Recibido: 13 de mayo de 2020; Aceptado: 13 de mayo de 2022
Tipología funcional para áreas naturales protegidas: ruralización y urbanización en la zona central de Chile*
Functional Typology for Natural Protected Areas: Ruralization and Urbanization in Central Chile
Tipologia funcional para áreas naturais protegidas: ruralização e urbanização na zona central do Chile
Resumen
Las principales transformaciones territoriales en el valle central de Chile están asociadas a los procesos de urbanización, dejando susceptible las áreas de importancia ambiental. Este trabajo tiene como objetivo determinar los tipos de cambios en relación con las áreas naturales protegidas (ANP) de la zona central, determinando las principales y ofreciendo una explicación para cada una de ellas. La metodología empleada se basa en los cambios de cobertura de usos de suelo entre 2002 y 2015 a partir de la fotointerpretación. Para establecer las tipológicas se elaboró una matriz de confusión, caracterizando cada una de las unidades de estudio. A partir de lo anterior, se estableció la relación existente entre las infraestructuras urbanas a las ANP. Entre las conclusiones principales se destaca que el mayor impacto sobre las ANP se da por la tipología urbana, ejerciendo mayor presión con el avance del tiempo. Existe una permeabilidad en los espacios urbanos-rurales-naturales, lo que obliga a pensar en nuevas tipologías funcionales que den cuenta de estos nuevos espacios. En definitiva, estos espacios dinámicos cumplen un rol dentro de un contexto que también va evolucionado.
Palabras clave
áreas naturales protegidas, espacios rururbanos, funcionalidades del territorio, periurbano, transformaciones territoriales, usos de suelo.Abstract
The main territorial transformations in the central valley of Chile are associated with urbanization processes, leaving environmentally important areas susceptible. This work aims to determine the types of changes in natural protected areas (NPAs) of the central zone, establishing the main ones and explaining each one of them. The methodology is based on a study of changes in land use/cover between 2002 and 2015 through photointerpretation. To establish the typologies, a confusion matrix that characterizes each of the study units was developed. Based on the above, a relationship between urban infrastructure and NPAs was established. Among the main conclusions is that the greatest impact on the NPAs is caused by urban typology stands out, exerting greater pressure with the advance of time. There is also a permeability in urban-rural-natural spaces, which makes it necessary to think of new functional typologies that account for these new spaces. In summary, these dynamic spaces play a role within an evolving context.
Keywords
natural protected areas, rururban spaces, territorial functionalities, periurban, territorial transformations, land use.Resumo
As principais transformações territoriais no vale central do Chile estão associadas a processos de urbanização, deixando suscetíveis áreas de importância ambiental. O objetivo deste trabalho é determinar os tipos de alterações em relação às Áreas Naturais Protegidas (ANP) da zona central, determinando as principais e oferecendo uma explicação para cada uma delas. A metodologia utilizada baseia-se nas mudanças na cobertura do uso de solos entre 2002 a 2015 a partir da fotointerpretação. Para estabelecer as tipologias, foi criada uma matriz de confusão, caracterizando cada uma das unidades de estudo. A partir da anterior, estabeleceu-se a relação existente entre a infraestrutura urbana e a ANP. Entre as principais conclusões, destaca-se que o maior impacto na ANP se deve à tipologia urbana, e à maior pressão com o passar do tempo. Há uma permeabilidade nos espaços urbano-rurais-naturais, o que impossibilita pensar em tipologias funcionais que respondam por esses novos espaços. Em suma, estes espaços dinâmicos desempenham um papel num contexto que também está evoluindo.
Palavras-chave
área natural protegida, espaços rur-urbanos, funcionalidades do território, periurbano, transformações territoriais, usos da terra.Introducción
Como respuesta a la complejidad de los problemas del medio ambiente durante las últimas décadas, la naturaleza ha dejado de ser concebida como un sistema con funcionamiento exclusivamente interno, integrando todas sus interacciones con los otros sistemas externos, tales como los espacios rurales y urbanos (Gastó, Subercaseaux y Vera 2012; Chase y Chase 2016). Una de las consecuencias más importantes es la aparición con fuerza del ser humano como parte fundamental de este sistema, lo que empujó a la expansión de las disciplinas y la emergencia de la necesidad de un razonamiento interdisciplinario, indispensable para estudiar vínculos y problemáticas de la relación sociedad-naturaleza (Binder et ál. 2013; Anderson et ál. 2015).
En ese contexto, el análisis de las relaciones urbano-rurales han debido reformularse para dar cuenta de los nuevos enfoques en las que se observa y entender el rol que juegan los espacios naturales en dicho proceso (McGuire et ál. 2015; Van Der Ploeg 2018). También hay que caracterizar y comprender la complejidad de las transformaciones de las áreas naturales con respecto a los espacios rural y urbano contemporáneos, para lo cual se deben considerar tanto las dinámicas urbanas expansivas, como aquellos cambios productivos rurales que influyen en las transiciones de estos espacios geográficos (Toledo 2008; Demaria y Schindler 2016; Inostroza 2018). En otras palabras, a la tradicional visión que engloba lo urbano y lo rural como un sistema, se ha hecho necesario integrar el sistema natural.
En general, se han entendido los diversos procesos subyacentes y los patrones de una región urbana en relación con los sectores rurales y naturales bajo el contexto de la periurbanización (Hernández-Flores et ál. 2009; Aguilar y Escamilla 2011; Sorensen 2016). Sus postulados vienen llamando la atención sobre lo necesario de identificar sus particularidades y profundizar en el origen, alcance y funcionamiento de dichos espacios intermedios, pues las rugosidades territoriales (Santos 2000) ofrecen un relato que va más allá de las resistencias rurales al avance urbano, sino que se trata de un proceso que no es unidireccional y que involucra a los espacios naturales.
Lo urbano ha sido considerado como la fuerza motriz de las transformaciones territoriales en la modernidad (Simmel 1967; De Mattos 2010; Jacobs 2016). Lo rural, por su parte, había sido considerado como un espacio que iba sucumbiendo al avance de lo urbano, cuestión que ha venido a relativizarse, en cuanto se ha señalado que sería más bien una interacción entre ambos espacios, y no solo una relación jerárquica (Woods 2005, 2011; Halfacree 2006). Estas reconsideraciones respecto a los tradicionales espacios geográficos nos plantean la necesidad de reflexionar sobre sus características actuales.
