Revista Colombiana de Química
0120-2804
2357-3791
Universidad Nacional de Colombia
Colombia
https://doi.org/

Desarrollo de un método analítico de preparación de muestras de alimentos para determinar óxidos de colesterol (COP) mediante cromatografía

Development of an analytical method of food samples preparation to determine cholesterol oxides (COP) by chromatography

Desenvolvimento de um método analítico de preparação de amostras de alimentos para determinar óxidos de colesterol (COP) por meio de cromatografia

J. Lozada Castro, M. Figueroa Macca,

Grupo de investigation Estudio de Sistemas Contaminantes Facultad de Ciencias, Departamento de Química,Universidad del Nariño, Colombia, Pasto-Nariño Universidad del Nariño Colombia
Facultad de Salud, Departamento de Microbiología, Universidad del Valle, Colombia, Cali-Valle Universidad del Valle Colombia

mercedeslab1@gmail.com

Resumen

Las transformaciones surgidas durante los procesos de limpieza de los alimentos grasos para determinar productos de oxidación de colesterol (COP) limitan los resultados reales en un estudio. Por tanto, el objetivo de este estudio fue comparar los COP obtenidos por distintos métodos de extracción: fase sólida (SPE) y cromatografía líquida en fase normal y reversa, comparando sus perfiles de elución. Adicionalmente, se tuvo como objetivo optimizar los procesos de limpieza para reducir las transformaciones de COP. Se usaron muestras de lomo de cerdo crudo, jamón serrano y salmón ahumado. Las transformaciones de COP se determinaron por SPE y GC–FID y se optimizaron los métodos de limpieza con la técnica SPE. Los cartuchos apolares no mostraron transformación de COP durante el tratamiento de muestras y los cambios de pH generaron transformaciones del triol a 6 ceto epóxido. Debido a que la limpieza del cartucho suele ser deficiente y genera coelución de compuestos indeseables (ácidos grasos) implicados en la transformación de epóxidos α y β en triol, estas transformaciones se evitaron con la técnica SPE, uso de cartuchos C18, con ajuste del volumen de elución de MeOH y ajustes del pH. La reducción de los pasos de la limpieza de muestras optimizó el proceso en un 73%.

Palabras clave

colesterol, sistema de limpieza, cromatografia gasosa, cartuchos apolares.

Abstract

When determining cholesterol oxidation products (COP), transformations during cleaning processes of fatty foods limit the real results in a study. Therefore, the objective of this study was to compare the COP obtained by different extraction methods, normal and reverse phase liquid chromatography and solid phase extraction (SPE), as well as their resulting elution profile. Another goal was to optimize the cleaning processes to reduce COP transformations. Samples of raw pork loin, serrano ham and smoked salmon were used. Transformations of COP were determined by SPE and GC-FID and cleaning methods with SPE technique were optimized. The apolar cartridges did not show COP transformation during samples treatment and pH changes generated transformations of triol to 6 keto epoxide. Due to cartridge cleaning is usually deficient and generates coelution of undesirable compounds (fatty acids) involved in the transformation of α and β epoxides in triol, these transformations were avoided with the SPE technique, C18 cartridges, with adjustment of the MeOH elution volume, and pH settings. Reduction of samples cleaning steps optimized the process in 73%.

Keywords

cholesterol, cleaning system, gas chromatography, apolar cartridges.

Resumo

As transformações que surgem durante os processos de limpeza de alimentos gordurosos para determinar os produtos de oxidação do colesterol (COP) limitam os resultados reais de um estudo. Por tanto, o objetivo deste estudo foi comparar os COP obtidos pelos métodos de extração SPE e cromatografia líquida em fase normal e fase reversa, e seus perfiles de eluição. Além de otimizar os processos de limpeza para reduzir as transformações dos COP. Foram utilizadas amostras de lombo de porco cru, presunto serrano e salmão defumado. As transformações dos COP foram determinadas pela SPE e a GC- FID. Foram otimizados os métodos de limpeza com a técnica de SPE. Os cartuchos apolares não mostraram transformação de COP durante o tratamento das amostras; as mudanças de pH geraron transformações do triol a 6 keto epóxido. A limpeza do cartucho geralmente é deficiente e gera coeluição de compostos indesejáveis (ácidos graxos) envolvidos na transformação dos α e β epóxidos no triol. Essas transformações foram evitadas com a técnica de SPE, o uso de cartuchos C18, ajuste do volume de eluição de MeOH e ajuste do pH. A redução das etapas de limpeza das amostras otimizou o processo em 73%.

Palavras-chave

colesterol, sistema de limpeza, cromatografia gasosa, cartuchos apolares.

Introducción

La toxicidad de los productos de óxidos de colesterol (COP), compuestos que están presentes en los alimentos procesados, es bien conocida [1-4], tal como se ha observado con los 5α y 6α-epóxidos de colesterol relacionados con lesiones ateroscleróticas y carcinogénicas [5], así como con los compuestos 5-colesterol-3β-25-diol y colesterol-3β-5α-6β-triol que tienen actividad angiotóxica y citotóxica [6-10]. Estos compuestos afectan la fisiología celular al incrementar la permeabilidad en sus membranas [11-17]. Por ello, la presencia de COP en alimentos de origen animal, así como su actividad biológica nociva son objeto de muchas investigaciones que buscan comprender su mecanismo de formación y determinar sus efectos sobre la salud del ser humano [18-21].

Los COP son compuestos apolares y muy hidrosolubles que se fijan a los tejidos liposómicos y a las lipoproteínas sanguíneas. Se forman a partir del colesterol mediante tratamiento térmico, irradiación o cualquier manejo inadecuado en los procesos de fabricación de alimentos [22, 23]. Su determinación se realiza por métodos analíticos cromatográficos que permiten conocer parcialmente su comportamiento [24]. Estas técnicas analíticas presentan muchas limitantes, sobre todo en las fases de preparación de las muestras y, especialmente, en alimentos con alto contenido de grasa, ya que los pretratamientos facilitan la transformación de estos compuestos. Lo anterior genera problemas analíticos relacionados con la complejidad de la matriz y sesga su cuantificación final [25, 26].

Habitualmente, el proceso de extracción y limpieza de los COP se realiza mediante SPE (extracción en fase sólida, por sus siglas en inglés) y suele hacerse con cartuchos polares (sílica gel y amino propil). El criterio de esta elección ha sido la tradición desde 1957 [25].

Las comparaciones de los contenidos de COP a menudo son difíciles de interpretar, debido a las diferencias metodológicas usadas para su determinación, así como por la formación de artefactos creados durante su procesamiento, principalmente durante los procesos de limpieza [24].

Algunas reacciones de transformación de los COP han sido detectadas en diferentes estudios [26, 27], sin dar importancia a los procesos de preparación de las muestras en las fases preanalíticas. Es de resaltar que, durante los procesos de análisis en las metodologías convencionales, los disolventes se evaporan al limpiar las muestras, aunque tengan trazas de agua. En estos procesos el pH no se afecta en las fases iniciales, pero sí en las etapas finales (debido a la evaporación de las trazas de agua), de modo que se ha obviado el efecto del pH en las transformaciones de los COP. Esto cobra importancia en el pretratamiento de muestras de alimentos grasos, ya que, por su complejidad, presentan diversos compuestos con carácter ácido o básico. Razones por las que antes de la determinación de los COP por cromatografía de gases (GC), se debe realizar una reacción de derivatización con Tri-Sil. Esta reacción requiere extractos libres de agua para evitar la producción de ácido en el medio, lo que implica disminución del pH y reacciones de transformación de los COP y del colesterol [27].

