Revista Colombiana de Química
0120-2804
2357-3791
Departamento de Química, Universidad Nacional de Colombia.
https://doi.org/10.15446/rev.colomb.quim.v52n1.108362

Recibido: 16 de abril de 2023; Revision Received: 8 de mayo de 2023; Aceptado: 23 de mayo de 2023

Síntesis de tioureas con isoniacida y niacida estructural: test frente a bacterias Gram + y Gram -

Synthesis of thioureas with structural isoniazid and niazid: test against Gram + and Gram - bacteria

Síntese de tioureias com isoniazida e niazida estruturais: teste contra bactérias Gram + e Gram -

J. Angulo-Cornejo, 1*C. Tovar-Taboada, 1

Universidad Nacional Mayor de San Marcos, Facultad de Química e Ing. Química, Calle Germán Amézaga 375, Lima 01, Perú. Universidad Nacional Mayor de San Marcos Universidad Nacional Mayor de San Marcos Facultad de Química e Ing Lima Peru

Autor para correspondencia: janguloc@unmsm.edu.pe

Resumen

Se sintetizaron los compuestos N-(2-ni-cotinoilhidrazina-1-carbonotioil)benzamida (H3L1) y su isómero N-(2-isonicoti-noilhidrazina-1-carbonotioil)benzamida (H3L2) tipo N, S, O dadores, por reacción del isotiocianato de benzoilo con la hidracida nicotínica y la isoniacida, respectivamente. Los compuestos H3L1 y H3L2 fueron caracterizados por 1H-RM-N,13C-RMN, FT-IR y análisis elemental. Se realizó el análisis computacional utilizando las funciones de Fukui para determinar las razones por las cuales no se formaron los 1,2,4-triazoles. Se hicieron pruebas preliminares de los compuestos sintetizados frente a Staphylococcus aureus (Gram+) y Escherichia coli (Gram-). Se demostró importante actividad frente a las bacterias mencionadas.

Palabras clave:

compuesto N, S, O dador, benzoiltioureas, DFT, funciones de Fukui.

Abstract

The compounds N-(2-nicotinoylhydra-zine-1-carbonothioyl)benzamide (H3L1) and its isomer N-(2-isonicotinoylhydra-zine-1-carbonothioyl)benzamide (H3L2) type N, S, O donors, by reaction of benzoyl isothiocyanate with nicotinic hydrazide and isoniazid respectively were synthesized. The H3L1 and H3L2 compounds were characterized by 1H-NMR, 13C-NMR, FT-IR and elemental analysis. Computational analysis using the Fukui functions were performed to determine the reasons why the 1,2,4-triazoles were not formed. Preliminary tests of the synthesized compounds were carried out against Staphylo-coccus aureus (Gram+) and Escherichia coli (Gram-), having demonstrated significant activity against such bacteria.

Keywords:

N, S, O donor compound, ben-zoylthioureas, DFT, Fukui functions.

Resumo

Os compostos N-(2-nicotinoilhidrazina-1-carbonotioil)benzamida (H3L1) e seu isòmero N-(2-isonicotinoilhidrazina-1-carbonotioil)benzamida foram sintetizados. (H3L2) doadores tipo N, S, O, por reação de isotiocianato de benzoíla com hidrazida nicotínica e isoniazida, respectivamente. Os compostos H3L1 e H3L2 foram caracterizados por 1H-NMR, 13C-NMR, FT-IR e análise elementar. A análise computacional usando as funções de Fukui foi realizada para determinar as razões pelas quais os 1,2,4-triazóis não foram formados. Testes preliminares dos compostos sintetizados foram realizados contra Staphylococcus aureus (Gram+) e Escherichia coli (Gram-), tendo demonstrado atividade significativa contra as referidas bactérias.

Palavras-chave:

composto doador N, S, O, benzoiltioureias, DFT, funções de Fukui.

Introducción

La isoniacida es uno de los principales fármacos utilizados como parte del tratamiento actual de la tuberculosis bajo las recomendaciones dadas por la OMS [1]. Por otro lado, su isómero, la niacida, ha demostrado propiedades antiinflamatorias, analgésicas y anticonvulsivantes [2].

Por medio de la reacción del grupo NH2 terminal de la niacida y la isoniacida con diferentes tipos de isotiocianatos ha sido posible sintetizar diversas tiosemicarbazidas, las cuales han sido utilizadas en la formación de compuestos heterocíclicos como los 1,2,4-triazoles con un amplio espectro de actividad biológica [3], [4]. La síntesis de estos compuestos puede darse por medio de la ciclación espontánea de su tiosemicarbazida respectiva, o ciclándolos por acción de bases como NaOH, NaOEt o Na2CO3 [5], [6].

Las benzoiltioureas han ganado especial atención en los últimos años, debido a su utilidad como ligandos en la formación de complejos con metales de transición, reactivo de partida en la síntesis de compuestos heterocíclicos y por exhibir una amplia actividad biológica; se destaca su actividad antiviral, antimicrobiana y tuberculostática [7], [8].

