Revista Colombiana de Química
0120-2804
2357-3791
Universidad Nacional de Colombia
Colombia
https://doi.org/

Recibido: 26 de enero de 2021; Revision Requested: 20 de abril de 2021; Aceptado: 21 de mayo de 2021

A dual perspective (conventional and solar-enhanced) on advanced oxidation processes for the treatment of Agave cocui vinasses

A dual perspective (conventional and solar-enhanced) on advanced oxidation processes for the treatment of Agave cocui vinasses

Uma perspectiva dupla (convencional e aprimorada com energia solar) nos processos de oxidação avançados para tratar vinassas de Agave cocui

J. Ferrer-Gutiérrez, J. Santos-Luna, J. Pérez-Rodríguez, J. Marcheno-Revilla, F. Cuenca-Mayorga,

Universidad Técnica de Machala (UTMach), Facultad de Ciencias Químicas y de la Salud, Av. Panamericana km 5 1/2 Vía a Pasaje, Machala, Ecuador. Universidad Técnica de Machala Ecuador
Universidad Técnica de Machala (UTMach), Facultad de Ciencias Químicas y de la Salud, Av. Panamericana km 5 1/2 Vía a Pasaje, Machala, Ecuador. Universidad Técnica de Machala Ecuador
Universidad Técnica de Machala (UTMach), Facultad de Ciencias Químicas y de la Salud, Av. Panamericana km 5 1/2 Vía a Pasaje, Machala, Ecuador. Universidad Técnica de Machala Ecuador
Universidad Técnica de Machala (UTMach), Facultad de Ciencias Químicas y de la Salud, Av. Panamericana km 5 1/2 Vía a Pasaje, Machala, Ecuador. Universidad Técnica de Machala Ecuador
Universidad Técnica de Machala (UTMach), Facultad de Ciencias Químicas y de la Salud, Av. Panamericana km 5 1/2 Vía a Pasaje, Machala, Ecuador. Universidad Técnica de Machala Ecuador

jferrer@utmachala.edu.ec

Abstract

Se caracterizó fisicoquímicamente la vinaza de Agave cocui con base en regulaciones ambientales de referencia. Se obtuvieron los siguientes resultados: DQO: 71 000 mg.L-1, sólidos totales: 21 000 mg.L-1, sólidos disueltos: 17 000 mg.L-1; pH: 4,06, conductividad: 9,45 mhos.cm-1, hierro total: 48,83 mg.L-1, fenoles totales: 8,66 mg.L-1; DBO: 30 000 mg.L-1. Se aplicaron las reacciones Fenton y foto Fenton para tratar las aguas residuales producidas. Para el proceso Fenton, las condiciones de oxidación óptimas encontradas fueron pH = 3,48, relación de masa [DQO]:[H2O2] = 1:5 y relación de masa [Fe+2]:[H2O2] = 1:6. Para el proceso foto Fenton, los parámetros óptimos encontraron fueron: pH = 3,98, [DQO]:[H2O2] = 1:7,86 y [Fe+2]:[H2O2] = 1:5. Los datos experimentales fueron ajustados a modelos de segundo orden polinomial con R2 = 0,88 para el proceso Fenton y R2 = 0,91 para el proceso foto Fenton, respectivamente. El lodo producido presentó las siguientes características: DQO promedio: 41 000 mg.L-1, hierro total: 296 000 mg.L-1, pH: 7,7. Las variables con mayor influencia en ambos procesos fueron [Fe+2]:[H2O2] and [DQO]:[H2O2].

Keywords

wastewater, Fenton reaction, sustainable processes, alternative energy.

Abstract

Agave cocui vinasse was physicochemically characterized with reference to the relevant environmental regulations. The following results were obtained: COD: 71,000 mg.L-1, total solids: 21,000 mg.L-1, dissolved solids: 17,000 mg.L-1; pH: 4.06, conductivity: 9.45 mhoscm-1, total Fe: 48.83 mg.L-1, total phenols: 8.66 mg.L-1; BOD: 30,000 mg.L-1. Fenton and photo-Fenton reactions were applied to treat the wastewater produced. For the Fenton process, the optimal oxidation conditions found were pH = 3.48, [COD]:[H2O2] mass ratio = 1:5, and [Fe+2]: [H2O2] mass ratio = 1:6. For the photo-Fenton process, the optimal parameters found were: pH = 3.98, [COD]:[H2O2] = 1:7.86, and [Fe+2]: [H2O2] = 1:5. The experimental data were adjusted to fit second order polynomial models with R2 = 0.88 for the Fenton process and R2 = 0.91 for the photo-Fenton process, respectively. The sludge produced featured the following characteristics: average COD: 41,000 mg.L-1, total Fe: 296,000 mg.L-1, pH: 7.7. The variables with the greatest influence in both processes were [Fe+2]:[H2O2] and [COD]:[H2O2].

Keywords

wastewater, Fenton reaction, sustainable processes, alternative energy.

Resumo

A vinhaça de Agave cocui foi caracterizada físico-quimicamente de acordo com as normas ambientais de referência. Os seguintes resultados foram obtidos: DQO: 71.000 mg.L-1, sólidos totais: 21.000 mg.L-1, sólidos dissolvidos: 17.000 mg.L-1; pH: 4,06, condutividade: 9,45 mhos.cm-1, Fe total: 48,83 mg.L-1, fenóis totais: 8,66 mg.L-1; DBO: 30,000 mg.L-1. As reações de Fenton e foto Fenton foram aplicadas para tratar a água residual produzida. Para o processo Fenton, as condições de oxidação ideais encontradas foram pH = 3,48, razão de massa [DQO]:[H2O2] = 1:5 e razão de massa [Fe+2]:[H2O2] = 1:6. Para o processo de foto Fenton, os parâmetros ideais encontrados foram: pH = 3,98, [DQO]:[H2O2] = 1:7,86 e [Fe+2]:[H2O2] = 1:5. Os dados experimentais foram ajustados para se adequar modelos polinomiais de segunda ordem com R2 = 0,88 para o processo Fenton e R2 = 0,91 para o processo foto Fenton, respectivamente. O lodo produzido apresentou as seguintes características: DQO média: 41.000 mg.L-1, Fe total: 296.000 mg.L-1, pH: 7,7. As variáveis ​​com maior influência em ambos os processos foram [Fe+2]:[H2O2] e [DQO]:[H2O2].

Palavras-chave

água residual, reação Fenton, processos sustentáveis, energia alternativa.

Introduction

Cocuy pecayero is a spiritous beverage that has been produced since pre-Hispanic times in the Pecaya parish, Sucre district, Falcón state, Venezuela. It is obtained by the fermentation and distillation of juices extracted from Agave cocui Trelease, of the Agavaceae family. The distilled product features organoleptic properties similar to those found in tequila, the world-renowned alcoholic beverage originating in Jalisco, Mexico [1]. The production of Cocuy pecayero generates high levels of wastewater. Wastewaters produced by the alcoholic beverages industry are known as vinasses. The vinasses generated by the manufacture of Cocuypecayero have high organic loads and acidic pH values [2], analogous to the complex wastewaters generated by conventional distilleries [3]. The production of Cocuy pecayero is reported to be approximately 200,000 L per annum, with the result that a significant volume of effluents is also generated; the average production ratio of vinasses is 12 L per L of Cocuy pecayero [4].

