Revista Facultad Nacional de Agronomía Medellín
0304-2847
2248-7026
Facultad de Ciencias Agrarias - Universidad Nacional de Colombia
https://doi.org/10.15446/rfnam.v76n1.100730

Recibido: 18 de junio de 2022; Aceptado: 4 de agosto de 2022

Study of the physicochemical and mechanical stability of an edible leather of mango (Mangifera indica) and pineapple (Ananas comosus) pulp

Estudio de la estabilidad fisicoquímica y mecánica de una lámina comestible de pulpa de mango (Mangifera indica) y piña (Ananas comosus)

J. Bravo-Buitrago, 1 H. Ciro-Velásquez, 1 C. Márquez-Cardozo, 1

Facultad de Ciencias Agrarias, Universidad Nacional de Colombia. Medellín, Colombia. jbravob@unal.edu.co, hjciro@unal.edu.co, cjmarque@unal.edu.co Universidad Nacional de Colombia Facultad de Ciencias Agrarias Universidad Nacional de Colombia Medellín Colombia

ABSTRACT

Mango (Mangifera indica) and pineapple (Ananas comosus) are two important fruits with many industrial uses and excellent sensory, nutritional and functional characteristics. In this research work, the development of intermediate moisture edible leathers obtained by convective drying technology of the mixture of mango and pineapple pulp at 60 and 70 °C was carried out, evaluating their physicochemical characterization and stability under controlled storage conditions at 25 and 35 °C. The results showed that leathers subjected to drying at 60 °C and stored at 35 °C presented a significant increase in water activity. Leathers stored at 35 °C showed greater browning due to the effect of storage temperature. The highest resistance to cutting and tension was observed in edible leathers dried at 70 °C and stored at 25 °C. The Young's Modulus in tension varied between 1.317 and 2.22 MPa. The greatest degradation of vitamin C (57%) was found in leathers dried at 70 °C and stored at 35 °C. It was possible to conclude that the mango and pineapple pulp-based leathers stored for 4 weeks presented physical-chemical and techno-functional characteristics that make them suitable for consumption.

Keywords:

Drying, Edible Leather, Mango, Pineapple, Storage.

RESUMEN

El mango (Mangifera indica) y la piña (Ananas comosus) son dos importantes frutas con amplios usos a nivel industrial por sus significativas características sensoriales, nutricionales y funcionales. En la presente investigación se llevó a cabo el desarrollo de láminas comestibles de humedad intermedia obtenida por tecnología de secado convectivo de la mezcla de pulpa de mango y piña a 60 y 70 °C, evaluando su caracterización fisicoquímica y de estabilidad en condiciones de almacenamiento controladas a 25 y 35 °C. Los resultados mostraron que en las láminas secas a 60 °C y almacenados a 35 °C hubo un aumento significativo de la actividad del agua. Las láminas almacenadas a 35 °C presentaron un mayor pardeamiento por efecto de la temperatura de almacenamiento. La mayor resistencia al corte y tensión se observó en las láminas comestibles secadas a 70 °C y almacenadas a 25 °C. El Módulo de Young en tensión varió entre 1,317 y 2,22 MPa. La mayor degradación de vitamina C (57%), se encontró en las láminas secadas a 70 °C y almacenadas a 35 °C. Se pudo concluir que las láminas a base de pulpa de mango y piña almacenados durante 4 semanas presentaron características físico-químicas y tecno-funcionales que los hacen aptos para el consumo.

Palabras clave:

Secado, Lámina comestible, Mango, Piña, Almacenamiento.

Mango (Mangifera indica) and pineapple (Ananas comosus) are two highly produced fruits worldwide, with quantities of 55.9 and 28.2 million tons, respectively, where Colombia shows the participation of 1% in mango production and 3.6% in pineapple production (FAOSTAT, 2019). Besides that these tropical fruits have excellent sensory properties and some good nutrients for health such as vitamin C, also have high production, preference and commercial availability, and high availability of nutraceutical components (Masibo and He, 2008).

An innovative processing alternative for the consumption of some fruits and vegetables is the production of edible leathers of intermediate moisture and flexible consistency since they could be considered ready for consumption. These emerging foods are the result of a process of decreasing water activity and are characterized by having sufficient moisture without allowing deterioration due to microbial effects (Offia-Olua and Ekwunife, 2015; Bravo, 2022).

The development of edible fruit-based leathers has been the object of study by various authors such as Sharma et al. (2016) in pineapple; Offia-Olua and Ekwunife (2015) in apple, banana, and pineapple; Vanegas and Parra (2012), and Da Silva et al. (2019) in mango and Torres et al. (2015) in apple and quince.

There are few studies on the development and agro-industrial production of edible leathers of intermediate (0.6<aw<0.85) and flexible texture based on a mixture of mango and pineapple pulp; two fruits with high availability, mass consumption, important nutritional content, and high commercialization potential. Therefore, the objective of the study was to develop and analyze the physicochemical and techno-functional stability of edible leathers of intermediate moisture from the mixture of mango and pineapple pulps under controlled storage conditions.

