Cuadernos de Geografía: Revista Colombiana de Geografía
0121-215X
2256-5442
Facultad de Ciencias Humanas de la Universidad Nacional de Colombia
https://doi.org/10.15446/rcdg.v31n2.89742

Recibido: 5 de agosto de 2020; Revision Received: 27 de marzo de 2021; Aceptado: 27 de enero de 2022

Reflexiones en torno a los factores que influyen en la expansión urbana: revisión de metodologías e instrumentos de investigación*

Reflections on the Factors that Influence Urban Sprawl: Review of Methodologies and Instruments

Reflexões sobre os fatores que influenciam a expansão urbana: revisão de metodologias e instrumentos de pesquisa

Á. Bernal Sánchez, a Y. Hernández Peña, < J. Beltrán Vargas, +

Universidad Distrital Francisco José de Caldas, Bogotá - Colombia. ambernals@gmail.com - ORCID: 0000-0002-2706-048X. Universidad Distrital Francisco José de Caldas Universidad Distrital Francisco José de Caldas Bogotá Colombia
Universidad Distrital Francisco José de Caldas, Bogotá - Colombia. ythernandezp@udistrital.edu.co - ORCID: 0000-0002-2846-7273. Universidad Distrital Francisco José de Caldas Universidad Distrital Francisco José de Caldas Bogotá Colombia
Universidad Distrital Francisco José de Caldas, Bogotá - Colombia. jebeltran@udistrital.edu.co - ORCID: 0000-0002-9397-7894. Universidad Distrital Francisco José de Caldas Universidad Distrital Francisco José de Caldas Bogotá Colombia

Correspondencia: Ángela María Bernal Sánchez, carrera 98 # 2-32, interior 2, apartamento 101. Bogotá, Colombia.

Resumen

La expansión urbana genera una transformación sin precedentes en el uso de los suelos, por tanto, al no reconocer su dinámica e incidencia en la planificación sustentable, esta se desarrolla sin demasiado control o planificación, lo cual causa alteraciones en los ecosistemas naturales, biodiversidad y dispersión de habitantes en la periferia, entre otros. Se identificaron y analizaron los factores que influyen en la expansión urbana, así como los enfoques metodológicos e instrumentos de investigación mundial. Se utilizó un método de revisión sistemática de literatura, que incluyó un índice de frecuencia de citación mediante cuartiles (Q). Los resultados mostraron diez factores que inciden en la expansión urbana, de los cuales los cuatro principales son: planificación urbana (Q1, uso del suelo (Q1), crecimiento urbano y urbanización (Q2). Se identificaron tres enfoques de investigación: cuantitativos, cualitativos y mixtos. Los instrumentos de investigación con mayor uso son: la teledetección, los siG, los métodos estadísticos y los modelos predictivos. Si bien la revisión evidencia una jerarquización de factores que influyen en la expansión urbana, es necesario considerar la gran influencia del mercado en la dinámica de expansión y las políticas neoliberales relacionadas, factores implícitos en estos procesos con grados diferenciales de incidencia en los territorios, pero comunes en el mundo.

Ideas destacadas:

Artículo de revisión que identifica y analiza los principales factores que influyen en la expansión urbana mundial, así como las metodologías y los instrumentos de investigación, a partir de la revisión sistemática de literatura, que incluyó un índice de frecuencia de citación mediante cuartiles (Q).

Palabras clave:

expansión urbana, migración, planificación urbana, suelo, urbanización.

Abstract

Urban sprawl generates an unprecedented transformation in land use; therefore, by not recognizing its dynamics and impact on sustainable planning, it develops without much control or planning, causing alterations in natural ecosystems, biodiversity, dispersion of inhabitants in the periphery, among others. The factors that influence urban sprawl were identified and analyzed, as well as the methodological approaches and research instruments worldwide. A systematic literature review method was used that included a citation frequency index using quartiles (Q). The results showed ten factors affecting urban sprawl; the four main factors being: urban planning (Q1), land use (Q1), urban growth and urbanization (Q2). Three research approaches were identified: quantitative, qualitative and mixed, the most commonly used research tools are remote sensing, GIS, statistical methods, and predictive models. Although the review shows a hierarchy of factors that influence urban expansion, it is necessary to consider the great influence of the market in the dynamics of expansion and related neoliberal policies, factors implicit in these processes with differential degrees of incidence in the territories, but common worldwide.

Highlights:

Review article that identified and analyzed the main factors influencing urban expansion worldwide, as well as research methodologies and tools, based on the systematic literature review, which included a quartile (Q) frequency index.

Keywords:

sprawl urban, migration, urban planning, land, urbanization.

Resumo

A expansão urbana gera uma transformação sem precedentes no uso dos solos, portanto, ao não reconhecer sua dinâmica e impacto no planejamento sustentável, desenvolve-se sem muito controle ou planejamento, causando alterações nos ecossistemas naturais, biodiversidade e dispersão de habitantes na periferia, entre outros. Foram identificados e analisados fatores que influenciam a expansão urbana, assim como abordagens metodológicas e ferramentas de pesquisa global. Foi utilizado um método sistemático de revisão de literatura, que incluiu um índice de frequência de citação usando quartis (Q). Os resultados mostraram dez fatores que afetam a expansão urbana, sendo os quatro principais: planejamento urbano (Q1), uso do solo (Q1), crescimento urbano e urbanização (Q2). Foram identificadas três abordagens de pesquisa: quantitativa, qualitativa e mista. As ferramentas de pesquisa mais comumente utilizadas são: a detecção remota, os SIG, métodos estatísticos e os modelos preditivos. Embora a revisão evidencie uma hierarquia de fatores que influenciam a expansão urbana, é necessário considerar a forte influência do mercado na dinâmica de expansão e nas políticas neoliberais relacionadas, fatores implícitos nestes processos com graus diferenciais de incidência nos territórios, mas comuns ao nível global.

Ideias destacadas:

Artigo de revisão que identificou e analisou os principais fatores que influenciam a expansão urbana mundial, bem como metodologias e ferramentas de pesquisa, com base em uma revisão sistemática da literatura, incluindo um índice de frequência de citação usando quartis (Q).

Palavras-chave:

expansão urbana, migração, planejamento urbano, solo, urbanização.

Introducción

La expansión urbana genera una transformación sin precedentes en el uso de los suelos, y causa un impacto en la biosfera global (Seto et ál. 2011). Se trata de un proceso dinámico de cambio en el uso del suelo, el cual no se detiene desde el origen de las ciudades. Es así como la rápida expansión de tierras ocasiona diferentes consecuencias ambientales, sociales y económicas, tales como la pérdida del hábitat y extinción de especies, la presión sobre los recursos ecológicos y el espacio del entorno natural, la degradación de los servicios ecosistémicos, la pérdida de tierras agrícolas, con suelo fértil y alta productividad, y la migración a las ciudades de la población rural por pérdida de tierras y desempleo, lo que contribuye a la formación de barrios marginales urbanos que aumenta el costo de la gobernanza (Xie, Zhang y Duan 2020). De ahí que, al no reconocer la dinámica de la expansión urbana y su incidencia en la planificación sustentable, esta se desarrolla sin demasiado control o planificación, lo cual conlleva alteraciones regionales y globales en los ecosistemas naturales, biodiversidad y dispersión de habitantes en la periferia (Soto 2009; Plata-Rocha, Gómez-Delgado y Bosque-Sendra 2011).

De manera que en las últimas décadas el porcentaje de población que vive en las ciudades ha aumentado, lo que ha estimulado la expansión urbana desmedida, cuyo crecimiento se ha dado a partir de una ciudad central hacia las periferias estableciendo nuevos patrones de crecimiento con características como dispersión urbana, ocupación discontinua, baja densidad, bordes urbanos difusos y carencia de límites, lo cual ha originado una expansión de forma espontánea y desorganizada en el territorio (Usach y Freddo 2015), que ocasionan cambios intensos en la pérdida de los recursos naturales, como la cubierta forestal, la tierra de cultivo, los cuerpos de agua y la biodiversidad que proporcionan los diversos servicios ecosistémicos (Das y Das 2019). De modo que la gestión de las áreas urbanas y la formación de ciudades más sostenibles, es uno de los retos más importantes para la humanidad (Pelorosso 2020). Así, la expansión urbana, sus impactos, el diseño y la implementación de políticas y gobernabilidad efectivas requieren de una mayor atención por parte de los investigadores, planificadores y formuladores de políticas (Abu Hatab et ál. 2019). De esta manera, el conocimiento desde la complejidad de los factores que inciden en la expansión urbana puede contribuir en la gestión, la toma de decisiones y la implementación de políticas urbanas para la planificación sustentable de las ciudades (Webb et ál. 2018).

