Revista Colombiana de Química
0120-2804
2357-3791
Universidad Nacional de Colombia
Colombia
https://doi.org/

Recibido: 22 de marzo de 2020; Revision Requested: 12 de junio de 2020; Aceptado: 25 de julio de 2020

Biosorción de plomo (II) en solución acuosa con biomasa de los cladodios de la tuna (Opuntia ficus indica)

Biosorption of lead (II) in aqueous solution with biomass of prickly pear cladodes (Opuntia ficus indica)

Biossorção de chumbo (II) em solução aquosa com biomassa de cladódios de pera espinhosa (Opuntia ficus indica)

C. Lavado Meza, M. Sun-Kou, T. Castro Arroyo, H. Bonilla Mancilla,

Escuela de Ingeniería Ambiental, Facultad de Ingeniería, Universidad Continental, Huancayo, Perú. Universidad Continental Perú
Sección Química, Departamento Académico de Ciencias, Pontificia Universidad Católica del Perú, Av. Universitaria 1801, Lima, Perú. Pontificia Universidad Católica del Perú Perú
Facultad de Ingeniería Ambiental, Universidad Alas Peruanas, Huancayo, Perú. Universidad Alas Peruanas Perú
Facultad de Ciencias Forestales y del Ambiente, Universidad Nacional del Centro del Perú, Huancayo, Perú. Universidad Nacional del Centro del Perú Perú

carmencita.lavado@pucp.pe

Resumen

Se investigó la remoción de plomo de soluciones acuosas por biomasa de los cladodios de la tuna (BCT), una especie abundante en la sierra peruana. Las propiedades físicas y químicas de la BCT se determinaron por técnicas de FTIR y SEM/EDX. El análisis FTIR confirmó la presencia de grupos –OH, CO–C, C=O y –NH2, los cuales interactuarían con el metal. La micrografía SEM reveló que la morfología superficial de la BCT tiene porosidad adecuada para la biosorción. En un sistema discontinuo se obtuvo la más alta capacidad de biosorción (qe) con una relación masa BCT/volumen de 4 g/L, pH 4,5 y tiempo de contacto de 1 h. La biosorción siguió un modelo cinético de pseudo-segundo orden y el proceso de difusión intraparticular fue el factor principal de control de la velocidad. Los datos en el equilibrio fueron correlacionados con cinco modelos (Langmuir, Freundlich, Temkin, D-R y Redlich-Peterson) y se ajustaron mejor al modelo de Langmuir, lo que indica que el proceso se realiza en centros activos energéticamente homogéneos, el valor de qe máxima fue 50,25 mg/g. Los resultados obtenidos demuestran que la BCT puede ser usada como biosorbente eficiente para el tratamiento de aguas contaminadas con Pb (II).

Palabras clave

biosorbente, metales pesados, remoción, tratamiento de aguas.

Abstract

The removal of lead from aqueous solutions by the biomass of prickly pear cladodes (BCT), a species found in abundance in the Sierra region in Peru, was investigated. The physical and chemical properties of BCT were determined by FTIR and SEM/EDX techniques. The FTIR analysis confirmed the presence of –OH, C–O–C, C=O and –NH2 groups which would interact with the metal. The SEM micrograph revealed that the surface morphology of the BCT shows adequate porosity for biosorption. In a discontinuous system, the highest biosorption capacity (qe) was obtained with a BCT mass/volume ratio of 4 g/L, pH 4.5 and 1 h of contact time. Biosorption followed a pseudo-second order kinetic model and the intraparticle diffusion process was the main factor controlling speed. Data at equilibrium were correlated using five models (Langmuir, Freundlich, Temkin, DR, and Redlich-Peterson) and were better fitted to the Langmuir model, which would indicate that the process is carried out in energetically homogeneous active centers, the value of qe maximum was 50.25 mg/g. The results obtained demonstrate that BCT can be used as an efficient biosorbent for the treatment of waters contaminated with Pb (II).

Keywords

biosorbents, heavy metals, removal, water treatment.

Resumo

Investigou-se a remoção de chumbo de soluções aquosas pela biomassa de cladódios de pera espinhosa (BCT), espécie encontrada em abundância na região da Sierra, no Peru, e as propriedades físicas e químicas do BCT foram determinadas por técnicas de FTIR y SEM/EDX. A análise por FTIR confirma a presença dos grupos –OH, C–O–C, C=O e –NH2 que interagem com o metal; a micrografia SEM revela que a morfologia da superfície do BCT mostra porosidade adequada para biossorção. Em um sistema descontínuo, a maior capacidade de biossorção (qe) foi obtida com uma relação massa/volume de BCT de 4 g/L, pH 4,5 e tempo de contato 1 h. A biossorção seguiu um modelo cinético de pseudo-segunda ordem e o processo de difusão intrapartículas foi o principal fator de controle da velocidade. Os dados em equilíbrio foram correlacionados usando cinco modelos (Langmuir, Freundlich, Temkin, DR e Redlich-Peterson) e foram melhor ajustados ao modelo de Langmuir, o que indicaria que o processo é realizado em centros ativos energeticamente homogêneos, o valor de qe o máximo foi de 50,25 mg/g. Os resultados obtidos demonstram que o BCT pode ser usado como um biossorvente eficiente para o tratamento de águas contaminadas com Pb (II).

Palavras-chave

biossorventes, metais pesados, remoção, tratamento de água.

Introducción

Las actividades humanas, a través de los procesos industriales y agrícolas, causan degradación de la calidad del agua superficial y subterránea, lo que genera problemas relacionados con el suministro de agua potable o tratamiento de aguas residuales [1]. Los metales pesados están presentes en muchas aguas residuales provenientes de la industria y son considerados uno de los grupos contaminantes más peligrosos, debido a su baja biodegradabilidad, su alta toxicidad a baja concentraciones y su capacidad para acumularse en diferentes organismos [2]. En este grupo, el plomo es un metal tóxico con la capacidad de biomagnificarse en el medio ambiente y causar daños en la salud [3].

Ahora bien, el río Mantaro, uno de los más importantes en la región de Junín, Perú, viene siendo contaminado por efluentes industriales no tratados que contienen principalmente plomo, provenientes de la actividad minera, industria más importante en la región. Las aguas de este río son usadas en el riego de tierras de cultivo en las cuales se han detectado altas concentraciones de Pb (II) de hasta 1013 mg/kg, mayor al estándar de calidad ambiental (70 mg de Pb/kg). Esto no solo da lugar a la contaminación del suelo, sino también a una elevada absorción de metales pesados por las plantas de cultivo, lo que afecta la calidad y la inocuidad de los alimentos.

Tal situación ha motivado el desarrollo de esta investigación, ya que urge plantear alternativas de tratamiento de las aguas residuales que minimicen el impacto negativo hacia la población y el ecosistema de la región. Los métodos convencionales utilizados para la remoción metales pesados son coagulación-floculación, filtración con membrana, precipitación química e intercambio iónico. Muchas veces, estos tratamientos resultan onerosos e ineficientes, especialmente, cuando la concentración de los metales es muy baja; además producen gran cantidad de lodos [4].

