Cuadernos de Geografía: Revista Colombiana de Geografía
0121-215X
2256-5442
Facultad de Ciencias Humanas de la Universidad Nacional de Colombia
https://doi.org/10.15446/rcdg.v31n2.98012

Recibido: 5 de septiembre de 2021; Revision Received: 4 de enero de 2022; Aceptado: 2 de marzo de 2022

Análisis de regresión logística aplicado al modelamiento espacial de las causas de deforestación en el departamento del Guaviare durante el periodo 2005-2020 y proyección de escenarios de deforestación a 2030*

Logistic Regression Analysis Applied to Spatial Modeling of Deforestation Drivers in Guaviare Department for the Period 2005-2020 and Projection of Deforestation Scenarios to 2030

Análise de regressão logística aplicada à modelagem espacial das causas do desmatamento no departamento de Guaviare para o período 2005-2020 e projeção de cenários de desmatamento até 2030

J. Camacho Peña, ¤a

ONF Andina, San José del Guaviare - Colombia. jfcamachop@unal.edu.co - ORCID: 0000-0003-0038-2574. ONF Andina San José del Guaviare Colombia

Correspondencia: John Fredy Camacho Peña, calle 8 n.° 31-80, Manzana R, Casa 467, San José del Guaviare - Colombia.

Resumen

Si bien la identificación de causas y agentes de deforestación en la Amazonia colombiana ha sido abordada en diversos estudios bajo un enfoque histórico relacional, existen pocas investigaciones orientadas a modelar sus relaciones espaciales y la proyección de escenarios futuros a través de la estadística espacial. Como contribución a dicho campo, se realizó un análisis en el cual se aplicó la regresión logística a deforestación ocurrida en el departamento del Guaviare durante el periodo 2005-2020, se buscó identificar y modelar el comportamiento espacial de sus factores explicativos y, con base en ello, proponer tres escenarios de deforestación probable para el área de estudio a 2030. En este último caso se combinó dicho análisis con tres tasas de deforestación distintas para determinar la cantidad de deforestación esperada a 2030 y dos métodos (softy hard) para asignar su localización en el espacio. Mientras que el estado de fragmentación del bosque, la ganadería extensiva, los cultivos de coca y la accesibilidad del área son considerados fuertes determinantes de deforestación, las áreas protegidas y los resguardos ejercen un efecto protector entre leve y nulo. A 2030 se estima la pérdida de entre el 4,4 % y el 8,8 % del área de bosque existente en 2020, afectando principalmente el resguardo Nukak y el Parque Nacional Natural Chiribiquete.

Ideas destacadas:

En este artículo de investigación se aplica el análisis de regresión logística a la identificación y el modelamiento espacial de factores determinantes de deforestación en el departamento del Guaviare y a la proyección de tres posibles escenarios de deforestación del área a 2030.

Palabras clave:

autómata celular, cambio de uso del suelo, Guaviare, modelamiento, motores de deforestación, regresión logística.

Abstract

Although the identification of causes and agents of deforestation in the Colombian Amazon has been addressed in various studies under a historical-relational approach, there is little geostatistical research aimed at modeling its spatial relationship with the phenomenon and the projection of future scenarios. As a contribution to this field, a geostatistical analysis of the deforestation that occurred in the Colombian Guaviare during the period 2005-2020 is carried out, seeking to identify and model the spatial behavior of its explanatory factors, and based on this, propose three probable deforestation scenarios for the area to 2030 using logistic regression. In the latter case, this analysis was combined with three different deforestation rates to determine the amount of deforestation expected by 2030 and two methods (soft and hard) to assign its location in space. While the degree of forest fragmentation, extensive cattle ranching, coca crops, as well as the accessibility of the area, are largely determinants of deforestation, protected areas and resguardos exert a slight protective effect and in some cases none. By 2030, is expected the loss of between 4.4 % and 8.8 % of the existing forest area on 2020 with a particular impact on the Resguardo Nukak and the Parque Nacional Natural Chiribiquete.

Highlights:

Investigation article that applies a logistic regression analysis to the identification and spatial modeling of determinants of deforestation in the department of Guaviare as well as to the projection of three possible deforestation scenarios in the area by 2030.

Keywords:

cellular automata, Land Use Land Change (LULC), Guaviare, modeling, deforestation drivers, logistic regression.

Resumo

Embora a identificação das causas e agentes do desmatamento na Amazônia colombiana tenha sido abordada em vários estudos sob uma abordagem histórica relacional, há poucas pesquisas geoestatísticas voltadas para modelar sua relação espacial com o fenômeno e a projeção de cenários futuros. Como contribuição a este campo, realiza-se uma análise geoestatística, usando regressão logística, do desmatamento ocorrido no departamento de Guaviare no período 2005-2020, buscando identificar e modelar o comportamento espacial de seus fatores explicativos e, com base nisso, propor três cenários prováveis de desmatamento para a área até 2030. Neste último caso, essa análise foi combinada com três diferentes taxas de desmatamento para determinar a quantidade de desmatamento esperada até 2030 e dois métodos (soft e hard) para atribuir sua localização no espaço. Enquanto o estado de fragmentação florestal, a pecuária extensiva, o cultivo de coca e a acessibilidade da área são em grande parte determinantes do desmatamento, as áreas protegidas e reservas exercem um efeito protetor entre pouco e nulo. Até 2030, projeta-se uma perda entre 4,4 % e 8,8 % da área florestal existente em 2020, afetando particularmente a reserva Nukak e o Parque Nacional Natural Chiribiquete.

Ideias destacadas:

Este artigo de pesquisa aplica a análise de regressão logística para a identificação e modelagem espacial dos determinantes do desmatamento no departamento de Guaviare, bem como para a projeção de três possíveis cenários de desmatamento na área até 2030.

Palavras-chave:

autômato celular, mudança de uso da terra, Guaviare, modelagem, causas de desmatamento, regressão logística.

Introducción

El modelamiento de factores promotores de deforestación y la proyección de escenarios a futuro sobre la dinámica espacial del fenómeno supone diversos retos para la investigación geográfica de corte geoestadístico, particularmente en contextos de alta complejidad política y social como la del departamento del Guaviare en la Amazonía colombiana.

El análisis de causas y agentes de deforestación, así como la proyección a futuro de escenarios probables del fenómeno en el país ha sido abordado en especial en los ámbitos nacional y regional bajo dos grandes enfoques, a saber: el enfoque histórico-relacional y el modelamiento espacial o geoestadístico. Mientras el primero enfatiza en el análisis cualitativo o cuantitativo del comportamiento de los agentes y de los diferentes procesos sociales, políticos y económicos causantes de deforestación, el segundo se enfoca en el modelamiento de su dinámica espacio-temporal buscando determinar la fuerza de asociación entre su ocurrencia y la exposición a un conjunto de variables espaciales explicativas.

En estudios nacionales, el trabajo más relevante en términos del primer enfoque ha sido el desarrollado institucionalmente por el Instituto de Hidrología, Meteorología y Estudios Ambientales -en adelante, IDEAM- en su caracterización de causas y agentes de deforestación (González et ál. 2018a), mientras que como ejemplos del segundo enfoque sobresalen los trabajos de Etter et ál. (2006a; 2006b), Negret et ál. (2019) y González et ál. (2011; 2018b).

Para la Amazonía colombiana, por su parte, sobresalen los trabajos de Vieira y Castillo (2010) y López-Loffsner (2018) enmarcados en el enfoque histórico-relacional, y los trabajos de Etter et ál. (2006c), González et ál. (2014) y Armenteras et ál. (2019) como ejemplo del abordaje geo-estadístico de la deforestación.

Es clave señalar que de las investigaciones geoestadísticas nacionales y de la Amazonía hasta aquí citadas, solo los trabajos de González et ál. (2011; 2014; 2018b) y Armenteras et ál. (2019) realizan proyecciones de escenarios futuros de deforestación; del mismo modo, no hay evidencia de trabajos proyectivos similares departamentales o más detallados en la Amazonía. El modelamiento espacial de motores de deforestación, sobre todo la proyección a futuro de escenarios de deforestación sigue siendo un campo relativamente poco explorado en lo departamental, vacío clave si se considera que los factores relacionados con la deforestación no se comportan de la misma forma según la escala, lo cual limita el potencial de proyecciones nacionales o regionales para evaluar contextos locales.

Como contribución a dicho campo, el presente artículo indaga sobre el comportamiento espacial de factores relacionados positiva y negativamente con la deforestación observada en el departamento del Guaviare en el periodo 2005-2020 y sobre los posibles escenarios de deforestación del área en 2020-2030, en términos de localización y cantidad de cambio esperado.

Si bien los motores de deforestación del área han sido antes documentados -ver por ejemplo (López-Loffsner 2018)- el énfasis de la presente investigación es abordarlos desde una perspectiva geoestadística a partir de la cual proyectar el comportamiento de la deforestación del departamento a futuro.

Sobre esa base, se pretende caracterizar y modelar el comportamiento espacio-temporal de la deforestación ocurrida en el departamento del Guaviare en el periodo 2005-2020, evaluando la fuerza de asociación existente entre esta y un conjunto de variables biofísicas y socioeconómicas locales potencialmente explicativas de ella.

Así mismo, modelar tres posibles escenarios de deforestación para el área en el periodo 2020-2030 -optimista, tendencial y pesimista- considerando el estado actual de sus factores explicativos. Se proponen al respecto dos alternativas de asignación espacial del cambio esperado, tipo soft y hard, y se discuten sus implicaciones.

Tanto en el modelamiento de la deforestación observada en el periodo 2005-2020 como en la proyección de escenarios a 2030, se hace uso del análisis de regresión logística. En el primer caso, como método de identificación de los factores promotores o inhibidores de deforestación y, en el segundo, como técnica de simulación espacial tipo soft de la deforestación esperada a 2030. La simulación tipo hard, por su parte, resulta de la combinación del análisis de regresión logística con la técnica de autómatas celulares. Ejemplos de aplicación del análisis de regresión logística en estudios de cambio de uso de suelo en el ámbito colombiano se encuentran en Etter et ál. (2006a; 2006b; 2006c), González et ál. (2011) y en Suramérica en Müller et ál. (2012) y Echeverría et ál. (2008), entre otros.