La influencia de lo urbano va siendo determinada por los procesos de urbanización global, articulado con los procesos de financiarización, especulación inmobiliaria y la configuración de nuevos sistemas laborales (De Mattos, Fuentes y Link 2014; Hidalgo et ál. 2016). Esto cobra relevancia en el contexto latinoamericano, pues responde a desequilibrios urbanos, concentración de capital y pauperización de la calidad de vida, incluso, en las formas en que las propias ciencias estudian su relevancia (Hidalgo, Santana y Alvarado 2016; Santana 2018).
Por su parte, en estas nuevas configuraciones el espacio rural es otro protagonista, pues la complejidad del espacio rural contemporáneo ha permitido modificar su concepción tradicional, incorporando en ella las nuevas dinámicas y procesos que allí se originan (Brown y Schafft 2019). En líneas generales, se ha relevado el avance veloz de una industrialización de la agricultura y ganadería que ha significado un profundo cambio socioproductivo en las zonas agrícolas (Van Der Ploeg 2008; Akram-Lodhi y Kay 2009; Costa 2012). Al mismo tiempo, los espacios rurales han venido recibiendo una serie de iniciativas inmobiliarias —tanto de alto estándar como sociales— que rompen con la idea clásica de ruralidad (Armijo 2000; Gac y Miranda 2019).
Por último, en este proceso la naturaleza ha tomado fuerza como uno de los ejes centrales de análisis, pues ella es motivo de preocupación tanto por su disminución por el constante reemplazo de coberturas naturales por aquellas de tipo urbano, mientras que por otro lado es la misma naturaleza y las motivaciones de su protección, las que incentivan el desarrollo de estructuras urbano-rurales dispersas, principalmente en cercanías a las ciudades metropolitanas que reconfiguran estos espacios (Hinchliffe 2007; Díaz et ál. 2011; Lorimer 2012; Castree 2014). Los espacios naturales dialogan directamente con lo urbano y lo rural, a veces de manera directa, otras veces alternadamente. El avance de lo urbano ya no es solo sobre lo rural, sino que afecta directamente lo natural, y al mismo tiempo, lo rural presenta una intensidad inédita sobre estos espacios producto del desarrollo agroindustrial. Por su parte, lo natural va resistiendo a esos procesos, principalmente a través de normativas que impulsan su protección, e incluso avanzando sobre territorios que ya no desarrollan su función agraria.
En esta investigación se busca caracterizar estas transformaciones situadas en un espacio tensionado por la presencia de dos de las áreas metropolitanas más densas de Chile —el núcleo de Santiago y la conurbación Valparaíso-Viña del Mar— con cuatro Áreas Naturales Protegidas —en adelante, ANP—. En ambos casos el gradiente entre lo urbano, lo rural y lo natural presenta una diversidad de cambios en el uso de suelo que permite reflexionar en torno a la intensidad de estos.
Metodología
Área de estudio
El área de estudio está localizada en la región urbana Santiago-Valparaíso en Chile central. Considerada como un área con dinámicas espaciales relevantes durante las últimas décadas, esta región es altamente poblada pues contiene el 50,8 % de la población total chilena (INE 2017). Sus paisajes, de características mediterráneas, han sido sometidos a importantes transformaciones por intensos procesos de intervención antrópica (Schulz et ál. 2010; Hernández et ál. 2015; Montoya-Tangarife et ál. 2017). Al respecto, se observa que en esta área se ha intensificado el proceso de expansión de la urbanización y de su potencial urbanizable (Hidalgo et ál. 2005); además, se identifican diferentes magnitudes de consolidación y formas de ocupación (Hidalgo et ál. 2014).
En el área se encuentran remanentes de ecosistemas nativos de importancia para la población local y regional, los cuales podrían ver afectada su provisión potencial de servicios ecosistémicos por el intenso proceso de expansión de la urbanización al que se enfrentan esta región, el cual ha sido incentivado por “una regulación de usos del suelo con gran flexibilidad” (Hidalgo et ál. 2014, 12).
La delimitación de las unidades de análisis en el área de estudio se generó a partir de las ANP, en su mayoría incorporadas en el al Sistema Nacional de Áreas Silvestres Protegidas del Estado —en adelante, SNASPE— y dentro de las cuales se incluyen Reservas Nacionales, Parques Nacionales y Monumentos Naturales. También, se consideraron Santuarios de la Naturaleza, Red de Áreas Privadas Protegidas (RAPP), Bienes Nacionales Protegidos y Sitios Ramsar.
Las ANP seleccionadas cuentan con una superficie mayor a 5 km2 y a ellas se adicionó un área de influencia, definida a partir de su límite exterior y concebida como una franja con una extensión de 5 km. Esta extensión fue considerada como la distancia que recorrería un habitante periurbano en aproximadamente dos horas para desplazarse al área natural más cercana (Knoblauch et ál. 1996). Se obtuvieron entonces cuatro unidades a analizar: Altos de Cantillana (AC: 16.942 ha), Río Clarillo (RC: 23.942 ha), Lago Peñuelas (LP: 17.393 ha) y La Campana (LC: 14.184 ha) (Figura 1).
Respecto a las ANP involucradas en esta investigación, es importante mencionar que la Corporación Nacional Forestal —en adelante, CONAF— es la entidad administrativa encargada de las ANP localizadas en el área de estudio. Esta entidad está conformada como una corporación privada, lo cual se considera como una debilidad jurídica para el resguardo de las ANP. Por su parte, el SNASPE creado por el Ministerio de Agricultura en 1984 se encuentra condicionado a la promulgación del marco legal que establece la institucionalidad forestal pública de su administración —CONAF— (Sierralta et ál. 2011). A pesar de estas discordancias identificadas en el marco normativo, desde el 2011 se discute la promulgación del proyecto de ley para la creación del Servicio de Biodiversidad y Áreas Protegidas (SBAP). La aprobación de esta ley promoverá la intensificación jurídica y normativa en pro de la protección de la biodiversidad, junto con la conformación institucional pertinente del SNASPE, generando así nuevos y mejores instrumentos para la gestión de estas áreas de valor ambiental, bajo la tutela del Ministerio del Medio Ambiente (Jorquera, Salazar y Montoya-Tangarife 2017).
Figura 1
: Localización del área de estudio y de las unidades de análisis en la región urbana Santiago-Valparaíso, Chile.