MATERIALS AND METHODS

Raw Materials

Tommy Atkins Mango (Mangifera indica) with a maturity index of 3 according to NTC 5210-2003 (ICONTEC, 2003), honey-glow pineapple (Ananas comosus) with a maturity index of 5 according to NTC 729-1-1996 (ICONTEC, 1996), and sucrose (white sugar) were obtained from a local supplier from Medellín, Colombia. Carboxymethylcellulose (CMC), rapid citric pectin, unflavored gelatin, ascorbic acid, and citric acid were purchased from Tecnas S.A. (Medellín, Colombia).

Formulation Development

The fruits were washed and immersed in chlorinated water at 100 ppm, later they were peeled, chopped, and homogenized in an industrial blender (Javar-LC15 1F 15LT). Through preliminary tests of the formulation of edible leathers and their sensory acceptance evaluations on the characteristics of flexibility, color, smell, and taste, carried out on 15 untrained judges, the final formulation was established.

The preliminary tests for the formulations consisted of mixing mango and pineapple pulp in equal quantities, adding 1% CMC, 1% pectin, 1% unflavored gelatin, 0.1% ascorbic acid, 0.1% citric acid, and 4.5% white sugar. In total, 3 types of leathers were formulated, each with a different hydrocolloid. The leathers formulated with 1% CMC, 0.1% ascorbic acid, 0.1% citric acid, and 4.5% sugar -added in relation to the base of the pulp mixture- presented the best sensorial acceptance and flexibility; therefore, it was selected as the formulation to this study.

Characterization of the fruit suspension to be dried

Color: A SP60 sphere spectrophotometer - X-Rite - illuminant D65, a 10° observer as a reference, and with a CIE-L*a*b* scale, measuring the browning index (BI) and color difference (ΔE *) (Garzón-García et al., 2018). Total soluble solids (TSS): refractometric method (AOAC 932.12/90), using a HANNA HI-96801 digital refractometer. Water activity (aw): using a dew point hygrometer (Aqualab series 3TE, Decagon Devices, Pullman, WA, USA) at 25 °C. Moisture: official method (AOAC, 1990) taking 1 g of sample to dry in an oven at 105 °C until constant weight for 16 h. pH: potentiometer method (AOAC, 1990) by immersing the electrode (HANNA HI2211) in the prepared sample consisting of 1 g of sample and 30 mL of distilled water. Titratable acidity: titration method (AOAC, 2005) with NaOH solution (0.1N), using phenolphthalein as an indicator, expressing its value as a percentage of citric acid. Vitamin C: high performance liquid chromatography (HPLC), according to the methodology proposed by Abe-Matsumoto et al. (2020), expressing its value as mg ascorbic acid (AA)/g dry matter (DM).

Drying of suspension

The formulated suspension was poured into a metal tray previously lined with aluminum foil and impregnated with food-grade unflavored glycerin until the mixture reaches a thickness in the tray between 7-8 mm. The convective drying was carried out at temperatures of 60 °C and 70 °C, and air velocity of 2 m s-1 (Universal Memmert INB 500). The process was finished when a moisture content between 20 to 22% w.b (wet basis) was reached.

Leather stability study

The leathers obtained were cut in dimensions of 12.5×4 cm and vacuum packed in low-density polyethylene bags with a thickness of 70 µm. The leathers were subjected to controlled conditions of temperature (25 °C and 35 °C), relative humidity of 80%, exposure to white light, and air circulation speed of 0.1 m s-1 (Memmert ICH260 climate chamber). The physicochemical and mechanical resistance determinations were carried out every week in triplicate during 4 weeks of storage.

Characterization of the fruit leathers

Physicochemical properties: The color (CIELAB method), total soluble solids, water activity (aw), moisture content, pH, titratable acidity, and content of vitamin C were obtained according to the methods described above for the suspension. Data collection for each test was performed in triplicate.

Mechanical and Textural Properties: Leather cuts (12.5×4.0 cm) were subjected to tensile stress using a TA-XT2i universal texture analyzer (Stable Micro Systems, London, UK), following the ASTM E8 protocol with the modifications proposed in food according to the methodology given by Honikel (1998): test speed of 1 mm s-1, pre- and post-test speed of 2 mm s-1, and maximum deformation of 50 mm, where the Elastic or Young&apos;s modulus (YM) was obtained from the flow curve of the material. Regarding the texture, the Warner-Bratzler cutting blade (Stable Micro Systems®) was used, with the same operating conditions used in the stress test. The results were analyzed using the Texture Analysis Software (Stable Micro Systems Ltd., Godalming, Surrey, UK). Data collection for each test was performed in triplicate.

Statistical analysis

A 2×2 factorial design was carried out, drying temperature (DT) (60 and 70 °C) and storage temperature (STE) (25 °C and 35 °C) repeated in time. The data were analyzed by multifactorial ANOVA (α=5%) using the Statgraphics Centurion XVI.I software.

RESULTS AND DISCUSSION

The physicochemical characterization of the formulated mixture and the leathers obtained during convective drying is observed in Table 1.