Materiales y métodos

Área de estudio

El área de estudio abarca una extensión de 44.667,4 km2 correspondientes al 80,3 % del departamento del Guaviare en la Amazonía colombiana.1 El uso predominante del suelo es el forestal, seguido de la ganadería extensiva, la agricultura campesina comercial o de subsistencia y el cultivo de coca. En términos demográficos en el departamento habitan 73.081 personas, de las cuales el 4,1 % es población afrodescendiente y el 9,4 % corresponde a población indígena (DANE 2018a).

Históricamente el fenómeno de deforestación en el Guaviare ha estado ligado a los diferentes ciclos del proceso de colonización por los cuales ha atravesado la región a lo largo del siglo XX; así, mientras la economía cauchera sentó las bases para el establecimiento de los principales centros poblados del departamento en la primera mitad del siglo XX, la colonización campesina -espontánea, dirigida o armada-, cuyos orígenes se remontan a la década de los cincuenta y fortalecida hacia finales de la década de los setenta gracias al boom de la bonanza marimbera y cocalera, se convirtió en la principal fuerza de deforestación en la segunda mitad del siglo xx (Molano 1987; Sinchi 1999).

Es así que a partir de la década de los ochenta la economía de la coca y más recientemente la ganadería extensiva, se consolidaron como factores determinantes de la expansión de la frontera agrícola en el Guaviare. Cabe señalar que ambas actividades han mantenido históricamente una relación estrecha entre sí toda vez que antiguos enclaves cocaleros tienden a convertirse de forma progresiva en áreas de expansión de la ganadería extensiva.

En la actualidad, el 82,5 % del área permanece cubierta por bosque húmedo tropical y abarca una superficie de 36.860,8 km2; de esta un 70 % hace parte de figuras como Parques Nacionales Naturales -en adelante, PNN-, Reservas Nacionales Naturales -en adelante, RNN- y de la Zona de Reserva Forestal de la Amazonía -en adelante, ZRFA-; un 18,8 % pertenece a territorio de resguardos indígenas, mientras que el 11,2 % restante corresponde a la Zona de Reserva Campesina del Guaviare -en adelante, ZRCG-, que abarca tres de las cuatro cabeceras municipales del departamento y desde la cual se expanden los diferentes frentes de deforestación sobre el bosque (Figura 1).

Área de estudio.

Figura 1: Área de estudio.

Datos: elaborado a partir de IGAC 2018; RUNAP 2020; Imágenes Landsat 8 USGS 2020.

Caracterización espacio-temporal de la deforestación 2005-2020

El área de estudio abarca parcialmente los path-row Landsat 6-58, 6-59, 7-58 y 7-59. Se recopilaron veinte imágenes Landsat 5 y 8 para 2005, 2010, 2016 y 2020 capturadas en los meses secos entre diciembre y marzo. Mediante el uso del complemento Semi-Automatic Classification Plugin (SCP) del software Qgis, se realizaron los respectivos procesos de corrección atmosférica, conversión a reflectancia (TOA), recorte al perímetro del área de estudio, enmascaramiento de sombras y nubes,2 compilación y construcción de mosaicos (Congedo 2018). Como resultado se generaron cuatro mosaicos de imágenes multiespectrales del área de estudio para 2005, 2010, 2016 y 2020 con resolución espacial de 30 m.

Al combinar los algoritmos Máxima Probabilidad y Clasificación de Firmas de Coberturas Terrestres incorporados en el SCP, se efectuó la clasificación supervisada de los mosaicos y se obtuvieron cuatro mapas de coberturas tipo ráster. Las clases consideradas fueron: bosque denso, pastos sembrados, vegetación secundaria o en transición -agrupa rastrojos y cultivos-, herbazales naturales, zonas quemadas, suelos desnudos, ríos y lagunas. Los puntos de entrenamiento fueron seleccionados con base en interpretación visual de las imágenes y los mapas históricos de cobertura en formato vector a escala 1:100.000 (Sinchi 2020). Obtenidas las clasificaciones finales, se aplicaron filtros para generalizar agrupaciones de pixeles inferiores a % ha y se corrigieron "falsas transiciones" siguiendo el método descrito por Etter et ál. (2006c).

A partir de los mapas de cobertura de 2005 y 2020 se calculó la matriz de transición de coberturas del periodo 2005-2020 -función Crosstab en IDRISI-Selva-. Así mismo, se generaron cuatro mapas bosque-no bosque para 2005, 2010, 2016 y 2020 mediante la reclasificación de los mapas de cobertura y se calculó la tasa de deforestación estandarizada de Puyravaud (2003) para los periodos 2005-2010, 2010-2016 y 2016- 2020.

Análisis de regresión logística

Generalidades

En estudios de cambio de uso de suelo, el análisis de regresión logística -en adelante, LRA- permite modelar la probabilidad de ocurrencia de determinada transición en presencia de un conjunto de factores potencialmente explicativos de ella, en este caso, la deforestación. A diferencia de otros métodos de regresión en los cuales la variable dependiente (y) es continua, en el LRA es discreta y binaria, pues asume solo dos valores posibles, 1 o 0, en los que 1 es ocurrencia y 0 no ocurrencia. La Ecuación 1 describe la forma general del modelo:

Ecuación 1. Ecuación general del modelo de regresión logística.

En la cual:

P = Probabilidad de y = 1

1-P = Probabilidad de y = 0 X 1 ... X = variables explicativas

e = Euler

B0 = Intercepto

B1 ... B = Coeficientes de regresión de X 1 ... X.

Nota: B0 y B1 ... B i son estimados por método de máxima verosimilitud o MIE.

En este caso el LRA mide en escala logarítmica el cambio esperado en odd de probabilidad (P/ 1-P) o razón de ocurrencia de deforestación (1) vs. no ocurrencia de deforestación (0) en presencia de las variables independientes, esto es, qué tantas veces es más o menos propensa un área de bosque a deforestación cuando hay exposición a dichos factores. En consecuencia, B0 expresa el log odd de probabilidad de deforestación en ausencia de las variables explicativas, mientras que B 1 ...B i representan el cambio esperado en dicho log odd por cada incremento en una unidad de la variable explicativa respectiva X 1 .X i . (Kleinbaum y Klein 2010).

Variable dependiente

La deforestación observada en 2005-2020 constituye la variable dependiente por modelar a través del LRA. Para ello, se construyó un mapa binario de área deforestada-no deforestada, codificado como 1 y 0, respectivamente, con base en los mapas bosque-no bosque de ambos años.

Variables independientes

Se consideró un total de 27 variables correspondientes a cinco dimensiones: accesibilidad, características sociodemográficas del área, usos económicos del suelo, ordenamiento del territorio y susceptibilidad intrínseca del paisaje a la deforestación (Tabla 1). Todos los insumos se procesaron en software SIG y se obtuvieron 27 capas ráster remuestreadas a 30 m.

Tabla 1: Variables independientes consideradas

Nota: 1 Subdivisión municipal, obtenida del Marco Geoestadístico Nacional (DANE 2018a), *Dummy, **Dummy de contraste.

Las variables categóricas se reconstruyeron como variables dummy, en este caso se ingresaron al modelo K-1 variables dummy por variable, K siendo el número de categorías de la variable (Álvarez-Cáceres 1995). La categoría excluida o dummy de contraste se especifica en la Tabla 1.

Autocorrelación y muestreo

El muestreo espacial aleatorio y sistemático (Cheng y Masser 2003; Echeverría et ál. 2008; Crk et ál. 2009; Müller et ál. 2012), y la construcción de estructuras autorregresivas ingresadas como covariables al LRA (Dormann et ál. 2007; Latimer et ál. 2006) son las estrategias más usadas en aras de reducir la autocorrelación inherente a variables espaciales; lo anterior, reduce la probabilidad de cometer errores Tipo I al evaluar la significancia de las variables independientes (Dormann et ál. 2007). En este estudio se optó por la primera estrategia.

Siguiendo el procedimiento descrito por Cheng y Masser (2003), se generó una muestra aleatoria y sistemática de 10.000 puntos de los eventos 1 y 0 del ráster de la variable dependiente, separados a no menos de 360 metros entre sí; se asume que la autocorrelación decae con la distancia entre puntos, por lo cual, el umbral definido asegura un punto de equilibrio entre la reducción de autocorrelación y un tamaño de muestra fiable para la estimación de los parámetros del modelo.

Adicionalmente, se optó por una muestra balanceada en la cual la proporción de casos 1 y 0 es del 50 % y del 50 % aun cuando en la población es del 7 % y del 93 %, respectivamente. En ese sentido, Salas-Eljatib et ál. (2017) demostraron que el balanceo mejora la capacidad discriminatoria del modelo cuando se trabaja con poblaciones en las que la cantidad de casos 1 es significativamente inferior que la de casos 0, ya que equilibra los errores de sensibilidad y especificidad, y reduce la posibilidad de rechazar variables significativas. Adicionalmente, con muestras balanceadas, se necesita un menor número de observaciones para lograr estimaciones fiables de los coeficientes B, lo cual permite mayor distancia entre puntos y por ende menor autocorrelación.

Al emplear como máscara la muestra así obtenida, se extrajeron en tabla los valores de los ráster de las variables dependiente e independiente. Para evitar problemas de multicolinealidad se aplicó análisis de correlación de Spearman (p) en SPSS, descartando una variable por cada par con correlación p>0,8 (Cheng y Masser 2003; Álvarez, Suárez-Seoane y De Luis 2011; Müller et ál. 2012). Como resultado se retuvieron veintidós variables, descartando P_IPM del componente poblacional, y LS_ED, LS_PLAND, LS_DIVISION y LS_NP del componente de paisaje; se preservó LS_SHAPE_AM al ser la métrica que mejor resume los parámetros medidos por las anteriores (Tabla 1).

Ajuste y validación del LRA

Obtenida la tabla de datos muestrales de las variables dependiente e independiente, se corrió el LRA en SPSS. Para determinar la introducción y eliminación de las variables significativas y no significativas se empleó el método de pasos hacia adelante, según el cambio en la razón de verosimilitud (LR) (IBM 2020).

