Cuadernos de Geografía: Revista Colombiana de Geografía
0121-215X
2256-5442
Facultad de Ciencias Humanas de la Universidad Nacional de Colombia
https://doi.org/10.15446/rcdg.v31n1.88692

Recibido: 29 de junio de 2020; Revision Received: 19 de enero de 2021; Aceptado: 7 de junio de 2021

Cuantificación de la visibilidad del paisaje en las barrancas de Cuernavaca, Morelos - México. Antecedentes geohistóricos y planeación urbana

Landscape Visibility Measurement in the Canyons of Cuernavaca, Morelos - Mexico. Geohistorical Background and Urban Planning

Medição da visibilidade da paisagem nos desfiladeiros de Cuernavaca, Morelos - México. Antecedentes geo-históricos e planejamento urbano

L. Arriola-Ponsin, * C. Orozco-Lugo, +a I. Franch-Pardo, °

Universidad Autónoma del Estado de Morelos, Cuernavaca - México. sarriolap@gmail.com - ORCID: 0000-0002-1561-4916. Universidad Autónoma del Estado de México Universidad Autónoma del Estado de Morelos Cuernavaca Mexico
Universidad Autónoma del Estado de Morelos, Cuernavaca - México. zotz@uaem.mx - ORCID:0000-0001-7171-7074. Universidad Autónoma del Estado de México Universidad Autónoma del Estado de Morelos Cuernavaca Mexico
Universidad Nacional Autónoma de México - Escuela Nacional de Estudios Superiores, Unidad Morelia (UNAM-ENES), Morelia - México. ifranch@enesmorelia.unam.mx - ORCID: 0000-0003-4346-8757. Universidad Nacional Autónoma de México Universidad Nacional Autónoma de México Morelia Mexico

Correspondencia: Carmen Lorena Orozco-Lugo, CIByC-UAEM, Av. Universidad 1001, Colonia Chamilpa, Cuernavaca, Morelos, México. CP: 62209.

Resumen

El concepto de paisaje se ha consolidado como categoria superior de análisis del territorio al incorporar no solo las variables objetivas naturales y humanas, sino también el medio percibido, surgiendo así investigaciones centradas en el componente visual del paisaje por tratarse de un enfoque útil para la planeación territorial. La presente investigación cuantifica las limitaciones de acceso y visibilidad en nueve barrancas de la ciudad de Cuernavaca (México) mediante Sistemas de Información Geográfica (SIG), proponiendo un método para acercarse al conocimiento de este paisaje urbano. Los resultados indican que la accesibilidad promedio en estas es de un 9,5o %, y que el 49,98 % de la superficie en los predios colindantes está destinada a viviendas que se han apropiado de estos paisajes históricos. En la barranca más icónica se comprobó que la visibilidad pública está reducida a un 9,95 % del espacio abierto, el cual solo puede ser visto desde nueve puntos de vocación vehicular. La ciudad se ha caracterizado por una falta de visión urbana para estos espacios con el resultado de su degradación ambiental, pérdida del paisaje identitario y fracaso de los esfuerzos de saneamiento. Por lo anterior, los criterios de visibilidad pueden orientar una nueva agenda urbana para Cuernavaca.

Ideas destacadas:

Artículo de investigación que cuantifica por primera vez para el contexto urbano mexicano la pérdida de accesibilidad visual del paisaje antropo-natural de la ciudad de Cuernavaca, haciendo un recuento geohistórico de como la falta de planeación territorial tiene consecuencias graves en la degradación ambiental y la calidad de vida urbana.

Palabras clave:

Cuernavaca, geohistoria, paisaje identitario, paisaje visual, planeación del territorio, planeación urbana.

Abstract

The landscape has become a higher category of territorial analysis because it embodies not only human and natural variables but also the perceived environment. In this context, studies focused on the visual aspects of landscapes as it is a useful approach for land-use planning. This paper quantifies access and visibility restrictions in nine canyons of Cuernavaca city (Mexico) through Geographical Information Systems (GIS). The results show that the average accessibility in them is 9.50 %, and that 49.98 % of the surface in the adjacent properties is used for houses that have appropriated these historical landscapes. In the most iconic canyon, public visibility was found to be reduced to 9.95 % of the open space, thatcan only be seen from nine vehicular use points. The city has been characterized by a lack of urban vision for this space, with the result of its environmental degradation, loss of a cultural landscape, and failure of sanitation efforts. Due to the abovementioned, visibility criteria can guide a new urban agenda for Cuernavaca.

Main ideas:

Research article that quantifies for the first time for the Mexican urban context the loss of visual accessibility of the anthropo-natural landscape of the city of Cuernavaca, making a geohistorical account of how the lack of land-use planning has serious consequences on environmental degradation and quality of urban life.

Keywords:

Cuernavaca, geohistory, identity landscape, visual landscape, territorial planning, urban planning.

Resumo

O conceito de paisagem se estabeleceu como uma categoria superior de análise do território, dadoque incorpora não apenas as variáveis objetivas naturais e humanas, mas também o ambiente percebido, assim emergindo investigações focadas na componente visual da paisagem, pois é uma abordagem útil para o planejamento territorial. A presente investigação quantifica as limitações de acesso e visibilidade em nove barrancos da cidade de Cuernavaca (México) por meio de Sistemas de Informação Geográfica (SIG), propondo um método para se aproximar ao conhecimento desta paisagem urbana. Os resultados indicam que a acessibilidade média nelas é de 9,50 %, e que 49,98 % da superfície nas propriedades adjacentes é destinada a residências que se apropriaram dessas paisagens históricas. No desfiladeiro mais emblemático, verificou-se que a visibilidade pública é reduzida para 9,95 % do espaço aberto, o que só pode ser visto a partir de nove pontos de vocação veicular. A cidade tem sido caracterizada pela falta de visão urbana para esses espaços, com o resultado de sua degradação ambiental, perda da paisagem de identidade e falha dos esforços de saneamento. Pelo anterior, os critérios de visibilidade podem orientar uma nova agenda urbana para Cuernavaca.

Ideias destacadas:

Artigo de pesquisa que quantifica pela primeira vez no contexto urbano mexicano a perda de acessibilidade visual da paisagem antropo-natural da cidade de Cuernavaca, fazendo um relato geo-histórico de como a falta de planejamento territorial tem sérias consequências na degradação e qualidade ambiental da vida urbana.

Palavras-chave:

Cuernavaca, geo-historia, paisagem de identidade, paisagem visual, planejamento territorial, planejamento urbano.

Introducción

El concepto de paisaje nació en la tradición artistica para definir una porción del espacio que se ve y se puede representar. Aún, hoy en dia, la palabra evoca entre el público no especializado a un artista pintando lo que percibe de su entorno (Fernández-Christlieb 1984). Sin embargo, el concepto, como categoria cientifica, tiene su origen a partir de la obra de Von Humboldt a finales del Siglo XIX (Mateo 2006) y ha venido consolidándose como categoria superior de análisis del territorio tanto en la geografia como en otras disciplinas. Lo anterior porque, entre otras razones, incorpora no solo las variables objetivas naturales y humanas (que incluyen la transformación histórica del territorio y la reproducción social de los grupos sobre este) sino también el medio percibido, que vuelve al paisaje un ente observado y con SIGnificado para la vida cotidiana de los grupos sociales (Ramirez y López 2015). Es decir que el paisaje es la percepción subjetiva del territorio.

Es asi como el concepto de paisaje se ha posicionado en distintas legislaciones, ordenamientos y estrategias territoriales de diferentes paises. Lo anterior se debe a que, entre las consecuencias de la acelerada expansión de la población mundial y de su capacidad de transformar el medio natural, se encuentra la dispersión del espacio construido y, por lo tanto, la transformación y fragmentación de los territorios que, junto con la implementación de distintos equipamientos e infraestructuras, han redundado en un empobrecimiento del paisaje (Nogué 2010).

La preocupación por proteger, gestionar y ordenar el paisaje de manera sustentable también surge de la transformación del concepto de patrimonio, que pasó de ser algo aislado vinculado al objeto, a la consideración actual del soporte espacial de dichos objetos, es decir el paisaje y su importancia coyuntural para la sostenibilidad, el bienestar social y la mejora de la calidad de vida de las personas que lo habitan (Rey Pérez 2017).

Es en este contexto que han surgido investigaciones centradas en el componente visual del paisaje, que no es el único sentido a través del cual se percibe el territorio, pero si el dominante. Según Nijhuis, Lammeren y Hoeven (2011), el carácter identitario de los ambientes rurales y urbanos es, en gran medida, construído a partir de la percepción visual y por lo tanto se trata de un factor determinante para el comportamiento y las preferencias de las personas y, por lo tanto, para la apropiación, protección, monitoreo, planeación, gestión y diseno del paisaje. Se trata pues de un enfoque particularmente útil en investigaciones aplicadas asociadas a la planeación territorial y urbana (Serrano Giné 2015), ya que como han senalado diversos autores (Capel 1973; Jacobs 2006; Folch y Bru 2017), la percepción del medio tiene un papel determinante sobre el comportamiento humano y, por lo tanto, para la valorización del territorio y la construcción de identidades.

Los estudios que abordan el paisaje a partir de criterios de visibilidad se han clasificado en dos grupos. Por una parte, están los que utilizan métodos directos, estudiando los aspectos subjetivos mediante variables relacionadas con las preferencias estéticas, las percepciones, las valoraciones, y en general aspectos relacionados con la cultura y la identidad. En el segundo grupo están aquellos que utilizan métodos indirectos, diseccionando los elementos que componen el paisaje y evaluándolos individualmente para cuantificar mediante criterios objetivables y técnicos la calidad visual de un paisaje (Franch-Pardo y Cancer-Pomar 2017). Ambos métodos utilizan los Sistemas de Información Geográfica -en adelante, SIG-.