En particular, la adsorción ha mostrado ser una técnica eficiente para purificar el agua, eliminando bajos niveles de contaminantes y suele ser ventajosa en términos de simplicidad, rentabilidad y producción mínima de lodos [5]. Algunos investigadores consideran la biosorción una subcategoría de la adsorción, donde el sorbente es una matriz biológica denominada biosorbente [6]. Estos trabajos, que pueden encontrarse en diferentes bases de datos en los últimos años, permiten considerar a la biosorción como un prometedor método de tratamiento para la remoción de metales pesados presentes en soluciones acuosas, usando biomateriales disponibles en la naturaleza. Dicha remoción se logra debido a la interacción entre los iones metálicos con los grupos funcionales presentes en la superficie del biomaterial [7].

Para la presente investigación, se encontró que los estudios indexados en bases de datos se hicieron utilizando diversos materiales como biosorbentes y que los preferidos son aquellos económicamente asequibles, tales como los residuos agroindustriales y los que se encuentren en abundancia en determinadas regiones [8,9]. Entre estos materiales se encuentra la tuna (Opuntia ficus indica), una especie de naturaleza xerófila, de la familia de los cactáceas [10], nativa de México, pero naturalizada en toda la cuenca mediterránea y las zonas templadas de América, África, Asia y Oceanía. En América del Sur y, en especial, en Perú, esta planta se encuentra en abundancia en la región de Junín, es decir, en la zona de sierra [11].

Los frutos de esta planta son consumidos copiosamente por los pobladores de la región; sin embargo, la planta no es considerada de valor comercial. El interés por darle mayor valor agregado motivó el presente estudio, cuyo objetivo se centró en el uso de la biomasa proveniente de los cladodios de la tuna (BCT) como posible biosorbente en la remoción de Pb (II). Para ello, se estudió la influencia de las variables que afectan más sensiblemente al proceso, como el pH, la relación masa biomasa/volumen y la concentración inicial de Pb (II) sobre la capacidad de biosorción. Se realizó la caracterización química y morfológica de la BCT y se correlacionaron los datos experimentales cinéticos y de equilibrio del proceso de biosorción con modelos matemáticos establecidos con el fin de determinar el posible mecanismo de la biosorción del plomo sobre la BCT.

Materiales y Métodos

Preparación del biosorbente y de las disoluciones de Pb (II)

Los cladodios completos (cáscara y mucílago) de la tuna fueron recolectados en el distrito de Pilcomayo, en la región de Junín, Perú, cuyas coordenadas geográficas son: 12º03'28,04” latitud norte, 75º15'32,48” longitud oeste y altitud de 3215 msnm. Para la eliminación de impurezas, los cladodios se lavaron con abundante agua destilada, se retiraron las espinas y se cortaron en trozos pequeños. Posteriormente, se secaron en un horno a 60 °C durante 72 h. La biomasa seca fue molida y tamizada con un tamiz certificado ASTM de acero (malla 70 µm). De esta manera, se obtuvo la biomasa de los cladodios de la tuna (BCT). Las soluciones de Pb (II) fueron preparadas disolviendo una cantidad predeterminada de solución patrón, preparada a partir de la sal de nitrato de plomo, Pb(NO3)2, (Scharlau, Lead (II) grade ACS, 99,5%) en agua desionizada. Se trabajó con un rango de concentraciones iniciales de plomo de 55-484 mg/L.

Caracterización del biosorbente

Los grupos funcionales en el biosorbente fueron identificados por espectroscopía infrarroja, con transformadas de Fourier (FTIR) en un Espectrofotómetro SHIMADZU FTIR-8700. Para el análisis de cada muestra, se utilizaron 0,002 g de biosorbente y 0,2 g de KBr (se usó una balanza KERN ADB 600-C3, con incertidumbre ± 0,019). Luego, la muestra se pulverizó en un mortero de ágata, se secó en una estufa a 60 °C durante 48 h y se analizó en el espectrofotómetro en la región 4000-400 cm-1.

El análisis morfológico y la determinación de la composición elemental del biosorbente se llevaron a cabo en un microscopio electrónico de barrido, marca Hitachi modelo SU 8230Evo15, que tiene acoplado el sistema de dispersión de energía de rayos X (SEM/EDX). La determinación de los grupos ácidos en el bioadsorbente se llevó a cabo siguiendo el método Boehm, descrito por Aygün et al. [12], en el que se emplea una base fuerte, como el NaOH, para neutralizar los centros ácidos presentes en la superficie de la BCT.

Para determinar el punto de carga cero (pHPCC) se procedió de acuerdo con lo reportado por Moghazy et al. [13]. Para ello se preparó una serie de soluciones con diferentes pH, mezclando 50 mL de agua destilada en cada solución, con 0,1 g de BCT en un matraz Erlenmeyer con tapa. El pH de la solución en cada recipiente fue ajustado con soluciones de NaOH 0,1 M y HCl 0,1 M. La mezcla en cada Erlenmeyer se mantuvo en agitación constante (150 rpm) durante 15 min. Trascurrido este tiempo, se evaluó el pH final (pHf). Se graficaron los valores de ΔpH (ΔpH = pHo – pHf) frente al pH inicial (pHo). El punto de carga cero (pHPCC) se obtuvo de la gráfica, cuando ΔpH = 0.

Ensayo de biosorción

La biosorción de los iones de Pb (II) desde soluciones acuosas se llevó a cabo en un sistema discontinuo, utilizando una serie de Erlenmeyer de 100 mL. Los parámetros de velocidad de agitación (150 rpm) y temperatura (20 °C) se mantuvieron constantes para todos los casos. Para el estudio del efecto de la relación masa/volumen de BCT en el proceso de biosorción, se mezclaron, en cada Erlenmeyer, 50 mL de una solución de 55 mg/L de Pb (II), con una masa diferente de BCT que varió entre 1 y 8 g/L. Para determinar el tiempo de equilibrio, se trabajó a diferentes intervalos de tiempo, en un rango de 1-180 min, con una relación masa/volumen de 4 g/L. Los resultados de Pb (II) adsorbido fueron graficados en función el tiempo, lo que permitió obtener una curva cinética, que fue analizada para determinar el tiempo de equilibrio.

El estudio de la influencia del pH se realizó ajustando el pH de la solución inicial de plomo en el rango 2-6, utilizando soluciones de NaOH (0,1 M) y HNO3 (0,1 M). Los parámetros usados y el procedimiento seguido fueron similares a los realizados para el estudio de la masa/volumen, pero se mantuvo constante la relación masa/volumen de BCT en 4g/L. Finalizado el tiempo de equilibrio, los resultados fueron graficados y analizados.

Para obtener la isoterma de adsorción, se realizó un procedimiento similar, manteniendo en este caso una cantidad fija del bioadsorbente de 4 g/L y variando las concentraciones iniciales de plomo en el rango 55-484 mg/L de Pb (II). En cada Erlenmeyer, la mezcla de la solución de plomo con el biosorbente se mantuvo en agitación durante el tiempo de equilibrio determinado en el primer procedimiento. Todos los demás parámetros se mantuvieron constantes.