La evaluación de la bondad de ajuste o utilidad general del modelo para explicar la deforestación observada en el periodo 2005-2020 se realizó con base en el cambio en el estadístico -2LL o prueba Chi-Cuadrado de coeficientes del modelo y el R 2 de Nagelkerke (Álvarez-Cáceres 1995; ReStore 2011). La significancia específica de cada variable para explicar el fenómeno fue evaluada de acuerdo con el Test de Wald (Álvarez-Cáceres 1995); así mismo, se validó con investigación en campo la relación entre la variable y el fenómeno descrita por el modelo.

Para evaluar la capacidad discriminatoria del LRA, entiéndase el grado de precisión con el que es capaz de predecir y diferenciar eventos reales de deforestación y eventos de no deforestación, se calculó la curva ROC y el valor AUC de ella (GraphPad 2021). Para ello se contrastó el mapa continuo de probabilidad de deforestación de 2005, generado mediante calculadora ráster3, con el ráster binario de deforestación-no deforestación real 2005-2020 -módulo ROC en IDRISI-Selva-.

Se calculó finalmente el porcentaje de aciertos y desaciertos y los indicadores de desacuerdo de asignación y desacuerdo de cantidad (Pontius y Millones 2011) -módulo VALIDATE en IDRISI-Selva- obtenidos al cruzar el mapa binario de deforestación-no deforestación real del periodo 2005-2020 con el mapa binario de deforestación-no deforestación predicha del mismo periodo; este último, generado mediante la reclasificación del mapa continuo de probabilidad de 2005 utilizando como punto de corte el umbral de probabilidad con mejor relación sensibilidad-especificidad para predecir eventos de deforestación y no deforestación, dados los resultados del análisis ROC (61,2 %).

Modelamiento de escenarios de deforestación a 2030

Se modelaron tres escenarios: optimista, tendencial y pesimista. Para Eastman et ál. (2005), citado en González et ál. (2011), dicho proceso requiere la combinación de tres submodelos: de simulación de la cantidad de cambio esperada (2020-2030), de simulación del potencial de cambio en el espacio, y de asignación del cambio en la cantidad y el tiempo esperado a posiciones continuas o discretas en el espacio dado su potencial de cambio. En el primer caso, se optó por la proyección lineal o geométrica de tres tasas de deforestación (González et ál. 2011); en el segundo, por los mapas de probabilidad producidos mediante LRA, y en el tercero se probaron dos alternativas tipo soft y hard.

La asignación soft es el equivalente al mapa de probabilidad de cambio generado por el LRA, y muestra en un espacio continuo las áreas más o menos vulnerables al cambio dado el estado actual o proyectado de las variables explicativas de deforestación, pero no dónde ocurrirá exactamente; además, presenta por separado cantidad y potencial de cambio. En este caso, se creó un mapa de vulnerabilidad de deforestación por escenario mediante las variables significativas detectadas por el LRA 2005-2020 y sus respectivos coeficientes, actualizadas a 2020.

La asignación tipo hard, por su parte, combina la cantidad de cambio estimada mediante la proyección lineal de las tasas de deforestación, con los mapas de probabilidad generados por LRA para cada escenario y asigna el cambio a posiciones discretas en el espacio en la cantidad y el tiempo exacto calculado, obteniendo como resultado un mapa discreto deforestado-no deforestado de la fecha proyectada. Para ello, se empleó el método de autómatas celulares -CA_MARK0V en IDRISI-Selva- adaptando el método descrito por Hurtado (2014) y Padilla, Cruz y Valero (2015).4 Dicha técnica jerarquiza los pixeles de bosque de mayor a menor potencial de deforestación, según el mapa de probabilidad generado por LRA y con base en este asigna la cantidad exacta de deforestación esperada a 2030 a un número equivalente de pixeles.

Para validar la precisión de la modelación por autómata celular al asignar el cambio, se creó un mapa alternativo de deforestación-no deforestación predicha 2005-2020 usando como insumo el mapa de probabilidad LRA 2005 y la cantidad de deforestación real observada en 2005-2020. Se cruzó finalmente con el mapa de deforestación-no deforestación real del periodo y se calcularon los indicadores de desacuerdo de cantidad y desacuerdo de asignación.

Al respecto, se buscó determinar si la asignación de cambio por autómata celular generó un mapa de deforestación-no deforestación predicha más preciso, comparado con el obtenido previamente por umbral de probabilidad del 61,2 %, esto si se considera que el método por umbral solo tiene en cuenta el potencial de cambio, pero no la cantidad de cambio esperada en un tiempo determinado.

Se evalúo por último la conveniencia de la simulación soft vs. hard para asignar el cambio.

Resultados

Dinámica espacio-temporal de la deforestación

Durante el periodo 2005-2020 el departamento del Guaviare perdió 2.046,46 km2 de bosque, una Tasa de Deforestación Promedio Anual -en adelante, TDA- de -0,36 %. Sin embargo, el comportamiento de la deforestación no fue homogéneo a través del tiempo: del 100 % de la deforestación registrada en 2005-2020, el 26 % ocurrió en 2005-2010, el 20,3 % en 2010-2016, mientras que el 53,7 % restante tuvo lugar en 2016-2020 a una TDA tres veces mayor comparada con las de los intervalos anteriores (Tabla 2). Así, de un promedio de 8.775 ha deforestadas/año entre 2005 y 2016, se pasó a un promedio de 27.489 ha deforestadas/año entre 2016 y 2020.

Tabla 2: Deforestación 2005-2020

Datos: mapas bosque-no bosque.

En términos espaciales, la deforestación registrada se concentró en los frentes de bosque más distantes de las cabeceras municipales expandiéndose desde áreas transformadas consolidas hacia la ZRFA, el perímetro del Resguardo Nukak, el PNN Chiribiquete y los márgenes de los ríos Guayabero e Inírida. De los cuatro municipios del área, la mayor densidad de eventos de deforestación se presentó en San José del Guaviare, El Retorno y Calamar, mientras que Miraflores fue el menos impactado (Figura 2).

Área deforestada 2005-2020. Datos: mapas bosque-no bosque.

Figura 2: Área deforestada 2005-2020. Datos: mapas bosque-no bosque.

Datos: mapas bosque-no bosque.

Desde el punto de vista de la composición general del paisaje, el 88,3 % del área abarcada por las diferentes coberturas no experimentó transformación. El bosque fue la cobertura que más perdió representatividad con respecto al área total estudiada, al pasar del 87,1 % al 82,5 % (-4,6 %), mientras que la vegetación secundaria y los pastos fueron los que más ganaron representatividad pasando del 4,2 % al 4,7 % (+0,5) y del 4,5 % al 8,5 % (+3,9 %) del área de estudio, respectivamente. En el caso de los pastos, lo anterior significó un incremento del 86,4 % (1.744 km2) respecto a su área en 2005. Las demás coberturas mantuvieron niveles de representa-tividad inferiores al 2 % (Tabla 3, Figura 3).

Coberturas 2005-2020.

Figura 3: Coberturas 2005-2020.

Datos: clasificación supervisada imágenes Landsat 5 de 2005 y LANDSAT 8 de 2020, USGS 2020.

Tabla 3: Representatividad, cambios y permanencias por tipo de cobertura en porcentaje (%) del área de estudio: 2005-2020

Datos: elaborado con base en la matriz de transición de coberturas 2005-2020.

Nota: * В = bosque; V = vegetación secundaria; P = pastos; H = herbazal; Z = zonas quemadas; S = suelos desnudos; R = ríos y lagunas.

El análisis de los intercambios específicos del bosque frente a las demás coberturas (Tabla 4) reveló que el 60 % de la deforestación registrada se produjo en la transición bosque↔pastos, el 28,4 % en la transición bosque↔vegetación secundaria y el 11,1 % en la transición bosque↔zonas quemadas. Cabe decir que las dos últimas suelen ser etapas intermedias del proceso de conversión del bosque a pasturas. Las demás transiciones por su parte aportaron en menos del 1 % al área total deforestada.

Tabla 4: Intercambios bosque vs. demás coberturas

Datos: matriz de transición de coberturas 2005-2020.

Nota: * el signo índica el balance neto del intercambio: (-) = pérdida de bosque, (+) = ganancia de bosque.

Análisis de Regresión Logística

Ajuste general

Para explicar la deforestación observada en 20052020, el LRA retuvo 18 variables de las 22 ingresadas inicialmente (Tabla 5). Al haber obtenido un valor Chi-cuadrado de 7.086,65 con 18 GL y un R2-Nagelkerke de 0,6776, se concluye que las variables consideradas explican un porcentaje significativo de la variación total del fenómeno (67,7 %) con probabilidad de error < 0,001.

Por su parte, el análisis ROC arrojó un valor AUC de 0,924. Dado que 0,5 significa ajuste aleatorio y 1 ajuste perfecto, se confirma que el modelo tiene muy buena capacidad discriminatoria.

Al cruzar el mapa de deforestación-no deforestación real 2005-2020 con el mapa de deforestación-no deforestación predicha 2005-2020 -según el umbral de clasificación del 61,2 % de probabilidad- se obtuvo una exactitud global del 85,96 % y un error total del 14,04 %. En términos de sensibilidad, el 85,58 % de los pixeles en los que ocurrió realmente deforestación fueron clasificados correctamente como deforestados por el LRA, subestimando el 14,42 % de eventos reales. En términos de especificidad, el 85,83 % de los pixeles en los que no ocurrió realmente deforestación fueron clasificados de forma correcta como no deforestados, sobreestimando deforestación en el 14,17 % restante (Figura 4).

Deforestación observada vs. deforestación predicha por LRA: 2005-2020. Datos: elaborado a partir de mapas bosque no bosque 2005-2020.

Figura 4: Deforestación observada vs. deforestación predicha por LRA: 2005-2020. Datos: elaborado a partir de mapas bosque no bosque 2005-2020.

