Revista Colombiana de Química
0120-2804
2357-3791
Universidad Nacional de Colombia
Colombia
https://doi.org/

Recibido: 19 de septiembre de 2018; Aceptado: 25 de febrero de 2019

Immobilization of bromelain on cobalt-iron magnetic nanoparticles (CoFe2O4) for casein hydrolysis

Inmovilización de bromelina sobre nanopartículas magnéticas de cobalto-hierro (CoFe2O4) para la hidrólisis de caseína

Inmovilización de bromelina sobre nanopartículas magnéticas de cobalto-hierro (CoFe2O4) para a hidrólise de caseína

J. García Colmenares, J. Reyes cuellar,

Laboratorio de Servicios Ambientales-GIGUA, Facultad de ciencias, Universidad Pedagógica y Tecnológica de Colombia, avenida del norte 39-115, Tunja, Colombia. Universidad Pedagógica y Tecnológica de Colombia Colombia
Laboratorio de Servicios Ambientales-GIGUA, Facultad de ciencias, Universidad Pedagógica y Tecnológica de Colombia, avenida del norte 39-115, Tunja, Colombia. Universidad Pedagógica y Tecnológica de Colombia Colombia

josemauricio.garcia@uptc.edu.co

Abstract

By means of recycling an enzyme, bromelain was used in casein hydrolysis facilitated by a nanobiocatalyst consisting of bromelain, CoFe.O.magnetic nanoparticles, chitosan, and glutaraldehyde. Bromelain was immobilized on the chitosan cobalt-magnetite nanoparticle surface via covalent bonds to form the nanobiocatalyst. Immobilized bromelain showed 77% immobilization binding, retaining 85 ± 2% of the initial catalytic activity. Nanoparticles and immobilized bromelain were characterized using UV-Vis and IR spectroscopies, X-ray, square wave voltammetry (SWV), cyclic voltammetry (CV), vibrating-sample magnetization (VSM), and transmission electron microscope (TEM). The Michaelis-Menten constant (K.) and VMAX of the free and immobilized enzyme were calculated: K. = 2.1 ± 0.18 mM and 1.8 mM, respectively and VMAX = 6.08 x 10-2 ± 2.1 x 10-2 U/min and 6.46 ± 0.91 U/min, respectively. The thermal stability of the free enzyme was higher than the immobilized enzyme: 95-98% and 83-87%, respectively. An optimum pH of 6 and a temperature of 20 °C were determined in both cases. Immobilized bromelain maintained 50% of the initial catalytic activity after the fifth use. The immobilized bromelain proved to be effective and reusable for casein hydrolysis. As novel contribution the characterization by VOC and CV was carried out.

Keywords

immobilization, enzyme, casein, recycling, hydrolysis, voltammetry.

Resumen

Se investigó la reutilización de la bromelina inmovilizada sobre nanopartículas magnéticas de CoFe.O. para la hidrólisis de caseína. La inmovilización se efectuó covalentemente en un catalizador de nanopartículas de hierro y cobalto recubiertas con quitosano, glutaraldehído y bromelina. La bromelina alcanzó un máximo de inmovilización del 77%, conservando el 85 ± 2% de su actividad catalítica inicial a los 30 min. La caracterización del catalizador se realizó por espectrofotometría IR y UV-Vis, microscopía electrónica de transmisión (TEM), difracción de rayos X, voltametría de onda cuadrada (VOC), voltametría cíclica (VC) y magnetización de muestra vibrante (VSM). Los parámetros cinéticos K. y VMAX de la enzima libre e inmovilizada fueron: K. = 2,1 ± 0,18 mM y 1,8 ± 0,16 mM, respectivamente y VMAX = 6,08 x 10-2 ± 2,1 x 10-2 U/min y 6,46 ± 0,91 U/min, respectivamente. La estabilidad térmica de la enzima libre fue mayor que la de enzima inmovilizada: 95-98% y 83-87%, respectivamente. Se determinó un pH óptimo de 6 y temperatura de 20 °C en ambos casos. La bromelina inmovilizada mantuvo el 50% de su actividad catalítica hasta el quinto uso. Como aporte novedoso se realizó, en este estudio se realizó la caracterización por VOC y VC.

Palabras clave

inmovilización, enzima, caseína, reutilización, hidrólisis, voltametría.

Resumo

Foi estudado o reuso da enzima bromelina imobilizada sobre nano partículas magnéticas de CoFe.O., para a hidrólise de caseína. A imobilização efetuou-se covalentemente em um catalisador de nano partículas de cobalto e ferro recobertas com quitosano, glutaraldehido e bromelina. A bromelina atingiu seu máximo de imobilização do 77% aos 30 minutos, conservando o 85 ± 2% da sua atividade catalítica inicial. A caraterização foi feita mediante espectrofotometria IV e UV-Vis, microscopia eletrônica de transmissão (TEM), difração de raios X, voltametria de onda quadrada (VOQ), voltametria cíclica (VC) e por magnetização de amostra vibrante (VSM). Os parâmetros cinéticos K. e VMAX da enzima livre e imobilizada foram K. = 2,1 ± 0,18 mM e 1,8 8 ± 0,16mM, respeitivamente; VMAX = 6,08 x 10-2 ± 2,1 x 10-2 U/ min e 6,46 ± 0,91 U/min, respectivamente. A estabilidade térmica da enzima livre (95-98%) foi maior do que a estabilidade da enzima imobilizada (83-87%), determinou-se um pH óptimo de 6 e temperatura de 20 °C em ambos os casos. A bromelina imobilizada manteve o 50% de sua atividade catalítica até o quinto uso. Como aporte inovador neste estudo apresenta-se a caraterização por TOQ e VC.

