Revista Facultad Nacional de Agronomía Medellín
0304-2847
2248-7026
Facultad de Ciencias Agrarias - Universidad Nacional de Colombia
https://doi.org/10.15446/rfnam.v77n1.107027

Recibido: 28 de agosto de 2023; Aceptado: 22 de octubre de 2023

Physiological evaluation of Sonchus oleraceus L. seeds with different pre-germinative treatments under high tropical latitudinal conditions

Evaluación fisiológica de semillas de Sonchus oleraceus L. mediante diferentes tratamientos pre-germinativos en condiciones latitudinales de trópico alto

J. Guevara-Barrera, 1 S. Magnitskiy, 2 H. Balaguera-López, 2

Escuela de Ingeniería Agronómica, Universidad Pedagógica y Tecnológica de Colombia, Tunja, Colombia. judy.guevara@uptc.edu.co Universidad Pedagógica y Tecnológica de Colombia Escuela de Ingeniería Agronómica Universidad Pedagógica y Tecnológica de Colombia Tunja Colombia
Departamento de Agronomía, Facultad de Ciencias Agrarias, Universidad Nacional de Colombia, Bogotá, Colombia. svmagnitskiy@unal.edu.co, hebalagueral@unal.edu.co Universidad Nacional de Colombia Departamento de Agronomía Facultad de Ciencias Agrarias Universidad Nacional de Colombia Bogotá Colombia

ABSTRACT

Sonchus oleraceus L. is an invasive species that negatively affects the quality and yield of different crops. This research aimed to evaluate the physiological behavior of seeds from the weed S. oleraceus L., which were subjected to different treatments in three experiments. In experiment 1, different gibberellic acid (GA) concentrations were applied (0, 200, 400, and 600 mg L-1). In the second experiment, apical, basal, and apical-basal cut treatments were carried out on the seeds. In a third experiment, seeds were placed at different sowing depths (0.5, 1, 2, 5, and 10 cm) in peat as the substrate. The results indicated that GA at concentrations higher than 200 mg L-1 inhibited seed germination and, consequently, seedling growth. Germination was similar between the 200 mg L-1 GA treatment and the control, but germination occurred faster in the control. The apical-basal cut in the seeds generated the highest percentage of germination, the highest average speed of germination, and a significantly lower time of germination than the control; however, the longest shoot was observed in the seeds without a cut, and the longest root was detected in the seeds with the basal cut. Seedling emergence was affected by sowing depth, where it was significantly greater at 0.5, lesser at 2 cm, and, at greater depths, seedlings did not emerge.

Keywords:

Dormancy, Germination physiology, Gibberellins, Scarification, Sowing depth.

RESUMEN

Sonchus oleraceus L., es una especie invasiva que afecta negativamente la calidad y el rendimiento de diferentes cultivos. El objetivo de esta evaluación fue evaluar el comportamiento fisiológico de las semillas de la maleza S. oleraceus L., para lo cual, las semillas fueron sometidas a diferentes tratamientos en tres experimentos. En el experimento 1 se aplicaron diferentes concentraciones de ácido giberélico (0, 200, 400 y 600 mg L-1). En el segundo experimento se realizaron tratamientos de despunte apical, basal, y apical-basal, más un control. En un tercer experimento las semillas se sometieron a diferentes profundidades de siembra (0,5, 1, 2, 5 y 10 cm) en turba como sustrato. Los resultados indicaron que el ácido giberélico en concentraciones superiores a 200 mg L-1 presentó un efecto inhibidor de germinación y, por tanto, del crecimiento de las plántulas. La germinación con 200 mg L-1 de GA y el control fue similar, pero en el control la germinación ocurrió más rápido. Por su parte, el despunte apical-basal generó el mayor porcentaje de germinación, la mayor velocidad media de germinación, y un tiempo significativamente inferior al control; sin embargo, la mayor longitud de parte aérea fue presentada en las semillas sin despunte, y la mayor longitud de raíz en el despunte basal. La emergencia de las plántulas disminuyó en función de la profundidad de siembra, ya que fue significativamente mayor en 0,5, menor a 2 cm y en profundidades mayores no se logró emergencia de las plántulas.

Palabras clave:

Latencia, Fisiología de germinación, Giberelinas, Escarificación, Profundidad de siembra.