La fase preanalítica en la preparación de muestras de alimentos para analizar los COP implica extracción, limpieza y derivatización. Estos pasos son importantes en la transformación de los COP, por lo cual se deben aplicar bajo condiciones suaves, generalmente por procesos de lixiviación [25, 28, 29, 31, 35- 37]. En la Tabla 1 se resumen algunas condiciones de extracción de COP, así como sus ventajas y limitaciones.

Tabla 1. Compendio de métodos analíticos para determinar COP en alimentos, de acuerdo a las fuentes citadas para este estudio.

Referencia bibliográfica Muestra Sistema de extracción Sistema de limpieza Ventajas Desventajas
Disolvente Condiciones
[26] Alimento Hex/ CO2 supercrítico Agitación a T ambiente, Saponificación con KOH en MeOH SPE cartuchos silica, eluyente, AcOEt/Hex · Buena sensibilidad · Método específico · No es dispendioso · Eficiente · Requiere equipamiento adicional · Puede variar pH
[28] Suero CHCl3/MeOH Agitación a T ambiente, saponificación, KOH en MeOH SPE cartuchos sílica, lavado: mezclas Hex: Et2O eluyente,acetona/MeOH · Eficiente · Detección versátil · Dispendioso · Cambia pH del sistema · Requiere derivatización
[29] Grasa de alimentos en Hex:DCM --------- T ambiente SPE con LC aminopropil, transesterificación y saponificación · Eficiente · Detección versátil · Dispendioso · Cambia pH del sistema · Requiere derivatización
[30] Jamón Ibérico CHCl3:MeOH Lixiviación SPE cartuchos Sílica y Aminopropil, Lavados, Hex- Et2O y Hex-AcOEt. · Buena sensibilidad · Eficiente · Detección genérica · Dispendioso · Costoso · Muchas etapas
[31] Huevo CHCl3 Agitación con ultraturrax SPE, cartucho silica, lavado, Hex: Et2O · Buena sensibilidad · Eficiente · Detección genérica · Dispendioso · Costoso · Muchas etapas
[32] Carne de aves CHCl3:MeOH Agitación con ultraturrax SPE y Cromatografía de capa fina · Eficiente · Detección genérica · Dispendioso · Costoso · Muchas etapas
[33] Alimentos con huevo Hex/2-PrOH 60 ºC y 15 MPa SPE, cartucho amino propil · Consume menos reactivos · Tarda menos t · Extracción automatizada · Reactivos poco tóxicos · Requiere equipo ASE
[34] Carne CHCl3:MeOH (2/1, v/v) Homogeneización con disolventes, T ambiente Saponificación SPE, cartucho sílica · Sensible · Eficiente separación · Cambia el pH · Requiere derivatización

2

Sin embargo, no se encontraron datos sobre las condiciones críticas de la limpieza de la muestra en el proceso de análisis de los COP [23-38]. Por lo anterior, el propósito de este estudio fue comparar los COP obtenidos por dos métodos de extracción: SPE polar y apolar, así como el perfil de elución de los analitos extraídos. Además de optimizar los procesos de limpieza de muestras de alimentos grasos para reducir las transformaciones de COP y evitar artefactos en la cuantificación de este tipo de compuestos.

Materiales y métodos

En este trabajo se determinaron las transformaciones de los COP durante los procesos de limpieza de muestras aplicando SPE-GC. Para ello, se utilizaron estándares y muestras de alimentos de origen animal con alto contenido lipídico y ricos en agua (37% p/p).

Los cartuchos para SPE se utilizaron en dos modos: elución total y colección de fracciones (cromatografía líquida-LC). Se construyeron patrones de elución para comparar y detectar las diferencias entre ambos métodos, además se probaron empaques polares y no polares de los cartuchos y distintos disolventes de elución de acuerdo al sistema de limpieza probado.

También se estudió el comportamiento de siete COP y del colesterol, utilizando como técnica la separación GC-FID. Como resultado, en este estudio se propuso una metodología de preparación de muestras más confiable y menos dispendiosa para la determinación de COP en alimentos.

Reactivos

Los solventes y reactivos fueron: metanol (MeOH), n-hexano y acetona (Romil, Teknokroma. Barcelona, España); 2-propanol (2-PrOH) cloroformo, acetonitrilo (ACN), grado HPLC (Scharlau, Barcelona, España); éter de petróleo grado HPLC (Scharlau. Barcelona, España); dietil éter y acetato de etilo (Carlo Erba. Milán, Italia) grado para pesticidas; Tri-Sil (Thermo Fisher Scientific. Sunnyvale, CA, USA); tierras de diatomeas (Cultek S.L.U. Barcelona, España), monofosfato y difosfofato de sodio (Merck. Darmstadt, Alemania). El agua fue purificada por medio de un sistema Milli-Q de Millipore (Bedford, MA, USA).

Los estándares COP fueron: 7b-hidroxicolesterol (7β-OH, 98%); colesterol 5β,6β-epóxido (β-epóxido, 98%); colesterol 5α,6α-epóxido (α-epóxido, 9%), colestan-3β,5α,6β-triol (triol, 9%); 6-cetocolestanol (6-ceto, 9%); 7-cetocolesterol (7-ceto, 9%), (Sigma-Aldrich. Steinheim, Alemania); 25-hidroxicolesterol (25-OH, 98%. Fluka, St. Louis, MO, USA) y colesterol (99% Sigma-Aldrich. Steinheim, Alemania). Se prepararon soluciones patrón de COP de 1000 mg/L, pesando las cantidades adecuadas de cada estándar sólido y disolviendo con 2-PrOH.

Muestras

Se usaron muestras de salmón ahumado, jamón serrano y lomo de cerdo procedentes de un supermercado de Madrid (España). Estas carnes fueron cortadas en trozos menores a 1,0 cm x 1,0 cm; se obtuvieron rebanadas de 50,0 g. Luego, fueron trituradas en un mortero y mezcladas hasta homogenización con 6,0 g de tierra de diatomeas. Seguidamente, fueron envasadas al vacío en bolsas de poliestireno. Se almacenaron y protegieron de la luz a -18 ºC hasta su procesamiento. Los análisis químicos fueron realizados por triplicado para cada muestra.

Equipos y materiales

Determinación de los COP

Se utilizó un cromatógrafo de gases GC-FID (Hewlett Packard 5890, Anaheim, CA, USA) equipado con una columna capilar HP-1 (30 mm, 0,25 mm, 0,25 μm).

Confirmación de la identificación de los COP

La identificación de los COP se realizó por comparación de los tiempos de retención (tR) de los cromatogramas de las muestras con los obtenidos de los patrones. Adicionalmente, cada COP se confirmó comparando los espectros de masas obtenidos en las muestras y los espectros disponibles en la librería del NIST [39]. Cuando el espectro no estuvo disponible en esta librería, la identificación se confirmó por medio de los espectros obtenidos a partir de los derivados de los patrones individuales.

Condiciones cromatográficas para GC

La temperatura del inyector y del detector fue de 300 ºC. El gas transportador fue He a un flujo de 1,2 mL/min; la temperatura de la columna se mantuvo constante a 270 ºC. Se usaron 2,0 µL de soluciones de 5,0 mg/L de los derivados de los COP que fueron inyectados al cromatógrafo de gases usando una relación de 3:1; el tiempo de análisis fue menor a 30 min.

Obtención del extracto lipídico

Se usó un equipo para la extracción acelerada de solventes (ASE, por sus siglas en inglés) ASE™ 200 de Dionex™ (Sunnyvale, CA, USA). Para eliminar el disolvente del extracto lipídico se usó un evaporador casero con capacidad para seis muestras y un agitador vórtex.