Nota: * Sensibilidad = VP/(VP+FN); Subestimación FN/(VP+FN) = ; Especificidad = VN/(VN+FP); Sobreestimación = FP/(VN+FP); Exactitud global =% celdas clasificadas correctamente; Desacuerdo de cantidad: cantidad de diferencia (%) entre el mapa de referencia y el mapa de comparación en términos de proporción de las categorías; Desacuerdo de asignación: cantidad de diferencia (%) entre el mapa de referencia y el mapa de comparación en términos de la asignación espacial de las categorías (Pontius y Millones 2011).

Del 14,04 % de error total presente en el mapa de predicción, un 1,72 % corresponde a error por desacuerdo de asignación y un 12,32 % a desacuerdo de cantidad, es decir, la predicción se aleja apenas un 1,72 % del ajuste perfecto con el mapa real en términos de la localización de las celdas deforestadas-no deforestadas, pero se aleja un 12,32 % en términos de la proporción de celdas predicha para ambas categorías; es decir, predice con precisión el patrón espacial que sigue la ocurrencia de deforestación, no tanto así su cantidad.

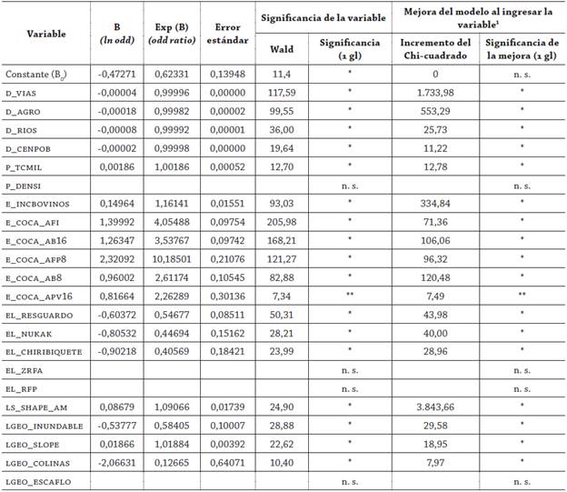
Influencia de las variables en la deforestación observada 2005-2020

La Tabla 5 resume los estadísticos de significancia de las 22 variables ingresadas inicialmente. La columna B indica el cambio esperado en B0 por cada incremento en una unidad de la variable respectiva. La columna , el odds ratio asociado a ella.

Tabla 5: Log odds, odds ratios y estadísticos de significancia de las variables explicativas

Nota: 1 aporte de la variable a la cantidad de variación total explicada por el modelo; * significativas al (0=0,005; ** significativas al 01=0,01; n. s. = no significativa (p > 0,05).

Para Domínguez-Lara (2018) y Chen, Cohen y Chen (2010), el odds ratio indica la Magnitud del Efecto -en adelante, ME- o fuerza de asociación entre la probabilidad de ocurrencia de deforestación y la exposición de los pixeles a la variable explicativa respectiva; puede ser insignificante, pequeña, moderada o grande (Tabla 6). En el caso de variables relacionadas negativamente con el fenómeno, en las que a mayor valor de la variable, menor probabilidad de deforestación y viceversa, dichas categorías refieren a la magnitud de su efecto protector o inhibitorio de la deforestación. En las variables relacionadas positivamente, en las cuales a mayor valor, mayor probabilidad de deforestación y viceversa, refieren a la magnitud de su efecto promotor de deforestación. Así mismo, mientras en variables categóricas la ME es constante (Tabla 7), porque solo asume dos valores, 1 o 0, en los que 0 indica no exposición, en variables continuas cambia conforme aumenta el valor de la variable (Figura 5).

Tabla 6: Valores de referencia para la interpretación de los odds ratio (ME)

Datos: elaborado con base en Domínguez-Lara 2018 y Chen, Cohen y Chen 2010.

Tabla 7: ME de variables categóricas (dummy)

Nota: * insignificante (arriba de la línea azul en variables negativas, debajo de la línea azul en variables positivas), pequeña (en ambos casos entre líneas azul y naranja), moderada (en ambos casos entre líneas naranja y roja), grande (bajo la línea roja en variables relacionadas negativamente, arriba de la línea roja en variables relacionadas de forma positiva).

Magnitud del Efecto* de variables continuas.

Figura 5: Magnitud del Efecto* de variables continuas.

Las variables de distancia a vías, terrenos agropecuarios, ríos y centros poblados presentaron una relación negativa con el fenómeno; a mayor distancia, menor odd o razón de ocurrencia vs. no ocurrencia de deforestación y viceversa.

En el caso de las vías, el efecto protector de la distancia es insignificante a menos de 13 km, pequeño entre 13 km y 32 km y grande a más de 50 km, por ende, áreas a menos de 13 km de las vías son altamente susceptibles a deforestación. La Figura 6 presenta el porcentaje de área deforestada en el periodo 2005-2020 según la distancia a vías, y resalta dos segmentos viales críticos en materia de deforestación actual en el área: las vías Marginal de la Selva y Calamar-Miraflores.

Vías y deforestación.

Figura 6: Vías y deforestación.

Datos: elaborado a partir de cartografía base IGAc 2018 y mapas bosque no bosuqe 2005-2020.

En el caso de la proximidad a terrenos agrícolas, áreas a menos de 3 km de distancia son altamente susceptibles a deforestación, mientras que a más de 7 km el efecto protector se vuelve moderado y a más de 10 km grande. Por su parte, la distancia a ríos ejerce un efecto protector significativo a distancias no menores a 6 km, moderado entre 16 km y 25 km y grande a más de 25 km; áreas ubicadas a menos de 6 km son por ende susceptibles a deforestación por procesos de colonización fluvial. Por último, la distancia a centros poblados tiene un efecto protector pequeño a distancias mayores a 32 km, moderado entre 32 km y 80 km y grande a más de 120 km.

En el caso de la variable áreas según periodos de afectación por cultivos de coca, todas las categorías presentaron relación positiva con el fenómeno incrementando su probabilidad de ocurrencia. Comparado con la categoría áreas sin afectación por cultivos de coca en 2001-2018 (dummy de contraste), la razón de ocurrencia de deforestación es 10,2 veces mayor en áreas afectadas permanentemente desde 2008 (ME Grande-promotora), 4,1 veces mayor en áreas afectadas de forma intermitente en 2001-2018 (ME moderadapromotora), 3,5 veces mayor en áreas abandonadas por los cultivos de coca desde 2016 (ME moderada-promotora), 2,2 veces mayor en áreas afectadas por primera vez desde 2016 (ME pequeña-promotora) y 2,6 veces mayor en áreas abandonadas desde 2008 (ME pequeña-promotora) (Figura 7).

Deforestación vs. áreas afectadas por cultivo de coca.

Figura 7: Deforestación vs. áreas afectadas por cultivo de coca.

Datos: SIMSI-UNODC 2018.

Con respecto al incremento en el número de cabezas de ganado/km2 por municipio, se encontró igualmente una relación positiva con la deforestación observada. Al considerar el área total de cada municipio, se halló un aumento en cabezas/km2 de 8,5 para San José; 8,4 para El Retorno; 4,1 para Calamar y 1,2 para Miraflores en 2005-2020; en total el hato ganadero del departamento creció 315.695 reses en el periodo (Fedegán 2020). Lo anterior significó un incremento de 3,6; 3,5; 1,8 y 1,2 en el odd de deforestación de San José, El Retorno, Calamar y Miraflores, respectivamente, comparado con el esperado por el municipio en caso de no haber ocurrido dicho aumento. La ME fue moderada-promotora en el caso de San José y El Retorno, pequeña-promotora para Calamar e insignificante para Miraflores.

Cabe destacar, adicionalmente, que el 63 % del crecimiento total observado en el hato ganadero del departamento durante 2005-2020 ocurrió apenas en los últimos cuatro años, lo cual coincide con el abrupto incremento observado en la TDA 2016-2020 (véase tabla 2).

En relación con las figuras que conforman el Estado legal del territorio, se encontró que en la categoría ZRCG o área sin figuras de protección (dummy de contraste) el odd de deforestación es 2,4 veces mayor (1/0,41); 2,2 veces mayor (1/0,45) y 1,8 veces mayor (1/0,55) comparado con el observado para el PNN Chiribiquete, la RNN Nukak y los resguardos indígenas, respectivamente; es decir, los tres últimos presentan una menor razón de ocurrencia de deforestación aunque la ME protector es pequeña en los tres casos. En las figuras ZRFA y RFP serranía de La Lindosa descartadas por el modelo, se concluye que la razón de ocurrencia de deforestación no es significativamente diferente a la observada en áreas sin protección.

En cuanto al paisaje, el índice de forma ponderado por el área de los parches de bosque (SHAPE_AM) presentó una relación positiva con la deforestación, por ende, a mayor irregularidad de los parches, mayor susceptibilidad del paisaje para deforestación. SHAPE_AM asume el valor de 1 cuando el paisaje focal está formado por un parche único de bosque semejante a un cuadrado, e incrementa su valor sin límite conforme se fragmenta en parches irregulares de mayor borde y menor área interior. En el caso del área de estudio, se encontraron valores SHAPE_AM en el rango de 1 a 11,2, lo que en términos del odds ratio significa que la razón de ocurrencia de deforestación es 2,3 veces mayor cuando el índice SHAPE_AM es 11 (ME pequeña-promotora) comparado con paisajes focales con índice SHAPE_AM igual a 1.

Las variables geomorfológicas terrenos inundables y cerros y colinas presentaron por el contrario una relación negativa con el fenómeno. Se encontró que el odd de deforestación en terrenos planos no inundables (dummy de contraste) fue 1,7 veces mayor (1/0,58) comparado con el observado en terrenos inundables -planos de inundación de los ríos principales y terrazas medias y bajas- y 7,7 veces mayor (1/0,13) en comparación con cerros y colinas -cerros El Capricho, Monserrate y Cerritos-. Se infiere así, la existencia de una ME pequeña-protectora en el primer caso y grande en el segundo.

Por su parte, la categoría escarpes y afloramientos rocosos no presentó relación significativa con la probabilidad de ocurrencia de deforestación, mientras que la pendiente tuvo una relación positiva con una ME pequeña significativa en pendientes mayores al 28 %.

