Revista Facultad Nacional de Agronomía Medellín
0304-2847
2248-7026
Facultad de Ciencias Agrarias - Universidad Nacional de Colombia
https://doi.org/10.15446/rfnam.v76n1.100904

Recibido: 1 de octubre de 2022; Aceptado: 2 de diciembre de 2022

Effect of Bt (Cry1Ac and Cry2Ab) and non-Bt cotton on the temporal variation of A. grandis and representatives of the Spodoptera complex in Tolima, Colombia

Efecto del algodón Bt (Cry1Ac y Cry2Ab) y no Bt en la variación temporal de A. grandis y representantes del complejo Spodoptera en Tolima, Colombia

C. Jaramillo-Barrios, 1G. Cruz-Castiblanco, 2B. Monje-Andrade, 1

Corporación Colombiana de Investigación Agropecuaria-Agrosavia, Centro de Investigación Nataima. Tolima, Colombia. cijaramillo@agrosavia.co, bmonje@agrosavia.co Corporación Colombiana de Investigación Agropecuaria Centro de Investigación Nataima Tolima Colombia
Corporación Colombiana de Investigación Agropecuaria-Agrosavia, Centro de Investigación Tibaitatá. Cundinamarca, Colombia. gcruz@agrosavia.co Corporación Colombiana de Investigación Agropecuaria Centro de Investigación Tibaitatá Cundinamarca Colombia

ABSTRACT

Transgenic cotton plants (Bacillus thuringiensis Berliner (Bt)) has significant influenced the integrated pest management around the world. In Colombia, Anthonomus grandis Boheman and Spodoptera complex are currently considered the main pests in cotton crops. Therefore, this study evaluated the effect of Bt (Cry1Ac and Cry2Ab) and non-Bt cotton on the population fluctuation during two years in Tolima region. A Pearson correlation matrix was carried out between the pest variables and yield, while climatic variables and insect populations were correlated in four phenological stages with Spearman rank correlations. Additionally, a factor analysis for mixed data was performed in order to compare the effect of genotypes on the population fluctuation of the insects. For A. grandis, no differences in their populations were presented. However, in yield non-Bt cotton plants showed a higher inverse correlation with the perforated bolls compared to Bt cotton. In relation to the Spodoptera complex, the Bt genotype had 67.4% fewer larvae compared to non-Bt cotton. Statistically significant differences were presented. However, there was not a total absence of the pest during the entire crop cycle. These results suggest that if refuge zones and pest management practices are not determined in the study area, Spodoptera complex could generate resistance to genetically modified plants.

Keywords:

Pest resistance, Population density, Transgenics plants.

RESUMEN

Las plantas de algodón transgénicas (Bacillus thuringiensis Berliner (Bt)) han influido significativamente en el manejo integrado de plagas en todo el mundo. En Colombia, Anthonomus grandis Boheman y el complejo Spodoptera son considerados actualmente las principales plagas en los cultivos de algodón. Por lo tanto, este estudio evaluó el efecto del algodón Bt (Cry1Ac y Cry2Ab) y no Bt en la fluctuación poblacional durante dos años en la región del Tolima. Se realizó una matriz de correlación de Pearson entre las variables plaga y rendimiento, mientras que las variables climáticas y las poblaciones de insectos fueron correlacionadas en cuatro estados fenológicos con la correlación de rangos de Spearman. Adicionalmente, se realizó un análisis factorial para datos mixtos con el fin de comparar el efecto de los genotipos sobre la fluctuación poblacional de los insectos. Para A. grandis, no se presentaron diferencias en sus poblaciones. Sin embargo, en rendimiento, las plantas de algodón no Bt mostraron una mayor correlación inversa con las cápsulas perforadas en comparación con el algodón Bt. Con relación al complejo Spodoptera, el genotipo Bt tuvo un 67,4% menos de larvas en comparación con el algodón no Bt. Se presentaron diferencias estadísticamente significativas. Sin embargo, no hubo ausencia total de la plaga durante todo el ciclo del cultivo. Estos resultados sugieren que, si en el área de estudio no se fijan zonas de refugio y prácticas de manejo de plagas, el complejo Spodoptera podría generar resistencia a plantas genéticamente modificadas.

Palabras clave:

Resistencia a plagas, Densidad de población, Plantas transgénicas.

The cotton crop (Gossypium hirsutum L.) is highly related to the economic, social, and agro-industrial development of many communities. In Colombia, for the year 2019, 18,327 hectares were planted, with total yields of 922 kg of fiber per ha-1 (Conalgodon, 2020). However, this crop is attacked by a wide variety of arthropod phytophagous with the potential to cause serious damage to the plant (Ribeiro et al., 2015). This crop is mainly affected by sucking and chewing insect species. It is estimated that 50-60% of losses are due to chewing insect infestations, since they affect fiber quality, decrease crop yield and increase production costs (Shad et al., 2022).

Among the most important pests, the Spodoptera complex (Spodoptera frugiperda, Spodoptera ornithogalli, and Spodoptera sunia) (Lepidoptera: Noctuidae) and Anthonomus grandis Boheman (Coleoptera: Curculionidae) are highlighted (Santos et al., 2009; de Oliveira et al., 2016). Insecticide control of S. frugiperda is difficult because it prefers to oviposit on the lower surface of leaves at almost all phenological stages of the crop (Barros et al., 2010). While for larval stages, different preferences between species have been reported; for S. frugiperda its predominance in flowers and bolls have been indicated, while S. ornithogalli, in leaves and flowers and S. sunia, in flowers (Santos et al., 2009).

