Revista Colombiana de Química
0120-2804
2357-3791
Universidad Nacional de Colombia
Colombia
https://doi.org/

Recibido: 26 de abril de 2019; Aceptado: 9 de diciembre de 2019

Determination of nutritional value of turmeric flour and the antioxidant activity of Curcuma longa rhizome extracts from agroecological and conventional crops of Valle del Cauca-Colombia

Determinación del valor nutricional de la harina de cúrcuma y la actividad antioxidante de extractos del rizoma de Curcuma longa procedente de cultivos agroecológicos y convencionales del Valle del Cauca-Colombia

Determinação do valor nutricional da farinha de açafrão e da atividade antioxidante de extratos do rizoma de Curcuma longa de culturas agroecológicas e convencionais do Valle del Cauca-Colombia

J. Restrepo-Osorio, D. Nobile-Correa, O. Zuñiga, R. Sánchez-Andica,

Grupo de Investigación en Productos Naturales y Alimentos (GIPNA), Departamento de Química, Universidad del Valle, Santiago de Cali, Valle del Cauca, Colombia. Universidad del Valle Colombia
Grupo de Investigación en Productos Naturales y Alimentos (GIPNA), Departamento de Química, Universidad del Valle, Santiago de Cali, Valle del Cauca, Colombia. Universidad del Valle Colombia
Grupo ILAMA de Investigación en física de suelos, Departamento de Física, Universidad del Valle, Santiago de Cali, Valle del Cauca, Colombia. Universidad del Valle Colombia
Grupo de Investigación en Productos Naturales y Alimentos (GIPNA), Departamento de Química, Universidad del Valle, Santiago de Cali, Valle del Cauca, Colombia. Universidad del Valle Colombia

jaime.restrepo@correounivalle.edu.co

Abstract

This research presents the results of the proximal analysis of turmeric rhizome flour (Curcuma longa) from different areas of Valle del Cauca (Colombia) and the quantitative estimation of the uptake of the radical 2,2-diphenyl-1-Picrylhydrazyl (DDPH) of the methanolic extracts of the flour. The results of the proximal analysis evidence that some parameters do not show evident differences. However, others, such as total fat, show differences between the turmeric crops with conventional and agroecological fertilization. The values ​​obtained from the different samples for proteins and carbohydrates are in an average normal range (9.3% and 70.5%, respectively), which fulfills the requirement to be a nutritional supplement. The free radical uptake (FRS) test of the extracts showed an antioxidant activity of the different samples tested for FRS50 (%) of 2.11 ± 0.06 µg / mL (Yumbillo, Y), 1.34 ± 0.26 µg / mL (Guacas, G), 4.22 ± 0.06 µg / mL (Magdalena, M), 9.16 ± 0.32 µg / mL (Commercial, C), 1.29 ± 0.26 µg / mL (Santa Rosa de Tapias, SR), and 1.33 ± 0.05 µg / mL (Limonar, L), which were contrasted with the values ​​of quercetin (Q) 1.01 ± 0.51 µg / mL, vitamin C (V) 2.07 ± 0.45 µg / mL, and piperine (P ) (0,0) µg / mL. The proximal nutritional value plus the oxidizing activity, due to the concentration of phenolic compounds, make turmeric flour a functional food.

Keywords

proximal analysis, turmeric, rhizomes, antioxidant activity, DPPH, crops.

Resumen

En esta investigación se presentan los resultados del análisis proximal de la harina de rizoma de cúrcuma (Curcuma longa), procedente de diferentes zonas del Valle del Cauca (Colombia), y de la estimación cuantitativa de la captación del radical 2,2-difenil-1-picrilhidrazilo (DDPH) de los extractos metanólicos de la harina. Los resultados del análisis proximal muestran que algunos parámetros no presentan diferencias evidentes. Sin embargo, otros, como la grasa total, sí presentan diferencias entre la cúrcuma de cultivos con fertilización convencional y agroecológica. Los valores obtenidos de las diferentes muestras para proteínas y carbohidratos están en un rango normal promedio (9.3% y 70.5%, respectivamente), los cuales se encuentran dentro de los valores requeridos para ser un suplemento nutricional. El ensayo de captación de radicales libres (FRS) de los extractos evidenció una actividad antioxidante de las diferentes muestras analizadas de FRS50 (%) de 2,11 ± 0,06 µg / mL (Yumbillo, Y), 1,34 ± 0,26 µg / mL (Guacas, G), 4,22 ± 0,06 µg / mL (Magdalena, M), 9,16 ± 0,32 µg / mL (Comercial, C), 1,29 ± 0,26 µg / mL (Santa Rosa de Tapias, SR) y 1,33 ± 0,05 µg / mL (Limonar, L), los cuales fueron contrastados con los valores de quercetina (Q) 1,01 ± 0,51 µg / mL, vitamina C (V) 2,07 ± 0.45 µg / mL y piperina (P) (0,0) µg / mL. El valor nutricional proximal más la actividad oxidante, debido a la concentración de compuestos fenólicos, hacen de la harina de cúrcuma un alimento funcional.

Palabras clave

análisis proximal, cúrcuma, actividad antioxidante, DPPH, cultivos.