Table 1: Characterization of the formulated mixture and the leathers obtained by drying.

Leathers that were dried at 60 °C and 70 °C, reached an intermediate humidity in 11 and 8.75 h of process, respectively. Braga et al. (2019) reported a moisture content of 84.2% w.b in mango pulp, while the pineapple pulp reaches moisture of 87.3% w.b. These results are slightly higher than those found in this study (82.24±0.203 w/w) for the mixture intended for convective drying. This difference can be explained by the addition of low moisture powders (CMC and sucrose) and by physiological differences inherent to the vegetable product. The water activity (aw) value of the suspension was higher than leathers dried at 60 and 70 °C (P<0.05). This characteristic could allow increasing the stability of the fruit leathers against any type of microbiological deterioration.

The soluble solids of the mixture for drying (18.533±0.197 °Bx) are high due to the addition of sucrose to the mixture. The total soluble solids of the leathers dried at 60 °C and 70 °C are significantly higher than those determined in the formulated mixture (P<0.05). These results may be due to the concentration of the components as a consequence of dehydration, an aspect that improves the sensory quality and stability of the fruit leathers.

For the pH value, there was no statistically significant difference (P>0.05) between the pulp mixture and fruit leathers. The acidity of the suspension expressed as % of citric acid (0.650±0.018) was significantly lower (P<0.05) than the acidity of the leathers dried at 60 °C (2.663±0.038) and 70 °C (2.634±0.103) which could be due to the concentration of acids.

The vitamin C for the suspension (3.108±0.088 mg ascorbic acid g-1 dry mass (DM)) was similar to the content of vitamin C in the mango pulp and pineapple pulp mentioned by Chakraborty et al. (2015). Regarding the retention of vitamin C, it is observed that it was higher at 60 °C, presenting retention in relation to the suspension of 96.3%; while at 70 °C, the retention of vitamin C was 65.9%. The vitamin C in the suspension, as well as that of the leathers dried at 60 °C, was significantly higher (P<0.05) concerning the leathers obtained at 70 °C. This result could be explained by the high thermal sensitivity of this micronutrient against temperatures above 60 °C.

According to color coordinates, the L*, a*, and b* values of the drying mixture were significantly lower (P<0.05) in relation to the values for leathers obtained at 60 °C and 70 °C. These results show that the dried leathers displayed a tendency to yellow (+b) and red (+a) tones. According to Badjona et al. (2019), carotenoid pigments such as β-carotene, which are present in mango and pineapple pulp, are responsible for these shades.

The ΔE* value for the leathers obtained at 60 and 70 °C indicates that the color difference is easily visible. In addition, the high value of the browning index (BI) obtained in the dried leathers indicates a trend of darkening with respect to the base suspension. These results can be attributed to the concentration of pigments due to the evaporation effect of water through drying and their degradation by the action of heat. In a similar study carried out by Shende et al. (2020), the greatest color difference between mango leathers subjected to tray drying at 60 °C and fruit puree was ΔE*=35.75.

According to Table 1, the leathers at 60 and 70 °C did not present a statistically significant difference (P> 0.05) in tensile failure force (TFF), shear failure force (SFF), and elastic modulus (YM), behavior that could be explained by the similar moisture content. Da Silva et al. (2019) found higher values of shear failure force (SFF) and Young&apos;s modulus (YM) in mango puree leathers (6.37% w/w).

Storage stability

The leathers dried at 60 and 70 °C had a thickness of 1.94±0.28 mm. Figure 1 shows the moisture content during the storage period under drying conditions, where the shortest drying times were achieved at 70 °C due to the higher evaporative capacity of the process. Sharma et al. (2016) reported moisture of 20% w/w in pineapple leathers dried at 60 °C by direct solar treatment. Vanegas and Parra (2012) found similar drying times of 9 h for mango pulp in convective drying at 70 °C, reaching final moisture in the leather of 17.04% w/w. Azeredo et al. (2006) achieved moisture of 17.2% w/w in mango leathers after drying at 80 °C. Da Silva et al. (2019) and Offia-Olua and Ekwunife (2015), reached moisture content (<5% w/w) for leathers made from mango and pineapple pulps using cast-tape (80 °C) and solar drying (80 °C), respectively.

Moisture content of the leathers: A. Storage at 25 °C; B. Storage at 35 °C

Figure 1: Moisture content of the leathers: A. Storage at 25 °C; B. Storage at 35 °C

The ANOVA did not show statistically significant differences (P>0.05) for the interaction of the drying temperature (DT) and storage temperature (STE) factors on the moisture content. The moisture content variations are less than 2% w/w; however, the product shows a certain degree of hygroscopicity. This low moisture gain could be explained by the presence of CMC which could have created a surface barrier between hygroscopic particles. In the same way, vacuum packaging in low-density polyethylene bags could also have become a barrier to water vapor from the environment.