Sonchus oleraceus L. (Asteraceae) is an herbaceous species with medicinal properties (Alothman et al. 2018). In folk medicine, the leaf infusions of S. oleraceus are employed to treat headaches, hepatitis, bacterial infections, and inflammations, since this species possesses strong anti-inflammatory effects (Vilela et al. 2009); its latex is known for antibacterial properties (Ghaffaripour et al. 2021). It gained attention in agriculture because it is a noxious invasive weed as a result of its genetic diversity and morphological features, together with herbicide resistance (Khalsa et al. 2021; Peerzada et al. 2021; Chauhan and Jha 2020). It is highly competitive, difficult to control in the field, and tends to adapt well to varied crop regions because of its germination and growth in broad temperature regimes and soil conditions (Rojas-Sandoval et al. 2015; Manalil et al. 2018; Ali et al. 2020). It is widely distributed worldwide (Morrison et al. 2021; Peerzada et al. 2021) and, in Colombia, is found in the highlands in various crops (Gámez et al. 2018; Moreno-Preciado and Balaguera-López 2021; Martínez et al. 2022).

S. oleraceus L. is an annual plant that reproduces only by seeds (Khalsa et al. 2021). Its seeds need light to germinate and can germinate at any time of the year (Rojas-Sandoval et al. 2015) and have the potential to emerge all year round from the top 2 cm layer of soil, but emergence is favored when seeds are sown 1 cm deep (Widderick et al. 2010). Khalsa et al. (2021) compiled germination studies on S. oleraceus for temperate and subtropical climate conditions, which evidenced different environmental requirements for seeds to germinate. Under tropical conditions, there are few reports, but the germination percentage can be between 41 and 72.5% (Martínez et al. 2022). According to Savaedi et al. (2019), seed germination is highly sensitive to environmental factors. Under high tropical conditions, the details of the germination physiology of this species are unknown. At the same time, this information could be beneficial in comprehensive weed management (Niño-Hernández et al. 2020) optimizing germination when S. oleraceus is cultivated as a medicinal species.

The light requirement for germination and germination dependence on chemical signals from the environment (nitrate, gibberellins, ethylene, karrikins, and others) are some of the factors that could trigger germination in small seeds with few storage reserves (Baskin and Baskin 2014), such as those of S. oleraceus. If they germinate too deep in the soil, their nutrient reserves are insufficient to sustain the seedling growth to successfully emerge at the soil surface (Fenner 2012). Typically, weed seeds are dormant to ensure their survival by avoiding unfavorable conditions (Bera et al. 2020). They can present physiological dormancy, where applying gibberellins can stimulate germination (Lutts et al. 2016; Savaedi et al. 2019). Gibberellins are hormones that control seed germination through the activation of hydrolytic enzymes and, in photoblastic species, reactions mediated by PhyA and PhyB phytochromes (Barros-Galvão et al. 2019; Savaedi et al. 2019; Castro-Camba et al. 2022). Nevertheless, some seeds require scarification processes to guarantee the entry of water and oxygen to the embryo, such as when they present physical dormancy (Baskin and Baskin 2014).

Therefore, this research aimed to evaluate the physiological behavior of S. oleraceus seeds with different pre-germinative treatments under high tropical latitudinal conditions.

MATERIALS AND METHODS

Location and plant material

The research was carried out in the Plant Physiology laboratory of the Faculty of Agricultural Sciences of the Pedagogical and the Technological University of Colombia, Tunja Headquarters, located at 5°33'20.1" N, 73°21'18.0" W, and 2,782 meters above sea level (masl).

For the collection of S. oleraceus seeds, visits were made in July, 2018 to crops in the municipalities of Duitama, Nobsa, Paipa, and Tibasosa in traditional agricultural fields of broccoli (Brassica oleracea var. italica), cauliflower (B. oleracea var. botrytis), lettuce (Lactuca sativa L.), cabbage (B. oleracea var. capitata), and spinach (Spinacia oleracea L.), in addition to harvested fields. Once the species was identified by its leaves, growth habit, and flower, floral structures in optimal health and maturity were harvested; that is, all flowers that were about to release the seeds were collected, identifying this stage by exposure of the pappus since this structure disperses seeds through the air. To facilitate the seed counting and selection methodology, the pappus was removed from the seeds, which facilitated the release of the seeds in a group and allowed the collection of more than 80 seeds per inflorescence. The weight of 1,000 fresh seeds without pappus was 0.2782 g, and the length of each seed was approximately 3 mm (Figure 1). These seeds were deposited in a resealable bag, thus, making a mixture of seeds between the different crops and municipalities of origin, to guarantee a representative sample of land with an agricultural tradition in the department and, simultaneously, facilitate subsequent handling.