Para la limpieza de las muestras se usó un sistema al vacío para SPE (visiprep) de Supelco (St. Louis, MO, USA). Se usaron también cartuchos de sílica gel y de amino propil SPE de 500 mg de separación aplicada (Allentown, PA, USA); cartuchos de C18 y C8 para SPE (500 mg de Discovery Supelco, USA); filtros de nylon para jeringas de 4,0 mm y 0,45 mm (National Scientific. Rockwood, TN, USA). Adicionalmente, se usó un mortero de porcelana (Staatlich. Berlin, Alemania) y viales de color ámbar de 1,4 y 12,0 mL para la separación.

Evaluación de la limpieza de la muestra aplicando el modo LC

Aplicando las ventajas de la cromatografía (fase normal e inversa), las soluciones de mezclas de COP (5,0 mg/L) se pasaron por los cartuchos acondicionados sin dejar perder el equilibrio de fases y se eluyeron de acuerdo a los experimentos de la Tabla 2.

Tabla 2. Condiciones para los experimentos de limpieza de las muestras de alimentos grasos ricos en agua (salmón ahumado, jamón serrano y lomo de cerdo) analizados mediante cromatografía líquida de columna (LC) para detección de óxidos de colesterol (COP).

Experimento Disolvente Inicial LC Fase Estacionaria AC Lavado C Fase móvil
A 5,0 mL COP 2 ppm en Hex N Sil 5,0 mL Hex 15,0 mL Hex.:Eter 80:20 15,0 mL Hex: Acet 70:30
B 5,0 mL COP 2 ppm en Hex N AP 6,0 mL Hex 15,0 mL Hex: AE 90:10 20 mL Hex: Acet 90:10
C 1,0 mL COP en ACN:H2O 70:30 R C8 3,0 mL ACN:H2O 50:50 2,0 mL ACN:H2O 70:30 8,0 ml ACN:H20 80:20
D 5,0 mL COP en ACN:H2O 80:20 R C18 3,0 mL ACN 5,0 mL ACN 25,0 mL ACN: MeOH 95:05
AC: solvente de acondicionamento del cartucho; C: cartucho; Sil: Sílica AP: amino propil; N: normal;R: reversa; LC: cromatografia líquida en columna; Hex: hexano; Acet: acetona; AE: acetato de etilo; ACN: acetonitrilo; mL: mililitro; ppm partes por millón; C8 Y C18: cartuchos para SPE (500 mg de Discovery Supelco,E.U).

Luego, se adicionaron alícuotas de 10 µL de solución estándar de 1000 mg/L de COP a un vial de 5,0 mL. Posteriormente se agitaron en vórtex durante 30 s y se evaporó el solvente con flujo de Ar. El residuo de COP fue disuelto con los disolventes iniciales indicados en la Tabla 2. Estas soluciones se pasaron por los cartuchos, en viales de 1,0 mL; se tomaron fracciones de los eluidos de 0,5 y 1,0 mL. Las fracciones de los COP se obtuvieron separadamente del colesterol de acuerdo a la estrategia experimental, debido a la interferencia en la evaluación de los sistemas de limpieza y a las transformaciones en COP. Se evaporó el solvente a cada fracción mediante flujo de Ar a temperatura ambiente. Se adicionaron 200 mL del agente derivatizante Tri-Sil, se agitó en vórtex por 2 min y se calentó a 65 °C durante 40 min. Luego se dejó reposar durante 5 min a temperatura ambiente. Posteriormente se eliminó el exceso de Tri-Sil mediante flujo de Ar a temperatura ambiente. El residuo fue disuelto con 400 mL de hexano y agitado en vórtex durante 2 min. Finalmente se usó un filtro de teflón de 0,45 μm y se inyectaron 4,0 μl de cada fracción al cromatógrafo.

Evaluación de la limpieza de las muestras

Este procedimiento se realizó mediante dos modos de cromatografía, una en fase liquida y otra en sólida (modo LC y SPE, respectivamente). Para determinar las diferencias entre LC y SPE (fase normal e inversa), se diseñaron los experimentos detallados en la Tabla 3, aplicando los resultados de los experimentos de la Tabla 2, los cuales permitieron conocer las cantidades adecuadas de los solventes de elución para los COP libres de colesterol.

Tabla 3. Experimentos para el modo de limpieza SPE para analizar COP en muestras previamente tratadas de alimentos grasos ricos en agua (salmón ahumado, jamón serrano y lomo de cerdo).

Experimento Solvente de COP LC FE AC Lavado Fase Móvil
A 5 mL COP 2 ppm en Hex N Sil 5 mL Hex 15 mL de Hex:Eter 80:20 10 mL Acet
B 5 mL COP 2 ppm en Hex N AP 5 mL Hex 15 mL Hex.:Acet. etilo 90:10 10 mL Acet
C 1 mL COP en ACN:H2O 70:30 R C8 3 mL ACN:H2O 50:50 2 mL ACN:H2O 70:30 8 ml ACN:H20 80:20
D 5 mL COP en ACN:H2O 80:20 R C18 3 mL ACN 5 mL ACN 10 mL MeOH
AC: solvente de acondicionamento del cartucho; COP: Óxidos de colesterol; LC: cromatografía líquida; FE: fase estacionaria; C: cartucho; Sil: Silica; AP: amino propil; Hex: hexano; Acet: acetona; ACN: acetonitrilo N: normal R: reversa; mL: mililitro; ppm partes por millón; C8 Y C18: cartuchos para SPE (500 mg de Discovery Supelco,E.U).

Los COP fueron eluidos en un solo paso, eliminando el solvente inicial usado en el cartucho con flujo de Ar a 40 °C. Los eluidos se colectaron en viales de 10 mL (Tabla 3). Luego se agregaron 200 µL de Tri-Sil, se agitó en vórtex durante 2 min y se calentó a 65 °C durante 40 min. Se dejó reposar durante 5 min a temperatura ambiente y, después, el Tri-Sil se evaporó con flujo de Ar. Luego se añadieron 500 μL de hexano, se agitó en vórtex durante 2 min, se filtró a través de membranas de teflón de 0,45 μm y al final se inyectaron 4 μL en el cromatógrafo.

Reacción de derivatización

Al residuo lipídico se le agregaron 200 mL de Tri-Sil siguiendo el procedimiento previamente descrito.

Extracción de los COP por extracción acelerada de solventes

La muestra homogenizada fue empaquetada en la celda del equipo de extracción acelerada de solventes (22 mL). El extracto lipídico se obtuvo con éter de petróleo: cloroformo (85:15, v/v), a 40 °C y 1500 psi. El extracto se colectó en viales de vidrio de 60 mL. Estos se calentaron en un termostato Tembloc a 40 °C con flujo de Ar y se evaporó el solvente hasta sequedad [38].

Determinación de los COP

El extracto obtenido en la sección anterior se filtró con membrana de nylon de 45 mm. Se tomaron 2 mL y se inyectaron al cromatógrafo usando las condiciones indicadas anteriormente.

Para identificar los derivados Tri-Sil se utilizó un cromatógrafo de gases acoplado a un detector de masas con analizador de tiempo de vuelo (Waters® Q-Tof Premier™, Milford, MA, USA). Además se usó la librería de espectros de masas NIST 2.0 [39]. Los espectros se obtuvieron en el rango 50-800 unidades de masa aplicando el modo escaneo a 70 eV. Se inyectó 1 μL de esta mezcla al equipo GC-Q-TOF.