Se ha demostrado que la inclusión de restos tipo 1,2,4-triazoles y 1,2,3-tiadiazoles en la estructura de las tioureas ha tenido una importante actividad como agente antituberculoso y antimicrobiano [9]. Los derivados que contienen restos ciclobutil y 1,3-oxazoles han mostrado alta y mejorada actividad inhibidora frente a un aislado clínico Mycobacterium multidrogorresistente [10]. El uso de la teoría del funcional de densidad (DFT) basada en la química cuántica proporciona una herramienta muy importante para la investigación de nuevos compuestos sintetizados. El uso de los descriptores de reactividad local, tales como la función de Fukui, ha demostrado que es posible predecir con gran exactitud la reactividad local de las moléculas analizadas y determinar si existe posibilidad de un ordenamiento intramolecular (ciclación) debido a la presencia de zonas de alta susceptibilidad a ser atacadas cercanas a un grupo altamente reactivo; esto contribuye con proporcionar un sustento teórico a lo que ocurre experimentalmente [11]-[15]. Se debe precisar que las referencias 11 y 15 contienen detalles sobre la síntesis de los compuestos N-(2-nicotinoilhidracina-1-carbonotioil)benzamida y N-(2-isonicotinoilhidracina-1-carbonotioil)benzamida y sus complejos metálicos de cobre y níquel.

Teniendo en cuenta las mejoras de la actividad biológica por la modificación estructural de las tioureas, se han obtenido nuevos compuestos que contienen en una misma estructura molecular a la benzoiltiourea, la niacida y la isoniacida, con la finalidad de potenciar las propiedades antibacterianas, antiinflamatorias y tuberculostáticas de estas. En ese sentido, el objetivo del presente trabajo es sintetizar y caracterizar dos nuevos ligandos, N, O y S dadores derivados de la benzoiltiourea, la isoniacida y la niacida, evaluar preliminarmente las actividades antimicrobianas de los ligandos obtenidos y utilizar las funciones de Fukui como descriptor de la reactividad local con el fin de determinar las zonas de reactividad y dar un sustento teórico a la ausencia de ciclación intramolecular en los ligandos sintetizados.

Materiales y métodos

Los reactivos utilizados en la síntesis fueron: cloruro de benzoilo, Merck (Alemania), para síntesis; tiocianato de potasio, Merck (Alemania), para síntesis; acetato de cobre (II) monohidratado, Merck (Alemania), para síntesis; acetato de níquel (II) hexahidratado, Sigma-Aldrich (EE. UU.), para síntesis; isoniacida, Sigma-Aldrich, (EE. UU.), grado analítico, > 99%(TLC); hidracida nicotínica, Sigma-Aldrich (EE. UU.), grado analítico, > 97%(TLC). Los solventes: metanol JT, Baker® ACS (EE. UU.); acetona JT, Baker® ACS; éter etílico JT, Baker® ACS (EE. UU.); cloroformo JT, Baker® ACS (EE. UU.); etanol JT, Baker® ACS (EE. UU.), fueron secados antes de utilizarlos.

Los espectros de infrarrojo se obtuvieron en un espectrofotómetro modelo Nicolet™ i STM 10 FTIR Spectrometer, marca Thermo Scientific™ (EE.UU). Se preparó la pastilla de bromuro de potasio utilizando 1 mg del compuesto en 10 mg de KBr a temperatura ambiente 20 °C, luego la lectura se realizó en los intervalos de 4000 a 400 cm-1.

Los espectros de los compuestos 1H-RMN, 13C, APT, DEPT, COSY, HSQC, HMBC se obtuvieron de un espectrómetro marca Agilent, modelo Varian Mercury 400 plus (EE. UU.), tomado a 400 MHz para 1H y 100 MHz para 13C utilizando DMSO-d6 como solvente a temperatura del ambiente (20 °C). Los compuestos estudiados fueron recristalizados previamente en etanol y secados a temperatura ambiente. Estas muestras purificadas se enviaron a la Universidad de Leipzig para la obtención de sus espectros por técnicas unidimensionales (C, H) y bidimensionales. De igual manera, las muestras purificadas sirvieron para realizar el análisis elemental en un analizador elemental, marca Perkin Elmer®, modelo 2400 Series II CHNS/O Elemental Analysis (EE. UU.), de la Universidad de Leipzig.

Síntesis de los compuestos

Síntesis del compuesto N-(2-nicotinoilhidraci-na-1-carbonotioil)benzamida (H 3 L1)

Se adicionaron 0,7 mL (6 mmol) de cloruro de benzoilo (PhCOCl) a una suspensión de 0,6 g (6 mmol) de tiocianato de potasio y 10 mL de acetona. La mezcla se dejó en reflujo a 56 °C durante 2 h con vigorosa agitación. Luego se enfrió y el precipitado de KCl se separó por filtración lavándolo con acetona caliente. La disolución obtenida se dejó enfriar en hielo a aproximadamente 10 °C.

En un vaso de 100 mL se depositaron 0,8 g (6 mmol) de niacina, a lo que se añadió la mezcla fría de isotiocianato de benzoilo y se dejó en reflujo a 56 °C por 4 h. La mezcla se dejó enfriar y luego se agregó este contenido en un vaso que contenía una mezcla de 10 mL de etanol con 0,07g de NaOH, la que se sometió a reflujo por 8 h a 56 °C; se observó la aparición de un precipitado amarillo que fue lavado con etanol frío y acidificado con HCl diluido. El precipitado cristalino blanco se filtró y lavó en etanol. El compuesto se recristalizó en etanol y se obtuvo un rendimiento del 68%. Punto de fusión: 200-202 °C; masa molecular: 300,34 g/mol.