Adult plants and mature sexual propagules of S. oleraceus grown in high tropical latitudinal conditions.

Figure 1: Adult plants and mature sexual propagules of S. oleraceus grown in high tropical latitudinal conditions.

The harvested seeds were left to dry at room temperature (18±1.9 °C) and stored under dark conditions in paper bags for 30 days. The seed sample was used to carry out three experiments, each under a completely randomized design, as described below:

Experiment 1

The seeds were imbibed in solutions with different concentrations of gibberellins (0, 200, 400, and 600 mg L-1 of GA3), which were based on the reports of Niño-Hernández et al. (2020). Four replicates per treatment were used, and each of the 16 experiment units consisted of a Petri dish with 100 seeds. Each gibberellin solution was prepared in distilled water and with the product ProGibb® 10 SP (Bayer S.A, Colombia), whose active ingredient is gibberellic acid (100 g kg-1). The treatments were applied daily to the Petri dishes to moisten the absorbent paper.

Experiment 2

For this experiment, a cut was made to the seeds in the apical part (insertion zone with the pappus), basal part (insertion zone with the floral receptacle), and apical-basal part, and a group of seeds was left intact, without any cut (control), for a total of four treatments with four replicates. Each experiment unit was made up of 100 seeds. Once this procedure was carried out, the seeds were placed in Petri dishes with distilled water and absorbent paper.

Experiment 3

Five treatments corresponding to the sowing of S. oleraceus seeds at different depths (0.5, 1, 2, 5, and 10 cm) were evaluated, each treatment presented four replicates. Each replicate consisted of 100 seeds sown in 0.5 L pots with PRO-MIX blonde peat as the substrate, whose physicochemical properties are reported in Moreno et al. (2009). The sowing of each seed was carried out through a 5 mm diameter tube that was inserted into the substrate to the depth required in each treatment. After sowing, the seeds were covered with the same substrate. The substrate was kept moist at field capacity with daily irrigation with distilled water, following the gravimetric method, adapted from Segura et al. (2011).

All the experiments had natural light (211 μmol m-2 s-1) conditions, with a photoperiod of 12 h and an average temperature of 18±1.9 °C, which is considered a favorable temperature for seed germination of this species (Gresta et al. 2010).

Physiological variables

The germination readings and the time in which this occurred were recorded every two days from the germination of the first seed until constant germination (no further germination obtained). This was at 18, 16, and 34 days for experiments 1, 2, and 3, respectively. A seed was considered germinated when the already visible radicle measured at least 2 mm in length. In the sowing depth experiment, the percentage of seedling emergence was measured, understood as the emergence of the hypocotyl on the surface of the substrate. From these data and with the formulas used by Porras et al. (2020), the following variables were calculated: the germination percentage, mean germination speed (germinated seeds d-1), and mean germination time (d).

In experiments 1 and 2, the length (mm) of the aerial part and roots were measured on ten seedlings in each experiment unit. The shoot and root length were measured with the help of a Mitutoyo digital caliper with an approximation of 0.05 mm.

Statistical analysis

The accumulated germination was adjusted to the logistic model according to the methodology used by Cepeda et al. (2021) and Maestre et al. (2023); the first derivative of the model calculated the germination rate as a function of time. This procedure was carried out with R Studio.

The data were subjected to tests of normality of errors (Shapiro-Wilk) and homogeneity of variances (Levene). With these assumptions, an analysis of variance was carried out. In the case of significant differences (P<0.05), a mean comparison test was performed using the Tukey test (P<0.05) or regression analysis. These analyses were performed with the statistical program SPSS V.19.

RESULTS AND DISCUSSION

Experiment 1

Effect of gibberellic acid

For germination behavior, a logistic model was adjusted at all concentrations (Figure 2 and Table 1). The seeds of the control treatment were characterized by rapid germination during the first seven days, at which time 73.88% of the seeds germinated. The highest speed (44.37 germinated seeds d-1) was obtained four days after sowing. Afterward, germination remained more or less stable until 18 days. With 200 mg L-1 of GA3, the germination began two days later, but the final germination was similar, with a high germination speed for several days. With 600 mg L-1, the percentage and speed of germination were significantly lower throughout the study (Figure 2).