Ahora bien, la definición de expansión urbana difiere según la mirada de los diferentes investigadores y presenta distintos énfasis; desde lo social se entiende como "[la] expansión de la población humana fuera de las áreas urbanas centrales hacia áreas de baja densidad que en su mayoría dependen del uso del automóvil" (Guite 2019, 195). En cuanto a lo físico, se refiere a "el patrón de expansión de baja densidad de grandes áreas urbanas, en condiciones de mercado, principalmente en las áreas agrícolas circundantes" (Mendoça et ál. 2020, 1). Desde el énfasis económico se toma como "[el] patrón de crecimiento no planificado y desigual, impulsado por multitud de procesos que conduce a una utilización ineficiente de los recursos" (Mendoça et ál. 2020, 1). Si bien no existe un consenso en la definición de la expansión urbana, es indiscutible su consideración como un fenómeno inevitable, ya que cuando las áreas urbanas experimentan un crecimiento, este se ve impulsado por el aumento de la población, el incremento del uso económico de la tierra y el cambio en la utilización del espacio (Guite 2019). No obstante, todas las disertaciones en torno a la expansión urbana coinciden en que es un proceso complejo relacionado con el uso del suelo que afecta la organización de las ciudades, la transformación del paisaje y la seguridad ecológica y alimentaria (Abu Hatab et ál. 2019).

Por otra parte, el proceso de planificación ha sido modificado a través del tiempo con el fin de afrontar la naturaleza cambiante de los problemas vinculados con la estructura de la ciudad, en donde los cambios principales se observaron en el mundo en la era posterior a la Segunda Guerra Mundial, la cual exigió una reconstrucción física y social masiva, en especial en Europa occidental. Durante esta etapa, se introdujo el enfoque de planificación del plan maestro que se fundamenta principalmente en la planificación racional (pronóstico, análisis y asignación del uso del suelo), lo que llevó al desarrollo de planes físicos a largo plazo para seguir la tendencia tradicional de planificación física (Rahman 2016). Sin embargo, este enfoque es duramente cuestionado por forjar el rápido proceso de urbanización que contribuyó a la expansión urbana. Con todo, la forma que adoptan las ciudades puede afectar la sustentabilidad ambiental; según Mouratidis (2019) existen pruebas de que las ciudades dispersas originadas por la expansión urbana son menos amigables con el medioambiente. De tal forma, que la planificación debe ser abordada desde la sustentabilidad urbana, por medio de cinco dimensiones: social, económica, política, ecológica y física (Rahman 2016). Por tanto, evaluar los factores impulsores que inciden en el proceso de expansión urbana puede contribuir en la interpretación de las relaciones complejas de estos y su alcance en el diseño y la implementación de políticas de planificación que permitan reconocer y aportar en la mejora de las condiciones ambientales y sociales que impactan a las comunidades (Haruna, Mohd y Ahmad Makmom 2019).

Conforme a lo expuesto, el objetivo de este artículo de revisión fue identificar los factores que influyen en la expansión urbana. Para lo cual, se estableció un orden de importancia para los factores identificados, según su frecuencia de citación en los documentos científicos y se realizó un análisis de los enfoques metodológicos, los instrumentos de investigación de los principales factores que determinan la relación existente entre la expansión urbana y la planificación orientada a la sustentabilidad mundial en los últimos diez años (2010-2020). De esta manera, se hizo una búsqueda delimitada por cuatro bases de datos: Scopus, ScienceDirect, Web of Science y Google Académico. Finalmente, este estudio permitió un análisis de las tendencias globales de distribución geográfica de los principales factores identificados que impulsan la expansión urbana presentes en los documentos detectados en las bases de datos.

Materiales y métodos

Sistema de búsqueda bibliográfica

Se utilizó una metodología de búsqueda sistemática de los estudios relacionados con la expansión urbana y la planificación sustentable que se han efectuado en el mundo en los últimos diez años (2010-2020), consultando las siguientes bases de datos: Scopus, ScienceDirect, Web of Science y Google Académico. En la primera fase de búsqueda bibliográfica se usaron las palabras en idioma inglés: (i) sprawl urban (expansión urbana) y (ii) sustainable planning (planificación sustentable); estas palabras claves se asumieron como principales descriptores temáticos. En esta primera fase se detectaron 18.900 (75,4 %), 5.341 (21,3 %), 495 (2,0 %) y 333 (1,3 %) documentos en las bases de datos de Google Académico, ScienceDirect, Scopus y Web of Science, respectivamente (Tabla 1).

Tabla 1: Orden de importancia de los factores claves identificados

Datos: elaboración con base en la revisión bibliográfica de las cuatro bases de datos. Nota: a 493/495 = 0,996. b Variación del cuartil según la base de datos.

La segunda fase de revisión se realizó para incluir palabras claves en idioma inglés, reportadas por la base de datos Scopus, por su frecuencia de citación y descriptores temáticos (keywords), estas palabras clave adicionales permitieron identificar los factores que influyen en la expansión urbana y la planificación sustentable. A continuación, se registran las palabras clave detectadas (véase tabla 1): planificación urbana (urban planning), uso del suelo (land use), crecimiento urbano (urban growth), urbanización (urbanization), ordenación del territorio (spatialplanning), política urbana (urban policy), desarrollo económico (economic development), crecimiento de la población (populationgrowth), transporte urbano (urban transportation) y enfoque de gobierno (governance approach).

Sistema de análisis bibliográfico

Las bases de datos consultadas se utilizaron con el fin de establecer un orden de importancia para los factores que inciden en la expansión urbana identificados, a partir de su frecuencia de citación en documentos científicos, y con la premisa de que los factores más significativos en el proceso de expansión urbana fueron con frecuencia citados o reportados por las bases de datos consultadas; de esta manera, se estimó la importancia de los factores identificados, mediante su frecuencia de citación en los documentos científicos. No obstante, aunque la anterior hipótesis no fue necesariamente cierta, fue usada durante la investigación bibliográfica como un guía de búsqueda y análisis (Zafra, Temprano y Tejero 2017).

Ahora bien, para establecer el orden de relevancia de los factores que influyen en la expansión urbana, se desarrolló un índice de frecuencia (Q) que vinculó el número de documentos detectados en las fases uno y dos de la metodología de revisión utilizada. Esto se realizó con el fin de establecer un orden de importancia mediante cuartiles para los factores detectados en el proceso de expansión urbana. El índice (Q) tuvo una variación entre 0 y 1, y estableció la clasificación de cuartiles en los rangos (i) Q1 entre 0,75 y 1,0; (ii) Q2 entre 0,5 y 0,75; (iii) Q3 entre 0,25 y 0,5 y (iv) Q4 entre 0,0 y 0,25, es decir, Q1 representó los factores de mayor relevancia o frecuencia de citación en los documentos científicos, incluidos en las bases de datos consultadas (véase tabla 1). Por ejemplo, para el factor planificación urbana, los documentos detectados en la segunda fase fueron 493 en relación con los 495 detectados en la primera fase; de esta manera, el índice de citación Q fue 0,996 (493/495 = 0,996; Q1).

Posteriormente, se desarrolló una tercera fase que consistió en la revisión de resúmenes de documentos detectados en las bases de datos Scopus, ScienceDirect, Web of Science y Google Académico, conservando la misma línea de tiempo y con las siguientes palabras clave en idioma inglés: (i) sprawl urban/expansión urbana, (ii) sustainable planning/planificación sustentable, (iii) approaches /tendencias y (iv) methodologies/metodologías, con el propósito de detectar las metodologías y los instrumentos utilizados en los estudios de expansión urbana. En esta ocasión se detectaron 18 documentos de la base de datos Scopus, 2.082 en ScienceDirect, 10 en Web of Science y 17.100 en Google Académico, de los cuales se tomaron en cuenta aquellos que contaran con accesos abiertos y estrecha relación con el objeto de estudio; sin embargo, la base de datos Google Académico no se analizó en esta fase, debido a la gran cantidad de documentos detectados.

De esta manera, se realizó un análisis de contenido de los documentos detectados para evaluar su pertinencia en la presente investigación bibliográfica y se consideraron 67 documentos de las tres bases de datos Scopus, Web of Science y ScienceDirect.

Finalmente, se desarrolló una cuarta fase de revisión, con el propósito de analizar las tendencias de distribución geográfica mundial de los principales factores que impulsan la expansión urbana identificados en la primera fase, mediante el análisis de los documentos seleccionados en la fase tres.

Análisis estadístico

Como prueba estadística se hizo uso del análisis de correspondencias múltiples empleando el software estadístico SPSS, que permitió revisar la distribución geográfica global de las tendencias de los principales factores identificados que impulsan la expansión urbana producto de la revisión de la bibliografía. Así mismo, se realizó un análisis de estadística descriptiva para cada uno de los factores, metodologías e instrumentos.