Junto con lo anterior, existen otros instrumentos de carácter indicativo que apuntan a la conservación de biodiversidad, tales como la Estrategia Nacional (ENB) y la Estrategia Regional (ERB) disponibles en la región urbana Santiago-Valparaíso (MMA 2013; GORE-RMS - SEREMI MMA RMS 2013). En el caso específico de la Región Metropolitana esta se encuentra vigente (2015-2025), mientras que para la Región de Valparaíso está en proceso de actualización (2005).
El contexto anterior evidencia un actual problema en esta materia, la falta de una institucionalidad robusta que permita un mejor manejo y financiamiento para la gestión de las ANP, junto con una mayor injerencia en la vinculación e integración de estas áreas en la planificación territorial (MMA 2013).
Identificación de las coberturas del suelo presentes en cada una de las unidades analizadas
Se identificaron once coberturas del suelo, entre las que se incluyen actividades agrícolas, bosques, matorrales, praderas, vegetación escasa, cuerpos de aguas, habitacional rural, parcelas de agrado, 6 infraestructuras, urbano y plantaciones forestales. Esta identificación se obtuvo a través de imágenes satelitales QuickBird de Google Earth que cuentan con una resolución de 3x3 m, todas en temporada de verano. Para ello, se analizó un período temporal de trece años, donde se estableció como situación de partida el 2002 (fecha más antigua disponible en las imágenes históricas de Google Earth), a excepción de la unidad Altos de Cantillana que dispone de imágenes desde el 2006. El 2015 fue escogido como situación final para el análisis, año en que comenzó la investigación. Posteriormente se digitalizaron las coberturas del suelo con una escala de 1:5.000. Los límites de las unidades fueron reajustados durante el proceso de fotointerpretación, considerando límites prediales y vías principales.
Ranking de uso para cada una de las unidades de análisis
Esta clasificación se estableció a partir de la identificación de los tres principales cambios en las coberturas del suelo para cada unidad. Para ello se utilizó el software Idrisi TerrSet, a través del cual se generó una matriz de confusión para cada uno de los casos analizados. En este proceso se tuvieron en cuenta dos criterios de selección: i) los tres principales cambios de las coberturas del suelo en cada área considerando su magnitud y ii) la dirección de cambio para cada uno de los casos.
Tipologías funcionales identificadas
Las tipologías funcionales fueron establecidas a partir de la identificación de las diferentes coberturas del suelo en cada unidad de análisis, considerando su funcionalidad en el territorio y la dirección de cambio observada en las transformaciones identificadas en las distintas unidades:
Tipología funcional urbana: compuesta por las parcelas de agrado, habitacional rural y urbano. Se caracteriza por integrar componentes de tipo residencial, concentrada y/o dispersa con distintos estratos socioeconómicos.
Tipología funcional rural: conformada por las actividades agrícolas, plantaciones forestales, e infraestructuras relacionadas. Se localizan fuera de los límites urbanos, y están asociadas principalmente al sector silvoagropecuario.
Tipología funcional natural: compuestas por bosques, matorrales, praderas, vegetación escasa y cuerpos de aguas. Se caracterizan por ser parte principalmente de ecosistemas nativos terrestres y acuáticos.
Indicadores de proximidad al área natural protegida
Considerando que uno de los principales impulsores de transformación en las coberturas del suelo son los usos urbanos, esta última fase metodológica se obtuvo a partir de la definición de la tipología funcional urbana, donde se calcularon indicadores de proximidad de las coberturas del suelo habitacional rural, parcelas de agrado y urbano respecto al borde del ANP, considerando la distribución espacial de estas coberturas. Este indicador fue realizado para aquellas coberturas más próximas al ANP y se generó a partir de herramientas del software ArcGIS versión 10.7.
Resultados
Coberturas del suelo en cada unidad de análisis para los años analizados
En la distribución de las coberturas del suelo se identificaron configuraciones espaciales diferentes en cada una de las unidades estudiadas (Figura 2). La Campana, por ejemplo, con el 18 % de su superficie dentro del parque nacional del mismo nombre, presenta una composición espacial con predominancia de coberturas naturales (bosques y matorrales), las cuales presentaron un cambio menor en su estructura, mientras que las parcelas de agrado, con una menor proporción en superficie se incrementan significativamente. La Tabla 1 reúne los principales cambios registrados en las unidades de análisis para los años estudiados.
Figura 2
: Coberturas del suelo identificadas en cada una de las unidades de análisis para los años 2002 y 2015: A) La Campana, B) Lago Peñuelas, C) Río Clarillo y D) Altos de Cantillana.
Tabla 1: Variación de las coberturas del suelo en las unidades de análisis para un periodo de 13 años*
Coberturas del suelo
La Campana
Lago
Peñuelas
Río
Clarillo
Altos de Cantillana
∆
2002-2015 (%)
∆
2002-2015 (%)
∆
2002-2015 (%)
∆
2002-2015 (%)
Actividad agrícola
-7
-
+29
-13,2
Bosques
-0,4
0
+12,7
-13,7
Matorrales
-1,5
-0,5
-3,4
+6,1
Praderas
-10,8
+68,2
-5,3
+120
Vegetación escasa
+3,4
+1519
-1
-0,1
Cuerpos de agua
-30,3
-69,3
-0,7
-56,4
Habitacional rural
+8,1
0
+1
0
Parcelas de agrado
+63,5
-1,6
+17,4
+6,2
Infraestructuras
-0,3
0
+23,5
+402,8
Urbano
+14,5
+55,9
+72,8
+22,3
Actividad forestal
-99,4
-21,7
-17,2
-4,4
Por el contrario, en la unidad Lago Peñuelas, donde el 53 % corresponde a la reserva Nacional Lago Peñuelas, predominan las plantaciones forestales, y son precisamente estas las principales dinamizadoras de la configuración espacial de la unidad, pues a ellas se asocia el incremento considerable de la vegetación escasa; por su parte, las praderas aumentan a la vez que los cuerpos de agua disminuyen. En menor medida se identifican parcelas de agrado y coberturas de suelo de tipo habitacional rural con cambios poco reveladores, mientras que las actividades agrarias están ausentes.