Effluents from the production of Cocuy pecayero are refractory to biological treatments, meaning that a wastewater treatment technique must be applied to achieve a higher degree of efficiency in related biochemical processes, e.g., degradation of stable substances of low degradability such as unfiltered Agave fibers, yeast biomass, residual sugars, acids, esters, higher alcohols, phenols, and pigments [5]. Wastewater treatments must also be appropriate to issues including economic factors (especially in relation to circular economies), operation in an industrial environment, low influence over efficiency, and safe discharging. A viable alternative to biological treatments involves chemical methods based on the application of reagents that turn organic pollutants into relatively harmless compounds such as carbon dioxide and water, through advanced oxidization processes (AOP), based on the production of reactive species e.g., the hydroxyl radical (OH●), which oxidize a wide range of organic pollutants regardless of their nature [6]. Thus, the application of chemical treatments to wastewaters generated by distillation processes is a viable method for countering pollution issues, taking into account technological, economic, and environmental factors. Among advanced oxidation processes, the Fenton reaction (Fe(II)/H2O2) and, particularly, the photo-Fenton reaction (Fe(II)/H2O2/UV), have garnered interest in the last few years for its efficiency in degrading a wide range of organic pollutants [7]. The oxidizing power of the Fenton reaction is attributed to the formation of hydroxyl radicals during the catalytic decomposition of H2O2 under acidic conditions, as described in Eq. (1) [8].

(1)

Once formed, Fe (III) reacts with the H2O2 to regenerate Fe(II) in a so-called Fenton type reaction; the sequence describing this process is depicted by Eq. (2), Eq. (3), and Eq. (4) [9].

(2)

(3)

(4)

Efficiency in degrading organic compounds is remarkably improved provided the Fenton reaction is aided by the incidence of visible and ultraviolet radiation, due to the regeneration of Fe(II) via Fe(III) photoreduction and the production of new hydroxyl radicals, as described by Eq. (5) and Eq. (6) [10].

(5)

(6)

In order to reach an efficient application of the photo-Fenton reaction, the concentration of each reagent involved in the degradation of organic pollutants must be optimized. To achieve this, previous studies reported the application of the multivariate response surface methodology, using a composite central factorial design and a quadratic polynomial model to adjust results [11, 12]. In this sense, systems dedicated to the treatment of wastewaters produced by the fermentation and distillation of the Agave cocui juice must be developed before it is discharged into the environment. Such treatments prepare the discharged wastewater to ensure it complies with the relevant environmental and legal standards, preserving sources of water suitable for human consumption and soil characteristics, as well as securing sustainable economic development, assuring the quality of the final product and strengthening the ecological image of this incipient artisanal industry and contributing in this way to the principles embodied in the concept of the circular economy. Thus, this study evaluates the degradation of vinasses produced by the distillation of Agave cocui juices, via Fenton and photo-Fenton reactions and using the response surface methodology. Moreover, this research explored the following specific objectives: (i) to characterize Agave cocui vinasses according to the parameters contained in standards of reference related to the classification and quality control of water bodies, liquid discharges, and effluents [13], in order to increase understanding of the waste to be treated and to recommend prior and posterior steps regarding advanced oxidation processes, (ii) to determine optimal pH, [COD]:[H.O.], and [H2O2]:[Fe+2] conditions both in terms of mass and mass ratio, to achieve advanced oxidation conditions for the degradation of Agave cocui vinasses via Fenton and photo-Fenton reactions, (iii) to compare Fenton and photo-Fenton processes in terms of organic load removal and kinetic parameters, (iv) to characterize the sludge produced in advanced oxidation processes, and (v) to compare the physicochemical parameters of the treated waste according to the optimal reaction conditions declared in the standards of reference.

Material and methods

Sample preparation

25 artisanal stills, registered with FUNDACITE Falcón (the Foundation for the Development of Science and Technology, Falcón state), were established as the study population. The stills were located in Pecaya, Sucre district, Falcón state, Venezuela. A purposive sampling was carried out in 4 stills producing “A type” Cocuy pecayero (i.e., liquor made without the addition of sugar during the fermentation stage). A composed sample consisting of a mixture of 3 L of vinasse taken from the 4 different sampling spots was prepared; producing a total volume of 12 L, which was stored in a 20 L high-density polyethylene container. The sampling procedure was carried out at the bottom of the still.

Experimental procedure

Fenton reaction

The composed sample was stored at 4 °C. The physicochemical properties in the sample were measured according to the criteria described in the standards of reference [13]. The average Chemical Oxygen Demand (COD) value was measured as the starting point to perform calculations pertaining to each experiment according to the [H2O2]:[Fe+2] ratio, the [COD]:[H2O2] ratio, and pH. In order to evaluate the removal of soluble COD, the crude vinasse was filtered and centrifuged at 5,000 rpm for 5 min and then diluted using a dilution factor of 10. Next, 50 mL of the diluted vinasse was transferred to a 250 mL beaker, at room temperature. The sample was stirred for 5 min until homogenization occurred. Subsequently, in order to regulate the pH value according to the experimental conditions, either H2SO4 or NaOH were added, followed by the required amount of FeSO4.7H2O, 0.5 M. Next, to ensure the dissolution of Fe+2 ions, the solution was stirred for 5 min before further agitation was carried out until the end of the reaction. Next, and sequentially, the required amounts of H2O2 30% w/v were added in 3 equal parts and at 20 min intervals up to completion of 1.5 h of reaction, to avoid the solution overheating (as the resulting reaction was exothermic) and the potential decomposition of free hydroxyl radicals (OH.) provoked by high temperatures. When the reaction time was over, a precipitation of Fe+3 (such as Fe(OH)3 and other complex ferric compounds) was observed, adjusting the final pH value to between 8 and 9; at these values, the lowest solubility for this chemical species was noted. After circa 15 h rest, and in the absence of light, the clarification stage was observed. The volume of sludge produced was measured in each experiment.

Photo-Fenton reaction

The experimental set-up was carried out under direct solar radiation between 12:00 and 14:00. The irradiance data yielded on the day of the experiment were measured using a UV radiometer. Total sun exposure time was 1.5 h [14,15]. The UV radiation value obtained was circa 25.15 Wm-2, a value near to that reported as “optimal [7].” The reactor used for the process had the following characteristics: 13 cm diameter and 500 mL (although the reacting mixture occupied only 50 mL of the available space). A specific energy value of 61.02 kJ·L-1 was determined for the cited reaction time. COD, residual H2O2, total residual iron, total phenols, and pH were determined for the resulting supernatant. To compare the effectiveness of each process separately, these parameters were determined once the Fenton and photo-Fenton reactions had ended and when the flocculation-coagulation stage was over. To avoid including the added H2O2 in the Fenton reagent, the obtained COD values were corrected using Eq. (7) [16].