On the other hand, A. grandis is an economically important pest in crops in the New World (Salvador et al., 2014). Damage of this insect to cotton crops is caused by the larvae and the adult, when the female determines that the site is suitable for oviposition, she pierces the flower bud or boll with her face and inserts an egg into the tissue, inside of the which develops the larval stages (da Silva et al., 2008; Salvador et al., 2021). The bracts of infested floral buds usually turned yellow and flared, and the floral buds dropped from the plant. Infested bolls may or may not have dropped (Sorenson and Stevens, 2019).

Bollgard II® transgenic cotton (which expresses two Bt toxin genes, Cry1Ac and Cry2Ab) is effective against many lepidopteran pests (Yang et al., 2015; Bahar et al., 2019). By 2015 approximately 84% of cotton crops planted in the United States had the Bacillus thuringiensis (Bt) protein (James, 2015), leading to a decline in pest populations and the use of chemical synthesis insecticides The sustainable management of Bt crops is threatened by the increase in pest resistance to this type of technology; therefore, the implementation of strategies that minimize insect resistance is critical to ensure the long-term success of this technology (Yang et al., 2017; Khakwani et al., 2022). To reduce pest resistance, in recent years many countries have implemented the use of pyramid crops that produce more than two Bt toxins different in their mode of action but targeting the same pest, thus achieving a decrease in crop damage (Carrière et al., 2021). Although none of the commercial transgenic varieties contain resistance genes against A. grandis or the Spodoptera complex, several Cry proteins show biological activity against these pests and at least one of them, the Cry1Ia12 and Cry10Aa proteins, has been inserted into cotton plants, conferring partial resistance to these pests (De Oliveira et al., 2016; Ribeiro et al., 2017).

To prevent resistance by pests, Bollgard II®, has been used since 2004, giving it the ability to bind at different sites in the midgut of larvae, thus increasing plant efficiency by decreasing the probability of cross-resistance in pest species (Knight et al., 2016; Meissle and Romeis, 2018). Studies developed in Valle del Sinú (Colombia) by Osorio-Almanza et al. (2018) indicate that the combination Bollgard II® together with Cry1Ia12 protein, reduced A. grandis and S. frugiperda management costs by more than 40% and limited the emergence of combined resistance.

Currently, there are no data on population fluctuation or damage caused by these pests in genotypes with Bt (Cry1Ac+Cry2Ab) and without this technology in Colombia. Therefore, this research aimed to determine the effect of Bt (Cry1Ac and Cry2Ab) and non-Bt cotton on the population dynamics of A. grandis and representatives of the Spodoptera complex in El Espinal, Tolima, Colombia.

MATERIALS AND METHODS

Experimental area

The present study was performed in the Colombian agricultural research corporation (Agrosavia) C.I. Nataima, situated in El Espinal, Tolima, Colombia at 04° 11'32.49" LN and 74°57'35.10" LW for two years 2015 and 2016. The climatic conditions during the time of the experiments were mean temperature 26.62±0.15 and 27.64±0.12 °C, mean relative humidity 80.04±0.62 and 75.53±0.68% and accumulated precipitation of 73.82 and 124.60 mm during 2015 and 2016 respectively. The plantings were carried out in March for both years, with a non-Bt cotton variety (Deltapine® 90) and a genetically modified variety with B. thuringiensis genes Cry1Ac and Cry2Ab (Fibermax1740B2F- FM1740B2F). The experimental design was paired plots (blocks) with three repetitions (800 m2 each). This was executed for two treatments (Bt and non-Bt cotton) with a total area of 2500 m2 in each. The established cotton crops in this study are part of the rice, corn-cotton rotational cropping system in the region.

For the management of the crop, insecticide applications were not made for A. grandis or Spodoptera spp., the fertilization plan was carried out based on the results of the soil analysis, dividing the nutrition into three applications: vegetative stage, beginning of flowering and formation of bolls. The physiological management, with application of Thidiazuron (defoliant) when 70% of bolls opening were presented and the control of weeds were carried out with applications of glyphosate directly to the Bt-cotton variety and directed to the streets in the non Bt-cotton, complemented with manual weeding with a hoe.

Evaluation of temporal variation

To define the temporal variation of pest insects, assessments were started 4 days after emergence (DAE) for Spodoptera spp. and at 34 DAE for A. grandis, on April 7, 2015, April 8, 2016, at the beginning of the crop May 11, 2015 and May 12, 2016, at which time the first flower buds appeared. The cotton plant was used as a sampling unit, in each repetition 10 randomly selected plants were taken, the samplings were carried out every four days, ending at 118 DAE covering the flowering and fruiting period of the two cotton varieties (Grigolli et al., 2013). The response variables evaluated in each plant were: for A. grandis the number of total flower buds (TFB) and total bolls (TB), measured by counting each structure from the lower third to the upper third of the plant; number of perforated flower buds (PFB) and bolls (PB) by oviposition, detecting the gummy substance and the visible obstruction left by the female after oviposition; and number of adult insects (NBW) present in the plant structures (Grigolli et al., 2013; Silva et al., 2015). For Spodoptera spp. were the number of larvae per plant (NLarvae) and the presence of damage (Larv_dam) (Abd El-Salam et al., 2011; Zakir et al., 2017).

During the crop cycles, the variables temperature (°C) (average, maximum and minimum), relative humidity (%), solar radiation (w m-2) and precipitation (mm) were obtained of a weather station watchdog series 2000. At harvest, to evaluate the damage (%) in production, 99 plants were randomly selected per variety (33 per repetition), which were packed in cotton canvas and individually labeled, where the percentage of damage was evaluated from the number of open bolls per plant and number of open bolls with damage of A. grandis in one or more locules, total weight of the plant to estimate the yield and average weight per open boll.