En la unidad Río Clarillo, vinculada al Parque Nacional Río Clarillo, la cual cubre el 54 % de su superficie de la ANP, predominan coberturas de la vegetación escasa y naturales (bosques y matorrales), siendo estas coberturas las que presentan menores transformaciones en los años analizados. En esta unidad se insertan actividades agrarias en menor proporción, pero que por sus transformaciones se consideran dinamizadoras de esta unidad; la superficie ocupada por las parcelas de agrado se incrementa, mientras que las variaciones en habitacional rural son mínimas.
Para la unidad Altos de Cantillana, donde la Reserva Natural Protegida ocupa el 19 % de su superficie de la ANP, la composición espacial está dominada por matorrales y bosques, coberturas que no evidencian cambios mayores para los años analizados; mientras tanto, las actividades agrarias a pesar de contar con una baja representatividad espacial evidencian una disminución posiblemente asociada al incremento de infraestructuras (principalmente de tipo invernadero); los cuerpos de agua también disminuyen y se evidencia un incremento en las praderas. En esta unidad las parcelas de agrado se incrementan, aunque no son los mayores cambios registrados.
Ranking de las coberturas de uso del suelo
A partir de las coberturas del suelo para los años de estudio, se realizó el cálculo de una matriz de confusión para cada una de las áreas de análisis, obteniendo así la congruencia de los datos resultantes en la clasificación de las coberturas del suelo respecto de la imagen original. Esta congruencia se expresa a través del índice kappa que arrojó valores de 0,965 en la ANP La Campana, 0,842 en el ANP Lago Peñuelas, 0,923 en Altos de Cantillana y 0,968 en Río Clarillo. Estos valores dan cuenta de la alta precisión de la clasificación de las coberturas del suelo obtenidas en esta investigación, puesto que valores entre 0,8 y 1 indican concordancia perfecta (Landis y Koch 1977).
Respecto de la variación de la configuración espacial de las coberturas del suelo, en el análisis se obtuvo la magnitud de cambio de estas coberturas (ha) para cada una de las unidades de análisis, pudiendo identificar así las diferentes transiciones ocurridas entre las coberturas (Tabla 2).
Tabla 2: Cambios predominantes de coberturas del suelo en las áreas de análisis
Hectáreas
(ha)
Cambio de cobertura
Coberturas de suelo
Código
La Campana
60
4 | 8
Actividad agrícola
1
56
3 | 8
Bosques
2
50
1 | 4
Matorrales
3
36
4 | 1
Praderas
4
26
2 | 8
Vegetación escasa
5
Lago Peñuelas
1.293
11 | 5
Cuerpos de agua
6
1.047
6 | 4
Habitacional rural
7
146
11 | 10
Parcelaciones
8
83
4 | 10
Infraestructuras
9
31
3 | 10
Urbano
10
Río Clarillo
165
3 | 2
Actividad forestal
11
164
3 | 1
54
4 | 1
53
3 | 5
48
4 | 10
Altos de Cantillana
686
6 | 4
614
2 | 3
122
1 | 9
33
4 | 8
29
3 | 2
De acuerdo con la información de la tabla anterior se identificaron los tres cambios más relevantes desde el punto de vista de la magnitud en cada una de las unidades:
Unidad La Campana:
-
Praderas a parcelas de agrado: correspondiente a la irrupción de las parcelas de agrado en áreas naturales.
-
Matorrales a parcelas de agrado: correspondiente a la irrupción de las parcelas de agrado en áreas naturales.
-
Actividades agrícolas a praderas: esta transformación podría ser consecuencia del abandono de prácticas agrícolas en la zona, ya sea por la cercanía del área protegida, por cambios productivos o por cambios en los patrones poblacionales en la zona.
En esta unidad se considera como principal agente de transformación las parcelas de agrado, es decir, la expansión de este tipo de ocupación habitacional que se constituye a partir de la búsqueda mejores condiciones de vida, garantizada por formas de habitar próximas a la experiencia de lo natural.
Unidad Lago Peñuelas:
-
Plantaciones forestales a vegetación escasa: esta transformación se explica a partir de la importante presencia de plantaciones forestales cosechadas, que según el criterio seleccionado para esta investigación corresponde a “vegetación escasa”, pues se asume que ya no es un espacio de producción forestal y presenta un suelo desnudo con incipiente aparición de nueva vegetación.
-
Cuerpos de agua a praderas: corresponde a la evidente disminución de los cuerpos de agua, específicamente del lago Peñuelas.
-
Plantaciones forestales a urbano: esta transformación se expresa a través de la urbanización de suelos anteriormente ocupados por plantaciones forestales y que se reconvierten, producto de la cercanía de la conurbación Valparaíso-Viña del Mar.
De acuerdo con estas transformaciones, esta es una unidad que corresponde principalmente a un espacio forestal, el cual determina los usos potenciales y funciones respecto al área protegida que la configura.
Unidad Río Clarillo:
-
Matorrales a bosques: estas transformaciones corresponden principalmente a procesos de sucesión ecológica, que pueden estar relacionados con la cercanía con el área protegida.
-
Matorrales a actividades agrícolas: este cambio obedece al reemplazo de áreas naturales que han sido transformadas por actividades agrícolas.
-
Praderas a actividades agrícolas: al igual que cambio anterior se identifica el reemplazo de áreas con coberturas de praderas por actividades agrícolas.
A partir de las transformaciones anteriores se identifica esta unidad como un espacio que se encuentra en proceso de agricolización, pues queda en evidencia que la agricultura es la actividad que mayor dinamismo presenta en el área.
Adicionalmente, resulta interesante para esta unidad la sucesión ecológica como principal factor de cambio, pues indica la transformación de los espacios naturales y su profundización, producto de la cercanía del área natural.
Unidad Altos de Cantillana:
-
Cuerpos de agua a praderas: esta transformación corresponde a la disminución de los cuerpos de agua, principalmente a la desaparición casi total de la Laguna de Aculeo, producto no solo de la sequía por la que atraviesa la zona, sino también por la intervención y demanda de recursos hídricos humanos que han sucedido de manera sistemática durante los últimos años.
-
Bosques a matorrales: este cambio es producto principalmente de perturbaciones (naturales o antrópicas) que alteran la estructura de estos ecosistemas.
-
Actividades agrícolas a infraestructuras: esto denota transformaciones productivas al interior del rubro agrícola, pues estas infraestructuras generalmente están asociadas a dichas actividades económicas.
Entre las unidades analizadas esta es una de las áreas más heterogéneas en cuanto a sus transformaciones, pues presenta cambios provenientes de distintas coberturas y en distintas proporciones que no permiten identificar una tendencia clara en su configuración.