(7)

Where:

COD: Chemical oxygen demand (corrected)

CODM: Measured chemical oxygen demand

Rp: Concentration of residual H2O2.

This equation was based on a study of the interference of H2O2 in the determination of COD, in order to avoid this intervention, which would have occurred using standard methods [16]. Finally, COD removal, in terms of efficiency ., was determined by Eq. (8):

(8)

Where:

η: efficiency

CODO: Sample chemical oxygen demand before the treatment

CODF: Sample chemical oxygen demand after the treatment

Statistical analysis and experimental design

A statistical analysis was performed using the StatGraphics Plus 5.1 package, based on the data obtained on COD removal at the following points: the experimental point, the (stationary) optimal point, and the analysis of variance, to set the corresponding mathematical model (9). The independent variables selected were pH, (COD):(H2O2) ratio, and (H2O2):(Fe) ratio; the response variable determined was the COD removal percentage. In order to determine whether the data obtained in both processes (Fenton and photo-Fenton) could be adequately modeled by a normal distribution, the Goodness-of-Fit Test (the Kolmogorov-Smirnov test), was applied to the result data yielded. The optimal points were chosen using the values for the physicochemical composition of the treated effluent and the amount of sludge produced in the overall process.

The residual sludge in each advanced oxidation process was analyzed to determine the volume, pH, COD, and total Fe. Once determined in the effluent treated under optimal conditions, these parameters were compared with the standards of reference [13]. A rotatable central composite design, widely used in this type of process [11, 12], was applied. Following the literature, the levels and variables under study (pH, [COD]:[H2O2] ratio, [H2O2]:[Fe+2] ratio) were selected to optimize the experimental procedure regarding time, an early approach to the optimal region, cost issues associated with the use of chemical reagents and a significant reduction in the number of experimental runs [17-19]. Table 1 depicts the experimental design, which consisted of a simple factorial design (experimental runs: 1 to 8), making it possible to identify the optimal region and discard the applicability of a lineal model. In addition, the experimental design array was prepared using 6 central points (experimental runs: 9 to 14) to minimize experimental errors, i.e., with a greater number of degrees of freedom, and subsequently 6 axial points (experimental runs: 15 to 20) providing rotatability properties to the experimental design (the variance of the predicted response by the constructed model depended on the distance to center of the experimental design). The experimental design featured 10 degrees of freedom.

Table 1. Central rotatable experimental design, with codified and natural variables

Table 1: Table 1.

Table 1 Table 1.
Codified variables Natural variables
Experimental run [H2O2]:[Fe+2] ratio (A) pH (B) [COD]:[H2O2] ratio (C) [H2O2]:[Fe+2] ratio (A) pH (B) [COD]:[H2O2] ratio (C)
1 - - - 4:1 3 1:2.5
2 - - + 4:1 3 1:6.5
3 - + - 4:1 4 1:2.5
4 - + + 4.1 4 1:6.5
5 + - - 8:1 3 1:2.5
6 + - + 8:1 3 1:6.5
7 + + - 8.1 4 1:2.5
8 + + + 8:1 4 1:6.5
9 0 0 0 6:1 3.5 1:4.5
10 0 0 0 6:1 3.5 1:4.5
11 0 0 0 6:1 3.5 1:4.5
12 0 0 0 6:1 3.5 1:4.5
13 0 0 0 6:1 3.5 1:4.5
14 0 0 0 6:1 3.5 1:4.5
15 -1.68 0 0 2.64:1 3.5 1:4.5
16 1.68 0 0 9.36:1 3.5 1:4.5
17 0 -1.68 0 6:1 2.66 1:4.5
18 0 1.68 0 6:1 4.34 1:4.5
19 0 0 -1.68 6:1 3.5 1:1.14
20 0 0 1.68 6:1 3.5 1:7.86

Results

Physicochemical characterization of Agave cocui vinasse

Due to its vegetal nature, vinasse has a high organic load. The suspended material is composed of fibers and residues of Agave cocui. However, after 24 h of resting time without the action of any coagulant-flocculant, the suspended material settled to the bottom and the solution was clarified. According to the standards of reference on the classification of the composition of liquid discharges, the physicochemical parameters of this effluent corresponded to the Group II, i.e., substances with unknown effects which may feature acute or chronic toxic effects on individuals, may affect the biota and is not suitable for further uses, given its high concentrations of carbonaceous organic matter (expressed in terms of COD or Biological Oxygen Demand - BOD) and suspended solids, in addition to atypical properties regarding color, temperature, pH, and other biological parameters [13]. Physicochemical characteristics analyzed in the composed sample of Agave cocui vinasse are presented in Table 2. All values are the average of 3 repetitions. Regarding data normality, since the smallest p-value amongst the tests performed (Kolmogorov-Smirnov test) over the data obtained in both processes was greater than or equal to 0.05 (0.55 for Fenton processes and 0.28 for photo-Fenton processes), the idea that the data obtained came from a normal distribution with 95% confidence was accepted, i.e., the data obtained can be adequately modeled by a normal distribution.

Table 2. Principal physicochemical characteristics in Agave cocui vinasses

Table 2: Table 2.

Table 2 Table 2.
Parameters X ± SD % CV Threshold
pH 4.06 0.01 0.37 6 – 9
COD (mg·L-1) 71,000 1,000 2.24 350
Total solids (mg·L-1) 21,560 78 0.36 -
Diluted solids (mg·L-1) 17,000 87 0.50 -
Suspended solids (mg·L-1) 4,410 9 0.19 80
Turbidity (NTU) 13,000 350 0.93 -
Chlorides (mg·L-1) 385.56 12 2.66 1,000
Total Fe (mg·L-1) 48.83 0.3 0.59 10
Nitrates (mg·L-1) 4.82 0.02 0.29 40
Sulfides (mg·L-1) 1,430 14 1.00 1,000
BOD (mg·L-1) 30,000 2,000 0.74 60
Conductivity (mhos·cm-1) 9,000 3,000 0.86 -
Biodegradability (BOD5/COD) 0.440 0.001 0.98 -
Total Cu (mg·L-1) 6.33 1.53 0.24 1
Total phenols (mg·L-1) 8.66 1.15 0.13 2

Optimization of operational conditions in the Fenton and photo-Fenton reactions

Table 3 shows the results for the treatment of Agave cocui vinasse via the Fenton and photo-Fenton processes. The removal percentages for the Fenton reaction and the photo-Fenton reaction were 72.39% and 82,75% respectively. During the Fenton and photo-Fenton oxidation processes, principally during the pH adjustment between 8 and 9, a large number of flocs of various sizes were observed. These flocs were identified as ferric complexes formed by chain reactions of ferrous and hydroxyl ions [20]. All the flocs and the residual sludge settled by gravity. In addition, the experimental data were fitted to second order models in terms of the coded variables. The Fenton process model (10) yielded R. = 0.88, meaning it can explain 88% of the cases studied. Similarly, in the case of the photo-Fenton process (11), the yield was R. = 0.91 after adjustments. The adjustments decreased the magnitude of the regression coefficient with the removal of terms with no statistical significance to reach the simplification of the model [12,21].