Statistical analyses

For all variables an exploratory and descriptive analysis were carried out. Subsequently, in each variety, a Pearson correlation matrix was carried out between the insect variables and yield. Additionally, a factor analysis for mixed data was performed. Then, for each variable, its accumulation curves throughout the cycle were calculated using the technique of "accumulated insect days or damage" based on the area under the curve progression stairs (ABEP) (Jaramillo-Barrios et al., 2019). The variables were compared by an analysis of variance for the randomized complete block design with a combinatorial arrangement of fixed effects (variety, year, and variety * year) and randomized (blocks). Normality was assessed using the Shapiro-wilks test and homoscedasticity through a scatter plot of residuals on the y axis and fitted values on the x axis. If there were statistical differences, these were compared with Fisher's LSD test at 5%.

The relationship of the climatic factors on the insect damage variables and the productive variables were compared by Pearson correlation coefficient. Also, Spearman rank correlations were calculated between the insect populations and the climatic variables in four phenological stages: vegetative, juvenile, reproductive and maturation. Statistical software R v. 3.3.2 was used in the analyzes (R Core Team, 2016).

RESULTS AND DISCUSSION

Temporal variation of A. grandis in non-Bt and Bt cotton

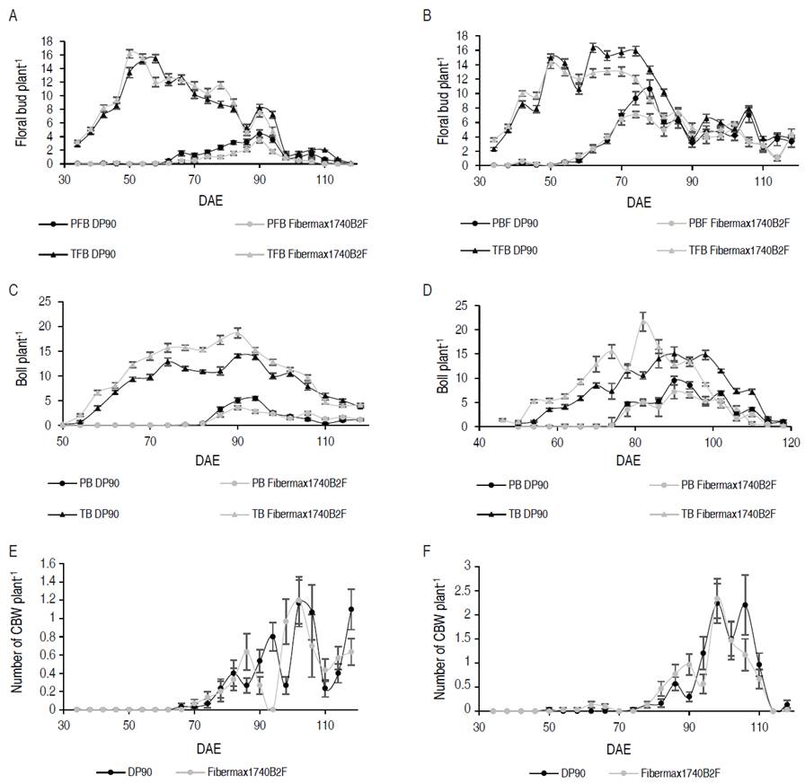
The temporal variation of PFB by A. grandis started with a progressive increase from 60 DAE in 2015 and 50 DAE in 2016 (Figure 1A-B). The highest population peaks of PB in 2015 were recorded at 90 DAE with 4.4±0.56 and 3.5±0.41 in non-Bt and Bt cotton, respectively. In 2016, they were presented in DP90® at 78 DAE with 10.6±1.3 and in FM1740B2F at 74 DAE with 7.1±0.43. The fluctuation of PB took place with a gradual increase to 82 DAE in 2015 and to 74 DAE in 2016 (Figure 1C-D). The largest population peaks of PB in 2015 were presented in DP90® at 94 DAE with 5.4±0.47 and in FM1740B2F at 90 DAE with 3.5±0.40. In 2016, the 94 DAE were presented with 14.8±0.75 and 13.4±0.97 in non-Bt and Bt cotton in their order. The number of individuals increased their populations after 70 DAE, the highest peaks occurred at 104 DAE and 100 DAE in 2015 and 2016 (Figure 1E-F).

Temporal variation of A. grandis. A. Number of total and perforated average flower buds 2015; B. Number of total and perforated average flower buds 2016; C. Average number of total and perforated bolls 2015; D. Number of total and perforated average bolls 2016; E. Number of average cotton boll weevils (CBW) per plant 2015; F. Number of average cotton boll weevil adults per plant 2016. The black color represents the DP90® variety, while the light gray represents the FM1740B2F variety.

Figure 1: Temporal variation of A. grandis. A. Number of total and perforated average flower buds 2015; B. Number of total and perforated average flower buds 2016; C. Average number of total and perforated bolls 2015; D. Number of total and perforated average bolls 2016; E. Number of average cotton boll weevils (CBW) per plant 2015; F. Number of average cotton boll weevil adults per plant 2016. The black color represents the DP90® variety, while the light gray represents the FM1740B2F variety.