Citando algunos ejemplos, se han utilizado para orientar el ordenamiento territorial a través de variables como son la accesibilidad y la fragilidad visual (Franch-Pardo y Cancer-Pomar 20x7), para evaluar la variabilidad en la percepción de distintos tipos de paisajes (Muñoz-Pedreros, Moncada-Herrera y Larrain 2000), para valorar la calidad visual del paisaje urbano (Briceno et ál. 2019) o la calidad escénica de paisajes periurbanos (Serrano Giné 2015). En el caso particular de los métodos indirectos, para México, se puede afirmar que estos se han aplicado escasamente en paisajes urbanos y/o antropo-naturales (que combinan, como es el caso de la zona de estudio, los dos tipos de paisaje: el natural y el urbano, incluyendo en algunos puntos paisaje urbano histórico).

Es asi como la presente investigación cuantifica a través de métodos indirectos las limitaciones de acceso y visibilidad en las barrancas urbanas de la ciudad de Cuernavaca (capital del estado de Morelos, México), cuyos valores fisico-geográficos, ambientales e históricos se explican más adelante.

En concreto, este articulo se plantea: (i) cuantificar la accesibilidad pública de nueve barrancas del municipio de Cuernavaca mediante procesamiento cartográfico, (ii) analizar los usos de suelo en los predios colindantes a los intersticios de las barrancas, y estimar el porcentaje de superficie destinada a equipamiento urbano de acceso público, por último, (iii) verificar in situ la accesibilidad pública y visual de la barranca de Amanalco, una de las más SIGnificativas desde la perspectiva geohistórica.

Área de estudio

La Zona Metropolitana de Cuernavaca -en adelante, ZMC- se asienta sobre parte de un glacis, formación geológica que en este caso se caracteriza por ser un valle de suave pendiente y alto gradiente altitudinal, con un vasto abanico fluvial que se origina en los relieves montanosos que lo flanquean. Por lo tanto, el noroeste de la ZMC está surcado por profundas barrancas (Figuras 1 y 2) modeladas por el paso de rios permanentes y temporales (Garcia, Torres y Jaramillo 2007). Estas caracteristicas le han concedido, desde la época prehispánica, la fama al valle como lugar de gran fertilidad, riqueza e inmejorable clima.

Paseo Ribereno Alfonso Sandoval Camunas dentro de la barranca de Amanalco.

Figura 1: Paseo Ribereno Alfonso Sandoval Camunas dentro de la barranca de Amanalco.

Fuente: Medina (sf).

Antecedentes geohistóricos

Si bien la zona fue habitada y abandonada en el periodo clásico (1500 a. de C.-300 d. de C.), muchos asentamientos actuales del valle de Cuernavaca fueron fundados por tlahuicas y xochimilcas, pueblos de habla náhuatl que llegaron junto a los mexicas alrededor del año 1100. El senorio tlahuica más poderoso fue el de Cuauhnáhuac (origen toponimico de Cuernavaca), y gracias a su cultura intimamente ligada a la tierra desarrollaron una tecnologia de riego por canales que utilizaron en combinación con terrazas en las laderas y presas dentro de las barrancas para obtener una gran variedad de cultivos que tributaban a los aztecas (Smith 2010). La cabecera de este senorio se ubicaba exactamente donde hoy está el centro histórico de Cuernavaca, entre las barrancas de Amanalco y Chiflón de los Caldos (véanse figuras 1 y 2).

Mapa de ubicación de la ZMC y de las barrancas urbanas estudiadas dentro del municipio de Cuernavaca (predios urbanos colindantes). Fuente: Inegi (2019).

Figura 2: Mapa de ubicación de la ZMC y de las barrancas urbanas estudiadas dentro del municipio de Cuernavaca (predios urbanos colindantes). Fuente: Inegi (2019).

Nota: las abreviaciones de los nombres de los municipios que conforman la ZMC corresponden a Cuernavaca (Mi), Huitzilac (M2), Tepoztlán (M3), Jiutepec (M4), Temixco (M5), Emiliano Zapata (M6) y Xochitepec (M7).

Esta situación geográfica privilegiada fue tempranamente aprovechada por los conquistadores españoles, de tal manera que Hernán Cortés estableció sobre la destruida Cuauhnáhuac el centro administrativo de su marquesado, asi como su casa de descanso, imponiendo en la región el monocultivo de la cana de azúcar y aprovechando el sistema natural de irrigación que las barrancas proveian.

A pesar de que el régimen colonial transformaria radicalmente a lo largo de los Siglos los sistemas hidráulicos prehispánicos (Martinez y Murillo 2009), se mantuvo la fama de lugar paradisiaco ideal para el retiro de descanso entre la élites novohispanas asi como entre otros destacados personajes de la historia mexicana1, mismos que disfrutaron de la famosa "eterna primavera" (el apelativo se le atribuye a von Humboldt, que pasó por la zona en 1803) hasta el estallido de la Revolución Mexicana de 1910.

Sin embargo, desde finales del siglo XIX y gracias a la apertura económica promovida por el dictador Porfirio Diaz, Cuernavaca comenzaria a ser más visitada por los habitantes de la capital mexicana, asi como por extranjeros, principalmente por inversionistas y técnicos norteamericanos. Entre estos visitantes estuvo el destacado pintor de paisajes Thomas Moran (1827-1926), quien en 1903 representó en un lienzo la belleza de la barranca de Amanalco (Figura 3).

"Bridge Over East Barranca", Thomas Moran, 1903. Óleo sobre lienzo.

Figura 3: "Bridge Over East Barranca", Thomas Moran, 1903. Óleo sobre lienzo.

Durante este primer periodo de esplendor urbano (1880-1910) se construyeron diversas infraestructuras y equipamientos que situaron a Cuernavaca en la era de la modernidad y transformarian su fisionomia colonial, como es el todavia existente puente Porfirio Diaz (Figura 4) sobre la barranca de Amanalco y que conectó el centro de la ciudad con la también recién construida estación de trenes.

Puente Porfirio Diaz en 1907.

Figura 4: Puente Porfirio Diaz en 1907.

Fuente: Landa (2008, 72).

Sin embargo, este paisaje urbano histórico se mantuvo acotado entre las barrancas sobre las cuáles la ciudad fue fundada, con poca expansión urbana hacia el sistema de barrancas del valle, que ya en esa época eran un atractivo turistico debido a sus extraordinarios y exuberantes paisajes. Con excepción de algunos pequenos barrios populares y asentamientos irregulares que se instalaron en la barranca de Chiflón de los Caldos, en la orilla norponiente de la ciudad colonial.

Después de abandonarse por completo la ciudad durante la Revolución Mexicana (1910-1920), el Gral. Plutarco Elias Calles (presidente de México entre 1924 y 1928) emprende una activa y muy personal promoción turistica de Cuernavaca en mancuerna con el embajador norteamericano Dwight W. Morrow. Asi, la ciudad experimenta un segundo periodo de crecimiento urbano alimentado otra vez por una alta migración foránea ávida de establecerse en el todavia pintoresco pueblo de Cuernavaca, o de tener segundas residencias para pasar temporadas de descanso.

A partir de esta época, y por diversas razones, la ciudad se instalaria en el imaginario internacional y seria elegida por gran cantidad de personajes famosos (sobre todo del ámbito cultural y artistico) para residir en esta de manera temporal o permanente, asi como para vacacionar. Entre estos personajes estuvieron el poeta y novelista Malcolm Lowry2, actores como Gary Cooper, Burt Lancaster, Cantinflas, Maria Félix, el último Sha de Irán, Bárbara Hutton (la heredera del imperio Woolworth), el piloto Charles Lindbergh, músicos como Charles Mingus y Gil Evans, y pintores como Rufino Tamayo y Diego Rivera (que pintó en el antiguo Palacio de Cortés la hazana de Cortés para cruzar la barranca de Amanalco y conquistar Cuauhnáhuac), entre muchos otros.

La élite posrevolucionaria inició para beneficio propio la urbanización del sur de la barranca de Amanalco y, posteriormente, victimas de su propia fama, las barrancas al noroeste (como son las de Tetela-San Pedro, Ahuatlán y Tzompantle) de la todavia pequena capital morelense fueron aprovechadas por todo tipo de inversionistas y desarrolladores inmobiliarios que explotaron comercialmente estos paisajes para el mercado foráneo (Olivera y Rodriguez 2014). Se inicia asi un periodo de salvaje mercantilización del paisaje barranqueno en aras de la rentabilidad inmobiliaria.

Este auge económico y turistico de la ciudad seria posteriormente complementado en las décadas de los sesenta y setenta con la construcción de infraestructuras viales y equipamientos industriales que detonarian una mayor expansión territorial de la mancha urbana hacia las periferias (Delgadillo y Sámano 2018), sobre todo hacia la parte baja del valle (especificamente hacia el sureste).

Es asi como la actual ZMC se expande sobre siete municipios (véase figura 2) alojando a una población de poco más de un millón de habitantes (ONU-Habitat, INFONAVIT y SEDATU 2016), y por lo tanto las barrancas en torno al centro novohispano de la ciudad (en el municipio de Cuernavaca) hace tiempo que fueron urbanizadas e invadidas por todo tipo de construcciones.