Palavras-chave

enzima imobilizada, caseína, reutilização, hidrolises, voltametria.

Introduction

Implementation of enzymatic processes in industry contributes to saving of raw materials and energy efficiency because of its specific and rapid action. However, enzymes costs limit their application in emerging economies [1]. Therefore, enzyme recovery and recycling through immobilization has been considered to offer a potentially significant cost saving during their application. For this, various techniques have been developed: adsorption on solid supports, covalent bonding on material surface, entrapment/encapsulation in a carrier material, and cross-linking [2].

Parameters used to assess immobilization effectiveness are: immobilization efficiency, production, and enzymatic charging [3]. Characteristics of the support material determine the performance of the immobilized enzyme system, including physical resistance, hydrophilicity, inertness, ease of enzyme coupling, biocompatibility, resistance to microbial attack, and availability at low cost [4]. For immobilization, both natural and synthetic polymeric materials and inorganic substrates are used because they have high specific surface areas [5]. Magnetic nanoparticles (MNP), in addition to the high specific surface area, are resistant to mass transfer and have an effective enzymatic charge. They also offer the possibility of recovery by using a magnetic field, even when acting as a carrier of the immobilized enzyme [6]. Iron oxide supports are especially useful and are being developed to achieve better immobilized enzyme activity [7].

Techniques for coupling methods of an enzyme on MNP have been developed. Among these techniques entrapment (in gel, fiber, and micro-encapsulation), immobilization on solid support (physical adsorption, ionic bonding, chelation or metal bonding, covalent bonding), and cross-linking are included [8]. Binary MNP containing iron and cobalt have been developed to establish an economically favorable process for enzymes immobilization. These binary MNP exhibit a magnetization saturation higher than the iron MNP, as well as greater resistance to corrosion [9, 10].

The modification of MNP with enzymes is carried out by covalent bonding, due to the strength and stability offered by the link between enzyme and support, being one of the most investigated techniques about immobilization. The covalent bonding technique includes methods such as diazotization, amide bond formation, alkylation, arylation, Ugi reaction, amidination reactions, thiol-disulfide exchange, mercury-enzyme interactions, radiation-induced coupling, and formation of a Schiff base [8]. Among these methods, the formation of a Schiff base is preferred because of the presence of free amino groups, which react with glutaraldehyde and a suitable carrier. Chitosan is a common, economical, and ideal support material for enzyme immobilization. It is also akin for proteins, capable of gel formation, has good mechanical strength, has resistance to chemical degradation, and presents anti-bacterial properties [11].

This work describes the synthesis, characterization and kinetics of a bromelain-based catalyst applied to enzymatic casein hydrolysis. The catalyst was obtain from bromelain and was immobilized on a mixture of chitosan, glutaraldehyde and cobalt ferrite magnetic nanoparticles (CoFe2O4).

Materials and methods

Reagents

Bromelain (extracted from Ananas comosus), casein (25000 Da), iron sulfate pentahydrate (99.5%), cobalt sulfate pentahydrate (99.5%), sodium hydroxide (98%), acetic acid (99.5%), and glutaraldehyde (25%) were purchased from Panreac (Spain). Chitosan (99%) dibasic disodium phosphate (99%), biuret reagent (99%), and ethylene glycol (99%) were purchased from Merck (Germany). Potassium phosphate monobasic (99%) was obtained from J.T. Baker (USA). All solutions were prepared with type 1 water obtained from a Q-millipore system resulting in a 0.05 μS conductivity.

Synthesis of Magnetic CoFe2O4 Nanoparticles (MNP)

The polyol procedure described by Chiriac et al. [12] was followed. Two 0.07 M dissolutions were prepared: 0.60 g of cobalt sulphate heptahydrate in 50 mL of ethylene glycol and 0.59 g of iron sulphate heptahydrate in 50 mL of ethylene glycol. Each solution pH was adjusted to 11 by slow addition (two drops every second) of 3 M NaOH before reduction process.

The NPMs were synthesized by reflux between 185 to 195 °C for 4 h. Co40Fe60 was obtained. After reaction time the mixture was cooled to room temperature and then filtered. The precipitates were dried at 120 °C for 2 h and then calcinated at 650 °C for 4 h. Co50Fe50 and Co20Fe80 were also synthesized in a ratio of 1:4 and 1:3 following the same procedure described above to synthetize Co40Fe60, but at a different drying temperature (190-195 °C).

Magnetic attraction was evaluated by approaching a pre-weighed metal to the synthetized MNP and then measuring weight again. The greater amount of MNP that adhered to the metal, suggested a greater magnetic attraction.

Coating and activation of CoFe2O4 with chitosan and glutaraldehyde (MNP-C-G)

The obtained MNP were washed three times with deionized water, before modifying them according to Xie and Wenlei [13]. Then 200 mg of MNP were taken and suspended in a 0.5% (w/v) chitosan solution. The chitosan solution consisted of 250 mg of chitosan dissolved in 50 mL of acetic acid solution (0.35 M).

The resulting solution pH was adjusted to 10 by drop addition of 3 M NaOH, then stirred at 150 rpm for 1 h. The mixture was heated to 80 °C for 30 min and filtered. The obtained solids (MNP-C) were washed three times with deionized water. Then they were dissolved in a 2% (w/v) glutaraldehyde solution. The pH was fixed to 6 with phosphate buffer. Then the solution was heated at 37 °C for 1 h. The result was MNP-C-G.