Identificación de los derivados de COP mediante GC-Q-TOF

Patrones

Se identificaron los Tri-Sil derivados de los COP por GC-Q-TOF a partir de una mezcla de estándar de COP de 5 mgL-1. Estos se obtuvieron aplicando el procedimiento descrito previamente. La separación cromatográfica se realizó utilizando la columna DB-5 con el siguiente programa de temperatura: T inicial 220 ºC (1 min.), seguido de una rampa de 5 ºC/min hasta 290 ºC (11 min.), seguido de una rampa de 3 ºC/min, hasta 310 ºC (28 min.). Se utilizó un inyector split-splitless a 310 ºC a una relación de 10:1 y He como gas portador a un flujo de 1 mL/min. La fragmentación se realizó a 70 eV, se obtuvieron los espectros en forma scan y se llevaron a cabo las respectivas identificaciones de las estructuras moleculares mediante la librería de espectros de masas del NIST [39].

Resultados y discusión

Cromatografía líquida de columna (LC)

En el experimento A de la Tabla 2, la Tabla 4 y la Figura 1, se muestra que los compuestos 7 β-OH, β-epóxido y α-epóxido eluyen después de agregar entre 2,0 y 5,0 mL de eluyente, respectivamente. Los perfiles de elución tienen forma gaussiana; las recuperaciones son de 94,9%, 90,9 y 99,0% respectivamente (Tabla 4), indicando que la extracción y la limpieza son adecuadas para estos compuestos (Figura 1).

El proceso de elución del triol no es gaussiano, pues la recuperación fue muy baja (68,5%). En la Figura 1 también se observa que el 6-ceto eluye completamente entre 1,0 y 5,0 mL y vuelve a aparecer en fracciones posteriores, indicando posibles transformaciones de triol a 6-ceto, ya que este tiene porcentajes de recuperación mayores al 100% (Figura 1). El colesterol eluye, junto con el solvente inicial y los lavados del cartucho, en las primeras fracciones por ser el compuesto menos polar de la mezcla.

Figura
1.
Perfil de elusión de los COP en
cromatografía líquida en columna en fase normal. Disolvente inicial: 5,0 mL COP
(2 ppm) en hexano. Fase estacionaria: sílica. Acondicionamiento del cartucho: hexano
(5 mL). Lavado del cartucho: 15,0 mL hexano:éter (80:20). Fase móvil: 15,0 mL,
hexano:acetona 70:30.

Figura 1. Perfil de elusión de los COP en cromatografía líquida en columna en fase normal. Disolvente inicial: 5,0 mL COP (2 ppm) en hexano. Fase estacionaria: sílica. Acondicionamiento del cartucho: hexano (5 mL). Lavado del cartucho: 15,0 mL hexano:éter (80:20). Fase móvil: 15,0 mL, hexano:acetona 70:30.

Tabla 4. Recuperación de COP en cromatografía líquida en columna en fase normal. Disolvente inicial: 5,0 mL COP (2 ppm) en hexano. Fase estacionaria: sílica. Acondicionamiento del cartucho: hexano (5 mL). Lavado del cartucho: 15,0 mL Hexano:Eter (80:20). Fase móvil: 15,0 mL, hexano: acetona 70:30.

V (mL) Recuperación (%)
7-βOH β-epóxido α-epóxido Triol 6-ceto 7-ceto 25-OH
1,0 N.D. N.D. N.D. N.D. 0,7 N.D. N.D.
2,0 27,0 84,3 91,4 N.D. 77,3 86,8 68,9
3,0 53,9 6,1 6,9 N.D. 14,2 10,6 18,8
4,0 12,9 0,5 0,7 0,4 1,5 0,8 1,0
5,0 1,2 N.D. N.D. 1,3 0,7 0,4 0,5
6,0 N.D. N.D. N.D. 2,7 0,7 N.D. N.D.
7,0 N.D. N.D. N.D. 5,5 2,1 N.D. N.D.
8,0 N.D. N.D. N.D. 7,7 1,7 N.D. N.D.
9,0 N.D. N.D. N.D. 13,4 3,1 N.D. N.D.
10,0 N.D. N.D. N.D. 13,0 3,5 N.D. N.D.
11,0 N.D. N.D. N.D. 10,6 6,4 N.D. N.D.
12,0 N.D. N.D. N.D. 7,2 1,9 N.D. N.D.
13,0 N.D. N.D. N.D. 2,4 27,6 N.D. N.D.
14,0 N.D. N.D. N.D. 2,2 6,1 N.D. N.D.
15,0 N.D. N.D. N.D. 2,1 7,9 N.D. N.D.
R.P 94,9 90,9 99,0 68,5 155,3 98,6 89,2

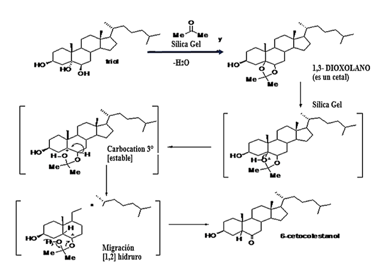
La Figura 2 explica las siguientes transformaciones: los compuestos 7-ceto y 25-OH muestran una forma gaussiana clara debido a que eluyen entre 2,0 y 5,0 mL de la fase móvil y sus recuperaciones son altas (89,18% y 98,58% respectivamente). Es importante resaltar que los errores en estos experimentos son aditivos entre fracción y fracción. Sin embargo, fue necesario hacer la suma de las áreas para cada compuesto presente en las diferentes fracciones, para compararlas con las áreas generadas por la cantidad de patrones adicionados inicialmente. Este fenómeno confirma que el colesterol no es oxidado en el proceso analítico, siendo el único precursor de los COP.

Figura 2. Mecanismos
de reacción de transformación de triol en 6-ceto. Tomado de [40].

Figura 2. Mecanismos de reacción de transformación de triol en 6-ceto. Tomado de [40].

Al revisar los resultados del experimento B (Tabla 2) en la Tabla 5 y Figura 3, con el cartucho de amino propil, se observó que los COP 7β-OH, β-epóxido, α-epóxido 7-ceto y 25-OH eluyeron entre 0,0 and 5,0 mL de fase móvil. Estos compuestos presentan forma gaussiana y bajas recuperaciones: entre 73,3 % y 85,0 %. El comportamiento del triol y el 6-ceto se observa de forma similar al comportamiento observado con cartuchos de sílica (Tabla 4 y Figura 1).

Figura
3. Perfil
de elusión de los COP en cromatografía líquida en columna en fase normal.
Disolvente inicial: 5,0 mL COP (2 ppm) en hexano. Fase estacionaria: amino
propil. Acondicionamiento del cartucho: hexano (5 mL). Lavado del cartucho:
15,0 mL hexano:acetato de etilo (90:10). Fase móvil: 10,0 mL, acetona.

Figura 3. Perfil de elusión de los COP en cromatografía líquida en columna en fase normal. Disolvente inicial: 5,0 mL COP (2 ppm) en hexano. Fase estacionaria: amino propil. Acondicionamiento del cartucho: hexano (5 mL). Lavado del cartucho: 15,0 mL hexano:acetato de etilo (90:10). Fase móvil: 10,0 mL, acetona.

Tabla 5. Recuperación de COP en cromatografía líquida en columna en fase normal. Disolvente inicial: 5,0 mL COP (2 ppm) en hexano. Fase estacionaria: amino propil. Acondicionamiento del cartucho: hexano (5 mL). Lavado del cartucho: 15,0 mL hexano:acetato de etilo (90:10). Fase móvil: 10,0 mL, acetona.