Distribución espacial de las tipológicas funcionales
Con base en la magnitud de las transformaciones espaciales descritas y la dirección de cambio observadas en las diferentes unidades de análisis, se identificaron las siguientes distribuciones espaciales para las tipologías funcionales (Figura 3):
Figura 3
: Distribución espacial de las tipologías funcionales para las unidades de análisis. a) Lago Peñuelas, b) La Campana, c) Altos de Cantillana, d) Río Clarillo.
Existe una tendencia espacial diferente en cada una de las unidades de análisis (véase figura 3), siendo posible identificar diversas formas de cambio. Por ejemplo, las unidades de la Región de Valparaíso (La Campana-Lago Peñuelas) presentan influencia de la funcionalidad urbana de la región, debido a que se encuentran próximas a los centros urbanos consolidados. Mientras que en las unidades presentes en la Región Metropolitana existen un predominio de la funcionalidad natural, donde la conectividad vial se caracteriza por ser de carácter secundario, sin flujo vehicular directo con las áreas urbanas que incentiven la transformación de estos espacios naturales.
Las transiciones de las coberturas de suelo asociadas a la funcionalidad rural son predominantes en la unidad Lago Peñuelas (principalmente asociadas a la actividad forestal), no solo en las zonas fuera del límite de la reserva, sino también dentro de esta. Esto radica en los mismos orígenes del ANP, siendo una zona de origen artificial, a partir de la construcción del embalse del mismo nombre, a principios del siglo XX, el cual fue posteriormente protegido por la figura del SNASPE.
En el caso de la unidad La Campana existe una heterogeneidad de funcionalidades urbana y rural en función del área natural protegida, debido a la existencia de una dispersión tanto de actividad agrícola como de parcelas de agrado. Lo que contrasta con las unidades Altos de Cantillana y Río Carillo, las cuales presentan una tipología rural concentrada.
Indicadores de proximidad de la tipología funcional urbana al ANP en cada área natural protegida
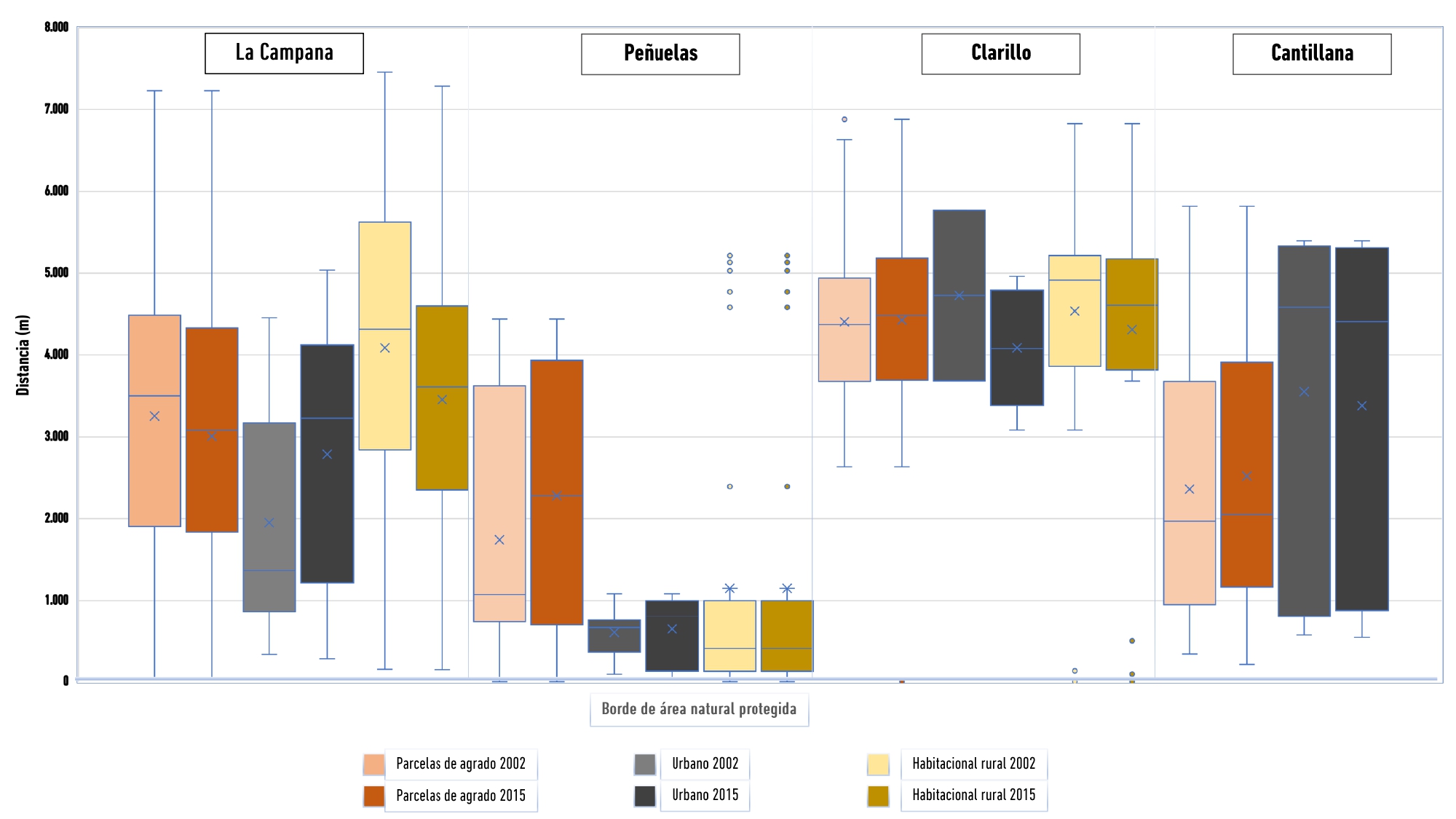
En la unidad La Campana los resultados del análisis de proximidad entre las parcelas de agrado, habitacional rural y urbano —tipología funcional urbana— hacia el borde del ANP, establecieron que las distancias respecto al Parque Nacional La Campana se redujeron. Un asunto comprobado en el incremento de los datos observados en las distancias más cercanas al borde del ANP y sumado a una reducción para el 2015 de los límites del cuartil donde se localizan el 50 % de los datos, establecidos entre 4 km y 1,8 km aproximadamente. Lo anterior es evidencia de la tendencia de la tipología funcional urbana a localizarse en proximidades del área natural protegida en esta unidad, en especial la categoría parcelas de agrado (Figura 4).