Activated MNP-C-G was recovered by application of an external magnetic field and washed with deionized water and phosphate buffer (pH 6) until the glutaraldehyde residues were removed.

In another test, the same procedure was followed, but instead of using 250 mg of chitosan, 1000 mg were used to yield 2% (w/v).

Bromelain immobilization on MNP-C-G

Bromelain was extracted from pineapple by a conventional procedure [14]. Pineapple pulp was selected and macerated; then, 0.5 g of sodium benzoate were added per liter to the obtained extract, then it was stored below 4 °C. Fifteen days later, bromelain was extracted with an ethanol/acetone mixture (1:1 v/v).

Enzymatic activity of extracted bromelain was determined by the biuret method using casein as a substrate, as described below. Purified bromelain was incubated in 0.1 M phosphate buffer solution (fixed pH at 6) at different concentrations: 2 x 10-4 M (700 mg) and 4 x 10-5 M (140 mg) with 200 mg of the activated MNP-C-G.

In this test the 0.5% (w/v) chitosan solution was used. According to which bromelain concentration was used (2 x 10-4 M or 4 x 10-5 M), two kind of particles were obtained: A type MNP-C-G-Bromelain and B type MNP-C-G-Bromelain, respectively.

Schiff's base formation was monitored by COV and UV-Vis spectroscopy, every 10 min by taking a sample of supernatant. It was expected to obtain a decrease in bromelain concentration, because the enzyme was being fixed to the MNP-C-G instead of being in the solution. The meassurement technique was the Biuret method at 545 nm every 10 min up to 30 min reaction.

The immobilized enzyme was separated throug a magnetig field and washed with phosphate buffer at pH 6.

In another set of tests 2% (w/v) chitosan solution was used. According to which bromelain concentration was used (2 x 10-4 M or 4 x 10-5 M), two kind of particles were obtained: C type MNP-C-G-Bromelain and D type MNP-C-G-Bromelain, respectively.

Immobilization percentage of bromelain was determined with equation (1):

Where Ie: Inmobilization efficiency, Af: Total activity units of added free enzyme, As: Activity units of added free enzyme.

Characterization

Spectrophotometric and microscopic techniques, as well as voltammetry were used for characterization of MNP, free bromelain, and immobilized bromelain on MNP. Morphology and size distribution of the MNP were determined by transmission electron microscopy (TEM-STEM) on a FEI Tecnai G2 F20 microscope (Germany). The structure was examined by X-ray diffraction (XRD) through a Philips PW 1700 X-ray diffractometer equipped with a PW1825 generator (Netherlands) and a graphite monochromator at a 26°angle using Cu radiation. ATR technique was used for determining the FT-IR spectra of MNP and immobilized bromelain. Spectra were recorded on a Shimadzu IR-Prestige-21 spectrophotometer (Japan). UV-Vis was used for quantifying the amount of immobilized bromelain, it was used a Genesys 10S UV-Vis spectrophotometer (USA).

A BAS CV-50W polarographer (USA), equipped with a voltammetric analyzer and an electrochemical station CGME analyzer to perform cyclic voltammetry (CV) and square wave voltammetry (SWV), was used. The tests were developed using a three-electrode cell, the working electrode was a static mercury drop electrode (SMDE), the reference electrode was a Ag/AgCl reference electrode (BASI MF-2052), and the auxiliary electrode was a platinum one (BASI MW-1032); the tests were performed under an nitrogen atmosphere.

Magnetic properties of the MNP and immobilized bromelain were assessed with a vibrating-sample magnetometer (VSM) using a VersaLab™ Magnetometer (USA) at room temperature.

Enzymatic activity (casein hydrolysis)

Enzyme activity for free and immobilized bromelain on MNP-C-G was measured by casein hydrolysis monitored through the Biuret method. Prior to the activity tests, a standard curve was constructed [15].

The reaction conditions were the following: 2 x 10-4 M bromelain (1.5 mL), 4 x 10-4 M casein as substrate (1.5 mL), 0.1 M phosphate buffer at pH 6 (1 mL), incubation at 20 °C. Seven assays were performed varying reaction time: 0, 5, 10, 15, 20, 25 and 30 min. The reaction was stopped with 1 M acetic acid (1 mL).

After stopping the reaction, a 1.5 mL sample was taken and mixed with 1 mL of the Biuret reagent, stirred for 20 s and then, the absorbance was measured at 545 nm. Casein concentration was calculated from the equation based on the standard curve.

Enzyme activity of immobilized bromelain (A type MNP-C-G-Bromelain) was evaluated following the same procedure. The amount of MNP-C-G-Bromelain used in each test was 200 mg. In every case, enzymatic conversion of casein was calculated as (2):

Kinetic parameters of MNP-C-G-Bromelain

Kinetic parameters of free and immobilized bromelain at 20 °C were determined using different casein concentrations: from 8 x 10-5 M (0.2 g) to 4 x 10-4 M (1 g) in presence of 0.1 M phosphate buffer at pH 6. KM and VMAX values were calculated from a non-linear regression fitting of the Michaelis-Menten equation using the Hanes-Woolf linearization [16]. Optimum temperature was determined by assaying the enzyme activities at temperatures between 15-35 °C

Reusability of MNP-C-G-Bromelain

Reusability of MNP-C-G-Bromelain was assessed at 20 °C, by carrying out consecutive casein hydrolysis under standard assay conditions. After each cycle MNP-C-G-Bromelain was washed with deionized water and phosphate buffer at pH 6. In each assay, 2 mL of fresh buffer and 3 mL of 4 x 10-5 M casein were added, proceeding as described in the evaluation of enzymatic activity. Activity of the immobilized enzyme after the first use was defined as control and was assigned a relative activity of 100%.