(10)

(11)

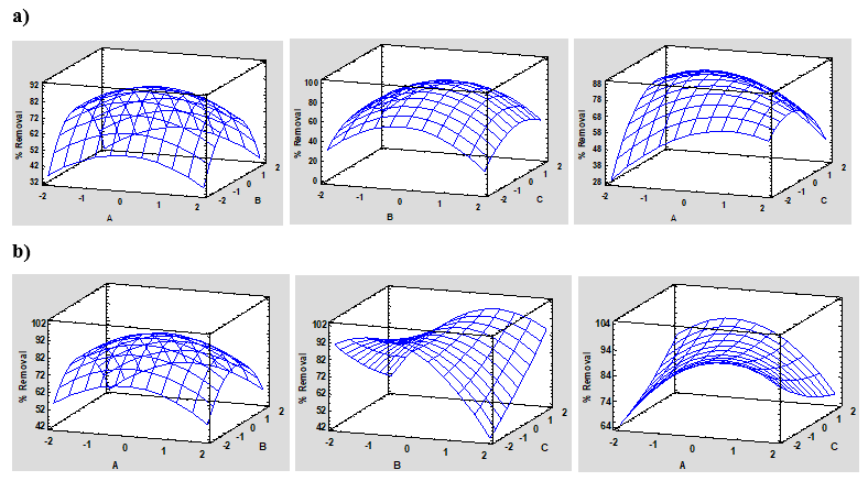
Figure 1 shows the estimated response surfaces for the proposed empirical mathematical models. A quadratic behavior of the variables involved was observed, and the optimal region was clearly denoted in every case. A lack-of-fit test was performed for the proposed equations, the p-values found for Fenton and photo-Fenton being 0.6 and 0.45, respectively. The test applied was carried out comparing the variability of the actual residues model with the variability between the observations in the replication of factors. Provided that the p-values for the lack-of-fit were greater than or equal to 0.05, they were considered appropriate to explain the observed data at a 95% confidence level.

Table 3. Experimental results for the treatment of Agave cocui vinasse via the Fenton and photo-Fenton processes

Table 3: Table 3.

Table 3 Table 3.
End of the Fenton reaction stage End of the photo-Fenton reaction stage
Run No. Residual H2O2 (mg·L-1) Effluent pH Sludge pH Sludge volume (mL) Effluent volume (mL) Total Fe (mg·L-1) COD (mg·L-1) Remo-val (%) Residual H2O2 (mg·L-1) Effluent pH Sludge pH Sludge volume (mL) Total Fe (mg·L-1) COD (mg·L-1) Remo-val (%)
1 680 9.46 9.06 9 36 20 3,000 62.3 170 6.45 9.06 14 1.5 936.68 86.77
2 136 10.38 10.21 10 43 10 1,000 79.64 34 7.4 10.21 15 3.8 1,000 78.98
3 136 10.56 10.3 8 41 30 3,000 63.64 34 6.5 10.3 12 4.1 2,000 71.15
4 272 7.59 4.9 9 54 20 2,000 68.64 68 7.95 4.9 16 4.2 982.7 86.12
5 272 7.17 5.16 9 51 30 2,000 75.3 68 6.47 5.16 13 3.6 921.8 86.98
6 408 7.49 6.39 6 56 10 3,000 61.93 102 6.89 6.39 16 2.6 2,000 71.61
7 680 6.96 4.94 9 53 20 3,000 61.68 170 7.96 4.94 12 4.3 2,000 76.33
8 136 6.83 5.79 8 49 20 2,000 66.64 34 7.38 5.79 11 2.5 1,000 79.63
9 272 6.62 3.91 10 47 20 1,000 83.9 68 6.66 3.91 10 1.8 774.6 89.06
10 136 8.04 7.17 9 50 20 1,000 84.21 34 8.04 7.17 12 2 800.0 88.7
11 272 7.09 6.2 9 54 20 1,000 83.89 68 7.1 6.2 13 3.1 713.7 89.92
12 272 9.3 9.54 8 53 20 1,000 83.85 68 7.4 9.54 13 2.35 713.7 89.92
13 136 7.85 8.21 11 48 10 1,000 83.96 34 7.34 8.21 11 1.01 848.9 88.01
14 136 7.82 7.09 7 42 20 1,000 84.25 34 7.82 7.09 9 2.21 796.5 88.75
15 136 7.1 6.83 13 41 10 2,000 69 34 7.1 6.83 10 1.95 2,000 74.42
16 544 7.9 6.81 6 48 20 2,000 75.29 136 7.9 6.81 13 2.55 1,000 81.77
17 136 8.51 8.45 9 57 30 3,000 56.78 34 6.01 8.45 12 3 2,000 75.54
18 544 7.76 8.75 14 60 10 3,000 61.94 136 7.76 8.75 11 1 2,000 69.34
19 408 7.83 8.79 11 59 30 3,000 63.25 102 7.23 8.79 12 2.94 919.7 87.01
20 272 8.77 6.15 10 52 30 2,000 77.64 68 6.95 6.15 12 4.4 355.4 94.98

a)

b)

Figure 1. Response surface graphs for the COD removal processes (a) Fenton and (b) photo-Fenton

Figure 1: Figure 1.

Figure 1 Figure 1.