Effect of different doses of gibberellic acid (0, 200, 400, and 600 mg L-1) on accumulated germination (A) and the germination speed (B) of S. oleraceus seeds.

Figure 2: Effect of different doses of gibberellic acid (0, 200, 400, and 600 mg L-1) on accumulated germination (A) and the germination speed (B) of S. oleraceus seeds.

Table 1: Fitting equations to the logistic model for the percentage germination of Sonchus oleraceus.

The final germination percentage presented statistical differences (P<0.05) between the concentrations of GA3. It was higher with 0 (78.5±3.1%) and 200 mg L-1 of GA3 (83.5±5.61%) and lower with 600 mg L-1 (14.75±3.5%); this behavior was adjusted to a quadratic equation (Figure 3A). The mean germination speed (MGS) was also adjusted to the same type of regression. The highest speed was observed with 0 and 200 mg L-1 of GA3 (Figure 3B). The mean germination time (MGT) presented significant differences, and a linear behavior was observed that depended on the increase in GA3, which was higher with 600 mg L-1 (Figure 3C).

Effect of different concentrations of gibberellic acid (0, 200, 400, and 600 mg L-1) on germination percentage (A), mean germination speed (B), mean germination time (C), length of root (D), and length of shoot (E) of S. oleraceus. Vertical bars for each mean indicate the standard error (n=4). **significant regression (P<0.01).

Figure 3: Effect of different concentrations of gibberellic acid (0, 200, 400, and 600 mg L-1) on germination percentage (A), mean germination speed (B), mean germination time (C), length of root (D), and length of shoot (E) of S. oleraceus. Vertical bars for each mean indicate the standard error (n=4). **significant regression (P<0.01).

The length of the main root was significantly greater in the control seedlings and decreased quadratically as the concentration of GA3 decreased (Figure 3D). The length of the aerial part was greater with 0 and 200 mg L-1 of GA3, but with 400 and 600 mg L-1 of GA3, this parameter was significantly reduced, described by a second-degree polynomial (Figure 3E).

In the control seeds, endogenous gibberellins can be responsible for inducing germination; these plant hormones, particularly GA1 and GA4 induce germination through the activation of hydrolytic enzymes that degrade reserve polysaccharides in the endosperm, such as amylases, and structural polysaccharides of seed coats (Castro-Camba et al. 2022; Gong et al. 2022). Additionally, seeds that germinate faster have the possibility of starting root growth and shooting first, for this reason, in the control treatment, seedlings were also larger in size (Figure 3D, E).

However, the applications exceeding 200 mg L-1 GA3 reduced the seed germination percentage in S. olearaceus and seedling growth. The adverse effects of GA3 on seed germination are not frequent but have been reported previously for various species. S. oleraceus could react negatively to GA3 because the 13-hydroxylation pathway negatively affects its biological activity (Magome et al. 2013). To respect, Lee et al. (2022) found that GA3 did not promote germination while combining GA1 and GA4 effectively broke Amsonia elliptica seed dormancy. In coffee seeds, GA applications resulted in the release of one or more compounds from the endosperm that further induced cell death in the embryo (Da Silva et al. 2005). These authors argued that the GA-caused inhibition occurs very late during germination and immediately before radicle protrusion. In particular, the mechanism of the GA-induced inhibition of coffee seed germination may involve the release of mannose as the result of mannan degradation by GA, where mannose accumulation could inhibit ATP synthesis and hexose metabolism in seeds (Da Silva et al. 2005).

The GA3 treatments of 125, 250, and, especially, 500 mg L-1 of seeds of Ferocactus histrix and F. latispinus (Cactaceae) had adverse effects on their germination percentages and germination speed, which might be attributed to the use of the supra-optimal concentrations of GA3 (Amador-Alférez et al. 2013). GA3 had no positive effects on germination percentage and germination dynamics in Euptelea pleiospermum seeds, while light and KNO3 positively affected germination (Wei et al. 2010). In Hepatica asiatica seeds, applications of gibberellic acid (GA3) promoted embryo growth, reducing morphological dormancy, but had no positive effect on radicle protrusion (Chon et al. 2015). Additionally, the interaction with other hormones might modify the effects of GA on seed germination. Thus, GA4+7 and cytoquinin mixture delayed seed germination and reduced seedling formation in eggplant (Neto et al. 2017).