Resumo

Esta pesquisa apresenta os resultados da análise proximal da farinha de rizoma de cúrcuma (Curcuma longa) de diferentes áreas do Vale do Cauca (Colômbia), além da estimativa quantitativa da captação do radical 2,2-difenil-1-Picrylhydrazyl (DDPH) dos extratos metanólicos da farinha. Os resultados da análise proximal mostram que alguns parâmetros não mostram diferenças óbvias. No entanto, outros, como gordura total, mostram diferenças entre a cúrcuma das culturas com adubação convencional e agroecológica. Os valores obtidos nas diferentes amostras para proteínas e carboidratos estão em uma faixa média normal (9,3% e 70,5% respectivamente), que estão dentro dos valores necessários para ser um suplemento nutricional. O teste de captação de radicais livres (FRS) dos extratos mostrou uma atividade antioxidante das diferentes amostras testadas para FRS50 (%) de 2,11 ± 0,06 µg / mL (Yumbillo, Y), 1,34 ± 0,26 µg / mL (Guacas, G), 4,22 ± 0,06 µg / mL (Magdalena, M), 9,16 ± 0,32 µg / mL (Comercial, C), 1,29 ± 0,26 µg / mL (Santa Rosa de Tapias, SR) e 1,33 ± 0,05 µg / mL (Limonar, L), que foram contrastados com os valores de quercetina (Q) 1,01 ± 0,51 µg / mL, vitamina C (V) 2,07 ± 0,45 µg / mL e piperina (P ) (0,0) ug / mL. O valor nutricional proximal mais a atividade oxidante, devido à concentração de compostos fenólicos, fazem da farinha de cúrcuma um alimento funcional.

Palavras-chave

análise proximal, cúrcuma, atividade antioxidante, DPPH, culturas.

Introduction

Turmeric (Curcuma longa L.) is an herbaceous plant belonging to the Zingiberaceae family and, although it is grown in different tropical and subtropical regions around the world, it is originally from India [1]. The main botanical characteristic is its rhizomes, which are oblong, ovate, pyriform, and shortly branched [2] and is the one that has the main protagonism concerning its use in the food industry, medicine, cosmetics, among others [3].

Turmeric powder has been used for food preparations, as a spice, in India since ancient times and, nowadays, in several parts of the world, including products accessible by the internet [4, 5]. Currently, in India, traditional medicine keeps prescribing its use against digestive problems, biliary disorders, anorexia, coryza, cough, diabetic wounds, hepatic disorder, rheumatism, and sinusitis [1, 6]. It has also been used as a household remedy in Nepal for many years [7].

The curcuminoids are the main secondary metabolites of C. longa present in the rhizome, which is considered to be the responsible for the bioactivity of the plant [8, 9], of which curcumin (1,7-bis(4-hydroxy-3-methoxyphenyl)-1,6-heptadiene-3,5-dione), dimethoxy-curcumin, and bis-dimethoxy-curcumin are the main compounds. Even more, to curcumin has been attributed all the biological activity due of its antioxidant activity [10, 11].

The investigation on the antioxidant activity of several natural compounds has been taking importance because of its relationship with anticancer and anti-inflammatory effects [12]. Even more, these compounds have a potential use on treatments of several neurological disorders, including dementia, Alzheimer’s disease, Parkinson’s disease, among others [13, 11].

Curcumin also acts as an inhibitor of the auto-oxidation of epinephrine, producing free antiradical activity as effective as superoxide dismutase [14]. Additionally, curcuminoids avoid lipid peroxidation and degradation oxidative of food in such a way that curcumin, being the major curcuminoid, traps, and neutralizes free radicals such as anions, superoxides, and hydroxyl radicals, stimulating enzymatic activity, protecting the organism from aging and cell death by oxidative damage and favoring the repair and reconstruction of biological structures [15, 16, 17].

Llano et al. have gathered research results on the reaction mechanisms for the antioxidant activity, concluding that there are two possible mechanisms: Hydrogen atom transfer (HAT) and single electron transfer (SET). The electronic structure of the molecule could be described by both mechanisms [18]. On the other hand, it has been reported that the plant grown is strongly influenced by the manure in soils. Kamal and Yousouf led to the conclusion that organic fertilizer is crucial for nutrient crops like turmeric for commercial cultivation [19, 20].

The purpose of this study was to determine the antioxidant activity of the methanolic extract of C. longa and its variation according to the culture medium (agroecological and conventional fertilization). It is also sought to offer to the region information regarding C. longa, to promote the optimization of agro-ecological resources that reduce the environmental impact and provide products of high competitiveness, such as excellent quality.

Materials and methods

Preparation of the plant material

The plant material (rhizomes) was obtained from five crops located in the north of Valle del Cauca (Colombia), at 1000-2000 m.a.s.l., which come from conventional fertilization: Yumbillo (Y), Guacas (G) and Magdalena (M) and from agroecological fertilization: Santa Rosa de Tapias (SR) and Limonar (L), besides, a commercial as a reference sample. The rhizomes were reduced by successive sampling and subsequently disinfected with a 2% (w/v) NaClO solution, then dried in an oven at 40 °C for 48 h, sprayed at a particle size of 1 to 2.5 mm and kept at 4 °C until analysis.