Resultados y discusión

Análisis de los factores identificados que influyen en el proceso de expansión

La Tabla 1 presenta el índice de citación (Q) y el orden de importancia para los factores, identificados durante la presente investigación, después de aplicar la metodología propuesta. El orden de importancia para los factores que inciden en la expansión urbana se estableció a partir del valor promedio del cuartil obtenido en cada una de las bases utilizadas, y se obtuvo el siguiente orden de importancia: (i) planificación urbana (Q1 = 0,988); (ii) uso del suelo (Q1 = 0,943) (iii) crecimiento urbano (Q2 = 0,772); (iv) urbanización (Q2 = 0,640); (V) política urbana (Q2 = 0,646); (vi) ordenación del territorio (Q2 = 0,636); (vii) desarrollo económico (Q2 = 0,597); (viii) crecimiento de la población (Q2 = 0,539); (ix) transporte urbano (Q3 = 0,447) y (X) enfoque de gobierno (Q3 = 0,302). A continuación, se presenta el análisis de los cuatro principales resultados de los factores identificados con mayor índice de citación a partir de la información seleccionada.

Planificación urbana (Q1 = 0,988): los resultados permitieron evidenciar que las investigaciones sobre el tema de la expansión atribuyen a este factor un papel importante en la expansión urbana, debido a su relación con las decisiones sobre el cambio en el uso del suelo que no se limita a la ciudad central, sino que incluye nuevos espacios urbanos-rurales funcionalmente vinculados a la ciudad, que provocan diferentes impactos a las zonas rurales como desigualdades socioecológicas del paisaje rural-urbano (Hersperger et ál. 2018; Dutta y Das 2019). No obstante, diversos investigadores han analizado el fenómeno desde una perspectiva crítica, relacionando el tema de la expansión y transformación territorial a procesos de orden económico. Por ejemplo, ya había señalado Harvey (2007) la solución espacial a la acumulación del capital recurriendo a la expansión geográfica, la reorganización espacial y el desarrollo geográfico desigual, sin los cuales habría dejado de funcionar como sistema político y económico. La creciente influencia global del neoliberalismo se manifiesta en las transformaciones territoriales que se han dado en el ámbito global.

Para Soja (2008), su poder se manifiesta en "las diferentes escalas de la gubernamentalidad territorial con efectos complejos y confusos" (313), influencia y cambio en el cual se encuentran involucrados los diferentes estados independientemente de su ubicación como país del denominado primer mundo, o perteneciente a la categoría de emergente o en vías de desarrollo; de esta forma, se generan dinámicas en los patrones desiguales de desarrollo urbano como los vistos en Los Ángeles, Ciudad de México, Tokio o Shanghái. En sus investigaciones, Indovina refleja la marcada influencia del mercado en la transformación de territorios como Véneto y Milán, con implicaciones ambientales de importancia (Nel-Lo 2012).

En países como Colombia, esta influencia del mercado en los precios del suelo y la consiguiente transformación de usos, vocaciones y pérdida de sustentabilidad ambiental se ve agravada y aumentada en su complejidad por procesos migratorios o desplazamiento forzado del campo a la ciudad. Por tanto, los movimientos poblacionales de las zonas rurales a espacios urbanos no son el único factor explicativo del crecimiento urbano, como se ha planteado por algunos autores como Haller (2014), y las políticas inapropiadas sobre el uso de la tierra y la generación de vivienda, las cuales no son exclusivas de los países en vías de desarrollo como lo han enunciado autores como Mosammam et ál. (2017).

Para Harvey (2007), desde la perspectiva neoliberal no hay un interés en el fortalecimiento de la democracia y por tanto en las decisiones consensuadas, consideración relacionada con los enfoques de planificación territorial, que para el caso de la expansión urbana constituyen otros focos para su actuación o se establecen como marcadamente reactivas y no se cuenta con la participación de los diferentes actores implicados; los espacios territoriales que no son de interés, muchas veces son ocupados con asentamientos informales (Inostroza y Tábbita 2016). Por tanto, debe darse cabida a un enfoque que tenga en cuenta los temas estructurales y las políticas públicas en relación con los grupos sociales que viven en las zonas rurales, campesinos, afrodescendientes e indígenas quienes sufren la presión de diferentes agentes y actores por sus tierras o deben afrontar la falta de políticas públicas que apoyen su estilo de vida en las zonas rurales, como lo ha planteado el Programa de las Naciones Unidas para el Desarrollo -PNUD- (2011).

Por otra parte, considerar el fortalecimiento de la planificación urbana como un instrumento que enfocado de manera amplia y participativa puede contribuir en el equilibrio de las necesidades ambientales y los actores involucrados en las dinámicas del uso del suelo, lo cual permite ajustes en la estructuración del suelo y la optimización del diseño de las ciudades, con un cambio en el enfoque de planificación de arriba hacia abajo a uno más participativo que posibilite una adecuada planificación sustentable (Sturzaker y Verdini 2017; Gonget ál. 2018).

Uso del suelo (Q1 = 0,943): este uno de los factores que ha experimentado grandes transformaciones producto del patrón de crecimiento no planificado y desigual, impulsado por diferentes procesos, como el desplazamiento de la tierra agrícola, la deforestación y la urbanización, así como el aumento de la población urbana, lo que ha conducido a una utilización ineficiente de los recursos entre los que se encuentra el suelo (Bhat et ál. 2017; Mohamed y Worku 2019).

Ahora bien, una ciudad en expansión tiene características no compactas y una mezcla de usos de la tierra en la periferia urbana, ya que el área desarrollada se extiende de forma discontinua a través de los límites de la ciudad, donde "los usos del suelo urbano reemplazan los usos del suelo natural y agrícola, generando paisajes con características de ciudad que incluye viviendas, infraestructuras y actividades industriales" (Mendoça et ál. 2020, 1), causando impactos ambientales, económicos, sociales y estéticos en las ciudades y en el campo (Viderman 2015).

Es así como el aumento de la contaminación, la pérdida de los recursos naturales, el incremento de los niveles de temperatura, el surgimiento de viviendas no legales y la disminución de tierras para la agricultura, están asociadas al aumento y los cambios de uso del suelo (Dadras et ál. 2015). Por otra parte, la planificación del uso del suelo ha fallado debido a la falta de implementación de regulaciones legales, a la tenencia de tierra tradicional y la falta de participación de los ciudadanos locales en el proceso de planificación, la dependencia del crecimiento económico del uso de los recursos y la falta de planificación integrada en los diferentes niveles de gobernanza y de ser un proceso con múltiples impulsores (Kleemann et ál. 2017; Mendoça et ál. 2020).

Lo anterior, sumado a que los objetivos económicos favorecen el crecimiento y la expansión espacial, en lugar de un crecimiento y planificación del uso del suelo equilibrado (Viderman 2015). Por tanto, al ser el suelo un recurso no renovable debido a su lento proceso de regeneración es imprescindible que la planificación de este se realice desde enfoques espaciales y participativos que permitan hacer mejor uso de la tierra y los suelos, regular el acceso y limitar el uso excesivo para el bienestar común, aunando esfuerzos en la gestión sustentable del suelo (Pontarollo y Mendieta 2020).

Crecimiento urbano (QI = 0,772): los resultados permitieron evidenciar que este es un factor que impulsa la expansión urbana, el cual está dado por el crecimiento de la población en relación con el uso no sostenible de la tierra; este crecimiento incontrolado de las ciudades es una amenaza latente al patrimonio cultural y ecológico que puede escalar a daños permanentes e irreversibles como resultado de aspectos como el agotamiento ambiental, la descomposición del paisaje y el detrimento de los recursos de la tierra, la estructura, el patrón del área urbana y, por lo tanto, la calidad de vida (Noronha et ál. 2012; Bhat et ál. 2017).

Este crecimiento urbano ha sido generalmente descontrolado y disperso; hoy en día la tasa de crecimiento urbano se ha convertido en un factor preocupante en el contexto mundial, producto del avanzado proceso de transición demográfica, el cual guarda una estrecha relación con la especulación inmobiliaria debido a la revalorización del estilo de vida rural o más precisamente neorrural, de ahí que, "partir de las nuevas dinámicas que generan los estratos más altos, influyen sobre el incremento en el precio del suelo y presionan sobre la tierra de las familias campesinas" (Macuacé 2019, 36), lo cual ha dado paso al crecimiento exponencial de condominios neorrurales, que para diferentes países como Colombia han reconfigurado nuevas formas y tipologías urbanas propias de factores culturales asociados a la elitización rururbana (Sánchez Torres 2018). Lo anterior, conduce a desafíos sociales y ambientales como la pobreza urbana, diversas formas de contaminación, vulnerabilidad a eventos naturales e impactos climáticos, que se constituyen en un obstáculo vital para el proceso de desarrollo sustentable.

De tal forma, existe la necesidad de regular el crecimiento urbano no sistemático, primordialmente respecto al uso y la gestión de los recursos naturales críticos como la tierra y el agua; esto requiere de una planificación sistemática e integral, además de la promulgación de leyes con la aplicación de las estructuras necesarias de incentivos y desincentivos. "Incentivos que fomenten el crecimiento sistemático de las áreas urbanas, los desincentivos (sanciones) que restringirán las expansiones ilegales y el desperdicio de recursos" (Dadras et ál. 2015; Patra et ál. 2018, 83).

Urbanización (Q2 = 0,640): este es un factor clave en el aumento de la cobertura del uso del suelo urbano a escala global.