The duration and the temperature of seed storage may also diminish the effects of GA treatment on seed germination (Rivera et al. 2011). In sweet corn, GA applications at a rate of 10-20 mg L-1 lost their positive effect on seed germination when the storage time exceeded 60 days, especially when the seeds were stored at 25 °C (Rivera et al. 2011). Some of these processes may have occurred in S. oleraceus seeds; however, other studies at the molecular level are needed to understand in more detail the GA inhibition of germination observed in these seeds.

Experiment 2

Type of scarification

For germination behavior in all treatments, initial germination was slow, which then had a marked increase, and, at the end of the experiment, it was slower (Figure 4A and Table 1). Greater germination was observed with the basal-apical cut, with a representative speed in the first 11 days. With the apical cut, germination started late but most of the seeds germinated quickly. For this reason, the peak germination speed was the highest (30.3 germinated seeds d-1 on day 8) but extended for a short time. The seeds with a basal cut constantly germinated throughout the experiment, which is why the speed was similar in most of the experiments. However, it was the lowest, even below the control, which might indicate that the embryo received mechanical damage during the basal cut. Nevertheless, this last treatment germinated slower at a lower percentage and only had a representative speed at nine days (Figure 4B).

Effect of scarification type on accumulated germination (A) and the germination speed (B) of S. oleraceus seeds.

Figure 4: Effect of scarification type on accumulated germination (A) and the germination speed (B) of S. oleraceus seeds.

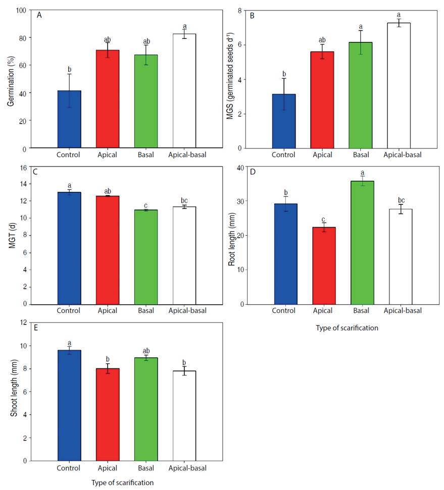
The final percentage of germination was significantly different between treatments, being higher in the seeds with the two cuts (82.5±3.4%) and lower in the control seeds (Figure 5A). MGS was significantly higher with the basal and apical-basal cut, and the control presented the lowest value (Figure 5B). The most favorable response for MGT was obtained with the basal cut as it presented less time (10.95±0.09 d), followed by the seeds with the apical-basal cut. The opposite response was obtained with the control seeds (Figure 5C).

Effect of scarification type on germination percentage (A), mean germination speed (B), mean germination time (C), length of root (D), and length of shoot (E) of S. oleraceus. Means followed by different letters indicate significant differences according to the Tukey test (P<0.05). Vertical bars for each mean indicate the standard error (n=4).

Figure 5: Effect of scarification type on germination percentage (A), mean germination speed (B), mean germination time (C), length of root (D), and length of shoot (E) of S. oleraceus. Means followed by different letters indicate significant differences according to the Tukey test (P<0.05). Vertical bars for each mean indicate the standard error (n=4).

Root length was significantly affected by the cut type. It was more significant with the basal cut (35.8±1.4 mm) and less with the apical cut (Figure 5D). The control seedlings had the highest growth for shoot length with significant differences in the treatments with an apical cut and an apical-basal, which presented lower values (Figure 5E).

The germination percentages were different in the experiments (Figures 3, 7, and 5) but were close to previous reports for the tropics, which indicated that germination in this species can be between 41 and 72.5% (Martínez et al. 2022). However, in Australia, 65 to 100% of S. oleraceus seeds germinated (Widderick et al. 2004).

