espacial del fenómeno del desplazamiento forzado, sin embargo, soporta desde lo socioeconómico su origen y sus consecuencias al indicar entre los factores principales: (i) la persistencia de los conflictos estructurales sociales, (ii) la política social que agrava los conflictos asociados con el despojo, (iii) la desprotección social y la falta de oportunidades para los desplazados, y (iv) la negación o invisibilización del conflicto.

En un estudio previo, Ruiz (2011, 141) analiza la migración interna forzada en Colombia en el periodo 2000-2009, fenómeno definido por la autora como el "desplazamiento no voluntario de la población". A diferencia de los dos estudios descritos, este trabajo representa espacialmente el fenómeno del desplazamiento. La autora presenta dos composiciones cartográficas por municipio de las "tasas netas de desplazamiento forzado" y las "regiones emergentes con más altas tasas de expulsión", en las que muestra respectivamente las "tasas promedio anuales de pérdida o ganancia de población que se atribuyen a la migración interna por desplazamiento forzado" (Ruiz 2011, 167) y las diez regiones con mayor tasa de desplazamiento del país, entre las que la región de Urabá se ubica en primer lugar.

Este tipo de estudios muestran que el conflicto armado colombiano y los fenómenos asociados han sido abordados desde enfoques descriptivos y estadísticos, no obstante, el componente espacial no es usualmente considerado ni priorizado. Al respecto, Salas Salazar (2015, 158) señala que la perspectiva geográfica se ha incorporado de forma inadecuada al limitarse a la presentación de los resultados de análisis estadísticos y, en su mayoría, al carecer de una adecuada representación cartográfica que permita la correcta lectura del comportamiento territorial, las dinámicas del conflicto armado y la violencia conexa.

Autores como Rodrigues-Silveira, Terron y Sonnleitner (2017, II) también explican que "[...] a pesar del incremento exponencial de la información georreferenciada, todavía carecemos de una teoría unificada para entender las modalidades y funciones que desempeña el espacio en el desarrollo de los procesos políticos, sociales, económicos y culturales". Los autores realzan el papel del análisis espacial en los contextos social y territorial al manifestar que este "busca situar a los actores dentro de contextos y entornos más amplios, que posibilitan y constriñen la agencia humana" y permiten comprender mejor los fenómenos al involucrar el contexto geográfico en el que se desarrollan.

Como se evidencia a partir de los trabajos citados, el fenómeno del desplazamiento forzado ha sido abordado desde diferentes perspectivas por medio de la aplicación de métodos cualitativos y cuantitativos, y aunque existen estudios que involucran el componente espacial, estos se limitan en su mayoría a la representación temática de índices y datos brutos o normalizados. Sin embargo, se debe destacar que existen otro tipo de estudios que aplican la estadística espacial para analizar el desplazamiento forzado y sus vínculos con otras variables; un ejemplo es el trabajo de Rey Sabogal (2013, 683) en el que "examina la existencia de una posible correlación entre cultivos de palma de aceite y el desplazamiento forzado en Colombia". Uno de los métodos aplicados es la regresión ponderada geográficamente -GWR (véase Brunsdon, Fotheringham y Charlton 1996)-. El autor concluye que durante el periodo 2000-2009 en los municipios no palmeros se presenta una tasa de expulsión de 85 personas por cada mil habitantes, mientras en los municipios dedicados al cultivo de la palma de aceite la tasa se eleva hasta las 18i personas. Además, encuentra que "la tasa de expulsión es mayor en los municipios palmeros de Antioquia, Bolívar, Chocó, Cesar, La Guajira, Magdalena, Nariño, Santanderes y Sucre" (Rey Sabogal 2013, 715), y subraya que "en [Antioquia, Bolívar, Chocó, Meta y Norte de Santander] la palma es de reciente aparición o presenciaron su mayor auge en la década" de los 2000, aunque posteriormente aclara que "la superioridad en expulsión no ocurre en todos los departamentos que siembran palma". Si bien en este estudio no se considera el conflicto armado, muestra el potencial de las herramientas de análisis más avanzadas como la GWR y la autocorrelación, pues permiten encontrar relaciones que podrían ser más significativas y en algunos casos explicativas.

Otro estudio de alto interés es el presentado por Saldarriaga y Hua (2019) en el que se aplica y complementa el modelo clásico de migración por gravedad (Ravenstein 1885; 1889) para analizar los flujos de desplazamiento interno en Colombia entre 1986 y 2015. Los autores identifican algunos de los factores que intervienen en la elección de destino de las víctimas del conflicto armado, entre los que destacan la importancia de las redes sociales que usan las víctimas del desplazamiento y su cercanía a los centros con mayor población total. El modelo aplicado estima la influencia del origen y el destino en el volumen y la orientación de los flujos de desplazamiento forzado, que es generado principalmente por el grado de violencia en el municipio de origen. Además de las variables clásicas del modelo de gravedad, la población y la distancia, los autores consideran también variables como la intensidad de la violencia en los municipios y las regiones de origen y destino, la participación de la comunidad y los comportamientos en redes sociales que típicamente se configuran en los procesos de migración. Dado su enfoque y marco temporal, el análisis de Saldarriaga y Hua cobra especial importancia pues describe un punto de vista complementario que permite vincular los flujos de desplazamiento con los patrones espaciales identificados en este artículo.2

En este análisis no se pretende crear la teoría unificada de análisis señalada por Rodrigues-Silveira, Terron y Sonnleitner (2017), pero sí aportar en esta dirección al suministrar una metodología que permita comprender mejor los fenómenos territoriales de desplazamiento desde la lupa de la estadística espacial. Como indica Salas Salazar (2015, 167), "las lógicas territoriales y las relaciones de poder en el espacio de los actores del conflicto armado no son las mismas en el tiempo y lugar", por tanto, el enfoque seleccionado para este análisis es el transversal (1984-2016). De este modo, se presentará la evolución anual del desplazamiento forzado en los territorios colombianos y no una simple instantánea que oculte los diferentes comportamientos a través de décadas de conflicto.

Metodología aplicada

A partir de las preguntas presentadas en la introducción se delimitó la población objetivo (víctimas por desplazamiento forzado), el marco muestral (hechos victimizantes asociados al conflicto armado) y los marcos de análisis geográfico y temporal (Colombia; periodo 1984-2016). Definidos estos criterios, se seleccionó el conjunto de datos requerido para desarrollar el análisis, las pruebas y la validación de los resultados. El planteamiento aplicado se basa en la metodología de investigación descrita en Siabato (2021).

Para el desarrollo del estudio se contemplaron dos fases: análisis documental y análisis estadístico-espacial. El primero se enfocó en el estudio del fenómeno del desplazamiento forzado generado por el conflicto armado colombiano a partir de la revisión de fuentes documentales y bibliográficas entre las que destacan Segura Escobar (2001), Restrepo y Aponte (2009), Ruiz (2011), Mora Cortés (2013), Salaya y Rodríguez (2014), Ospina Florido (2014) y Salas Salazar (2015; 2016). Estos documentos suministraron la base teórica para contextualizar y validar los resultados de los análisis estadísticos en la realidad social, económica y política del país. El componente estadístico-espacial se enfocó en el análisis exploratorio de datos espaciales -en adelante, ESDA- y en la implementación de medidas de autocorrelación local y global, además de la aplicación de la media central ponderada. Estas herramientas se emplearon para identificar los posibles patrones y las tendencias espaciales del desplazamiento forzado a lo largo del territorio colombiano. Los análisis se centraron en periodos anuales y para toda la muestra analizada se consideró siempre como unidad de observación la división político-administrativa municipal.

Aunque se tuvieron en cuenta todos los datos, se habla de muestra y no de población porque es sabido que los datos registrados de víctimas del conflicto armado y los eventos reportados no constituyen censo estricto, aunque sí una muestra representativa. El estudio se desarrolló con variables asociadas al conflicto armado colombiano usando como fuentes los datos municipales proporcionados por el Registro Único de Víctimas -RUV (2017)- y la base de datos ¡Basta ya! del Centro Nacional de Memoria Histórica -CNMH (2017b)- (véase Tabla 1). Se debe destacar que el periodo de análisis del estudio es 1984-2016 y, por tanto, los datos analizados corresponden a un total de 8.025.897 eventos de desplazamiento forzado.

El acceso a los datos de los años posteriores fue limitado por las instituciones en sus sitios web y no se permitió su descarga. En este sentido, se debe remarcar que los resultados presentados en este artículo corresponden estrictamente al periodo analizado y no reflejan ninguna tendencia ni comportamiento de las variables analizadas más allá de 2016. Sin embargo, no se debe perder de vista que el desplazamiento forzado es un fenómeno que aún afecta a Colombia. El Boletín fichas estadísticas de la Unidad para la Atención y Reparación Integral a las Víctimas (2022) muestra que el número de víctimas en 2018, 2019 y 2021 aumentó en comparación con 2016.

Una vez completada la primera fase del análisis (depuración inicial de datos), la muestra fue espacializada usando la capa de división político-administrativa municipal de Colombia del Marco Geoestadístico Nacional (MGN) con vigencia 2017 dispuesta por el Departamento Administrativo Nacional de Estadística (DANE 2017). Se usó la capa del MGN 2017 para mantener la consistencia con la fecha y distribución geográfica de los eventos de desplazamiento forzado recopilados. Por completitud, la capa base del MGN fue editada para incorporar en el análisis los datos reportados para el municipio de Belén de Bajirá (IGAC 2016). Completadas estas tareas, se aplicó el análisis ESDA al conjunto de matrices estructuradas.

Con el fin de comprender la variación nacional del fenómeno e identificar posibles patrones espaciales, se realizaron análisis tipo LISA -Local Indicators of Spatial Association- para otorgar a cada unidad de observación (municipio) una medida del grado de agrupamiento espacial considerando su similitud respecto de sus unidades circundantes. La base de estos métodos fue definida por Anselin (1995) con el fin de identificar clústeres y valores atípicos locales. Los análisis LISA permitieron establecer la asociación espacial del desplazamiento forzado usando como unidad de observación al municipio expulsor para luego vincular y representar sus comportamientos individuales a lo largo del territorio colombiano. Las comparaciones entre municipios se realizaron a través de los valores reportados para cada unidad de observación y la media global anual, entendida como el valor medio nacional de desplazamiento por año (véase Tabla 2).

Tabla 1: Descripción de las variables analizadas en el estudio

N.° Variable Atributo Descripción Fuente
1 Desplazamiento municipio de declaración D_MD Número anual de personas que declararon ser víctimas de desplazamiento forzado en el municipio. RUV
2 Desplazamiento municipio de expulsión D_ME Número anual de personas que fueron víctimas de desplazamiento forzado en el municipio indicado. RUV
3 Desplazamiento municipio de recepción D_MR Número anual de personas que fueron acogidas o recibidas en el municipio al ser víctimas de desplazamiento forzado. RUV
4 Abandono o despojo forzado de tierras ADT Número anual de personas que fueron víctimas directas e indirectas de abandono o despojo forzado de tierras en el municipio. RUV
5 Acto terrorista, atentados, combates, hostigamientos AT Número anual de personas que fueron víctimas directas e indirectas de actos terroristas, atentados, combates y hostigamientos en el municipio. RUV
6 Amenaza A Número anual de personas que fueron víctimas directas e indirectas de amenazas en el municipio. RUV
7 Delitos contra la libertad y la integridad sexual Dis Número anual de personas que fueron víctimas directas e indirectas de delitos contra la libertad y la integridad sexual en el municipio. RUV
8 Desaparición forzada DF Número anual de personas que fueron víctimas directas de desaparición forzada en el municipio. RUV
9 Hectáreas de cultivos de coca COCA Hectáreas anuales sembradas de cultivo de coca por municipio.
10 Homicidio H Número anual de personas que fueron víctimas directas de homicidio en el municipio. RUV
11 Lesionados en atentados terroristas LAT Número anual de personas que fueron lesionadas en un atentado terrorista presentado en el municipio. CNMH
12 Masacres MS Número anual de personas que fueron lesionadas durante las masacres presentadas en el municipio. CNMH
13 Minas antipersonal, munición sin explotar, artefacto MA Número anual de personas que fueron víctimas directas e indirectas de minas antipersonal, munición sin explotar y artefactos en el municipio. RUV
14 N.° de víctimas por acciones bélicas CMV Número anual de víctimas fatales de acciones bélicas presentadas en el municipio. CNMH
15 N.° acciones bélicas NCM Número anual de acciones bélicas presentadas en el municipio. CNMH
16 Número de ataques a poblaciones NAP Número anual de ataques a poblaciones presentados en el municipio. CNMH
17 Número de atentados terroristas NAT Número anual de atentados terroristas presentados en el municipio. CNMH
18 Pérdida de bienes muebles o inmuebles PMI Número anual de personas que fueron víctimas directas e indirectas de pérdida de bienes muebles o inmuebles en el municipio. RUV
19 Secuestro s Número anual de personas que fueron víctimas directas de secuestro en el municipio. RUV
20 Tortura T Número anual de personas que fueron víctimas directas e indirectas de tortura en el municipio. RUV
21 Víctimas de asesinatos selectivos VAS Número anual de víctimas en asesinatos selectivos presentados en el municipio. CNMH
22 Víctimas de ataques a poblaciones VAP Número anual de víctimas fatales en ataques a poblaciones presentados en el municipio. CNMH
23 Víctimas fatales de atentados terroristas VFAT Número anual de víctimas fatales en atentados terroristas presentados en el municipio. CNMH
24 Vinculación de niños, niñas y adolescentes VNA Número anual de personas que fueron víctimas directas e indirectas de pérdida de bienes muebles o inmuebles en el municipio. RUV

Notas: (i) todas las variables son de tipo ratio y fueron recopiladas en el ámbito municipal.