Figure 2 shows that during storage the variation in water activity was 0.552<aw<0.672. Vanegas and Parra (2012) reached an aw value of 0.603 in mango leather. Offia-Olua and Ekwunife (2015) report an aw value of 0.8 in leather made from pineapple puree. Torres et al. (2015) reached values between 0.56<aw<0.69 in apple sauce and quince leathers. Da Silva et al. (2019) report water activity values between 0.419<aw<0.463 in mango leathers. According to the ANOVA, the drying temperature and the storage temperature have a statistically significant individual effect (P<0.05) on the water activity. In Figure 2B, it is observed that the leathers dried at 60 °C and stored at 35 °C increased their water activity (aw) during the storage time in a more pronounced way compared to the leathers dried at 70 °C and stored at 25 °C (Figure 2A). The water activity of the leathers dried at 60 °C was always higher than those found for the samples subjected to 70 °C, this trend was more marked in the samples stored at 35 °C (Figure 2B). These variations could be a consequence of both the permeability of the polyethylene bags to high relative humidity (80%), and the acceleration of the mass transfer phenomenon into the packaging caused by a storage temperature higher than 35 °C.

Behavior of aw during stability: A. Storage at 25 °C; B. Storage at 35 °C.

Figure 2: Behavior of aw during stability: A. Storage at 25 °C; B. Storage at 35 °C.

Merino (2006) argued that foods subjected to high drying temperatures are prone to a displacement of solutes towards the surface promoting the formation of a hard surface layer or crust with waterproof properties known as shortening. The higher aw observed in the samples stored at 35 °C is because in this condition there is a higher vapor pressure during storage, which increases water activity compared to samples stored at 25 °C. According to Krapf and Gantenbein-Demarchi (2010), greater water activity brings with it an increase in food instability, leading to darkening reactions, rancidity, as well as greater susceptibility to the probable attack of microorganisms.

The interaction between the drying temperature (DT) and storage temperature (STE) factors did not present a statistically significant effect (P>0.05) on the TSS, pH, and acidity values. The high content of total soluble solids for the leathers (82 °Bx - 84 °Bx) is due to the concentration as a result of the drying process (Figure 3).

TSS behavior during stability: A. Storage at 25 °C; B. Storage at 35 °C.

Figure 3: TSS behavior during stability: A. Storage at 25 °C; B. Storage at 35 °C.

The value found in this study was higher than that reported by Torres et al. (2015) for apple puree leathers (70.7 °Bx), and quince puree (76.2 °Bx), with moisture of 15.9 and 17.2% w w-1, respectively. This difference may be due to the inequality of moisture in the leathers, the addition of sucrose made in the present study, and the characteristics of the fruits studied.

The pH values (Figure 4) are similar to those reported by Siller-Cepeda et al. (2009) for mango pulp (3.6<pH<4.3), and by Chutintrasri and Noomhorm (2015) for pineapple pulp (3.72). Azeredo et al. (2006) and Torres et al. (2015) report similar pH values in mango (3.8) and apple (4.05) leathers. Offia-Olua and Ekwunife (2015) report a pH value greater than 6.03 in leathers of apple, pineapple, and banana puree mixture. These differences are caused by the addition of acids in the formulation and by the physical-chemical characteristics of the products used. The pH values during storage at 25 °C were similar to those obtained during storage at 35 °C, ranging from 3.90 to 4.00. Similarly, the total acidity (Figure 4, C and D) of the edible leathers stored at 25 and 35 °C during the 4 weeks of storage did not present a statistically significant difference (P>0.05). These results could mean an advantage in terms of microbiological stability during storage of the edible leathers thanks to their low pH and high acidity.

pH (A, B) and acidity (C, D) Values of the leathers during the stability study: (A, C) Storage at 25 °C; (B, D) Storage at 35 °C.

Figure 4: pH (A, B) and acidity (C, D) Values of the leathers during the stability study: (A, C) Storage at 25 °C; (B, D) Storage at 35 °C.

The shear failure force (SFF) varied between 62.8 N and 116.7 N (Figure 5), while the tensile failure force (TFF) varied between 25.3 N and 40.2 N (Figure 6, A and B). The highest shear failure force of 116.8 N and tensile force of 39.7 N were found in the leathers dried at 70 °C and stored at 25 °C. Therefore, under these conditions, there is a greater stress requirement during the chewing process compared to leathers dried at 60 °C and stored at 35 °C.

Shear failure stress of the leathers during stability study: (A) storage at 25 °C; (B) storage at 35 °C.

Figure 5: Shear failure stress of the leathers during stability study: (A) storage at 25 °C; (B) storage at 35 °C.

Force to failure in tension (A, B) and Young&apos;s Modulus (C, D) behavior of edible leathers during storage at 25 °C (A, C) and storage at 35 °C (B, D).

Figure 6: Force to failure in tension (A, B) and Young&apos;s Modulus (C, D) behavior of edible leathers during storage at 25 °C (A, C) and storage at 35 °C (B, D).

The ANOVA showed a statistical effect in the interaction between DT and STE on TFF (P<0.05). The force necessary to reach the point of failure was statistically lower in the leathers dried at 60 °C and stored at 35 °C (Figures 5 and 6 (A and B)). This result can be attributed to the possible shortening present in the leathers dried at 70 °C, increased rigidity, and the increase in moisture and aw over time during storage at 35 °C. Regarding the shear failure force (SFF), this is higher the lower the storage temperature (25 °C). This result could be explained due to the increase in the water activity and moisture content of the leathers during the 4-week study period.