Con los resultados de la concentración de plomo adsorbidos durante la biosorción, se graficaron los valores de la capacidad de biosorción en el equilibrio (qe) versus la concentración final de plomo en el equilibrio (Ce), de esta manera se obtuvo la isoterma de biosorción en el equilibrio. En todos los casos, finalizado el tiempo de contacto del plomo con el bioadsorbente, las fases sólida y líquida se separaron por filtración, utilizando papel filtro Wattman N° 40. Las fases líquidas que contienen la concentración residual de Pb (II) no retenida por la BCT, fueron analizadas por absorción atómica, empleando un espectrofotómetro marca SHIMADZU modelo AAS 6800, a longitud de onda de 283,3 nm. La cantidad de iones de plomo retenidos por el biosorbente o capacidad de biosorción (qe, mg/g) y el porcentaje de remoción (%R) se calcularon mediante las ecuaciones 1 y 2, respectivamente.

Donde Co y Ce son la concentración inicial y en equilibrio de iones de plomo (mg/L) en la solución, antes y después de la biosorción, respectivamente; M es la masa del biosorbente (g); V es el volumen de la solución (L).

Modelos matemáticos

Con la finalidad de evaluar la cinética del proceso de biosorción de plomo sobre la BCT, los resultados cinéticos experimentales fueron correlacionados con los siguientes modelos: pseudo primer orden, pseudo segundo orden propuesto por Ho and McKay, Elovich y difusividad intraparticular propuesto por Weber y Morris [14], cuyas formas linealizadas se expresan mediante las ecuaciones 3, 4, 6 y 7, respectivamente [15].

Donde qt y qe son las cantidades de ion plomo retenido por unidad de masa de biosorbente en un tiempo t y el retenido en el equilibrio, respectivamente (mg/g); k1 es la constante cinética del modelo de pseudo-primer orden (1/min); k2 (g/mg min) es la constante de velocidad del modelo de pseudo segundo orden; h es la tasa de sorción inicial (mg/g min); ∝ es la velocidad inicial de adsorción (mg/g min) y β’ está relacionada con la superficie cubierta y la energía de activación por quimisorción (g/mg); kid es la constante de velocidad de difusión intraparticular (mg/g min1/2) y B es una constante relacionada con el espesor de la capa límite del adsorbente (mg/g).

La prueba chi cuadrado no lineal (X2) [16] se usó como herramienta estadística para evaluar la precisión de los modelos cinéticos de adsorción, donde los valores de X2 de menor magnitud indican buena aproximación entre el modelo y los resultados experimentales. El valor de X2 fue calculado usando la ecuación 8.

Donde qexp es la capacidad de adsorción experimental y qteórico es la capacidad de adsorción aplicando el modelo (mg/g).

Los modelos de isotermas de biosorción se utilizaron para evaluar el comportamiento que se produce en el proceso de retención de los iones Pb (II) en la superficie del biosorbente, una vez alcanzadas las condiciones de equilibrio. Para ello, se correlacionaron los resultados experimentales de qe y Ce con cinco modelos de isotermas de adsorción [5], como se señala a continuación.

Modelo de la Isoterma de Langmuir

Donde qe es la capacidad de biosorción de Pb (II)en el equilibrio (mg/g); Ce es la concentración del Pb (II) en el equilibrio (mg/L), qmax y b son las constantes de Langmuir, relacionadas con la máxima capacidad de biosorción (mg/g) y la afinidad entre el sorbente y el sorbato (L/mg), respectivamente. Adicionalmente, se utilizó la constante adimensional llamada factor de separación (RL), según muestra la ecuación 10, donde el valor de RL describe la naturaleza del proceso de adsorción: no favorable (RL>1), lineal (RL=1), favorable (0<RL<1) o irreversible (RL=0).

Donde Co es la concentración inicial de Pb en (II) la solución.

Modelo de la Isoterma de Freundlich

Donde qe es la capacidad de biosorción en el equilibrio (mg/g); Ce es la concentración de equilibrio del Pb (II) en la fase líquida (mg/L), Kf es la constante de equilibrio de la isoterma de Freundlich (mg/g(L/mg)1/n) y n es una constante adimensional relacionada con la afinidad entre el adsorbente y el adsorbato.

Modelo de la Isoterma de Temkin

Este modelo asume que el calor de adsorción de las moléculas en la capa adsorbida disminuye linealmente con el cubrimiento debido a la interacción adsorbente-adsorbato y la adsorción es caracterizada por una distribución uniforme de las energías de ligadura, el modelo de Temkin es descrito por su forma lineal mediante la ecuación 12 [17].

Donde qe es la capacidad de adsorción o cantidad de Pb (II) adsorbido en el equilibrio Importar imagen, R es la constante universal de los gases (kJ/mol K), T es la temperatura absoluta (K), KT es la constante de equilibrio de Temkin (L/g), Ce es la concentración del soluto en el equilibrio ( Importar imagen) y B´ es la variación de la energía de adsorción (J/mol).

Modelo de la Isoterma de Dubinin-Radushkevich (D-R)

Este modelo es usado para mostrar la naturaleza del proceso de adsorción: física o química [18]. El modelo está representado por la ecuación 13.

Donde qe es la capacidad de adsorción o cantidad de soluto adsorbido en el equilibrio (mg/g), ΒDR (mol2/kJ2) es la constante relacionada con la energía de adsorción, qmax es la capacidad máxima de saturación teórica (mg/g) y ε es el potencial de Polanyi, el cual es obtenido mediante la ecuación 14.

Donde R (J/mol K) es la constante universal de los gases, T(K) es la temperatura de la solución y Ce la concentración de Pb2+ en el equilibrio. La energía de adsorción se puede determinar mediante la ecuación 15.

Este valor es útil para determinar el tipo de proceso de adsorción. La adsorción física, el intercambio iónico y la adsorción química ocurren a los valores: E < 8 kJ/mol, E = 8-16 kJ/mol y E > 16 kJ/mol, respectivamente.

Modelo de la Isoterma de Redlich-Peterson

Es un modelo de tres parámetros que considera las características de las isotermas de Langmuir y Freundlich en una sola, indicando que el mecanismo de adsorción es una combinación de ambas isotermas [19], se expresa mediante la ecuación 16.

Donde qe es la capacidad de biosorción en el equilibrio Importar imagen, Ce es la concentración del soluto remanente en el equilibrio (mg/L), KRP (L/g) y αRP son las constantes de Redlich-Peterson, el valor de β varía entre 0 y 1, con dos comportamientos limitantes: cuando β=1, la ecuación 16 se reduce a la ecuación de Langmuir y, cuando β=0, la ecuación se transforma en la ecuación de Henry.

Aseguramiento de la calidad

Para asegurar la precisión y reproducibilidad de los datos recopilados, todos los frascos, matraces y recipientes de vidrio se mantuvieron en remojo durante 24 h, en una solución de HNO3 al 5%; después se enjuagaron dos veces con agua destilada y se secaron al horno. Todos los experimentos se realizaron por triplicado y se reportaron sus respectivas medias (no se muestran los valores individuales por limitación de espacio). Los gráficos se realizaron a partir de una hoja de cálculo de Microsoft Excel (versión 2016) y en ellos se muestran, por cada corrida experimental, las desviaciones estándar respectivas.