(ii) La base de datos del RUV (2017) utilizada en la investigación se descargó el 3 de septiembre de 2017. Las cifras analizadas pueden diferir con las obtenidas en fechas diferentes ya que están sujetas a constantes actualizaciones aplicadas por las entidades encargadas. Además, las cifras no indican un total de víctimas únicas puesto que una persona pudo haber sido víctima de varios hechos victimizantes o víctima de un mismo hecho en diferente tiempo o lugar (Unidad para la Atención y Reparación Integral a las Víctimas, 2022).

(iii) La base de datos ¡Basta ya! del CNMH (2017b) excluye de los registros los hechos asociados a narcotráfico, criminalidad organizada, delincuencia común y acciones individuales. Los datos fueron descargados el 19 de octubre de 2017.

Tabla 2: Media nacional, coeficientes de asimetría de Fisher y desviación estándar anuales del desplazamiento forzado en Colombia para el periodo 1984-2016

Nota: los valores y1 reflejan la altísima asimetría positiva del fenómeno en toda la serie de datos. Nótese que los valores medios de desplazamiento de 2001 y 2002 son los más altos y sus coeficientes de asimetría y1 están entre los más bajos, lo cual señala que durante estos años el fenómeno está más distribuido en todo el país y afecta a más municipios. No obstante, sus altos valores de desviación estándar indican las grandes variaciones que hay entre los municipios afectados. Por ejemplo, en 2000, 2001 y 2002 se registraron picos de desplazamiento con 42.843, 18.913 y 27.444 víctimas, respectivamente, correspondientes a los municipios de El Carmen de Bolívar (2000, 2001) y Santa Marta (2002). Durante los años marcados en rojo se reportó al menos un municipio con más de 17.000 casos de desplazamiento forzado.

El mismo ejercicio de análisis se desarrolló con unidades departamentales, sin embargo, estos resultados fueron descartados porque las relaciones encontradas eran contradictorias y ocultaban las especificidades territoriales del fenómeno, esto sin contar que las bases de datos están dispuestas por unidades municipales. En términos generales, se encontró que al agrupar los datos por unidades departamentales los resultados presentaban el problema de la unidad de área modificable -MAUP- (véanse Openshaw y Taylor 1979; Nakaya 2000). Tampoco se deben generalizar los resultados municipales presentados a sus correspondientes entidades departamentales para no caer en una falacia ecológica (véase O’Sullivan y Unwin 2010, 39). Los resultados se deben interpretar de acuerdo con la discusión abajo presentada y en ningún caso ser generalizados a otras unidades administrativas del territorio colombiano. En un escenario ideal de análisis se debería contar con los datos agrupados y reportados por veredas, lo cual permitiría descubrir patrones y describir flujos más precisos.

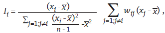
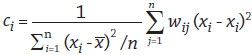
Para los análisis LISA se implementaron el coeficiente de Geary local (c i ) y el Índice de Moran Local (I i ), este último definido a través de la siguiente expresión:

en la X j que representa la población desplazada (expulsada) en el municipio "i"; X j representa la población expulsada de cada uno de los municipios "j" colindantes con el municipio "i"; x̅ representa la media nacional de desplazamiento forzado; y W ij corresponde a la matriz de contigüidad, definida para nuestro análisis con el criterio de vecindad tipo reina de primer orden. Se aplicó este tipo de matriz porque es la que mejor describe el tipo de relación espacial que responde a las dinámicas territoriales de desplazamiento entre los municipios afectados, y se eligió el primer orden porque las víctimas se desplazan necesariamente de un municipio a otro, i. e., uno a uno y en cualquier dirección. El conjunto de valores es considerado para cada año de la serie.

La implementación del coeficiente de Geary local (C i) responde a una descripción similar a la presentada, aunque considera las diferencias de la población desplazada entre cada municipio (x i ) y sus municipios colindantes, i. e.,(Xi - Xj)2, y no contra la media nacional de desplazamiento, i. e., (x i - x̅).

La base teórica y explicación detallada de los métodos globales y locales implementados en el análisis presentado está disponible en O’Sullivan y Unwin (2010), Siabato y Guzmán-Manrique (2019) y Siabato (2021). Una bibliografía exhaustiva de los métodos estadísticos y estadístico-espaciales aplicados al análisis de los fenómenos territoriales está disponible en Siabato et ál. (2014). Los análisis se realizaron en los paquetes informáticos GeoDa (Anselin, Syabri y Kho 2006) y RStudio (R 3.6.3).

Descripción de la muestra

Establecido en el capítulo II de la Ley 1448 de 2011, el Registro Único de Víctimas (RUv) es una herramienta estatal administrada por la entonces llamada Unidad Administrativa Especial para la Atención y Reparación Integral a las Víctimas y creada para identificar y localizar el universo de eventos y víctimas reconocidas por el Estado colombiano. Este registro integró los datos de entidades como la Red de Solidaridad Social, Acción Social, la Unidad para la Atención y Reparación Integral a las Víctimas, el Instituto Colombiano de Bienestar Familiar, el Programa de Acción Integral Contra Minas Antipersonal, Fondelibertad y la Unidad de Restitución de Tierras. Retomando la definición de víctima presentada en el marco conceptual, se deberían considerar únicamente los datos dispuestos a partir del i.ro de enero de 1985, sin embargo, por completitud se decidió ampliar la serie analizada con los datos disponibles para 1984; su incorporación no afecta las tendencias presentadas en los resultados de este artículo. Es sabido que los datos de las víctimas deben estar consignados en el RUV para que tengan el derecho a recibir la atención y el reconocimiento de los diferentes estamentos del Gobierno, por lo que junto con el CNMH constituye una fuente confiable de las víctimas del conflicto armado. Las variables analizadas se describen en la Tabla 1.

El registro de hechos victimizantes suministrado por el RUV (2017) se encuentra totalizado por tipo de víctima, año de ocurrencia, código administrativo DANE del municipio de ocurrencia, departamento y municipio de ocurrencia, tipo de hecho victimizante, discapacidad, género, ciclo vital y pertenencia étnica. Estos datos fueron reagrupados por tipo de hecho victimizante, municipio de ocurrencia y año; cada hecho victimizante (variable) fue estructurado en matrices del tipo [Año] municipio x variable y [Variable] municipio x año . Los datos de desplazamiento forzado fueron suministrados en un fichero de Excel que contenía los registros anuales de las personas expulsadas, recibidas y declaradas por municipio y tipo de hecho victimizante. Los datos obtenidos del CNMH (2017b) requirieron la asignación del código DANE de municipio y departamento. Aunque se identificaron datos que fueron asignados a más de un municipio, las inconsistencias se solventaron consultando la fuente usada por el CNMH para asignar cifras únicas a cada código municipal. Una vez depurados, los datos fueron integrados en 33 matrices anuales (una por cada año de la serie) y 24 matrices temáticas (una por cada hecho victimizante).

En este punto es necesario describir la diferencia entre víctimas y eventos. De acuerdo con la Unidad para la Atención y Reparación Integral a las Víctimas (2022) son víctimas las "personas reconocidas e incluidas en el Registro Único de Víctimas RUV, identificadas de manera única ya sea por su número de identificación, por su nombre completo o por una combinación de ellos"; a diciembre de 2021 se reportaron 9.231426 víctimas. En contraste, los eventos se refieren a la "ocurrencia de un hecho victimizante a una persona, en un lugar (municipio) y en una fecha determinada"; un total de 11.765.419 eventos fueron reportados para la misma fecha de corte. La diferencia se explica porque una víctima puede haber sufrido uno o más hechos victimizantes que son reportados en varios años o sitios. Respecto al número específico de eventos registrados para el desplazamiento forzado se alcanzaron 9.250.610, correspondientes a 8.214.ioo personas; convirtiéndolo en el hecho victimizante de mayor afectación en toda la serie a diciembre de 2021. De modo estricto, y para reafirmar el total antes presentado, los datos en los que se centra el análisis de este artículo corresponden al número de eventos de expulsión por municipio por año (D_ME), que para el marco temporal del análisis asciende a 81025.897.

Para la reproducibilidad de los resultados presentados se debe considerar que los reportes de la Unidad para la Atención y Reparación Integral a las Víctimas son constantemente actualizados y los datos municipales registrados pueden subir o bajar en cada actualización, dando de alta o baja a víctimas y eventos. Por lo tanto, de usarse datos más recientes, se podrían presentar ligeras variaciones si se comparan con los resultados del presente análisis. No obstante, se considera que las diferencias no serían lo suficientemente significativas para llegar a conclusiones distintas a las presentadas en este artículo. La base de datos del RUV utilizada en la investigación corresponde a la publicada el 1.° de septiembre de 2017 -por aquel entonces, las actualizaciones se habilitaban los días i de cada mes-.

Gestión de datos y análisis

Durante el análisis exploratorio (ESDA) se generaron histogramas, diagramas de caja (box-plot) y gráficos cuantil-cuantil (Q-Q) con el fin de identificar y comprender la distribución de los casos de desplazamiento presentados en el territorio nacional. Los gráficos indican que las distribuciones de los datos de desplazamiento por municipio de expulsión son asimétricas positivas y, por tanto, la mayoría de los municipios registran cifras de desplazamiento forzado por debajo de las medias anuales nacionales (véanse los valores x en la Tabla 2). El valor medio global del periodo analizado es de 217 desplazados por municipio; el 74 % de los municipios están por debajo de la media de desplazamiento global, mientras que un 26 % la supera. Este comportamiento indica que existe un grupo significativo de municipios (~ % del total) que está siendo afectado en mayor grado por el fenómeno del desplazamiento forzado.

Los gráficos Q-Q (Figura 1) y los diagramas de caja (Figura 2) señalan los valores atípicos de desplazamiento e identifican los municipios en los que se centra la discusión del análisis presentado. El comportamiento altamente asimétrico de las distribuciones se debe principalmente a la presencia de municipios con cifras de desplazamiento forzado muy elevadas, que reflejan las consecuencias de las masacres perpetradas por las autodefensas y los grupos guerrilleros. Por ejemplo, la Figura 2 cuantifica los valores para los municipios que registran un número de desplazados mayor a 200 IQR, que, aunque resultan pocos en comparación con todos los valores atípicos, son los más significativos para el análisis pues identifican los municipios en los que se registran la mayor cantidad de víctimas durante el periodo del estudio (+20.000/año en todos los casos). De acuerdo con este ejemplo, entre los valores atípicos para toda la serie destacan los municipios de Riosucio en el departamento de Chocó (54.741 víctimas en 1997); El Carmen de Bolívar en el departamento de Bolívar (42.843 en 2000); Buenaventura en el departamento de Valle del Cauca (24.435 en 2011; 22.945 en 2012; 38.426 en 2013; 50.743 en 2014 y 23.608 en 2015); Santa Marta en el departamento de Magdalena (27.444 en 2002); Turbo en el departamento de Antioquia (24.993 en 1996); y El Charco en el departamento de Nariño (21.156 en 2007).

Gráficos Q-Q Normal para los datos de desplazamiento forzado por municipio de expulsión para el periodo 1984-2016.

Figura 1: Gráficos Q-Q Normal para los datos de desplazamiento forzado por municipio de expulsión para el periodo 1984-2016.