Finalmente, se encontró una relación positiva, aunque leve, entre la deforestación observada y la tasa de crecimiento poblacional promedio por mil habitantes 2005-2018 en el área rural dispersa. De las 7 secciones rurales que conforman el área, solo una mostró crecimiento negativo con -38 habs. por cada mil, las demás crecieron entre 0 y 284 habs. por cada mil en el periodo 2005-2018. Dados los umbrales de ME, el efecto promotor de deforestación de la variable solo fue significativo-pequeño en la sección rural que rodea al centro poblado de El Retorno. La densidad poblacional del área rural dispersa, por su parte, no mostró relación significativa con la ocurrencia de deforestación.

Escenarios de deforestación a 2030

Validación del método combinado LRA y autómata celular como mecanismo de simulación de cambio tipo hard

La Figura 8 muestra los resultados de la simulación tipo hard de la deforestación observada en 2005-2020, obtenida al combinar el mapa de probabilidad LRA, la cantidad exacta de deforestación registrada en el periodo y la asignación de cambio por autómata celular.

Deforestación observada vs. deforestación predicha por LRA y autómata celular, 2005-2020.

Figura 8: Deforestación observada vs. deforestación predicha por LRA y autómata celular, 2005-2020.

Datos: elaborado a partir de mapas bosque no bosque 2005-2020.

Comparado con los resultados obtenidos en la asignación de cambio por umbral de probabilidad (véase figura 4), la exactitud global de la clasificación y la especificidad o proporción de aciertos al detectar verdaderos negativos mejoran un 6 % y un 9,9 %, respectivamente; no obstante, el modelo pierde un 39,4 % de sensibilidad subestimando el 53,8 % de positivos reales de deforestación. Al considerar que el desacuerdo de cantidad entre el mapa real y la predicción es de 0 % -lo cual se explica en el hecho de que el autómata celular asignó la cantidad de deforestación exacta ocurrida en 2005-2020 al mapa de predicción- y que el desacuerdo de asignación conforma la totalidad del error del modelo con el 7,6 %, se concluye que la subestimación observada en la deforestación es resultado de la asignación incorrecta en el espacio del 53,8 % de la cantidad de deforestación especificada. En consecuencia, si bien el método asigna con exactitud la cantidad de deforestación, el error de localización es mayor comparado con la asignación de cambio por umbral, por lo que la simulación hard resulta aceptable solo a escala general del área.

Simulación de escenarios de deforestación

La Tabla 8 resume los parámetros empleados en las simulaciones de cantidad de cambio esperada y del potencial de transición, respectivos a cada escenario considerado.

Tabla 8: Escenarios de deforestación

Datos: elaborado a partir de proyecciones de las TDA observadas entre 2005-2020 y del inventario ganadero del departamento, Fedegán 2020.

En términos de cantidad de cambio, se tomó como punto de referencia la perdurabilidad o no en el tiempo del abruto incremento observado en el ritmo de deforestación del área en el periodo 2016-2020. En ese sentido, se simularon tres alternativas de comportamiento de la TDA en los proximos diez años.

En cuanto a potencial de cambio, se simuló el efecto sobre el odd de deforestación del área asociado a diferentes ritmos de crecimiento del hato ganadero7 y a la efectividad de las áreas protegidas para contener o no el avance de deforestación. En el primer caso, se buscó que la cantidad de deforestación asociada al incremento del hato ganadero fuera siempre inferior a la estimada por la TDA respectiva, dado una relación de 2 vacas por hectárea.

En ese sentido, el escenario optimista asume que en el periodo 2020-2030 se revierte la tendencia alcista de la TDA 2016-2020, desacelerándose hasta alcanzar el -0,48 % anual, es decir, el promedio de las observadas en 2005-2016 (-0,22 %) y 2016-2020 (-0,73 %), que da lugar a la pérdida de 17.295 ha promedio/año. El hato ganadero crece en torno a 24.300 cabezas o menos, mientras que las áreas protegidas PNN Chiribiquete, RNN Nukak y los resguardos contribuyen a reducir la razón de ocurrencia de deforestación, tal como quedó definido en el modelo LRA 2005-2020.

El escenario tendencial, por su parte, asume que la TDA 2016-2020 se mantendrá estable (-0,73 %) en el periodo 2020-2030, lo que significa la pérdida de 26.209 ha de bosque en promedio/año. El hato ganadero crece en torno a 42.400 cabezas o menos, mientras que las áreas protegidas PNN Chiribiquete, RNN Nukak y los resguardos no contribuyen efectivamente a reducir la ocurrencia de deforestación -ver consideración al respecto en la discusión-. Los factores detonantes del boom observado en el ritmo de deforestación a partir de 2016 no experimentarán cambios considerables.

Por último en el escenario pesimista, el ritmo de crecimiento de la TDA se acelera hasta alcanzar el -0,95 % anual, lo que genera la pérdida de 35.558 ha promedio/ año en 2020-2030. El hato ganadero crece en torno a 615.000 cabezas o menos, mientras que las áreas protegidas PNN Chiribiquete, RNN Nukak y los resguardos no contribuyen efectivamente a reducir la ocurrencia de deforestación. Los factores detonantes de cambio profundizan su efecto, sin estrategias de contención efectivas.

Dados los parámetros de cantidad y potencial de cambio estimados, la Figura 9 presenta los resultados de la asignación de cambio en el espacio. Por un lado, la simulación soft generada por LRA, muestra dicha asignación en términos de vulnerabilidad de deforestación del bosque en el periodo 2020-2030. Por el otro, la simulación hard producida por el método combinado LRA-autómata celular, presenta los mapas discretos de área deforestada-no deforestada proyectados a 2030.

Discusión

Sobre la dinámica espacio-temporal de la deforestación 2005-2020 y factores relacionados

Entre 2005 y 2016 el promedio anual de hectáreas de bosque deforestadas se mantiene cercano al promedio histórico registrado por el departamento desde 1990 (CDA 2018). El inusitado incremento observado en el ritmo de deforestación del Guaviare a partir de 2016 (véase tabla 2), hace parte de un contexto generalizado de crecimiento de las TDA de los demás departamentos del arco noroccidental amazónico colombiano8, según evidencia el IDEAM (2017, 2018, 2019). A partir del trabajo de campo y las investigaciones adelantadas hasta el momento en dicha materia, se constató que dicho incremento coincide con el avance acelerado de la colonización ganadera -evidente en la tendencia hacia la praderización del área (véase figura 3)- y la desestructuración de las regulaciones ejercidas por las FARC-EP y comunidades locales en materia de uso y conservación del bosque una vez se firman los acuerdos de paz entre el Estado colombiano y la insurgencia en 2016 (López-Loffsner 2018; Prem, Saavedra y Vargas 2020; Camacho, Gaitán y Cantor 2022).

Al considerar los resultados del LRA, se logró establecer que la accesibilidad, entendida como el grado de conectividad existente entre áreas transformadas consolidadas y áreas no transformadas en el bosque incrementa la vulnerabilidad de estas últimas a sufrir deforestación. Si bien el LRA analiza por separado la influencia de cada variable, estas se relacionan estrechamente entre sí; el desarrollo de la red vial favorece la expansión de los espacios agropecuarios, valoriza los predios y rentabiliza la producción esperada de la transformación del bosque toda vez que permite la articulación comercial con las cabeceras municipales.

Lo anterior se relaciona directamente con la distribución espacial de los usos económicos del suelo considerados en este análisis particular, coca y ganadería. La ME de las diferentes categorías de afectación por cultivos de coca sobre la ocurrencia de deforestación es en particular crítica en áreas afectadas permanentemente desde 2008 y en áreas afectadas de manera intermitente en 2001-2019 (véase tabla 7), lo que resulta ser, por ende, un factor determinante de la deforestación observada en los márgenes de los ríos Guayabero, Unilla, Vaupés e Inírida, y en el área interior del Resguardo Nukak (véase figura 7).

El incremento en el hato ganadero por su parte, es-pacialmente anclado al área sembrada en pastos y de sabanas naturales de la zona de estudio, se relaciona de forma significativa con la deforestación observada en los municipios de San José y El Retorno, pero poco con la ocurrida en Miraflores. En este último caso, el relativo aislamiento del municipio, dada la escasa red vial existente, reduce el margen de rentabilidad asociado a la actividad ganadera, haciéndolo menos atractivo para nuevos inversionistas ganaderos. La adecuación de la vía Calamar-Miraflores para el tráfico terrestre responde justamente al interés de estos últimos por dinamizar la actividad ganadera en la zona (Semana 2020).

En síntesis, mientras la coca se favorece ante condiciones de relativo aislamiento, ubicándose en áreas accesibles solo por vía fluvial o insipientes sistemas de caminos en la matriz de bosque, la ganadería demanda mayor conexión vial-terrestre con las cabeceras municipales y a través de estas con el interior del país; actualmente el 86 % del ganado en pie del Guaviare tiene como destino las ciudades capitales del interior, principalmente Bogotá (Bravo et ál. 2018). Las vías Marginal de la Selva y Calamar-Miraflores son al respecto dos segmentos críticos ligados a la deforestación actual por ganadería en el área (Rodríguez-de-Francisco et ál. 2021) (véase figura 6).

En términos del Estado legal del territorio, la ZRFA y la RFP de La Lindosa demostraron ser figuras ineficaces para contener el avance de la deforestación (véanse figura 2 y tabla 7). Por su parte, si bien PNN Chiribiquete, RNN Nukak y los resguardos indígenas tienen un efecto protector significativo aunque pequeño (véase tabla 7), no se puede concluir que ello se deba a la implementación efectiva de acciones de protección por parte del Estado, considerando que en dichas áreas las normas de uso y conservación del bosque fueron potestad casi exclusiva de la comunidad, aseguradas en su cumplimiento por la coerción armada de las FARC-EP hasta 2016 (Camacho, Gaitán y Cantor 2022). Incluso actualmente no hay un ejercicio efectivo de la autoridad ambiental sobre dichas áreas dadas las amenazas de los grupos disidentes sobre sus funcionarios (Rojas 2020). De allí la razón por la cual en la modelación del escenario tendencial y pesimista de deforestación se asume que dicho efecto protector es inexistente (véase tabla 8).