En su reconstrucción del patrón de crecimiento urbano de la ciudad, Calleja Martinez (2016) afirma que "[...]es posible establecer relaciones funcionales y morfológicas entre el entorno construido de Cuernavaca y las barrancas, pudiendo registrar en estas últimas, ciertas características para considerarlas áreas de flujo condicionantes de la forma y composición de la ciudad" (Calleja Martinez 2016, 66). Es decir, que debido a que las barrancas corren de norte a sur, y por ser muy profundas, históricamente han condicionado el trazo de las vialidades, asi como la necesidad de puentes que conecten los flujos en el sentido oriente-occidente.

A pesar de que el "patrimonio cultural material e inmaterial [...] subsisten olvidados por la sociedad de Cuernavaca y por el turismo" (Rubio Medina 2012, 203), actualmente en la barranca de Amanalco y sus inmediaciones coexisten vestigios arqueológicos (como Teopanzolco, la antigua ciudad tlahuica) junto a la arquitectura colonial (incluyendo el que probablemente sea unos de los primeros puentes novohispanos)3 y decimonónica, e inclusive modernista (como es el mercado Adolfo López Mateos del arquitecto Mario Pani). Resulta pues innegable que las barrancas son, y siempre han sido, parte consustancial de la historia e identidad de los habitantes de Cuernavaca, y hasta la fecha existen manifestaciones culturales populares relacionadas a estas como las documentadas en el libro Poéticas de la barranca. Literatura e imagen comunitaria (Ruiz Rodriguez 2017).

Este proceso urbano descontrolado ha resultado en una fuerte presión ambiental sobre el sistema de barrancas (Garcia, Torres y Jaramillo 2007). Actualmente se cuenta con el Programa de manejo y educación ambiental del área bajo conservation denominada "Barrancas urbanas de Cuernavaca" (Ayuntamiento de Cuernavaca 2015), en el cual se reconoce que son parte integrante de la ciudad, cuyos sistemas bióticos y abióticos son de vital importancia para la región noreste y central de Morelos, debido a que de estas depende directamente la recarga del acuifero de Cuernavaca, y que constituyen uno de los principales valores y atractivos de la ciudad, porque tienen efectos directos en el microclima de la región y en la alta biodiversidad que esta mantiene (Garcia et ál. 2007; Ocampo-Ramirez 2015).

Desafortunadamente estos cauces han sido utilizados (Figura 5) como sitios de descarga de residuos sólidos y como drenaje natural de aguas negras (Montes-Mata y Monroy-Ortiz 2020), y padecen otros problemas como: ausencia de planeación, desacato de normas urbanas, asentamientos irregulares, pérdida de sitios de interés turistico, introducción de especies exóticas, venta de terrenos sobre los márgenes invadiendo la zona de restricción federal con sus consecuentes efectos hidrológicos, asi como carencia de proyectos alternativos (Ayuntamiento de Cuernavaca 2015).

A pesar de estas severas degradaciones, hoy en dia todavia "se considera que el sistema de barrancas actúa como un radiador que favorece la estabilidad del clima en Cuernavaca" (Garcia, Torres y Jaramillo 2007, 3) y mantienen una gran extensión de bosques riparios, bosques mesófilos, selva baja caducifolia y encinares que son el hábitat de una gran diversidad de especies de flora y fauna silvestres (Ocampo-Ramirez 2015).

Las barrancas son por lo tanto el gran patrimonio verde de la ciudad, y el tema de su accesibilidad visual y degradación ambiental deberia de ser considerado como un asunto de salud pública de vital importancia para la viabilidad y la dignidad de la vida urbana en Cuernavaca, asi como para su identidad.

Barranca de Amanalco desde el puente El Túnel.

Figura 5: Barranca de Amanalco desde el puente El Túnel.

Fotografia de Stephane Arriola-Ponsin, mayo de 2019.

Lo anterior es aún más apremiante si consideramos que la ZMC dispone en su conjunto de únicamente 6,01 m2 de áreas verdes por habitante4 (ONU-Habitat, INFONAVIT y SEDATU 2016), cuando la recomendación de la Organización Mundial de la Salud (OMS) es de 16 m2. Por otra parte, Márquez (2017) calcula que en el municipio de Cuernavaca existen únicamente 32,8 ha de estructura verde secundaria5 (que no incluye las barrancas), lo que representa menos de un metro cuadrado por habitante en este municipio.

Instituciones como el Instituto Mexicano de la Tecnologia del Agua (IMTA), el Centro Regional de Investigaciones Multidisciplinarias (CRIM) de la Universidad Nacional Autónoma de México (UNAM), el Centro de Investigación en Biodiversidad y Conservación (CIByC) de la Universidad Autónoma del Estado de Morelos (UAEM), y el gobierno municipal, han abordado esta problemática desde distintos enfoques pero nunca se ha Quantificado la accesibilidad visual pública de las barrancas, aun cuando existe un vinculo indisoluble entre la ciudad y la excepcional topografia de su territorio.

Por todo lo expuesto hasta el momento, se considera que la accesibilidad y la visibilidad de las barrancas de Cuernavaca puede ser una variable que aporte información sobre la falta de efficacia de los proyectos de saneamiento, asi como de los programas de manejo y restauración de estos paisajes.

Método de cuantificación de la visibilidad

Se definió la accesibilidad pública como la cualidad de las barrancas para ser accesibles (que sea posible acercarse, entrar o tener paso) para todas las personas, sin restricción de ningún tipo. Se utiliza la noción de público en contraposición de lo privado, que es aquello "que se ejecuta a vista de pocos" (RAE 2020), y de lo accesible, que es "de fácil comprensión, inteligible" (RAE 2020). La premisa subyacente a esta cuantificación es que, si estos paisajes no son accesibles para el público en general, tampoco pueden ser observados.

Para el procesamiento cartográfico se utilizó el software ArcGis 10.3.1 y la cartográfica disponible en la página web del Observatorio Estatal de la Sustentabilidad -en adelante, OES- de la Secretaria de Desarrollo Sustentable del Estado de Morelos (2014), el Instituto Nacional de Geografia y Estadistica (Inegi 2019), asi como planos catastrales del ayuntamiento de Cuernavaca.

Se seleccionaron nueve barrancas dentro de la mancha urbana del municipio de Cuernavaca, tanto por su valor histórico como por las SIGuientes caracteristicas: que ambos márgenes estuvieran urbanizados y cuya área intersticial continua tuviera una longitud mayor o igual a dos kilómetros. El área intersticial se define como los espacios urbanos que coinciden con las hendiduras de las barrancas, y que no presentan ningún régimen de tenencia de la tierra por encontrarse entre los predios urbanos que se han constituido en torno a sus márgenes.

Las barrancas seleccionadas son: Atzingo, Tzompantle, Ahuatlán, Tetela-San Pedro, Amanalco, Tepeyahualco, Chiflón de los Caldos, Chapultepec (rio Apatlaco), asi como una barranca sin nombre6 (véase figura 2). Se excluyeron del análisis una serie de barranquillas menores repartidas por varios puntos de la ZMC, y otras de menor profundidad e importancia paisajistica (como las barrancas de Puente Blanco y la Seca, ubicadas al oriente de la ciudad y cuyas aguas son intermitentes). Tampoco se incluyó en el análisis El Tecolote (y su continuación rio El Pollo) este cauce constituye en si una barrera natural para el crecimiento de la mancha urbana hacia el occidente (y sobre el glacis de Buenavista), y por lo tanto presenta caracteristicas urbanas diferentes en uno y otro margen. El análisis se limitó al trayecto de estas nueve barrancas dentro de los limites del municipio de Cuernavaca, excluyendo sus continuaciones hacia los municipios del sur de la ZMC debido a que el relieve topográfico es cada vez menos abrupto, y por otra parte, no fue posible conseguir planos catastrales de estos municipios.

Para la cuantificación de la accesibilidad pública se llevó a cabo el SIGuiente procedimiento cartográfico con el SIG:

  1. Se eliminaron del poligono de la mancha urbana del municipio de Cuernavaca todos los poligonos correspondientes a predios y vialidades.

  2. Se revisaron uno por uno los poligonos resultantes para eliminar pequenos errores, como camellones de vialidades y otros que no coincidieran con una barranca. Lo anterior se realizó contrastando estos poligonos con un raster de pendientes elaborado a partir del Modelo Digital de Elevaciones -en adelante, MDE- e14a59me escala 1:50.000 (Inegi 2019). Los poligonos resultantes de esta operación corresponden a las áreas dentro de la mancha urbana que no tienen régimen de tenencia y no son vialidades, es decir a las ya mencionadas áreas intersticiales, o intersticios de las barrancas.

  3. Finalmente se seleccionaron todos aquellos predios directamente colindantes con estas áreas intersticiales con la finalidad de calcular el porcentaje de los perímetros que colindan con vialidades y no con predios, lo que en términos generales representa qué proporción de estas son accesibles desde el espacio público.

Para el segundo objetivo, mediante herramientas de geoprocesamiento se realizaron las intersecciones sobre la capa shapefile de usos de suelo y vegetación del OEs, utilizando como poligonos de corte los predios colindantes obtenidos mediante el procedimiento descrito anteriormente. Con esto se procedió a:

  1. Generalización de los tipos de uso de suelo y vegetación del OEs, quedando en cuatro grandes categorias: área agrícola, área vegetada, otras áreas abiertas, y área edificada, para conocer cuánto espacio construido existe en torno a las barrancas partiendo de la premisa que las edificaciones constituyen una barrera visual.

  2. La categoria de área edificada fue a su vez dividida en las subcategorias: vivienda, equipamiento e infraestructura (parques, cementerios, instalaciones deportivas, centrales de autobuses, etc.), comercio, y otros.