Resultados y Discusión

Caracterización de la BCT con FTIR, SEM/EDX, método Boehm y pHPCC

Se determinaron los grupos funcionales que se encuentran presentes en el biosorbente (BCT), mediante el análisis del espectro FTIR, dichos grupos desempeñan un rol importante en la remoción de muchos contaminantes orgánicos e inorgánicos. Según Oré et al. los grupos funcionales hidroxilo y carbonilo confieren al biosorbente propiedades hidrofílicas, porque incrementan la interacción específica ion-dipolo y dipolo-dipolo [20]. En la Figura 1, puede observarse la banda ancha en el rango espectral de 3000-3600 cm-1, que se atribuye a la deformación de los grupos funcionales hidroxilo y grupos amino [21,22] La señal detectada a 2927 cm-1 corresponde a la vibración asimétrica del enlace C–H, la banda a 1726 cm-1 se atribuye a la deformación del CO y a 1664,5 cm-1, se origina por las vibraciones del enlace C=C aromático. La señal a 1033 cm-1 se atribuye a la deformación simétrica de alquiléteres y éteres C–O–C presentes en los polisacáridos [1]. Las bandas a 1583,4 y 1321,1cm-1, correspondientes al estiramiento y deformación respectivamente, de enlaces tipo C–N presentes en aminas aromáticas [4].

Figura 1.

Figura 1.

La presencia de los grupos funcionales hidroxilo (OH), carbonilo (C=O), éteres C–O–C en grupos aromáticos y aminas aromáticas en la estructura lignocelulósica del biosorbente confiere a la BCT capacidad para interactuar con los cationes del plomo. El espectro obtenido fue similar a los reportados por Barka et al. y Belayneh y Batu y de otro material lignocelulósico a base de pepas de mango, reportado por Moyo y Pakade [16,23,24].

Las características morfológicas de la BCT se muestran en las micrografías de la Figura 2. Como puede observarse en la Figura 2a, antes del proceso de biosorción, la BCT presentaba una morfología bastante irregular, con aparentemente agrupaciones de láminas dispersas que forman cavidades de tamaño heterogéneo (posibles poros), las cuales podrían ofrecer condiciones favorables para la retención del ion metálico (Pb2+). Los cambios morfológicos después del proceso de biosorción con la solución de plomo muestran la formación de aglomerados de láminas más compactas, donde la superficie es más homogénea y con menos presencia de cavidades (Figura 2b). Estos resultados se asemejan a los reportados por Nharingo y Moyo, quienes reportaron micrografías SEM de los polvos generados a partir de cladodios de cactus secos, en la forma de partículas polidispersas con paredes colapsadas y de estructura aglomerada debido a efectos electrostáticos y fuerzas de Van der Waals [4].

En la Figura 2c, se presenta el análisis de energía dispersiva de rayos X (EDX) de la BCT y, como puede observarse en la composición elemental inicial del material, no se observa presencia de Pb (II); pero sí de otros elementos como carbono, oxígeno, magnesio, potasio, calcio y fósforo. Por otro lado, la señal de Pb (II) que aparece en el gráfico EDX, después de la biosorción (Figura 2d), evidencia el plomo retenido por la BCT en el proceso de biosorción.

Figura 2.

Figura 2.

A partir de la Figura 3, se determinó gráficamente el pHPCC. Como puede observarse, la curva intercepta el eje pHo a pH 4,2 (pHPCC = 4,2) lo cual indica que la superficie de la BCT se carga positivamente a pH<4,2 y negativamente a pH>4,2. Por tanto, una solución de pH>pHPCC favorece la atracción electrostática de los iones Pb2+ [13].

Finalmente, se determinó experimentalmente la cantidad de grupos ácidos, mediante el método Boehm, el cual demostró que la BCT posee una acidez total superficial de 7,34 mmol de H+/g que puede deberse a la presencia de los grupos funcionales reportados en el análisis del espectro FTIR (Figura 1), los cuales podrían interactuar con los iones de plomo.

Figura 3.

Figura 3.

Estudio del pH

Estudios reportados por Joseph et al. muestran que el pH es un factor muy importante en la biosorción de metales pesados ya que afecta en la especiación del metal en solución acuosa, este parámetro, además, podría modificar la carga superficial, la concentración de los iones en los grupos funcionales y el estado de ionización del adsorbente [25]. Se estudió el efecto del pH sobre la capacidad de biosorción del plomo sobre la BCT (Figura 4). A pH<6, el plomo puede encontrarse predominantemente en su forma catiónica divalente (Pb2+), a pH más básico, comienzan a formarse especies de plomo hidrolizadas, como Pb(OH)+, Pb(OH)2 y Pb(OH)3- [1], por tal motivo el experimento se realizó hasta pH 6.

Figura 4.

Figura 4.

Puede observarse que, para todas las concentraciones iniciales de Pb2+ estudiadas, la capacidad de biosorción aumenta inicialmente de pH = 2 a pH = 4,5 y, después de este valor, decae ligeramente. A medida que aumenta el pH inicial del sistema, el número de sitios con carga positiva disminuye; al tiempo que el número de sitios con carga negativa aumenta en la superficie de la BCT. A pH = 2, la eficiencia en la retención del ion metálico en la BCT es baja debido a la presencia de concentraciones más altas de H+ en la solución, que compiten con los iones Pb2+ por los sitios activos en la superficie del biosorbente.

A medida que aumenta el pH, la repulsión electrostática disminuye, debido a la reducción de la densidad de carga positiva de los protones en los sitios de adsorción, lo que produce mejor biosorción de Pb2+ en la matriz [26]. Dicha biosorción también puede atribuirse a las interacciones entre el Pb2+ y los grupos funcionales identificados por FTIR (Figura 1) en la superficie de la BCT, como los carboxilatos (–COOH) e hidróxidos (–OH), que actúan como sitios de adsorción para el Pb2+. Su capacidad para actuar como sitios de adsorción se ve afectada significativamente por el pH de la solución, ya que la constante de disociación (pKa) de estos grupos funcionales (carboxílicos y fenólicos) varía de 3,5 a 5,5, lo que significa que la mayoría de estos grupos se desprotonará en este rango de pH y que el número de sitios con carga negativa disponibles se incrementará para la adsorción [27].

Para comprender mejor este proceso, se midió el pH después de la biosorción (Figura 7b). Así, puede observarse que, en todo el rango estudiado, el pHfinal para todas las concentraciones iniciales de Pb es menor, en comparación con la muestra sin plomo (muestra en blanco). Esto se debe a la mayor liberación de H+, lo que conduce a un decrecimiento del pHfinal, lo cual, a su vez, corrobora la predominancia de las reacciones de intercambio iónico.

Por otro lado, tomando en cuenta el pHPCC 4,2 de la BCT, la carga superficial del adsorbente es negativa cuando el pH>pHPCC, por lo que la adsorción del Pb2+ en forma catiónica se ve favorecida a pH mayores a 4,2 [25], tal como puede evidenciarse en la Figura 7. Esto sugiere presencia significativa de fuerzas electrostáticas en el proceso de adsorción de Pb2+ sobre la BCT. Resultados similares fueron reportados por Guyo et al. y Miretzky et al. [15,28].