Con respecto a la susceptibilidad intrínseca del paisaje, la mayor probabilidad de deforestación asociada a valores altos en el índice SHAPE_AM se correlaciona con una mayor exposición de los parches de bosque a las presiones antrópicas del medio, toda vez que presentan mayor longitud de borde comparado con áreas aisladas. Los terrenos inundables, por su parte, aun cuando son levemente menos propensos a la ocurrencia de deforestación, dado el impedimento que suponen las inundaciones estacionales al establecimiento permanente de actividades agropecuarias, no son un factor suficiente para inhibir por sí solo el impacto asociado a actividades más resilientes a dicha dinámica como el cultivo de coca.

Finalmente, del conjunto de variables poblacionales consideradas fueron las de peor desempeño, bien sea por alta colinealidad, o bien por insignificancia fueron descartadas como variables explicativas. Como han establecido Álvarez, Suárez-Seoane y De Luis (2011), la carencia de datos a escala espacial detallada al modelar variables socioeconómicas impide encontrar relaciones estadísticamente significativas aun cuando pueden existir. En este caso, solo la variable crecimiento poblacio-nal en el área rural dispersa demostró una relación leve con la deforestación observada en la sección rural de El Retorno; en las demás, no hay evidencia de que el crecimiento poblacional ocurrido en 2005-2018 tenga un efecto significativo sobre la deforestación observada en 2005-2020 (véase tabla 5).

Esta limitación aplica también a otras variables potencialmente explicativas no consideradas tales como: presencia o control de actores armados, aplicación y alcance territorial de normas comunitarias locales de uso del bosque, precio de la tierra, incentivos económicos locales y externos de transformación del bosque, entre otras, variables que si bien permitirían comprender mejor la deforestación observada en 2005-2020 y los cambios ocurridos a partir de 2016, son difícilmente modelables a través de LRA dada la carencia de datos espaciales detallados con cobertura para toda el área.

Sobre escenarios de deforestación

Simulación soft

La simulación soft (véase figura 9) representa en detalle la variabilidad espacial de la vulnerabilidad del bosque a ser deforestado. Al oriente del área, se observa que el área interior del Resguardo Nukak y el perímetro de la RNN Nukak son altamente vulnerables a deforestación en el periodo 2020-2030. Aun en el escenario optimista se esperaría un impacto moderado de la deforestación sobre dicho sector, y de alto a muy alto en los escenarios tendencial y pesimista, lo cual constituye un panorama alarmante para la comunidad indígena Nukak que mantiene presencia en el área.

Simulación soft vs. hard de escenarios de deforestación a 2030.

Figura 9: Simulación soft vs. hard de escenarios de deforestación a 2030.

Datos: elaborado a partir mapas de probabilidad de deforestación (LRA); RUNAP 2020.

En el sector occidental, se espera que la deforestación del periodo 2020-2030 se concentre principalmente sobre el perímetro noroccidental del PNN Chiribiquete, mientras que en el escenario optimista el impacto esperado sobre dicha zona sería bajo, en el escenario tendencial se proyecta un impacto de moderado a alto, y en el pesimista de moderado a muy alto. La cercanía del borde norte de Chiribiquete con el área de influencia de la vía Marginal de la Selva, clave para la conectividad del Caquetá con el Guaviare y para el establecimiento de la actividad ganadera, explica dicha situación.

Hacia el sur del área de estudio, Miraflores evidencia un comportamiento potencial más estable en los tres escenarios, con un impacto esperado de la deforestación significativamente menor comparado con los otros tres municipios. En este caso, el estado de relativo aislamiento de Miraflores favorece esa tendencia.

Simulación hard

La simulación hard por su parte brinda un panorama del área total de cambio esperada por escenario en el periodo 2020-2030, sin embargo, dados los resultados de validación del modelo combinado LRA-autómata celular como método de asignación de cambio, no resulta conveniente para evaluar a escala espacial detallada su localización. Por ende, las proyecciones presentadas son eficaces como indicador visual de la proporción que abarcarán las clases deforestado-no deforestado en el área de estudio al final del periodo -complementando en ese sentido a las proyecciones soft- pero no son recomendables para identificar patrones de localización de deforestación en áreas pequeñas.

Cabe aclarar que lo anterior no constituye evidencia para descartar la validez del método combinado LRA-autómata celular para modelar escenarios tipo hard. En la práctica, el problema radica en el grado de refinamiento de las variables espaciales con las que se construyó el mapa de probabilidad, pues la asignación espacial del cambio esperado depende de este último. Retornando a los indicadores generales de ajuste del LRA, un R2 de 0,67 si bien es bastante bueno para efectos de la modelación estadística, indica que existe cerca de un 33 % de variación no explicada en el modelo; la incertidumbre inherente a la deforestación en tanto fenómeno complejo, se transcribe igualmente al mapa de probabilidad derivado del lra, restando precisión a asignaciones de cambio tipo hard.

Conclusiones

En 2005-2020 se pierden en el departamento del Guaviare 2.046 km2 de bosque, de los cuales el 53,7 % se dio en solo cuatro años (2016-2020), que da cuenta de una fase contemporánea de aceleración de la deforestación en el departamento, que coincide con el posacuerdo de La Habana.

Dados los resultados del LRA, se concluye que la accesibilidad del área, entendida como proximidad a vías, ríos principales, áreas con usos agropecuarios y centros poblados, contribuye significativamente a la deforestación observada durante el periodo. Así mismo, el incremento en el hato ganadero y la permanencia en la afectación por cultivos de coca demostraron ser los factores económicos determinantes de la deforestación ocurrida en el área; no obstante, si bien ambas actividades son motores directos de deforestación en el departamento, el grueso de la deforestación observada en el área en 2005-2020 fue efecto directo de la ganadería extensiva, y como mínimo el 60 % de la deforestación se dio en la transformación del bosque a pasturas.

Por su parte, de las figuras que conforman el Estado legal del territorio, la ZRFA y la RFP serranía de La Lindosa no redujeron significativamente la incidencia de deforestación comparada con la observada en áreas de bosque sin protección. Solo el PNN Chiribiquete, la RNN Nukak y los resguardos indígenas ejercieron un efecto protector leve, aunque no hay evidencia de que ello se deba a la aplicación efectiva de acciones de conservación por parte del Estado.

Así mismo, mientras que la fragmentación del bosque incrementa la probabilidad de deforestación, la inundabilidad del terreno o la presencia de colinas ejercen un efecto protector sobre él.

Por lo demás, variables de carácter sociodemográfico presentaron un pobre desempeño en la modelación, dada la carencia de información precisa a escala espacial detallada. El uso del LRA para identificar factores explicativos de deforestación se recomienda cuando se trabaja con variables relativamente fijas en el espacio, con un grado de incertidumbre controlable y con una resolución espacial lo más cercana posible a la escala de variación del fenómeno.

En términos de los escenarios de deforestación construidos, se proyecta la pérdida del 4,4 % del área de bosque (17.295 ha) a 2030 en el escenario optimista, del 6,7 % (262.091 ha) en el tendencial, y del 8,6 % (335.581 ha) en el pesimista. En los tres casos, según los resultados de la simulación soft, el área interior del Resguardo Nukak, el sector norte del PNN Chiribiquete y el área de la ZRFA cercana a las cabeceras municipales y vías terciarias de reciente ampliación serán las más vulnerables a la ocurrencia de deforestación.

Por su parte, la proyección de escenarios de deforestación tipo hard, si bien resultó capaz de asignar la cantidad de deforestación esperada en el tiempo estimado, es apenas aceptable para modelar su localización. La incertidumbre asociada al fenómeno, representada en este caso por el porcentaje de variabilidad no explicado por el modelo, resta efectividad a proyecciones tipo hard como la propuesta. Se recomienda en la misma línea de González et ál. (2011) privilegiar proyecciones tipo soft por encima de proyecciones tipo hard en el modelamiento de escenarios de deforestación.

Existen al respecto dos requisitos que de ser viables pueden mejorar la eficacia del método en la modelación de escenarios tipo hard: considerar en el análisis todas las variables susceptibles de modelación y tener en cuenta variables lo menos alejadas posible de la escala de pixel a la cual se modela el fenómeno. En ambos casos el principal impedimento es la disponibilidad de datos, o bien porque no existen y su levantamiento en campo es inviable, o bien porque se encuentran agregadas a escala municipal homogeneizando procesos espacialmente heterogéneos en el área.