Soil characterization

The characterization of soils was performed at AGRILAB, Environmental and Agricultural Services Laboratory, following the procedures from the Colombians Technical Standards NTC 4981 [21], NTC 1667 [22], NTC 5464 [23], NTC 1886 [24], NTC 5889 [25], NTC 5595 [26], and NTC 5526 [27]. Texture parameters, electrical conductivity, pH, Effective Cation Exchange Capacity (CICE), organic matter, medium saturation, and minerals such as phosphorus, nitrogen, potassium, calcium, magnesium, sodium, iron, boron, copper, manganese, and zinc were evaluated. The results were contrasted by analysis of variance (ANOVA), taking turmeric powder from every soil as a treatment. For those where significant differences were found, a comparison of multiple ranges test was performed (i.g. Tukey Test), using Minitab® version 16 as a statistical package.

Proximal Analysis

The proximal analysis was performed by the AOAC (Association of Analytical Chemists) standard methods. Moisture was determined by drying in an oven at 110 °C and quantifying by weight difference. The ashes were determined by ignition in a furnace at 550 °C and quantified by weight difference. The nitrogen content was quantified by the microkjeldahl method converting to total protein by the 6.25 factor. The fat content was carried out by extraction with hexane, in Soxhlet equipment, for 6 h; the fat was quantified by weight difference. The crude fiber was determined by acid hydrolysis followed by alkaline hydrolysis and finally burned at 550 °C. The content of fiber was calculated as the mass loss in the furnace. The carbohydrates were calculated by Eq. 1 and the energy (calories) through Eq. 2 [15].

Mineral Analysis

The content of minerals (calcium, iron, magnesium, potassium, sodium, zinc) was analyzed by atomic absorption spectrophotometry, in a Shimadzu, model AA6300, equipment. The analysis of the metals was done after the ashes were dissolved in hydrochloride acid as it is described in the NTC 5151 and NTC 4981, both from the Colombian Technical Standard [16, 17].

Results of the proximal and mineral analysis of the turmeric powder were contrasted against the commercial sample by the Student's t-test (α=0.05) through Minitab® version 16 statistical package.

Antioxidant activity assay

The turmeric extract for the antioxidant activity assay was obtained by maceration method, which consists in letting the sample on methanol (Merck) for 48 h in a 1:7 mass-volume ratio followed by stirring for 1.5 h. Afterward, the sample was sonicated at 30 kHz and 40 °C for 45 min and then filtered with an appropriate filter paper. With the leftover cake, the extraction was repeated with methanol-water (1:5 and 1:3 ratio) combining all the extracts at the end. The solvent was evaporated under reduced pressure at 50 °C obtaining a crude extract. From this extract, several dilutions (0.25 ppm up to 512.0 ppm), using methanol as a solvent, were made in a 96 wells plate. 100 µL of 132 ppm solution of DPPH∙ (Merck) was added to every dilution of the extract in the plate taking into account that every dilution was made six times. Absorbance readings were made at 520 nm on a Metertech AccuReader M965+ microplate reader, after 1 h of incubation. To verify the analytical process, some renowned and widely published reference antioxidant compounds, such as vitamin C (V), and quercetin (Q) were used. The same procedure used in the samples was applied to the standards V and Q to obtain better comparison. In all cases, the free radical scavenging in percentage with 50% inhibition concentration (FRS50) was calculated by Eq. 3.

The FRS50 value represented the concentration of the extracts that caused 50% inhibition where A. is the absorbance of the blank and A. is the absorbance of DPPH in the presence of turmeric extract [28].

Statistical analysis was carried out in GraphPad Prism 7.0 software and an exponential decay curve, the interpolation in one phase was calculated [28].

Results and discussion

Soil characterization

The nutritional chemical composition of plants, as well as, their physical-chemical properties can vary according to weather conditions, texture, the system of irrigation, soil handling, and soil balance where they are cultivated [29]. Kulpapangkorn and Leang determined the curcumin content of several turmeric crops grown under different conditions of fertilization, concluding that the content of organic manure and primary nutrients are essentials for a high yield of curcumin and, in consequence, its antioxidant activity [30].

Table 1. Characteristics of conventional and agroecological soils used for C. longa crops.

Table 1: Characteristics of conventional and agroecological soils used for C longa crops

Table 1 Characteristics of conventional and agroecological soils used for C longa crops
Parameters Conventional Soils Agroecological soils
M Y G SR L
pH (UpH) 5.79±0,01 6.06±0,01 6.74±0,01 5.79±0,01 5.53±0,01
Electrical conductivity (dS/cm) 0.19±0,01 0.20±0,01 0.28±0,01 0.27±0,01 0.22±0,01
Organic carbon (% ,w/w) 3.7±0,12 2,0±0,12 1.9±0,12 4.0±0,12 2.2±0,12
Organic matter (%, w/w) 6.2±0,2 3.4±0,2 3.3±0,2 6.9±0,2 3.9±0,2
Potasium (ppm, µg/g) 144.2±0,15 78.0±0,15 437.6±0,15 71.5±0,15 206±0,15
Phosphorous (ppm, µg/g) 3.95±0,05 9.74±0,05 250.40±0,05 12.53±0,05 1.82±0,05
Amoniacal nitrogen (ppm, µg/g) 31.8±0,81 29.4±0,81 30.2±0,81 25.8±0,81 22.7±0,81
C.E.C.(meq/100 g) 12.8±1,1 34.9±1,1 30.6±1,1 9.7±1,1 8.7±1,1

M = Magdalena, Y = Yumbillo, G = Guacas, SR = Santa Rosa De Tapias, L = Limonar.