In relation to the percentage of damage caused in PFB, in 2015, the highest damage was reached at 86 DAE with 61.31±4.81% and 46.45±5.96% in non-Bt and Bt, respectively. In 2016, this level of damage reached its maximum potential at 86 DAE with 74.97±7.77% and 80.74±6.96% in their order. These results are similar to the reported by Oliveira et al. (2022), who evaluated the spatio-temporal distribution of Anthonomus grandis and reported higher percentages of infected floral buds during the phenological stages of late flowering and open bolls in the wet and dry season in cotton crops in Brazil. Also, an increase in the infested reproductive structures is expected until 'cut-off' (end of floral bud production). After that, floral buds decline quickly, and the boll weevil populations generally plateau (Showler et al., 2005).

Population fluctuation of complex Spodoptera in non-Bt and Bt cotton

In Figure 2 A-B, shows the populational variation of the Spodoptera complex in cotton crops. These herbivore-insects can affect in different phenological stages, as in the vegetative phase, consuming leaves (Pascua and Pascua, 2002), and in the reproductive phase, feeding on flower buds, flowers, and bolls (Gomes et al., 2017). Regarding the number of larvae, the highest population levels were observed in 2015 (Figure 2A). At 38 DAE, the highest peak was evidenced with 0.7±0.19 larvae per plant in DP90®. From the 90 DAE a constant decrease of the populations is observed. In 2016, a different behavior is presented, where from 2 to 46 DAE larvae were constantly present. At 6 DAE in variety DP90®, the population peak was recorded with 0.6±0.17. After 46 DAE the levels dropped considerably. A lower average number of larvae was found in Bt cotton (0.045±0.01) compared to the conventional (0.138±0.02), which explains the joint efficacy of the Cry1Ac and Cry2Ab proteins on Spodoptera spp. Specifically, for Spodoptera frugiperda, Valencia-Cataño et al. (2014) concluded that the larvae that fed on the variety that contained Cry1Ac + Cry2Ab proteins had a lower survival rate compared to the variety with only Cry1Ac and conventional. However, the levels of Spodoptera spp. in transgenic cotton were not constantly reduced throughout the cotton crop cycle. This has been explained because the mortality of second instar S. frugiperda larvae evaluated in Cry1Ac / Cry2Ab cotton leaf discs are in the range between 69 and 93%, depending on the age of the plant (Sivasupramaniam et al., 2008). Efficiency in the use of pyramided Bt crop technologies is reduced by cross-resistance, antagonism between Bt toxins generated by poor field pest management strategies, similar Bt proteins used between neighboring crops and cross-crop target pests, causes insects to possess resistance to more than one Bt protein present (Liu et al., 2017; Yang et al., 2020; Huang, 2021; Shad et al., 2022). The widespread use of Bt corn has led to the emergence of resistance to the Cry1F protein in Spodoptera frugiperda, which has caused problems in the management of this pest and sustainable use of this technology in countries such as the United States, Brazil and Puerto Rico (Bernardi et al., 2017; Huang, 2021). Research indicates that Cry1Ac endotoxin has mortality levels between 6% and 20% in S. exigua and S. frugiperda species, indicating low toxicity, while Cry2Ab protein has low efficiency in the control of different Spodoptera species (Sivasupramaniam et al., 2008; Britz et al., 2020).

Populations of Spodoptera spp. complex in cotton genotypes. A. 2015. B. 2016.

Figure 2: Populations of Spodoptera spp. complex in cotton genotypes. A. 2015. B. 2016.

Relationship between yield and cotton pest in non-Bt and Bt cotton

Figure 3 shows the relationship between insect variables and yield. In Figure 3A the correlation matrix for variety DP90® is observed. In this, a direct relationship between TB with yield was indicated (R=0.88), while PB with yield presented a negative correlation with R=-0.71. In floral buds, both PFB and TFB, showed an inverse relationship with -0.49 and -0.66 respectively. Between pest, an opposite relationship between the number of larvae and damage with the number of PFB and PB is registered with a value of -0.71. In Figure 3B, the correlations for FM1740B2F are shown. Yield was inversely related to the number of PB (R=-0.49) and directly correlated with TB (R=0.60). Pest were negatively correlated, the PFB with the number of larvae (R=-0.98), and with the damage (R=-0.75) is highlighted. On the other hand, the number of larvae was inversely correlated with the number of weevils (R=-0.55) and with PB by A. grandis (R=-0.81). The effect of A. grandis on the yield in Bt and non-Bt cotton is explained due to boll weevil is considered the main problem-pest cotton in Colombia. Its management actual includes the remaining 4-6 insecticide applications and when improper management is carried out, losses in yield of between 50 and 250 kg of cotton seed per hectare can be caused (Ñañez, 2012; Brookes, 2020).

Correlation matrices that explain the relationship between yield and pests in cotton crop. A. DP90®. B. Fibermax1740B2F. PFB= Perforated Floral Buds, Nlarvae= Number of larvae, TFB= Total Floral Buds, Larv_damage= Larvae damage, NBW= Number of cotton boll weevil, TB= Total Bolls, PB= Perforated Bolls.

Figure 3: Correlation matrices that explain the relationship between yield and pests in cotton crop. A. DP90®. B. Fibermax1740B2F. PFB= Perforated Floral Buds, Nlarvae= Number of larvae, TFB= Total Floral Buds, Larv_damage= Larvae damage, NBW= Number of cotton boll weevil, TB= Total Bolls, PB= Perforated Bolls.