Referencias

  1. Álvarez-Cáceres, Rafael. 1995. Estadística multivariante y no paramétrica con SPSS. Aplicación para las ciencias de la salud. Madrid: Díaz de Santos S. A. 🠔
  2. Álvarez Martínez, José-Manuel, Susana Suárez-Seoane, y Estanislao De Luis Calabuig. 2011. "Modeling the Risk of Land Cover Change from Environmental and Socio-Economic Drivers in Heterogeneous and Changing Landscapes: The Role of Uncertainty." Landscape and Urban Planning 101 (2): 108-19. https://doi.org/10.1016/j.landurbplan.2011.01.009 [URL] 🠔
  3. Armenteras, Dolors, Uriel Murcia, Tania Marisol González, Óscar Javier Barón, y Jorge Eliécer Arias. 2019. "Scenarios of Land Use and Land Cover Change for NW Amazonia: Impact on Forest Intactness." Global Ecology and Conservation 17: e00567. https://doi.org/10.1016/j.gecco.2019.e00567 [URL] 🠔
  4. Bravo, Aura, Karen Enciso, Jhon Jairo Hurtado, Julio Roberto del Cairo, Mathias Jäger, Andrés Charry, Miguel Romero, Leidi Sierra, Marcela Quintero, y Stefan Burkart. 2018. Estrategia sectorial de la cadena de ganadería doble propósito en Guaviare, con enfoque agroambiental y cero deforestación. Cali: Centro Internacional de Agricultura Tropical (CIAT). Consultado el 1 de febrero de 2021. https://cgspace.cgiar.org/handle/10568/91289 [URL] 🠔
  5. Camacho, John, Liza Gaitán, y Vivian Cantor. 2022. "Deforestación pre y pos Acuerdo de Paz en el Arco Noroccidental Amazónico. Una mirada desde sus territorios." En Geografía de Colombia desde sus territorios. Bogotá: Universidad Nacional de Colombia [en impresión]. 🠔
  6. CDA (Corporación para el Desarrollo Sostenible del Norte y el Oriente Amazónico). 2018. "Deforestación en la jurisdicción CDA." Consultado el 30 de marzo de 2021. https://cda.gov.co/es/publicaciones/deforestacion-en-la-jurisdiccion-cda [URL] 🠔
  7. Chen, Henian, Patricia Cohen, y Sophie Chen. 2010. "How Big Is a Big Odds Ratio? Interpreting the Magnitudes of Odds Ratios in Epidemiological Studies." Communications in Statistics-Simulation and Computation 39 (4): 860-864. https://doi.org/10.1080/03610911003650383 [URL] 🠔
  8. Cheng, Jianquan, y Ian Masser. 2003. "Urban Growth Pattern Modeling: A Case Study of Wuhan City, PR China." Landscape and Urban Planning 62 (4): 199-217. https://doi.org/10.1016/S0169-2046(02)00150-0 [URL] 🠔
  9. Clark, W. A., y P. L., Hosking. 1986. Statistical Methods for Geographers. New York: John Wiley & Sons. 🠔
  10. Congedo, Luca. 2018. "Semi-Automatic Classification Plugin Documentation. Release 5.3.6.1." Consultado el 6 de junio de 2019. https://buildmedia.readthedocs.org/media/pdf/semiautomaticclassificationmanual-v5/latest/semiauto-maticclassificationmanual-v5.pdf [URL] 🠔
  11. Crk, Tanja, María Uriarte, Fabio Corsi, y Dan Flynn. 2009. "Forest Recovery in a Tropical Landscape: What Is the Relative Importance of Biophysical, Socioeconomic, and Landscape Variables?" Landscape Ecology 24 (5): 629-642. https://doi.org/10.1007/s10980-009-9338-8 [URL] 🠔
  12. DANE (Departamento Administrativo Nacional de Estadística). 2005. "Colombia-Censo General de Población 2005." Micro-datos del Censo General de Población 2005. Consultado el 3 de marzo de 2020. http://microdatos.dane.gov.co/index.php/catalog/421/get_microdata [URL] 🠔
  13. DANE (Departamento Administrativo Nacional de Estadística). 2018a. "Geoportal DANE." Marco Geoestadístico Nacional (MGN). Consultado el 3 de marzo de 2020. https://geoportal. dane.gov.co/servicios/descarga-y-metadatos/descarga-mgn-marco-geoestadistico-nacional/ [URL] 🠔
  14. DANE (Departamento Administrativo Nacional de Estadística). 2018b. "Colombia-Censo Nacional de Población y Vivienda 2018." Microdatos del Censo Nacional de Población y Vivienda 2018. Consultado el 3 de marzo de 2020. http://microdatos.dane.gov.co/index.php/catalog/643/get_microdata [URL] 🠔
  15. DNP (Departamento Nacional de Planeación). 2005. "DNP-IPM ." Índice de Pobreza Multidimensional Municipal: 2005. Consultado el 10 de febrero de 2020. https://colaboracion.dnp.gov.co/CDT/Desarrollo%20Social/IPM%20por%20 municipio%20y%20dpto%202005%20(Incidencias%20 y%20Privaciones_F).xls [URL] 🠔
  16. Domínguez-Lara, y Sergio Alexis. 2018. "El odds ratio y su interpretación como magnitud del efecto en investigación." Educación Médica 19 (1): 65-66. https://doi.org/10.1016/j.edumed.2017.01.008 [URL] 🠔
  17. Dormann, Carsten, Jana M. McPherson, Miguel Bastos Araújo, Roger Bivand, Janine Bolliger, Gudrun Carl, Richard G. Davies, Alexandre H. Hirzel, Walter Jetz, Daniel Kissling, Ingolf Kühn, Ralf Ohlemüller, Pedro R. Peres-Neto, Björn Reineking, Boris Schröder, Frank M. Schurr, y Robert J. Wilson. 2007. "Methods to Account for Spatial Autocorrelation in the Analysis of Species Distributional Data: A Review." Ecography 30 (5): 609-628. https://doi.org/10.1111/j.2007.0906-7590.05171.x [URL] 🠔
  18. Echeverría, Cristian, David A. Coomes, Myrna Hall, y Adrian C. Newton. 2008. "Spatially Explicit Models to Analyze Forest Loss and Fragmentation Between 1976 and 2020 in Southern Chile." Ecological Modeling 212 (3-4): 439-449. https://doi.org/10.1016/j.ecolmodel.2007.10.045 [URL] 🠔
  19. Etter, Andrés, Clive McAlpine, Kerrie Wilson, Stuart Phinn, y Hugh Possingham. 2006a. "Regional Patterns of Agricultural Land Use and Deforestation in Colombia." Agriculture, Ecosystems and Environment 114 (2-4): 369-386. https://doi.org/10.1016/j.agee.2005.11.013 [URL] 🠔
  20. Etter, Andrés , Clive McAlpine , David Pullar, yHugh Possingham. 2006b. "Modeling the Conversion of Colombian Lowland Ecosystems since 1940: Drivers, Patterns and Rates." Journal of Environmental Management 79 (1): 74-87. https://doi.org/10.1016/j.jenvman.2005.05.017 [URL] 🠔
  21. Etter, Andrés , Clive McAlpine , Stuart Phinn , David Pullar, yHugh Possingham . 2006c. "Unplanned Land Clearing of Colombian Rainforests: Spreading like Disease?" Landscape and Urban Planning 77 (3): 240-254. https://doi.org/10.1016/j.landurbplan.2005.03.002 [URL] 🠔
  22. Fedegán (Federación Colombiana de Ganaderos). 2020. "Inventario ganadero-Fedegán." Inventario ganadero: consulta datos históricos. Consultado el 10 de febrero de 2020. https://www.fedegan.org.co/estadisticas/inventario-ganadero [URL] 🠔
  23. González, José Julián, Andrés Alejandro Etter Rothlisberger, Armando Hilario Sarmiento López, Sergio Alonso Orrego Suaza, Cristian David Ramírez Sosa, Edersson Cabrera Montenegro, Diana Marcela Vargas Galvis, Gustavo Galindo Gracía, María Claudia García Dávila, y María Fernanda Ordóñez Castro. 2011. Análisis de tendencias y patrones espaciales de deforestación en Colombia. Bogotá: Instituto de Hidrología, Meteorología y Estudios Ambientales (IDEAM). Consultado el 12 de febrero de 2020. http://www.ideam.gov.co/documents/11769/44688974/Analisis+de+tendencias+y+patrones+espaciales+de+d eforestacion+en+Colombia/06030c14-c433-485a-8541-8367e78038aa?version=1.0 [URL] 🠔
  24. González, José Julián , Miguel Arias, Álvaro Cubillos, y Paulo Arévalo. 2014. "Modelación espacial de la deforestación en un área de la Amazonia colombiana." En Memorias del XVI Simposio Internacional SELPER 2014: la geoinformación al servicio de la sociedad. Medellín, del 29 de septiembre al 3 de octubre de 2014: Sociedad Latinoamericana en Percepción Remota y Sistemas de Información Espacial. Consultado el 5 de noviembre de 2021. https://selper.org.co/papers-XVI-Simposio/Fotogrametria-PDI-Fusion-de-datos/FP26-Modelacion-espacial-amazonia.pdf [URL] 🠔
  25. González, José Julián , Álvaro Cubillos Buitrago, María Alejandra Chadid Hernández, Alexander Cubillos González, Miguel Arias Patiño, Edilneyi Zúñiga Avirama, Fanny Joubert, Iván Roberto Pérez Vizcaíno, y Viviana Berrío Meneses. 2018a. Caracterización de principales causas y agentes de la deforestación a nivel nacional: periodo 2005-2015. Bogotá: Instituto de Hidrología, Meteorología y Estudios Ambientales (IDEAM) . Consultado el 15 de febrero de 2020. http://documentacion.ideam.gov.co/openbiblio/bvirtual/023780/Caracterizacion.pdf [URL] 🠔
  26. González, José Julián , Iván Roberto Pérez Vizcaíno, Alexander Cubillos González, Edilneyi Zúñiga Avirama , Álvaro Cubillos Buitrago, Miguel Arias Patiño, y María Alejandra Chadid Hernández . 2018b. Escenarios de deforestación para la toma de decisiones: propuesta metodológica y ámbito de aplicación. Bogotá: Instituto de Hidrología, Meteorología y Estudios Ambientales (IDEAM) , Programa GNU-REDD. Consultado el 20 de junio de 2020. http://documentacion.ideam.gov.co/openbiblio/bvirtual/023829/Escenarios_Deforestacion.pdf [URL] 🠔
  27. GraphPad. 2021. "GraphPad Prism 8 Curve Fitting Guide." Interpreting Logistic Roc Curves. 2021. Consultado el 15 de junio de 2020. http://52.204.79.200/guides/prism/8/ curve-fitting/reg_best-fit_parameter_values.htm [URL] 🠔
  28. Hurtado, Jorge René. 2014. "Análisis, modelamiento y simulación espacial del cambio de cobertura del suelo, entre las áreas naturales y las de origen antrópico en la provincia de Napo (Ecuador), para el periodo 1990-2020." Tesis de Maestría, Universidad Nacional de La Plata, Buenos Aires. 🠔