The soils used for farming of turmeric present a high variation in several of the parameters analyzed, as can be seen in Table 1. These results indicate that there were no soils with better conditions to cultivate turmeric. The fertilization applied with biofertilizers (agroecological soils) and inorganic fertilizers (conventional soils) did not affect the soil characteristics, and hence, it can be said that all turmeric crops were grown under the same conditions.

Basic nutritional analysis

The nutritional value of turmeric powder was determined by proximal and some mineral analysis (tables 2 and 3) NTC 5526 [27].

Table 2. Proximal analysis of turmeric flour cropped in different soils.

Table 2: Proximal analysis of turmeric flour cropped in different soils

Table 2 Proximal analysis of turmeric flour cropped in different soils
Parameters Conventional soils Agroecological soils Commercial
M Y G SR L C
Moisture (%) 11.2±0,1 11.4±0,1 8.8±0,1 9.0±0,1 8.7±0,1 8.7 ±0,1
Ash (%) 7.7±0,2 6.6 ±0,2 8.6±0,2 9.2±0,2 7.9±0,2 6.8±0,2
Protein (N*6.25) (%) 8.3±0,53 7.7±0,53 13.1±0,53 8.9±0,53 8.6±0,53 11.6 ±0,53
Total fat (%) 0.9±0,11 0.8±0,11 0.7±0,11 3.4±0,11 5.4±0,11 0.9±0,11
Crude fiber (%) 6.8±2,1 14.5±2,1 7.7±2,1 4.9±2,1 4.0±2,1 4.6±2,1
Carbohydrates (%) 72±1,8 73±1,8 69±1,8 70±1,8 69±1,8 72±1,8
Calories (Kcal/100 g) 310±3,5 314±3,5 317±3,5 327±3,5 343±3,5 324±3,5

M = Magdalena, Y = Yumbillo, G = Guacas, C = Comercial, SR = Santa Rosa De Tapias, L = Limonar.

Table 3. The mineral content of turmeric powder cultivated in different soils

Table 3: The mineral content of turmeric powder cultivated in different soils

Table 3 The mineral content of turmeric powder cultivated in different soils
Parameters Conventional soils Agroecological soils Commercial
M Y G SR L C
Calcium (%) 0.11±0,01 0.87±0,01 0.15±0,01 0.40±0,01 0.59±0,01 0.14±0,01
Phosphorous (%) 0.33±0,03 0.33±0,03 0.35±0,03 0.45±0,03 0.16±0,03 0.37±0,03
Magnesium (%) 0.16±0,01 0.29±0,01 0.32±0,01 0.28±0,01 0.23±0,01 0.24±0,01
Potasium (%) 2.7±0,13 2.5±0,13 2.1±0,13 3.8±0,13 2.4±0,13 3.5±0,13
Iron (ppm) 141±2,3 622±2,3 319±2,3 225±2,3 803±2,3 444±2,3
Zinc (ppm) 22.0±0,43 25.2±0,43 38.8±0,43 27.8±0,43 32.5±0,43 19.3±0,43
Sodium (ppm) 199±1,8 130±1,8 122±1,8 118±1,8 120±1,8 357±1,8

M = Magdalena, Y = Yumbillo, G = Guacas, C = Comercial, SR = Santa Rosa De Tapias, L = Limonar.

It can be observed in Table 2 that, in general terms, there are no remarkable differences in the results of the proximal analysis for turmeric cultivated with conventional and agroecological fertilization, this result may be a consequence ofthe fact that there are no marked differences in the characteristics of these soils (Table 1). However, the fat content (ethereal extract) of turmeric with agroecological fertilization is fivefold higher than turmeric with conventional fertilization. On the contrary, the crude fiber content is fourfold lower, which suggests that there must be other factors that affect the content of the nutritional composition.

The values of some of the proximal analysis parameters found in this work are within the range of those obtained in other investigations. According to Ikpeama et al. work, the protein and carbohydrate concentrations are very similar to the values obtained in our work, although, with some differences in ashes, crude fiber and fat, but within the same orders of magnitude. It is interesting to notice that the fat content of turmeric grown with conventional fertilization is too low compared to those reported in the literature, 8.5 fold below [31, 32].

In these results, the protein and carbohydrate contents are stood, which make turmeric a perfect nutritional alternative to be used as food, in addition to its use as a dye, spice, and flavorings in food preparations [18]. Rajkumari et al. published a review in which they highlight that the nutritional value of 16 turmeric species lies in their protein, carbohydrate, and dietary fiber content [33]. According to this, the outcomes of our investigation are coincident with the results that have been published. This fact could suggest that the turmeric culture can be boosted to be used as a source of protein and carbohydrates in culinary preparations different than its use as a spice, especially in Colombia, where there exists a high potential on this crop.

The statement mentioned above is complemented by the high content of ashes. The high ashes content means high mineral concentration, in this case, in turmeric grown on both kinds of soils, as shown in Table 3. In the same way as the other nutrients, it can also be observed that there is no marked difference in their concentrations in turmeric from both kinds of soils. However, calcium, sodium, phosphorus, magnesium, and potassium concentration can be considered good in terms of nutrition and an alternative source of minerals [3]. Based on this information and the analysis of vitamins, amino acids, and other nutrients published elsewhere, the rhizome is good enough to be used as a nutritional supplement [33].