V (mL) Recuperación (%)
7-βOH β-epóxido α-epóxido Triol 6-ceto 7-ceto 25-OH
1,0 0,4 8,0 8,8 0,0 5,5 3,1 4,0
2,0 22,9 57,9 60,3 0,3 40,6 45,6 52,5
3,0 38,6 7,3 6,5 0,3 14,7 25,6 18,1
4,0 21,3 N.D. N.D. 0,5 10,2 1,0 0,7
5,0 1,8 N.D. N.D. 0,8 8,4 N.D. N.D.
6,0 N.D. N.D. N.D. 1,0 8,7 N.D. N.D.
7,0 N.D. N.D. N.D. 3,8 6,8 N.D. N.D.
8,0 N.D. N.D. N.D. 5,1 6,8 N.D. N.D.
9,0 N.D. N.D. N.D. 6,8 6.4 N.D. N.D.
10,0 N.D. N.D. N.D. 6,2 4,5 N.D. N.D.
11,0 N.D. N.D. N.D. 6,3 4,1 N.D. N.D.
12,0 N.D. N.D. N.D. 10,1 3,5 N.D. N.D.
13,0 N.D. N.D. N.D. 9,1 4,0 N.D. N.D.
14,0 N.D. N.D. N.D. 7,4 2,7 N.D. N.D.
15,0 N.D. N.D. N.D. 5,6 2,7 N.D. N.D.
16,0 N.D. N.D. N.D. 5,4 14,6 N.D. N.D.
17,0 N.D. N.D. N.D. 6,0 10,2 N.D. N.D.
18,0 N.D. N.D. N.D. 5,5 4,7 N.D. N.D.
85.0 73.3 75.6 80.8 158.9 75,3 75,3

N.D.: No detectable

De acuerdo con el experimento C de la Tabla 2, cuyos resultados se presentan en la Tabla 6 y la Figura 4, al usar cartuchos C8, los COP presentan un comportamiento gaussiano. Bajo esas condiciones, los compuestos eluyen de manera regular de acuerdo con las polaridades de cada uno. No se observó colesterol en ninguna fracción y las recuperaciones tuvieron un rango óptimo (81,8% a 94,9%). Además, no se observaron reacciones de transformación. Este sistema presenta la desventaja de tener una alta capacidad de retención, por tanto, se requiere aplicar cantidades elevadas de solvente de lavado para eliminar compuestos polares de muestras complejas (como los alimentos).

Figura 4. Perfil de elusión de los COP en cromatografía líquida
en columna en fase reversa. Disolvente inicial: 1,0 mL de COP en
acetonitrilo:agua (70:30). Fase estacionaria: cartuchos de C8.
Acondicionamiento del cartucho: 3,0 mL acetonitrilo:agua (50:50). Lavado del
cartucho: 2,0 mL acetonitrilo:agua (70:30). Fase móvil: 8,0 mL,
acetonitrilo:agua (80:20).

Figura 4. Perfil de elusión de los COP en cromatografía líquida en columna en fase reversa. Disolvente inicial: 1,0 mL de COP en acetonitrilo:agua (70:30). Fase estacionaria: cartuchos de C8. Acondicionamiento del cartucho: 3,0 mL acetonitrilo:agua (50:50). Lavado del cartucho: 2,0 mL acetonitrilo:agua (70:30). Fase móvil: 8,0 mL, acetonitrilo:agua (80:20).

Tabla 6. Recuperación de COP en cromatografía líquida en columna en fase reversa. Disolvente inicial: 1,0 mL de COP en acetonitrilo:agua (70:30). Fase estacionaria: cartuchos de C8. Acondicionamiento del cartucho: 3,0 mL acetonitrilo:agua (50:50). Lavado del cartucho: 2,0 mL acetonitrilo:agua (70:30). Fase móvil: 8,0 mL, acetonitrilo:agua (80:20).

V (mL) Recuperación (%)
7-βOH β-epóxido α-epóxido Triol 6-ceto 7-ceto 25-OH
1,0 N.D. N.D. N.D. 3,3 N.D. N.D. N.D.
2,0 1,8 N.D. N.D. 71,3 1,7 N.D. 2,1
3,0 49,8 N.D. N.D. 4,2 3,3 3,6 43,1
4,0 30,4 N.D. N.D. 1,0 36,5 44,4 30,5
5,0 3,7 9,2 1,6 0,5 34,7 30,9 4,2
6,0 1,9 52,7 18,4 1,1 6,1 1,4 1,5
7,0 N.D. 25,5 37,5 1,3 2,1 0,6 0,4
8,0 N.D. 6,0 21,8 1,6 1,3 0,4 N.D.
9,0 N.D. 1,5 7,0 0,3 0,7 0,3 N.D.
10,0 N.D. N.D. 1,7 N.D. 0,6 0,0 N.D.
11,0 N.D. N.D. N.D. N.D. 0,6 0,0 N.D.
87,6 94,9 87,9 84,8 87,7 81,6 81,8

En el experimento D de la Tabla 2 con cartuchos C18 (Figura 5 y Tabla 7) se muestra que el comportamiento de elución de los COP, bajo estas condiciones, es muy irregular (no-gaussiano), debido a que estos compuestos son fuertemente retenidos por esta fase. En este sistema la separación de los COP involucra una nueva variable: el peso molecular. Sin embargo, esta variable no se estudió porque la prioridad fue revisar la polaridad de los compuestos.

A pesar de que el triol es el compuesto más polar, no eluyó en las primeras fracciones. Este compuesto apareció después de agregar 3,0 mL de la fase móvil, probablemente por su alto peso molecular. Por el contrario, el 6-ceto eluyó en las primeras fracciones por su menor peso molecular, a pesar de ser uno de los compuestos menos polares.

Se observó que los compuestos β-epóxidos y α-epóxidos requieren mayores cantidades de eluyente que el 6-ceto, aunque tengan un peso molecular bajo. Esto indica que la elución depende no solo de la polaridad, sino del peso molecular del compuesto al usar los cartuchos de C18.

Figura 5. Perfil
de elusión de los COP en cromatografía líquida en columna en fase reversa.
Disolvente inicial: 5,0 mL de COP en acetonitrilo:agua (80:20). Fase
estacionaria: cartuchos de C18. Acondicionamiento del cartucho: 3,0
mL acetonitrilo. Lavado del cartucho: 5,0 mL acetonitrilo. Fase móvil: 25,0 mL,
acetonitrilo:metanol (95:05).

Figura 5. Perfil de elusión de los COP en cromatografía líquida en columna en fase reversa. Disolvente inicial: 5,0 mL de COP en acetonitrilo:agua (80:20). Fase estacionaria: cartuchos de C18. Acondicionamiento del cartucho: 3,0 mL acetonitrilo. Lavado del cartucho: 5,0 mL acetonitrilo. Fase móvil: 25,0 mL, acetonitrilo:metanol (95:05).

Tabla 7. Recuperación de COP en cromatografía líquida en columna en fase reversa. Disolvente inicial: 5,0 mL de COP en acetonitrilo:agua (80:20). Fase estacionaria: cartuchos de C18. Acondicionamiento del cartucho: 3,0 mL acetonitrilo. Lavado del cartucho: 5,0 mL acetonitrilo. Fase móvil: 25,0 mL, acetonitrilo:metanol (95:05).