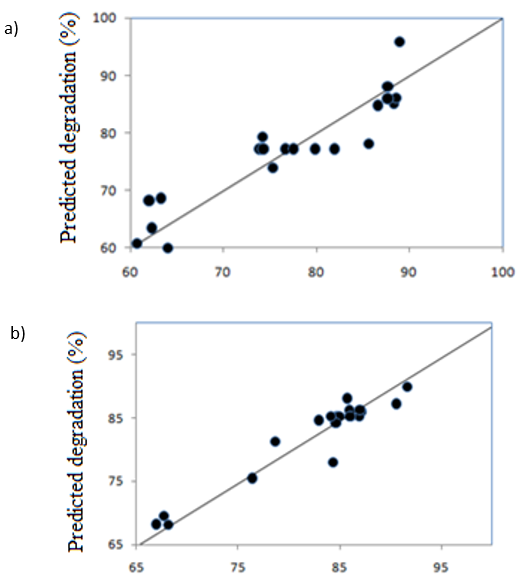
On the other hand, the effect of the [COD]:[H2O2] ratio was found to be significant for the Fenton process. This variable, in addition to establishing the technical costs, is related to removal efficiency, as demonstrated experimentally. For the photo-Fenton processes, the variables found to be most influential were, in relative order of importance, pH and [H2O2]:[Fe+2] ratio. No statistically significant influences were found for the [COD]:[H2O2] ratio, whereas the BC/(pH-[COD]:[H2O2]) interaction presented statistical significance. Concerning pH, the consensus found in the literature was that the optimal region was located around pH 4. Remarkably, coloration removal was observed in all treatments using both advanced oxidization techniques. The photo-Fenton process removed around 10% more organic matter than the Fenton process at the same length of total reaction time and under the same operational conditions. This evidenced the influence of solar light on the regeneration of Fe+2 radicals. In addition, the effluent parameters, Fe and residual H2O2, were improved due to the total consumption of H2O2, either because of the process reactions, photocatalytic decomposition, or by temperature influence. H2O2 decomposed into oxygen and water in the precipitation stage provoking bubbling, and resuspension of the iron particles occurred in the catalyst deposited in the treated effluent. Figure 2 depicts the precision of the constructed models for the prediction of the COD removal percentage against the actual measured values, both expressed in dimensionless variables. Little dispersion was observed for the points on the line of fit, which shows that the equations may, to a large extent, be used to estimate the percentage values of COD removal in the region not subject of experimental study.

Figure 2: Figure 2.

Figure 2 Figure 2.

Figure 3 depicts the Pareto diagrams featuring factors with a direct or inversely proportional effect over the analyzed response variable. The interactions extending to the right of the vertical blue line were those presenting a significant effect above the process efficiency. For Fenton and photo-Fenton processes alike, pH featured a sign (-), meaning that the lower pH values produce higher efficiencies in the evaluated interval [10].

Figure 3.

Figure 3: Figure 3.

Figure 3. Pareto diagrams for removal percentage of COD for (a) Fenton and (b) photo-Fenton

The contours derived from the response surface graphs for the evaluated regions are shown grouped in Figure 4. In both cases, the optimal region for removal was located near to the center of the experimental design. An increase in the COD removal percentage was observed as the [H2O2]:[Fe+2] ratio and the pH increased up to a point where a decrease in response occurred. Similarly, an increase in both the [COD]:[H2O2] and [H2O2]:[Fe+2] ratios near the optimal region produced a decrease in the response variable, as both species, when in excess, act as trappers of OH. radicals, which are precursors of oxidation reactions. Efficiency percentages increased with pH values of 3.5 to 4, alongside proportional increments for the [COD]:[H2O2] and [H2O2]:[Fe+2] ratios. The optimal values for the Fenton process, yielding a percentage of organic matter removal of 85.84%, were: pH, 3.48, [COD]:[H2O2] mass ratio, 1:5, and [Fe+2]:[H2O2] mass ratio, 1:6. The optimal values for the photo-Fenton process, yielding a percentage of organic matter removal of 96.45% were: pH=3.98, [COD]:[H2O2] mass ratio, 1:7,8, and [Fe+2]:[H2O2] mass ratio, 1:5. These values were located in the experimental region. An average percentage of removal of 87.37% for the Fenton process was found; according to the value predicted by the model and a residual H2O2 concentration of 286 mg.L-1 in the effluent and 9 mL of sludge. In the case of the photo-Fenton process, an average percentage of removal of 96.52% was found, according to the value predicted by the model and a residual H2O2 concentration of 56 mg.L-1 in the effluent and 11 mL of sludge. An increase of 10% was yielded for organic matter removal in vinasse when natural solar radiation was applied during the same timeframe as for the reaction without radiation exposure. However, sludge production was around 3% and 5% higher than in the Fenton process. This was the case in the experimental region, including within the optimal region.

Figure 4.

Figure 4: Figure 4.

Characterization of sludges

The average composition of the sludges produced was: 41,000 mg.L-1of COD, 296,000 mg.L-1of total Fe, pH of 7.7 and 0.96 mg.L-1of total phenols. As expected, this sludge featured high Fe content from the spent catalyst, and high content of organic matter deposited in the precipitation stage. According to the featured physicochemical composition, the effluent was slow-reactive, flammable and might be considered toxic. Comparatively, a higher amount of sludge was produced in the photo-Fenton process (around 12.35 mL per 50 mL of crude vinasse) than in conventional Fenton (around 9.25 mL per 50 mL of crude vinasse). This difference of circa 25% is related to the fact that the photo-Fenton yields a higher oxidation rate for Fe+2 to Fe+3 due to the influence of ultraviolet light; the latter is presented in the residual sludge at the end of the process [22]. As the sludge produced by both advanced oxidation processes had the same characteristics, namely flammability, corrosivity, reactivity, and toxicity, it is classified, according to the standard of reference, as waste “Type 2,” i.e., water-soluble, non-flammable, non-reactive, non-corrosive, non-irritating, non-toxic by inhalation, pH between 6 and 8 semi-solid or liquid materials, and wastes containing toxic elements in low concentrations. This type of waste is considered neither massively poisonous nor environmentally resilient; its hazard is related to its fluid condition, which makes it difficult to recover should a spilling event occur [13]. In the case of the Fenton process, the amount of total residual Fe in the whole experimental region featured values equal to or higher than the levels established by the environmental standards. Though the values for H2O2 in the effluent were not regulated by the standard of reference, significant quantities occurred in the effluent treated by the aforementioned technique. However, the H2O2 decomposed fairly easily. On the other hand, the concentration of total residual Fe remained below the allowable limit in the entire experimental region studied for the photo-Fenton process. Table 4 shows that, for the optimal reaction conditions, the concentration value was 2.8 mg.L-1. The difference between both processes may be explained by the residual H2O2 concentration for H2O2 decomposed during the course of the reaction in two ways: catalytic system and photocatalysis.

Table 4: Table 4.

Table 4 Table 4.
Parameters Before treatment After Treatment Maximum admissible value by the standards
pH 4.06 7.36 6 – 9
COD (mg.L-1) 71,000 4,000 350
Total solids (mg.L-1) 21,000 580 -
Diluted solids (mg.L-1) 17,000 390 -
Suspended solid (mg.L-1) 4,000 77 80
Turbidity (NTU) 12,000 1,000 -
Chloride (mg.L-1) 372 25 1,000
Total Fe (mg.L-1) 48.83 2.8 10
Nitrates (mg.L-1) 4.5 0.2 40
Sulfides (mg.L-1) 1,000 12 1,000
BOD (mg.L-1) 30,000 2,000 60
Conductivity (mhos.cm-1) 9,000 600 -
Biodegradability (BOD5/COD) 0.44 0.70 -
Total Cu (mg.L-1) 6.33 0.54 1
Total phenols (mg.L-1) 8.66 0.96 2