With all the nutritional profile of turmeric, including the proximal analysis, minerals content, plus nutraceutical nutrients, and phytochemical composition that has been published, it can be said that this plant has a great future as a functional food that should be given more attention both in research as in product development [31].

Antioxidant Activity

In this research, the antioxidant capacity of turmeric methanol extracts from conventional and agroecological crops were determined. The results are reported in Figure 1.

(a) FRS50 of turmeric from soils with different fertilization and (b) exponential decay in one phase of the antioxidant activity of C. longa extracts.

Figure 1.: (a) FRS50 of turmeric from soils with different fertilization and (b) exponential decay in one phase of the antioxidant activity of C. longa extracts.

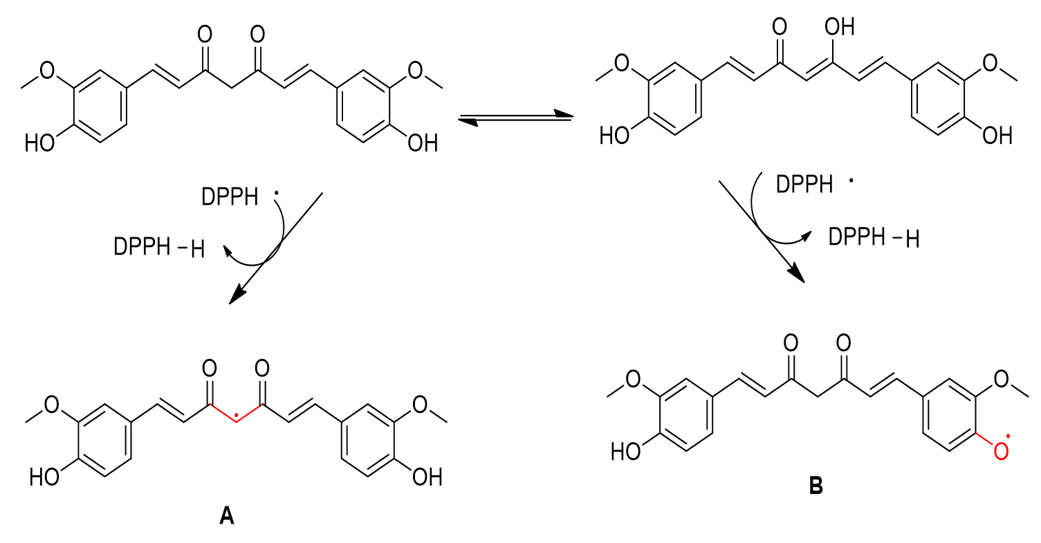
Turmeric antioxidant capacity is attributed to the curcuminoids and, to a lesser extent, phenolic compounds, diarylheptanoids, phenylpropenoids, and terpenes [34, 35]. Curcuminoids are phenolic compounds whose main members are curcumin, demethoxycurcumin, and bis-demetoxycurcumin [36]. Curcumin is a polyphenolic compound whose main characteristic is the keto and enol groups that it possesses. Under certain pH conditions, it exhibits keto-enol tautomerism. In acidic medium, β-diketo is the predominant form, whereas in neutral or alkaline medium predominate keto-enol structure (Figure 2), being the enol-keto (99.5% - 0.5%, respectively) in water the more stable structure [37, 38].

Chemical structures of the most likely tautomeric forms of curcumin.

Figure 2.: Chemical structures of the most likely tautomeric forms of curcumin.

These two groups (keto and enol) are fundamental in curcumin and, in general, to all curcuminoids because they are directly responsible for the antioxidant power, which can occur by either HAT or SER mechanisms [18]. The DPPH method for the determination of the antioxidant activity of curcumin is based on either one of these mechanisms, in which, the keto-enolic group of the tautomer has an acidic proton that can be donated to free radical 2,2-diphenyl-1-picrylhydrazyl (DPPH.), decreasing its absorbance at 517 nm. This reaction is shown in Figure 3 [39, 40, 41].

Curcumin reaction with DPPH• in tautomeric ceto-enolic form [42].

Figure 3.: Curcumin reaction with DPPH• in tautomeric ceto-enolic form [42].

On the determination of the antioxidant activity, the lower the FRS50 value, the better the antioxidant power, which is also related to the concentration of the secondary metabolites [41]. Figure 1 (b) shows the kinetics of free radicals uptake by DPPH where it can be seen that as the turmeric concentration increases, the inhibition decreases, being less sensitive for the radical scavenging, until it turns constant [16]. Figure 1 (a) shows the FRS50 corresponding to the turmeric coming from the two kinds of soils. It is observed that turmeric from agroecological soils (SR and L) present, in general terms, better antioxidant activity than those from conventional soils (M, Y, and G). Of all turmeric extracts assessed, that from M has the lowest antioxidant activity whereas that from SR presents the highest. Although M has the lowest activity, it is better than the commercial one. Four out of five of the turmeric extracts evaluated have the same or better antioxidant activity than the two compounds taken as standards (V and Q), which confirms the great antioxidant power of this plant.