Nota: las gráficas muestran una clara tendencia de sesgo positivo para todo el periodo analizado. Este comportamiento se mantiene al representar toda la serie, ya sea considerando o no los municipios para los que se reportan cero desplazamientos forzados. Si se descartan los valores extremadamente atípicos, se observa un comportamiento predominantemente lineal para cada año de la serie.

Distribución del número de víctimas de desplazamiento forzado por año (Desplazamiento municipio de expulsión D_ME).

Figura 2: Distribución del número de víctimas de desplazamiento forzado por año (Desplazamiento municipio de expulsión D_ME).

Datos: RUV 2017.

Este análisis preliminar identifica a Buenaventura como uno de los municipios que más ha sido afectado por el desplazamiento forzado. Al respecto, Guevara Corral (2003, 83) indica que para octubre de 2001 el Litoral Pacífico (en Tumaco, Guapi, Buenaventura, Bahía Solano y Juradó) ya se estaba consolidando como "una región estratégica para el tráfico de armas". El autor señala que esta zona permanecía en constantes disputas territoriales entre actores armados, lo cual afectó y desplazó principalmente a comunidades afrodescendientes e indígenas, realidad que se mantiene hoy en día.

La Figura 1 muestra la alta variación que existe entre los municipios afectados por el desplazamiento forzado durante las décadas analizadas, y se evidencia cómo las diferentes zonas del territorio colombiano se han visto vapuleadas con distinta intensidad a través de los años representados. Se observa, por ejemplo, que las diferencias entre los municipios afectados por el desplazamiento forzado son mayores a partir de 1994, antes de este año el fenómeno era más homogéneo a lo largo y ancho del país. En otras palabras, a partir de 1994 varios municipios comenzaron a ser golpeados con mayor intensidad por conflictos que ocasionaron el éxodo masivo de sus habitantes, lo que implicó grandes variaciones entre el número de víctimas allí desplazadas y las demás zonas del país. La diferencia entre los casos municipales reportados para la década de 1980 es significativamente menor en comparación con las siguientes, aunque llama la atención los casos reportados para 1988, cuando se presentaron desplazamientos masivos en los municipios de Montería, Canalete y Tierralta en el departamento de Córdoba, y Turbo en el departamento de Antioquia, para los que se registraron 4.517, 2.260, 1766 y 3.175 víctimas de desplazamiento forzado, respectivamente, que en comparación con el valor medio de 1988 (≈ 30 víctimas) son valores extremadamente altos.

A partir de 1994 el número de víctimas se incrementa de forma progresiva; en ese año destacan los municipios de Apartado, Necoclí y Turbo, en Antioquia, con 5.378, 3.631 y 3.514 víctimas de desplazamiento, cada uno, hecho que señala un punto de inflexión en la serie de datos. La tendencia se intensifica en el periodo 1995-1997, cuando el número total de víctimas se incrementa y las diferencias entre las zonas afectadas se hacen más evidentes. Destacan nuevamente Necoclí con 16.220 víctimas en 1995, Turbo con 15.747 en 1995, 24.993 durante 1996 y 15.837 en 1997 y Riosucio, en Chocó, en donde se reportaron 54.741 víctimas de desplazamiento en 1997. Los datos analizados evidencian cómo Turbo ha sido otro de los municipios históricamente más afectados por el desplazamiento forzado, de hecho, este municipio reporta el segundo mayor número de víctimas después de Buenaventura (270.911 y 138.860).

Para comprender mejor el análisis de la Figura 1 cabe resaltar que el número de municipios representado es siempre el mismo: 1.123 para todos los años. Sobre el eje x se representa la variación de los casos de desplazamiento reportados para cada municipio y se evidencia si están más o menos agrupados en función de las variaciones que alcanzan respecto de un valor medio estandarizado; esto ofrece un marco de comparación uniforme para toda la serie. Estos cálculos se realizan a partir de la comparación de cuantiles, de ahí el nombre de la gráfica: Q-Q plot.

La Figura 1 destaca con claridad el grave impacto del desplazamiento forzado durante 2000, 2001 y 2002, sin perder de vista el comportamiento de 1997 y posteriormente durante 2013 y 2014, años en los que las diferencias entre municipios antes descritas se hacen más fuertes y evidentes. Esta figura también muestra que para ningún año de la serie los datos de desplazamiento (x) se distribuyen de acuerdo con una normal estándar (x ≁ N(0,1)), de hecho, se evidencian altos sesgos positivos, característica ratificada con los estadígrafos listados en la Tabla 2 y las distribuciones representadas en la Figura 2. Si los datos estuvieran distribuidos normal, se observaría una recta con pendiente igual a 1 (m = 1); en sentido estricto, las representaciones de la Figura 1 están basadas en el llamado Normal Q-Q plot.

La Figura 2 representa con un rombo negro los valores medios nacionales de desplazamiento forzado en la serie analizada, valores cuantificados en la Tabla 2. Se observa la tendencia in crescendo hasta 2002, valor máximo de la serie. Además, se visualizan más claramente los años para los que se reportó un alto número de víctimas por año y municipio, nótese que cada punto en la gráfica corresponde al número de víctimas de un municipio para el año correspondiente. Se puede observar cómo a partir de 1994 son muchos los territorios en los que se comienzan a reportar más de 5.000 víctimas de desplazamiento forzado por año, y se destaca nuevamente la intensidad y densidad de estos casos en el periodo 2000-2002.

La Figura 2 también permite observar la dispersión de los casos de víctimas reportados, es decir, qué tanto varían en el país los casos municipales registrados: mientras más amplia es la caja de color blanco representada para cada año, mayor variación se presenta entre el número municipal de víctimas en todo el territorio nacional y, por tanto, más dispersa será su distribución nacional, como se muestra en la Figura 3.

Histórico del desplazamiento forzado en Colombia. La leyenda representa la concentración por municipio del número de víctimas desplazadas por acciones violentas (valores no normalizados).

Figura 3: Histórico del desplazamiento forzado en Colombia. La leyenda representa la concentración por municipio del número de víctimas desplazadas por acciones violentas (valores no normalizados).

Datos: RUV 2017.

En términos prácticos, se debe considerar que los valores representados en las cajas corresponden al 50 % central de los datos (i. e., entre los cuartiles uno y tres), es decir, cada caja representa el comportamiento de ~562 municipios. Es interesante observar que la variación de estas franjas también mantiene la tendencia in crescendo descrita para los valores medios, y muestra que durante la década de 1990 el flagelo del desplazamiento forzado afectaba progresivamente y con mayor intensidad a un grupo de municipios hasta alcanzar máximos durante 2001 y 2002, cuando la variación entre el número de víctimas municipales reportadas fue la mayor de toda la serie (se debe considerar que en las cajas del box-plot no se están teniendo en cuenta los valores atípicos). La Figura 2 muestra desde otra perspectiva las ideas presentadas a partir de la Figura 1, y ratifica los análisis descritos.

Aunque los análisis de magnitud hasta ahora presentados son de interés y muestran tendencias del desplazamiento forzado, resulta más interesante comprender el comportamiento espacial del fenómeno a través del territorio colombiano. ¿Cómo se ha comportado geográficamente el desplazamiento forzado en Colombia durante el periodo 1984-2016? Esta es la pregunta que se responderá en las próximas secciones, desde luego valorando los análisis y hallazgos presentados hasta el momento.

Análisis espacial preliminar

De acuerdo con las cifras reportadas en el RUV, el 99,8 % de los municipios del país ha presentado por lo menos un caso de desplazamiento forzado entre 1984 y 2016, lo cual refleja que se trata de un fenómeno nacional. Solo dos municipios reportan cero casos en toda la serie: Corrales en el departamento de Boyacá y Sutatausa en Cundinamarca. La Figura 3 presenta una primera aproximación espacial de la magnitud y el impacto del desplazamiento forzado en el territorio colombiano. Se grafican allí los totales anuales del número de eventos de desplazamiento y se identifica el máximo histórico en 2002: 758.148 eventos que representan el 9,45 % del total registrado en toda la serie analizada para el conflicto armado colombiano. Los años con cambios significativos en la serie (señalados con un recuadro gris) se representaron espacialmente a través del método de clasificación Natural Breaks basado en Jenks (i. e., considerando la máxima varianza entre clases; -véanse Jenks 1967 y Jenks y Caspall 1971-). La clasificación se realizó teniendo en cuenta las cifras de desplazamiento por municipio para todo el conjunto de datos, sin embargo, solo se muestran el inicio y final de la serie y los puntos de quiebre más significativos. Al igual que en los análisis de distribución presentados en las Figuras 1 y 2, para el componente espacial se consideran 1.123 municipios, incluidos aquellos en los que se reportan cero víctimas para cada año.

Durante la década de 1980 e inicios de los noventa, las representaciones espaciales ratifican el comportamiento homogéneo en el territorio colombiano. Solo hasta 1994 se percibe un incremento en el número de víctimas en los municipios que rodean el golfo de Urabá. A partir de 1999 se incrementa de forma significativa el número de víctimas al registrarse 270.020 casos de desplazamiento; se observa claramente que el mayor número de víctimas se concentra en los territorios de las subregiones del Urabá y los Montes de María y en el Catatumbo. Durante 2002, Santa Marta en el departamento de Magdalena (con 27.444 víctimas), Valledupar en el departamento del Cesar (19.248), Samaná en el departamento de Caldas (15.125), Bojayá (Bellavista) en el departamento de Chocó (14.851) y Convención en el departamento de Norte de Santander (12.023) son los municipios más afectados.

Después de alcanzar el valor pico en 2002, el fenómeno desciende en magnitud durante los años siguientes. En 2003 se registraron 455.936 víctimas y se mantiene sin cambios significativos hasta 2008. Aunque entre 2009 y 2014 el número de víctimas es similar a las registradas entre 1997 y 1999, el comportamiento espacial del fenómeno es diferente, las víctimas ya no se concentran en la zona norte; por el contrario, se evidencia una mayor afectación en distintas zonas del país, principalmente en el Litoral Pacífico y parte de la antigua zona de distensión (los municipios de Vista Hermosa en el departamento del Meta y San Vicente del Caguán en el departamento del Caquetá). Durante el sexenio resaltan los municipios de Tumaco en el departamento de Nariño y Medellín en Antioquia, que alcanzan un total de 87.561 y 74.535 víctimas, respectivamente. Al finalizar la serie analizada, durante 2016 destaca el considerable descenso de eventos de desplazamiento comparado con las cifras del fenómeno en años anteriores, sin embargo, se siguen presentando un número significativo de casos en los municipios del Litoral Pacífico, la región del Catatumbo, la Sierra Nevada de Santa Marta y la zona oriente del Bajo Cauca antioqueño. Se debe resaltar que este descenso no representa ninguna tendencia para los años posteriores a 2016.

La Figura 4 representa la tendencia de los valores medios anuales de desplazamiento. Como es esperable, al compararla con la tendencia general de la serie graficada en la Figura 3, resultan iguales pues en esencia se trata de un cambio de escala de los datos. Lo que realmente llama la atención en esta gráfica es que al calcular el valor medio excluyendo los municipios con cero víctimas la tendencia media se mantiene, esto a pesar de las variaciones significativas en el número de municipios afectados, desde 598 en 1985 hasta 1.055 en 2007 (el 94 % del país), y que se ven reflejadas principalmente en los valores medios de 1997, 2000, 2001 y 2002. Se puede afirmar entonces que la presencia o ausencia de los municipios con cero desplazamientos no influye drásticamente en la tendencia general del fenómeno durante el periodo analizado; las variaciones en el número de municipios afectados presentadas en las secciones previas explican este comportamiento. Cuando se esperarían mayores cambios en los valores medios es durante el periodo 2000-2008, que es el periodo en el que se registra el mayor número de víctimas; no obstante, no se presentan cambios significativos de estos valores debido a la baja variación del número de municipios afectados, más de 1.000 en todos los años con una diferencia media del 7,8 % (i. e., 88 municipios en media sin víctimas registradas para cada año).

Valores medios anuales de víctimas por desplazamiento forzado.

Figura 4: Valores medios anuales de víctimas por desplazamiento forzado.

Datos: RUV 2017.
Nota: los valores muestran el promedio nacional de desplazados para cada año de la serie analizada. Se observa cómo las tendencias son similares al representarlas incluyendo y excluyendo los municipios con cero víctimas reportadas. El valor medio global de la serie es 217 considerando los ceros y 251 excluyéndolos.

Tabla 3: Correlograma de la variable desplazamiento forzado por municipio de expulsión (D_ME*año) con las variables descritas en la Tabla 1

Nota: cada variable indicada en las filas se corresponde con el año señalado en cada columna. Las variables están descritas en la Tabla 1.