Figure 4 shows the results of the factorial analysis for mixed data (FAMD). In Figure 4A the biplot for qualitative categories is shown, while in Figure 4B, the circle of correlations is presented for the quantitative variables. The variability explained by the first two components of the FAMD was 82.6%. The principal component one (CP1), with 50.4%, shows a relationship of the A. grandis variables with the years. The variables PFB (0.98), PB (0.94), TFB (0.86) and NBW (0.66) were directly related to CP1, while TB (-0.68) was inverse. This explains that the number of healthy TB was inversely related to all the variables that exerted an insect damage including TFB. Likewise, in years, 2016 was related to a greater damage of A. grandis, compared to 2015.

Factorial analysis for mixed data (FAMD). A. Biplot of categories. B. Circle of correlations. PFB= Perforated Floral Buds, Nlarvae= Number of larvae, TFB= Total Floral Buds, Larv_damage= Larvae damage, NBW= Number of cotton boll weevil, TB= Total Bolls, PB= Perforated Bolls.

Figure 4: Factorial analysis for mixed data (FAMD). A. Biplot of categories. B. Circle of correlations. PFB= Perforated Floral Buds, Nlarvae= Number of larvae, TFB= Total Floral Buds, Larv_damage= Larvae damage, NBW= Number of cotton boll weevil, TB= Total Bolls, PB= Perforated Bolls.

The main component two (PC2) explained 32.2% and focused on the relationship of the larvae of the Spodoptera complex with the yield and the TB. The number of larvae and the damage were directly correlated to PC2 with 0.89 and 0.82 respectively, while the yield (-0.72) and TB (-0.59) were inverse. The above indicated the inverse relationship of Spodoptera spp. with the yield, which is explained by the joint presence of Cry1Ac- Cry2Ab proteins that has negatively affected the growth rate and feed conversion by the larvae confirming the antibiotic effects of GM crops on the development and survival of these larvae (Valencia-Cataño et al., 2014). Further, the species of the Spodoptera complex in cotton are considered secondary pests in Colombia, although the potential risk of this complex to go from secondary to primary pests in Cry1Ac cotton has been highlighted (Santos et al., 2009).

Comparison of pest accumulation between year and variety

The maximum accumulation point of TFB did not show any statistical difference between varieties (Table 1); however, the DP90® variety showed a higher accumulation with 174.42±8.74 compared to FM1740B2F with 164.35±8.74. Between years, statistically significant differences were found. In 2016 with 186.15±8.73 and in 2015 with 156.67±8.73, respectively. Referring to PFB (Figure 1B), there were no statistical differences between varieties; but discrepancies were observed between years. In evaluation of Bt and non-Bt genotypes for A. grandis, it has been reported that there are no differences in their populations (Nava-Camberos et al., 2018), which is explained because this pest is not targeted by the Bt cotton and the Bollgard II® cotton has no effectiveness against it (Showalter et al., 2009). In 2015, the invasion of A. grandis was retarded, which was explained in a lower accumulation of PFB with 20.36±2.72, in contrast, in 2016, the insect achieved establishment and generalization within the crop, reflected in its accumulation (71.62±8.47). In 2016 with 186.15±8.73 and in 2015 with 156.67±8.73, respectively.

Table 1: Statistical differences in the variables evaluated.

The accumulation of the number of TB, presented statistical differences between years and varieties. Higher TB accumulation was recorded in 2015 (168.94±5.72) compared to 2016 (147.54±5.72). Likewise, in PB (Figure 1D), statistical differences were determined for years and varieties. The variety with Bollgard II® technology showed a lower maximum accumulation point (19.60±1.10), concerning the conventional variety (DP90®) 37.23±1.77. For years, 2015 presented 29.67±1.28 compared to 47.30±1.10 in 2016. In NBW, there were no statistical differences between years and variety; however, lower insect accumulation was observed in 2015 (6.45±1.46) compared to 2016 (10.14±2.17). The results show that in 2015 the establishment of the insect was delayed in time (±80 DAE), with higher accumulation of TB, lower accumulation of PFB and PB; whereas, in 2016, where the establishment was at ±60 DAE, a higher accumulation of PFB, PB and NBW was evidenced; consequently, lower accumulation of TB. Regarding the accumulation of Spodoptera average larvae (N_larvae), there were statistical differences between years and variety. While between years, there was a higher accumulation in 2015, with 4.32±0.57 and 2016 with 1.08±0.16 in conventional and transgenic, respectively. As for varieties, DP90® recorded 4.08±0.58 and Fibermax1740B2F 1.32±0.12.

In the yield variable, there were no statistically significant differences between years (F=5.35; gl=1; P=0.060); however, for 2015, an average yield of 3.16±0.06 t ha-1 was presented, compared to 2.57±0.25 t ha-1 in 2016. In varieties, statistically significant differences were found (F=21.41; gl=1; P=0.0036). The Bollgard II® variety technology presented higher yields with 3.46±0.23 t ha-1 on average, while DP90® registered 2.28±0.10 t ha-1. This corroborates the results presented in Figure 4.

The correlations between climatic factors, with the parameters and productive variables, showed directly proportional relationships between the maximum rate of damage accumulation in flower bud (R=0.87; t=5.6438; P=<0.0001) and boll (R=0.95; t=9.3212; P=<0.0001) with the average temperature. In studies on a global scale, mean annual temperature has been reported as a significant variable influencing the potential global distribution of Anthonomus grandis. The adaptation of the pest remained at the highest level when the annual mean temperature was 23 °C, and the response curve declined until 30 °C to reach stability (Jin et al., 2022). On the other hand, there were inversely proportional correlations between the maximum rate of damage accumulation in flower bud (R=-0.87; t=-5.6438; P=<0.0001) and boll (R=-0.95; t=-9.3212; P=<0.0001) with the average relative humidity. The productive variables did not show significant correlations (P>0.05) with the climatic parameters and factors. When correlations between the populations and climatic variables in different phenological stages were calculated, the following results were obtained: in the vegetative stage, only Spodoptera complex was evaluated, but without statistical significance (P>0.05) with the climatic variables. In reproductive and maturation stages, average temperature, and populations of Spodoptera presented significant statistically direct correlation in the non-Bt cotton with R=0.60 (P=0.0229) and R=0.63 (P=0.0150), respectively. In maturation, PFB showed inversely correlation (P<0.01) with average temperature (DP90®=-0.75; Fibermax1740B2F=-0.80) and positively (P<0.01) with relative humidity (DP90®=0.66; Fibermax1740B2F=0.70).