The low antioxidant activity of commercial turmeric can be attributed to the fact that the industrial production of turmeric powder does not have enough precautions to avoid the degradation of curcuminoids, since these are photosensitive and degrade at temperatures above 60 °C [42, 43, 44, 45].

The higher turmeric antioxidant activity from crops with agroecological fertilization (SR and L) means that the content of secondary metabolites is also higher, which could occur to the fact that fertilization was made with no inorganic fertilizers and there are no pesticides applied. This could cause that turmeric in the metabolic process does not generate defense mechanisms and, hence, the production of secondary metabolites increases [43, 44, 45].

Conclusions

Due to the high content of protein and carbohydrates, besides some essential minerals, turmeric could be an excellent candidate nutritional food supplement. However, their content of secondary metabolites, especially phenolic compounds, can make of this rhizome a functional food for the prevention from several diseases due to the excellent antioxidant activity. It should be noted that the antioxidant activity is much better in turmeric grown in soils with organic fertilization and no pesticides applied than those conventional soils. Besides, the industrial process to obtain turmeric powder may have caused the lower activity power of the commercial turmeric due to the loss of some of the antioxidant compounds.

Acknowledgments

The authors thank the Universidad del Valle for the economic support; to GIPNA and ILAMA research groups; to LAI and Agrilab laboratories for the collaboration in the analysis and logistic support to develop this investigation.