Correlación del desplazamiento forzado con otras variables

El grado de correlación entre el desplazamiento forzado y las demás variables analizadas se determinó en dos pasos: primero se evidenció si existía o no dependencia entre las variables y su tipo dominante, posteriormente se aplicó el coeficiente de correlación que se consideró más adecuado para el tipo de dependencia encontrado. Para medir el nivel de dependencia de las variables, se aplicó la prueba de correlación de distancias de Székely, Rizzo y Bakirov (2007) aplicando una prueba de independencia (dcor.test) con 1.000 permutaciones y exponente de distancia index = 1. En las pruebas aplicadas se obtuvo un p - value = 0,000999 que indina que la hipótesis nula H 0 Pe independencia se rechaza y, por tanto, las variables son dependientes. Los valores dcor obtenidos, que variaron entre 0,9 y 0,2, muestran que algunas dependencias son altamente lineales y otras no lineales, sin embargo, la mayor parte de los valores son superiores a 0,5 por lo que se generalizó el comportamiento de dependencia lineal para toda la matriz. A la luz de estos resultados, para realizar el análisis de correlación entre el desplazamiento forzado y las demás variables asociadas al conflicto armado colombiano se optó por aplicar el coeficiente de Pearson por ser adecuado para medir correlaciones entre variables con dependencias lineales dominantes (véanse Fujita et ál. 2009; Clark 2013) y por compatibilidad con los métodos de autocorrelación implementados. La aproximación de la medida de correlación en dos pasos ayudó a gestionar las debilidades del coeficiente de Pearson que conllevan restricciones para detectar una relación altamente no lineal entre variables aleatorias. Aunque bien podría presentarse el ejercicio aplicando solamente la correlación de distancias de Székely, se optó por Pearson porque es el coeficiente más extendido y el que se suele aplicar en los análisis espaciales. La Figura 1 muestra que gran parte de los eventos anuales de desplazamiento forzado (D_ME) reportados se comportan en su mayoría con tendencia lineal, se observa como son los valores atípicos los que rompen la linealidad predominante en las tendencias.

Una vez definido el estadígrafo adecuado, se imple-mentó un análisis de correlación cruzada sobre toda la serie de datos y para cada año teniendo en cuenta todas las variables asociadas al conflicto armado colombiano. La Tabla 3 resume los resultados anuales de las correlaciones entre el desplazamiento forzado por municipio de expulsión (D_ME) y las demás variables para toda la serie analizada. Los resultados indican que las variables con mayor correlación positiva con el desplazamiento forzado en los municipios de expulsión son la desaparición forzada (DF), las amenazas (A), los delitos contra la libertad y la integridad sexual (DIS), los homicidios (н), los secuestros (s), las masacres (MS) y la pérdida de bienes muebles o inmuebles (PMI), predominando en la mayor parte de la serie las dos primeras variables. La variable abandono o despojo forzado de tierras (ADT) tiene especial relevancia en 1986 y en el periodo 1994-1996. La Tabla 3 también evidencia una correlación positiva alta con la variable delitos contra la libertad y la integridad sexual (DIS) durante la década de 2010. Este es un primer indicador de que los casos de desplazamiento están asociados principalmente a los hechos victimizantes mencionados, sin que se definan o establezcan como la causa del desplazamiento. Nótese además que no existen correlaciones negativas significativas, y esto implica que ninguno de los hechos presentados en el correlograma aporta a la reducción del número de desplazados, tal y como se podría esperar pues todos son hechos que afectan en mayor o menor grado a las víctimas y las obligan a abandonar sus lugares de origen o residencia.

Además del análisis de correlación específico para el desplazamiento forzado por municipio de expulsión (D_ME), se aplicó un análisis general para identificar los grados de correlación entre todas las variables de la muestra (véase tabla 1) considerando la serie completa y los periodos definidos por Salas Salazar (2016) que señalan hitos de la dinámica territorial del conflicto armado colombiano (Tabla 4).

Tabla 4: Periodos en la dinámica territorial del conflicto armado colombiano

Fuente: periodos basados en Salas Salazar 2016.

Nota: Los años corresponden a los puntos de quiebre indicados en la Figura 3 y a los límites de los periodos establecidos por Salas Salazar 2016. El conjunto de gráficas permite evidenciar las relaciones entre los distintos hechos victimizantes del conflicto armado colombiano.

Los correlogramas de la Figura 5 evidencian que para el primer periodo los hechos victimizantes con mayor grado de correlación con el desplazamiento forzado son la desaparición forzada (DF), la pérdida de bienes muebles o inmuebles (PMI) y los delitos contra la libertad y la integridad sexual (DIS), mientras que la desaparición forzada, las masacres (MS) y las amenazas (A) son los hechos victimizantes que muestran mayor variabilidad conjunta durante el segundo periodo, que tiene gran relevancia histórica puesto que se encuentra enmarcado en el fallido proceso de paz liderado por el expresidente Andrés Pastrana.

Correlogramas para los hechos victimizantes derivados del conflicto armado colombiano. Los años seleccionados marcan hitos en la dinámica territorial del conflicto.

Figura 5: Correlogramas para los hechos victimizantes derivados del conflicto armado colombiano. Los años seleccionados marcan hitos en la dinámica territorial del conflicto.

El tercer periodo muestra un comportamiento diferente al de los otros tres, se observa cómo el desplazamiento muestra alta correlación positiva con un número mayor de hechos victimizantes y hasta cinco hechos se vinculan con correlaciones similares: el homicidio (H), las amenazas (A) y los secuestros (S), y repiten la desaparición forzada y los DIS. Durante el último periodo se identificó que las amenazas y nuevamente los delitos contra la libertad y la integridad sexual y la desaparición forzada son las variables más correlacionadas con el desplazamiento forzado. De acuerdo con el marco temporal de la muestra, los datos para el cuarto periodo se analizaron hasta el año 2016. Se puede observar cómo a través de las décadas los motivos por los que las víctimas se desplazan cambian, e inclusive se puede inferir el cambio abrupto en variables como las amenazas (cada vez más frecuentes) y la persistencia de la desaparición forzada hasta 2010.

Salas Salazar comenta que quizá los cambios se deben a que durante la década de 2010 las víctimas se sentían más respaldadas y se animaban a denunciar, motivo por el que los registros podrían ser más confiables y creíbles. Se debe considerar también que en la medida en que el conflicto avanzaba y sus diferentes actores ejercían distintos roles en los territorios afectados, la intensidad de las acciones perpetradas cambiaba y reconfiguraba los tipos de vejaciones y presiones aplicadas sobre la ciudadanía. Cada zona de Colombia presentaba diferentes niveles estratégicos que eran explotados de formas distintas por los actores del conflicto, la mayoría de ellos buscando lucro y beneficio económico o militar.

Análisis de autocorrelación espacial del desplazamiento forzado en Colombia

Para la implementación de los análisis de autocorrelación, se consideraron los índices de Moran global (I) y local (I i ) y el coeficiente de Geary local (C i). Se definieron como parámetros del análisis la matriz de contigüidad tipo reina de primer orden, niveles de confianza del 95 % y 99 % aplicando pruebas con 99.999 permutaciones, y como unidad de análisis la división político-administrativa municipal de Colombia. Para la reproducibilidad de los resultados presentados, se debe considerar la semilla de aleatoriedad 123456789.

En primera instancia, se implementó el análisis de autocorrelación global para cada año de la serie de datos, y el objeto de este cálculo fue identificar qué tipo de estructura espacial nacional se evidenciaba para el desplazamiento forzado a lo largo del periodo analizado. Los resultados de la Tabla 5 indican que para los años de 1985 a 1987, 1990 a 1995 y 1998 existió una distribución espacial altamente agrupada del fenómeno de desplazamiento en el territorio nacional -se evidencia autocorrelación espacial positiva alta, lo que significa que para estos años el fenómeno del desplazamiento forzado tiende a agruparse conformando clústeres geográficos-. Aunque en menor grado, también se evidencia autocorrelación espacial positiva en 1988, 1996, 2001, 2002, 2004 y 2005. En contraste, y aunque los valores indican autocorrelación espacial positiva aparente para 1984, 1989, 1997, 1999, 2000, 2003 y, especialmente, durante el periodo 2006-2016, los índices sugieren que la distribución espacial del fenómeno se comporta de forma más aleatoria a lo largo del territorio nacional. A priori, estos resultados señalan que el fenómeno del desplazamiento forzado en Colombia fue homogéneo y concentrado durante la década de 1980 y la primera mitad de los años noventa, mientras que a partir de 1996 el fenómeno se torna más heterogéneo y aleatorio en el territorio colombiano. No obstante, esta primera aproximación no es concluyente tal y como se discutirá en los análisis locales. Lo que sí es posible afirmar es que no se evidenciaron comportamientos dispersos a lo largo de la serie, es decir, diferentes zonas colindantes que fueron afectadas o no afectadas siguiendo un patrón espacial ajedrezado.

Tabla 5: Índice de Moran global del desplazamiento forzado en Colombia para el periodo 1984-2016

Para implementar el análisis de autocorrelación espacial, se consideró principalmente el índice de Moran local (I i ), estadígrafo que permite evidenciar las especificidades espaciales del fenómeno analizado y que usualmente ocultan los valores globales. Es decir, los análisis locales posibilitaron caracterizar los distintos comportamientos espaciales del desplazamiento forzado que se podrían llegar a presentar en las diferentes zonas del territorio nacional.

En la Figura 6 se representa un conjunto de clústeres geográficos identificados a través del Ii con niveles de confianza del 95 %, su categorización se realiza a través de los cuatro tipos de asociación espacial, explicados a continuación. En primera instancia, las agrupaciones espaciales señalan en rojo intenso (high-high) los municipios que presentaron altos niveles de desplazamiento y que, además, están rodeados de municipios que también reportaron un número alto de desplazados, conformando por tanto un clúster o una agrupación de municipios muy afectados por el desplazamiento forzado. En contraste, los clústeres en color azul intenso (low-low) identifican aquellas zonas del territorio nacional que se ven afectadas en menor grado por el desplazamiento. En los dos escenarios se determina la existencia de autocorrelación espacial positiva. Se debe entender por alto o bajo que el número de víctimas se encuentra por encima o por debajo de los valores medios de cada año de la serie (véase tabla 2), que son distintos a la media nacional de desplazamiento por municipio (216,6 víctimas de desplazamiento por unidad de análisis). Como se mostró en la Figura 2, los valores medios anuales van incrementando hasta encontrar su máximo en 2002. Las zonas con baja concentración del fenómeno analizado son típicamente llamadas coldspots, por el contrario, las zonas de alta concentración o de aquellos municipios con un número de desplazados mayor al valor medio configuran los denominados hotspots.

Comportamiento espacial del desplazamiento forzado en Colombia por municipio de expulsión (D_ME) en el periodo 1984-2016 de acuerdo con el índice de Moran local (nivel de confianza del 95 %).

Figura 6: Comportamiento espacial del desplazamiento forzado en Colombia por municipio de expulsión (D_ME) en el periodo 1984-2016 de acuerdo con el índice de Moran local (nivel de confianza del 95 %).

Las categorías restantes (high-low y low-high) identifican las zonas atípicas, es decir, aquellos municipios que presentan un comportamiento opuesto al de sus colindantes. Como se observa, los comportamientos atípicos son mucho menos comunes que el de los clústeres altos y bajos, lo que indica que las diferentes zonas del país tienden a comportarse del mismo modo, bien sea concentrando el fenómeno del desplazamiento forzado o siendo afectadas en menor grado; un claro indicador de estructura espacial positiva que valida parte de los indicadores globales presentados en la Tabla 5. Los resultados muestran que no es usual que un municipio que presenta altas o bajas tasas de expulsión esté rodeado de otros en los que el número de víctimas es bajo o alto. Un caso que llama la atención es Villapinzón, en el departamento de Cundinamarca, que en 2003 reportó 570 víctimas de desplazamiento, comportamiento que resulta realmente desigual en esa zona a pesar de las convulsas condiciones sociales que se vivían en Colombia por esa época. En la Figura 6 se puede observar a Villapinzón (centro del país) representado de color rosa rodeado de azul y, por tanto, clasificado como un atípico espacial del tipo high-low, es decir, un municipio que presentó un alto número de víctimas de desplazamiento y que está rodeado por otros con menor afectación. La Figura 6 también muestra claramente que durante toda la serie gran parte de la región Andina se mantiene como coldspot, representando el área nacional que ha sufrido en menor grado el flagelo del desplazamiento. Este comportamiento se ve ratificado en la Figura 7, en la que se presentan los resultados con un nivel de confianza estadística del 99 %. En palabras más simples, se puede asegurar con una probabilidad máxima del 99 % que en los municipios de esta región en efecto se han concentrado bajos niveles de desplazamiento a través de toda la serie del RUV. La explicación detallada de los índices de autocorrelación espacial global y local, del concepto de asociación espacial y de las implicaciones de los comportamientos altos y bajos está disponible en Siabato y Guzmán-Manrique (2019).