Figura 4
: Proximidad de las coberturas del suelo que conforman la tipología funcional urbana a las Áreas Naturales Protegidas
Respecto a la unidad Lago Peñuelas (LP) se encontró que para las parcelas de agrado y habitacional rural, las distancias a la Reserva Nacional Lago Peñuelas no se modificaron; se evidencia también la cercanía de esta cobertura del suelo al borde del área natural protegida, donde se identifica que aproximadamente el 50 % de los datos están distribuidos entre 94 m y 940 m de distancia a este borde para ambos años. Ocurre lo contrario con la cobertura del suelo urbano, la cual obtuvo incrementos considerables en su superficie y donde se identifica una tendencia de acercamiento al ANP, a partir de la disminución de la distancia menor hacia el borde (39 m para el 2015) y del límite inferior donde se localizan aproximadamente el 50 % de los datos. Por lo tanto, en esta unidad la tipología funcional urbana también se localiza en proximidades del ANP.
En Altos de Cantillana no se encontró evidencia de aproximación al ANP para las coberturas del suelo habitacional rural y urbano en los años analizados; sin embargo, se reconoce la cercanía de estas categorías al borde del ANP, pues se muestran datos localizados por debajo de 1 km de distancia. El panorama es distinto para la cobertura parcelas de agrado que, si refleja una aproximación de su localización al área natural protegida, y que mantiene aproximadamente al 75 % de los datos por debajo de los 4 km de distancia. Se mantiene entonces la localización de la tipología funcional urbana en proximidades del ANP, particularmente desde la categoría de parcelas de agrado.
Finalmente, en la unidad Río Clarillo no se observan tendencias claras de aproximación al Parque Nacional para las coberturas del suelo habitacional rural y parcelas de agrado, con excepción de algunos valores atípicos que se identifican en el borde del ANP y pertenecientes a ambas categorías. De igual manera y a pesar de la aproximación de los usos urbano al borde del ANP, se conserva una distancia considerable al área protegida (3,5 km). En esta unidad, entonces, la tipología funcional urbana no evidencia aún relación de su ocupación espacial con la proximidad al borde del ANP.
Definición de las tipologías funcionales a partir de su configuración espacial
En la Tabla 3 se reúnen los principales resultados encontrados en esta investigación para las unidades de análisis, los cuales permiten definir las tipologías funcionales en cada una de ellas. Así, la unidad Lago Peñuelas se presenta como un espacio principalmente forestal y con gran presencia de usos urbanos que se aproximan al borde del ANP, los cuales han reemplazado principalmente plantaciones forestales, praderas y matorrales, evidenciando una tipología resultada del incremento de los usos urbanos más que de usos de tipo periurbano (parcelas de agrado y habitacional rural).
Tabla 3: Definición de las tipologías funcionales identificadas en cada una de las unidades de análisis en el área de estudio
Por el contrario, la unidad La Campana donde las parcelas de agrado y la cobertura habitacional rural son protagonistas en las transformaciones espaciales a través de reemplazo de praderas, matorrales y bosques, se establece una tipología funcional urbano-rural dispersa con aproximación al borde del ANP.
Para la unidad Altos de Cantillana con transformaciones espaciales predominantes en las actividades agrarias y en las coberturas naturales, se identifica a las parcelas de agrado como elementos transformadores mediante el reemplazo de actividades agrarias y matorrales, y se obtiene así una tipología funcional urbana concentrada (por parcelas de agrado) hacia el borde del ANP.
Finalmente, en la unidad Río Clarillo predominan incrementos en los usos del suelo urbanos y rurales, mediante el reemplazo de praderas y matorrales principalmente, y aunque no revela un acercamiento al ANP si evidencia una tipología funcional urbana concentrada (principalmente de parcelas de agrado), pero alejada del borde del ANP.
Discusiones
Los principales resultados de esta investigación confirman que las ANP que están en un contexto de metropolización presentan cambios significativos a través del tiempo, como producto del desarrollo de las tecnologías de información en los sistemas de producción y de organización (como las tecnologías de comunicación y otros cambios tecnológicos), que han provocado esta aceleración en el crecimiento de las ciudades, generándose fuertes procesos de deslocalización y relocalización de las actividades económicas, y rompiendo de este modo las barreras físicas de las restricciones espaciales (Arroyo 2001; Precedo 2002).
Lo anterior clarifica la complejidad de las interacciones entre las diferentes funcionalidades del territorio actual, superando la clásica linealidad natural-rural-urbano, presentando incluso saltos funcionales desde lo natural a lo urbano o retrocesos desde lo rural a lo natural.
En este sentido, cada una de las unidades de análisis posee sus propias configuraciones espaciales y procesos de cambio, vinculados a las transiciones de las coberturas del suelo (principalmente a usos y funciones urbanas), reconociendo lo urbano como un elemento impulsor de cambios y definiendo las características del territorio en torno a ellos.
Respecto a las singularidades presentes en cada una de las unidades de análisis, se identificó por ejemplo que la unidad Lago Peñuelas está realmente influenciada por la conurbación Valparaíso-Viña del Mar y cumple sus funciones de “ciudad dormitorio”. En ella el cambio más significativo se observa en torno al crecimiento de las áreas urbanas. En cuanto a la cobertura de uso habitacional rural se identificó una configuración espacial que va desarrollando en torno a las vías. De esta manera, la red vial cumple funciones importantes para la unidad puesto que representa la conexión entre la Región Metropolitana de Santiago y la Región de Valparaíso, cumpliendo entonces, una funcionalidad de tipo urbana residencial. Esta unidad incluye un centro urbano consolidado (Placilla) que cuenta con todos los servicios básicos para los habitantes del sector, situación que finalmente ejerce un papel relevante en el funcionamiento de la unidad de análisis.
La Campana, por su parte, es una unidad habitacional de segunda residencia. Las principales transformaciones se concentran en el incremento de las parcelas de agrado, especialmente aquellas cercanas a las vías principales y algunas más dispersas en caminos secundarios y locales. Esto evidencia una funcionalidad de tipo migración por amenidad y los crecimientos urbanos son menos significativos que en las demás unidades. En esta unidad se busca mantener las características de lo natural como parte de los atractivos y de calidad de vida para sus habitantes. Aunque cuenta con un centro urbano (Olmué), este tiene más características rurales que urbanas, pues conserva características culturales tradicionalmente rurales y además puede ser considerado como periferia de la periferia, pues está asociado con otras localidades como Quilpué y Limache.