During the storage time, there is a tendency to decrease the shear force (SFF) (Figure 5), which may be due to the increase in moisture in food during storage. The edible leathers subjected to drying at 60 °C and storage at 25 and 35 °C, showed a lower shear failure force and tensile failure force, which could indicate a soft mouth grinding process, also allowing a potential use as food for the elderly and infants.

According to Figure 6 (C, D), the elastic modulus (YM) varied between 1.31 MPa and 2.22 MPa. The YM values found in this study refer to a product with low rigidity or a soft texture. Da Silva et al. (2019) found an elastic modulus (YM) of 9.8 ± 1.7 MPa in mango puree leathers, which was presented due to the low moisture content (5.4%-6.4% w/w), an aspect that could confer greater rigidity and a lower percentage of deformation to the leather.

According to the ANOVA, the interaction of the DT and STE factors did not affect the YM value (P>0.05). In Figure 6 (C, D) it is observed that rigidity was higher in the leathers dried at 70 °C. This may be because at high drying temperatures less deformation is achieved at the point of failure of the material. Roos (1995) stated that the increase in temperature and water content (main plasticizer), can significantly affect the mechanical properties (decrease in the elastic modulus) during processing or storage. This allows the change in the viscoelastic properties of the product above the glass transition, due to the loss of the vitreous state (rigidity) and consequent tendency to the liquid state: the increase in storage temperature gives rise to molecular expansion suggesting low viscosities (greater fluidity), that is, loss of rigidity. This statement agrees with that obtained in the present study given that the elastic modulus (YM) decreased as the storage temperature and the water content increased. The tendency to decrease Young's Modulus (Figure 6, C and D) suggests that through storage time, edible leathers suffer a loss of rigidity, which could be translated into a greater ease for oral processing of food (less force to achieve the chewing) (Roos, 1995).

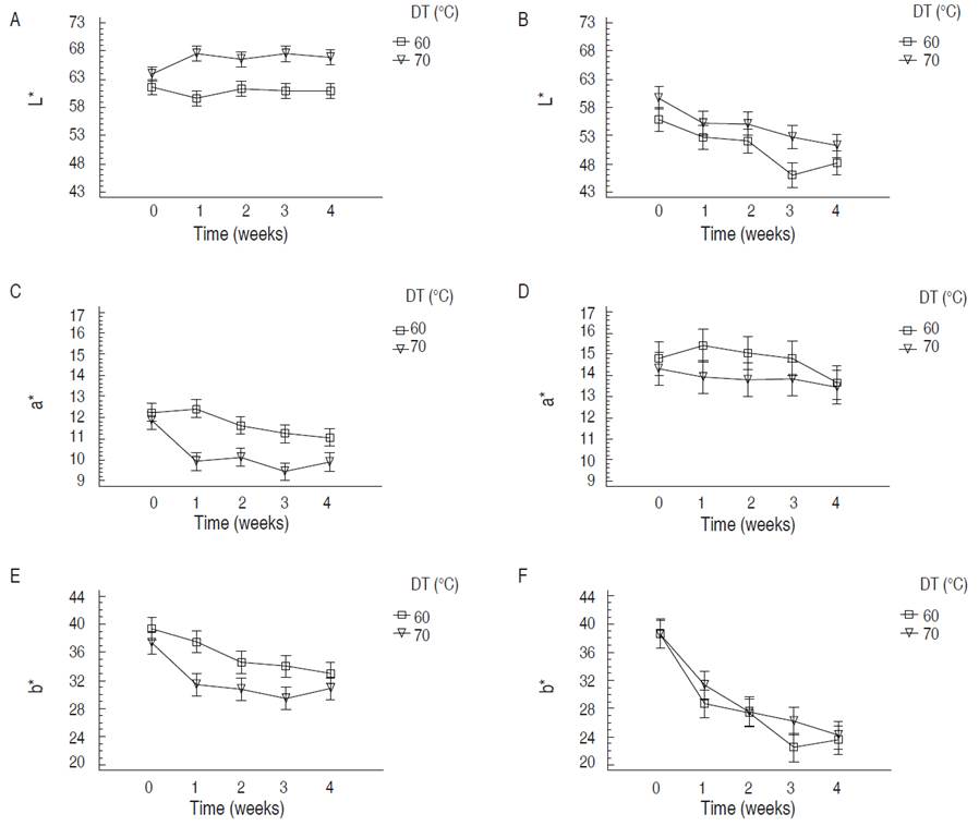
According to the ANOVA, there is no statistically significant interaction of DT and STE factors on the L* and a* variables. However, the double interaction with the b* coordinate did occur, with higher values in the leathers dried at 60 °C and stored at 25 °C. In Figure 7B, it is observed that the value of L* decreases significantly during the storage time, the drying temperature, and the storage temperature. In Figure 7A, it is observed that during storage at 25 °C, there was no significant difference (P>0.05) during the storage time between leathers dried at 60 °C, the same occurred in leathers dried at 70 °C. At time zero, the values of luminosity L* (Figure 7B) and chromaticity b* (Figure 7F) of the leathers dried at 60 °C and 70 °C were significantly higher than those obtained in week 4 during storage at 35 °C. A similar situation occurred in the value of a* during storage at 25 °C (Figure 7C). During storage at 35 °C, the value of a* (Figure 7D), a statistically significant difference (P>0.05) was not observed during the storage time, however, there was a slight tendency to decrease. This same behavior was observed in the values of b* during storage at 25 °C (Figure 7E). These results could have been due to the presence of CMC which could have delayed the darkening process (Sánchez et al., 2018). Da Silva et al. (2022), found a similar behavior (tendency to decrease) of the CIE-L*a*b* parameters in strawberry leathers stored at 25°C with a relative humidity of 22.5 and 52.3% for 90 days. Sánchez et al. (2018) obtained similar values of L* (40-45), a* (12.10-13.96), and b* (18.57-24.48) in mango leathers made with CMC, gum arabic, and citric slow pectin. The results indicate that during the stability period at 35 °C, the leathers presented a greater tendency to darken than leathers stored at 25 °C, which could be due to the degradation of pigments, possibly influenced by the stability temperature, exposure time of the leathers to direct light and increased aw. Since the degree of discoloration of food is due to the availability of oxidizing agents and, the fact that enough energy is communicated (in the form of light) for the degradation reaction to take place, the loss of vacuum of the packaging and the constant exposure to white light during storage can lead to thermal degradation, photodegradation, and acidification of carotenoids (Mora et al., 2018).