  3. Dado que las capas de uso de suelo y vegetación del OEs no permiten distinguir si las áreas verdes corresponden a parques (que son también equipamientos), los resultados se complementan con la información del Directorio Estadistico Nacional de Unidades Económicas -en adelante, DENUE- (Inegi 2018), asi como los parques mapeados en la investigación de Márquez (2017).

Para el tercer objetivo se define la accesibilidad visual del paisaje según el número de observadores y la cantidad del paisaje que se puede observar desde los espacios accesibles, de acuerdo a Franch-Pardo y Cancer-Pomar (2017).

La accesibilidad visual queda determinada por la cantidad de puntos de observación de acceso público (como puentes, vialidades y parques) asi como por la cuantificación del horizonte escénico que se puede observar. En este sentido, se considera que la premisa que relaciona la accesibilidad hacia las barrancas con la visibilidad de las mismas depende de las condiciones particulares de cada uno de los espacios urbanos en torno a estas.

El área seleccionada para este análisis visual se limitó al trayecto de aproximadamente 8 km que tiene la barranca de Amanalco desde los terrenos de la 24° Zona Militar (al norte), hasta su intersección en la zona sur con el Paso Express (vialidad de alta velocidad que rodea la ciudad). No se incluyó la barranquilla alimentadora que se le une a la altura del puente El Túnel (ver punto de observación n.° 2 en la Figura 6), conocida como barranca de Jiquilpan.

A continuación, se explica el procedimiento utilizado para el cálculo de la accesibilidad visual:

  1. Elaboración de un MDE de 1 m el pixel para obtener el relieve topográfico de la zona.

  2. Al modelo resultante se le aplicó la herramienta watershed para delimitar la cuenca visual, o visibilidad intrinseca, de esta barranca. Es decir, la superficie de terreno interconectada visualmente dentro de la cual un espectador es capaz de ver la mayor parte de esa porción del territorio y no el de zonas circundantes (Franch-Pardo y Cancer-Pomar 2017, 7).

  3. Considerando que se trata de un paisaje urbano altamente alterado, y de que el MDE no incluye las construcciones circundantes ni la vegetación arbórea existente, el procedimiento para obtener la cuenca visual únicamente indica la cantidad de paisaje que podria verse si no existieran estos elementos. En última instancia, esto sirve para escalar en términos generales de cuánto ha sido la pérdida de visibilidad causada por la ocupación territorial a lo largo de la historia. Por ello se ha realizado una observación de campo detallada para localizar los sitios desde los cuáles se puede observar el espacio abierto remanente, esto es, la extensión de terreno en torno a la cuenca hidrológica que no presenta edificaciones techadas y que ha quedado como resultado de este proceso histórico de expansión urbana. Dada la metodologia utilizada, el espacio abierto remanente puede corresponder tanto a jardines posteriores o áreas comunes de viviendas unifamiliares y multifamiliares, como a lotes baldios o porciones del paisaje natural endémico que ha quedado dentro de los predios o del intersticio de la barranca.

  4. Una vez identificados los puntos de acceso público desde los cuales puede observarse este espacio abierto, se procedió a aplicar en cada uno de estos la herramienta viewshed que calcula la cantidad de superficie visible del MDE desde los puntos de observación. A cada uno de estos se le aplicó una altura de observador correspondiente al espacio fisico construido desde el cual sucede esta experiencia perceptiva. Es decir que, si la experiencia visual del observador sucede desde un puente, se aplicó una altura estimada de su superficie de rodamiento (más una altura de 1,5 m para el observador) con la finalidad de que el cálculo corresponda con la experiencia real de los transeúntes.

  5. Finalmente, las superficies de paisaje observado obtenidas mediante el procedimiento anterior se recortaron para coincidir con el espacio abierto remanente con la finalidad de considerar teóricamente a las edificaciones como barreras visuales.

Resultados: paisaje natural para unos pocos habitantes

Del análisis de la accesibilidad pública de las nueve barrancas estudiadas se desprende, en primer lugar, que de los 113.748 predios existentes dentro del municipio de Cuernavaca, 4.626 (4,06 %) colindan con los intersticios de alguna de las barrancas estudiadas. Aunque este dato no se cuantificó, algunos de estos predios corresponden a grandes propiedades (tanto de dominio público como privado) que son atravesadas por los cauces de estas barrancas. El caso más paradigmático es el de los terrenos de la 24° Zona Militar al norte de la barranca de Amanalco (Figura 6).

Mapa con categorización de los usos del suelo en los predios colindantes al intersticio de la barranca de Amanalco.

Figura 6: Mapa con categorización de los usos del suelo en los predios colindantes al intersticio de la barranca de Amanalco.

Nota: los números en rojo corresponden a los puntos de accesibilidad visual de la barranca (ver Figura 8).

Tabla 1: Accesibilidad pública por barranca de Cuernavaca

Barranca N° de polígonos intersticiales Superficie total intersticios (m2) Cantidad de predios colindantes Perímetro total de los intersticios (m) Accesibilidad pública (%)
Atzingo 20 482.625,93 367 15.658,30 10,67
Sin nombre 1 32.118,20 91 4.750,33 0,00
Tzompantle 6 149.153,18 255 10.396,99 5,17
Ahuatlán 6 194.485,06 242 15.978,16 20,12
Tetela - San Pedro 20 448.485,17 738 33.773,81 8,90
Amanalco 45 533.416,91 1561 52.900,31 8,30
Tepeyahualco 10 152.108,19 442 12.059,12 10,35
Chiflón de los Caldos 7 103.876,37 514 10.471,63 9,31
Chapultepec 16 363.065,13 * 415 23.196,83 12,69
Totales 131 2.459.334,14 4.625 179.185,52 9,50 ± 5,44*

Nota: *se presenta el promedio y la desviación estándar.

En la Tabla 1 se presentan los resultados del cálculo de accesibilidad pública para cada una de las nueve barrancas estudiadas, en donde se puede observar que en promedio sus intersticios pueden ser accedidos desde el 9,5 % ± 5,44 % de sus perimetros. Es decir que en promedio los intersticios de todas las barrancas están rodeados por propiedades en más del 90 % de sus perimetros.

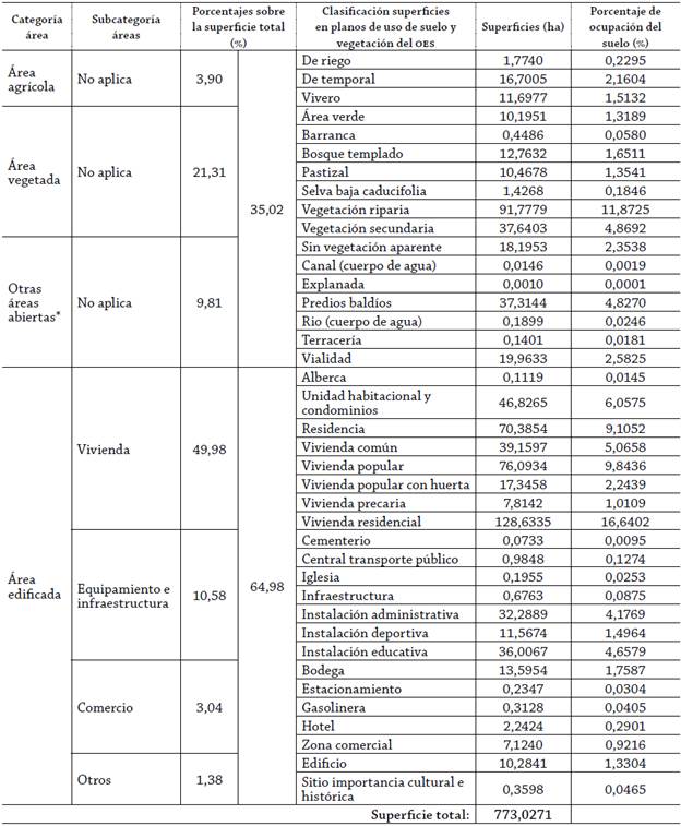
Ahora bien, los resultados del segundo objetivo (análisis del uso del suelo y estimación del porcentaje destinado a equipamiento urbano de acceso público) indican que los 4.625 predios colindantes a las barrancas suman una superficie total de 773,02 ha (Tabla 2), y que el uso de suelo y la vegetación se distribuye de la SIGuiente manera:

Tabla 2: Categorización del uso del suelo en predios colindantes a barrancas

Nota: *algunas infraestructuras como vialidades y canales se categorizaron como otras áreas abiertas, teóricamente no representan barreras visuales.

Como se puede ver, el 64,98 % de la superficie de los predios colindantes a los intersticios de las nueve barrancas analizadas corresponde a la categoria de áreas edificadas, con una notoria proporción (49,98 %) destinada a vivienda, es decir a suelo urbano de uso privado. Asi mismo, una proporción muy baja (1,49 %) de la superficie está destinada a equipamientos urbanos recreativos y culturales (categoria equipamiento e infraestructura, véase tabla 2), mismos que con la información actual no es posible saber si pertenecen al sector público o privado.

Por otra parte, existe un 35,02 % de áreas abiertas (áreas vegetadas, áreas agrícolas y otras áreas abiertas), es decir, suelo urbano no edificado. No todas estas áreas abiertas son forzosamente de acceso público, como son las áreas de uso agricola y clasificaciones como predios baldios y sin vegetación aparente que hemos incluido en la categoria de otras áreas abiertas. En la Figura 6 se ejemplifican estas distribuciones en el caso de la barranca de Amanalco, y se puede observar claramente cómo este suelo urbano no edificado puede estar en torno a los cauces de las barrancas y rodeada por las áreas edificadas, dentro de lotes baldios o predios construidos (como es el caso de las instalaciones de la 24° Zona Militar, que es un predio de dominio público, pero de acceso restringido).