V (mL) Recuperación (%)
7-βOH β-epóxido α-epóxido Triol 6-ceto 7-ceto 25-OH
1,0 N.D. N.D. N.D. N.D. 0,7 0,5 0,3
2,0 N.D. N.D. N.D. N.D. 0,8 1,5 0,7
3,0 0.6 N.D. N.D. 0,2 1,1 5,4 2,1
4,0 2,6 N.D. N.D. 1,0 2,7 11,0 6,1
5,0 4,7 N.D. N.D. 1,8 4,2 12,3 7,4
6,0 6,4 N.D. N.D. 5,6 4,8 11,6 9,8
7,0 15,1 0,7 N.D. 10,4 13,6 18,8 18,7
8,0 16,8 1,1 N.D. 11,3 14,9 14,4 18,0
9,0 16,2 2,1 N.D. 12,7 15,0 9,4 14,3
10,0 16,2 1,7 N.D. 17,3 17,1 7,3 13,0
11,0 12,0 1,0 N.D. 14,7 14,1 4,2 8,3
12,0 8,6 2,7 0,5 11,6 4,8 2,3 5,0
13,0 3,8 6,8 1,4 5,2 2,9 0,7 1,6
14,0 2,7 8,2 1,7 3,3 3,2 0,5 1,1
15.0 2,0 5,7 1,6 2,6 2,1 0,5 0,9
16,0 1,8 7,1 3,0 2,1 1,8 0,4 0,6
17,0 1,7 10,8 4,5 1,9 0,9 0,3 0,5
18,0 1,2 6,8 3,3 0,9 N.D. N.D. N.D.
19,0 0,6 5,2 4,4 0,7 N.D. N.D. N.D.
20,0 4,1 6,7 N.D. N.D. N.D. N.D. N.D.
21,0 N.D. N.D. N.D. N.D. N.D. N.D. N.D.
22,0 N.D. 1,8 5,1 N.D. N.D. N.D. N.D.
23,0 N.D. 1,4 4,8 N.D. N.D. N.D. N.D.
24,0 N.D. 0,9 4,1 N.D. N.D. N.D. N.D.
117,2 70,7 34,2 103,2 104,7 101,0 108,6

N.D: No detectable

Modo Extracción fase solida (SPE)

Después de aplicar los métodos de la Tabla 3, se obtuvieron las recuperaciones de la Tabla 8.

Se observa en los experimentos A y B que las recuperaciones de compuestos polares son relativamente pequeñas, por ejemplo, las recuperaciones de triol en los experimentos A y B son muy bajas (60 y 56%).

Teniendo en cuenta que solo se evalúan las pérdidas que ocurren en la limpieza de muestras mediante SPE, en el experimento C hay valores de recuperación relativamente pequeños para los compuestos β y α-epóxido. Estas pérdidas por reacciones de hidrólisis ocurren en el momento de eliminar el solvente. El experimento D muestra los mejores resultados de recuperación. Por lo anterior, se seleccionaron los métodos C y D de la Tabla 3 y se aplicaron a muestras reales.

Tabla 8. Porcentajes de recuperación de COP usando SPE con mezcla estándar (25 mg). Ver Tabla 3 para más información sobre las condiciones de cada experimento.

Experimento 7-βOH (%) β-epóxido (%) α-epóxido (%) triol (%) 6-ceto (%) 7-ceto (%) 25-OH (%)
A 80,4 95,7 99,6 60,4 101,1 98,0 85,1
B 82,2 101,6 90,9 56,2 102,2 95,8 83,7
C 97,9 45,6 70,8 102,9 96,7 94,7 116,2

Después de revisar los resultados obtenidos en los experimentos de la Tabla 2, se descartaron los sistemas de limpieza de los experimentos A y B, ya que se evidencian las transformaciones de triol a 6-ceto. Con base en la Tabla 2, se resalta que el mejor comportamiento lo presentó el sistema del cartucho C8 (experimento C), probado para muestras de alimentos, aunque presentó la desventaja de tener muy baja retención. Adicionalmente, el cartucho C8 con muestras enriquecidas proporcionó valores de recuperación muy bajos con los dos eluyentes mencionados. Tampoco permitió la limpieza adecuada de las muestras y presentó mucha suciedad en los cromatogramas.

Es importante resaltar que los valores de recuperación fueron muy dispersos y que estos resultados se deben a la poca retención observada en el cartucho C8. Usando el cartucho C18 y MeOH como eluyente, se aplicó la metodología D (Tabla 3) con muestras enriquecidas. Se observaron recuperaciones cercanas al 100% para la mayoría de los COP, excepto para los epóxidos α y β cuyas recuperaciones fueron inferiores al 50%. La recuperación del triol fue mayor al 100%, probablemente porque la transformación de los COP en triol en las muestras de alimentos se presentó durante la evaporación del eluyente por cambios del pH y debido a la aparición de reacciones de hidrólisis ácida según soportan estudios previos [27].

Ulberth y Rössler [35] compararon diferentes sistemas SPE, combinando fases estacionarias (NH2, Silica y C18), disolventes de lavado (Acetato de etilo, hexano, dietil éter, diclorometano, 2-propanol, metilterbutil éter, acetonitrilo, metil tert-butil éter y agua) y disolventes de elución (acetona y metanol) para limpiar las muestras después de realizar la extracción lipídica. Estos autores encontraron que la mejor combinación consistía en hacer dos limpiezas mediante SPE en serie, con cartuchos de sílica y NH2, usando como disolvente de lavado mezclas de hexano-dietil éter y hexano-acetato de etilo y, como disolvente de elución, acetona en ambos casos, descartando los cartuchos apolares C18. Es importante resaltar que en este trabajo, contrario a Ulberth y Rössler [35], se realizó el estudio aplicando el modo LC, sin identificar las transformaciones que se presentaron en los COP por cambios en el pH.

Tabla 9. Influencia del pH de la solución tampón de fosfato usada en el proceso de evaporación del solvente de los COP en muestras enriquecidas con 25 ppm de salmón ahumado. Extracción: SPE. Solvente: 5 mL de COP en acetonitrilo:agua (80:20) Fase estacionaria: cartuchos de C18 (fase reversa). Acondicionamiento del cartucho: 3,0 mL acetonitrilo. Lavado del cartucho: 5,0 mL acetonitrilo. Fase móvil: 10,0 mL, metanol.

pH Recuperación (%)
7-βOH β-epóxido α-epóxido Triol 7-ceto 25-OH
4,0 103,5 74,6 69,2 41,1 90,6 91,3
4,5 121,6 88,1 76,2 112,8 90,8 103,7
5,0 112,5 92,9 80,1 106,5,0 83,3 97,6
5,5 103,2 84,6 71,2 82,2 95,8 96,3
6,0 102,0 80,5 79,9 80,0 93,7 94,4
6,5 113,2 103,7 95,2 16,2 102,4 113,6
7,0 100,1 72,5 48,5 23,8 94,1 100,2

Para verificar si el pH era el factor responsable de las transformaciones al usar el cartucho C18, se aplicó una mezcla de COP y estándares de colesterol con el método SPE (Tabla 9). La elución de COP se llevó a cabo usando un volumen equivalente al volumen de elución empleado en el experimento D de LC (Tabla 3). Los COP eluidos se recogieron en viales que contenían 100 μL de tampón a pH en el rango 4,0 a 7,0 antes de evaporar el disolvente de elución; las recuperaciones obtenidas se presentan en la Tabla 9. Se observa que los amortiguadores con valores de pH entre 4,5 y 6,0 permiten obtener mejores recuperaciones. Las observaciones encontradas en este estudio permitieron diseñar una nueva metodología que disminuye las transformaciones de los COP, detallada a continuación.

Metodología propuesta para la determinación de COP en muestras de alimentos por cromatografía con minimización de transformaciones

Obtener el extracto lipídico aplicando la extracción acelerada de solventes (ASE); eliminar el solvente con flujo de argón a 40 °C; disolver el residuo con 5 mL de una mezcla 80:20 de acetonitrilo:agua (v/v); pasar la muestra a través de un cartucho C18 previamente acondicionado con acetonitrilo; limpiar el cartucho con 5 mL de acetonitrilo; eliminar el acetonitrilo con flujo de argón; eluir los COP con 10 mL de MeOH; recoger el eluato en un vial que contenga 100 μL de un tampón fosfato a pH 6,00; eliminar el disolvente a sequedad con flujo de argón a 40 °C; realizar el proceso de derivatización con Tri-Sil; disolver el residuo con 500 µL de hexano; filtrar con membrana de teflón e inyectar en el cromatógrafo de gases.