CONCLUSION

Larvae and damage of the Spodoptera complex were found on cotton plants with Cry1Ac + Cry2Ab endotoxins, indicating some range of resistance to plants with this endotoxin. The presence of larval populations and damage of the Spodoptera complex on Bt cotton plants requires increased monitoring and evaluations; in addition, refuge areas need to be established. In the case of A. grandis, no differences in its populations were recorded, which is explained by the fact that this pest is not a target of Bt cotton and Bollgard II® cotton has no efficacy against it. Appropriate management actions were recommended that incorporate optimal planting dates, constant monitoring of the A. grandis and Spodoptera complex and developing action plans that consider a baseline of resistance in the populations, establishing refuge areas.

Acknowledgements

ACKNOWLEDGMENTS

The authors thank the Ministerio de Agricultura y Desarrollo Rural (MADR) for funding, la Corporación Colombiana de Investigación Agropecuaria (Agrosavia), and the Nataima Research Center, in the project: Recomendaciones de manejo integrado de plagas y enfermedades, para los sistemas arroz-maíz-algodón en los valles interandinos y el Caribe.

REFERENCES

  1. Abd El-salam AME, Nemat AM and Magdy A. 2011. Potency of Bacillus thuringiensis and Bacillus subtilis against the cotton leafworm, Spodoptera littoralis (Bosid.) larvae. Archives of Phytopathology and Plant Protection 44(3): 204-215. https://doi.org/10.1080/03235400902952129 [URL] 🠔
  2. Bahar MH, Stanley J, Backhouse D, Mensah R, Del Socorro A and Gregg P. 2019. Survival of Helicoverpa armigera larvae on and Bt toxin expression in various parts of transgenic Bt cotton (Bollgard II) plants. Entomologia Experimentalis et Applicata 167(5): 415-423. https://doi.org/10.1111/eea.12792 [URL] 🠔
  3. Barros EM, Torres JB e Bueno AF. 2010. Oviposição, desenvolvimento e reprodução de Spodoptera frugiperda (JE Smith) (Lepidoptera: Noctuidae) em diferentes hospedeiros de importância econômica. Neotropical Entomology 39(6): 996-1001. https://doi.org/10.1590/S1519-566X2010000600023 [URL] 🠔
  4. Bernardi D, Bernardi O, Horikoshi RJ, Salmeron E, Okuma DM, Farias JR, do Nascimento ARB and Omoto C. 2017. Selection and characterization of Spodoptera frugiperda (Lepidoptera: Noctuidae) resistance to MON 89034× TC1507× NK603 maize technology. Crop protection 94: 64-68. https://doi.org/10.1016/j.cropro.2016.11.026 [URL] 🠔
  5. Britz C, Van Der Berg J and Du Plessis H. 2020. Susceptibility of Spodoptera littoralis (Boisduval) (Lepidoptera: Noctuidae) to Bt cotton, expressing Cry1Ac and Cry2Ab toxins, in South Africa. African Entomology 28(1): 182-186. https://doi.org/10.4001/003.028.0182 [URL] 🠔
  6. Brookes G. 2020. Genetically modified (GM) crop use in Colombia: farm level economic and environmental contributions. GM Crops & Food 11(3): 140-153. https://doi.org/10.1080/21645698.2020.1715156 [URL] 🠔
  7. Carrière Y, Degain BA and Tabashnik BE. 2021. Effects of gene flow between Bt and non-Bt plants in a seed mixture of Cry1A.105 + Cry2Ab corn on performance of corn earworm in Arizona. Pest Management Science 77(4): 2106-2113. https://doi.org/10.1002/ps.6239 [URL] 🠔
  8. CONALGODON. 2020. Confederación Colombiana de algodón. Estadísticas. http://conalgodon.com/estadisticas/#sc-tabs-1631194323369 accessed: September 2021. [URL] 🠔
  9. Da Silva FP, Bezerra APL e Da Silva AF. 2008. Oviposição e alimentação do bicudo, Anthonomus grandis Boheman, em linhagens mutantes de algodoeiro herbáceo de cultura de soca. Revista Ciência Agronômica 39(1): 85-89. http://www.ccarevista.ufc.br/seer/index.php/ccarevista/article/view/28/27 [URL] 🠔
  10. De Oliveira RS, Oliveira-Neto OB, Moura HF, De Macedo LL, Arraes F, Lucena WA, Lourenço-Tessutti IT, de Deus Barbosa AA, da Silva MCM and Grossi De Sa MF. 2016. Transgenic cotton plants expressing Cry1Ia12 toxin confer resistance to fall armyworm (Spodoptera frugiperda) and cotton boll weevil (Anthonomus grandis). Frontiers in Plant Science 7(165): 1-11. https://doi.org/10.3389/fpls.2016.00165 [URL] 🠔
  11. Gomes ES, Santos V and Ávila CJ. 2017. Biology and fertility life table of Helicoverpa armigera (Lepidoptera: Noctuidae) in different hosts. Entomological Science 20(1): 419-426. https://doi.org/10.1111/ens.12267 [URL] 🠔