Altos de Cantillana presenta una tipología funcional más de segunda residencia, su función principal es la búsqueda de amenidad, a través de la exploración de espacios naturales para satisfacer necesidades de las nuevas ocupaciones. El ANP cumple una clara función de atractivo para estas. Sin embargo, sigue teniendo influencia desde los grandes centros urbanos. El área urbana de esta unidad es más pequeña, menos consolidada y básicamente cumple funciones de prestación de servicios para sus habitantes. En este caso la modificación más importante se observa a través del incremento en las parcelas de agrado tanto agrupadas como dispersas en dirección al ANP. Al ser un área natural protegida privada y por su marco normativo vigente, se facilita la subdivisión de predios, a lo que se suma la actual búsqueda de espacios de naturales para la recreación, el ocio y el mejoramiento de la calidad de vida, asociada a la nueva percepción de lo natural por parte de los urbanitas.
Para el caso de la unidad de Río Carillo, siendo esta el área más alejada de los centros urbanos consolidados posee los usos urbanos concentrados y es considerado como un lugar de destino y de habitación permanente. La geografía de esta unidad dificulta la intensificación de usos urbanos, puesto que siendo una unidad de montaña no cuenta con un área urbana consolidada y se dedica principalmente a la prestación de servicios para los habitantes locales. Esta área natural puede ser más significativa a nivel de comunidad, puesto que en ella existe historia campesina, tiene resignificación por sus recursos naturales y aún conserva estas características a pesar de estar dentro del área de influencia metropolitana, siendo la única área protegida de la Región Metropolitana bajo la figura del SNASPE.
Finalmente, se evidencia una distintiva funcionalidad tanto urbana como rural y natural en cada una de las unidades de análisis, que renueva la discusión de estos conceptos, y que requiere la consideración del contexto socioterritorial donde se localice.
Las ANP son polos de atracción en áreas metropolitanas, para múltiples funciones y finalidades como búsqueda de amenidad, calidad de vida y de proximidad a la naturaleza en un mundo donde trabajar en conglomerados urbanos, pero vivir en las afueras de la ciudad se ha convertido en el “sueño americano” de los urbanitas. A su vez, en el ámbito productivo presenta grandes potencialidades puesto que son suelos de menor valor comercial próximos a infraestructura vial principal. Lo anterior demuestra la necesidad de establecer un ordenamiento territorial que aborde los nexos entre los diferentes componentes que configuran estos espacios.
Conclusiones
Hay que superar la visión lineal de los espacios naturales-rurales-urbanos hacia una mirada más sistemática en la cual los espacios están en constante transformación, y lo natural no es una etapa sobre la cual no se pueda volver, en manos de los rural o urbano; tampoco lo rural es irreversible respecto de lo urbano, sino que hay momentos en los cuales ese orden lógico no funciona y por lo tanto se revierte.
Con las transformaciones espaciales observadas en este tipo de espacios es necesario avanzar hacia otras formas de tipología funcionales más complejas que permitan dar cuenta de las especificidades de cada uno de los espacios. Las unidades territoriales y sus transformaciones nos muestran un panorama mucho más complejo del que se podría señalar en primera instancia.
Es relevante analizar la manera cómo se confirman estas transformaciones espaciotemporales (p. ej. migración por amenidad) en los nuevos contextos de cambio global, según la tendencia de cambios ejercidas en un contexto de ciudades metropolitanas, para que sea posible también una planificación más efectiva y próxima a las velocidades de transformación observada en los mismos. Las tipologías funcionales deberían servir como una herramienta analítica adicional para poder analizar los procesos de cambio, abordando tanto las causas como las consecuencias de las metamorfosis territoriales.
Referencias
- Aguilar, Adrián Guillermo, e Irma Escamilla. 2011. Periurbanización y sustentabilidad en grandes ciudades. Ciudad de México: UNAM, Instituto de Geografía. 🠔
- Akram-Lodhi, H., y Cristobal Kay. 2009. “The Agrarian Question: Peasant and Rural Change.” En Peasant and Globalization. Political Economy, Rural Transformation and the Agrarian Question editado por H. Akram-Lodhi y C. Kay, 3-33. New York: Routledge. 🠔
- Anderson, Christopher, José C. Pizarro, Rodrigo Estévez, Alexandra Sapoznikow, Aníbal Pauchard, Olga Barbosa, Andrés Moreira-Muñoz, y Alejandro E.J. Valenzuela. 2015. “¿Estamos avanzando hacía una socio-ecología? Reflexiones sobre la integración de las dimensiones “humanas” en la ecología en el sur de América.” Ecología Austral 25 (3): 263-272. https://doi.org/10.25260/EA.16.25.3.0.94 [URL] 🠔
- Arroyo, Mercedes. 2001. “La dinámica de las Áreas Metropolitanas en un contexto de desindustrialización.” Revista de Geografía Norte Grande, no. 28, 57-64. 🠔
- Brown, David, y Kai A. Schafft. 2019. Rural People and Communities in the 21st Century. Cambridge: Polity Press. 🠔
- Castree, Noel. 2014. Making Sense of Nature. London: Routledge. 🠔
- Costa, Guilherme. 2012. Do capital financiero na agricultura a economia do agronegócio. Porto Alegre: Mudanças Cíclicas em Meio Século (Editoria U). 🠔
- De Mattos, Carlos; Luis Fuentes, y Felipe Link. 2014. “Tendencias recientes del crecimiento metropolitano en Santiago de Chile. ¿Hacia una nueva geografía urbana?” Revista INVI 29 (81): 193-219. 🠔