En los planos del OEs no aparecen clasificaciones que correspondan a parques urbanos privados o públicos, por lo que desde esta metodologia no parece existir este tipo de equipamiento que garantice el acceso público y la visibilidad de las barrancas.

Ahora bien, de la consulta del DENUE7 asi como de la investigación de Márquez (2017) se desprende que si existen tres espacios que fungen como parques urbanos en el área de estudio: el Parque Estatal Urbano Barranca de Chapultepec (PEUBC), el Paseo Ribereno Alfonso Sandoval Camunas y el Paseo Ávila Camacho (Figura 7).

Paseo Ávila Camacho, en la barranca de Tetela-San Pedro.

Figura 7: Paseo Ávila Camacho, en la barranca de Tetela-San Pedro.

Fotografia de Stephane Arriola-Ponsin, junio de 2020.

Sin embargo, a esta lista (Tabla 3) habria que agregar el Salto de San Antón, que es una cascada dentro de la barranca de Tepeyahualco que es reconocida como un atractivo turistico de Cuernavaca.

Tabla 3: Parques colindantes o dentro de las barrancas estudiadas

Nombre Superficie (m2) Tipo de acceso Barranca Condición actual
Parque Estatal Urbano Barranca de Chapultepec (PEUBC) 115.900* Público condicionado Chapultepec En operación
Salto de San Antón * Público condicionado Tepeyahualco En operación, pero con graves problemas de contaminación del agua y seguridad
Paseo Ribereno Alfonso Sandoval Camunas** * Público Amanalco Cerrado desde el 2017
Paseo Ávila Camacho 1.904 Público Tetela-San Pedro En operación, con graves problemas de contaminación y seguridad

Nota: * todos estos parques están dentro de las áreas intersticiales de sus barrancas y, por eso, no aparecen en los planos de usos de suelo y vegetación del OEs. El Parque Estatal Urbano Barranca de Chapultepec (PEUBC) es el único que tiene un predio bien definido. ** Recorrido de aproximadamente 350 m dentro de la barranca de Amanalco que va desde el puente Porfirio Diaz hasta el puente de los Arcos o de Los Lavaderos (puntos 4 y 5 de la Figura 8).

Al observar los datos de la anterior tabla es un hecho que el acceso a una barranca en el área de estudio está condicionado, y que ninguna de las áreas categorizadas como áreas vegetadas corresponde a parques, excepto el Paseo Ávila Camacho que si se encuentra dentro de un predio colindante a los intersticios.

Finalmente, del cálculo de visibilidad intrinseca realizado en la barranca de Amanalco se desprenden los resultados que a continuación se describen. La cuenca visual suma una superficie de 900,53 ha, pero de esta cuenca 742,47 ha (el 82,44 %) ya están urbanizadas y obstruyen la visibilidad de la barranca (Figura 8). Por otra parte, en torno al cauce de la barranca el área verde remanente (o espacio abierto) es de 135,77 ha, de las cuales únicamente 29,06 ha corresponden al área intersticial. En concordancia con los resultados del objetivo 2, las 106,71 ha de área verde restantes están en propiedades privadas (4.006 casas), o tienen el acceso restringido al público (áreas verdes dentro de la 24° Zona Militar, que suman aproximadamente 50 ha).

Mapa del área de estudio en la barranca de Amanalco, Cuernavaca, y resultados del análisis de visibilidad.

Figura 8: Mapa del área de estudio en la barranca de Amanalco, Cuernavaca, y resultados del análisis de visibilidad.

Nota: los números corresponden a los SIGuientes puntos de accesibilidad visual pública: 1. Puente en Av. Paseo del Conquistador (construido en 2003), 2. Puente El Túnel (construido a principios de 1900), 3. Puente del Diablo (Siglo XVI), 4. Puente Porfirio Diaz (principios de 1900), 5. Puente de los Arcos o de los Lavaderos (puente colonial cuyos arcos fueron construidos en 1790), 6 y 7 Av. López Mateos, 8. Puente de la calle Salazar (no se localizaron referencias históricas) y 9. Puente de la calle Gutemberg (no se localizaron referencias históricas).

En el trayecto analizado el perimetro del intersticio tiene 21.589,27 m y es accesible desde vialidades públicas en 1.177,23 m de este. Es decir que en este tramo la accesibilidad pública se reduce al 5,45 % en contraste con el 8,30 % que resultó de su medición total. Lo anterior se debe principalmente a que muchas de las bocacalles que rematan en la barranca, y que inicialmente se incluyeron en la cuantificación, se encuentran cerradas de facto por parte de los vecinos e impiden el acceso público. Asi mismo se localizaron otras barreras visuales, principalmente edificaciones o mobiliario urbano.

Este porcentaje de accesibilidad corresponde a 9 espacios públicos desde los cuales esta barranca puede ser observada (véase figura 8), principalmente (8 de las 9) desde los distintos puentes que la atraviesan de oriente a occidente y que presentan una alta carga vehicular, esto a pesar de tratarse de infraestructuras de alto valor histórico. La excepción es un tramo de la Av. Adolfo López Mateos que corre paralela a la barranca y donde son escasas las banquetas peatonales (puntos 6 y 7 de la figura 8).

Desde estos 9 puntos la accesibilidad visual pública es 13,51 ha, es decir que los ciudadanos de Cuernavaca solo pueden observar desde estos el 9,95 % del espacio abierto que se encuentra en el intersticio y dentro de las distintas propiedades (principalmente áreas verdes), por lo que este paisaje es escasamente observable desde unos contados espacios cuya imagen urbana está altamente deteriorada (Figura 9).

Discusión

La ciudad de Cuernavaca tiene un paisaje muy particular debido, fundamentalmente, a la singular topografia de sus barrancas, lo que ha permeado la forma en que se ha urbanizado. En este proceso las barrancas han resultado una barrera fisica, lo que en tiempos prehispánicos funcionaba como defensa, y actualmente con el programa de desarrollo urbano vigente desde 2006, que las considera "bordes urbanos". Dicho programa solamente toma en cuenta su saneamiento y la construcción de puentes sobre ellas en sentido oriente poniente, lo cual limita su concepción para integrarlas en el desarrollo de la ciudad. Se detecta pues una ausencia del concepto de paisaje y del patrimonio natural en la planeación urbana de Cuernavaca.

Si bien a partir de 2018 se reconocen como patrimonio natural de la ciudad, al decretarlas como áreas municipales protegidas, con un plan de manejo que contempla en sus acciones el desarrollo turistico, este no toma en cuenta el tema de su accesibilidad y su visibilidad, y de que las barrancas se encuentran restringidas en estos aspectos, tal como lo indican los resultados.

A pesar de las disparidades en los resultados entre las distintas barrancas estudiadas, que van desde 0 % de accesibilidad (barranca "Sin nombre") hasta un 20,12 % (barranca de Ahuatlán), el promedio de accesibilidad ronda un poco más del 9 %. Lo anterior como consecuencia de que el espacio urbano en torno a estas se ha estructurado funcionalmente tanto de manera informal como mediante criterios mercantilistas impuestos por los desarrolladores inmobiliarios. En el caso más extremo que es la barranca "Sin nombre", ha resultado en la lotificación de la totalidad de sus márgenes, imposibilitando asi el acceso para los habitantes y los turistas de la ciudad y privatizándola de facto para los 91 propietarios de estos lotes.

Puente El Túnel en 1904 y en la actualidad.

Figura 9: Puente El Túnel en 1904 y en la actualidad.

Fuente: izq. Landa (2008, 69), der. fotografia de Stephane Arriola-Ponsin, mayo de 2019.

En el caso contrario (barranca de Ahuatlán), y dada la metodologia aplicada, porcentajes de accesibilidad altos revelan que en torno a estas barrancas se disenaron urbanizaciones con más vialidades flanqueando sus márgenes y por lo tanto posibilitando la visibilidad de estas por parte de todos los habitantes que por ahi pasen. Sin embargo, e independientemente de la calidad de las vialidades como espacios urbanos apropiados para la contemplación del paisaje, un promedio de 9,50 % de acceso público para todas las barrancas estudiadas senala claramente que hoy en dia existe en Cuernavaca un problema de segregación social en cuanto a las posibilidades de apreciarlas. Lo anterior en el doble sentido de la palabra, la de percibirlas a través de los sentidos y la de sentir afecto o estima.

Con los resultados del análisis del uso del suelo en los predios que colindan con los intersticios de las barrancas se confirma primero que no es poca la superficie urbana susceptible de ser abordada desde esta perspectiva del acceso y la visibilidad, pues sus 773,02 ha representan el 9,33 % del total de suelo urbano del municipio de Cuernavaca. En segundo lugar, también se confirma que este suelo urbano ha sido destinado primordialmente para uso habitacional de la clase media y alta (36,85 %), lo que asi puede interpretarse si se suman las clasificaciones de uso de suelo (véase tabla 2) denominados como residencia, vivienda residencial, vivienda común, unidad habitacional y condominio. Este porcentaje contrasta con el 12,08 % de las clasificaciones denominadas como vivienda popular.

Además, la poca diversidad de usos de suelo en torno a las barrancas, y el tipo de equipamientos urbanos existentes, constituyen un claro indicador de que la ciudad carece de una visión a largo plazo que incluya estos paisajes como recurso escénico para mejorar la calidad de vida de todos sus ciudadanos, asi como para aumentar su atractivo turistico. Por ejemplo, dentro del pequeno porcentaje destinado a equipamientos (10,58 %) predominan las instalaciones administrativas y educativas con un 83 % del porcentaje relativo a esa superficie. De la misma manera resalta que el 58 % de la superficie destinada a comercio (únicamente el 3,04 % del total) sea para bodegas.