Results and Discussion

Synthesis and preliminary characterization of MNP

After following the described procedure, different structures of iron-cobalt nanoparticles: Co20Fe80, Co40Fe60, and Co50Fe50 were obtained. According to magnetic properties of the products, it was concluded that Co40Fe60 nanoparticles were the most suitable for the study purposes. The magnetic properties obtained for this is specific Co/Fe ratio can be explained because of iron concentration [17].

Table 1 presents synthesis yield for each nanoparticle structure, as well as magnetic properties. Based on these values, Co40Fe60 was selected as the proper support for subsequent experiments.

Table 1.

Criteria MNP
Co20Fe80 Co40Fe60 Co50Fe50
Yield (%) 9.8 ± 0.6 13 ± 0.9 10.5 ± 0.7
Magnetic Attraction (arb. unit) Medium High Medium

Characterization of MNP (Co40Fe60)

Magnetic properties of MNP (Co40Fe60) and MNP-C-G-Bromelain were measured using a vibrating sample magnetometer at room temperature. Figure 1 shows the magnetic saturation of MNP at 33.7 emu/g. Magnetic saturation of MNP-C-G-Bromelain was 26.3 emu/g. Magnetization of MNP decreased significantly (21.96%) when bonding with glutaraldehyde. Calculated hysteresis curve revealed that MNP and MNP-C-G-Bromelain had a ferromagnetic behavior [18, 19]. Both MNP and MNP-C-G-Bromelain maintained high values of magnetic saturation which facilitates recovery after usage by applying an external magnetic field.

Figure 1.

Figure 1.

Micrograph in Figure 2 is a typical TEM image of this kind of alloy. As shown in the figure, synthesized MNP presents some agglomerations which are distinguished by an oval morphology with an average 17.37 ± 2.02 nm diameter (Figure 2, left). Agglomerations disappeared when immobilizing process of bromelain begun. Immobilization process distributed uniformly the MNP and did not seem to affect the morphology, but increased the size to 25.68 ± 4.02 nm. This diameter increase could be due to the different coverages applied to them (chitosan, glutaraldehyde and bromelain). The coverage can be seen in Figure 2 (right hand side). Also, a light film covering the MNP without functional treatment, can be seen (Figure 2, right hand side).

Figure 2.

Figure 2.

Immobilization process of bromelain with MNP-C-G was confirmed by FT-IR spectroscopy, as shown in Figure 3. Spectra of pure chitosan, bromelain, MNP, and glutaraldehyde is presented. MNP-C-G-Bromelain spectrum showed that a Schiff base was formed between the carboxyl group of glutaraldehyde and the terminal amino group of bromelain.

The MNP spectrum presents the following: a signal at 588 cm-1 for Co2+ and Fe2+, signals at 3390 cm-1 for NH and signals around 1694 cm-1 due to pulling of the OH group.

There is also a signal at 1540 cm-1 indicating pulling of the NH group; another at 1240 cm-1 for the pulling of the CH group; a peak at 1058 cm-1 for the pulling of the NC group. These signals serve as an indicator for the formation of Schiff bases.

Figure 3.

Figure 3.

Figure 4 corresponds to a MNP diffractogram, it presents six peaks located at 21.2, 35.6, 42.3, 51.5, 67.8, and 75.2. They are related to crystallography planes, according to Miller indexes: (111), (220), (311), (422), (400), (511), and (440) respectively. These indexes correspond to spinel-like structures made of CoFe2O4. There is also a special fd-3m (JCPDS database file, No.79e0418) group [20]. The same six characteristic peaks were present in the MNP-C-G-Bromelain sample. Suggesting that neither the chitosan nor the glutaraldehyde affect the MNP phase.

Figure 4.

Figure 4.

Figures 5a and 5b indicate oxidation potential obtained from a mixture of iron standards (-280 ±7 mV) and cobalt standards (-1060 ± 5 mV) using SWV and CV. Electrochemical behavior of MNP indicated the presence of a characteristic anodic signal of cobalt at -1090 ± 6 mV. Absence of an oxidation band in the CV voltammogram indicates the irreversibility of this process [21]. Iron did not present a signal in SWV nor CV, suggesting that MNP is actually a typical inverse spinel structure. In other words, there is a face-centered cubic (FCC) network of oxygen anions where Fe3+ ions occupy all tetrahedral holes and half of the octahedral holes; Co2+ ions occupy the other half of the octahedral holes [22]. The majority of Fe3+ ions fill all of the tetrahedral holes because they are inside the crystalline structure. When a negative potential is applied, cations are protected and the applied potential cannot cause any electrolytic activity on iron. Instead, Co2+, which is located in the exterior part of the molecule, is susceptible to electrolytic activity when a negative potential is applied.

Figure 5.

Figure 5.

Immobilization and characterization of Bromelain on MNP

Bromelain immobilization on MNP was evaluated by SWV, CV, and UV-Vis spectroscopy. Figures 6a and 6b present the MNP-C-G-Bromelain voltammogram. There is an anode signal at -1206 ± 6 mV. The signal decreased until it fell below limits of quantification (60 ppb). This signal corresponds to Co2+. It presents a light displacement comparing to free Co2+ anodic potential, because of the interactions of the system immobilization.

When MNP were covered with chitosan, activated with glutaraldehyde, and covalently bonded with the bromelain (MNP-C-G-Bromelain), electrochemical activity of MNP decreased until it lost its electrochemical activity when applying an external negative potential. This loss of electrical activity is attributed to the covering.