CIE-L*a*b* parameters of edible leathers during stability: (A, C, E) and (B, D, F) correspond to storage temperatures of 25 and 35 °C, respectively.

Figure 7: CIE-L*a*b* parameters of edible leathers during stability: (A, C, E) and (B, D, F) correspond to storage temperatures of 25 and 35 °C, respectively.

The presence of ascorbic acid ranged from 3.371 to 0.692 g g-1 DM. This result is higher compared to those reported by Sharma et al. (2016) in leathers of pineapple puree, and to the values obtained by Offia-Olua and Ekwunife (2015) in low moisture leathers (<5% w/w) of apple, pineapple, and banana puree. These differences could be explained by the different matrices and processes used in the elaboration and the addition of ascorbic acid in the formulation of the leathers in the present study.

The ANOVA showed a statistical significance of DT and STE on the content of vitamin C (P<0.05). Figure 8 shows that the content of vitamin C was lower when the DT and STE values were increased. The product at 60 °C presented a higher content of vitamin C. The highest degradation of vitamin C (57.5%) was obtained for DT=70 °C and STE=35 °C, which shows the thermolability of this micronutrient. Regarding the individual factor for STE, there is no statistical effect on the content of vitamin C (P>0.05); however, in the leathers stored at 35 °C there is a slightly greater loss.

Behavior of vitamin C content during stability: (A) and (B) correspond to storage temperatures of 25 and 35 °C, respectively.

Figure 8: Behavior of vitamin C content during stability: (A) and (B) correspond to storage temperatures of 25 and 35 °C, respectively.

Figure 8A, indicates that 25 °C storage temperature with exposure to direct light was sufficient to achieve vitamin C degradation during the 4 weeks of storage, however, the degradation values were lower than those observed in storage at 35°C (Figure 8B). Similarly, in Figure 8, it is observed that the fruit leathers subjected to drying at 70 °C, presented a greater loss of vitamin C before (week 0) and after (week 4) the stability study was completed. However, although vitamin C degradation was observed during the present study, the edible leathers retained a considerable amount of vitamin C, being up to 1.7 mg ascorbic acid g-1 dry matter in leathers dried at 60 °C and stored for 4 weeks.

The degradation of vitamin C or ascorbic acid could be due to the effect of temperature, light, presence of oxygen, presence of enzymes, and increases in water activity (Phillips et al., 2016). The loss of vitamin C due to high temperatures is associated with the opening or closing of the lactone ring (isomerization of L-isomers to D-isomers) and/or the formation of chiral compounds when the vitamin is exposed to high temperatures (Aguilar et al., 2019). Regarding the degradation of vitamin C by exposure to light, ascorbic acid is photo-oxidized to form dehydroascorbic acid, and this oxidation increases as light increases (Duncan and Chang, 2012). Ascorbic acid degradation is also related to the presence of ascorbic acid oxidase and peroxidase enzymes; the former catalyzes the oxidation of ascorbic acid in the presence of oxygen resulting in dehydroascorbic acid and water; the second catalyzes the reduction of hydrogen peroxide by ascorbic acid giving rise to the production of water and dehydroascorbic acid (Dbrowska et al., 2007). According to Phillips et al. (2016), the acidic pH (found in this study) can lead to the inactivation of enzymes such as ascorbic acid oxidase, which reduces degradation. Saipei and Hwa (2014) mention that the degradation of vitamin C can decrease when sugar is added, which suggests, for the present study, that the addition of sucrose in the formulation was of great importance to achieve the considerable amounts of vitamin C obtained in the fourth week of storage.