Discussion

Agave cocui vinasse features suspended solids in different concentrations that provide fluidity properties; it is a reddish-brown liquid of alcohol-caramel odor, with plentiful foam. Concomitantly, it is partially composed of natural pigments, acids, esters, furans, pyrans, aldehydes, long and short chain fatty acids, 2-methyl furoate, 5-hydroxymethyl furfural, higher alcohols, nitrogenous and sulfur compounds, inorganic salts, proteins, and amino acids, alongside suspended cells, and biomass [23]. The total solids in Agave cocui vinasse were slightly lower than those reported for tequila vinasses, probably due to different operational practices [24]. Suspended solids in the vinasse studied were above the allowable limit established in the standard of reference, representing 20.45% of total solids. This justifies pretreatment steps (filtration, equalizing, sedimentation, flocculation), where a significative amount of the organic load was removed. Conversely, COD and BOD are relevant parameters in a liquid effluent, both provide significant information, e.g., the organic matter content and waste biodegradability. COD and BOD are indicators of secondary treatment processes that should be applied. The average value for COD in Agave cocui vinasse was 71,000 mg.L-1, higher than the values for tequila [25, 26]. The results obtained exceeds the maximum allowable by the standard of reference of 350 mg.L-1 [13]. Although the effluent was rich in organic matter potentially subject to consumption by microorganisms, the biodegradability index (BOD/COD ratio), was 0.44, expressing its low microbial capacity for degradation and showing how viable the application of chemical oxidation processes can be as a means of pretreatment, especially when compared to biological alternatives, as the toxicity and resilience of the compounds presented in the vinasse would hamper the initiation of the operation and the capacity to buffer high organic loads in a bioreactor. The average experimental pH value in the sample confirmed the values reported, explaining the corrosive capacity of the vinasse [3,27]. Moreover, this property is common in vinasses generated from different raw materials, e.g., sugar cane (pH = 4.08) and sugar beet (pH = 4.8) [28,29]. Results obtained for chlorides and nitrates were 385 mg·L-1 and 4.82 mg·L-1, respectively, values higher that the admissible limits. However, there were significant average concentrations of sulfates of around 1,000 mg·L-1, above the admissible value. Sulfate is a non-toxic permanent ion, which at higher concentrations might unbalance the natural sulfur cycle [30]. The high values yielded of total Fe may be associated with precarious manufacturing practices used in the production of Agave cocui (rusted tanks and metallic drums). It is important to monitor initial concentrations, since the Fenton reagent may add additional amounts of Fe to the waste, which may be a critical issue in the application of the treatments studied. When admissible limits are not reached, additional removal stages, i.e., ion exchange, stone-sand filters or polyelectrolyte addition should be added at the end of the process, which may increase costs. Values four times higher than those established in the standards of reference were found for total phenols, toxic compounds that limit further biological treatments. In the Fenton process the variables with the highest degree of influence in the removal percentage of COD were, according to their relative importance and quadratic values, as follows: pH, [COD]:[H2O2] ratio and [H2O2]:[Fe+2] ratio. This explains the importance of ensuring the proper ratio between the catalyzer (Fe+2) and the OH. producer (H2O2). Unsuitable ratios of these components may cause issues involving the generation and spontaneous consumption of hydroxyl radicals [31,32]. Considering the basic reactions involved in the Fenton process, undue amounts of H2O2 enhance Fe+3 to react with it to produce ferric complexes. Hydroxyl radicals, required for oxidation purposes, are not generated, whereas non-optimal amounts of Fe+2 directly limit the production of the hydroxyl radicals, negatively impacting the overall process yield.

According to the results found, pH was one of the factors with higher influence in the efficiency in Fenton and photo-Fenton reactions. The optimal range to remove chemical compounds is between 3 and 4. However, optimal pH values of around 7 have also been reported [17,33]. The inhibition of the Fenton process due to the influence of the pH might be explained by the following : (i) under an extremely low pH value (pH<2), the [Fe(H2O)]+2 formed reacts with H2O2, decreasing the production of OH. [34], (ii) the inhibition effect of the H. ions on OH. radicals assume higher importance under low pH values, (iii) Fe+3 and the H2O2 reaction is inhibited under low pH conditions [35], (iv) at pH values higher than 4.5, the absence of H. inhibits the decomposition of the H2O2 resulting in lower production of hydroxyl ions, (v) at pH values higher than 5, H2O2 decomposes into water and oxygen; in addition, the formation of Fe complexes begins, deactivating the catalyzer [36], (vi) the oxidation potential of OH. decreases as the pH value increases. The H2O2 amounts are a critical variable of the process, the OH. amount produced being directly dependent on it. Nevertheless, an excess of H2O2 provokes Fe flocculation due to the oxygen produced during self-decomposition and contributes to higher concentrations of Fe in the effluent and higher amounts of residual H2O2, which could cause issues in further biological treatments [37]. The only statistical significances found in the interaction between parameters was the AC ([H2O2]:[Fe+2]-[COD]:[H2O2]) interaction, reflecting the importance of setting the optimal catalyst doses for the removal percentage of COD. The optimal [Fe+2]:[H2O2] ratios found in this study were higher than the recommended 1:14 ratio for the removal of COD [10]. However, it was similar to an optimal ratio reported of 1:4 for COD removal [12]. This shows that high doses of Fe+2 are required to reach higher removal degrees of organic matter; excesses may, though, block the OH. radicals. A treatment for vinasses requires proper concentrations of OH., i.e., proportional to the initial amount of organic matter. Reported removal percentages in biological treatments applied to tequila vinasses were on average around 70% [38,39], evidencing the versatility of the treatment applied in this study to counter the complexity in vinasse biodegradability. COD and BOD parameters were above those quoted in the environmental norms. Therefore, further treatments are required to adjust these constraints. According to the increase of around 57% for the biodegradability index, and since the effluent resilience decreased, a subsequent biological treatment might be applied. In addition, total phenol concentration decreased; these compounds are responsible for starting issues in such reactions. In spite of the lack of mineralization of the compounds and remnants present in the final effluent, these are expected to be those with higher chemical stability/resilience; the biodegradability index increased given that the concentration of such compounds was much lower at the end of the treatment than in the crude residual wastewater, allowing microbiota to degrade the effluent more efficiently. Total Fe concentrations in the treated effluent using the photo-Fenton technique were around 50% lower than that allowable according to the standard of reference of 10 mg.L-1 in each case [13]. Solar radiation optimized the conversion from Fe+3 to Fe+2, explaining the higher recovery of residual sludge at the end of the process. The amount of residual H.O. showed a similar pattern of behavior; there was a lack of oxygen bubbling produced by decomposition, hence Fe particles contained in the deposited sludge may return to the treated vinasse.