Comportamiento espacial del desplazamiento forzado en Colombia por municipio de expulsión (D_ME) en el periodo 1984-2016 de acuerdo con el índice de Moran local (nivel de confianza del 99 %).

Figura 7: Comportamiento espacial del desplazamiento forzado en Colombia por municipio de expulsión (D_ME) en el periodo 1984-2016 de acuerdo con el índice de Moran local (nivel de confianza del 99 %).

A continuación se presenta la interpretación y significancia de los resultados del análisis en el marco del conflicto armado colombiano. La discusión se centra en las zonas en las que más se han reportado víctimas del conflicto, además, se ofrece un contexto basado en estudios previos que señalan algunos de los fenómenos sociales y geopolíticos que pueden ayudar a explicar los patrones espaciales identificados.

Comportamiento espacial del desplazamiento forzado en Colombia por municipio de expulsión durante el periodo 1984-2016 de acuerdo con el coeficiente de Geary local (nivel de confianza del 95 %).

Figura 8: Comportamiento espacial del desplazamiento forzado en Colombia por municipio de expulsión durante el periodo 1984-2016 de acuerdo con el coeficiente de Geary local (nivel de confianza del 95 %).

Nota: en la categoría Otros Positivos se clasifican zonas que aunque se comportan como clúster, no pueden ser categorizadas como high -high o low-low debido a la naturaleza de diferencias al cuadrado en el cálculo del coeficiente (i. e., las diferencias superan el valor medio). Es decir, a pesar de que se sabe que son clúster, no se puede diferenciar su tipo.

Comportamiento espacial del desplazamiento forzado en Colombia por municipio de expulsión durante el periodo 1984-2016 de acuerdo con el coeficiente de Geary local (nivel de confianza del 99 %).

Figura 9: Comportamiento espacial del desplazamiento forzado en Colombia por municipio de expulsión durante el periodo 1984-2016 de acuerdo con el coeficiente de Geary local (nivel de confianza del 99 %).

Discusión y análisis de resultados

A partir de los análisis de autocorrelación presentados en las figuras 6 y 7, se puede observar que el desplazamiento forzado es un fenómeno permanente y se ha concentrado en distintas áreas del territorio colombiano a lo largo de la serie analizada. Durante los años ochenta y la primera mitad de la década de 1990, el fenómeno se concentró especialmente en los municipios de Turbo, Necoclí, Apartadó, Arboletes, San Pedro de Urabá, Chigorodó, Carepa, Mutatá y San Juan de Urabá, en el departamento de Antioquia, y Montería, Tierralta, Valencia y Canalete, en el departamento de Córdoba. Los resultados localizan siempre a estos municipios en las zonas de mayor afectación (hotspots). Durante este periodo llama la atención el comportamiento del municipio de Belén de Bajirá (Chocó) que siempre se identifica como un atípico espacial (low-high), al presentar menores niveles de desplazamiento a pesar de estar inmerso en esta zona de alto conflicto; un comportamiento similar, aunque no tan marcado, muestran los municipios de San Pelayo, Puerto Escondido, Cereté y San Carlos, en Córdoba. El comportamiento espacial de los municipios atípicos se debe interpretar respecto de sus vecinos, por ejemplo, en el caso de Belén de Bajirá, al ser colindante con Turbo, que fue en donde se registró el mayor número de eventos de desplazamiento forzado hasta 1995 (32.717), conlleva que el valor medio local con el que se completa la dupla para su categorización sea significativamente mayor y resulte, por tanto, categorizado como un atípico espacial entre 1984 y 1995. El valor medio de eventos reportado para Belén de Bajirá durante este periodo es ~18, con un total de 211 víctimas. Ciertamente este es un municipio con comportamiento atípico que presentó niveles de desplazamiento mucho menores que los de sus áreas colindantes. En el acumulado hasta 1994 de la Figura 3 se observa cómo destacan los municipios hasta ahora mencionados, y nótese además el comportamiento particular en Medellín. Como complemento de la Figura 3, y gracias a las pruebas de autocorrelación implementadas, ahora se puede afirmar con significancia estadística (α ≤ 0,05 y α ≤ 0,01) que esta y otras zonas que serán descritas a continuación realmente configuran clústeres con altos niveles de desplazamiento forzado.

Históricamente las subregiones del Darién, Urabá, Alto Sinú y San Jorge han sido azotadas por el conflicto armado colombiano. Se puede afirmar con un nivel de confianza del 95 % (véase figura 6) que estas zonas han sido afectadas de forma continua en mayor o menor grado por el desplazamiento forzado durante los 33 años de conflicto analizados. Al incrementar el nivel de confianza al 99 % (véase figura 7), se ratifica que la tendencia permanece casi inalterable hasta 1998 y con ligeras variaciones hasta 2001, y retomando el mismo nivel de significancia estadística (α ≤ 0,001) en el periodo 2005-2010. La Figura 6 muestra que en 2003 las subregiones presentaron menor autocorrelación espacial local positiva, aunque la intensidad del fenómeno comienza a recrudecer a partir de 2004. Exceptuando 2007, la subregión del Darién (norte de Chocó) no se identificó más como hotspot desde 2001.

En contraste, se observa cómo gran parte de los municipios del departamento del Atlántico entre los que destacan Baranoa, Galapa, Juan de Acosta, Luruaco, Piojó, Sabanalarga, Polonuevo, Tubará y Usiacurí permanecen tranquilos y estables a pesar de estar localizados en una región ampliamente afectada por los desplazamientos. Un comportamiento similar se presenta en el departamento de Nariño (suroeste del país), donde se observa cómo desde 1986 se configura un coldspot que se fortalece de manera progresiva y se mantiene relativamente estable hasta 1999. Sin embargo, en 2005 las tornas se vuelven y estos territorios comienzan a configurarse como un hotspot, lo cual señala una de las zonas más afectadas por el desplazamiento forzado durante el periodo 2006-2016, un cambio que indica cómo el fenómeno del desplazamiento va migrando del norte al sur del país (comportamiento que se analiza en la siguiente sección).

En 2003 se evidencia cómo el comportamiento espacial del fenómeno es más atomizado, y se valida la medida de 0,2727 calculada con el índice de Moran global (véase tabla 5) y que indica un patrón espacial aleatorio (α = 0,001). En este año se reafirma la intensidad de los desplazamientos en la región Caribe colombiana, en particular, al sur del departamento de La Guajira, norte del Cesar y noreste del Magdalena. Aunque los resultados muestran que esta zona ya se veía afectada con alta intensidad durante los periodos 1984-1987 y 1991-1993 (95 %), en la Figura 7 (99 %) se observa cómo a partir de 2001 y en especial desde 2003, la Sierra Nevada de Santa Marta y los municipios que la rodean están inmersos en el conflicto armado al ser víctimas de altos niveles de desplazamiento regional hasta 2009. También en 2003 se recrudece el clúster de desplazamiento que predomina en el sureste del departamento de Antioquia y en los municipios de Pensilvania, Samaná y Marquetalia en Caldas, y que se determinó con un nivel de confianza del 95 % durante 2002-2006. Aunque con variaciones, este comportamiento se puede generalizar a parte de las subregiones de Oriente y Nordeste antioqueño que muestran autocorrelación espacial positiva significativa (hotspot) entre los periodos 1984-1994 y 1998-2006. Estas zonas entraron en dificultades económicas por la crisis del café, momento en el que las guerrillas del Ejército de Liberación Nacional (ELN) y las FARC-EP aprovechan la crisis cafetera para aumentar su presencia atraídos por el intercambio comercial obligado entre los pobladores y con los grandes centros de comercio (Medellín, Cali y Bogotá). Los cafeteros, ante la imposibilidad de cumplir las exigencias económicas de los grupos guerrilleros, participaron en la creación de Cooperativas de Vigilancia y Seguridad Privada para la Autodefensa Agraria (Convivir), escenario que generó un incremento en los índices de violencia y un conjunto de homicidios selectivos y masacres en contra de la población. La situación se agrava con el auge del narcotráfico en esta región (Echandía Castilla 2001, 240).

Otro núcleo de desplazamiento que se identifica está localizado en el departamento de Norte de Santander en las subregiones Occidente, Norte y Oriente, en la zona fronteriza con Venezuela, y que conforman la región más conocida como Catatumbo4 (véase figura 6). Los primeros hotspots de desplazamiento forzado en esta región surgen en 1999, aunque disminuyen en 2000 y 2001 para luego consolidarse durante 2002, 2003 y 2004. Parte de estos núcleos se originan por la incursión paramilitar de 2001 en Norte de Santander que condujo a una retirada de las guerrillas a las montañas en la región del Catatumbo y que se transformó en territorio de control estratégico de los grupos guerrilleros (Granada y Sánchez Meertens 2009, 240). Posteriormente, durante el periodo 2012-2016 esta región se mantiene como núcleo constante de desplazamiento, y se destaca que el municipio de Tibú permanece identificado como parte de este hotspot.

En la década de 1980, la región del Magdalena Medio se convirtió en uno de los focos de paramilitarismo y enfrentamientos con grupos guerrilleros. Los resultados resaltan con claridad cómo varias de sus subregiones se caracterizan como hotspots de víctimas por desplazamiento entre 1984 y 1989, y con menor intensidad en 1990 y 1991; en estos dos años destaca principalmente el Magdalena Medio santandereano, en la provincia Yariguíes5. Posteriormente, entre 1998 y 2001 el número de víctimas se concentra en especial en las subregiones bolivarenses de Loba, Mojana y Magdalena Medio, repitiendo con menor intensidad en el periodo 2005-2009. Durante esta época la región del Magdalena Medio y su capital regional Barrancabermeja se convirtieron en un escenario de violencia indiscriminada. Un ejemplo es lo sucedido el 16 de mayo de 1998 cuando las Autodefensas Unidas de Santander y del Sur del Cesar (AUSAC) entran en la disputa por el control de esta región con la masacre perpetrada en Barrancabermeja, al asesinar a siete personas y ser culpables de la desaparición forzada de veinticinco más. Durante los siguientes dos años la región vive un periodo de violencia indiscriminada, cuando las Autodefensas Unidas de Colombia (AUC) se consolidan como actor hegemónico (véase Restrepo y Aponte 2009). Esta ha sido una zona particularmente violenta porque "todos los actores armados [han estado] presentes allí: el ELN, las Fuerzas Armadas Revolucionarias de Colombia -Ejército del Pueblo (FARC-EP), el Ejército Popular de Liberación (EPL), [las AUC] y seis batallones del Ejército Nacional" (Barreto Henriques 2009, 504). Este contexto es relevante porque en 2009 el fenómeno del desplazamiento forzado se extiende en el norte de Colombia y conforma un clúster masivo en las subregiones de Urabá, Alto Sinú, Sinú Medio, San Jorge, Bajo Cauca y gran parte de Magdalena Medio bolivarense, situación que se mantiene con algunas variaciones hasta 2016, y muestra la gravedad de la situación en esta zona del país durante la década de 2010.

Los resultados hasta ahora presentados demuestran cómo la región del Magdalena Medio, la subregión del Urabá y la Sierra Nevada de Santa Marta se consolidaron como las zonas de mayor desplazamiento forzado en el territorio colombiano durante las décadas de 1980, 1990 y parte de 2000. En particular, se podría confirmar como "punto gravitacional del conflicto" a la subregión del Urabá, que estuvo durante los años ochenta bajo el dominio de las FARC-EP y del EPL. Al respecto, Segura Escobar (2001, 87) indica que tras la desmovilización de la gran mayoría de los miembros del EPL, en febrero de 1991, las Autodefensas Campesinas de Córdoba y Urabá (ACCU), FARC-EP y disidencias del EPL entran en disputa por el control de la región, y provocan masacres y éxodos continuos hacia Medellín y Montería. "La presencia paramilitar en simbiosis con el narcotráfico y con los intereses sobre la tierra va imponiendo una lógica de cubrimiento estratégico y de disputa por el territorio" entre estos actores del conflicto armado colombiano.