References

  1. [1] A., Amalraj, A.,Pius, S., Gopi, and S., Gopi, «Biological activities of curcuminoids, other biomolecules from turmeric and their derivatives–A review.» Journal of traditional and complementary medicine. Vol 7, n° 2, pp. 205-233, 2017. DOI: https://doi.org/10.1016/j.jtcme.2016.05.005 [URL] 🠔
  2. [2] C. A. C. Araujo, and L. L. Leon, «Biological activities of Curcuma longa L.» Memórias do Instituto Oswaldo Cruz, Vol 96, n° 5, pp. 723-728, 2001. DOI: http://dx.doi.org/10.1590/S0074-02762001000500026 . [URL] 🠔
  3. [3] P. Saiz de Cos, and E. Pérez-Urria, .Cúrcuma I (Curcuma longa l.) .. REDUCA Biología, Vol 7, n° 2, pp 84-99, 2014. 🠔
  4. · [4] V. S. Govindarajan, and W. H. Stahl, .Turmeric—chemistry, technology, and quality.. Critical Reviews in Food Science & Nutrition, Vol 12, n° 3, pp. 199-301, 1980. https://doi.org/10.1080/ 10408398009527278. [URL] 🠔
  5. [5] L., Chatzinasiou, A., Booker, E., MacLennan, Mackonochie, M., and Heinrich, M. .Turmeric (Curcuma longa L.) products: What quality differences exist?.. Journal of Herbal Medicine, 100281, 2019. https://doi.org/10.1016/j.hermed.2019.100281. [URL] 🠔
  6. [6] H. P. T., Ammon, M. I., H., Anazodo, B. N., Safayhi, Dhawan, and R. C. Srimal, .Curcumin: a potent inhibitor of leukotriene B4 formation in rat peritoneal polymorphonuclear neutrophils (PMNL) .. Planta medica, Vol 58, n° 02, pp. 226-226, 1992. 🠔
  7. [7] D. Eigner, and D. Scholz, .Ferula asa-foetida and Curcuma longa in traditional medical treatment and diet in Nepal.. Journal of ethnopharmacology, Vol 67, n° 1, pp. 1 - 6, 1999. https://doi.org/10.1016/ S0378-8741(98)00234-7. [URL] 🠔
  8. [8] M., Mesa, et al. .Efectos farmacológicos y nutricionales de los extractos de Curcuma longa L. y de los cucuminoides.. Ars Pharm, Vol 41, n° 1, pp. 307 – 321, 2000. [http://hdl.handle.net/10481/35289]. Visited on september 20th 2019. [URL] 🠔
  9. [9] S., Ali, et al. .Insecticidal Activity Of Turmeric (Cúrcuma longa) And Garlic (Allium Sativum) Extracts Against Red Flour Beetle, Tribolium Castaneum: A Safe Alternative To Insecticides In Stored Commodities.. JEZS. Vol 2, n° 3, pp. 201 - 205, 2014. 🠔
  10. [10] M. E., Braga, P. F., Leal, J. E., Carvalho, and M. A. A. Meireles, .Comparison of yield, composition, and antioxidant activity of turmeric (Curcuma longa L.) extracts obtained using various techniques.. Journal of Agricultural and Food Chemistry, Vol 51, n° 22, pp. 6604-6611, 2003. https:// doi.org /10.1021/jf0345550 🠔
  11. [11] N., Ghanaatian, et al. .Curcumin as a therapeutic candidate for multiple sclerosis: Molecular mechanisms and targets.. Journal of cellular physiology, Vol 234, n° 8, pp. 12237-12248, 2019. https://doi.org/10.1002/ jcp.27965 [URL] 🠔
  12. [12] V. P. Menon, and A. R. Sudheer, .Antioxidant and anti-inflammatory properties of curcumin.. The molecular targets and therapeutic uses of curcumin in health and disease, pp. 105-125, Springer, Boston, MA. 2007. https://doi.org/10.1007/978-0-387-46401-5_3. [URL] 🠔
  13. [13] D. K.Gounder, and J. Lingamallu, .Comparison of chemical composition and antioxidant potential of volatile oil from fresh, dried and cured turmeric (Curcuma longa) rhizomes.. Industrial crops and products, Vol 38, pp. 124-131, 2012. https://doi.org/10.1016/j.indcrop.2012.01.014. [URL] 🠔
  14. [14] C., Fuertes Ruitón, A., Castro Luna, Q., R., Carreño and C. Arana Ávila, .Colorantes de Curcuma longa, estudio de su probable efecto antiinflamatorio analgésico-antiradical libre.. Ciencia E Investigación, Vol 1, n° 1, pp. 19-26, 2014. Recuperado a partir de https://revistasinvestigacion.unmsm. edu.pe/index.php/farma/article/view/4745. Visited on september 20th 2019. [URL] 🠔
  15. [15] J., Stanojević, L., Stanojević, D., Cvetković, and B. Danilović, .Chemical Composition, Antioxidant and Antimicrobial Activity of the Turmeric Essential Oil (Curcuma longa l.) », Advanced Technologies. Vol 4, n° 2, pp. 19-25, 2015. DOI:10.5937/savteh1502019S 🠔
  16. [16] V., Surojanametakul, P., Satmalee, J., Saengprakai, D., Siliwan, and L. Wattanasiritham, .Preparación de polvo de curcuminoide de Raíz de cúrcuma (Curcuma longa Linn) para el uso de ingredientes alimenticios.. Natural Ciencia. pp. 123-130, 2010. 🠔
  17. [17] Gülçin, .Antioxidant and antiradical activities of L-carnitin.. Life Sciences. Vol 78. pp. 803-811, 2006. DOI: https://doi.org/10.1016/j.lfs.2005.05.103 [URL] 🠔
  18. [18] S., Llano, S., Gómez, J., Londoño, & A., Restrepo, .Antioxidant activity of curcuminoids.. Physical Chemistry Chemical Physics, Vol 21, n° 7, pp. 3752 – 3760, 2019. DOI: doi/10.1039/C8CP06708B 🠔
  19. [19] M. Z. U. Kamal, and M. N., Yousuf, .Effect of organic manures on growth, rhizome yield and quality attributes of turmeric (Curcuma longa L.).. The Agriculturists, Vol 10, n° 1, pp. 16 - 22, 2012. DOI: https://doi.org/10.3329/agric.v10i1.11060 [URL] 🠔
  20. [20] A. K., Choudhary,. and S., Rahi, .Organic cultivation of high yielding turmeric (Curcuma longa L.) cultivars: A viable alternative to enhance rhizome productivity, profitability, quality and resource-use efficiency in monkey–menace areas of north-western Himalayas.. Industrial crops and products, Vol 124, pp. 495 - 504, 2018. DOI: https://doi.org/10.1016/j.indcrop.2018.07.069 [URL] 🠔
  21. [21] Instituto Colombiano de Normas Técnicas y Certificación (ICONTEC). NTC 4981. .Alimentos Para Animales. Determinación Del Contenido De Fosforo. Método Espectrofotométrico.. Norma Técnica Colombiana. 2001 🠔
  22. [22] Instituto Colombiano de Normas Técnicas y Certificación (ICONTEC). NTC 1667. .Determinación de la masa unitaria en el terreno por el método del cono de arena.. Norma Técnica Colombiana. 2002 🠔