La urbanización es definida según Barbati et ál. (2015) como "el crecimiento en la proporción de la población que habita en pueblos y ciudades" (126). Así mismo, es un fenómeno creciente en distintas regiones del mundo, que ha sido impulsado por el crecimiento económico y la industrialización, de manera diferencial y genera afectaciones por el aumento de la población urbana que migra de áreas rurales, en busca de trabajo y mejora de su calidad de vida (Zhan et ál. 2011; Eduful y Hooper 2019; Magidi y Ahmed 2019). Para el caso colombiano, el crecimiento de las ciudades se ha visto estimulado por la migración voluntaria e involuntaria (desplazamiento forzado) de la población rural, este último provocado por agentes armados que atacan determinadas poblaciones, con el objetivo de mantener un estatus dominante y el control de zonas estratégicas donde

las presiones por la tierra, los intereses que van surgiendo en torno a los megaproyectos del Estado o la lucha por el control sobre zonas ricas en metales preciosos y productos energéticos o por territorios donde se cultiven plantas alucinógenas y en general, toda una gama de intereses particulares imbricados y confundidos con los asuntos de la guerra pública sin que sea posible establecer una línea diferencial entre lo político militar y lo individual privado. (Naranjo 2001, 1)

y se configuran como las principales causas de desplazamiento.

Lo anterior evidencia el porqué de la transformación del panorama colombiano, que pasa de un país considerado en otros tiempos como rural, a uno con predominancia urbana. El desplazamiento forzado implica una movilización de sujetos que se desarraigan por obligación de su territorio, perdiendo sus medios de subsistencia relacionados con las actividades agrícolas; además, sus identidades tanto propias como colectivas y que deben desplazarse hacia las ciudades en busca de refugio, oportunidades laborales y nuevas perspectivas, dinámicas que contribuyen a generar presión sobre los suelos aptos para la agricultura y la proliferación de asentamientos en zonas periféricas de las ciudades (Mendoza 2010).

Por otra parte, la urbanización es una de las mayores preocupaciones de muchas regiones del mundo, debido a que este proceso ligado a una planificación ineficiente causa problemáticas ambientales como la transformación demográfica, espacial y del paisaje natural, cambio del uso del suelo producto de su sellado y expansión de la infraestructura a expensas de la tierra fértil, lo cual amenaza el suministro de servicios del ecosistema como la producción de alimentos, los servicios de hábitat o la regulación del clima (Drobnik, Schwaab y Regamey 2020). Sumado a la contaminación del aire y el agua, así como ruido, congestión del tráfico, deforestación y aglomeración urbana, esta última caracterizada por el tamaño del territorio asociado con la continuidad de áreas urbanizadas separadas, relaciones económicas y sociales próximas y una concentración de la población (Deep y Saklani 2014; Malarvizhi, Kumar y Porchelvan 2016; Wei, Taubenböck y Blaschke 2017).

Por consiguiente, es necesario realizar estudios que permitan determinar los cambios en los usos del suelo y su cobertura, frente a la expansión dada por la urbanización con el propósito de construir e implementar políticas de planificación urbana racionales que posibiliten disminuir los efectos adversos de la urbanización, mejorar la sustentabilidad de las ciudades (Bhat et ál. 2017) y superar los desequilibrios territoriales para garantizar una mejor calidad de vida para las comunidades urbanas y rurales.

Metodologías e instrumentos de investigación

La investigación bibliográfica evidenció la existencia de tres enfoques de investigación en los estudios de los factores que inciden en la expansión urbana: (i) cuantitativos (72 %), (ii) mixto (15 %) y (iii) cualitativos (13 %). En cuanto a los instrumentos de investigación, en orden de importancia se presentaron: la teledetección mediante imágenes satelitales (63 %), SIG (55 %), métodos estadísticos (57 %), métodos no estadísticos (45 %), modelos (30 %), revisión de datos secundarios (19 %), índices (19 %), mapas (15 %), fotogrametría (6 %), mapeo de campo (4 %), matrices (4 %), criterios (3 %) e indicadores (1 %), respectivamente (Tabla 2).

Tabla 2: Metodologías e instrumentos de investigación

Datos: elaboración con base en la revisión bibliográfica de las tres bases de datos: Scopus, ScienceDirect y Web of

Nota: * 216 instrumentos identificados en los 67 documentos.

De esta manera, el enfoque cuantitativo hizo uso de la integración de instrumentos entre la teledetección y las técnicas de SIG, junto con métodos estadísticos para evaluar cuantitativamente la identificación, caracterización y clasificación de áreas urbanas basadas en todas las clases de cobertura del suelo que contribuyen a la estructura urbana de los cambios de uso del suelo y la expansión urbana (Kar et. ál. 2018; Elfadaly y Lasaponara 2019; Mahmoud y Prasanna 2019; Schaefer y Nguyen 2019), así como métodos para el monitoreo de expansión urbana y uso del suelo/cobertura del suelo para la evaluación cuantitativa que vincule objetivos del crecimiento urbano (Quatrini et ál. 2015; Barrou, Benbouaziz y Alkama 2017).

Respecto a los métodos no estadísticos, se evidenció que estos permiten realizar un análisis de las situaciones actuales y simulaciones predictivas para la planificación espacial que pueden coadyuvar a la toma de decisiones prácticas para la planificación sustentable (Haslauer, Biberacher y Blaschke 2012; Shawabkeh et át. 2019; García-García et ál. 2020). Entre los principales métodos se evidenciaron métricas del paisaje junto con teledetección desde Landsat, para analizar los cambios en el paisaje y las posibles razones de la rápida periur-banización, así como para evaluar la heterogeneidad y la morfología urbana que pueden constituir formas urbanas más sustentables, incluida la conectividad, la densidad, la complejidad geométrica (uso mixto de la tierra), la diversidad y la ecologización (Sebego y Gwebu 2013; Cochran y Brunsell 2017; Guo, Tian y Di 2019; Mishra, Rai y Rai 2019). Otro de los métodos más mencionados son los que hacen uso de los SIG, para explorar la dinámica espacio-temporal del uso del suelo urbano y el mapeo de la cobertura de suelo urbanizada, lo cual permite comprender los agentes impulsores de la urbanización y la expansión urbana, considerando los patrones espaciales (Li, Zhang y Liang 2010; Rawat, Biswas y Kumar 2013; Aburas et ál. 2017; Lal, Kumar y Kumar 2017; Goldblatt, Deininger y Hanson 2018; Parry et ál. 2018; Dame et ál. 2019; Kozie et ál. 2019).

Por otra parte, entre los modelos mencionados en los documentos científicos se encuentran los modelos de desarrollo del paisaje urbano sostenible y un modelo analítico urbano-económico con servicios ambientales, el cual se basa en la simulación de precios hedónicos para informar el desarrollo urbano y periurbano sostenible (Mendoça et ál. 2020). Otro modelo utilizado es el modelo CA-Markov y autómatas celulares que articulado con la teledetección y los SIG permiten estudiar, proyectar la dinámica y cobertura del suelo urbano en el rápido crecimiento de las ciudades utilizando modelos basados en agentes y considerar los patrones espaciales de la urbanización y la expansión urbana (Deep y Saklani 2014; Liao et ál. 2016; Bharath et ál. 2018; Siddiqui et ál. 2018; Farjam y Motlaq 2019).

Por su parte, el modelo Probit modela la probabilidad de expansión urbana producto de la urbanización y los cambios del uso del suelo desde una perspectiva espacial (Li, Sun y Fang 2018). Por último, el modelo híbrido FUTURES-AME y CA permite simular la decisión de los propietarios de vender creando un enlace operativo entre el ABM cambio de uso del suelo y el modelo de CA para proyectar el crecimiento urbano (Hegazy y Kaloop 2015; Koch et ál. 2019).

En contraste, el enfoque cualitativo empleó mayoritariamente las entrevistas, las cuales se implementaron para determinar las percepciones de los habitantes de las diferentes áreas de estudio y la información secundaria, recopilada y analizada desde las diferentes publicaciones institucionales que daban cuenta de las acciones proyectadas y ejecutadas para la planificación en el territorio. Algunos estudios como el realizado en Tanzania analizaron la planificación urbana mediante el uso de los planes maestros con el propósito de determinar las oportunidades de mejora para la implementación de estos planes hacia la planificación urbana y gestión sostenible (Lazaro y Yang 2019).

En Alemania, el proyecto Refina permitió describir los procesos generadores de la expansión de la cobertura urbana, con relación a las percepciones crecientes en torno a las complejas interrelaciones entre las partes y los procesos involucrados en la planificación (Viderman 2015).

En Egipto mediante el análisis de literatura sobre asentamientos informales, la aplicación de entrevistas en el estudio de caso Alejandría permitió abordar las necesidades locales con el propósito de encontrar soluciones para mejorar las condiciones de vida y alcanzar los potenciales socioeconómicos (Nassar y Elsayer 2018).