Conclusiones

Los COP triol, a-epóxido y b-epóxido son inestables en condiciones normales de limpieza de la SPE usando cartuchos de sílice y aminopropilo. Se verificaron las transformaciones de COP mediante perfiles de elución usando el modo de colección de fracción. El triol se transformó en 6-ceto y α-epóxido y β-epóxido debido a los cambios de pH. Los cartuchos apolares no mostraron transformación de COP durante el tratamiento de muestra de alimentos. Aunque el modo de recolección de fracciones usando cartuchos C8 es adecuado para separar el colesterol de los estándares de los COP, su capacidad limitada para retener COP presentó dificultades para su determinación en muestras de alimentos. Debido a que la limpieza del cartucho es deficiente, se genera coelución de compuestos.

Se obtuvieron resultados más adecuados aplicando la metodología propuesta para la determinación de los COP en muestras de alimentos en las condiciones óptimas: limpieza SPE usando cartuchos C18, ajustando cuidadosamente el pH (rango entre 4 y 6) y optimizando el volumen de elución de MeOH (10 mL). Bajo estas condiciones, se evitaron las transformaciones. En consecuencia, no se detectó 6-ceto en muestras de alimentos y pudo usarse como estándar interno para la determinación de COP. El volumen total de solvente usado fue de aproximadamente 20% del volumen utilizado por métodos convencionales. Adicionalmente, el método propuesto necesita menos pasos en la limpieza de las muestras. Aplicando este método se obtuvieron recuperaciones superiores al 73% en las muestras de alimentos estudiadas.