Efecto de la relación masa/volumen del biosorbente

La Figura 5 muestra que el aumento de la relación masa/volumen (dosis) del biosorbente produce un aumento en el rendimiento de la biosorción, de 63 a 98%, cuando la dosis de la BCT se incrementa de 2 a 4 g/L. Este incremento en el rendimiento podría deberse a un aumento en el número de sitios de adsorción posibles en el biosorbente. Un aumento adicional en la relación masa/volumen de la biomasa sobre 4,0 g/L no condujo a una mejora significativa en el rendimiento de la biosorción. Esto podría explicarse como consecuencia de una aglomeración parcial de biomasa, que lleva a una disminución en el área de superficie específica efectiva para la biosorción [28]. Un comportamiento similar fue reportado en la eliminación de iones Pb (II), utilizando otros tipos de biosorbentes como cáscaras de maní, macroalgas y residuos de melón [29-31].

Figura 5.

Figura 5.

Tiempo de contacto y estudio cinético

Se realizaron los ensayos cinéticos con la finalidad de determinar el tiempo de contacto necesario para alcanzar las condiciones de equilibrio, las curvas cinéticas experimentales fueron representadas por la variación de la capacidad de adsorción (qt) en el tiempo (t). Se trabajó para cada punto con concentraciones iniciales del adsorbato entre 93,5 y 160 mg/L, con una relación masa/volumen de 4 g/L de biosorbente (Figura 6).

Figura 6.

Figura 6.

En las curvas mostradas en la Figura 6, pueden distinguirse tres partes: en la primera, en el corto período inicial, se aprecia una gran adsorción, evidenciado por el incremento el valor de qt, debido a los sitios activos vacíos rápidamente ocupados por los iones Pb+2 [6]. En la segunda parte, el proceso de biosorción continúa en menor cantidad; mientras que en la tercera, los valores de qt no varían apreciablemente. Esto significa que la capacidad de biosorción se está estabilizando hacia un equilibrio, porque, según Srivastava et al., los sitios activos estarían ocupados en casi todos los sitios de adsorción [17]. La condición de equilibrio se alcanza luego de 1 h de contacto, motivo por el cual todos los puntos de la isoterma se llevaron a cabo con este tiempo de contacto. Resultados similares fueron reportados por Guyo et al. y Moyo et al., al estudiar la remoción de Pb con la biomasa, proveniente de los residuos de las plantas de maíz y pepas de mango, respectivamente [15,24].

El estudio cinético de la biosorción se utiliza para comprender mejor la dinámica que presentan los iones metálicos en la superficie biosorbente, Aghababai et al. mencionan que, a través de los modelos cinéticos, se identifican los posibles mecanismos que se llevan a cabo en el proceso de biosorción [6].

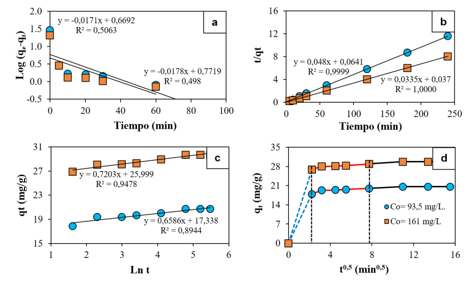
Los parámetros cinéticos calculados luego de graficar son:

1. Log (qe-qt) frente al tiempo (t) (Figura 7a, modelo de seudo primer orden).

2. t/qt frente al tiempo (t) (Figura 7b, modelo de seudo segundo orden).

3. qt frente a ln(t) (Figura 7c, modelo Elovich).

4. qt frente a t1/2 (Figura 7d, modelo de difusión intraparticular).

Los resultados de la comparación de los datos experimentales con los diferentes modelos planteados inicialmente presentan en la Tabla 1, donde la correlación con del modelo cinético de seudo segundo orden presentó valores del coeficiente de correlación (R2) muy cercanos a la unidad y los más bajos valores de X2 de 0,244 y 0,017, para concentraciones iniciales de 93,5 y 161 mg/L, respectivamente, en comparación con los resultados obtenidos utilizando el modelo seudo primer orden, cuyos valores de X2 fueron más altos.

Lo anterior significa que el proceso de biosorción sobre la BCT siguió una cinética de seudo segundo orden. De acuerdo con este modelo, puede establecerse que la biosorción de Pb (II) sobre BCT depende, principalmente, de los sitios de adsorción disponibles, los cuales pueden darse por fisisorción o quimisorción [26,32]. Siguiendo el mismo procedimiento, se encontró que los coeficientes de correlación (R2), utilizando el modelo de Elovich, están alrededor de 0,9, lo que indica la formación de una quimisorción del adsorbato en la superficie del biosorbente [33].

Figura 7.

Figura 7.

Con respecto a la correlación, utilizando el modelo de difusión intraparticular en la biosorción con BCT (Figura 7d), se observa que el proceso de adsorción se lleva a cabo en tres etapas: la primera muestra una pendiente más pronunciada, atribuida al rápido transporte de masa de los iones de plomo desde la solución a la superficie externa del BCT, lo que contribuye a una biosorción instantánea. En la segunda etapa, la pendiente es menos pronunciada, lo que se asocia al transporte de los iones plomo dentro de la interlámina (difusión intraparticular) y el medio orgánico. En esta etapa la difusión es controlada por la velocidad, la cual se reduce con respecto a la primera etapa, por la disminución de la concentración remanente en la solución del Pb (II). Finalmente, la tercera etapa es atribuida a la condición de equilibrio, donde la velocidad es menor en comparación con las anteriores etapas, debido a la baja concentración del adsorbato remanente en la solución [17,32].

Tabla 1.

Modelo Parámetros Co = 93,5 mg/L Co = 161 mg/L
Seudo primer orden qmax (mg/L) 5,91 4,67
k1 (1/min) 0,04 0,04
R2 0,50 0,50
X2 976,57 1664,57
Seudo segundo orden qe 30,12 20,53
k2 (g/mg min) 0,33 0,04
h (mg/g min) 303,03 15,79
R2 1,00 1,00
X2 0,24 0,02
Elovich Importar imagen(g/mg) 1,52 1,39
α (mg/g min) 25,90 37,75
R2 0,89 0,95
X2 3,17 0,01
Difusión intraparticular Kid (mg/g min1/2) 0,32 0,31
B (mg/g) 26,60 17,80
R2 0,81 0,67
X2 0,32 0,16

Isoterma de biosorción de plomo

La Figura 8 muestra la isoterma de biosorción de Pb (II). La forma cóncava de la curva de la isoterma indica la alta afinidad del adsorbato por el adsorbente [29]. Esta se asemeja a la isoterma del modelo tipo L, según la clasificación de Giles [34], lo que sugiere una saturación progresiva del sólido, sin alcanzar una capacidad límite (por formación de una meseta).

Figura 8.

Figura 8.

Tabla 2.