Análisis elemental calculado para: C14H12N4O2S: C (55,99%), H (4,03%), N (18,65%), S (10,68%). Encontrado: C (55,36%), H (4,09%), N (18,32%), S (10,53%).

FT-IR (cm-1): 3241 (N-H); 3067 (C-Haromático); 1653 (C=O tiourea); 1668 (C=Ohidracida); 1026 (anillo piridina); 876 (C=S).

1H-RMN (400 MHz, DMSO-d6): 8 (ppm): 12,34 (s, 1H, 1N-H); 11,78 (s, 1H, 2N-H); 11,34 (s, 1H, 3N-H); 7,64 (J = 4Hz, d, 2H, Ar-H); 7,55 (J = 6Hz t, 3H, Ar-H); 7,98(J = 4Hz, d, 2H, Ar-H); 9,08 (s, 1H, Py-H); 8,79 (J = 4Hz, d, 1H, Py-H); 8,27 (J = 4Hz, d, 1H, Py-H); 7,59 (J = 8Hz, t, 1H, Py-H).

13C{1H}-APT-RMN (100 MHZ, DMSO-d6) δ (ppm): 181,3 (C=S); 168,1 (C=O tiourea); 163,7 (C=O hidracida); 132,2 (ipso-Phc=o): 128,4 (ipso-Pyc=o); 153,0 (o-ipso-N-Pyc=o); 149,0 (o-ipso-Pyc=o); 135,9 (o- ipso-Pyc=o); 133,6 (p- ipso-Phc=o); 129,2 (2C, o- ipso-Phc=o); 128,9 (2C, m-ipso-Phc=o); 124,1 (m- ipso-Pyc=o).

Síntesis del compuesto N-(2-isonicotinoilhidracina-1-carbonotioil)benzamida (H3L2)

En un balón de dos bocas se agregó 1 g (10 mmol) del reactivo tiocianato de potasio (KSCN) y 1,20 mL (10 mmol) de cloruro de benzoilo; se utilizó como solvente acetona anhidra (20 mL). La mezcla se dejó en reflujo a 60 °C y agitación continua por dos horas; se separó luego por filtración el precipitado de cloruro de potasio (KCl) formado. La solución de isotiocianato de benzoilo en acetona resultante fue dejada en reposo.

Se preparó una suspensión de 1,12 g (8 mmol) de isoniacida en acetona, la cual se agregó a la solución amarilla de isotiocianato de benzoilo y se obtuvo una suspensión amarilla pálida, que se dejó en agitación continua a temperatura ambiente durante 24 h, luego de las cuales se separó por filtración un precipitado blanco que se lavó varias veces con acetona fría. El compuesto resultante fue finalmente recristalizado en etanol absoluto y se obtuvieron cristales cúbicos blancos con un rendimiento del 60%. Punto de fusión: 207208 °C; masa molecular: 300,34 g/mol.

Análisis elemental calculado para: C14H12N4O2S: C (55,99%), H(4,03%), N (18,65%), S (10,68%). Encontrado: C (55,72%), H (4,03%), N (18,40%), S (10,70%).

FT-IR (cm-1): 3216 (N-H); 2974 (C-H aromático); 1680 (C=O tiourea’hidracina); 900 (C=S).

1H-RMN (400 MHz, DMSO-d6): δ(ppm): 12,31 (s, 1H, 1N-H); 11,80 (s, 1H, 2N-H); 11,44 (s, 1H, 3N-H); 7,99 (J = 4Hz, d, 2H, Ar-H); 7,67 (J = 6Hz t, 3H, Ar-H); 8,80 (d, 2H, Py-H); 7,82 (J = 4Hz, d, 2H, Py-H); 7,55 (J = 8Hz, t, 1H, Ar-H).

13C{1H}-DEPT-RMN (100 MHZ, DMSO-d6) δ (ppm): 181,5 (C=S); 168,1 (C = O hidracida); 163,6 (C = Otiourea); 139,7 (ipso-Pyc=O): 133,6 (ipso-Phc= O); 150,9 (O -ipso-N-Pyc=o); 121,9 (m-ipso-Pyc= O); 128,9 (2C, O - ipso-Phc= O); 132,3 (p- ipso-Phc= O); 129,4 (2C, m-ipso-Phc= O).

Estudio preliminar de enfrentamiento microbiano

Los análisis de eficacia antimicrobiana contra Escherichia coli(bac-teria gram-negativa) con cepa tipo ATCC 11229 y Staphylococcus aureus (bacteria gram-positiva) con cepa tipo ATCC 6538, de los compuestos H3L1 y H3L2, fueron realizados por el método AOAC Oficial Methods of Analysis (Use-Dilution Method (2) Official Final Action), el cual proporciona las diluciones adecuadas y los tiempos de exposición para evaluar la eficacia del candidato a desinfectante.

La evaluación se realizó tomando cantidades entre 46 y 147,5 mg de los compuestos en 6 mL de DMSO sobre un inóculo de concentración 1 x 106 ugfc/mL por un tiempo de contacto de 15 min.