Todos estos equipamientos y usos comerciales son poco compatibles con las actividades recreativas pues se caracterizan por tener horarios reducidos de operación y generar espacios urbanos muertos e inseguros fuera de esos horarios. A lo anterior se suma una evidente carencia de espacios recreativos de acceso no condicionado desde los cuales disfrutar y apreciar las barrancas, pues en la actualidad los ciudadanos y visitantes prácticamente no disponen de estos y solo lo pueden hacer desde el Parque Estatal Urbano Barranca de Chapultepec (PEUBC) en ciertos horarios y pagando la entrada. De esta misma manera el Salto de San Antón, que cuenta con una cascada de más de cuarenta metros y que en sus mejores tiempos fue un atractivo turistico, hoy se encuentra totalmente deteriorado por la contaminación (Garcia et ál. 2007).

Estos primeros resultados senalan que a la problemática ya mencionada por varios autores (Garcia, Torres y Jaramillo 2007; Narciso y Marambio 2014; Olivera 2018) sobre las consecuencias medioambientales y urbanas de la ausencia o inefficacia de la planeación urbana y territorial en la ZMC, además de la presión inmobiliaria para imponer dentro de su territorio un modelo disperso de baja densidad (sobre todo para segundas residencias), también se puede agregar la pérdida de acceso público a estos paisajes identitarios, lo que aporta una lectura diferente sobre el mismo problema.

Sumado a todo lo anterior se debe considerar que la calidad de vida de esta urbe podria mejorar tomando en cuenta que en los intersticios de las barrancas existen 245,93 ha de áreas verdes (véase tabla 1) aprovechables para mejorar el espacio urbano público.

Ahora bien, los resultados del objetivo tres revelan que, hoy en dia, la experiencia perceptiva diaria de la población desde espacios públicos de acceso no condicionado en la barranca de Amanalco se limita, por lo menos en lo visual, a una pequena porción del paisaje (9,95 % del espacio abierto) que solo se puede ver desde nueve espacios urbanos de vocación vehicular.

Sin embargo, cabe senalar que los resultados de la barranca de Amanalco no pueden ser generalizables para las demás, ni tampoco puede establecerse una correlación exacta entre accesibilidad y visibilidad, por cuanto, finalmente la visibilidad estará determinada por las condiciones topográficas y urbanas particulares de cada una de estas. A pesar de lo anterior, es indudable que esta situación de falta de acceso generalizada se traduce en una disminución de la accesibilidad visual y, en consecuencia, que estos paisajes ya no formen parte de la vida cotidiana de los habitantes de la urbe.

Si bien existen investigaciones que utilizan métodos indirectos para evaluar las percepciones y las valoraciones del paisaje como instrumento para la planeación territorial y la gestión ambiental (Muñoz-Pedreros 2004; Barrasa Garcia 2013; Serrano Giné 2015), no se ha localizado en la documentación de este trabajo estudios que relacionen directamente la pérdida de accesibilidad visual del paisaje con cambios en la valorización, las actitudes y los comportamientos en relación con estos. Aun asi, en el caso de las barrancas de la ciudad de Cuernavaca, los resultados aqui expuestos justifican plenamente esfuerzos coordinados desde las distintas instituciones gubernamentales y académicas interesadas para investigar de manera interdisciplinar las consecuencias de estas limitaciones visuales en la percepción y la valoración ciudadana de estos paisajes. Dados los antecedentes teóricos, este tipo de trabajos podrian aportar lineas de investigación para mejorar la efficacia de los proyectos y programas de rescate de las barrancas urbanas de la zona de estudio, asi como para entender cómo se relaciona esto con la receptividad y la participación social en ellos.

También vale mencionar que el método de análisis indirecto aplicado al estudio de estos paisajes antropo-naturales es de fácil aplicación y sumamente informativo, requiere de mejor información de base, en este trabajo se han tenido que combinar distintas fuentes (incluyendo la observación de campo) para subsanar en la medida de lo posible las imprecisiones de la cartografia consultada. Tal es el caso de la Carta Urbana de Cuernavaca, misma que a pesar de ser la cartografia ideal para analizar los usos de suelo y los destinos especificos de los predios, no pudo ser usada por no presentar esta información.

Debido a que esta situación se puede presentar en otros casos de estudio, para obtener resultados sobre la visibilidad del paisaje que incluyan con mayor precisión otras barreras visuales (tales como edificaciones y vegetación arbórea) se recomienda ampliamente tener como insumo inicial un MDE de alta resolución LiDAR o de pares estereoscópicos.

Finalmente, la accesibilidad visual puede orientar tanto la planeación territorial y urbana, como a las distintas normativas municipales y estatales, asi como grandes proyectos de renovación de las ciudades. Asi lo demuestran algunos ejemplos en paises como España (Consejeria del Medio Ambiente y Ordenación del Territorio 2018) y Holanda (Nijhuis, Lammeren y Hoeven 2011), donde este último cuenta con una amplia tradición paisajistica tanto en la representación como en el estudio del paisaje.

Conclusiones: rescatar el paisaje invisibilizado como estrategia urbana

La zona noroeste de la ciudad de Cuernavaca, donde se ubican las profundas barrancas que históricamente le han aportado carácter e identidad a la capital del estado de Morelos, ha sido victima de un modelo urbano mercantilista y poco planificado en el contexto de una acelerada expansión urbana, en menos de un Siglo la ciudad pasó de tener poco más de 40.000 habitantes8 en la cabecera municipal al actual millón de la zona conurbada.

La ciudad tiene un atraso de décadas en cuanto a planeación, por lo que requiere de un gran esfuerzo y coordinación en diferentes esferas de toma de decisiones. Es asi que el acceso público y la visibilidad de sus barrancas pueden funcionar como ejes rectores para instrumentar distintas estrategias urbanas que pongan otra vez en valor estos hermosos, caracteristicos e importantes paisajes, reincorporándolas al paisaje urbano con una visión más justa y equitativa.

En el nuevo paradigma sobre la relación entre la ciudad y la naturaleza, los rios urbanos (y por lo tanto las barrancas) son una oportunidad para realizar proyectos de desarrollo sustentable porque estos pueden "ser un excelente conector entre diferentes puntos de interés de la ciudad, el elemento central de extensos parques lineales, puntos de atracción turistica, [y] artifices para proyectos de mejoramiento barrial" (Zamora 2010, 38).

Además, en el caso particular de las barrancas de Cuernavaca, estas funcionan como corredores biológicos entre otras importantes áreas naturales protegidas del centro de México (Corredor Biológico Chichinautzin y Reserva de la Biosfera Sierra de Huautla), con lo que ayudan al mantenimiento de la biodiversidad en la cuenca alta del rio Balsas y sus procesos ecosistémicos asociados.

Hoy más que nunca todas las ciudades del mundo afrontan grandes retos en distintas dimensiones (sanitarias, ambientales, sociales y económicas), y en ese sentido la Conferencia de las Naciones Unidas sobre la Vivienda y el Desarrollo Urbano Sostenible (ONU-Habitat 111 2017) plantea que no es una opción, es imperativo, repensar la forma en que se planifican, construyen y gestionan los espacios urbanos. Al respecto de los paisajes antropo-naturales, los cambios suceden tan rápido que la sociedad en su conjunto apenas puede asimilarlos.

Por lo anterior, conceptualizar al paisaje como un bien colectivo (IFLA Américas/Conferencia Regional 2018) puede ser una opción acertada, si se considera que Mirzoeff (2015), uno de los principales exponentes de los estudios de la cultura visual, explica que en la cultura global actual lo visual predomina el orden sensorial, y que por ello no hay nada más poderoso que una imagen, por cuanto "ver es pensar".

Es asi como la pérdida de visibilidad de los paisajes debido a la indiscriminada construcción de todo tipo de infraestructuras y edificaciones deberia de ser considerada un asunto de vital importancia y de apremiante atención en una sociedad cada vez más desterritorializada.

Acknowledgements

Agradecimientos

Agradecemos a Dr. Miguel Ángel Cuevas Oloascoaga, profesor investigador de la Maestria en Estudios Territoriales, Paisaje y Patrimonio de la Universidad Autónoma del Estado de Morelos (UAEM-Facultad de Arquitectura), por alentar la producción de este articulo, además, por sus desinteresadas revisiones y aportaciones al mismo. A la Dra. Patrizia Granziera, de la Facultad de Artes (UAEM), por sus precisiones sobre los aspectos históricos. Al Consejo Nacional de Ciencia y Tecnologia (CONACYT) de México por la beca de apoyo para estudios de postgrado.