Análisis geográfico mundial de los factores que influyen en la expansión urbana

Se realizó un análisis geográfico mundial de los factores identificados que inciden en la expansión urbana a partir de la información consultada en las bases de datos Scopus, ScienceDirect y Web of Science (Tabla 3).

Tabla 3: Factores que influyen en la expansión urbana: tendencia mundial (n = 67)

Datos: elaborado con base en la revisión bibliográfica de las tres bases de datos: Scopus, ScienceDirect y Web of Science.

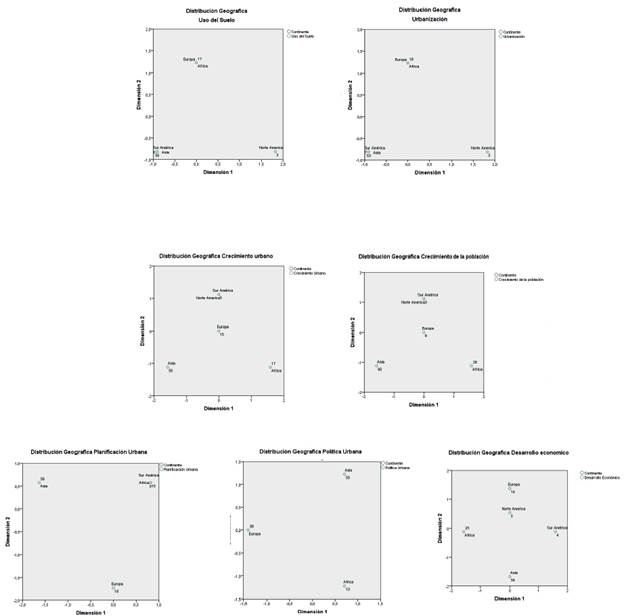
Cabe aclarar que en un mismo documento se mencionaron diferentes factores que influyen en la expansión urbana, el total de estos fueron 286 factores mencionados en los documentos científicos consultados. De esta forma, los resultados mostraron el siguiente orden de importancia de los factores mundiales: Asia con el 55 % fue el continente con mayor mención de los factores que inciden en la expansión urbana, seguido de África con el 19 %, Europa con el 19 %, Suramérica con el 5 % y Norteamérica con el 3 %. Este comportamiento permite deducir que los continentes que tiene mayor cantidad de países en desarrollo presentan mayores problemáticas asociadas con la expansión urbana y los diferentes factores que influyen en esta, así como un creciente aumento en las investigaciones que posibiliten revisar dichos factores y cómo mitigarlos.

Por otra parte, se evidenció que los estudios en Europa y Norteamérica fueron realizados con el propósito de investigar alternativas de la planificación espacial, crecimiento inteligente en torno a la sustentabilidad, protección de los ecosistemas y planificación sostenible mediante el desarrollo de espacios verdes; algunos de estos estudios son los desarrollados por Grêt-Regamey et ál. (2017); Lincaru et ál. (2016) y Gavrilidis et ál. (2019).

Por su parte, en Suramérica, pese a que cuenta con países en vías de desarrollo no se publican muchos estudios relacionados con la expansión urbana y los factores que influyen en este proceso.

Así mismo, el análisis geográfico permitió detectar la distribución con relación a los factores que influyen en la expansión urbana, el cual está representado por el siguiente orden de importancia frente al factor de uso del suelo: un 56 % corresponde a Asia, un 17 % a África, un 17 % a Europa, un 6 % a Suramérica y un 3 % a Norteamérica.

En cuanto a urbanización, un 53 % para Asia, un 18 % para África, un 18 % para Europa, un 7 % para Suramérica y un 3 % para Norteamérica.

En crecimiento urbano, un 59 % corresponde a Asia, un 18 % a África, un 17 % a Europa, un 5 % a Suramérica y un 5 % a Norteamérica.

En relación con el crecimiento de la población, un 60 % para Asia, un 28 % para África, un 8 % para Europa, un 3 % para Suramérica y un 3 % para Norteamérica.

En planificación urbana, un 58 % corresponde a Asia, un 18 % a Europa, un 15 % a África y un 9 % a Suramérica.

En cuanto a desarrollo económico, un 54 % para Asia, un 25 % para África, un 14 % para Europa, un 4 % para Suramérica y un 4 % para Norteamérica. En política urbana, un 50 % corresponde a Asia, un 38 % a Europa y un 13 % a África.

En lo que tiene que ver con la ordenación del territorio, un 86 % para Europa y un 14 % para África.

En enfoque de gobierno, un 50 % corresponde a Asia y un 50 % a Europa.

Y en transporte urbano, un 50 % para Asia y un 50 % para Europa.

En la Figura 1, se presenta la distribución de los factores que influyen en la expansión urbana mundial, exceptuando los factores de ordenación del territorio, enfoque de gobierno y transporte urbano, toda vez que no fueron representativos en la mayoría de documentos analizados.

Análisis de correspondencias múltiples y distribución de los factores que influyen en la expansión urbana mundial.

Figura 1: Análisis de correspondencias múltiples y distribución de los factores que influyen en la expansión urbana mundial.

Datos: elaborado a partir del programa estadístico SPSS de IBM 2020.

Conclusiones

Los cuatro principales factores con mayor índice de citación que influyen en la expansión urbana son la planificación urbana, el uso del suelo, el crecimiento urbano y la urbanización, los cuales afectan el cambio del uso del suelo producto del crecimiento de la población en relación con el uso no sostenible de la tierra; este patrón de crecimiento incontrolado, desigual y no planificado es impulsado generalmente por el crecimiento económico, la industrialización y el aumento de la población urbana, que en países como Colombia migran de las áreas rurales en busca de trabajo y mejora de su calidad de vida y procesos de desplazamiento forzado, que fomentan los desequilibrios y las desigualdades socioecológicos del paisaje rural-urbano.

Por otra parte, si bien la revisión evidencia una jerarquización de factores incidentes en la expansión urbana, es necesario considerar la gran influencia del mercado en esa expansión y las políticas neoliberales relacionadas, factores implícitos en estos procesos con grados diferenciales de incidencia en los territorios, pero comunes a ellos independientemente de su grado de desarrollo.

Por último, los resultados mostraron que los continentes con mayor cantidad de países en desarrollo enfrentan mayores problemáticas asociadas con la expansión urbana y los diferentes factores que influyen en esta. De igual manera, se evidenció que los estudios en Europa y Norteamérica fueron realizados con el propósito de investigar alternativas para la planificación espacial, crecimiento inteligente en torno a la sustentabilidad y protección de los ecosistemas. Por su parte, en Suramérica, pese a que cuenta con países en vías de desarrollo no se publican demasiados estudios relacionados con la expansión urbana y los factores que influyen en este proceso.

Por lo anterior, este artículo es un insumo importante para futuras investigaciones, las cuales podrán analizar las metodologías y los instrumentos aplicados en el mundo con el propósito de revisar su aplicación en Suramérica donde se presentan menos estudios publicados, en relación con una adecuada planificación urbana orientada a la sustentabilidad.