The results suggest the presence of exogenous, probably physical dormancy in S. oleraceous seeds, since the basal, apical, and, especially, joint apical-basal cuts accelerated seed germination because a cut in the seed coat allows the uptake of water and oxygen into the seed in less time (Baskin and Baskin 2014). Physical dormancy is one of the most common types of dormancy in plant species, where the seed or fruit coats are water-impermeable and unable to imbibe water, limiting the germination process (Baskin and Baskin 2014). For this reason, scarification is one of the main methods to break this dormancy (Arceo-Gómez et al. 2022; Guo et al. 2022). In nature and field crops, S. oleraceus can overcome physical dormancy through day/night temperature changes, high rainfall, microbial activity, soil acidity, or even passage through the digestive tract of some animals, among others, as reported for other species (Baskin and Baskin 2014). If this does not occur, the germination percentages that the species normally present may be sufficient, compensated for by the high number of seeds the plant produces, but also by its easy dispersion (Andrade et al. 2022). It has been reported that the average number of seeds per capitulum in this species is around 140 and the mean number of capitula per plant is 4.4 (Cici and Van Acker 2009).

The basal and apical cuts allow more uptake of water and oxygen to the seeds, which probably explains the higher and faster germination found in S. oleraceus. However, it remains unexplained how seedlings obtained with this treatment had a short length since it would be expected that they would be larger as they germinate faster. Partially similar results were found in Passiflora edulis Sims and Passiflora ligularis seeds, where a basal cut increased germination over the control (Gutiérrez et al. 2011).

Experiment 3

Sowing depth

For germination behavior, the seeds sowed at shallow depths had high percentages of emergence in the first 16 days, which then tended to stabilize until the end of the experiment. This also coincided with a higher speed of emergence, with a maximum peak at eight days. As the depth increased, the percentage and speed of emergence decreased considerably, mainly at a depth of 2 cm (Figure 6).

Effect of sowing depth on accumulated emergence (A) and the emergence speed (B) of S. oleraceus seedlings.

Figure 6: Effect of sowing depth on accumulated emergence (A) and the emergence speed (B) of S. oleraceus seedlings.

At the three depths, the logistic model described the emergence behavior (Figure 6A and Table 1).

The final emergence percentage presented statistical differences (P<0.01), and there was a tendency for less emergence with a greater depth. Seedling emergence was no longer evident, even at depths greater than 2 cm (Figure 7A).

Effect of sowing depth on emergency percentage (A), mean emergency speed (B), and mean emergency time (C) of S. oleraceus. Means followed by different letters indicate significant differences according to the Tukey test (P<0.05). Vertical bars for each mean indicate the standard error (n=4).

Figure 7: Effect of sowing depth on emergency percentage (A), mean emergency speed (B), and mean emergency time (C) of S. oleraceus. Means followed by different letters indicate significant differences according to the Tukey test (P<0.05). Vertical bars for each mean indicate the standard error (n=4).

For this reason, depths 5 and 10 cm in MES and MET were not included. The MES was statistically higher at a depth of 0.5 cm (2.13±0.44 emerged seedlings d-1).

The planting depth of 2 cm generated the lowest speed with 0.17±0.07 emerged seedlings d-1. MET had no statistical differences; the times were between 22 and 23 d (Figure 7C).

This reduction in the germination percentage and emergence rate at a greater depth could have been caused by external factors, including changes in light regime or lowering temperature with sowing depth (Baskin and Baskin 2014). However, according to Gresta et al. (2010), S. oleraceus seeds from Mediterranean populations were indifferent to light conditions during germination and maintained germination over 90% at temperatures between 10 and 35 °C.

In this case, it may have been the factor of seed size (small seed reserves) that was responsible for the reduced seed germination (Fenner 2012). Since S. oleraceus achens are small (1 wide and 2-4 cm long), insufficient seed reserves might have limited the seedling emergence from the greatest depth.

The results obtained for S. oleraceus agree with Manalil et al. (2018), who indicated that light favored germination, which occurred at the first depths (0.5 to 2 cm). In this respect, Widderick et al. (2010) indicated that S. oleraceus can emerge all year round from the top 2 cm layer of soil, where emergence is favored more when seeds are 1 cm deep. S. oleraceus seeds found at depths greater than 2 cm, similar to those reported in another species, can remain viable for a variable time and may eventually germinate when the soil layer is turned, a common situation in different agricultural soils. Other seeds can fall to greater depths through the soil pores and finally die if the soil is not disturbed for several years (Baskin and Baskin 2014). Therefore, zero-tillage is an effective method for managing this species since most of the seeds remain in the uppermost 2 cm soil layer, and the seed bank can become smaller with increasing soil depths (Khalsa et al. 2021). On the other hand, Widderick et al. (2010) reported that, in eastern Australia, 2% of seeds were viable on the soil surface after six months, and 12% remained intact at a depth of 10 cm after thirty months. Although germination is increased by light, low germination is possible under darkness, indicating the potential of this species to emerge under conditions of shallow burial or residue cover (Manalil et al. 2018).