Referencias

  1. Ayuntamiento de Cuernavaca. 2006. "Programa de desarrollo urbano de centro de población del municipio de Cuernavaca 2003-2006." Consultado el 14 de septiembre de 2021. http://obum.zmcuernavaca.morelos.gob.mx/metadata/cuernavaca/PDUCPMC_memoria.pdf [URL] 🠔
  2. Ayuntamiento de Cuernavaca. 2015. "Programa de manejo y educación ambiental del área bajo conservación denominada -Barrancas urbanas de Cuernavaca-." Consultado el 14 de septiembre de 2021. http://www.cuernavaca.gob.mx/wp-content/uploads/2013/09/Barrancas_Urbanas.pdf [URL] 🠔
  3. Barrasa Garcia, Sara. 2013. "Evaluación y cartografia de paisa-jes visuales en planificación ambiental." En La política de ordenamiento territorial en México: de la teoria a la práctica, editado por Maria Teresa Sánchez Salazar, Gerardo Bocco Verdinelli y José Maria Casado Izquierdo, 221-41. México: IGg UNAM, CIGA, SEMARNAT, INECC. 🠔
  4. Boils Morales, Guillermo. 2017. "Los puentes del diablo y la arquitectura novohispana." Academia XXII 8 (15): 160-183. 🠔
  5. Briceno Avila, Morella, Hellen Izquierdo, José Raúl Tamayo, Anabela Sánchez, Ernesto Antonio Ponsot Balaguer, Luis Alberto Camacho, Rosalba Ulloa, y Franklin Patino. 2019. "Proceso metodológico para la valoración de la calidad visual del paisaje urbano del centro histórico de la ciudad de Ibarra, Ecuador." Axioma. Revista de docencia, investigation y proyección social, no. 19 (abril), 97-110. 🠔
  6. Calleja Martinez, Marco Antonio. 2016. "Elementos materiales y normativos del patrón de crecimiento urbano en Cuernavaca, Morelos." Tesis de maestria en Estudios Territoriales, Paisaje y Patrimonio, Universidad Autónoma del Estado de Morelos, Cuernavaca. 🠔
  7. Capel, Horacio. 1973. "Percepcion del medio y comportamiento geográfico." Revista de geografia 7 (1): 58-150. 🠔
  8. Consejeria del Medio Ambiente y Ordenación del Territorio. 2018. Guia para el tratamiento del paisaje en la planeación urbanistica. Manual de buenas prácticas. Consultado el 14 de septiembre de 2021. https://www.juntadeandalucia.es/medioambiente/portal_web/web/servicios/centro_de_documentacion_y_biblioteca/fondo_editorial_digital/documentos_tecnicos/guia_trat_paisaje_planif_urbanist/ guia_pp_vi_2019 011.pdf [URL] 🠔
  9. Delgadillo Macias, Javier, y José Luis Sámano Muñoz. 2018. "La integración regional del territorio Morelense." En Estado de Morelos. Dimensiones del desarrollo y la planeación regional y metropolitana, coordinado por Javier Delgadillo Macias, 25-94. México: UNAM-CRIM. 🠔
  10. Fernández-Christlieb, Federico. 1984. "El nacimiento del con-cepto de paisaje y su contraste en dos ámbitos culturales: el viejo y el nuevo mundo." En Perspectivas sobre el paisaje, editado por Susana Barrera Lobatón y Julieth Monroy Hernández, 55-79. Bogotá: Universidad Nacional de Colombia. 🠔
  11. Folch, Ramon, y Josepa Bru. 2017. Ambiente, territorio y paisaje. Valores y valoraciones. España: Editorial Barcino y Fundación AQUAE. 🠔
  12. Franch-Pardo, Iván, y Luis Cancer-Pomar. 2017. "El componente visual en la cartografia del paisaje. Aptitud paisajistica para la protección en la cuenca del rio Chiquito (Morelia, Michoacán)." Investigaciones Geograficas, no. 93 (agosto). https://doi.org/10.14350/rig.54730 [URL] 🠔
  13. Garcia Barrios, José Raúl, Valdemar Diaz Hinojosa, Lorena Cortés Vázquez, Guadalupe Torres Godinez, José Salazar Guzmán, Fernando Jaramillo Monroy, Rodrigo Morales Vázquez, Gabriela Miranda Garcia, José Luis Alquiciras Solis,Carmen Tora Wiltshire Henriquez, David Pineda Fernández, Medardo Tapia Uribe, Gabriela Torres Gómez, César Anorve Millán, Juan Manuel Zaragoza Contreras,Oscar Pohle Morales y Marco Garzón Zúniga. 2007. "Rescatando el Salto de San Antón: una historia reciente de construcción institucional." Economia Mexicana. Nueva Época XVI, no. 2, 307-336. 🠔
  14. Garcia Barrios, José Raúl, Martha Gabriela Torres Gómez, y Fernando Jaramillo Monroy. 2007. Las barrancas de Cuernavaca. Consultado el 14 de septiembre de 2021. http://www2.inecc.gob.mx/dgipea/descargas/pon_barranca_ cuernavaca.pdf [URL] 🠔
  15. Garcia Cortés, Adrián. 1975. Los murales del Casino de la Selva. Editado por Manuel Quesada Brandi. Cuernavaca: Manuel Quesada Brandi Editor, s.a. 🠔
  16. IFLA Américas (International Federation of Landscape Architects). 2018. Carta del paisaje de las Américas. Descubrir los Paisajes de las Américas: diseñar, planificar, conservar y gestionar. Conferencia Regional. Consultado el 14 de septiembre de 2021. https://www.ufpe.br/do-cuments/39726/0/08.Carta+de+las+Americas_final_12. pdf/ic7926b7-4667-4bee-ae7b-fce008af9f9b [URL] 🠔
  17. Inegi (Instituto Nacional de Estadistica y Geografia). 2018. Directorio Estadistico Nacional de Unidades Económicas-DENUE. Consultado el 14 de septiembre de 2021. https://www.inegi.org.mx/app/mapa/denue/default.aspx [URL] 🠔
  18. Inegi (Instituto Nacional de Estadistica y Geografia). 2019. Conjunto de datos vectoriales. Aguascalientes. Consultado el 14 de septiembre de 2021. https://www.inegi.org.mx/app/mapas/default.html?t=0000000000000000&ag=i5 [URL] 🠔
  19. Jacobs, Maarten. 2006. "The Production of Mindscapes: A Comprehensive Theory of Landscape Experiencie." Tesis de Ph.D, Universidad de Wageningen, Wageningen. 🠔
  20. Landa Ávila, Juan José, ed. 2008. Vida y paisajes de Cuernavaca 1841-1991. Cuernavaca: edición del autor. 🠔
  21. Márquez Tlacuilo, Raúl. 2017. "Accesibilidad, conectividad y distribución territorial de las áreas verdes urbanas en Cuernavaca, Morelos." Tesis de maestria en Estudios Territoriales, Paisaje y Patrimonio, Universidad Autónoma del Estado de Morelos, Cuernavaca. 🠔
  22. Martinez Ruiz, José Luis, Teresa Rojas Rabiela y Daniel Murillo Licea. 2009. Cultura hidráulica y simbolismo mesoamericano del agua en el México prehispánico. Jiutepec: Instituto Mexicano de Tecnologia del Agua (IMTA), Centro de Investigaciones y Estuidos Superiores de Antropologia Social (CIESAS). 🠔
  23. Mateo Rodriguez, José Manuel. 2006. "La concepción sobre los paisajes vista desde la geografia." Boletim de Geografia 24 (1), 01-26. https://doi.org/10.4025/bolgeogr.v2411.12492 [URL] 🠔
  24. Medina, Jaime. s.f. "Barranca de Amanalco en Cuernavaca Morelos." Pinterest. Consultado el 14 de septiembre de 2021. https://www.pinterest.com.mx/pin/5277724537733422/ [URL] 🠔
  25. Mirzoeff, Nicholas. 2015. Cómo ver el mundo. Una nueva introducción a la cultura visual. Traducido por Pablo Hermida Lazcano. España: Paidós. 🠔
  26. Montes-Mata, Giovanni Marlon, y Rafael Monroy-Ortiz. 2020. "Ravines of 'Eternal Spring', the Second Drainage System of Cuernavaca." En Water Availability and Management in Mexico, editado por Elena Maria Otazo-Sánchez, Amado Enrique Navarro-Frómeta, y Vijay P. Singh, 485-509. Cham: Springer. https://doi.org/10.1007/978-3-030-24962-5 [URL] 🠔
  27. Morales Moreno, Luis Gerardo. 2011. "Introducción. Eterna primavera (nunca eres)." En Historia de Morelos. Tierra, gente, tiempos del sur: historiografia, territorio y region. México: Congreso del Estado de Morelos LI Legislatura, UAEM, Ayuntamiento de Cuernavaca, Instituto de Cultura de Morelos. 🠔
  28. Munson-Williams-Proctor Arts Institute. s.f. "19th-Century American Painting and Sculpture." Pinterest. Consultado el 14 de septiembre de 2021. https://www.pinterest.com.mx/pin/467741111272187819/ [URL] 🠔
  29. Muñoz-Pedreros, Andrés. 2004. "La evaluación del paisaje: una herramienta de gestión ambiental." Revista Chilena de Historia Natural 77 (1): 139-156. http://dx.doi.org/10.4067/S0716-078X2004000100011 [URL] 🠔
  30. Muñoz-Pedreros, Andrés, Juan Moncada-Herrera, y Alberto Larrain. 2000. "Variación de la percepción del recurso paisaje en el sur de Chile." Revista Chilena de Historia Natural 73 (4): 729-738. http://dx.doi.org/10.4067/S0716-078X2000000400015 [URL] 🠔
  31. Narciso Filipe, Carla, y Alejandro Marambio. 2014. "La producción periférica de vivienda masiva y el impacto socioespacial de las estrategias neoliberales en ciudades medias mexicanas. Reflexiones desde Cuernavaca, Morelos." URBS: Revista de Estudios Urbanos y Ciencias Sociales 10 (1): 81-92. 🠔
  32. Nijhuis, Steffen, Ron Von Lammeren, y Frank Van der Hoeven, ed. 2011. Exploring the visual landscape. Advances in physiognomic landscape research in The Netherlands. vol. 2, Research in urbanism series. Netherlands: IOS Press. 🠔
  33. Nogué i Font, Joan. 2010. "El paisaje en la ordenación del territorio. La experiencia del Observatorio del Paisaje de Cataluna." Estudios Geográficos 71 (269): 415-448. https://doi.org/10.3989/estgeogr.201014 [URL] 🠔