Referencias

  1. Abu Hatab, Assem, Maria Eduarda Rigo, August Lindemer, y Carl-Johan Lagerkvist. 2019. "Urban Sprawl, Food Security and Agricultural Systems in Developing Countries: a Systematic Review of the Literature." Cities 94: 129-142. https://doi.org/10.1016/j.cities.2019.06.001 [URL] 🠔
  2. Aburas, Maher, Sabrina Abdullah, Mohammad Ramli, y Zulfa Asha'ari. 2017. "Land Suitability Analysis of Urban Growth in Seremban Malaysia, Using GIS Based Analytical Hierarchy Process." Procedia Engineering 198: 1128-1136. https://doi.org/10.1016/j.proeng.2017.07.155 [URL] 🠔
  3. Barbati, Anna, Valerio Quatrini, Francesco Carbone, Diego Giuliarelli, Dalila Russo, y Piermaria Corona. 2015. "Monitoring Land Take by Point Sampling: Pace and Dynamics of Urban Expansion in the Metropolitan City of Rome." Landscape and Urban Planning 143: 126-133. https://doi.org/10.1016/j.landurbplan.2015.06.012 [URL] 🠔
  4. Barrou, Djemaa, Akila Benbouaziz, y Djamel Alkama. 2017. "Spontaneous Urban Renewal of the Former Aurasian Settlements in the Event of the Sustainable Development: Case of Dechra Beida, Arris (Algeria)." Energy Procedia 119: 835-844. https://doi.org/10.1016/j.egypro.2017.07.109 [URL] 🠔
  5. Bharath, Aithal, Chandan Mysore, Shivamurthy Vinay, y T. V. Ramachandra. 2018. "Modelling Urban Dynamics in Rapidly Urbanising Indian Cities." The Egyptian Journal of Remote Sensing and Space Science 21 (3): 201-210. https://doi.org/10.1016/j.ejrs.2017.08.002 [URL] 🠔
  6. Bhat, Parvaiz, Mifta Shafiq, Abaas Mir, y Pervez Ahmed. 2017. "Urban Sprawl and its Impact on Landuse/Land Cover Dynamics of Dehradun City, India." International Journal of Sustainable Built Environment 6 (2): 513-521. https://doi.org/10.1016/j.ijsbe.2017.10.003 [URL] 🠔
  7. Cochran, Ferdouz, y Nathaniel Brunsell. 2017. "Biophysical Metrics for Detecting More Sustainable Urban Forms at the Global Scale." International Journal of Sustainable Built Environment 6 (2): 372-388. https://doi.org/10.1016/j.ij-sbe.2017.05.004 [URL] 🠔
  8. Dadras, Mohsen, Helmi Shafri, Noordin Ahmad, Biswajeet Pradhan, y Sahabeh Safarpour. 2015. "Spatio-Temporal Analysis of Urban Growth From Remote Sensing Data in Bandar Abbas City, Iran." The Egyptian Journal of Remote Sensing and Space Science 18 (1): 35-52. https://doi.org/10.1016/j.ejrs.2015.03.005 [URL] 🠔
  9. Dame, Juliane, Susanne Schmidt, Judith Müller, y Marcus Nüsser. 2019. "Urbanisation and Socio-Ecological Challenges in High Mountain Towns: Insights from Leh (Ladakh), India." Landscape and Urban Planning 189: 189-199. https://doi.org/10.1016/j.landurbplan.2019.04.017 [URL] 🠔
  10. Das, Manob, y Arijit Das. 2019. "Dynamics of Urbanization and its Impact on Urban Ecosystem Services (UESS): a Study of a Medium Size Town of West Bengal, Eastern India." Journal of Urban Management 8 (3): 420-434. https://doi.org/10.1016/j.jum.2019.03.002 [URL] 🠔
  11. Deep, Shikhar, y Akansha Saklani. 2014. "Urban Sprawl Modeling Using Cellular Automata." The Egyptian Journal of Remote Sensing and Space Science 17 (2): 179-187. https://doi.org/10.1016/j.ejrs.2014.07.001 [URL] 🠔
  12. Drobnik, Thomas, Jonas Schwaab, y Adrienne Regamey. 2020. "Moving Towards Integrating Soil into Spatial Planning: No Net Loss of Soil-Based Ecosystem Services." Journal of Environmental Management 263: 1-13. https://doi.org/10.1016/j.jenvman.2020.110406 [URL] 🠔
  13. Dutta, Ipsita, yArijit Das . 2019. "Application of Geo-Spatial Indices for Detection of Growth Dynamics and Forms of Expansion in English Bazar Urban Agglomeration, West B engal." Journal of Urban Management 8 (2): 288-302. https//doi.org/10.1016/j.jum.2019.03.007 [URL] 🠔
  14. Eduful, Alexander, y Michael Hooper. 2019. "Urban Migration and Housing During Resource Booms: the Case of Sekondi-Takoradi, Ghana." Habitat International 93: 1-10. https://doi.org/10.1016/j.habitatint.2019.102029 [URL] 🠔
  15. Elfadaly, Abdelaziz, y Rosa Lasaponara. 2019. "On the Use of Satellite Imagery and GIS Tools to Detect and Characterize the Urbanization around Heritage Sites: the Case Studies of the Catacombs of Mustafa Kamel in Alexandria, Egypt and the Aragonese Castle in Baia, Italy." Sustainability 11 (7): 21-10. https://doi.org/10.3390/su11072110 [URL] 🠔
  16. Farjam, Rasoul, y Seyedeh Motlaq. 2019. "Does Urban Mixed Use Development Approach Explain Spatial Analysis of Inner City Decay?" Journal of Urban Management 8 (2): 245-260. https://doi.org/10.1016/j.jum.2019.01.003 [URL] 🠔
  17. García-García, María Jesús, Lucille Christien, Enrique García-Escalona, y Concepción González-García. 2020. "Sensitivity of Green Spaces to the Process of Urban Planning. Three Case Studies of Madrid (Spain)." Cities 100: 1-14. https://doi.org/10.1016/j.cities.2020.102655 [URL] 🠔
  18. Gavrilidis, Athanasios, Mihai Nrfä, Diana Onose, Denisa Badiu, y Irina Nästase. 2019. "Methodological Framework for Urban Sprawl Control Through Sustainable Planning of Urban Green Infrastructure." Ecological Indicators 96 (2): 67-78. https://doi.org/10.1016/j.ecolind.2017.10.054 [URL] 🠔
  19. Goldblatt, Ran, Klaus Deininger, y Gordon Hanson. 2018. "Utilizing Publicly Available Satellite Data for Urban Research: Mapping Built-Up Land Cover and Land Use in Ho Chi Minh City, Vietnam." Development Engineering 3: 83-99. https://doi.org/10.1016/j.deveng.2018.03.001 [URL] 🠔
  20. Gong, Jianzhou, Wenli Chen, Yansui Liu, y Jieyong Wang. 2018. "Urban Expansion Dynamics and Modes in Metropolitan Guangzhou, China." Land Use Policy 72: 100-109. https://doi.org/10.1016/j.landusepol.2017.12.025 [URL] 🠔
  21. Grêt-Regamey, Adrienne, Jürg Altwegg, Elina Sirén, Maarten van Strien, y Bettina Weibel. 2017. "Integrating Ecosystem Services Into Spatial Planning-a Spatial Decision Support Tool." Landscape and Urban Planning 165: 206-219. https://doi.org/10.1016/j.landurbplan.2016.05.003 [URL] 🠔
  22. Guite, Sasang. 2019. "Assessment of Urban Sprawl in Bathinda City, India." Journal of Urban Management 8 (2): 195-205. https://doi.org/10.1016/j.jum.2018.12.002 [URL] 🠔
  23. Guo, Liying, Qing Tian, y Liping Di. 2019. "Detecting SpatioTemporal Changes of Arable Land and Construction Land in the Beijing-Tianjin Corridor During 2000-2015." Journal of Geographical Sciences 29 (5): 702-718. https://doi.org/10.1007/s11442-019-1622-1 [URL] 🠔
  24. Haller, Andreas. 2014. "The 'Sowing of Concrete': Peri-Urban Smallholder Perceptions of Rural-Urban Land Change in the Central Peruvian Andes." Land Use Policy 38: 239-247. https://doi.org/10.1016/j.landusepol.2013.11.010 [URL] 🠔
  25. Haruna, Musa, Yacob Mohd Rusli, y Abdullah Ahmad Makmom. 2019. "Delphi Exploration of Subjective Well-Being Indicators for Strategic Urban Planning Towards Sustainable Development in Malaysia." Journal of Urban Management 8 (1): 28-41. https://doi.org/10.1016/j.jum.2018.08.001 [URL] 🠔
  26. Harvey, David. 2007. Espacios de esperanza. Madrid: Akal. 🠔
  27. Haslauer, Eva, Markus Biberacher, y Thomas Blaschke. 2012. "GIS-Based Backcasting: an Innovative Method for Pa-rameterisation of Sustainable Spatial Planning and Resource Management." Futures 44 (4): 292-302. https://doi.org/10.1016/j.futures.2011.10.012 [URL] 🠔
  28. Hegazy, Ibrahim, y Mosbeh Kaloop. 2015. "Monitoring Urban Growth and Land Use Change Detection With GIS and Remote Sensing Techniques in Daqahlia Governorate Egypt." International Journal of Sustainable Built Environment 4 (1): 117-124. https://doi.org/10.1016/jijsbe.2015.02.005 [URL] 🠔
  29. Hersperger, Anna, Eduardo Oliveira, Sofia Pagliarin, Gaëtan Palka, Peter Verburg, Janine Bolliger, y Simona Grädinaru. 2018. "Urban Land-Use Change: The Role of Strategic Spatial Planning." Global Environmental Change 51: 32-42. https://doi.org/10.1016/j.gloenvcha.2018.05.001 [URL] 🠔