Parte de las subregiones de Rionegro y Bajo Magdalena en el departamento de Cundinamarca y de la subregión Occidente de Boyacá también configuran hotspots estadísticamente significativos (α ≤ 0,05) durante 1985 y 1986. Un comportamiento similar se presenta en las subregiones Oriente, Magdalena Medio y Nordeste del departamento de Antioquia, aunque el periodo se extiende entre 1984 y 1988. En los años siguientes estos clústeres merman y se puede observar cómo la concentración de las víctimas se va relocalizando entre 1991 y 1994 hasta llegar al sur del departamento del Cesar y occidente de Norte de Santander, lo que representa una clara movilización del conflicto.

También se debe destacar que a partir de 1989, en la subregión de Montes de María (serranía de San Jacinto), se comienza a configurar un hotspot de altos niveles de desplazamiento que permanece constante hasta 2007. Las pruebas de autocorrelación presentadas ratifican este clúster con niveles de confianza del 95 % y el 99 % (véanse figuras 6 y 7), solo en 1995 se ven cambios en la significancia estadística. Este comportamiento responde a la intensificación del conflicto armado entre 1997 y 2002 en un proceso de desterritorialización que produjo varios episodios de desplazamiento. En febrero de 2000 tras la incursión paramilitar del Bloque Norte y el Bloque Héroes de las AUC y la masacre perpetrada en el corregimiento de El Salado (municipio del Carmen de Bolívar), se produce el desplazamiento forzado masivo principalmente de las comunidades de Borracheras, San Francisco, El Bálsamo, Morrocoy y Bajo Grande. Un año después, en marzo de 2001, las comunidades de las veredas de Villa Colombia, El Palmar y Medellín inician el éxodo tras los enfrentamientos entre las FARC-EP y la Infantería de Marina de Colombia (Ospina Florido 2014, 159).

Al analizar las restantes zonas del país, la Figura 6 hace evidente el fuerte impacto del desplazamiento forzado en el Litoral Pacífico colombiano y los departamentos de Putumayo, Caquetá, Meta y Guaviare durante las décadas de 2000 y 2010. En el periodo 2001-2006 el Litoral Pacífico evidencia clústeres highhigh de forma esporádica, sin embargo, a partir de 2007 se hace más evidente la presencia de hotspots de desplazamiento que se incrementan y fortalecen progresivamente hasta 2016. Es importante resaltar que en 2014, 2015 y 2016 se identificaron hotspots más extensos y uniformes con un nivel de confianza del 99 %, lo que implica una concentración del fenómeno muy alta y niveles de desplazamiento más persistentes en la región. A partir de estos resultados, se observa que durante los tres años finales de la serie analizada el fenómeno se concentró en los municipios de Buenos Aires, López de Micay y Timbiquí en el departamento del Cauca; Cali, Jamundí, Dagua y Buenaventura en el Valle del Cauca; El Litoral del San Juan en Chocó y Tumaco en Nariño. Esta situación contrasta con los comportamientos espaciales de las décadas de 1980 y 1990 cuando algunos municipios del mismo Litoral Pacífico llegaron a identificarse y categorizarse como coldspots -excluyendo Itsmina y Juradó en el departamento de Chocó (1990) y Tumaco en Nariño (1991)-. Otro elemento que se debe resaltar de esta región es el permanente comportamiento atípico (low-high) del municipio de Calima en el Valle del Cauca.

El desplazamiento forzado comienza a ser notable en el sur del país a partir del año 2000. Se evidencian los primeros clústeres de alta concentración en los municipios de Puerto Asís y San Miguel en el departamento de Putumayo. Es interesante resaltar que en 2004 se revela un hotspot con nivel de confianza del 99 % (véase figura 7) y cubre lo que fue la zona de distensión creada en el proceso de paz del gobierno del expresidente Andrés Pastrana con la guerrilla de las FARC-EP, conservando un patrón muy similar hasta 2016, aunque en los últimos años solo se alcanza un nivel de confianza del 95 % en el análisis. La región del Piedemonte Llanero y las zonas resaltadas como hotspots en Caquetá, Putumayo, Guaviare y Meta se caracterizan por procesos de migración y colonización de campesinos provenientes principalmente de la región Andina que derivaron en conflictos sociales por las precarias condiciones que encontraron allí. Echandía Castilla (2001, 241) señala que la baja productividad de la zona, la falta de infraestructura de transporte, la carencia de servicios, la ausencia del Estado y la itinerancia de los pobladores convirtieron la región en un escenario ideal para la producción de cultivos ilícitos. Esta zona se tornó en área de constante disputa entre guerrilla, pa-ramilitares y otros actores armados ilegales, lo que llevó al inexorable desplazamiento de los pobladores. Estos resultados muestran cómo el conflicto armado colombiano a través de las décadas fue migrando en intensidad desde el norte al occidente y suroccidente del país, aunque no se debe perder de vista que los clústeres de desplazamiento de la zona norte colombiana se mantienen.

Un comportamiento espacial que persiste en toda la serie analizada (véanse figuras 6 y 7) es la presencia de coldspots en el altiplano cundiboyacense; en las subregiones de Guanentá, Comunera y García Rovira en el departamento de Santander, y en las subregiones Suroccidente, Suroriente y Centro en el Norte de Santander. Las últimas tres contrastan con todo lo descrito sobre la región del Catatumbo y señalan cómo el norte de este departamento ha sido víctima constante del desplazamiento, mientras la zona sur ha permanecido afectada en menor grado. Además, permanecen como clúster de bajas afectaciones con ligeras variaciones las subregiones Costera, Centro y Sur del departamento del Atlántico ya descritas. En el sur del país las regiones de la Orinoquía y la Amazonía presentan regularmente núcleos de clústeres low-low, y permanece constante el municipio de Puerto Arica en el departamento del Amazonas. En general en este departamento el nivel de desplazamiento forzado ha sido significativamente menor que en el resto del país, especialmente entre 1989 y 1994; Amazonas registra 2.714 eventos de desplazamiento reportados, y ocupa el segundo lugar después del archipiélago de San Andrés, Providencia y Santa Catalina con 106 eventos. Estas zonas son las que año tras año menos afectadas se encuentran por el fenómeno del desplazamiento forzado en Colombia.

Para finalizar este análisis, algunos casos de auto-correlación negativa que se evidencian en la Figura 6 y llaman la atención además de los ya descritos son los siguientes: Bogotá D.C. permanece en gran parte de la serie registrando niveles de desplazamiento por encima de los valores medios anuales y al encontrarse todo el tiempo rodeada de municipios con niveles bajos, configura un clúster high-low persistente. Sin embargo, se debe notar que entre 1993 y 2003 el Distrito Capital se integra al coldspot masivo del altiplano cundiboyacense.

También llama la atención el municipio de Mitú, que aunque en la mayor parte de la serie se mantiene como coldspot, cambia entre low-low y high-low en 1998, 2003 y 2008. El municipio de Calamar al este del departamento del Guaviare evidencia otro comportamiento claramente atípico low-high en 2014 y 2015. De igual forma destaca Viotá en Cundinamarca, con un marcado comportamiento high-low entre 1992 y 1998. Al margen de las zonas atípicas, lo que predomina en el país es un comportamiento de autocorrelación positiva que indica una clara estructura espacial de agrupamiento del desplazamiento forzado, en la que destacan las zonas de alta y baja afectación. El análisis muestra que el desplazamiento forzado no es un fenómeno con patrón espacial aleatorio, por el contrario, se concentra en regiones específicas de Colombia.

Como complemento del análisis basado en el índice de Moran local, se aplicó un conjunto de pruebas de autocorrelación espacial basadas en el coeficiente de Geary local. Las figuras 8 y 9 muestran los resultados con niveles de confianza del 95 % y el 99 %. Al respecto, Anselin (2019, 12) señala que mientras el indicador local de Moran "está fuertemente influenciado por el promedio ponderado de los vecinos, el coeficiente local de Geary mide las diferencias al cuadrado. Por tanto, no hay una razón a priori por la cual los índices presentarían los mismos resultados", sin embargo, contar con los dos puntos de vista permite confirmar algunos de los comportamientos hasta ahora descritos. De hecho, "dado que el coeficiente de Geary local utiliza un criterio diferente para determinar la similitud de atributos, puede ayudar a detectar patrones que escapan al Moran local, y viceversa". El coeficiente de Geary cuenta con dos ventajas importantes, la primera es que, "al no operar con la media, no resulta significativo si se trabaja o no con los valores base (escala original) o con los valores estandarizados. No hay diferencia significativa" (Siabato 2021, 239). Además, "dado que el estadígrafo se basa en el cuadrado de las diferencias, no está restringida a formas lineales de asociación" (Anselin 2019, 3). Estas características resultan relevantes (i) a la luz de las pruebas de dependencia realizadas con la correlación de distancias de Székely y en las que se generalizó la linealidad entre las variables analizadas a pesar de las diferencias encontradas; y (ii) al considerar que las pruebas de Moran se aplicaron sobre datos no normalizados (este punto se discute en la conclusión).

Al centrar el análisis de los resultados obtenidos a partir del coeficiente de Geary local en los clústeres de autocorrelación positiva, se ratifica el bajo impacto comparativo del desplazamiento forzado descrito para el altiplano cundiboyacense, la zona suroriental del departamento de Santander, los municipios del departamento del Atlántico, y en las regiones de la Orinoquía y la Amazonía. Por otro lado, se observa cómo la región del Pacífico empieza a ser afectada durante la década de 2000 y los desplazamientos se intensifican y generalizan durante la década de 2010. Además, se ratifican claramente los altos niveles de desplazamiento en la región del Catatumbo y las subregiones del Urabá, Alto Sinú, San Jorge y Montes de María, lo cual reafirma los hallazgos sobre la grave situación histórica de estos territorios.

Al interpretar en conjunto los resultados del coeficiente de Geary y el índice de Moran, se evidencia el impacto del desplazamiento forzado en el departamento de Arauca, que presenta durante los periodos 1985-1995 y 2003-2016 clústeres high-high, especialmente en los municipios de Saravena, Fortul y Arauquita. El conjunto de índices también pone en evidencia las constantes y graves afectaciones del desplazamiento forzado en la Sierra Nevada de Santa Marta. Además, se confirman los clústeres descritos para Putumayo, Caquetá, Meta y Guaviare durante las décadas de 2000 y 2010. El índice de Geary muestra de forma eventual algunos clústeres high-high en los municipios del sur del Tolima, el norte del Huila y en el departamento de Meta entre 1986 y 1991. En términos generales, se puede aseverar que los comportamientos y las tendencias identificadas y descritas a través del índice de Moran local son reafirmadas por medio del coeficiente de Geary local.

Centro geográfico ponderado (media central)

En esta sección se presenta la tendencia de la evolución histórica del desplazamiento forzado en Colombia. Como se afirmó a partir de los análisis de autocorrelación, a través de las décadas la intensidad del conflicto armado colombiano fue migrando desde el norte al occidente y suroccidente del país. La media central ponderada permite validar esta afirmación y visualizar el comportamiento más claramente. La Figura 10 muestra el resultado del procedimiento. El cálculo está basado en las coordenadas planas de los centroides de cada unidad de análisis ponderadas a partir del número de víctimas por municipio (D_ME), el procedimiento se repite para cada año del periodo analizado y se obtiene un total de 33 medias centrales que en conjunto trazan la trayectoria de la tendencia histórica.

Centro geográfico nacional del desplazamiento forzado en Colombia durante el periodo 1984-2016.

Figura 10: Centro geográfico nacional del desplazamiento forzado en Colombia durante el periodo 1984-2016.

Nota: la versión en línea de este artículo complementa esta figura con una versión dinámica de las tendencias encontradas en el análisis. La Figura 10 representa la tendencia del comportamiento del desplazamiento forzado derivado del conflicto armado a través del centro de gravedad anual. Las visualizaciones dinámicas presentadas en los anexos de ¡a versión en línea de este artículo facilitan la comprensión de los análisis expuestos, y también permiten observar con mayor detalle los clústeres representados en la Figura 6.

El conjunto de centros de gravedad representado en la Figura 10 indica cómo a mediados de los años ochenta y durante la década de 1990 el desplazamiento forzado predomina en la zona norte de Colombia. Durante este periodo, el fenómeno se intensifica en esta región y tiende a dirigirse cada vez más al noroccidente, especialmente en la década de los noventa, con clara influencia de la subregión del Urabá. No obstante, a partir del año 2000, la intensidad del fenómeno invierte su tendencia y se dirige de forma rápida hacia el sur del país; durante la década del 2010 los desplazamientos forzados se afianzan hacia el suroccidente, y luego, al final de la serie, en 2015 y 2016, la tendencia del fenómeno recula y se dirige nuevamente hacia el norte. Es importante aclarar que el conjunto de puntos (medias centrales) no representa la localización de los hechos victimizantes o de las zonas de desplazamiento, solamente muestra la tendencia histórica de cambio del fenómeno en todo el territorio colombiano. Por ejemplo, el hecho de que los puntos que representan las tendencias en los periodos 1995-1997 y 2011-2014 tiendan al occidente, indican que el fenómeno se concentró en los municipios localizados en el noroccidente y suroccidente del país, respectivamente.