Langmuir qmax (mg/g) 50,25
b (L/mg) 0,08
RL 0,72
R2 0,99
Freundlich n 4,26
KF (mg/g(L/mg)1/n) 13,46
R2 0,99
Temkin B´ (J/mol) 369,38
KT (L/g) 4,59
R2 0,94
D-R BDR (mol/KJ)2 1,68
E (KJ/mol) 223,61
R2 0,99
Redlich -Peterson KRP (L/g) 23,14
β 0,87
αRP (L/mg) 2,85
R2 0,99

Los parámetros de equilibrio determinados con los diferentes modelos de isotermas se obtuvieron luego de comparar los datos experimentales con los arrojados por la ecuación lineal de cada modelo. En la Tabla 2, puede observarse que el alto valor R2 indica que el modelo de Langmuir es el que define mejor la sorción de Pb (II). Adicionalmente, puede observarse que el parámetro β del modelo de Redlich-Peterson tiene el valor de 0,87 (muy cercano a 1), lo cual permite confirmar que el comportamiento del adsorbente se asemeja más al modelo de Langmuir.

Estos resultados indican que los centros de adsorción poseen una energía homogénea que disminuye linealmente con el cubrimiento, debido a la interacción electrostática adsorbato-adsorbente. Las constantes del modelo de Langmuir (qmax y la constante b) reflejan una alta afinidad de BCT por los iones de plomo. El proceso de adsorción de Pb (II) sobre la BCT podría considerarse una biosorción, en la cual no existe interacción entre las moléculas adsorbidas y todos los sitios de adsorción en la superficie del adsorbente tienen la misma probabilidad de ser ocupados [35,36].

En la Tabla 2 también se observa que los valores RL y n son 0,72 y 4,26, respectivamente. Esto sirve para indicar una adsorción favorable de Pb (II) sobre la BCT. Se determinó el valor de la capacidad máxima de 50,25 mg/g. Los resultados experimentales fueron comparados con los obtenidos por otros autores [37,38], quienes reportaron los resultados de la biosorción de plomo con residuos de la poda de olivo y algas pardas, respectivamente, con un comportamiento similar al obtenido en este trabajo y sus resultados se ajustaron mejor al modelo de Langmuir.

Para determinar el tipo de biosorción, los resultados de la isoterma también se correlacionaron con el modelo D–R. La energía libre media de biosorción (E) fue de 223,61 kJ/mol, lo que implica que el proceso de remoción de Pb (II) presente en las soluciones acuosas es la quimisorción [31]. Finalmente, los valores de los parámetros de la isoterma de Temkin (Tabla 2) sugieren una distribución uniforme de la energía de adsorción entre el adsorbato y el adsorbente [39].

En comparación con otros estudios de biosorción de Pb (II) reportados en la literatura (Tabla 3), los valores de qmax demuestran que el material biosorbente BCT tiene un gran potencial para la eliminación del Pb (II) del medio acuoso.

Tabla 3.

Material biosorbente qmax (mg/g) Referencia
Cáscara de maní 49,4 [40]
Colonias gelatinosas de algas 44 [41]
Bagazo de agave 35,60 [42]
Cáscara de pepino 28,25 [43]
Cáscara de maní 27,03 [45]
Cáscara de almendra 26,55 [45]
Biomasa de colza 21,29 [1]
Este estudio 50,25 --

Conclusiones

Se estudió la biosorción de los cladodios de la tuna para remover Pb (II) de soluciones acuosas. Los espectros de FTIR de la BCT corroboraron la presencia de los grupos funcionales amino, hidroxilo y carboxilo en la superficie del biosorbente, los cuales estarían involucrados en la formación de posibles complejos con los iones Pb (II). La biosorción de Pb es dependiente del pH y de la relación masa BCT/volumen. La capacidad de biosorción más alta se logró a pH 4,5 y 4 g/L, respectivamente. Los resultados experimentales de la biosorción en condiciones de equilibrio se ajustaron mejor al modelo de la isoterma de Langmuir (R2 = 0,994), lo que indicaría que los centros de adsorción poseen una energía de adsorción homogénea que disminuye linealmente con el cubrimiento debido a la interacción electrostática adsorbato-adsorbente. Además, se determinó que la capacidad de máxima de biosorción de la BCT fue de 50,25 mg/g. Los resultados cinéticos se ajustaron mejor al modelo de seudo segundo orden (R2 = 1, X2 = 0,02 y 0,24), lo que indica que la biosorción depende principalmente de los sitios de adsorción disponibles.

Del análisis de los resultados obtenidos, la biosorción de plomo sobre la BCT podría explicarse principalmente por dos mecanismos: intercambio iónico (quimisorción) e interacción electrostática (fisisorción). Se encontró que la BCT tiene capacidad moderada de adsorción de Pb (II), por lo que puede considerarse un adsorbente ecológico potencial y eficiente, que puede ser usado para el tratamiento de aguas residuales que contengan plomo.

Agradecimientos

Los autores agradecen al Dr. Clemente Luyo de la Universidad Nacional Ingeniería por la facilidad para realizar los análisis SEM/EDX y a la Ing. Edith Solano de la Universidad Nacional del Centro del Perú por los análisis AAs realizados.