  30. IBM (International Business Machines Corporation). 2020. Software SPSS. Consultado el 20 de abril de 2020. https://www.ibm.com/co-es/analytics/spss-statistics-software [URL] 🠔
  31. Inostroza, Luis, y Julia Helena Tábbita. 2016. "Informal Urban Development in the Greater Buenos Aires Area: a Quantitative-Spatial Assessment Based on Households' Physical Features Using GIS and Principal Component Analysis." Procedia Engineering 161: 2138-2146. https://doi.org/10.1016/]. proeng.2016.08.806 [URL] 🠔
  32. Kar, Rajmita, Obi Reddy, Nirmal Kumar, y Surendra Kumar Singh. 2018. "Monitoring Spatio-Temporal Dynamics of Urban and Peri-Urban Landscape Using Remote Sensing and GIS - A Case Study from Central India." The Egyptian Journal of Remote Sensing and Space Science 21 (3): 401-411. https://doi.org/10.1016/j.ejrs.2017.12.006 [URL] 🠔
  33. Kleemann, Janina, Justice Inkoom, Michael Thiel, Sangeetha Shankar, Sven Lautenbach, y Christine Fürst. 2017. "Peri-Urban Land Use Pattern and its Relation to Land Use Planning in Ghana, West Africa." Landscape and Urban Planning 165: 280-294. https://doi.org/10.1016/j.landur-bplan.2017.02.004 [URL] 🠔
  34. Koch, Jennifer, Monica Dorning, Derek Van Berkel, Scott Beck, Georgina Sánchez, Ashwin Shashidharan, Lindsey Smart, Qiang Zhang, Jordan Smith, y Ross Meentemeyer. 2019. "Modeling Landowner Interactions and Development Patterns at the Urban Fringe." Landscape and Urban Planning 182: 101-113. https://doi.org/10.1016/j.landurb-plan.2018.09.023 [URL] 🠔
  35. Kozie, Anita, Marta Szylar, Katarzyna Cegielska, Tomasz Noszczyk, Józef Hernik, Krzysztof Gawroński, Robert Dixon-Gough, Sándor Jombach, István Valánszki, y Krisztina Filepné Kovács. 2019. "Towards Three Decades of Spatial Development Transformation in Two Contrasting PostSoviet Cities-Kraków and Budapest." Land Use Policy 85: 328-339. https://doi.org/10.1016/j.landusepol.2019.03.033 [URL] 🠔
  36. Lal, Kanhaiya, Dharmendra Kumar, y Amit Kumar. 2017. "Spatio-Temporal Landscape Modeling of Urban Growth Patterns in Dhanbad Urban Agglomeration, India Using Geoinformatics Techniques." The Egyptian Journal of Remote Sensing and Space Science 20 (1): 91-102. https://doi.org/10.1016/j.ejrs.2017.01.003 [URL] 🠔
  37. Lazaro, Linda, y Yuzhen Yang. 2019. "Urban Planning Historical Review of Master Plans and the Way Towards a Sustainable City: Dar es Salaam, Tanzania." Frontiers of Architectural Research 8 (3): 359-377. https://doi.org/10.1016/j.foar.2019.01.008 [URL] 🠔
  38. Li, Guangdong, Siao Sun, y Chuanglin Fang. 2018. "The Varying Driving Forces of Urban Expansion in China: Insights From a Spatial-Temporal Analysis." Landscape and Urban Planning 174: 63-77. https://doi.org/10.1016/j.landurb-plan.2018.03.004 [URL] 🠔
  39. Li, Xiaowen, Lina Zhang, y Chen Liang. 2010. "A GIS-Based Buffer Gradient Analysis on Spatiotemporal Dynamics of Urban Expansion in Shanghai and its Major Satellite Cities." Procedia Environmental Sciences 2: 1139-1156. https://doi.org/10.1016/j.proenv.2010.10.123 [URL] 🠔
  40. Liao, Jiangfu, Lina Tang, Guofan Shao, Xiaodan Su, Dingkai Chen, y Tong Xu. 2016. "Incorporation of Extended Neighborhood Mechanisms and its Impact on Urban Land-Use Cellular Automata Simulations." Environmental Modelling & Software 75: 163-175. https://doi.org/10.1016/j.en-vsoft.2015.10.014 [URL] 🠔
  41. Lincaru, Cristina, Draga Atanasiu, Vasilica Ciucä, y Speranza Pirciog. 2016. "Peri-Urban Areas and Land Use Structure in Romania at lau2 Level: an Exploratory Spatial Data Analysis." Procedia Environmental Sciences 32: 124-137. https://doi.org/10.1016/j.proenv.2016.03.017 [URL] 🠔
  42. Macuacé Otero, Ronald Alejandro. 2019. "Los espacios rururbanos en Colombia: algunos elementos para su discusión." Procesos Urbanos 6: 34-41. 🠔
  43. Magidi, James, y Fethi Ahmed. 2019. "Assessing Urban Sprawl Using Remote Sensing and Landscape Metrics: a Case Study of City of Tshwane, South Africa (1984-2015)." The Egyptian Journal of Remote Sensing and Space Science 22 (3): 35-346. https://doi.org/10.1016/j.ejrs.2018.07.003 [URL] 🠔
  44. Mahmoud, Hatem, y Prasanna Divigalpitiya. 2019. "Spatiotemporal Variation Analysis of Urban Land Expansion in the Establishment of New Communities in Upper Egypt: a Case Study of New Asyut City." The Egyptian Journal of Remote Sensing and Space Science 22 (1): 59-66. https://doi.org/10.1016/j.ejrs.2018.03.006 [URL] 🠔
  45. Malarvizhi, K., Vasantha Kumar, y P. Porchelvan. 2016. "Use of High Resolution Google Earth Satellite Imagery in Lan-duse Map Preparation for Urban Related Applications." Procedia Technology 24: 1835-1842. https://doi.org/10.1016/j.protcy.2016.05.231 [URL] 🠔
  46. Mendoça, Rita, Peter Roebeling, Filomena Martins, Teresa Fidélis, Carla Teotónio, Henrique Alves, y João Rocha. 2020. "Assessing Economic Instruments to Steer Urban Residential Sprawl, Using a Hedonic Pricing Simulation Modelling Approach." Land Use Policy 92: 1-12. https://doi.org/10.1016/j.landusepol.2019.104458 [URL] 🠔
  47. Mendoza, Cecilia del Pilar. 2020. "El desplazamiento y la errancia en la ciudad colombiana." Revue Interdisciplinare de Travaux sur les Amériques 3 (1). 🠔
  48. Mishra, Prabuddh, Aman Rai, y Suresh Rai. 2019. "Land Use and Land Cover Change Detection Using Geospatial Techniques in the Sikkim Himalaya, India." The Egyptian Journal of Remote Sensing and Space Science 23 (2): 133-143. https://doi.org/10.1016/j.ejrs.2019.02.001 [URL] 🠔
  49. Mohamed, Asfaw, y Hailu Worku. 2019. "Quantification of the Land Use/Land Cover Dynamics and the Degree of Urban Growth Goodness for Sustainable Urban Land Use Planning in Addis Ababa and the Surrounding Oromia Special Zone." Journal of Urban Management 8 (1): 145-158. https://doi.org/10.1016/j.jum.2018.11.002 [URL] 🠔
  50. Mosammam, Hassan, Jamileh Tavakoli Nia, Hadi Khani, Asghar Teymouri, y Mohammad Kazemi. 2017. "Monitoring Land Use Change and Measuring Urban Sprawl Based on its Spatial Forms: the Case of Qom City." The Egyptian Journal of Remote Sensing and Space Science 20 (1): 103-116. https://doi.org/10.1016/j.ejrs.2016.08.002 [URL] 🠔
  51. Mouratidis, Kostas. 2019. "Compact City, Urban Sprawl, and Subjective Well-Being." Cities 92: 261-272. https://doi.org/10.1016/j.cities.2019.04.013 [URL] 🠔
  52. Naranjo Giraldo, Gloria. 2001. "El desplazamiento forzado en Colombia. Reivención de la identidad e implicaciones en las culturas locales y nacionales." Revista Electrónica de Geografía y Ciencias Sociales 94 (1). 🠔
  53. Nassar, Dina, y Hanan Elsayed. 2017. "From Informal Settlements to Sustainable Communities." Alexandria Engineering Journal 57 (4): 2367-2376. https://doi.org/10.1016/j.aej.2017.09.004 [URL] 🠔
  54. Nel-Lo, Orio. 2012. Francesco Indovina. Del análisis del territorio al gobierno de la ciudad. Barcelona: Icaria. 🠔
  55. Noronha Vaz, Eric de, Pedro Cabral, Mário Caetano, Peter Ni-jkamp, y Marco Painho. 2012. "Urban Heritage Endanger-ment at the Interface of Future Cities and Past Heritage: a Patial Vulnerability Assessment." Habitat International 36 (2): 287-294. https://doi.org/10.1016/j.habitatint.2011.10.007 [URL] 🠔
  56. Parry, Jahangeer, Showkat Ganaie, y M. Sultan Bhat. 2018. "GIS Based Land Suitability Analysis Using AHP Model for Urban Services Planning in Srinagar and Jammu Urban Centers of J&K, India." Journal of Urban Management 7 (2): 46-56. https://doi.org/10.1016/j.jum.2018.05.002 [URL] 🠔
  57. Patra, Suman, Satiprasad Sahoo, Pulak Mishra, y Subhash Mahapatra. 2018. "Impacts of Urbanization on Land Use/Cover Changes and its Probable Implications on Local Climate and Groundwater Level." Journal of Urban Management 7 (2): 70-84. https://doi.org/10.1016/j.jum.2018.04.006 [URL] 🠔