Conclusions

Agave cocui vinasses feature high concentrations of organic matter, low pH, and high temperature of discharge. Agave cocui vinasse composition is comparable to other vinasses, e.g., of tequila and wine. Primary treatment processes may be hindered by phenols, natural pigments, and other substances. Hence, chemical treatments may be a viable alternative. The significant amounts of precipitable solids in vinasses requires coagulation/flocculation steps as a pretreatment stage, where about 30% of the initial COD was removed in this study. The application of Fenton and photo-Fenton processes, favored under acidic conditions, may be enhanced by the pH value in discharged vinasses. Given the complex nature of the vinasse composition, the use of COD as a sign of the organic matter concentration is of relevance for evaluating wastes and carrying out kinetics studies. The evaluated variables showed optimal values, providing a maximum removal percentage over the experimentally studied ranges. The results demonstrated that, in optimal conditions, the amount of residual sludge is similar to the lower amount produced in the experimental region.

The response surface methodology, especially the rotatable central design, optimizes the operational conditions in the treatment of vinasses. The optimal conditions for the oxidation in the Fenton process were pH=3.48, [COD]:[H2O2] mass proportion = 1:5, and [Fe+2]:[H2O2] mass ratio = 1:6. In the photo-Fenton process, the optimal conditions were: pH = 3.98, [COD]:[H2O2] = 1:7.86, and [Fe+2]:[H2O2]=1:5. The application of the photo-Fenton process resulted in around 10% more organic matter removed compared to the conventional Fenton process. However, around 3% - 5% more residual sludge was produced. Environmental factors should be pondered when selecting chemical treatments. The convenience of the photo-Fenton process is boosted by the use of solar light irradiance as the energy source, complying with the principles of the circular economy, i.e., it might be a sustainable alternative for treating wastewater. The variables with higher influence in the process were [Fe+2]:[H2O2], [COD]:[H2O2], and pH. The experimental data were adjusted precisely to the second order polynomial models. The amount of residual sludge produced constituted around 20% of the treated effluent volume.