Resultados y discusión

Caracterización infrarroja (FT-IR)

En el espectro FT-IR del compuesto H3L1 se observa que existen dos señales que corresponden a los carbonilos que forman parte de la estructura del compuesto C=O (tiourea) 1653 cm-1 y C=O (hidracida) 1668 cm-1. También se puede observar la presencia del grupo N-H (tiourea- hidracida) 3241 cm-1, C-H (aromático) 3067 cm-1 y C=S (tiocarbonilo) 876 cm-1. Estos valores de número de onda son semejantes a los encontrados en derivados de acil tiosemicarbazi-das [16], [17], lo cual reforzaría la evidencia de que el compuesto está bajo la forma ceto.

En el análisis del espectro FT-IR del compuesto H3L2 se observan las señales correspondientes a los grupos carbonilos C=O (tiourea e hidracida) a 1680,78 cm-1; también se observa la banda asociada al grupo N-H a 3216,39 cm-1, C-H (aromático) a 2974,48 cm-1 y las bandas asociadas al grupo tiocarbonilo (C=S) a 1090, 1010 y 900,30 cm-1 [18]. Los anteriores valores de número de ondas asociadas a las bandas descritas están de acuerdo con los valores encontrados en diversos derivados de las acil tiosemicarbazidas y también en varias tioureas sintetizadas [19]-[21].

Caracterización por espectroscopia RMN CH-RMN, 13 C, APT, DEPT-135, COSY, HSQC, HMBC)

En el espectro 1H-RMN del compuesto H3L1, en DMSO-d6, se observan tres señales pertenecientes a los protones de N-H1, N-H2, N-H3 a 12,34; 11,78 y 11,34 ppm, respectivamente. La señal 12,34 ppm a campos bajos fue asignada a la formación de un puente de hidrógeno intramolecular entre el grupo N-H1 de la hidracida y el oxígeno del grupo carbonilo (N-H---O=C) característicos en derivados de las aroil tioureas [22]. Las otras dos señales a 11,78 y 11,34 ppm fueron asociadas a los grupos N-H2 de la hidracida y la tiourea (N-H3), respectivamente. La señal doblete a 7,98 ppm, las señales tripletes a 7,55 y 7,64 ppm fueron asignadas al grupo fenil. Finalmente, en las señales asociadas al anillo piridínico se hallaron una señal singlete a 9,08 ppm, dos señales dobletes a 8,79 y 8,27 ppm y una señal triplete a 7,59 ppm, las cuales son semejantes a algunos derivados de la hidracida nicotínica [23].

El espectro 13C-{1H}-APT-RMN, en DMSO-d6, muestra que las señales 181,3; 168,2 y 163,7 ppm corresponden respectivamente al grupo tiocarbonilo (C=S), al carbonilo (C=O) adyacente al grupo fenil y al carbonilo adyacente al anillo piridínico; es preciso resaltar que el desplazamiento del grupo C=S es muy característico de las benzoiltioureas [24], [25] y de las acil (aroil) tiosemicarbazidas [26], [27]. Los desplazamientos C-H asociados al grupo fenil se muestran en el rango de 133,11-128,5 ppm, mientras que los desplazamientos C-H relacionados al anillo piridínico se observaron entre 136, 154 y 124 ppm.

El espectro 1H-RMN del compuesto H3L2, en DMSO-d6, como solvente, muestra tres señales singletes a 12,31 (N-H3), 11,80 (N-H20) y 11,44 (N-H5) ppm debido a la presencia de tres protones tipo N-H. La presencia de estas señales confirmaría la existencia del compuesto H3L2 bajo la forma ceto. El desplazamiento del protón N-H3 (12,31 ppm) se encuentra a campos bajos, probablemente debido a la formación de un puente de hidrógeno intramolecular, bastante típico en derivados de aciltioureas [21]. Los protones del anillo aromático bencénico dan señales triplete a 7,55 y 7,67 ppm, además de un doblete a 7,99 ppm, mientras que los protones pertenecientes al anillo piridínico muestran señales dobletes a 7,82 y 8,80 ppm [28].

El espectro 13C-RMN muestra las señales 181,5; 168,19 y 163,61 ppm correspondientes a los grupos tiocarbonilo (C=S), carbonilo (C=O) unido al anillo bencénico y carbonilo (C=O) unido al anillo de piridina, respectivamente. El desplazamiento del grupo tiocarboni-lo (C=S) encontrado en este compuesto es característico de varios compuestos tipo benzoiltioureas [29], [30].

Caracterización por análisis elemental

La composición porcentual obtenida para los compuestos H3L1 y H3L2 por medio del análisis elemental está de acuerdo con los valores esperados teóricamente; de esta manera se confirman las fórmulas moleculares propuestas.

Estudio computacional

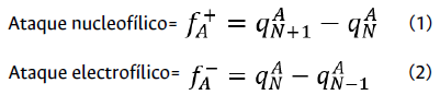
Para determinar la distribución de los sitios activos de la molécula se utilizó Ec. (1), y Ec. (2) para calcular los valores de la función de Fukui para un ataque nucleofílico y electrofílico:

En la Tabla 1 se reportan los valores de la función de Fukui elec-trofílica y nucleofílica para los compuestos H3L1 y H3L2 para los átomos más importantes; estos valores han sido calculados con cargas Hirshfeld [31]- [33], las cuales han sido calculadas a nivel de la teoría DFT B3LYP/6-31G++ (d, p), a partir de las estructuras neutras optimizadas con B3LYP/6-31G (d, p). Todos los cálculos fueron realizados con el paquete de programas Gaussian 09W. Rev. A02 [34], implementado en un PC Workstation AMD Fx(tm)-4300 3,80 GHz Quad-Core Processor, 4GB RAM.