  12. Grigolli JFJ, Aparecido de Souaza L, Felisbino-Fraga D, Funichello M and Busoli AG. 2013. Within plant distribution of Anthonomus grandis (Coleoptera: Curculionidae) feeding and oviposition damages in cotton cultivars. Ciência e Agrotecnologia UFLA 37(1): 78-84. https://doi.org/10.1590/S1413-70542013000100009 [URL] 🠔
  13. Huang F. 2021. Resistance of the fall armyworm, Spodoptera frugiperda, to transgenic Bacillus thuringiensis Cry1F corn in the Americas: lessons and implications for Bt corn IRM in China. Insect Science 28 (3): 574-589. https://doi.org/10.1111/1744-7917.12826 [URL] 🠔
  14. James C. 2015. 20th Anniversary (1996 to 2015) of the Global Status of Commercialized Biotech/GM Crops: 2015. ISAAA Briefs No. 51. Ithaca, NY. https://www.isaaa.org/resources/publications/briefs/51/ [URL] 🠔
  15. Jaramillo-Barrios CI, Barragan E and Monje-Andrade B. 2019. Populations of Spodoptera frugiperda (Lepidoptera: Noctuidae) cause significant damage to genetically modified corn crops. Revista Facultad Nacional de Agronomía Medellín 72(3): 8953-8962. https://doi.org/10.15446/rfnam.v72n3.75730 [URL] 🠔
  16. Jin Z, Yu W, Zhao H, Xian X, Jing K, Yang N Lu X and Liu W. 2022. Potential global distribution of invasive alien species, Anthonomus grandis Boheman, under current and future climate using optimal MaxEnt Model. Agriculture 12(11): 1-14. https://doi.org/10.3390/agriculture12111759 [URL] 🠔
  17. Khakwani K, Cengiz R, Naseer S, Asif M and Sarwar G. 2022. Cotton pink bollworm (Pectinophora gossypiella) management with the goal of eradication from the cotton producing countries of the world. Applied Ecology and Environmental Research 20(2): 1199-1213. https://doi.org/10.15666/aeer/2002_11991213 [URL] 🠔
  18. Knight K, Head G and Rogers J. 2016. Relationships between Cry1Ac and Cry2Ab protein expression in field-grown Bollgard II® cotton and efficacy against Helicoverpa armigera and Helicoverpa punctigera (Lepidoptera: Noctuidae). Crop Protection 79(1): 150-158. https://doi.org/10.1016/j.cropro.2015.10.013 [URL] 🠔
  19. Liu L, Gao M, Yang S, Liu S, Wu Y, Carrière Y and Yang Y. 2017. Resistance to Bacillus thuringiensis toxin Cry2Ab and survival on single‐toxin and pyramided cotton in cotton bollworm from China. Evolutionary Applications 10(2): 170:179. https://doi.org/10.1111/eva.12438 [URL] 🠔
  20. Meissle M, and Romeis J. 2018. Transfer of Cry1Ac and Cry2Ab proteins from genetically engineered Bt cotton to herbivores and predators. Insect Science 25(5): 823-832. https://doi.org/10.1111/1744-7917.12468 [URL] 🠔
  21. Nava-Camberos U, Ávila-Rodríguez V, Maltos-Buendía J, García-Hernández JL y Martínez-Carrillo JL. 2018. Densidades y daños de insectos plaga en algodonero convencional y Bt en la Comarca Lagunera, México. Southwestern Entomologist 43(4): 985-993. https://doi.org/10.3958/059.043.0415 [URL] 🠔
  22. Ñañez LC. 2012. Manejo fitosanitario del cultivo del algodón (Gossypium hirsutum). Disponible en: https://www.ica.gov.co/getattachment/a223d007-d6e6-4df0-a7fc-b0150cb6bbbb/Manejo-fitosanitario-del-cultivo-de-algodon.aspx ICA, Bogotá D. C. 43 p. [URL] 🠔
  23. Oliveira AA, Araújo TA, Showler AT, Araújo AC, Almeida IS, Aguiar RS, Miranda JE, Fernandes FL and Bastos CS. 2022. Spatio‐temporal distribution of Anthonomus grandis grandis Boh. in tropical cotton fields. Pest Management Science 78(6) 2492-2501. https://doi.org/10.1002/ps.6880 [URL] 🠔
  24. Pascua LT, and Pascua ME. 2002. The distribution and movement of cotton bollworm, Helicoverpa armigera Hubner (Lepidoptera: Noctuidae) Larvae on Cotton. Philippine Journal of Science 131(2): 91-98. 🠔
  25. Osorio-Almanza L, Burbano-Figueroa O y Martinez-Reina A. 2018. Factibilidad técnica de variedades de algodón expresando proteínas Cry tóxicas contra Anthonomus grandis en el Valle del Sinú, Colombia. Ciencia y Agricultura 15(2): 47-60. https://doi.org/10.19053/01228420.v15.n2.2018.8395 [URL] 🠔
  26. R Core Team. 2016. R: A language and environment for statistical computing. R Foundation for Statistical Computing, Vienna: R Foundation for Statistical Computing. 🠔
  27. Ribeiro EB, Castellani MA, Da Silva CA, Melo TL, Dos Santos-Silva G, Do Vale W e Santos A. 2015. Métodos de destruição de restos de cultura do algodoeiro e sobrevivência do bicudo. Pesquisa Agropecuaria Brasileira 50(11): 993-998. http://dx.doi.org/10.1590/S0100-204X2015001100001 [URL] 🠔