Referencias

  1. [1] I. Morosanu, C. Teodosiu, C. Paduraru, D. Ibanescu y L. Tofan, “Biosorption of lead ions from aqueous effluents by rapeseed biomass”, New Biotechnology, Vol. 39, pp. 110-124, 2017. DOI: https://doi.org/10.1016/j.nbt.2016.08.002 [URL] 🠔
  2. [2] M. Renu y K Singh, “Heavy metal removal from wastewater using various adsorbents: A review”, J. Water. Reuse. Desal., Vol. 7, n° 4, pp. 387-419, 2017. 🠔
  3. [3] P. Lentini, L. Zanoli, M. de Cal, A. Granata, y R. Dell’Aquila, “Chapter 222 - Lead and Heavy Metals and the Kidney”. En Critical Care Nephrology (Tercera Edición), C. Ronco, R. Bellomo, J. A. Kellum, y Z. Ricci, Eds. Philadelphia: Elsevier, 2019, pp. 1324-1330.e1. 🠔
  4. [4] T. Nharingo y M. Moyo, “Application of Opuntia ficus-indica in bioremediation of wastewaters. A critical review”, Journal of Environmental Management, Vol. 166, 55-72, 2016. DOI: http://dx.doi.org/10.1016/j.jenvman.2015.10.005 [URL] 🠔
  5. [5] M. Fomina y M. Gadd, “Biosorption: current perspectives on concept, definition and application”, Bioresource Technology, vol. 160, pp. 3-14, 2014. DOI: https://10.1016/j.biortech.2013.12.102 [URL] 🠔
  6. [6] A. Aghababai y A. Esmaeili, “Biosorption, an efficient method for removing heavy metals fromindustrial effluents: A review”,Environmental Technology & Innovation, Vol. 17, pp. 100503, 2020. DOI: https://doi.org/10.1016/j.eti.2019.100503 [URL] 🠔
  7. [7] C. Mangwandi, T. Agustion y A. Albadarin, “Comparative biosorption of chromium (VI) using chemically modified datepits (CM-DP) and olive stone (CM-OS): Kinetics, isotherms and influence of co-existing ions”, Chemical Engineering Research and Design, vol. 151, pp. 251-262, 2020. DOI: https://doi.org/10.1016/j.cherd.2020.01.034 [URL] 🠔
  8. [8] I. Anastopoulos, I. Pashalidis, A.Hosseini-Bandegharaei, D. Giannakoudakis, A. Robalds, M. Usman,L. Bel, Y. Zhou, J. Colmenares, A.Nuñe y E.Claudio, “Agricultural biomass/waste as adsorbents for toxic metaldecontamination of aqueous solutions”, Journal of Molecular Liquids, vol. 295, pp. 111684, 2019. DOI: https://doi.org/10.1016/j.molliq.2019.111684 [URL] 🠔
  9. [9] J. Mo, Q. Yanga, N. Zhang,W. Zhang, Y. Zheng y Z. Zhang, “A review on agro-industrial waste (AIW) derived adsorbents for water andwastewater treatment”, Journal of Environmental Management, vol. 227, pp. 395-405, 2018. DOI: https://doi.org/10.1016/j.jenvman.2018.08.069 [URL] 🠔
  10. [10] F. León-Martínez, L. Méndez-Lagunas y J. Rodríguez-Ramírez, “Spray drying of nopal mucilage (Opuntia ficus-indica): Effects on powder properties and characterization”, Carbohydrate Polymers, vol. 81, pp. 864-870, 2010. DOI: https://10.1016/j.carbpol.2010.03.061 [URL] 🠔
  11. [11] V. Marín, L. Rodríguez, H. Niemeyer , “A socio-ecological model of the Opuntia scrublands in the Peruvian Andes”, Ecological Modelling, vol. 227, pp. 136-146, 2012. DOI: https://doi.org/10.1016/j.ecolmodel.2011.12.010 [URL] 🠔
  12. [12] A. Aygün, S.Yenisoy-Karakaş e I. Dumana, “Production of granular activated carbon from fruit stones and nutshells and evaluation of their physical, chemical and adsorption properties”, Microporous and Mesoporous Materials, vol 6, pp. 189-195, 2003. DOI: https://doi.org/10.1016/j.micromeso.2003.08.028 [URL] 🠔
  13. [13] R. Moghazy, A. Labena y Sh. Husien, “Eco-friendly complementary biosorption process of methylene blue using micro-sized dried biosorbents of two macro-algal species (Ulva fasciata and Sargassum dentifolium): Full factorial design, equilibrium, and kinetic studies”, International Journal of Biological Macromolecules, vol. 134, pp. 330-343, 2019. DOI: https://doi.org/10.1016/j.ijbiomac.2019.04.207 [URL] 🠔
  14. [14] N. Negm, M. Abd El Wahed, A. Hassan y M. Kana, “Feasibility of metal adsorption using brown algae and fungi: Effect of biosorbents structure on adsorption isotherm and kinetics”, Journal of Molecular Liquids, vol. 264, n° 15, pp. 292-305, 2018. DOI: https://doi.org/10.1016/j.molliq.2018.05.027 [URL] 🠔
  15. [15] U. Guyo, J. Mhonyera y M. Moyo , “Pb (II) adsorption from aqueous solutions by rawand treated biomass of maize stover - Acomparative study”, Process Safety and Environmental Protection, vol. 93, pp. 192-200, 2015. DOI: http://dx.doi.org/10.1016/j.psep.2014.06.009 [URL] 🠔
  16. [16] K. Foo y B. Hameed, “Hameed Insights into the modeling of adsorption isotherm systems”, Chemical Engineering Journal, vol. 156, pp. 2-10, 2010. DOI: https://doi.org/10.1016/j.cej.2009.09.013 [URL] 🠔
  17. [17] S. Srivastava, S. Agrawal y M. Mondal, “Biosorption isotherms and kinetics on removal of Cr(VI) using nativeand chemically modified Lagerstroemia speciosa”, Ecological Engineering, vol. 85, pp. 56-66, 2015. DOI: http://dx.doi.org/10.1016/j.ecoleng.2015.10.011 [URL] 🠔
  18. [18] A. Gunay, E. Arslankaya e I. Tosun, “Lead removal from aqueous solution by natural and pretreated clinoptilolite: Adsorption equilibrium and kinetics”, Journal of Hazardous Materials, vol. 146, pp. 362-371, 2007. DOI: http://dx.doi.org/10.1016/j.jhazmat.2006.12.034 [URL] 🠔
  19. [19] J. Piccin, G. Dotto y L. Pinto, “Adsorption isotherms and thermochemical data of red n° 40 binding by chitosan”, Brazilian Journal of Chemical Engineering, vol. 28, n° 02, pp. 295-304, 2011. 🠔
  20. [20] F. Oré, C. Lavado y S. Bendezú, “Biosorción de Pb (II) de aguas residuales de mina usando el marlo de maíz (Zea mays)”, Rev. Soci. Quim. del Perú, vol. 81, n° 2, pp. 122-126, 2015. 🠔
  21. [21] A. Peláez-Cid, I. Velázquez-Ugalde, A. Herrera-González y J. García-Serrano, “Textile dyes removal from aqueous solution using Opuntia ficus-indica fruit waste as adsorbent and its characterization”, Journal of Environmental Management, vol. 130, pp. 90-97, 2013. DOI: http://dx.doi.org/10.1016/j.jenvman.2013.08.05 [URL] 🠔
  22. [22] N. Barka, M. Abdennouri, M. El y S. Qourzal , “Biosorption characteristics of cadmium and lead onto eco-friendly dried cactus (Opuntia ficus-indica) cladodes”, J. Environ. Chem. Eng., vol. 1, pp. 144-49, 2013. DOI: http://dx.doi.org/10.1016/j.jece.2013.04.008 [URL] 🠔
  23. [23] A. Belayneh y W. Batu, “Application of biosorbent derived from cactus peel for removal of colorful manganese ions from ground water”, J. Water Resour.Ocean. Sci., vol. 4, pp. 18-23, 2015. DOI: http://dx.doi.org/10.11648/j.wros.20150401.13 [URL] 🠔