References

  1. [1] I. Leal, J. Medina, H. Morán, y L. Jaimes, “Evaluación de la diferencia en la composición de volátiles mayoritarios entre cocuy de agave y licor fraudulento comercializado como cocuy”. Multiciencias, vol. 11, n° 4, pp. 339–344. 2011. 🠔
  2. [2] R. Colina, J. Ferrer, e I. Leal, “Impactos ambientales de la producción de Cocuy en el municipio Sucre, estado Falcón, Venezuela”. Multiciencias, vol. 13, n° 3, pp. 229–237, 2013. 🠔
  3. [3] Y. Pérez, O. Pérez, y L. Zumalacárregui, “Caracterización química, física y microbiológica de dos vinazas cubanas”. Revista EIA, vol. 14, n° 28, pp. 29–43, 2017. DOI: https://doi.org/10.24050/reia.v14i28.695 [URL] 🠔
  4. [4] M. Leal, E. Pérez, H. Morán, W. Barrera, O. Pérez, y A. García, “Modelado matemático del equilibrio líquido vapor de mostos de Agave cocui”. ACI Avances En Ciencias e Ingenierías, vol. 7 n° 2, pp. C53 – C60, 2015. DOI: https://doi.org/10.18272/aci.v7i2.266 [URL] 🠔
  5. [5] W. Mikucka, y M. Zielińska, “Distillery stillage: characteristics, treatment, and valorization”. Applied Biochemistry and Biotechnology, n°. 192, pp. 770–793, 2020. DOI: https://doi.org/10.1007/s12010-020-03343-5 [URL] 🠔
  6. [6] D. Miklos, C. Remy, M. Jekel, K. Linden, J. Drewes, y U. Hübner, “Evaluation of advanced oxidation processes for water and wastewater treatment – A critical review”. Water Research, n° 139, pp. 118–131, 2018. DOI: https://doi.org/10.1016/j.watres.2018.03.042 [URL] 🠔
  7. [7] C. Medina, y E. Segovia, “Aplicación del método Foto-Fenton para el tratamiento de aguas residuales en la industria láctea”. Dominio Ciencia, vol. 6, pp. 785–801, 2020. DOI: http://dx.doi.org/10.23857/dc.v6i3.1316 [URL] 🠔
  8. [8] A. Rubio, E. Chica, y G. Peñuela, “Aplicación del proceso Fenton en el tratamiento de aguas residuales de origen petroquímico”. Ingeniería y Competividad, vol. 16, n° 2, pp. 211–223, 2014. 🠔
  9. [9] J. De Laat, y H. Gallard, “Catalytic decomposition of H2O2 by Fe(III) in homogeneous aqueous solution: mechanism and kinetic modeling”. Environmental Science and Technology, vol. 33, n° 16, pp. 2726–2732, 1999. DOI: https://doi.org/10.1021/es981171v [URL] 🠔
  10. [10] E. Gilpavas, E. Arbelárez, J. Medina, y C. Gómez, “Tratamiento de aguas residuales de la industria textil mediante coagulación química acoplada a procesos Fenton intensificados con ultrasonido de baja frecuencia”. Revista Internacional de Contaminación Ambiental, vol. 34, n° 1, pp. 157–167, 2018. DOI: https://doi.org/10.20937/RICA.2018.34.01.14 [URL] 🠔
  11. [11] G. Castillo y J. Blaz, “Reducción de la carga orgánica de aguas residuales tóxicas de los laboratorios de la unas mediante oxidación avanzada foto–Fenton”. Revista ECIPrerú, vol. 15, pp. 31–41, 2018. 🠔
  12. [12] K. Ramos y Y. Jiménez, “Degradación de desechos tóxicos provenientes de laboratorios universitarios con foto-Fenton solar usando diseño de experimentos”, Revista Internacional de Contaminación Ambiental, Vol. 32, n° 1, pp. 119–131, 2016. 🠔
  13. [13] Decreto 883, “Normas para la clasificación y control de la calidad de los cuerpos de agua”. Gaceta Oficial de República de Venezuela, 1995. 🠔
  14. [14] S. Malato, “Descontaminación de aguas mediante oxidación avanzada bajo radiación solar: un proceso doblemente sostenible”. En: Universidad Nacional de San Martín y Fundación Innovación Tecnológica. Programa Futuros: Escuela de Posgrado: Agua + Humedales. (Serie Futuros). UNSAM Edita, pp. 226 – 240, 2018. 🠔
  15. [15] L. Prieto-Rodríguez, D. Spasiano, I. Oller, I. Fernández-Calderero, A. Agüera y S. Malato, “Solar photo-Fenton optimization for the treatment of MWTP effluents containing emerging contaminants”. Catalysis Today, n° 209, pp. 188–194, 2013. DOI: https://doi.org/10.1016/j.cattod.2013.01.002 [URL] 🠔
  16. [16] I. Talinli y G.K. Anderson, G. K., “Interference of H2O2 on the standard COD test”. Water Research, vol. 26, n° 1, pp. 107-110, 1992. 🠔
  17. [17] B. Caram y F. García, “Efecto del pH en la degradación de derivados salicílico en sistemas tipo-Fenton y Foto-Fenton. Investigación Joven, vol. 3, n° 1, pp. 70–71, 2016. 🠔
  18. [18] C. Gutiérrez, y A. Pilco, A, “Optimización de la remoción de compuestos orgánicos persistentes mediante el proceso foto-Fenton. Revista de la Sociedad Química del Perú, vol. 86, n° 1, pp. 58–69, 2020. DOI: https://doi.org/http://dx.doi.org/10.37761/rsqp.v86i1.273 [URL] 🠔
  19. [19] V. Leifeld, M. Tâmisa, D. Wisniewski y L Igarashi-Mafra, “Ferrous ions reused as catalysts in Fenton-like reactions for remediation of agro-food industrial wastewater”. Journal of Environmental Management, vol. 222, pp. 284–292, 2018. DOI: https://doi.org/10.1016/j.jenvman.2018.05.087 [URL] 🠔
  20. [20] C. Walling, y S. Kato, “The Oxidation of Alcohols by Fenton’s Reagent. The Effect of Copper Ion”. Journal of the American Chemical Society, vol. 93, n° 17, pp. 4275–4281, 1971. https://doi.org/10.1002/9783527618262.ch16b [URL] 🠔
  21. [21] E. Marín y F. Gonzales, “Influencia de la concentración de H.O. y densidad de corriente en la remoción de color y DQO de la vinaza mediante electro-Fenton”. Tesis de grado. Universidad Nacional de Trujillo, 2018. 🠔
  22. [22] C. Benatti, A. Saraiva y C. Tavares, “Characterization of solids originating from the Fenton’s process”. Journal of Hazardous Materials, vol. 163, pp. 1246–1253, 2009. DOI: https://doi.org/10.1016/j.jhazmat.2008.07.094 [URL] 🠔
  23. [23] I. Bravo, y E. Giraldo, “Vinazas: transformación de un residuo contaminante en un recurso útil”. UnicaucaCiencia, vol. 1, pp. 55–65, 1996. 🠔
  24. [24] R. Ibarra, L. León y A, Osoria, “Caracterización fisicoquímica de vinazas de destilerías”. Revista Cubana de Química, vol. 31, n° 2, pp. 246–257, 2019. 🠔
  25. [25] G. Íñiguez y R. Hernández, “Estudio para la rehabilitación de una planta de tratamiento de vinazas tequileras mediante un floculante polimérico de poliacrilamida (PAM)”. Revista Internacional de Contaminación Ambiental, vol. 26, n° 1, pp 209–311, 2010. 🠔
  26. [26] M, Garzón, E. Estrada, G. Mantilla, M. Salazar y E. Bahena, “Desarrollo de una tecnología de tratamiento para aguas residuales de la industria tequilera”. Informe final, Instituto Mexicano de Tecnología del Agua, 2013. 🠔
  27. [27] C. Aristizábal, “Caracterización fisicoquímica de una vinaza resultante de la producción de alcohol de una industria licorera a partir del aprovechamiento de la caña de azúcar”. Ingenierías USBMed, vol. 6, n° 2, pp. 36–41, 2015. DOI: https://doi.org/10.21500/20275846.1729 [URL] 🠔
  28. [28] J. González, S. Buedo, F. Prado y S. Álvarez, “Efecto de la vinaza sobre el crecimiento y productividad de la Soja (Glycine max) en condiciones semicontroladas”. Boletín de La Sociedad Argentina de Botánica, vol. 53, n° 4, pp. 597–608, 2018. DOI: https://doi.org/10.31055/1851.2372.v53.n4.21982 [URL] 🠔
  29. [29] I. Scull, L. Savón, O. Gutiérrez, E. Valiño, I. Orta, P. Mora, H. Orta, Y. Ramos, A. Molineda, G. Coto y A, Nodo. “Composición físico química de mostos concentrados para su evaluación en dietas destinadas a animales”. Revista Cubana de Ciencia Agrícola, 46, 385–389, 2012. 🠔
  30. [30] E. Hinckley, J. Crawford, H. Fakhraei y C. Driscoll, “A shift in sulfur-cycle manipulation from atmospheric emissions to agricultural additions”. Nature Geoscience, vol. 13, n° 9, pp. 597–604, 2020. DOI: https://doi.org/10.1038/s41561-020-0620-3 [URL] 🠔
  31. [31] W.Z. Tang y S. Tassos. Oxidation kinetics and mechanisms of trihalomethanes by Fenton’s reagent. Water Research, vol. 31, n° 5, pp. 1117–1125, 1997. https://doi.org/10.1016/S0043-1354(96)00348-X 🠔
  32. [32] M. Costante y F, García, “Superficies de respuesta de la degradación de foto Fenton de la mezcla de colorantes”, Investigación Joven, vol. 3, n°1, pp. 62–63, 2016. 🠔
  33. [33] J. Buitrago, J. Sanabria, H. Gutiérrez, L. Pizzio, F. Urbano, J. Rengifo y P. Osorio, (2018). Degradación de contaminantes emergentes (amoxicilina y diurón) mediante Fenton y foto-Fenton a pH circunneutro y bajas concentraciones de hierro. Evaluación del efecto de matriz. 4to Encuentro de Investigadores en Formación en Recursos Hídricos, 1–13, 2018. 🠔
  34. [34] S. Bossmann, E. Oliveros, S. Göb, S. Siegwart, E. Dahlen, L. Payawan, M. Straub, M, Wörner y A. Braun, “New evidence against hydroxyl radicals as reactive intermediates in the thermal and photochemically enhanced Fenton reactions”. Journal of Physical Chemistry A, vol. 102, n° 28, pp. 5542–5550, 1998. DOI: https://doi.org/10.1021/jp980129j [URL] 🠔
  35. [35] Y. Sun, y J. Pignatello. “Organic Intermediates in the Degradation of 2,4-Dichlorophenoxyacetic Acid by Fe3+/H.O. and Fe3+/H.O./UV”. J. Agric. Food Chem, vol. 41, pp. 1139–1142, 1993. 🠔
  36. [36] C. Zanta y C. Martínez-Huitle, “Degradation of 2-hydroxybenzoic acid by advanced oxidation processes”. Brazilian Journal of Chemical Engineering, vol. 26, n° 03, pp. 503 - 513, 2009. 🠔
  37. [37] C. Medina, W. Uriarte, S. Orrego, E. Montero, “Aplicación del proceso Fenton para degradar aguas residuales del camal de Chota”. Informe Final de Investigación. Universidad Nacional Autónoma de Chota, 2018. 🠔
  38. [38] K. Salazar, “Tratamiento por biofiltración aerobia sobre cama orgánica del efluente de la digestión anaerobia de vinazas de tequila”. Tesis de maestría. Instituto Politécnico Nacional, 2017. 🠔
  39. [39] A. Serrano, M. Garzón, B. Barragán, E. Estrada y J, Vigueras. “Estrategias para mejorar la calidad del efluente de un sistema de tratamiento por digestión anaerobia de vinazas de tequila”. Tercer congreso nacional-Asociación Mexicana de Ingeniería, Ciencia y Gestión Ambiental, A.C., 2017. 🠔