  29. IBM. 2020. "Métodos de selección de variables en el análisis de regresión logística." Consultado el 4 de abril de 2020. https://www.ibm.com/docs/es/spss-statistics/SaaS?topic=regression-logistic-variable-selection-methods [URL] 🠔
  30. IDEAM (Instituto de Hidrología, Meteorología y Estudios Ambientales). 2017. "Estrategia integral de control a la deforestación. Actualización de cifras de monitoreo de bosques 2016." Bogotá: MINAMBIENTE, IDEAM, Todos por un Nuevo País. Consultado el 20 de febrero de 2020. http://www.ideam.gov.co/documents/24277/0/Presentaci%97n+Estrat-egia+Integral+de+Control+a+la+Deforestaci%97n/173f79 bf-3e68-4cbc-9387-80123d09b5e2 [URL] 🠔
  31. IDEAM (Instituto de Hidrología, Meteorología y Estudios Ambientales). 2018. "Resultados monitoreo de la deforestación 2017." Gobierno de Colombia, MINAMBIENTE, IDEAM. Consultado el 20 de febrero de 2020. http://documentacion.ideam.gov.co/openbiblio/bvirtual/023835/Resultados_Monitoreo_Deforestacion_2017.pdf [URL] 🠔
  32. IDEAM (Instituto de Hidrología, Meteorología y Estudios Ambientales). 2019. "Resultados monitoreo de la deforestación 2018." IDEAM. Consultado el 20 de febrero de 2020. https://pidamazonia.com/content/resultados-monitoreo-de-la-deforestaci%C3%B3n-2018 [URL] 🠔
  33. IGAC (Instituto Geográfico Agustín Codazzi). 2014. "Datos abiertos cartografía y geografía." Mapas de Suelos del Territorio Colombiano a escala 1:100.000 Departamento Guaviare. Consultado el 10 de abril de 2020. https://geoportal.igac.gov.co/contenido/datos-abiertos-agrologia [URL] 🠔
  34. IGAC (Instituto Geográfico Agustín Codazzi). 2018. "Datos abiertos cartografía y geografía." Cartografía base escala 1:100000. Consultado el 10 de abril de 2020. https://geoportal.igac.gov.co/contenido/datos-abiertos-cartografia-y-geografia [URL] 🠔
  35. Kleinbaum, David, y Mitchel Klein. 2010. "Important Special Cases of the Logistic Model." Logistic Regression 41-71. https://doi.org/10.1007/978-1-4419-1742-3_2 [URL] 🠔
  36. Latimer, Andrew, Shanshan Wu, Alan Gelfand, y John Silander Jr. 2006. "Building Statistical Models To Analyze Species Distributions." Ecological Applications 16 (1): 33-50. https://doi.org/10.1890/04-0609 [URL] 🠔
  37. López-Loffsner, Francisco. 2018. "Deforestación, justicia ambiental y post-acuerdo en el noroccidente del Guaviare." Tesis de Maestría, Universidad Nacional de Colombia, Bogotá. 🠔
  38. Molano, Alfredo. 1987. Selva adentro: una historia oral de la colonización del Guaviare. Bogotá: Ancora Editores. 🠔
  39. Müller, Robert, Daniel Müller, Florian Schierhorn, Gerhard Gerold, y Pablo Pacheco. 2012. "Proximate Causes of Deforestation in the Bolivian Lowlands: An Analysis of Spatial Dynamics." Regional Environmental Change 12 (3): 445-59. https://doi.org/10.1007/s10113-011-0259-0 [URL] 🠔
  40. Negret, Pablo José, Laura Sonter, James Watson, Hugh Pos-singham, Kendall Jones, César Suárez, José Manuel Ochoa-Quintero, y Martine Maron. 2019. "Emerging Evidence That Armed Conflict and Coca Cultivation Influence Deforestation Patterns." Biological Conservation 239. https://doi.org/10.1016/j.biocon.2019.07.021 [URL] 🠔
  41. Padilla, Oswaldo, Mario Cruz, y Jefferson Valero. 2015. "Estudio multitemporal y análisis prospectivo del cambio de uso de suelo y cobertura vegetal en la microcuenca del río Cristal mediante el uso de autómatas celulares." Tesis de grado de Ingeniería G eográfica y del Medio Ambiente, Universidad de las Fuerzas Armadas, Quito. 🠔
  42. Pontius, Robert Gilmore, y Marco Millones. 2011. "Death to Kappa: Birth of Quantity Disagreement and Allocation Disagreement for Accuracy Assessment." International Journal of Remote Sensing 32 (15): 4407-4429. https://doi.org/10.1080/01431161.2011.552923 [URL] 🠔
  43. Prem, Mounu, Santiago Saavedra, y Juan Vargas. 2020. "End-of-Conflict Deforestation: Evidence from Colombia's Peace Agreement." World Development 129. 🠔
  44. Puyravaud, Jean Philippe. 2003. "Standardizing the Calculation of the Annual Rate of Deforestation." Forest Ecology and Management 177 (1-3): 593-596. https://doi.org/10.1016/ S0378-1127(02)00335-3 [URL] 🠔
  45. ReStore, National Centre for Research Methods. 2011. "How Good Is the Model?: The Teviance (-2LL) Statistic." Consultado el 4 de abril de 2020. https://www.restore.ac.uk/srme/www/fac/soc/wie/research-new/srme/modules/mod4/6/index.html [URL] 🠔
  46. Rodríguez-de-Francisco, Jean Carlo, Carlos del Cairo, Daniel Ortiz-Gallego, Juan Sebastián Vélez-Triana, Tomás Vergara-Gutiérrez, y Jonas Hein. 2021. "Post-Conflict Transition and REDD+ in Colombia: Challenges to Reducing Deforestation in the Amazon." Forest Policy and Economics 127. https://doi.org/10.1016/j.forpol.2021.102450 [URL] 🠔
  47. Rojas, Tatiana. 2020. "Guardaparques salen de 10 áreas protegidas por amenaza de disidencias." El Tiempo, 24 de febrero de 2020. Consultado el 5 de mayo de 2020. https://cutt.ly/uF8anKz [URL] 🠔
  48. RUNAP (Registro Único Nacional de Áreas Protegidas). 2020. "Departamento Guaviare." Consultado el 20 de febrero de 2020. https://runap.parquesnacionales.gov.co/departamento/944 [URL] 🠔
  49. Salas-Eljatib, Christian, Andrés Fuentes-Ramírez, Timothy Gregoire, Adison Altamirano, y Valeska Yaitul. 2017. "A Study on the Effects of Unbalanced Data When Fitting Logistic Regression Models in Ecology." Ecological Indicators 85: 502-508. https://doi.org/10.1016/j.ecolind.2017.10.030 [URL] 🠔
  50. Semana. 2020. "Deforestación. Vuelven a abrir vía entre Calamar y Miraflores, epicentro de la deforestación en Guaviare." 30 de marzo de 2020. Consultado el 20 de mayo de 2020. https://www.semana.com/impacto/articulo/vuelven-a-abrir-via-entre-calamar-y-miraflores-epicentro-de-la-deforestacion-en-guaviare/49441/ [URL] 🠔
  51. SIMSI-UNGDC (Sistema Integrado de Monitoreo de Cultivos Ilicitos-United Nations Oficce on Drugs and Crime). 2018. "Shapefile de densidad de cultivos de coca por km2 2000-2018." 🠔
  52. Sinchi (Instituto Amazónico de Investigaciones Científicas). 1999. Guaviare, población y territorio. Bogotá: TM Editores. 🠔
  53. Sinchi (Instituto Amazónico de Investigaciones Científicas). 2020. "Datos Abiertos-Instituto Sinchi." Coberturas de la tierra-Sistema de Información Ambiental Territorial de la Amazonía colombiana. 2020. Consultado el 15 de marzo de 2020. https://datos.siatac.co/pages/coberturas [URL] 🠔
  54. USGS (United States Geological Survey-Earth Explorer). 2020. "Landsat Collection 1." Consultado el 1 de junio de 2020. https://earthexplorer.usgs.gov/ [URL] 🠔
  55. Vieira, Manuela, y Daniel Castillo Brieva. 2010. "Designing and Implementing a Role-Playing Game: A Tool to Explain Factors, Decision Making and Landscape Transformation." Environmental Modeling & Software 25: 1322-1333. https://doi.org/10.1016/j.envsoft.2010.03.015 [URL] 🠔
Investigación financiada a través de la Beca Jóvenes Investigadores e Innovadores Colciencias 2018
Corresponde al cuadrante del departamento en el cual se concentra la mayor parte de la actividad agrícola y pecuaria.
Se empleó el área útil de imágenes Landsat 7 adicionales en dicho proceso.
Se empleó la fórmula de probabilidad que resulta de despejar P en la Ecuación 1.
En su aplicación del método los autores combinan el mapa de probabilidad de cambio generado por LRA con la matriz de áreas de transición creada por Cadenas de Markov. En este estudio, a diferencia de los autores, la matriz de áreas de transición se estimó con base en la tasa de deforestación simulada para cada escenario, no mediante Cadenas de Markov.
Donde -2LL (modelo sin variables) = -13.862,903 y -2LL (modelo propuesto) = -6.776,308
Valores R2 > 0,2 indican ajuste relativamente bueno (Clark y Hosking 1986).
Se modelan parámetros diferentes específicamente para esta variable dada la relación evidenciada entre la TDA 2016-2020 y el significativo aumento observado en el hato ganadero en el mismo periodo.
Conformado por Guaviare, Caquetá, Puttumayo y el sur del Meta.
Camacho Peña, John Fredy. 2022. "Análisis de regresión logística aplicado al modelamiento espacial de las causas de deforestación en el departamento del Guaviare durante el periodo 2005-2020 y proyección de escenarios de deforestación a 2030." Cuadernos de Geografía: Revista Colombiana de Geografía 31 (2): 255-280. https://doi.org/10.15446/rcdg.v31n2.98012
Sociólogo y geógrafo, especialista en Análisis Espacial de la Universidad Nacional de Colombia. Como profesional se ha desempeñado como investigador en estudios desarrollados por la Universidad Nacional de Colombia sobre transformación del paisaje y motores de deforestación en la Amazonía colombiana en el posacuerdo de paz de La Habana. Metodológicamente combina el enfoque histórico-social próximo de la sociología con el abordaje geoestadístico del fenómeno. Profesional SIG del proyecto Desarrollo Rural Integral del Guaviare para la Paz "Caminemos Territorios Sostenibles".