Referencias

  1. [1] E.T Finocchiaro & T. Richardson, “Sterol oxides in food-stuffs: a review” J. Food Protect. vol. 46, nº 1, pp. 917-925, 1983. DOI: https://doi.org/10.4315/0362-028X-46.10.917. 🠔
  2. [2] S. K. Peng & C. B. Taylor, “Cholesterol autoxidation, health and arteriosclerosis” World Rev. Nutr. Diet. vol. 44, nº 1, pp.117-154, 1984. DOI: https://doi.org/10.1159/000409439. 🠔
  3. [3] S. Böesinger, W. Luf & E. Brandl, “Oxysterols: their occurrence and biological effects” Int. Dairy J. vol. 3, nº 1, pp. 1, 1993. DOI: https://doi.org/10.1016/0958-6946(93)90073-9. 🠔
  4. [4] P. Paniangvait, A. J. King, A. D. Jones & B.G. German, “Cholesterol oxides in foods of animal origin” J. Food Sci. vol. 606, nº 1, pp. 1159-1174, 1995. DOI: https://doi.org/10.1111/j.1365-2621.1995.tb04548.x. 🠔
  5. [5] F. Guardiola, R. Codony, P. B. Addis, M. Rafecas & J. Boatella, “Biological effects of oxysterols: current status” Food Chem. Toxicol. vol. 34, nº 2, pp. 193-211, 1996. DOI: https://doi.org/10.1016/0278-6915(95)00094-1. 🠔
  6. [6] P. S. W. Park & P. B. Addis, “Identification and quantitative estimation of oxidized cholesterol derivatives in heated tallow” J. Agr. Food Chem. vol. 34, pp. 653-659, 1986. DOI: https://doi.org/10.1021/jf00070a016. 🠔
  7. [7] J. Nourooz-Zadeh & L. A. Appelquist, “Cholesterol Oxides in Swedish Foods and Food Ingredients: Fresh Eggs and Dehydrated Egg Products” J. Food Sci., vol. 52, pp. 57-67, 1987. DOI: https://doi.org/10.1111/j.1365-2621.1987.tb13972.x. 🠔
  8. [8] W. B. Zhang, P. B. Addis & T. P. Krick, “Quantification of 5α-cholestane-3β,5α,6β-triol and other cholesterol oxidation products in fast food French fried potatoes” J. Food Sci. vol. 56, pp. 716-718, 1991. DOI: https://doi.org/10.1111/j.1365-2621.1991.tb05364.x. 🠔
  9. [9] H. Liu, T. Wang & K. Huang, “Cholestane-3β,5α,6β-triol-induced reactive oxygen species production promotes mitochondrial dysfunction in isolated mice liver mitochondria” Chemico.-Biological Interactions, vol. 179, pp. 81-87, 2009. DOI: https://doi.org/10.1016/j.cbi.2008.12.003. 🠔
  10. [10]. L. Po-Lin, C. Yu-Wen, L. Ching-Hao, L. Yi-Ling & K. Jaw-Jou, “Cholesterol-3-beta, 5-α, 6-β induced PI3K-Akt-eNOS-dependent cyclooxygenase-2 expression in endothelial cells” Toxicol. Letters, vol. 190, pp. 172-178, 2009. DOI: https://doi.org/10.1016/j.toxlet.2009.07.012. 🠔
  11. [11] B. Henning & G. A. Boissonneault, “Cholestan-3β, 5α, 6β-triol decreases barrier function of cultured endothelial cell monolayers” Atherosclerosis, vol. 68, no. 3, pp. 255–261, 1987. DOI: https://doi.org/10.1016/0021-9150(87)90205-X. 🠔
  12. [12] A. J. Brown & W. Jessup, “Review article, Oxysterols and atherosclerosis” NSW 2050, Australia, Atherosclerosis. vol. 142, pp. 21-28, 1999. DOI: https://doi.org/10.1016/S0021-9150(98)00196-8. 🠔
  13. [13] G. Poli, B. Sottero, S. Gargiulo & G. Leonarduzzi, “Cholesterol oxidation products in the vascular remodeling due to aterosclerosis”, Molecular Aspects of Medicine, vol. 30, pp. 180-189, 2009. DOI: https://doi.org/10.1016/j.mam.2009.02.003. 🠔
  14. [14] H. Tavori, M. Aviram, S. Khatib, R. Musa, S. Nitecki, A. Hoffman & J. Vaya, “Human carotid atherosclerotic plaque increases oxidative state of macrophages and low-density lipoproteins, whereas paraoxonase 1 (PON1) decreases such atherogenic effects” Free Radical Biology & Medicine, vol. 46, pp. 607-615, 2009. DOI: https://doi.org/10.1016/j.freeradbiomed.2008.11.019. 🠔
  15. [15] G. Leonarduzzi, P. Gamba, S. Gargiulo, B. Sotero, A. Kadl, F. Biasi, E. Chiarpotto, N. Leitinger, G. Vendemiale, G. Serviddio & G. Poli, “Oxidation as a crucial reaction for cholesterol to induce tissue degeneration: CD36 overexpression in human promonocytic cells treated with a biologically relevant oxysterol mixture” Journal of Nutritional Biochemistry, vol. 7, pp. 375-382, 2008. DOI: https://doi.org/10.1111/j.1474-9726.2008.00386.x. 🠔
  16. [16] D. Bach, R. F. Epand, R. M. Epand, I. R. Miller & E. Wachtel, “The oxidized form of cholesterol 3β-hydroxy-5-oxo-5,6-secocholestan-6-al induces structural and thermotropic changes in phospholipid membranes”, Chemistry and Physics of Lipids, vol. 161, nº 2, pp. 95-102, 2009. DOI: https://doi.org/10.1016/j.chemphyslip.2009.07.006. 🠔
  17. [17] A. J. Brown & W. Jessup, “Review: Oxysterols: Sources, cellular storage and metabolism, and new insights into their roles in cholesterol homeostasis” Molecular Aspects of Medicine, vol. 30, pp.111-122, 2009. DOI: https://doi.org/10.1016/j.mam.2009.02.005. 🠔
  18. [18] H. Girao O, M. C. Mota, J. Ramalho & P. Pereira, “Cholesterol Oxides Accumulate in Human Cataracts” Exp. Eye Res, vol. 66, pp. 645-652, 1998. DOI. https://doi.org/10.1006/exer.1998.0465. 🠔
  19. [19]. D. Tsuzuki, K. Sumino & M. Yokoyama, “Analysis of 7-ketocholesterol in low density lipoprotein and fatty acid composition in erythrocyte membranes of patients on maintenance hemodialysis and healthy controls” Clinica Chimica Acta, vol. 295, pp. 155-168, 2000. DOI: https://doi.org/10.1016/s0009-8981(00)00199-6 🠔
  20. [20] S. Lordan, J. J. Mackrillb & N. M. O'Brien, “Oxysterols and mechanisms of apoptotic signaling: implications in the pathology of degenerative diseases” Journal of Nutritional Biochemistry, vol. 20, pp. 321-336, 2009. DOI: https://doi.org/10.1016/j.jnutbio.2009.01.001. 🠔
  21. [21] D. Töröcsik, A. Szanto & L. Nagy, “Oxysterol signaling links cholesterol metabolism and inflammationvia the liver X receptor in macrophages” Molecular Aspects of Medicine, vol. 30, pp. 144-152, 2009. DOI: https://doi.org/10.1016/j.mam.2009.02.002. 🠔
  22. [22] S. J. Hur, G. B. Park & S.T. Joo, “Formation of cholesterol oxidation products (COP) in animal products” Food Control, vol. 18, pp. 939-947, 2007. DOI: https://doi.org/10.1016/j.foodcont.2006.05.008. 🠔
  23. [23] A. B. Valenzuela, J. C. Sanhueza & S. K. Nieto, “¿Es posible mejorar la calidad nutricional de los aceites comestibles?” Rev. Chil. Nutr., vol. 29, pp. 1, 2002. DOI https://doi.org/10.4067/s0717-75182002029100002. 🠔
  24. [24] T. P. Busch & A. J. King, “Artifact generation and monitoring in analysis of cholesterol oxide products” Analytical Biochemistry, vol. 388, pp. 1-14, 2009. DOI https://doi.org/10.1016/j.ab.2008.12.034. 🠔
  25. [25] J. Folch, M. Lees & G. H. Sloane-Stanley, “A simple method for the isolation and purification of total lipides from animal tissues” Journal of Biological Chemistry, vol. 226, pp. 497-509,1957. http://webpages.icav.up.pt/ptdc/CVT/098487/2008/Folch,%201957.pdf 🠔
  26. [26] B. Lu, Y. Zhang, X. Wu & J. Shi, “Separation and Determination of Diversiform Phytosterols in Food Materials Using Supercritical Carbon Dioxide Extraction and Ultrapermance Liquid Chromatography-Atmospheric Pressure Chemical Ionization-Mass Spectrometry” Analytica Chimica Acta, vol. 588, pp. 50-63, 2007. 🠔
  27. [27] J. H. Nielsen, C. E. Olsen & L. H. Skibsted, “Cholesterol oxidation in a heterogeneous system initiated by water-soluble radicals” Food Chemistry. vol. 56, pp. 33-37, 1996. DOI: https://doi.org/10.1016/0308-8146(95)00146-8. 🠔
  28. [28] M. Menéndez-Carreño, D. Knol & H. Janssena, “Development and validation of methodologies for the quantification of phytosterols and phytosterol oxidation products in cooked and baked food products” J. Chromatogr. B, vol. 8, nº 1428, pp. 316-325, 2016. DOI: https://doi.org/10.1016/j.chroma.2015.09.073. 🠔
  29. [29] C. B. Johnson, “Isolation of cholesterol oxidation products from animal fat using aminopropyl solid-phase extraction” Journal of Chromatography A, vol. 736, pp. 205-2010, 1996. DOI: https://doi.org/10.1016/0021-9673(95)01322-9. 🠔
  30. [30] M. J. Petrón, J. A. García-Regueiro, L. Martín, E. Muriel & T. Antequera, “Identification and Quantification of Cholesterol and Cholesterol Oxidation Products in Different Types of Iberian Hams”, Agric. Food Chem., vol. 51, nº 19, pp. 5786-5791, 2003. DOI: https://doi.org/10.1021/jf034100a. 🠔
  31. [31] L.Shu-Mei, J. Ian-Gray & M. E. Zabik, “Evaluation of Solid Phase Extraction and Gas Chromatography for Determination of Cholesterol Oxidation Products in Spray-Dried Whole Egg” Journal of Agricultural and Food Chemistry, vol. 43, nº 5, pp. 1122-1126, 1995. DOI: https://doi.org/10.1021/jf00053a002. 🠔
  32. [32] J. A. García-Regueiro & C. Marachiello, “Procedure for the Determination of Eigth Colesterol Oxides in Poultry Meat Using On-column and Solvente Venting Capillary Gas Chromatography” Journal of Chromatography A, vol. 764, nº 2, pp. 279-293, 1997. DOI: https://doi.org/10.1016/s0021-9673(96)00897-7. 🠔
  33. [33] E. Boselli, V. Velazco, M. F. Caboni & G. Lercker, “Pressurized liquid extraction of lipids for the determination of oxysterols in egg-containing food” Journal of Chromatography A, vol. 917, pp. 239–244, 2001. DOI: https://doi.org/10.1016/s0021-9673(01)00688-4. 🠔
  34. [34] M. Careri, A. Mangia, M. Musci & G. Parolari, “Development of Gas Chromatographic Method for Determination of Cholesterol Oxides in Meat Products” Chromatographia, vol. 47, nº 1-2, pp. 42-48, 1998. DOI: https://doi.org/10.1007/bf02466784. 🠔
  35. [35] F. Ulberth & D. Rossler, “Comparison of solid-phase extraction methods for the cleanup of cholesterol oxidation products” J. Agric. Food Chem., vol. 46, pp. 2634-2637, 1998. DOI: https://doi.org/10.1021/jf980012s . 🠔
  36. [36] E. G. Bligh & W. J. Dyer, “A rapid method of total lipid extraction and purification” J. Biochem. Physiol. vol. 37, pp. 911-917, 1959. DOI: https://doi.org/10.1139/o59-099. 🠔
  37. [37] D. U. Ahn, K. C. Nam, M. Du & C. Jo, “Effect of irradiation and packaging conditions after cooking on the formation of cholesterol and lipid oxidation products in meats during storage” Meat Science, vol. 57, pp. 413-418, 2001. DOI: https://doi.org/10.1016/s0309-1740(00)00119-4. 🠔
  38. [38] J. J. Lozada-Castro, M. J. Santos-Delgado & L. M. Polo-Díez, “Determination of free cholesterol oxide products in food samples by gas chromatography and accelerated solvent extraction: influence of electron-beam irradiation on cholesterol oxide formation” J. Sci. Food Agric. vol. 96, nº 12, 2016. DOI: https://doi.org/10.1002/jsfa.7625. 🠔
  39. [39] National Institute of Standards and Technology, “NIST Standard Reference Database 1A v17,” STANDARD REFERENCE DATA, June 19, 2014. [Online]. Available on: https://www.nist.gov/srd/nist-standard-reference-database-1a-v17. [Accessed February 7, 2018] 🠔
  40. [40] J. J. Lozada Castro, “Determinación de óxidos de colesterol en muestras de alimentos mediante cromatografía de gases,” Ph. D. Dissertation, Universidad Complutense de Madrid, Madrid, España, 2013. [Online]. Available on: https://eprints.ucm.es/22410/1/T34599.pdf. 🠔