  23. [23] Instituto Colombiano de Normas Técnicas y Certificación (ICONTEC). NTC 5264 .Calidad De Suelo. Determinación del pH.. Norma Técnica Colombiana. 2008 🠔
  24. [24] Instituto Colombiano de Normas Técnicas y Certificación (ICONTEC). NTC 1886. .Suelos. Determinación de la humedad, ceniza y materia orgánica.. Norma Técnica Colombiana. 1983 🠔
  25. [25] Instituto Colombiano de Normas Técnicas y Certificación (ICONTEC). NTC 5889. .Análisis De Suelos. Determinación Del Nitrógeno Total.. Norma Técnica Colombiana. 2011 🠔
  26. [26] Instituto Colombiano de Normas Técnicas y Certificación (ICONTEC). NTC 5595. .Calidad de suelo. Determinación del nitrógeno amoniacal y nitrógeno nítrico.. Norma Técnica Colombiana. 2008 🠔
  27. [27] Instituto Colombiano de Normas Técnicas y Certificación (ICONTEC). NTC 5526. .Calidad De Suelo. Determinación De Micronutrientes Disponibles: Cobre, Zinc, Hierro Y Manganeso.. Norma Técnica Colombiana. 2007 🠔
  28. [28] D. M., Ocampo, C. L., Valverde, A. J., Colmenares, and J. H. Isaza, .Fenoles totales y actividad antioxidante en hojas de dos especies colombianas del género Meriania (Melastomataceae).. Rev Colomb Quim. Vol 43, n° 1, pp. 41 - 46, 2014. 🠔
  29. [29] V., Srinivasan, et al. .Nutrient management systems in turmeric: Effects on soil quality, rhizome yield, and quality.. Industrial Crops and Products, Vol 85, pp. 241 - 250. 2016. DOI: https://doi.org/10.1016/ j.indcrop.2016.03.027 [URL] 🠔
  30. [30] W., Kulpapangkorn, & S., Mai-leang, .Effect of plant nutrition on turmeric production.. Procedia Engineering, Vol 32, pp. 166 - 171. 2012. DOI: https://doi.org/10.1016/j.proeng.2012.01.1252 [URL] 🠔
  31. [31] Ikpeama., Ahamefula., G., Onwuka, Nwankwo. Chibuzo. .Nutritional Composition of Tumeric (Curcuma longa) and its Antimicrobial Properties.. International Journal of Scientific & Engineering Research.. Vol 5 n° 10, pp. 1085 – 1089, 2014. 🠔
  32. · [32] A. M., Serpa Guerra, et al. .The nanotech potential of turmeric (Curcuma longa L.) in food technology: A review.. Critical Reviews in Food Science and Nutrition, pp. 1 – 13, 2019. DOI: https://doi.org/10.1080/10408398.2019.1604490. [URL] 🠔
  33. [3] S. Rajkumari, and K., Sanatombi, «Nutritional value, phytochemical composition, and biological activities of edible Curcuma species: A review». International Journal of Food Properties, 20 (sup3), S2668-S2687, 2017. DOI:_https://doi.org/10.1080/10408398.2019.1604490 🠔
  34. [34] S., Li, W., Yuan, G., Deng, P., P., Wang Yang, and B.B. Aggarwal, .Chemical composition and product quality control of turmeric (Curcuma longa L.) .. Pharmaceutical Crops, Vol 2, pp. 28 - 54, 2011. 🠔
  35. [35] E. Gonzales and M. Gómez .Terpene compounds in nature: a review of their potential antioxidant activity.. Current Medicinal Chemistry., Vol 19, n° 31, pp. 5319 – 5341, 2012. DOI: https://doi.org /10.2174/092986712803833335 [URL] 🠔
  36. [36] A., Amalraj, A., Pius, S., Gopi, and S Gopi,. .Biological activities of curcuminoids, other biomolecules from turmeric and their derivatives–A review.. Journal of traditional and complementary medicine, Vol 7, n° 2, pp. 205 – 233, 2017. DOI: https://doi.org/10.1016/j.jtcme.2016.05.005 [URL] 🠔
  37. [37] Y., Manolova, V., Deneva, Antonov, L., E., Drakalska, D., Momekova, and N. Lambov, .The effect of the water on the curcumin tautomerism: A quantitative approach.. Spectrochimica Acta Part A: Molecular and Biomolecular Spectroscopy, Vol 132, pp. 815 - 820, 2014. DOI: https://doi.org/10.1016 /j.saa.2014.05.096 [URL] 🠔
  38. [38] A., Galano, R., Álvarez-Diduk, M. T., Ramírez-Silva, G., Alarcón-Ángeles, and A. Rojas-Hernández, .Role of the reacting free radicals on the antioxidant mechanism of curcumin.. Chemical Physics, Vol 363 n° 1-3, pp. 13 - 23, 2009. DOI: https://doi.org/10.1016/j.chemphys.2009.07.003. [URL] 🠔
  39. [39 C.] Araujo, and Leon, L. «Biological activities of Curcuma longa L». Mem. Inst. Oswaldo Cruz. Vol 96, n° 5, pp. 723 - 728, 2001. DOI: http://dx.doi.org/10.1590/S0074-02762001000500026 [URL] 🠔
  40. [40] D.Tami, and J. Restrepo, .Extracción de curcumina a partir de rizomas de Curcuma longa y su incorporación en nanoemulsiones (O/W) de grado alimentario.. Tesis. Universidad del Valle. 2017. 🠔
  41. [41] A.K, T. and İ. Gülçin, .Antioxidant and radical scavenging properties of curcumin.. Chemico-biological interactions, Vol 174, n° 1, pp. 27 - 37, 2008. DOI: https://doi.org/10.1016/j.cbi.2008.05.003 [URL] 🠔
  42. [42] T., Kita, S., Imai, H., Sawada, H., Kumagai, and H. Seto, .The Biosynthetic Pathway of Curcuminoid in Turmeric (Curcuma longa) as Revealed by 13C Labeled Precursors.. Bioscience. Biotechnology and Biochemistry. Vol 72, n° 7, pp. 1789 – 1798, 2008. DOI: https://doi.org/10.1271/bbb.80075 [URL] 🠔
  43. [43] O., Schneider, Gordon, R., Edwards, and P. Luis, .Degradation of Curcumin: From Mechanism to Biological Implications.. Agric Food Chem. Vol 63, n° 35, pp. 7606 - 7614. 2015. DOI: https:// C., doi.org/ 10.1021/acs.jafc.5b00244 🠔
  44. [44] M. Hossain, and Y. Ishimine, .Effects of farmyard manure on growth and yield of turmeric (Curcuma longa L.) cultivated in dark-red soil, red soil and gray soil in Okinawa, Japan.. Plant Production Science. Vol 10. N° 1, pp. 146 - 150, 2007. DOI: https://doi.org/10.1626/pps.10.146 [URL] 🠔
  45. [45] M., Llano, .Establecimiento de los protocolos de poscosecha para la obtención de una harina de Cúrcuma longa con estándares de calidad internacional.. Tesis. Corporación Universitaria Lasallista. 2016. 🠔