  28. Ribeiro TP, Arraes FBM, Lourenço‐Tessutti IT, Silva MS, Lisei‐de‐Sá ME, Lucena WA, de Macedo L L P, Lima J M, Santos Amorim R M, Artico S, Alvez-Ferreira M, Mattar Silva M C and Grossi‐de‐Sa MF. 2017. Transgenic cotton expressing Cry10Aa toxin confers high resistance to the cotton boll weevil. Plant Biotechnology Journal 15(8): 997-1009. https://doi.org/10.1111/pbi.12694 [URL] 🠔
  29. Salvador R, Príncipi D, Berretta M, Fernández P, Paniego N, Sciocco A and Hopp E. 2014. Transcriptomic survey of the midgut of Anthonomus grandis (Coleoptera: Curculionidae). Journal of Insect Science 14(1): 219-227. https://doi.org/10.1093/jisesa/ieu081 [URL] 🠔
  30. Salvador R, Niz JM, Nakaya PA, Pedarros A and Hopp HE. 2021. Midgut genes knockdown by oral dsRNA administration produces a lethal effect on cotton boll weevil. Neotropical Entomology 50(1): 121-128. https://doi.org/10.1007/s13744-020-00819-1 [URL] 🠔
  31. Santos-Amaya OF, Restrepo OD, Argüelles J y Garramuño EA. 2009. Evaluación del comportamiento del complejo Spodoptera con la introducción de algodón transgénico al Tolima, Colombia. Ciencia y Tecnología Agropecuaria 10(1): 24-32. 🠔
  32. Sivasupramaniam S, Moar WJ, Ruschke LG, Osborn KA, Jiang C, Sebaugh JL, Brown GR, Shappley ZW, Oppenhuizen ME, Mullins JW and Greenplate JT. 2008. Toxicity and characterization of cotton expressing Bacillus thuringiensis Cry1Ac and Cry2Ab2 proteins for control of lepidopteran pests. Journal of Economic Entomology 101(2): 546-554. https://doi.org/10.1093/jee/101.2.546 [URL] 🠔
  33. Shad M, Yasmeen A, Azam S, Bakhsh A, Latif A, Shahid N, Din S, Sadaqat S, Rao AQ and Shahid AA. 2022. Enhancing the resilience of transgenic cotton for insect resistance. Molecular Biology Reports 49(6):5315-5323. https://doi.org/10.1007/s11033-021-06972-z [URL] 🠔
  34. Showalter AM, Heuberger S, Tabashnik BE and Carrière Y. 2009. A primer for using transgenic insecticidal cotton in developing countries. Journal of Insect Science 9(1): 22. https://doi.org/10.1673/031.009.2201 [URL] 🠔
  35. Showler AT, Greenberg SM, Scott Jr AW and Robinson JRC. 2005. Effects of planting dates on boll weevils (Coleoptera: Curculionidae) and cotton fruit in the subtropics. Journal of Economic Entomology 98(3): 796-804. https://doi.org/10.1603/0022-0493-98.3.796 [URL] 🠔
  36. Silva JB, Silva-Torres C S A, Moraes MCB, Torres JB, Laumann RA and Borges M. 2015. Interaction of Anthonomus grandis and cotton genotypes: Biological and behavioral responses. Entomologia Experimentalis et Applicata 156(3): 238-253. https://doi.org/10.1111/eea.12326 [URL] 🠔
  37. Sorenson CE and Stevens G. 2019. The boll weevil in Missouri: history, biology and management. In: Extrension University of Missouri, Available at: https://mospace.umsystem.edu/xmlui/bitstream/handle/10355/83965/G04255.pdf?sequence=1&isAllowed=y. 5 p. [URL] 🠔
  38. Valencia-Cataño SJ, Rodríguez Charlarca J and Mesa Cobo NC. 2014. Effect of varieties of cotton GM on Spodoptera frugiperda Smith (Lepidoptera: Noctuidae) larvae. Acta Agronómica 63(1): 63-70. https://doi.org/10.15446/acag.v63n1.38356 [URL] 🠔
  39. Yang F, Kerns DL, Leonard BR, Oyediran I, Burd T, Niu Y and Huang F. 2015. Performance of Agrisure® VipteraTM 3111 corn against Helicoverpa zea (Lepidoptera: Noctuidae) in seed mixed plantings. Crop Protection 69(1): 77-82. https://doi.org/10.1016/j.cropro.2014.12.002 [URL] 🠔
  40. Yang F, Kerns DL, Head G, Brown S and Huang F. 2017. Susceptibility of Cry1F-maize resistant, heterozygous, and susceptible Spodoptera frugiperda to Bt proteins used in the transgenic cotton. Crop Protection 98(1): 128-135. https://doi.org/10.1016/j.cropro.2017.03.023 [URL] 🠔
  41. Yang F, Head GP, Price PA, Santiago González JC and Kerns DL. 2020. Inheritance of Bacillus thuringiensis Cry2Ab2 protein resistance in Helicoverpa zea (Lepidoptera: Noctuidae). Pest Management Science 76(11): 3676-3684. https://doi.org/10.1002/ps.5916 [URL] 🠔
  42. Zakir A, Khallaf MA, Hansson BS, Witzgall P and Anderson P. 2017. Herbivore-induced changes in cotton modulates reproductive behavior in the moth Spodoptera littoralis. Frontiers in Ecology and Evolution 5(49): 1-10. https://doi.org/10.3389/fevo.2017.00049 [URL] 🠔