Validación del análisis

Es necesario realizar algunas aclaraciones sobre el análisis implementado para ratificar su alcance. Al aplicar el análisis de autocorrelación espacial global para cada uno de los años de la serie de datos, se obtuvieron resultados que representan una muy alta agrupación del fenómeno en el territorio nacional, principalmente en 1991, 1992 y 1993, que alcanzaron índices de 0,59957; 0,683912; y 0,60947, respectivamente. Este comportamiento es consistente con los análisis locales implementados, sin embargo, no toda la serie de los índices de Moran globales listados en la Tabla 5 muestran la tendencia nacional de patrones de desplazamiento agrupados, en especial a partir de 2006. Teniendo en cuenta la naturaleza demográfica de la variable en la que se ha centrado el análisis, como ejercicio de control se implementaron pruebas LISA del desplazamiento forzado considerando las tasas municipales de desplazamiento. Para el cálculo de las tasas se usaron las proyecciones de población del Departamento Administrativo Nacional de Estadística (DANE) a través de la expresión . Al recalcular el índice de Moran global con las tasas y teniendo en cuenta los mismos parámetros de las pruebas aplicadas, se obtuvieron los índices listados en la Tabla 6. Al comparar los nuevos índices (l Tasas ) con los previamente calculados (l Total ), se observa que son más consistentes con los análisis LISA implementados, excepto para 2012 y 2016 cuyos índices a pesar de incrementar siguen tendiendo más a la aleatoriedad nacional (global) del fenómeno. Aunque en menor grado, lo mismo puede afirmarse sobre el año 2013.

Al margen de las diferencias encontradas en los índices globales, al aplicar pruebas LISA sobre las tasas demográficas calculadas, los comportamientos espaciales identificados son muy cercanos a los obtenidos con las pruebas aplicadas sobre los datos no normalizados. Este comportamiento era esperable si se consideran los resultados presentados a partir del coeficiente de Geary que, como se explicó, por su naturaleza no resulta sensible al aplicarlo con valores base o con valores estandarizados. La consistencia de los coeficientes de Geary locales calculados desde las dos perspectivas (valores base vs. valores normalizados) valida los resultados presentados y sincroniza en su mayoría los comportamientos globales y locales mostrados. Además, a partir de las similitudes encontradas en la distribución espacial de los clústeres LISA para la variable desplazamiento forzado entre los datos base y las tasas, se puede inferir que la población desplazada es proporcional a la población municipal.

Conclusión

El desplazamiento forzado es un problema que ha afectado al 99,8 % de los municipios de Colombia y victimizado a más de ocho millones de ciudadanos con todo tipo de atropellos y vejámenes que los obligan a abandonar sus territorios exponiéndolos a situaciones inciertas. Esto lo convierte en uno de los problemas con mayor impacto poblacional a los que se ha enfrentado y enfrenta actualmente el país, el desplazamiento forzado es sin duda un problema vigente.

De acuerdo con los resultados obtenidos, el desplazamiento forzado en Colombia presenta alta correlación positiva con hechos victimizantes como la desaparición forzada, las amenazas, los delitos contra la libertad y la integridad sexual, el homicidio, los secuestros y las masacres. Por tanto, se puede sugerir que a medida que aumenta el número de víctimas de estos hechos, se observa un incremento en el número de personas desplazadas, aunque siempre considerando que la correlación identificada en este análisis no refleja necesariamente la causalidad de los eventos de desplazamiento. Sin embargo, es conveniente destacar de qué modo, en el 2000, el desplazamiento forzado está altamente correlacionado con las masacres (0,73) a causa de la avanzada paramilitar en el país, mostrando que el fenómeno en efecto responde a las dinámicas de la guerra en el territorio nacional. Llama la atención que las acciones armadas que generan masacres no presentan una mayor correlación positiva con el desplazamiento para los demás años, no obstante, es lo que el análisis de los datos muestra. En general, en los territorios en los que se presentan combates y otras acciones de guerra que afectan de forma directa la población se registran altos niveles de desplazamiento forzado; es natural que ante la actividad de la guerra las personas se desplacen para protegerse. Este hecho se puede ver reflejado con la variable homicidios que entre 2006 y 2013 presenta altos niveles de correlación positiva con el desplazamiento (véase tabla 3).

En algunas regiones de Colombia la autocorrelación espacial positiva del desplazamiento forzado es constante durante toda la serie analizada; un ejemplo es la subregión de Urabá, en donde municipios como Chigorodó, Carepa, Apartadó y Valencia (Córdoba) estuvieron siempre incluidos en los hotspots identificados. En otras regiones los niveles de autocorrelación son persistentes, aunque en periodos más cortos, lo cual confirma el argumento de Salas Salazar (2015, 167) en el que plantea que "las lógicas territoriales y las relaciones de poder en el espacio de los actores del conflicto armado no son las mismas en el tiempo y lugar". Los análisis determinaron como principales núcleos de afectación la región del Magdalena Medio; las subregiones de Urabá, Alto Sinú, San Jorge y los Montes de María; la Sierra Nevada de Santa Marta; el Litoral Pacífico y la antigua zona de distensión. En contraste, también existen regiones del país que se identifican regularmente como núcleos de menor concentración del desplazamiento (coldspots), el caso más evidente es el altiplano cundiboyacense, aunque sin excluir las subregiones de Guanentá, Comunera y García Rovira en el departamento de Santander y las subregiones Costera, Centro y Sur del departamento del Atlántico, especialmente los municipios de Baranoa y Sabanalarga. El departamento más afectado por este fenómeno es Antioquia con 1.550.419 eventos de desplazamiento forzado, seguido de Bolívar (646.468), Magdalena (515.055), Chocó (450.087), Valle del Cauca (449.938), Nariño (425.469), Cesar (410.565), Cauca (382.052) y Córdoba (368.805). Por el contrario, el departamento de Amazonas con 2.714 eventos y el archipiélago de San Andrés, Providencia y Santa Catalina con 106 son los menos afectados. La Tabla 7 en el anexo muestra los máximos y mínimos históricos por municipio; estos datos validan que los municipios menos afectados se encuentran en los departamentos de Cundinamarca y Boyacá, los cuales conforman el altiplano determinado como coldspot masivo durante el análisis.

Tabla 6: Comparación del índice de Moran global del desplazamiento forzado en Colombia para el periodo 2008-2016

La autocorrelación espacial positiva del desplazamiento forzado en Colombia es indiscutible, se presentan patrones espaciales agrupados que se mantienen en espacio y tiempo. Generalmente el fenómeno empieza con la concentración de víctimas en un municipio que tiende a desplazarse a los municipios limítrofes. En este sentido, se puede decir que el fenómeno del desplazamiento se comporta de acuerdo con la conocida primera ley de la geografía planteada por Waldo Tobler (1970); los análisis de au-tocorrelación local implementados con niveles de confianza del 95 % y principalmente del 99 % confirman este comportamiento geográfico. Se ha evidenciado que los municipios que se ven altamente afectados por el desplazamiento forzado tienden a estar más cercanos unos de otros, y que aquellos con bajo impacto también tienden a agruparse.

Al considerar los resultados de los análisis documental y espacial realizados, se ha identificado que los hotspots del desplazamiento forzado en Colombia se ubican mayoritariamente en zonas consideradas por los expertos como geoestratégicas dado que favorecen diferentes economías ilegales y tácticas militares. El control territorial de estas zonas es disputado por diferentes actores armados mediante acciones violentas en contra de la población, lo cual provoca su desplazamiento. Este artículo ha demostrado a través de la estadística espacial la concentración del desplazamiento forzado en Colombia y ha localizado sus principales núcleos de afectación. Es un fenómeno que responde a diferentes hechos victimizantes, según el periodo y el momento político y social del país.

Para fortalecer el análisis presentado, se debe profundizar en las relaciones entre los hechos victimizantes y el desplazamiento forzado, para ello, se podrían implementar análisis de autocorrelación espacial bivariada y multivariada y crear mapas condicionales que permitan espacializar las relaciones específicas entre las variables de interés. Otro análisis que sería de gran utilidad para comprender mejor estas relaciones es la regresión ponderada geográficamente (GWR); en este sentido, proponer un modelo de regresión local de las variables listadas en la Tabla 1 arrojaría luces sobre interacciones más específicas y robustas que podrían surgir en los hotspots identificados.

Para cerrar este artículo, se debe destacar que la metodología presentada para el análisis del desplazamiento forzado en los territorios colombianos puede ser aplicada en otras regiones o países en los que este fenómeno tristemente se repite. También se puede aplicar en otro tipo de estudios transversales, por ejemplo, para encontrar tendencias espaciales en el comportamiento de enfermedades respiratorias en zonas urbanas. En general, la metodología implementada permite analizar los patrones y las tendencias espaciales de variables dinámicas tipo ratio que dispongan de un registro de datos consistente para un periodo específico.

Acknowledgements

Agradecimientos

Los autores agradecen a los pares evaluadores por los comentarios y sugerencias que ayudaron a fortalecer este artículo. Convocatoria 872-2020 del Ministerio de Ciencia, Tecnología e Innovación y el Centro Nacional de Memoria Histórica. Proyecto 80740-156-2021: Territorio y conflicto, un atlas histórico del conflicto armado en Colombia, 1964-2017. Minciencias 79386.