Estructura de los compuestos H3L1 y H3L2.

Figura 1: Estructura de los compuestos H3L1 y H3L2.

Tabla 1: Valores para la función de Fukui para un ataque nucleofílico (f+) y electro-fílico (f-) de los compuestos H3L1 y H3L2.

Los valores en negrita, indican la función de Fukui a tomar en cuenta para el análisis de reactividad local.

Con la finalidad de explicar la imposibilidad de ciclación de los compuestos se utilizó la función de Fukui para determinar los sitios más probables de desprotonación por parte de una base. Utilizando el concepto de interacción duro-duro conocida como la regla de Li-Evans [35], se consideraron los valores más bajos para la función de Fukui electrofílica ( f + ) correspondientes a los hidrógenos H4 y H20 de los compuestos H3L1 y H3L2, respectivamente.

Los carbonilos C2=O22 y C21=O22 son las zonas más susceptibles a un ataque nucleofílico en H3L1 y H3L2, respectivamente; en el momento de la desprotonación el N19 desplaza su densidad electrónica a estos carbonilos, lo que da lugar a la forma enol en ambos compuestos; esto imposibilita la ciclación intramolecular de los compuestos al no poder disponer de una zona altamente electrofílica para ser atacada por un átomo de nitrógeno nucleofílico (Figura 2).

Formación de los compuestos H3L1 y H3L2 en concordancia con las funciones de Fukui.

Figura 2: Formación de los compuestos H3L1 y H3L2 en concordancia con las funciones de Fukui.

Para el compuesto H3L1 y su isómero H3L2, se muestra que los mayores valores para la función de Fukui nucleofílica (susceptible a ataques electrofílicos) fueron para los átomos S18, O22, O16 y N14 en el compuesto H3L1, y S17, O22, O18 y N2 en el compuesto H3L2; los átomos de azufre y oxígeno tienen la mayor posibilidad. Análogamente, en estructuras tipo dihidrotiouracilo-indenopiridopirimi-dinas se ha demostrado que las zonas de mayor preferencia para un ataque electrofílico son las que interactúan de mejor manera con los sitios activos de enzimas como la topoisomerasa humana II ay I I β, y pueden ser fármacos antitumorales potenciales [36].

Análisis de enfrentamiento microbiano

Los resultados del análisis de eficacia antimicrobiana de los compuestos mostrados en la Tabla 2 indican que los compuestos analizados presentan actividad antimicrobiana para cantidades entre 46147,5 mg en 6 mL de DMSO sobre un inóculo de concentración 1 x 106 ugfc/mL frente a Staphylococcus aureus (ATCC 6538) y Escherichia coli (ATCC 11229), desde el primer minuto de contacto.

Tabla 2: Estudios de enfrentamiento microbiano de los compuestos H3L1 y H3L2.

Compuestos
Bacterias Staphylococcus aureus Escherichia coli
H3L1 + +
H3L2 + +

Conclusiones

Se sintetizaron los compuestos H3L1 y H3L2 tipo aroil tiosemicarbazida por reacción entre el isotiocianato de benzoilo, la hidracida nicotínica y la isoniacida, los cuales se caracterizaron por espectroscopia FT-IR, RMN-1H, 13C y por análisis elemental. Se corroboró de manera preliminar que los compuestos sintetizados presentan actividad antimicrobiana frente a Staphylococcus aureus y Escherichia coli, por lo que serían buenos candidatos a desinfectantes de superficies.

La función de Fukui ayudó a elucidar las zonas más probables de reactividad frente a especies nucleofílicas y electrofílicas, con la finalidad de explicar la imposibilidad de ciclación de los compuestos H3L1y H3L2, además de determinar las zonas más susceptibles a sufrir un ataque electrofílico por parte de iones de metálicos o a interactuar muy probablemente con los sitios activos de sistemas proteicos. Esto proporciona una herramienta muy útil en química para determinar qué partes específicas de las moléculas interactúan de mejor o peor manera.