Figure 6.

Figure 6.

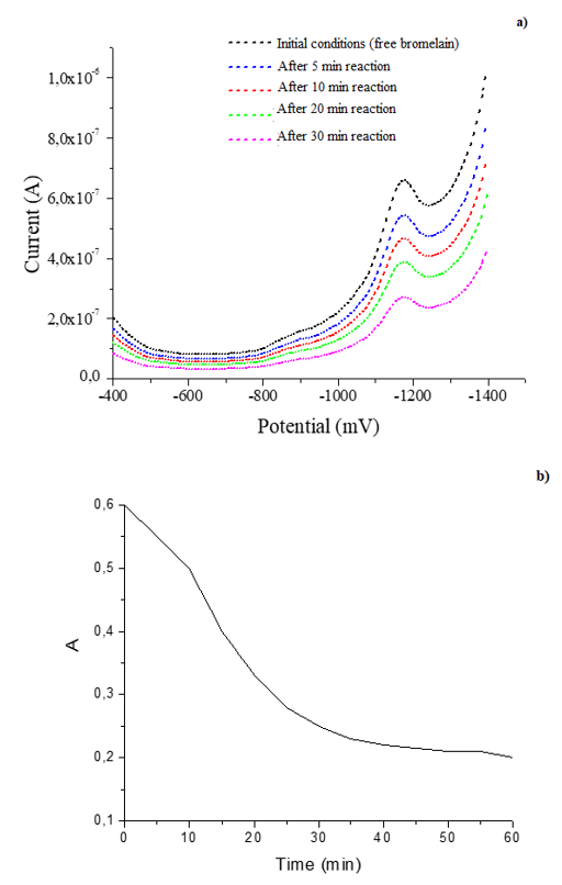
For the A type MNP-C-G-Bromelain, immobilization results were monitored at different times. The SWV plot, shown in Figure 7a, represents kinetics of bromelain immobilization. It shows that as time passes, the amount of immobilized enzyme increases. After 5 min, immobilization efficiency was 63.4%. After 20 min, the percentage increased to 78.8% and after 30 min, it achieved maximum of 81.3%. The process was evaluated by UV-Vis spectroscopy (Figure 7b). After 30 min a constant absorbance was observed, indicating reaction equilibrium, in other words: the enzyme reached its maximum immobilization potential.

Figure 7.

Figure 7.

Biuret test was performed on the supernatant to estimate free bromelain (Table 2). Changes in Biuret reaction are observed, they are more significant for A type MNP-C-G-Bromelain and C type MNP-C-G-Bromelain: 23% free bromelain and 35% free bromelain, respectively. This indicates a 77% free bromelain decrease in the supernatant for A type MNP-C-G-Bromelain and a 65% free bromelain decrease for C type MNP-C-G-Bromelain.

Percentage of free bromelain in supernantan for B type MNP-C-G-Bromelain and D type MNP-C-G-Bromelain were higher thant those found for A and C, indicating that the B type and D type had lower immobilization percentages.

Table 2.

Type Concentration Free bromelain %) (Estimation method: Biuret test)
Chitosan % (w/v) : Glutaraldehyde % (w/v) Bromelain (M)
A 0.5:2 2 x 10-4 23%
B 2:2 2 x 10-4 60%
C 0.5:2 4 x 10-5 35%
D 2:2 4 x 10-5 40%

*A: 2 x 10-4 M bromelain in a 0.1 M phosphate buffer solution (fixed pH at 6) with 200 mg of the activated MNP-C-G (CoFe2O4, 0.5% (w/v) chitosan solution, 2% (w/v) glutaraldehyde).

B: 4 x 10-5 M bromelain in a 0.1 M phosphate buffer solution (fixed pH at 6) with 200 mg of the activated MNP-C-G (CoFe2O4, 0.5% (w/v) chitosan solution, 2% (w/v) glutaraldehyde).

C: 2 x 10-4 M bromelain in a 0.1 M phosphate buffer solution (fixed pH at 6) with 200 mg of the activated MNP-C-G (CoFe2O4, 2% (w/v) chitosan solution, 2% (w/v) glutaraldehyde).

D: 4 x 10-5 M bromelain in a 0.1 M phosphate buffer solution (fixed pH at 6) with 200 mg of the activated MNP-C-G (CoFe2O4, 2% (w/v) chitosan solution, 2% (w/v) glutaraldehyde).

Bromelain immobilization on MNP-C-G depends on enzyme concentration and time immobilization. Optimum conditions for the process were: 200 mg MNP (CoFe2O4), 0.5% (w/v) chitosan (250 mg), 2% (w/v) glutaraldehyde (4 mL), 2 x 10-4 M bromelain (700 mg), and immobilization time of 30 min. MNP are stable under those reaction conditions.

Although immobilization induces a slight loss of magnetic strength in the system as a whole (Figure 1), it can be recovered by using an external magnetic field.

Bromelain immobilization has been performed in different systems and supports, with a range of different techniques and 20-90% yield [23, 24]. Therefore, immobilization results obtained in this study were satisfactory: A maximum immobilization percentage of 82.6 ± 3%, a higher rate than the one obtained by Benucci et al. [25] and Zappino et al. [26], who found a maximum immobilization percentage of 40% with commercial bromelain immobilized in microstructures.