  34. Ocampo-Ramirez, César Mauricio. 2015. "Efectos de la cobertura urbana sobre la actividad de murciélagos insectivoros aéreos en las barrancas de Cuernavaca." Tesis de maestria en Biologia Integrativa de la Biodiversidad y la Conservación, Universidad Autónoma del Estado de Morelos, Cuernavaca. 🠔
  35. Olivera Lozano, Guillermo, y Marcos Antonio Rodriguez. 2014. "La incorporación de suelo al desarrollo urbano de Cuernavaca, Morelos y sus efectos en los mercados de suelo regular e irregular." En Suelo, estructura y movilidad urbana, editado por Javier Chávez, 93-113. Ciudad Juárez: Universidad Autónoma de Ciudad Juárez. 🠔
  36. Olivera Lozano, Guillermo. 2018. "Continuidad de la urbanización informal en los espacios de pobreza metropolitanos, rémora del desarrollo y déficit de la politica de vivienda: Cuernavaca, México." Territorios, no. 39, 97-133. https://doi.org/10.12804/revistas.urosario.edu.co/territorios/a.5412 [URL] 🠔
  37. ONU-Habitat, INFONAVIT y SEDATU (Programa de las Naciones Unidas para los Asentamientos Humanos, Instituto del Fondo Nacional de la Vivienda para los Trabajadores y Secretaria de Desarrollo Agrario, Territorial y Urbano). 2016. Indice Básico de las Ciudades Prósperas, Cuernavaca, Morelos, México. México: ONU-Habitat, INFONAVIT y SEDATU. 🠔
  38. ONU-Habitat III. 2017. Nueva Agenda Urbana. Ecuador: Naciones Unidas, Secretaria de Habitat III. 🠔
  39. Ramirez Velázquez, Blanca Rebeca, y Liliana López Levi. 2015. Espacio, paisaje, región, territorio y lugar: la diversidad en el pen-samiento contemporáneo. México: UNAM y UAM-Xochimilco. 🠔
  40. RAE (Real Academia Española). s.f. Diccionario de la lengua española, actualiación 2020. DLE. Consultado el 14 de septiembre de 2021. https://dle.rae.es [URL] 🠔
  41. Rey Pérez, Julia. 2017. "Del patrimonio como objeto arquitec-tónico hacia la patrimonialización del paisaje: un recorrido por las cartas y textos internacionales del patrimonio cultural." Estoa, Revista de la Facultad de Arquitectura y Urbanismo de la Universidad de Cuenca 6 (10): 35-48. https://doi.org/10.18537/est.v006.n010.04 [URL] 🠔
  42. Rubio Medina, Estela Lucrecia. 2012. "Plan de dinamización turistico-cultural; Cuernavaca, Morelos." En Gestión del patrimonio arquitectónico, cultural y medioambiental. Enfoques y casos prácticos, editado por Lucrecia Rubio y Gabino Ponce, 203-214. España: Publicaciones de la Universidad de Alicante. 🠔
  43. Ruiz Rodriguez, Marina, ed. 2017. Poéticas de la barranca. Literatura e imagen comunitaria. Cuernavaca: Astrolabio Editorial. 🠔
  44. Secretaria de Desarrollo Sustentable del Estado de Morelos. 2014. "Sistema Estatal de Información Ambiental y de Recursos Naturales." Observatorio Estatal de la Sustentabilidad. Consultado el 14 de septiembre de 2021. http://obum.zmcuernavaca.morelos.gob.mx/metadata/morelos/POEREM/Metadatos_Morelos_OET.htm [URL] 🠔
  45. Serrano Giné, David. 2015. "Valoración escénica de paisaje periurbano con utilidad en planeamiento territorial. Estudio de caso en la Región Metropolitana de Barcelona." Investigaciones geográficas 2015 (88), 109-121. https://doi.org/10.14350/rig.45090 [URL] 🠔
  46. Sisniega Aspe, Vera Carolina. 2018. El renacimiento de Cuernavaca. Historia de la ciudad de 1930 a 1934. Tesis de licenciatura en Historia, Instituto de Cultura Helénico, México D.F. 🠔
  47. Smith, Michael E. 2010. "La época posclásica en Morelos: sur-gimiento de los Tlahuica y Xochimilcas." En Historia de Morelos. Tierra, gente, tiempos del Sur, tomo II La Arqueologia en Morelos. Dinámicas sociales sobre las construcciones de la cultura material, coordinado por Sandra L. López Varela, 131-156. México: Comisión Especial de Colaboración a los Festejos del Bicentenario de la Independencia de nuestro pais y Centenario de la Revolución Mexicana, Congreso del Estado de Morelos-LI Legislatura-Universidad Autónoma del Estado de Morelos-Ayuntamiento de Cuernavaca-Instituto de Cultura de Morelo. 🠔
  48. Sosa Sánchez, Gabriela. 2011. "Biografia politica del coronel Manuel Alarcón, gobernador porfirista de Morelos, 18941908." En Historia de Morelos. Tierra, gente, tiempos del sur , tomo IV Creación del Estado, leyvismo y porfiriato, coordinado por Horacio Crespo, 227-257. México: Universidad Autónoma del Estado de Morelos. 🠔
  49. Zamora Saenz, Itzkuauhtli. 2010. "Algunos principios en el rescate de rios urbanos." En Rescate de rios urbanos. Propuestas conceptuales y metodológicas para la restauración y rehabilitación de rios, editado por Arsenio González Reynoso, Lorena Hernández Muñoz, Manuel Perló Cohen e Itzkuauhtli Zamora Saenz, 36-49. México: UNAM, PUEC, Coordinación de Humanidades. 🠔
Garcia (1975) y Moreno (2011) aseguran que Lucas Alamán (1792-1853), Ignacio Comonfort (1812-1863) y Benito Juárez (1806-1872) acostumbraban a descansar en Cuernavaca. Asi mismo, es bien conocida la elección del emperador Maximiliano de Habsburgo y su esposa Carlota de establecer su residencia de descanso en una finca abandonada frente a la Catedral de Cuernavaca (el actual Jardin Borda) durante su breve Imperio Mexicano (1864-1867).
Lowry inició en Cuernavaca la escritura de su famosa novela "Bajo el volcán", retratando la vida de la ciudad en los anos 30 y mencionando las barrancas.
Según Boils Morales (2017), el puente del Diablo (que cruza la barranca de Amanalco a menos de un kilómetro y médio del centro de la ciudad) bien podria ser una de las estructuras más antiguas de este tipo erigidas por los conquistadores.
Superficie de área verde total que existe en una ciudad (m2) por habitante. Se definen como áreas públicas o privadas con elementos de flora como plantas, árboles y césped, por ejemplo, bosques, parques y jardines (ONU-Habitat, INFONAVIT y SEDATU 2016).
Márquez (2017) define a la estructura verde secundaria como aquellos espacios de menor dimensión, normalmente designados e inducidos por la actividad humana para cumplir funciones de esparcimiento y recreación con vegetación inducida. Es decir, parques y plazas públicas principalmente.
Se decidió incluir esta barranca sin nombre, ubicada entre las de Atzingo y Tzompantle, porque a pesar de no aparecer nombrada en la Carta Urbana (Ayuntamiento de Cuernavaca 2006) reúne las características mencionadas.
Consultando las actividades económicas correspondientes a las categorias (nombre_act): "Parques de diversiones y temáticos del sector público" y "Parques acuáticos y balnearios del sector privado".
La población de la ciudad en 1900 se calculó en 40.813 personas (Sosa Sánchez 2011, 246), terminada la Revolución Mexicana (1917) quedó completamente deshabitada (Calleja 2016; Sisniega Aspe 2018).
Arriola-Ponsin, Luis Stephane; Orozco-Lugo, Carmen Lorena; Franch-Pardo, Ivan. 2022. "Cuantificación de la visibilidad del paisaje en las barrancas de Cuernavaca, Morelos - México. Antecedentes geohistóricos y planeación urbana." Cuadernos de Geografia: Revista Colombiana de Geografia 31 (1): 88-107. https://doi.org/10.15446/rcdg.v31n1.88692
Arquitecto por el Instituto Tecnológico y de Estudios Superiores de Occidente (Guadalajara, Jalisco, México), con más de 20 anos como profesionista independiente y docente, con experiencia en proyectos de imagen urbana. En 2018 ingresa a la Maestria en Estudios Territoriales, Paisaje y Patrimonio de la Facultad de Arquitectura de la Universidad Autónoma del Estado de Morelos, desarrollando el tema de investigación de la visibilidad del paisaje y su utilidad para la planeación y renovación urbana.
Bióloga con Maestria en Ecologia por el Instituto de Ecologia de la UNAM, especialista en Ecologia de Murciélagos Mexicanos. Adscrita al Centro de Investigación en Biodiversidad y Conservación de la Universidad Autónoma del Estado de Morelos, donde se desempena como docente e investigadora. Sus lineas de investigación generales abordan análisis de dinámicas espacio temporales de ensamblajes de murciélagos y ecologia urbana.
Doctor en Ciencia y tecnologia de la Tierra y del medio ambiente de la Universidad de Jaén, España. Máster en SIG en la Universidad de Zaragoza y licenciado en Geografia de la Universidad de Valencia. Desde el 2012 ejerce como profesor en la Universidad Nacional Autónoma de México y en la Escuela Nacional de Estudios Superiores unidad Morelia, impartiendo materias sobre SIG, ciencia del paisaje, geografia general y geohistoria. Su principal linea de investigación versa sobre cartografia del paisaje para la planeación territorial.