Referencias

  1. [1] S. Van Beek, R. ter Heine, J. C. Alffenar, C. Magis-Escurra, R. Aarnoutse and E. Svensson, "A Model-Informed Method for the Purpose of Precision Dosing of Isoniazid in Pulmonary Tuberculosis", Clin Pharmacokinet., vol. 60, no. 7, pp. 943-953, 2021. DOI: https://doi.org/10.1007/s40262-020-00971-2. [URL] 🠔
  2. [2] N. Galic, I. Brodanac, D. Kontrec and S. Miljanic, "Structural investigations of aroylhydrazones derived from nicotinic acid hy-drazide in solid state and in solution", Spectrochim Acta A Mol Biomol Spectrosc ., vol. 107, pp. 263-270, 2013. DOI: https://doi.org/10.1016/j.saa.2013.01.028. [URL] 🠔
  3. [3] R. Joshi, N. Pandey, S. Kumar, R. Tilak, H. Mishra, and S. Pokharia, "Synthesis, spectroscopic characterization, DFT studies and antifungal activity of (E)-4-amino-5-[N'-(2-nitro-benzylide-ne)-hydrazino]-2,4-dihydro-[1,2,4]triazole-3-thione", J. Mol. Struct ., vol. 1164, pp. 386-403, 2018. DOI: https://doi.org/10.1016/j.molstruc.2018.03.081. [URL] 🠔
  4. [4] E. D. Dincel, N. Ulusoy-Güzeldemirci, D. §atana, and Ö. Küçük-basmaci, "Design, synthesis, characterization and antimicrobial evaluation of some novel hydrazinecarbothioamide, 4-thiazo-lidinone and 1,2,4-triazole-3-thione derivatives", J Heterocyclic Chem., vol. 58, no. 1, pp. 195-205, 2021. DOI: https://doi.org/10.1002/jhet.4159. [URL] 🠔
  5. [5] J. Zhang, T.-H. Xi, Z. Chen, and X.-F. Wu, "'Metal-free oxidative cyclization of trifluoroacetimidohydrazides with methylhetarenes: a facile access to 3-hetaryl-5-trifluoromethyl-1,2,4-triazoles", Org. Chem. Front ., vol. 8, no. 16, pp. 4490-4495, 2021. DOI: https://doi.org/10.1039/D1QO00790D. [URL] 🠔
  6. [6] M. N. Lino-Pacheco, "Síntesis y caracterización de ligandos polidentados n, o y s dadores y sus complejos metálicos por modificación estructural en las periferias de las aciltioureas". Tesis doctoral, Universidad Nacional Mayor de San Marcos, 2022. 🠔
  7. [7] U. Zahra, A. Saeed, T. Abdul Fattah, U. Florke, and M. F. Erben, "Recent trends in chemistry, structure, and various applications of 1-acyl-3-substituted thioureas: a detailed review", RSC Adv ., vol. 12, pp. 12710-12745, 2022. DOI: https://doi.org/10.1039/d2ra01781d. [URL] 🠔
  8. [8] J. R. Angulo-Cornejo, D. Bazalar de Valdivia, M. N. Lino, and F. Sosa-Amaya, "Acción tuberculostática y antibactariana de la 1,1-dietil-3-benzoiltiourea", Rev. Soc. Quirn., Perú, vol. 70, no. 4, pp. 184-188, 2004. 🠔
  9. [9] S. Karakus and S. Rollas, "Synthesis and antituberculosis activity of new N-phenylN-[4-(5-alkyl/arylamino-1,3,4-thiadiazole-2-yl)phenyl]thioureas", Il Farmaco, vol. 57, no. 7, pp. 577-581, 2002. DOI: https://doi.org/10.1016/S0014-827X(02)01252-1. [URL] 🠔
  10. [10] D. Sriram, P. Yogeeswari, M. Dinakaranand, and R. Thirumurugan, "Antimycobacterial activity of novel 1-(5-cyclobutyl-1,3-oxazol-2-yl)-3-(sub)phenyl/pyridylthiourea compounds endowed with high activitytoward multidrug-resistant Myco-bacterium tuberculosis", J. Antimicrob. Chemother., vol. 59, no. 6, pp. 1194-1196, 2007. DOI: https://doi.org/10.1093/jac/dkm085. [URL] 🠔
  11. [11] C. F. Tovar-Taboada, "Síntesis y caracterización del ligando N-{[2- (piridin-3- ilcarbonil) hidrazinil] carbotionil} benzamida y su complejo de Níquel (II)". Tesis de título profesional, Universidad Nacional Mayor de San Marcos, 2017. 🠔
  12. [12] M. C. Henry, H. M. Senn, and A. Sutherland, "Synthesis of Functionalized Indolines and Dihydrobenzofurans by Iron and Copper Catalyzed Aryl C-N and C-O Bond Formation", J. Org. Chem ., vol. 84, no. 1, pp. 346-364, 2019. DOI: https://doi.org/10.1021/acs.joc.8b02888. [URL] 🠔
  13. [13] R. Kishida, A. G. Saputro, R. Arévalo, and H. Kasai, "Effects of introduction of a-carboxylate, N-methyl, and N-formyl groups on intramolecular cyclization of o-quinone amines: Density functional theory-based study", I nt. J. Quantum. Chem ., vol. 117, no. 23, pp. e25445, 2017. DOI: https://doi.org/10.1002/qua.25445. [URL] 🠔