CONCLUSION

The intermediate moisture edible leathers made from Tommy Atkins mango and pineapple pulp showed slight changes in the physicochemical and mechanical characteristics during the storage period. Vitamin C content decreased with storage time and drying temperature. The highest percentage of loss of vitamin C occurred in leathers dried at 70 °C. During the stability period at 35 °C, the leathers showed a tendency to dark colors, possibly as a result of carotenoid degradation. The mechanical properties presented a behavior slightly dependent on the variation of moisture content during the storage. The changes observed in the Tommy Atkins mango and pineapple leathers show that they presented physical-chemical and techno-functional characteristics that make them suitable for human consumption after during weeks of storage. It is necessary to study new formulations, other methods, and drying conditions together with packaging conditions that minimize the loss of vitamin C.

Acknowledgements

ACKNOWLEDGGMENTS

The authors express their gratitude to the Universidad Nacional de Colombia, Sede Medellín where the development of this research was carried out, which is part of the Master's Thesis: "Desarrollo y caracterización fisicoquímica de una lámina comestible a base de pulpa de mango (Mangifera indica) y piña (Ananas comosus)." Also, the authors are immensely grateful to Laboratory of Fruits and Vegetables and Agricultural Processes of Universidad Nacional de Colombia-Sede Medellín which provided facilities, equipment, and personnel.