- Díaz, Sandra, Fabien Quetier, Daniel M. Caceres, Sarah F. Trainor, Natalia Perez-Harguindeguy, M. Syndonia Bret-Harte, Bryan Finegan, Marielos Pena-Claros, y Lourens Poorter. 2011. “Linking Functional Diversity and Social Actor Strategies in a Framework for Interdisciplinary Analysis of Nature’s Benefits to Society.” Proceedings of the National Academy of Sciences 108 (3): 895-902. https://doi.org/10.1073/pnas.1017993108 [URL] 🠔
- GORE-RMS - SEREMI MMA RMS (Gobierno Regional Metropolitano de Santiago y Secretaría Regional Ministerial del Ministerio del Medio Ambiente, Región Metropolitana de Santiago). 2013. “Estrategia Regional para la Conservación de la Biodiversidad en la Región Metropolitana de Santiago 2015-2025.” Licitación 1261-3- LP12/2012. Código BIP N°30096753-0. Consultado el 13 de enero de 2020. https://www.gobiernosantiago.cl/wp-content/uploads/2014/doc/estrategia/Estrategia_Regional_para_la_Conservacion_de_la_Biodiversidad_RMS_2015-2024,_2014.pdf 🠔
- Halfacree, Keith. 2006. “Rural Space: Constructing A Three-Fold Architecture.” En The Handbook of Rural Studies editado por P. Cloke, T. Marsden, y P. Mooney, 44-62. London: SAGE. 🠔
- Hernández-Flores, José Alvaro, Beatriz Martínez-Corona, José Arturo Méndez-Espinoza, Ricardo Pérez-Avilés, Javier Ramírez-Juárez, y Hermilio Navarro-Garza. 2009. “Rurales y periurbanos: una aproximación al proceso de conformación de la periferia poblana.” Papeles de Población 15 (61): 275-295. 🠔
- Hidalgo, Rodrigo, Alejandro Salazar, Rodrigo Lazcano, Francisco Roa, Lily Álvarez, y Mario Calderón. 2005. “Transformaciones socioterritoriales asociadas a proyectos Residenciales de condominios en comunas de la periferia del Área Metropolitana de Santiago.” Revista INVI 20 (54): 104-133. https://doi.org/10.5354/0718-8358.2005.62174 [URL] 🠔
- Hidalgo, Rodrigo, Daniel Santana, y Voltaire Alvarado. 2016. “Mitos, ideologías y utopías neoliberales de la producción del espacio: hacia una agenda de investigación alternativa.” En las costas del neoliberalismo. naturaleza, urbanización y producción inmobiliaria: experiencias en Chile y Argentina, editado por R. Hidalgo, D. Santana, V. Alvarado, F. Arenas, A. Salazar, C. Valdebenito, y L. Álvarez, 24-66. Santiago de Chile: Instituto de Geografía, PUC; Instituto de Geografía, PUCV. 🠔
- Hidalgo Rodrigo, Federico Arenas, Rafael Sánchez, y Pascal Volker. 2014. “La Macrozona Central Chilena: formas de crecimiento, vulnerabilidad y sustentabilidad.” En Metropolizaciones Colombia Chile: Experiencias de Bogotá, Medellín, Santiago y Concepción, 11-26. Bogotá: Universidad Nacional de Colombia. 🠔
- Hidalgo, Rodrigo, Pablo Camus, Alex Paulsen, Jorge Olea, y Voltaire Alvarado. 2016. “Extractivismo inmobiliario, expoliación de los bienes comunes y esquilmación del medio natural. El borde costero en la macrozona central de Chile en las postrimerías del neoliberalismo.” En INNSBRUCKER GEOGRAPHISCHE STUDIEN, Die Welt verstehen-eine geographische Herausforderung. Eine Festschrift der Geographie Innsbruck fur Axel Borsdorf. Innsbruck: Geographie Innsbruck, 251-270. 🠔
- Hinchliffe, Steave. 2007. Geographies of Nature. Societies, environments, ecologies. London: SAGE. 🠔
- Jorquera Guajardo, Felipe, Alejandro Salazar Burrows, y Claudia Montoya-Tangarife. 2017. “Nexos espacio-temporales entre la expansión de la urbanización y las áreas naturales protegidas. Un caso de estudio en la Región de Valparaíso, Chile.” Investigaciones Geográficas, no. 54, 41-60. https://doi.org/10.5354/0719-5370.2017.48041 [URL] 🠔
- MMA (Ministerio del Medio Ambiente). 2013. “Planificación Nacional de la Biodiversidad para apoyar la implementación del Plan Estratégico de la Convención de Diversidad Biológica (CDB) 2011-2020.” Diagnostico; Estado y Tendencias de la Biodiversidad: Región de Valparaíso. Ministerio del Medio Ambiente, Región de Valparaíso. Proyecto N° 82692. Consultado el 13 de enero de 2020 🠔
- Montoya-Tangarife, Claudia, Francisco de la Barrera, Alejandro Salazar, y Luis Inostroza. 2017. “Monitoring the Effects of Land Cover Change on The Supply of Ecosystem Services in An Urban Region: A study of Santiago-Valparaíso, Chile.” PLOS ONE 12 (11): e0188117. https://doi.org/10.1371/journal.pone.0188117 [URL] 🠔
- Precedo Ledo, Andrés. 2002. Nuevas realidades territoriales para el siglo XXI, desarrollo local, identidad territorial y ciudad difusa. Madrid: Editorial Síntesis, col. Espacios y Sociedades. 🠔
- Santos, Milton. 2000. La naturaleza del espacio: técnica y tiempo. Razón y emoción. Barcelona: Editorial Ariel. 🠔
- Sierralta, Leonel, Ricardo Serrano, Jaime Rovira, y Claudia Cortés. 2011. Las áreas protegidas de Chile. Ministerio del Medio Ambiente. Consultado el 6 de febrero de 2020. https://research.csiro.au/gestionrapel/wp-content/uploads/sites/79/2016/11/Las-%C3%A1reas-protegidas-de-Chile-Antecedentes-Institucionalidad-Estad%C3%ADsticas-y-Desaf%C3%ADos-2011.pdf [URL] 🠔
- Simmel, Georg. 1967. “A metrópole e a vida mental.” En O fenômeno urbano, organizado por Otávio Guilherme Velho, 11-25. Rio de Janeiro: Zahar Editores. 🠔
- Toledo, Victor. 2008. “Metabolismos rurales: hacia una teoría económico-ecológica de la apropiación de la naturaleza.” Revista Iberoamericana de Economía Ecológica 7: 1-26. 🠔
- Van Der Ploeg, Jan D. 2008. The New Peasantries. Struggles for Autonomy and Sustainability in an Era of Empire and Globalization. London: EARTHSCAN. 🠔
- Woods, Michael. 2005. Rural Geography. California: SAGE. 🠔
- Woods, Michael. 2011. Rural. London: Routledge. 🠔