Referencias

  1. Anselin, Luc. 1995. "Local Indicators of Spatial Association-LISA." Geographical Analysis 27 (2): 93-115. https://doi.org/10.1111/j.1538-4632.1995.tb00338.x [URL] 🠔
  2. Anselin, Luc. 2019. "A Local Indicator of Multivariate Spatial Association: Extending Geary’s c." Geographical Analysis 51 (2):133-150. https://doi.org/10.1111/gean.12164 [URL] 🠔
  3. Anselin, Luc, Ibnu Syabri, y Youngihn Kho. 2006. "GeoDa: An Introduction to Spatial Data Analysis." Geographical Analysis 38 (1): 5-22. https://doi.org/10.1111/j.0016-7363.2005.00671.x [URL] 🠔
  4. Barreto Henriques, Miguel. 2009. "El laboratorio de paz del Magdalena Medio: ¿un verdadero "laboratorio de paz"?" En Guerra y violencias en Colombia: herramientas e interpretaciones, editado por Jorge A., Restrepo, y David Aponte, 501-544. Bogotá D.C.: Pontificia Universidad Javeriana. 🠔
  5. Brunsdon, Chris, A. Stewart Fotheringham, y Martin E. Charlton. 1996. "Geographically Weighted Regression: A Method for Exploring Spatial Nonstationarity." Geographical Analysis 28 (4): 281-298. https://doi.org/10.1111/j.1538-4632.1996.tb00936.x [URL] 🠔
  6. CNMH (Centro Nacional de Memoria Histórica). 2017a. "Catatumbo. Memorias de vida y dignidad." Consultado el 11 de mayo de 2022. https://centrodememoriahistorica.gov.co/micrositios/catatumbo/ [URL] 🠔
  7. CNMH (Centro Nacional de Memoria Histórica). 2017b. "Bases de datos - ¡Basta Ya! Colombia: Memorias de Guerra y Dignidad." Consultado el 19 de octubre de 2017. https://www.centrodememoriahistorica.gov.co/micrositios/in-formeGeneral/basesDatos.html [URL] 🠔
  8. Clark, Michael. 2013. "A Comparison of Correlation Measures." Indiana: Center for Social Research - University of Notre Dame. Consultado el 21 de enero de 2022. https://m-clark.github.io/docs/CorrelationComparison.pdf [URL] 🠔
  9. DANE (Departamento Administrativo Nacional de Estadística - @DANE_Colombia). 2022. "Según las proyecciones de población del Censo 2005, para diciembre de 2021 el país tendría 50,19 millones de habitantes. Sin embargo, y de acuerdo con las proyecciones más recientes base #Censo2018, Colombia para diciembre 2021 contaba con 49,75 millones de habitantes.". Twitter, 21 de febrero de 2022, 2:12 p. m. https://twitter.com/DANE_Colombia/status/1495838816472555521 [URL] 🠔
  10. DANE (Departamento Administrativo Nacional de Estadística). 2017. "Geoportal DANE - Descarga del Marco Geoestadístico Nacional (MGN)." Consultado el 16 de octubre de 2017. https://geoportal.dane.gov.co/servicios/descarga-y-metadatos/descarga-mgn-marco-geoestadistico-nacional/ [URL] 🠔
  11. Echandía Castilla, Camilo. 2001. "La violencia en el conflicto armado durante los años 90." Revista Opera 1 (1): 229-245. 🠔
  12. FMR (Forced Migration Review). 2022. "FMR Online Journal -List of Issues." Consultado el 23 de mayo de 2022. https://www.fmreview.org/issues [URL] 🠔
  13. Fujita, André, João Ricardo Sato, Marcos Angelo Almeida Demasi, Mari Cleide Sogayar, Carlos Eduardo Ferreira, y Satoru Miyano. 2009. "Comparing Pearson, Spearman and Hoeffding’s D Measure for Gene Expression Association Analysis." Journal of Bioinformatics and Computational Biology 7 (4): 663-684. https://doi.org/10.1142/S0219720009004230 [URL] 🠔
  14. Granada, Soledad, y Camilo Sánchez Meertens. 2009. "Correlación de fuerzas en disputas de guerras civiles: una aplicación al caso colombiano." En Guerra y violencias en Colombia: herramientas e interpretaciones, editado por Jorge A. Restrepo, yDavid Aponte , 233-272. Bogotá D.C.: Pontificia Universidad Javeriana . 🠔
  15. Guevara Corral, Rubén Darío. 2003. "La nueva colonización urbana: el desplazamiento forzado." Reflexión Política 5 (10): 80-91. 🠔
  16. IGAC (Instituto Geográfico Agustín Codazzi). 2016. "Disputa entre Chocó y Antioquia por Belén de Bajirá ya está en manos del Congreso de la República." Consultado el 23 de mayo de 2022. https://web.archive.org/web/20160827121459/ org/web/20160827121459/ http://noticias.igac.gov.co/disputa-entre-choco-y-antioquia-por-belen-de-bajira-ya-esta-en-manos-del-congreso-de-la-republica/ [URL] 🠔
  17. Jenks, George F. 1967. "The Data Model Concept in Statistical Mapping." International Yearbook of Cartography 7: 186-190. 🠔
  18. Jenks, George F., y Fred C. Caspall. 1971. "Error on Choroplethic Maps: Definition, Measurement, Reduction." Annals of the Association of American Geographers 61 (2): 217-244. https://doi.org/10.1111/j.1467-8306.1971.tb00779.x [URL] 🠔
  19. Mora Cortés, Andrés Felipe. 2013. "Conflicto, violencia socioeconómica y desplazamiento forzado en Colombia." Cuadernos de Economía 32 (61): 721-754. 🠔
  20. Nakaya, Tomoki. 2000. "An Information Statistical Approach to the Modifiable Areal Unit Problem in Incidence Rate Maps." Environment and Planning A: Economy and Space 32 (1): 91-109. https://doi.org/10.1068/a31145 [URL] 🠔
  21. Openshaw, Stan, y P. Taylor. 1979. "A Million or so Correlation Coefficients: Three Experiments on The Modifiable Areal Unit Problem." En Statistical Methods in the Spatial Sciences, editado por N. Wrigley. London: Pion. 🠔
  22. Ospina Florido, Byron. 2014. "Reconfiguración de prácticas espaciales: análisis socioespacial a los procesos de desplazamiento y retorno campesino." Ánfora 21 (37) : 151-177. 🠔
  23. O’Sullivan, David, y David J. Unwin. 2010. Geographic Information Analysis. Chichester: Wiley. 🠔
  24. Ravenstein, Ernest George. 1885. "The Laws of Migration." Journal of the Statistical Society of London 48 (2): 167-235. https://doi.org/10.2307/2979181 [URL] 🠔
  25. Ravenstein, Ernest George. 1889. "The Laws of Migration - Second Paper." Journal of the Royal Statistical Society: Series A 52 (2): 241-305. https://doi.org/10.2307/2979333 [URL] 🠔
  26. Restrepo, Jorge A. , y David Aponte. 2009. Guerra y violencias en Colombia: herramientas e interpretaciones. Bogotá D.C.: Pontificia Universidad Javeriana y CERAC. 🠔
  27. Rey Sabogal, Camilo. 2013. "Análisis espacial de la correlación entre cultivo de palma de aceite y desplazamiento forzado en Colombia." Cuadernos de Economía 32 (61): 683-718. 🠔
  28. Rodrigues-Silveira, Rodrigo, Sonia Terron, y Willibald Sonnleitner. 2017. "Política, espacialidad y territorialidad. Hacia un análisis espacial de los procesos sociopolíticos en América Latina." América Latina Hoy 75: 11-20. https://doi.org/10.14201/alh.16614 [URL] 🠔
  29. Ruiz, Nubia Yaneth. 2011. "El desplazamiento forzado en Colombia: una revisión histórica y demográfica." Estudios Demográficos y Urbanos 26 (1): 141-177. 🠔
  30. RUV (Registro Único de Víctimas). 2017. "Unidad para la Atención y Reparación Integral a las Víctimas". Consultado el 3 de septiembre de 2017. https://rni.unidadvictimas.gov.co/RUV [URL] 🠔
  31. Salas Salazar, Luis Gabriel. 2015. "Lógicas territoriales y relaciones de poder en el espacio de los actores armados: un aporte desde la geografía política al estudio de la violencia y el conflicto armado en Colombia, 1990-2012." Cuadernos de Geografía: Revista Colombiana de Geografía 24 (1): 157-172. https://doi.org/10.15446/rcdg.v24n1.47777 [URL] 🠔
  32. Salas Salazar, Luis Gabriel. 2016. "El conflicto armado y su incidencia en la configuración territorial: elementos para la consolidación de la paz." Bitácora Urbano Territorial 26 (2): 45-57. https://doi.org/10.15446/bitacora.v26n2.57605 [URL] 🠔
  33. Salaya, Hernán Eduardo, y Jesús Rodríguez. 2014. "La dinámica poblacional y la violencia armada en Colombia, 1985-2010." Revista Panamericana de Salud Pública 36 (3): 158-163. 🠔
  34. Saldarriaga, Juan Francisco, y Yuan Hua. 2019. "A Gravity Model Analysis of Forced Displacement in Colombia." Cities 95: 102-407. https://doi.org/10.1016/j.cities.2019.102407 [URL] 🠔
  35. Segura Escobar, Nohora. 2001. "Colombia: guerra y desplazamiento." Análisis Político 43: 76-93. 🠔
  36. Siabato, Willington. 2021. Técnicas de Análisis y Modelado Espacial (tame). Notas de apoyo en clase. 1.ra edición. Registro DNDA n.° 10-980-17. Bogotá D.C.: Universidad Nacional de Colombia. https://colombialee.com/detalles_titulo.php?isbn=9789584930057 [URL] 🠔
  37. Siabato, Willington, y Jhon Guzmán-Manrique. 2019. "La autocorrelación espacial y el desarrollo de la geografía cuantitativa." Cuadernos de Geografía: Revista Colombiana de Geografía 28 (1): 1-22. https://doi.org/10.15446/rcdg.v28n1.76919 [URL] 🠔
  38. Siabato, Willington , Christophe Claramunt, Miguel Ángel Manso-Callejo, y Miguel Ángel Bernabé-Poveda. 2014. "Time Bliography: A Dynamic and Online Bibliography on Temporal GIS." Transactions in gis 18 (6): 799-816. https://doi.org/10.1111/tgis.12080 [URL] 🠔
  39. Stevens, Stanley Smith. 1946. "On the Theory of Scales of Measurement." Science 103 (2684): 677-680. 🠔
  40. Székely, Gábor, Maria L. Rizzo, y Nail K. Bakirov. 2007. "Measuring and Testing Dependence by Correlation of Distances." The Annals of Statistics 35 (6): 2769-2794. https://doi.org/10.1214/009053607000000505 [URL] 🠔
  41. Tobler, Waldo. 1970. "A Computer Movie Simulating Urban Growth in the Detroit Region." Economic Geography 46: 234-240. https://doi.org/10.2307/143141 [URL] 🠔
  42. UNHCR (The UN Refugee Agency). 2021. "UNHCR Flagship Reports - Forced Displacement in 2020." Consultado el 30 de mayo de 2022. https://www.unhcr.org/flagship-reports/globalreport/ [URL] 🠔
  43. Unidad para la Atención y Reparación Integral a las Víctimas. 2022. "Registro Único de Víctimas (RUV) | Unidad para las Víctimas." Consultado el 21 de enero de 2022. https://www.unidadvictimas.gov.co/es/registro-unico-de-victimas-ruv/37394 [URL] 🠔
Porcentaje estimado considerando la población colombiana reportada por el Departamento Administrativo Nacional de Estadística (DANE, 2022) para 2021: 49.755.810 habitantes. Dato tomado de la actualización de las proyecciones de población con base Censo 2018: https://twitter.com/DANE_Colombia/status/1495838816472555521. Los porcentajes presentados en el Boletín fichas estadísticas de la Red Nacional de Información están basados en una proyección poblacional de 51.049.498 habitantes.
En el mundo, la Agencia de Refugiados de Naciones Unidas (The UN Refugee Agency) presenta en sus reportes anuales un completo informe sobre cómo afecta globalmente el desplazamiento forzado y cuáles son las tendencias principales. Un dato que llama la atención es que el desplazamiento forzado global creció durante 2020 y 2021 a pesar de la pandemia del Covid-19. El número de desplazados se duplicó en diez años, al pasar de 40 millones de víctimas en 2010 a más de 8o millones en 2020; de ellas, 48 millones son desplazados internos. Los reportes anuales están disponibles en UNHCR (2021). Quizás la fuente académica global más importante sobre migraciones forzadas es la revista Forced Migration Review (FMR), publicada desde 1998 por el Centro de Estudios sobre Refugiados del Departamento de Desarrollo Internacional de la Universidad de Oxford. En esta publicación se puede encontrar un significativo número de estudios sobre desplazamiento forzado en varios países, y a marzo de 2022 cuentan con 69 números disponibles en acceso abierto en FMR (2022).
Un proyecto de memoria histórica sobre la región del Catatumbo fue publicado por el Centro Nacional de Memoria Histórica (2017a).
En 2019, el departamento de Santander renombró la subregión de Mares como Yariguíes y segmentó la subregión de Soto en Metropolitana y Soto Norte.
Siabato, Willington; Montilla-Montilla, Yeimy. 2022. "Caracterización espacial del desplazamiento forzado en Colombia durante el periodo 1984-2016." Cuadernos de Geografía: Revista Colombiana de Geografía 31 (2): 341-376. https://doi.org/10.15446/rcdg.v31n2.101013
Profesor Asistente del Departamento de Geografía de la Universidad Nacional de Colombia. Auxiliar de Investigación en la Universidad Politécnica de Madrid. Sus actividades académicas y de investigación se desarrollan en tres áreas fundamentales: (i) análisis espacial, (ii) razonamiento y modelado temporal y espaciotemporal, (iii) SIG temporal. Actualmente imparte docencia en asignaturas relacionadas con cartografía y análisis y modelización espacial.
Especialista en análisis espacial, Ingeniera de sistemas, tecnóloga en cartografía y estudiante de maestría en geomática, con experiencia en investigación en las áreas de: análisis espacial, posicionamiento y navegación interior, modelación 3D con los estándares del OGC, IndoorGML y CityGML, e identificación de coberturas del suelo mediante el uso de técnicas de Machine Learning e imágenes satelitales. Con experiencia profesional en el desarrollo de proyectos relacionados con el diseño y elaboración de sistemas de información geográfica, bases de datos espaciales, análisis de fenómenos mediante el uso de herramientas geoestadísticas; actualización y edición de cartografía temática y general.
Clasificación definida de acuerdo con los Niveles de Medida o Escalas de Medida de Stevens 1946.

Anexos

Tabla 7: Totales municipales de eventos durante el periodo analizado: (a) Máximos históricos. (b) Mínimos históricos

Representaciones dinámicas de las tendencias determinadas en los análisis LISA y con el centro geográfico ponderado.

Video 1. Representación dinámica de los hotspots y coldspots del desplazamiento forzado en Colombia en el periodo 1984-2016.

Video 2. Representación dinámica de la tendencia de localización nacional del desplazamiento forzado en Colombia en el periodo 1984-2016.