  14. [14] M. Kut, M. Fizer, M. Onysko, and V. Lendel, "Reactions of Nalkenyl Thioureas with p-alkoxy phenyltellurium trichloride", J. Heterocyclic. Chem ., vol. 55, no. 10, pp. 2284-2290, 2018. DOI: https://doi.org/10.1002/jhet.3281. [URL] 🠔
  15. [15] C. F. Tovar-Taboada, "Síntesis y caracterización de ligandos tipo N,O,S dadores y sus complejos metálicos derivados de las aroiltioureas y la sacarina". Tesis de maestría, Universidad Nacional Mayor de San Marcos, 2021. 🠔
  16. [16] A. Saeed, S. Ashraf , J. M. White , D. B. Soria , C. A. Franca, and M. F. Erben. "Synthesis, X-ray crystal structure, thermal behavior and spectroscopic analysis of 1-(1-naphthoyl)-3-(halo-phenyl)-thioureas complemented with quantum chemical calculations", Spectrochim. Acta A Mol. Biomol ., vol. 150, pp. 409-418, 2015. DOI: https://doi.org/10.1016Zj.saa.2015.05.068. [URL] 🠔
  17. [17] F. Odame, E. Hosten, J. Krause, M. Issacs, H. Hoppe, S. D. Khanye, Y. Sayed, C. Frost, K. Lobb, and Z. Tshentu, "Synthesis, Characterization and Biological Activity of Some Dithiourea Derivatives", Acta Chim. Slov ., vol. 67, pp. 764-777, 2020. DOI: https://doi.org/10.17344/acsi.2019.5689. [URL] 🠔
  18. [18] M. H. Abosadiya, H. Anouar, and B. M Yamin, "Synthesis, X-Ray, spectroscopic characterization (FT-IR, NMR, UV-Vis) and quantum chemical calculations of some substituted benzoylthiou-rea derivatives", J. Mol. Struct ., vol. 1194, pp. 48-56, 2019. DOI: https://doi.org/10.1016/j.molstruc.2019.05.060. [URL] 🠔
  19. [19] D. Polo-Ceron, "Cu(II) and Ni(II) Complexes with New Tridentate NNS Thiosemicarbazones: Synthesis, Characterisation, DNA Interaction, and Antibacterial Activity", Bioinorg. Chem. Appl ., vol. 2019, pp. 1-14, 2019. DOI: https://doi.org/10.1155/2019/3520837. [URL] 🠔
  20. [20] A. Muntaz et al., "Synthesis, characterization and urease inhibition studies of transition metal complexes of thioureas bearing ibuprofen moiety", J. Chil. Chem. Soc ., vol. 63, no. 2, pp. 3934-3940, 2018. DOI: https://doi.org/10.4067/s0717-97072018000203934. [URL] 🠔
  21. [21] D. A. Tolan, T. I. Kashar, K. Yoshizawa, and A. M. El-Nahas, "Synthesis, spectral characterization, density functional theory studies, and biological screening of some transition metal complexes of a novel hydrazide-hydrazone ligand of isonicotinic acid", Appl Organomet Chem ., vol. 35, no. 6, pp. e6205, 2021. DOI: https://doi.org/10.1002/aoc.6205. [URL] 🠔
  22. [22] A. Saeed, R. Qamar, T. A. Fattah, U. Flörke, and M. F. Erben, "Recent developments in chemistry, coordination, structure and biological aspects of 1-(acyl/aroyl)-3-(substituted) thioureas", Res Chem Intermed ., vol. 43, pp. 3053-3093, 2017. DOI: https://doi.org/10.1007/s11164-016-2811-5. [URL] 🠔
  23. [23] A. Gueye, F. Tamboura, A. Sy, M. Gaye, N. Gruber, and A. Jouaiti, "Six New Transition Metal Mononuclear Complexes of N'-(5-bromo-2-hydroxybenzylidene)nicotinohydrazide Schiff Base. Synthesis, Spectroscopic Characterization And X-ray structure Determination of the Zinc(II) Complex", IOSR-JAC, vol. 12, no. 4, pp. 24-30, 2019. DOI: https://doi.org/10.9790/5736-1204012430. [URL] 🠔
  24. [24] B. Özgerif, "Design, synthesis, characterization, and biological evaluation of nicotinoyl thioureas as antimicrobial and antioxidant agents", J. Antibiot., vol. 74, no. 4, pp. 233-243, 2021. DOI: https://doi.org/10.1038/s41429-020-00399-7. [URL] 🠔
  25. [25] F. Aydin and N. B. Arslan, "Synthesis, Crystal Structure and Cyclic Voltammetric Behavior of N-aroyl-N-(4-cyanophenyl) thioureas", Molbank, vol. 2022, no. 1, p. M1316, 2022. DOI: https://doi.org/10.3390/m1316. [URL] 🠔
  26. [26] K. Jayanthi1, R. P. Meena, K. Chithra1, S. Kannan, W. Shanthi, R. Saravanan, M. Suresh, and D. Satheesh, "Synthesis And Microbial Evaluation of Copper(II) Complexes of Schiff Base Ligand Derived From 3-Methoxysalicylaldehyde With Semicarbazide and Thiosemicarbazide", J. Pharm Chem Biol Sci ., vol. 5, no. 5, pp. 205-215, 2017. 🠔