REFERENCES

  1. Abe-Matsumoto L, Rodrigues-Sampaio G and Markowicz D. 2020. Is titration as accurate as HPLC for determination of vitamin C in supplements?. American Journal of Analytical Chemistry 11: 269-279. https://doi.org/10.4236/ajac.2020.117021 [URL] 🠔
  2. Aguilar K, Garvín A, Lara-Sagahón A and Ibarz A. 2019. Ascorbic acid degradation in aqueous solution during UV-Vis irradiation. Food Chemistry 297. https://doi.org/10.1016/j.foodchem.2019.05.138 [URL] 🠔
  3. AOAC. (Association of Oficial Analytical Chemists). 1990. Official Methods of Analysis. Washington D.C. 🠔
  4. AOAC. (Association of Oficial Analytical Chemists). 2005. Official Methods of Analysis . Washington D.C. 🠔
  5. Azeredo H, Brito E, Moreira G, Fatias V and Bruno M. 2006. Effect of drying and storage time on the physico-chemical properties of mango leathers. International Journal of Food Science and Technology 41 (6): 635-638. https://doi:10.1111/j.1365-2621.2005.01120.x [URL] 🠔
  6. Badjona A, Adubofuor J, Amoah I and Diako C. 2019. Valorisation of carrot and pineapple pomaces for rock buns development. Scientific African 6. Doi: https://doi.org/10.1016/j.sciaf.2019.e00160 [URL] 🠔
  7. Braga T, Silva E, Rodrigues S and Fernandes F. 2019. Drying of mangoes (Mangifera indica L.) applying pulsed UV light as pretreatment. Food and Bioproducts Processing 114: 95-102. https://doi.org/10.1016/j.fbp.2018.11.013 [URL] 🠔
  8. Bravo, J. 2022. Desarrollo y caracterización fisicoquímica de una lámina comestible a base de pulpa de mango (Mangifera indica) y piña (Ananas comosus) (Tesis de Maestría). Universidad Nacional de Colombia. Medellin, Colombia. 🠔
  9. Chakraborty S, Rao P and Mishra H. 2015. Kinetic modeling of polyphenoloxidase and peroxidase inactivation in pineapple (Ananas comosus L.) puree during high pressure and thermal treatments. Innovative Food Science and Emerging Technologies 27: 57-68. https://doi.org/10.1016/j.ifset.2014.11.003 [URL] 🠔
  10. Chutintrasri B and Noomhorm A. 2015. Color degradation kinetics of pineapple puree during thermal processing. LWT-Food Science and Technology 40(2): 300-306. https://doi.org/10.1016/j.lwt.2005.11.003 [URL] 🠔
  11. Da Silva R, Oliveira J, Beims J, Cichella A, Mattar B and Borges J. 2022. Survival analysis to predict how color influences the shelf life of strawberry leather. Foods 11 (218): 1-13. https://doi.org/10.3390/foods11020218 [URL] 🠔
  12. Da Silva R, Oliveira J, Gimenez P, Mattar B and Borges J. 2019. Production of mango leathers by cast-tape drying: Product characteristics and sensory evaluation. LWT-Food Science and Technology 99: 445-452. https://doi.org/10.1016/j.lwt.2018.10.013 [URL] 🠔
  13. Dbrowska G, Kata A, Goc A, Szechyñska-Hebda M and Skrzypek E. 2007. Characteristics of the plant ascorbate peroxidase family. Acta Biologica Cracoviensia Series Botanica 49 (1):7-17. 🠔
  14. Duncan S and Chang H. 2012. Implications of light energy on food quality and packaging selection. Advances in Food and Nutrition Research 67: 25-73. https://doi.org/10.1016/B978-0-12-394598-3.00002-2 [URL] 🠔
  15. FAOSTAT 2019. Mangoes and pineapple production. In: FAOSTAT In: FAOSTAT http://www.fao.org/faostat/en/#home . Accessed: September 2019. [URL] 🠔
  16. Garzón-Garcia A, Dussan-Sarria S and Melo-Sevilla R. 2018. Estudio de la variación de parámetros de color del yacón utilizando un prototipo de medición de color y temperatura. Información Tecnológica 29 (6): 75-82. https://doi.org/10.4067/S0718-07642018000600075 [URL] 🠔
  17. Honikel K. 1998. Reference methods for the assessment of physical characteristics of meat. Meat Science 49 (4): 447-457. https://doi.org/10.1016/S0309-1740(98)00034-5 [URL] 🠔
  18. ICONTEC-Instituto Colombiano de Norma Técnica. 1996. Frutas frescas. Piña. Especificaciones. NTC 729-1. Colombia 🠔
  19. ICONTEC-Instituto Colombiano de Norma Técnica. 2003. Frutas frescas. Mango variedades mejoradas. Especificaciones. NTC 5210. Colombia 🠔
  20. Krapf T and Gantenbein-Demarchi C. 2010. Thermal inactivation of Salmonella spp. during conching. LWT-Food Science and Technology 43 (4): 720-723. https://doi.org/10.1016/j.lwt.2009.10.009 [URL] 🠔
  21. Masibo M and He Q. 2008. Major mango polyphenols and their potential significance to human health. Comprehensive Reviews in Food Science and Food Safety 7 (4): 309-319. https://doi.org/10.1111/j.1541-4337.2008.00047.X [URL] 🠔
  22. Merino J. 2006. Implementación de un equipo de secado para alimentos (Trabajo de grado). Escuela Superior Politécnica del Litoral. Ecuador. 🠔
  23. Mora S, Cadavid Y, Cadena E, Vélez J, Buitrago-Sierra R and Santa J. 2018. Plantain fibers obtained from pseudostems residues for efficient color degradation of indigo carmine dye. Industrial Crops & Products 126: 302-308. https://doi.org/10.1016/j.indcrop.2018.10.030 [URL] 🠔
  24. Offia-Olua B and Ekwunife O. 2015. Production and evaluation of the physico-chemical and sensory qualities of mixed fruit leather and cakes produced from apple (Musa Pumila), banana (Musa Sapientum), pineapple (Ananas Comosus). Nigerian Food Journal 33 (1): 22-28. https://doi.org/10.1016/j.nifoj.2015.04.004 [URL] 🠔
  25. Phillips K, Council-Troche M, McGinty R, Rasor A and Tarrago-Trani M. 2016. Stability of vitamin C in fruit and vegetable homogenates stored at different temperatures. Journal of Food Composition and Analysis 45: 147-162. https://doi.org/10.1016/j.jfca.2015.09.008 [URL] 🠔
  26. Roos Y. (1995). Phase Transitions in Foods. 1st Edition. Academic Press. Helsinky, Finland. 🠔
  27. Saipei L and Hwa L. 2014. Study on the Kinetics of Vitamin C Degradation in Fresh Strawberry Juices. Procedia Chemistry 9: 62-68. https://doi.org/10.1016/j.proche.2014.05.008 [URL] 🠔
  28. Sánchez A, Bermeo H and Valenzuela C. 2018. Incidence of hydrocolloid type on quality parameters in mango leathers (Mangifera indicaL.) Yulima variety. Food Science and Technology 38 (1): 109-115. https://doi.org/10.1590/fst.16917 [URL] 🠔
  29. Sharma P, Ramchiary M, Samyor D and Baran A. 2016. Study on the phytochemical properties of pineapple fruit leather processed by extrusion cooking. LWT - Food Science and Technology 72: 534-543. https://doi.org/10.1016/j.lwt.2016.05.001 [URL] 🠔
  30. Shende D, Kour M and Kumar A. 2020. Evaluation of sensory and physico-chemical properties of Langra variety mango leather. Journal of Food Measurement and Characterization 14:3227-3237. https://doi.org/10.1007/s11694-020-00558-2 [URL] 🠔
  31. Siller-Cepeda J, Muy-Rangel D, Báez-Sañudo M, Araiza-Lizarde E and Ireta-Ojeda A. 2009. Calidad poscosecha de cultivares de mango de maduración temprana, intermedia y tardía. Revista Fitotecnológica de México 32 (1): 45-52. 🠔
  32. Torres C, Romero L and Díaz R. 2015. Quality and sensory attributes of apple and quince leathers made without preservatives and with enhanced antioxidant activity. LWT - Food Science and Technology 62 (2): 996-1003. https://doi.org/10.1016/j.lwt.2015.01.056 [URL] 🠔
  33. Vanegas P and Parra A. 2012. Producción de láminas de mango (Mangifera indica L.) usando deshidratación dinámica. Vitae 19 (1): S75-S77. 🠔