Enzyme activity and kinetic parameters

Proteolytic activity of free and immobilized bromelain was measured by evaluating the reaction speed on casein hydrolysis from 0 to 30 min. The enzyme reached its maximum reaction speed at 12 min. Kinetic parameters (KM y VMAX) of free and immobilized enzyme were extrapolated using non-lineal regression for the Michaelis-Menten equation and the Hanes Woolf diagram. The following results were obtained: KM = 2.1 ± 0.18 mM for immobilized enzyme and KM = 1.8 ± 0.16 mM for free enzyme, VMAX for free enzyme was 6.08 x 10-2 ± 2,1 x 10-2 U/min and 6.46 ± 0.91 U/min for the immobilized enzyme.

Catalytic activity for free bromelain presented a maximum of 95%, whereas immobilized bromelain maintained a maximum of 87%. To reach the same catalytic activity of free enzyme with immobilized enzyme it is necessary to increase the amount of enzyme in 16.6%.

Under the same reaction conditions (casein hydrolysis, 20 °C, 30 minutes reaction time) catalytic activity of A type immobilized bromelain was compared to catalytic activity of free enzyme using the same amount of protein. Reaction was monitored with the Biuret method (Figure 8). During the initial three minutes, hydrolysis rates were almost identical; in both parallel assays enzyme reached its maximum reaction speed at 12 min. However, after reaction time, casein hydrolysis was achieved up to 69 ± 2% using immobilized bromelain. In contrast, casein hydrolysis using free bromelain reached 81 ± 2.5% during the same time.

Casein hydrolysis catalyzed by bromelain produces different kinds of free amino acids. However, only three kinds of aromatic amino acids (tyrosine, tryptophan and phenylalanine) exhibit UV absorbance. Because of immobilization, the granular form of enzyme causes a less homogeneous distribution of free amino acids, compared to free enzyme. This might reduce the hydrolysis yield using immobilized enzyme compared with free enzyme under identical conditions.

The magnetic feature of MNP greatly facilitated separation of immobilized bromelain from the liquid suspensions system and simplified the recycling process. All of our results demonstrated the prospective and versatile potential of the immobilized bromelain on MNP in future optimization of the casein hydrolysis process.

Figure 8.

Figure 8.

Reusability of immobilized bromelain

According to KM, A type immobilized bromelain was chosen for reusability tests (monitored by Biuret method). Immobilized bromelain activity after its first use (usage time: 30 min) was selected as a control with a relative activity of 100%. During the second use, activity dropped to 87% and continued to decrease with usage. Until its fifth use activity stayed above 50%. After this, it dropped significantly from 49.3% to 2.4% (ninth cycle).

Stability until the ninth cycle of immobilized enzyme allowed to establish that bromelain concentration remains stable, that is, there is no significant loss of immobilized bromelain towards the supernatant (bromelain concentration in supernatant: 2.6 ± 0.25%).

Bromelain-MPM union is strong and stable because of the Schiff base bond between primary amino groups of bromelain and carbonyl group of glutaraldehyde.

Other proteases have been used for casein hydrolysis obtaining different yields in reaction efficiency: Zhang et al. [27] were able to hydrolyze 99.5% of casein in an initial 23.3 g/L concentration using free papain (0.06–0.50 g/L). Yazid et al. [28] evaluated immobilization of two proteases extracted from hair and soy fibers onto magnetic nanoparticles. They found that each immobilized enzyme retained 66% and 64%, respectively, of their catalytic activity after seven cycles. Valenberg et al [29] concluded that when using chymosin in casein hydrolysis a minimum of 50% and a maximum of 80% yield was obtained.

In this study, immobilized bromelain onto CoFe2O4 magnetic nanoparticles (bonded with chitosan and activated with glutaraldehyde), was able to catalyze casein hydrolysis. To hydrolyze a 1 µM casein solution with 97% efficiency at 20 °C within 30 min, a 2.1 ± 0.18 mM enzyme solution was required. Free bromelain required 1.8 ± 0.16 mM of enzyme to obtain the same efficiency as the immobilized bromelain.

Temperature effect

Optimum temperature for immobilized bromelain was 20 °C, although until 30 °C enzyme activity did not present any significant variation. In the 15-25 °C temperature range immobilized enzyme exhibited an activity between 83 to 87% while the free enzyme presented an activity range of 91-95%.

Immobilized bromelain maintained a maximum catalytic activity of 87% at 20 °C in the casein hydrolysis reaction. Chen and Huang [30] evaluated bromelain separation from poly acrylic acid combined with oxide and iron nanoparticles and determined that bromelain absorption and desorption in the system retained 87.4% of the catalytic activity.

Another alternative is recovery and reutilization of enzymes: although bromelain absorption time is a minute, the union between bromelain with the system is through an electrostatic interaction which can generate enzyme losses due to the reaction conditions. Bromelain has been reported to have a good thermal stability between 15 to 35 °C which coincides with the results of this study. Optimal stability regarding pH was found from 2-5, the optimum being 5. The experimental setup was fixed to 6.

Conclusions

Synthesis of Co-Fe magnetic nanoparticles using the polyol method produced three different structures: Co20Fe80, Co40Fe60, and Co50Fe50. The best molecule regarding yield and magnetic attraction was Co40Fe60. Bromelain was immobilized in a recyclable nanostructured system: CoFe2O4 covered with chitosan and functionalized with glutaraldehyde (MNP-C-G).

Hydrolysis rates using free or immobilized bromelain on MNP-C-G were 81 ± 2.5 % and 69 ± 2%, respectively. In addition, KM and VMAX were higher in free enzyme, it also retained additional 16.6% catalytic activity regarding the immobilized enzyme. However, immobilized bromelain maintained 87 ± 2% catalytic activity after the second usage cycle and remain activity above 50% for five cycles.