  27. [27] S. Demir Kanmazalp, E. Basaran, A. Karaküçük-Iyidogan, E. Oruç-Emre, F. §en, and N. Dege, "Synthesis, characterization, spectroscopy, X-ray structure and gaussian hybrid computational investigation of (-)-(S)-1-[2-(benzenesulfonami-do)-3-phenylpropanoyl]-4-[(4-methyl)phenyl]thiosemicarbazide", Phosphorus, Sulfur, and Silicon and the Related Elements, vol. 193, no. 10, pp. 675-684, 2018. DOI: https://doi.org/10.1080/10426507.2018.148871. [URL] 🠔
  28. [28] K. Feinstein, Guide to Spectroscopic Identification of Organic Compounds, 2th. ed. CRC Press, 2018. 🠔
  29. [29] K. Ghazal, S. Shoaib, M. Khan, S. Khan, M. K. Rauf, N. Khan, A. Badshah, M. Nawaz Tahir, I. Ali, and Attiqur-Rehman. "Synthesis, characterization, X-ray diffraction study, in-vitro cytotoxicity, antibacterial and antifungal activities of nickel(II) and copper(II) complexes with acyl thiourea ligand", J. Mol. Struct ., vol. 1177, pp. 124-130, 2019. DOI: https://doi.org/10.1016/j.molstruc.2018.09.028. [URL] 🠔
  30. [30] A. Khurshid et al., "Experimental and Hirshfeld Surface Investigations for Unexpected Aminophenazone Cocrystal Formation under Thiourea Reaction Conditions via Possible Enamine Assisted Rearrangement", Crystals, vol. 12, no. 5, p. 608, Apr. 2022. DOI: https://doi.org/10.3390/cryst12050608. [URL] 🠔
  31. [31] B. Wang, C. Rong, K. Chattaraj, and S. Liu. "A comparative study to predict regioselectivity, electrophilicity and nucleophilici-ty with Fukui function and Hirshfeld charge", Theor Chem Acc., vol. 138, no. 12, pp. 1-9, 2019. DOI: https://doi.org/10.1007/s00214-019-2515-1. [URL] 🠔
  32. [32] D. Soro, L. Ekou, M. G.-R. Koné, T. Ekou, and N. Ziao, "DFT Study of Molecular Stability and Reactivity on Some Hydroxamic Acids: An Approach by Hirshfeld Population Analysis", EJENG, vol. 4, no. 2, pp. 45-49, 2019. DOI: https://doi.org/10.24018/ejeng.2019.4.2.1121. [URL] 🠔
  33. [33] J. Carmona-Espíndola and J. L. Gázquez, "Charge transfer excitations and constrained density functional theory", Theor Chem Acc ., vol. 141, no. 1, pp. 1-10, 2022. DOI: https://doi.org/10.1007/s00214-021-02860-8. [URL] 🠔
  34. [34] Gaussian 09 W A02, M. J. Frisch, G. W. Trucks, H. B. Schlegel, G. E. Scuseria, M. A. Robb, J. R. Cheeseman, G. Scalmani, V. Barone, B. Mennucci, G. A. Petersson, H. Nakatsuji, M. Caricato, X. Li, H. P. Hratchian, A. F. Izmaylov, J. loino, G. Zheng, J. L. Sonnenberg, M. Hada, M. Ehara, K. Toyota, R. Fukuda, J. Hasegawa, M. Ishida, T. Nakajima, Y. Honda, O. Kitao, H. Nakai, T. Vreven, J. A. Montgomery, Jr., J. E. Peralta, F. Ogliaro, M. Bearpark, J. J. Heyd, E. Brothers, K. N. Kudin, V. N. Staroverov, T. Keith, R. Kobayashi, J. Normand, K. Raghavachari, A. Rendell, J. C. Burant, S. S. Yengar, J. Tomasi, M. Cossi, N. Rega, J. M. Millam, M. Klene, J. E. Knox, J. B. Cross, V. Bakken, C. Adamo, J. Jaramillo, R. Gomperts, R. E. Stratmann, O. Yazyev, A. J. Austin, R. Cammi, C. Pomelli, J. W. Ochterski, R. L. Martin, K. Morokuma, V. G. Zakrzewski, G. A. Voth, P. Salvador, J. J. Dannenberg, S. Dapprich, A. D. Daniels, O. Farkas, J. B. Foresman, J. V. Ortiz, J. Cioslowski, D. J. Fox , Gaussian, Inc., Wallingford CT, 2009. 🠔
  35. [35] Z. Fellahi, H. Chenaf-Ait, D. Hannachi, A. Djedouani, L. Ouksel, M. François, S. Fleutot, and R. Bourzami, "Synthesis, X-ray crystallography, Hirshfeld surface analysis, thermal properties and DFT/TD-DFT calculations of a new material hybrid ionic (C10H18N2O82+.2ClO4-.4H2O)", J. Mol. Struct ., vol. 1244, no. 130955, 2021. DOI: https://doi.org/10.1016/j.molstruc.2021.130955. [URL] 🠔
  36. [36] M. E. Elshakre, M. A. Noamaan, H. Moustafa, and H. Butt, "Density Functional Theory, Chemical Reactivity, Pharmacological Potential and Molecular Docking of Dihydrothiouracil-Indenopyridopyrimidines with Human-DNA Topoisomerase II", International Journal of Molecular Sciences, vol. 21, no. 4, p. 1253, 2020. DOI: https://doi.org/10.3390/ijms21041253. [URL] 🠔
J. R. Angulo-Cornejo, C. F. Tovar-Taboada, "Síntesis de tioureas con isoniacida y niacida estructural: test frente a bacterias Gram + y Gram -", Rev. Colomb. Quim., vol. 52, no. 1, pp. 49-54, 2023. DOI: https://doi.org/10.15446/rev.colomb.quim.v52n1.108362