  58. Pelorosso, Raffaele. 2020. "Modeling and Urban Planning: a Systematic Review of Performance-Based Approaches." Sustainable Cities and Society 52: 1-11. https://doi.org/10.1016/j.scs.2019.101867 [URL] 🠔
  59. Plata-Rocha, Wenseslao, Monserrat Gómez-Delgado, y Joaquín Bosque-Sendra. 2011. "Simulating Urban Growth Scenarios Using GIS and Multicriteria Analysis Techniques: a Case Study of the Madrid Region, Spain." Environment an Planning B: Urban Analytics and City Science 38 (6): 1012-1031. https://doi.org/10.1068/b37061 [URL] 🠔
  60. Pontarollo, Nicola, y Rodrigo Mendieta Muñoz. 2020. "Land Consumption and Income in Ecuador: a Case of an Inverted Environmental Kuznets Curve." Ecological Indicators 108: 1-13. https://doi.org/10.1016/j.ecolind.2019.105699 [URL] 🠔
  61. PNUD (Programa de las Naciones Unidas para el Desarrollo). 2011. Colombia rural. Razones para la esperanza. Bogotá, D.C.: PNUD. 🠔
  62. Quatrini, Valerio, Anna Barbati, Francesco Carbone , Diego Giuliarelli , Dalila Russo , yPiermaria Corona . 2015. "Monitoring Land Take by Point Sampling: Pace and Dynamics of Urban Expansion in the Metropolitan City of Rome." Landscape and Urban Planning 143: 126-133. https://doi.org/10.1016/j.landurbplan.2015.06.012 [URL] 🠔
  63. Rahman, Ashiq Ur. 2016. "Sostenibilidad urbana a través de la planificación estratégica: un caso de planificación metropolitana en la ciudad de Khulna, Bangladesh." Journal of Urban Management 5 (1): 16-22. https://doi.org/10.1016/j.jum.2016.06.001 [URL] 🠔
  64. Rawat, Jainti Singh, Vivekanand Biswas, y Manish Kumar. 2013. "Changes in Land Use/Cover Using Geospatial Techniques: a Case Study of Ramnagar Town Area, District Nainital, Uttarakhand, India." The Egyptian Journal of Remote Sensing and Space Science 16 (1): 111-117. https://doi.org/10.1016/j.ejrs.2013.04.002 [URL] 🠔
  65. Sánchez Torres, Diana Marcela. 2018. "Abordajes teórico-con-ceptuales y elementos de reflexión sobre rururbanización desde los estudios territoriales." Revista de Antropología y Sociología: Virajes 20 (1): 15-35. https://doi.org/10.17151/rasv.2018.20.1.2 [URL] 🠔
  66. Schaefer, Mathias, y Nguyen Xuan Thinh. 2019. "Evaluation of Land Cover Change and Agricultural Protection Sites: a GIS and Remote Sensing Approach for Ho Chi Minh City, Vietnam." Heliyon 5 (5): 1-14. https://doi.org/10.1016/j.heliyon.2019.e01773 [URL] 🠔
  67. Sebego, Reuben, y Thando Gwebu. 2013. "Patterns, Determinants, Impacts and Policy Implications of the Spatial Expansion of an African Capital City: the Greater Gaborone Example." International Journal of Sustainable Built Environment 2 (2): 193-208. https://doi.org/10.1016/j.ij-sbe.2013.12.002 [URL] 🠔
  68. Seto, Karen, Michail Fragkias, Burak Guneralp, y Michael Reilly. 2011. "A Meta-Analysis of Global Urban Land Expansion." plos one 6 (8): e23777. https://doi.org/10.1371/journal.pone.0023777 [URL] 🠔
  69. Shawabkeh, Rami Al, Samer Bagaeen, A'Kif Al Fugara, y Huda Hijazi. 2019. "The Role of Land Use Change in Developing City Spatial Models in Jordan: the Case of the Irbid Master Plan (1970-2017)." Alexandria Engineering Journal 58 (3): 861-875. https://doi.org/10.1016/j.aej.2019.08.001 [URL] 🠔
  70. Siddiqui, Asfa, Almas Siddiqui, Sandeep Maithani, Ashutosh Kumar Jha, Pramod Kumar, y Sushil Kumar Srivastav. 2018. "Urban Growth Dynamics of an Indian Metropolitan Using CA Markov and Logistic Regression." The Egyptian Journal of Remote Sensing and Space Science 21 (3): 229-236. https://doi.org/10.1016/j.ejrs.2017.11.006 [URL] 🠔
  71. Soja, Edward. 2008. Postmetrópolis. Estudios críticos sobre las ciudades y las regiones. Madrid: Traficantes de sueños. 🠔
  72. Soto, Juan José. 2009. "El crecimiento urbano de las ciudades: enfoques desarrollista, autoritario, neoliberal y sustentable." Paradigma Económico 7 (1): 127-149. 🠔
  73. Sturzaker, John, y Giulio Verdini. 2017. "Opposition and Resistance: Governance Challenges Around Urban Growth in China and the UK." Journal of Urban Management 6 (1): 30-41. https://doi.org/10.1016/j.jum.2017.02.001 [URL] 🠔
  74. Usach, Natalia, y Bianca Freddo. 2015. "Crecimiento de una ciudad dispersa: análisis y reflexiones del caso de la ciudad de Comodoro Rivadavia." Informes Científicos Técnicos UNPA 7 (1): 219-243. https://doi.org/10.22305/ict-unpa.v7i1.122 [URL] 🠔
  75. Viderman, Tihomir. 2015. "REFINA-An Integrated and Multilevel Approach to Dealing with Land Consumption?" European Planning Studies 23 (3): 550-567. https://doi.org/10.1080/09654313.2013.878311 [URL] 🠔
  76. Webb, Robert, Xuemei Bai, Mark Stafford Smith, Robert Costanza, David Griggs, Magnus Moglia, Michael Neuman, Peter Newman, Peter Newton, Barbara Norman, Chris Ryan, Heinz Schandl, Will Steffen, Nigel Tapper, y Giles Thomson. 2018. "Sustainable Urban Systems: Co-design and Framing for Transformation." Ambio 47: 57-77. https://doi.org/10.1007/s13280-017-0934-6 [URL] 🠔
  77. Wei, Chunzhu, Hannes Taubenböck, yThomas Blaschke . 2017. "Measuring Urban Agglomeration Using a City-Scale Das-ymetric Population Map: a Study in the Pearl River Delta, China." Habitat International 59: 32-43. https://doi.org/10.1016/j.habitatint.2016.11.007 [URL] 🠔
  78. Xie, Hualin, Yanwei Zhang, y Kaifeng Duan. 2020. "Evolutionary Overview of Urban Expansion Based on Bibliometric Analysis in Web of Science from 1990 to 2019." Habitat International 95. https://doi.org/10.1016/j.habitatint.2019.102100 [URL] 🠔
  79. Zafra, Carlos, Javier Temprano, y Iñaki Tejero. 2017. "The Physical Factors Affecting Heavy Metals Accumulated in the Sediment Deposited on Road Surfaces in Dry Weather: a Review." Urban Water Journal 14 (6): 639-649. https://doi.org/10.1080/1573062X.2016.1223320 [URL] 🠔
  80. Zhan, Hao, Li-Guo Zhou, Ming-Nan Chen, y Wei-Nan Ma. 2011. "Land Use Dynamics of the Fast-Growing Shanghai Metropolis, China (1979-2008) and its Implications for Land Use and Urban Planning Policy." Sensors 11 (2): 1794-1809. https://doi.org/10.3390/s110201794 [URL] 🠔
Artículo de revisión que destaca los principales factores que influyen en la expansión urbana mundial, y se convierten en el primer insumo del proceso de investigación de la tesis de maestría en Desarrollo Sustentable y Gestión Ambiental, con el fin de generar las estrategias para la planificación de un territorio rururbano.
Bernal Sánchez, Ángela María; Hernández Peña, Yolanda Teresa; Beltrán Vargas, Julio Eduardo. 2022. "Reflexiones en torno a los factores que influyen en la expansión urbana: revisión de metodologías e instrumentos de investigación." Cuadernos de Geografía: Revista Colombiana de Geografía 31 (2): 434-449. https://doi.org/10.15446/rcdg.v31n2.89742
Tecnóloga en Gestión Ambiental y Servicios Públicos, ingeniera ambiental, especialista en Gerencia de Riesgos Laborales, Seguridad y Salud en el Trabajo, magíster en Desarrollo Sustentable y Gestión de la Universidad Distrital Francisco José de Caldas (Colombia).
Antropóloga, ingeniera catastral y geodesta, magíster en Planificación y Administración del Desarrollo Regional de la Universidad de los Andes (Colombia). Doctora en Geografía de la Universidad Nacional de Colombia. Docente de la Facultad de Medio Ambiente y Recursos Naturales de la Universidad Distrital Francisco José de Caldas (Colombia).
Biólogo marino, magíster en Ecoauditoría y Planificación Ambiental Empresarial del Medio Ambiente de la Universidad de Málaga (España). Magíster en Planificación y Administración del Desarrollo Regional de la Universidad de los Andes (Colombia). Doctor en Ciencias - Biología de la Universidad Nacional de Colombia. Docente de la Facultad de Medio Ambiente y Recursos Naturales de la Universidad Distrital Francisco José de Caldas (Colombia).