As a novel contribution, MNP-C-G and MNP-C-G-Bromelain were characterized by voltammetry, a technique not yet reported for this type of nanomaterials. Characterization by square wave voltammetric and cyclic voltammetry allowed to evaluate the electroactive behavior of these nanostructures. Electric activity falls to zero when the immobilization process is carried out under the optimized conditions, becoming an useful analytical tool to follow up on this type of processes.

Acknowledgements

We gratefully acknowledge to COLCIENCIAS and the Boyacá government, because they gave us granting of a scholarship to carry out master studies in chemistry and supported one of the authors to develop this research work. Scholarship was granted in the call no. 733 of 2015 high level human capital training for the Boyacá department.

References

  1. [1] Z. Yifei, G. Jun and L. Zheng, “Enhanced activity of immobilized or chemically modified enzymes,” Catalysis, vol. 5, pp. 4503-4513, 2015. DOI: https://doi.org/10.1021/acscatal.5b00996. [URL] 🠔
  2. [2] A. Care, K. Petroll, E. S. Y. Gibson, P. L. Bergquist and A. Sunna, “Solid-binding peptides for immobilisation of thermostable enzymes to hydrolyse biomass polysaccharides,” Biotechnol. Biofuels, vol. 10, pp. 1–16, 2017. DOI: https://doi.org/10.1186/s13068-017-0715-2. [URL] 🠔
  3. [3] R. A. Sheldon and S. Van Pelt, “Enzyme immobilization in biocatalysis: why, what and how,”. Chem. Soc. Rev., vol. 42, pp. 2013. DOI: https://doi.org/10.1039/c3cs60075k. [URL] 🠔
  4. [4] R. Ahmad and M. Sardar, “Enzyme immobilization: An overview on nanoparticles as immobilization matrix,” Biochem. Anal. Biochem., vol. 4, pp. 178–185, 2015. DOI: https://doi.org/10.4172/2161-1009.1000178. [URL] 🠔
  5. [5] M. Hartmann, and X. Kostrov, “Immobilization of enzymes on porous silicas-benefits and challenges,” Chem. Soc. Rev., vol. 4, pp. 6277–6289, 2013. DOI: https://doi.org/10.1039/c3cs60021a. [URL] 🠔
  6. [6] E. P. Cipolatti, M. J. Silva, M. Klein, V. Feddern and M. M. C. Feltes, “Current status and trends in enzymatic nanoimmobilization,” J. Mol. Catal. B Enzym., vol. 99, pp. 56–67, 2014. 🠔
  7. [7] A. K. Johnson, A. M. Zawadzka, L. A. Deobald, R. L. Crawford, R. L. and A. J. Paszczynski, “Novel metthod for immobilization of enzymes to magnetic nanoparticles,” J. Nanopart. Res., vol. 10, pp. 1009–1025, 2008. DOI: https://doi.org/10.1007/s11051-007-9332-5. [URL] 🠔
  8. [8] S. Akhtar, A. A. Khan, and Q. Husain, “Potential of immobilized bitter gourd (Momordica charantia) peroxidases in the decolorizatio and removal of textil dyes from polluted wastewater and dyeing effluente,” Chemosphere., vol. 60, pp. 291–301, 2004. DOI: https://doi.org/10.1016/j.chemosphere.2004.12.017. [URL] 🠔
  9. [9] B. Issa, I. M. Obaidat, B. A. Albiss, Y. Haik, “Magnetic Nanoparticles: Surface effects and properties related to biomedicine applications,” Int. J. Mol. Sci., vol. 11, pp. 21266–21305, 2013. DOI: https://doi.org/10.3390/ijms141121266. [URL] 🠔
  10. [10] A. G. Kolhatkar, A. C Jamison, D. Litvinov, R. C. Willson, and T. R. Lee, “Tuning the magnetic properties of nanoparticles,” Int. J. Mol. Sci., vol. 8, pp. 15977–16009, 2013. DOI: https://doi.org/10.3390/ijms140815977. [URL] 🠔
  11. [11] R. S. Juang, F. C Wu and R. L. Tseng, “Use of chemically modified chitosan beads for soportion and enzyme immobilization,” Adv. Environ., vol. 6, pp. 171–177, 2002. DOI: https://doi.org/10.1016/s1093-0191(00)00078-2. [URL] 🠔
  12. [12] H. Chiriac, A. E. Moga and C. Gherasim, “Preparation and characterization of Co, Fe y Co-Fe magnetic nanoparticles,” Optoelectron Adv. Mater., vol. 10, no. 12, pp. 3492–3496, 2008. 🠔
  13. [13] X. Wenlei and J Wang, “Immobilized lipase on magnetic chitosan microspheres for transesterification of soybean oil,” Biomass Bioenergy., vol. 36, pp. 373–380, 2011. DOI: http://dx.doi.org/10.1016/j.biombioe.2011.11.006. [URL] 🠔
  14. [14] D. Clavijo, M. C. Portilla Martinez and A. Quijano Parra, “Cinética de la bromelina obtenida a partir de la piña perolera (Ananas Comosus) de Lebrija-Santander,” Bistua: Revista de la Facultad de Ciencias Básicas, vol. 10, núm. 2, pp. 41-49, 2012 🠔