  24. [24] M. Moyo y V. Pakade, “Biosorption of lead(II) by chemically modified Mangifera indica seed shells: Adsorbent preparation,characterization and performance assessment” Process Safety and Environment Protection, vol. 111, pp. 40-51, 2017. DOI: http://dx.doi.org/10.1016/j.psep.2017.06.007 [URL] 🠔
  25. [25] L. Joseph, J. Byung-Moon Jun, F. Joseph, CH. Min Park e Y. Yoon, “Removal of heavy metals from water sources in the developing world using low-cost materials: A review”, Cremosphere, vol. 229, pp.142-159, 2019. DOI: https://doi.org/10.1016/j.chemosphere.2019.04.198 [URL] 🠔
  26. [26] M. Petrovica, T. Sostaric, M. Stojanovica, J. Petrovica, M. Mihajlovic, A. Cosovic y S. Stankovic, “Mechanism of adsorption of Cu2+ and Zn2+ on the cornsilk (Zea mays L.)”, Ecological Engineering, vol. 99, pp. 83-90, 2017. DOI: http://dx.doi.org/10.1016/j.ecoleng.2016.11.057 [URL] 🠔
  27. [27] G. Blázquez, M. Calero, A. Ronda, G. Tenorio y M. Martín-Lara, “Study of kinetics in the biosorption of lead onto native and chemically treated olive stone”, Journal of Industrial and Engineering Chemistry, vol. 20, n° 5, pp. 2754-2760, 2014. DOI: https://doi.org/10.1016/j.jiec.2013.11.003 [URL] 🠔
  28. [28] P. Miretzky, C. Muñoz y A. Carrillo-Chávez, “Experimental binding of lead to a low cost on biosorbent: Nopal (Opuntia streptacantha)”, Bioresource Technology, vol. 99, pp.1211-1217, 2008. DOI: https://doi:10.1016/j.biortech.2007.02.045 [URL] 🠔
  29. [29] S. Taşar, F. Kaya y A. Özer, “Biosorption of lead (II) ions from aqueous solution by peanut shells: Equilibrium, thermodynamic and kinetic studies”, Journal of Environmental Chemical Engineering, vol. 2, pp. 1018-1026, 2014. DOI :https://doi.org/10.1016/j.jece.2014.03.015 [URL] 🠔
  30. [30] W. Ibrahim, “Biosorption of heavy metal ions from aqueous solution by red macroalgae” Journal of Hazardous Materials, vol. 192, pp. 1827 -1835, 2011. DOI: https://doi.org/10.1016/j.jhazmat.2011.07.019 [URL] 🠔
  31. [31] S. Tunali, S. Arslan, T. Alp, D. Arslan y T. Akar, “Biosorption potential of the waste biomaterial obtained from Cucumis melo for the removal of Pb2+ ions from aqueous media: Equilibrium, kinetic, thermodynamic and mechanism analysis”, Chemical Engineering Journal, vol. 185-186, pp. 82-90, 2012. DOI: https://doi.org/0.1016/j.cej.2012.01.032 [URL] 🠔
  32. [32] G. Saha, I. Hoque, M. Mamun, R. Holzec, D. Chowdhury, S. Khandaker y S. Showdhury, “Biosorptive removal of lead from aqueous solutions onto Taro (Colocasiaesculenta (L.) Schott) as a low cost bioadsorbent: Characterization, equilibria, kinetics and biosorption-mechanism studies” Journal of Environmental Chemical Enginering, vol. 5, n° 3, pp. 2151-2162, 2017. DOI: https://doi.org/10.1016/j.jece.2017.04.013 [URL] 🠔
  33. [33] Y. Liu e Y.J. Liu, “Biosorption isotherms, kinetics and thermodynamics”, Separation and Purification Technology, vol. 61, pp. 229-242, 2008. DOI: http://dx.doi.org/10.10 6/j.seppur.2007.10.002 [URL] 🠔
  34. [34] C. Giles, D. Smith, D. y A. Huitson, “A general treatment and classification of the solute adsorption isotherm. I.Theoretical”, Journal of Colloid and Interface Science, vol. 47, pp. 755-765, 1974. 🠔
  35. [35] B. Liu, W. Chen, X. Peng, Q. Cao, Q. Wang, D. Wang, X. Meng y G. Yu, “ Biosorption of lead from aqueous solutions by ion-imprintedtetraethylenepentamine modified chitosan beads” International Journal of Biological Macromolecules, vol. 86, pp. 562-569, 2016. DOI: http://dx.doi.org/10.1016/j.ijbiomac.2016.01.100 [URL] 🠔
  36. [36] F. Sandoval-Ibarra, J. López-Cervantes y J. Gracia-Fadrique, “Ecuación de Langmuir en líquidos simples y tensoactivos”, Educación Química, vol. 26, pp. 307-313, 2015. DOI: http://dx.doi.org/10.1016/j.eq.2015.03.002 [URL] 🠔
  37. [37] M. Calero, A. Pérez, G. Blázquez, A. Ronda y MA. Martín-Lara, “Characterization of chemically modified biosorbents from olive tree pruning for the biosorption of lead”, Ecological Engineering, vol. 58, pp. 344-354, 2013. DOI: http://dx.doi.org/10.1016/j.ecoleng.2013.07.012 [URL] 🠔
  38. [38] A. Iddou, M. Youcef, A. Aziz y M. Ouali, “Biosorptive removal of lead (II) ions from aqueous solutions using Cystoseira stricta biomass: Study of the surface modification effect”, Journal of Saudi Chemical Society, vol. 5, pp. 83-88, 2011. DOI: http://10.1016/j.jscs.2010.10.007 [URL] 🠔
  39. [39] E. Daneshvar, E. Kousha, M. Sohrabi, M. Khataee y A. Converti, “Biosorption of three acid dyes by the brown macroalga Stoechospermum marginatum: Isotherm, kinetic and thermodynamic studies”, Chemical Engineering Journal, vol. 195-196, pp. 297-306, 2012. DOI: https://doi.org/10.1016/j.cej.2012.04.074 [URL] 🠔
  40. [40] Abdelfattah I., Ismail A., Al Sayed F., Almedolab A. y K. Aboelghait, “Biosorption of heavy metals ions in real industrial wastewater using peanut husk as efficient and cost effective adsorbent”, Environ. Nanotechnol. Monit. Manag., vol. 6, pp. 176-183, 2016. DOI: https://doi.org/10.1016/j.enmm.2016.10.007 [URL] 🠔
  41. [41] H. Tran, N. Vu, M. Matsukawa, M. Okajima, T. Kaneko, K. Ohki y S. Yoshikawa, “Heavy metal biosorption from aqueous solutions by algae inhabiting rice paddies in Vietnam”, Journal of Environmental Chemical Engineering, vol. 4, n° 2, pp. 2529‐2535, 2016. DOI: http://dx.doi.org/10.1016/j.jece.2016.04.038 [URL] 🠔
  42. [42] L. Velázquez-Jiménez, Pavlick, A. y J. Rangel-Méndez, “Chemical characterization of raw and treated agave bagasse and its potential as adsorbent of metal cations from water” Ind. Crops Prod., vol. 43, pp. 200-206, 2013. DOI: https://doi.org/10.1016/j.indcrop.2012.06.049 [URL] 🠔
  43. [43] R. Pandey, N. Ansari, R. Prasad y R. Murthy, “Pb (II) removal from aqueous solution by Cucumis sativus (cucumber) peel: kinetic, equilibrium & thermodynamic study”, Am. J. Environ. Prot., vol. 2, pp. 51-58, 2014. DOI: https://doi.org/10.12691/env-2-3-1 [URL] 🠔
  44. [44] I. Abdelfattah, A. Ismail, F. Al Sayed, A. Almedolab y K. Aboelghait, “Biosorption of heavy metals ions in real industrial wastewater using peanut husk as efficient and cost effective adsorbent” Environ. Nanotechnol. Monit. Manag., vol. 6, pp. 176-183, 2016. DOI: https://doi.org/10.1016/j.enmm.2016.10.007 [URL] 🠔
  45. [45] A. Ronda, M. Martín-Lara, E. Dionisio, G, Blázquez y M. Calero, “Effect of lead in biosorption of copper by almond shell”, J. Taiwan Inst. Chem. Eng., vol. 44, pp. 466-473, 2013. DOI: https://doi.org/10.1016/j.jtice.2012.12.019 [URL] 🠔