  15. [15] B. G. Blijenberg, H. A. Roetering, L. Zwang and B. Leijnse, “Spinal fluid protein revisited: a reappraisal of the biuret procedure,” J. Clin. Chem. Biochem., vol. 23, pp. 225–230, 1985. DOI: https://doi.org/10.1515/cclm.1985.23.4.225. [URL] 🠔
  16. [16] L. V. Madan, R. Chaudhary, T. Tsuzuki, C. J. Barrow and M. Puri, “Immobilization of β-glucosidase on a magnetic nanoparticle improves thermostability: Application in cellobiose hydrolysis,” Bioresour. Technol., vol. 135, pp. 2-6, 2013. DOI: http://dx.doi.org/10.1016/j.biortech.2013.01.047. [URL] 🠔
  17. [17] P. Weiss and R. Forrer, “Mean Magnetic Moments in bcc Fe–Co Alloys,” Ann. Phys. vol., 40, pp. 21371–1372, 1969. DOI: https://doi.org/10.1063/1.1657673. [URL] 🠔
  18. [18] Z. Ma, Y. Guan and H. Liu, “Synthesis and characterization of micron-sized monodisperse superparamagnetic polymer particles with amino groups,” J. Polym. Sci. Part. A Polym. Chem., vol. 15, pp. 3433–3339, 2015. DOI: https://doi.org/10.1063/1.1657673. [URL] 🠔
  19. [19] C. Pan, B. Hu, W. Li, Y. Sun, H. Ye and X. Zeng, “Novel and efficient method for immobilization and stabilization of β-Dgalactosidase by covalent attachment onto magnetic Fe.O. chitosan nanoparticles,” J. Mol. Catal. B Enzym., vol. 61, pp. 208–215, 2009. DOI: https://doi.org/10.1016/j.molcatb.2009.07.003. [URL] 🠔
  20. [20] COMPTECH, “JCPDS database,” [Online] Available: http://comptech.compres.us/tools/jcpds/. [Accessed: june 10, 2017]. [URL] 🠔
  21. [21] S. A. Lopez, A. Alatorre, S. Gutierrez, C. Ponce and F. C. Walsh, “Electrochemical study of Co(II)/Co (III) on different electrode materials for energy storage in redox flow cells,” Electrochem. Soc. Trans., vol. 20, pp. 237–247, 2009. DOI: https://doi.org/10.1149/1.3268391. [URL] 🠔
  22. [22] D. Jimin, L. Zhimin, W. Weize, L. Zhonghao and Y. H. Han, “Preparation of single-crystal copper ferrite nanorods and nanodisks,” Mater. Res., vol. 4, pp. 928– 929, DOI: https://doi.org/10.1016/j.materresbull.2005.03.002. [URL] 🠔
  23. [23] T. Yu-long, L. Chen-guang and Y. Le-jun, “Effect of linoleic-acid modified carboxymethyl chitosan on bromelain immobilization onto self-assembled nanoparticles,” Front. Mater. Sci., vol. 2, pp. 209–213, 2008. DOI: https://doi.org/10.1007/s11706-008-0035-3. [URL] 🠔
  24. [24] S. Yodoya, T. Takagi, M. Kurotani, T. Hayashi, M. Furuta, M. Oka and T. Hayashi, “Immobilization of bromelain onto porous copoly(γ-methyl-l-glutamate/l-leucine) beads,” Eur. Polym. J., vol. 1, pp. 173–180, 2003. DOI: https://doi.org/10.1016/s0014-3057(02)00192-1. [URL] 🠔
  25. [25] I. Benucci, M. Esti, K. Liburdi and A. M. V. Garzillo, “Pineapple stem bromelain immobilized on different supports: catalytic properties in model wine,”Biotechnol. Progress., vol. 6, pp. 1472–1477, 2012. DOI: https://doi.org/10.1002/btpr.1639. [URL] 🠔
  26. [26] M. Zappino, I. Cacciotti, I. Benucci, F. Nanni, K. Liburdi, F. Valentini and M. Esti, “Bromelain immobilization on microbial and animal source chitosan films, plasticized with glycerol, for application in wine-like medium: Microstructural, mechanical and catalytic characterisations,” Food Hydrocoll., vol. 45, pp. 41–47, 2015. DOI: https://doi.org/10.1016/j.foodhyd.2014.11.001. [URL] 🠔
  27. [27] Y. Zhang, G. A. Shi and F. Zhao, “Hydrolysis of casein catalyzed by papain in n-propanol/NaCl two-phase system,” Enzyme Microb. Technol., vol 6, pp. 438–43, 2010. DOI: http://dx.doi.org/10.1016/j.enzmictec.2010.01.003. [URL] 🠔
  28. [28] N. A. Yazid, R. A. Barrena and A. Sánchez, “The immobilization of proteases produced by SSF onto functionalized magnetic nanoparticles: Application in the hydrolysis of different protein sources,” J. Mol. Catal. B Enzym., vol. 133, pp. 230–242, 2017. DOI: http://dx.doi.org/10.1016/j.molcatb.2017.01.009. [URL] 🠔
  29. [29] E. Bijl, H. van Valenberg, S. Sikkes, S. Jumelet, G. Sala, K. Olieman, T. van Hooijdonk, T. Huppertz, “Chymosin-induced hydrolysis of caseins: Influence of degree of phosphorylation of alpha-s1-casein and genetic variants of beta-casein,” Int. Dairy J., vol. 2, pp. 215–221, 2014. DOI: http://dx.doi.org/10.1016/j.idairyj.2014.07.005. [URL] 🠔
  30. [30] D. H. Chen and S. Huang, "Fast separation of bromelain by polyacrylic acid-bound iron oxide magnetic nanoparticles," Process Biochem., vol. 39, no. 12, pp. 2207–2211., 2004. DOI: https://doi.org/10.1016/j.procbio.2003.11.014. [URL] 🠔