Similar to what was found in S. oleraceus, Niño-Hernández et al. (2020) reported that Amaranthus hybridus tends to have a greater germination capacity when it is found at a shallower depth in the soil (3 cm). On the other hand, Li et al. (2020) reported that Periploca sepium seeds germinated faster at 2 cm, while at depths of 4-5 cm, the speed decreased considerably.

CONCLUSIONS

Gibberellic acid concentrations higher than 200 mg L-1 had an inhibitory effect on germination and, consequently, on seedling growth, unusual behavior in nature. Apical-basal cuts on the seeds generated the highest germination percentage (82.5±3.4%), and the process occurred faster than in the control. Seedling emergence was affected by planting depth, where S. oleraceus germinated at depths less than 2 cm, at greater depths, seedlings did not emerge. With 0.5 cm the highest percentage was obtained, corresponding to 46.5±8.8%. The results indicated that S. oleraceus presents physical dormancy and requires light to germinate. In all experiments, the logistic model described the behavior of germination percentage as a function of time. These results contribute to the knowledge of the physiology and ecology of this species and may be useful for integral management strategies for this weed.

REFERENCES

  1. Ali HH, Kebaso L, Manalil S and Chauhan BS (2020) Emergence and germination response of Sonchus oleraceus and Rapistrum rugosum to different temperatures and moisture stress regimes. Plant Species Biology 35:16-23. https://doi.org/10.1111/1442-1984.12254 [URL] 🠔
  2. Alothman EAS, Awaad A, Safhi A, Almoqren SS et al (2018) Evaluation of anti-ulcer and ulcerative colitis of Sonchus oleraceus L. Saudi Pharmaceutical Journal 26: 956-959. https://doi.org/10.1016/j.jsps.2018.05.004 [URL] 🠔
  3. Amador-Alférez KA, Díaz-González J, Loza-Cornejo S and Bivián-Castro EY (2013) Efecto de diferentes reguladores de crecimiento vegetal sobre la germinación de semillas y desarrollo de plántulas de dos especies de Ferocactus (Cactaceae). Polibotánica 35:109-131. 🠔
  4. Andrade LIF de, dos Santos JP, Duarte GN, Freitas CG de et al (2022) The cultivation environment influences the physiological quality of stored Sonchus oleraceus L. seeds. Research, Society and Development 11(15): e199111536989. http://doi.org/10.33448/rsd-v11i15.36989 [URL] 🠔
  5. Arceo-Gómez TM, Robles-Díaz E, Manrique-Ortega MD, Martínez-Campos ÁR et al (2022) Pre-Germinative Treatments and Morphophysiological Traits in Enterolobium cyclocarpum and Piscidia piscipula (Fabaceae) from the Yucatan Peninsula, Mexico. Plants 11: 2844. https://doi.org/10.3390/plants11212844 [URL] 🠔
  6. Barros-Galvão T, Dave A, Gilday AD, Harvey D, Vaistij FE and Graham IA (2019) ABA INSENSITIVE4 promotes rather than represses PHYA-dependent seed germination in Arabidopsis thaliana. New Phytologist 226: 953-956. https://doi.org/10.1111/nph.16363 [URL] 🠔
  7. Baskin CC and Baskin JM (2014) Seeds: Ecology, Biogeography, and Evolution of Dormancy and Germination. Second edition. Academic Press, San Diego. 169p. 🠔
  8. Bera A, Mukhopadhyay E, Kar CS, Kumar M and Bhandari HR (2020) Efficacy of scarification treatments on release of seed coat imposed dormancy in five wild species of genus Corchorus. South African Journal of Botany 135: 144-147. https://doi.org/10.1016/j.sajb.2020.07.040 [URL] 🠔
  9. Castro-Camba R, Sánchez C, Vidal N and Vielba JM (2022) Plant Development and Crop Yield: The Role of Gibberellins. Plants 11: 2650. https://doi.org/10.3390/plants11192650 [URL] 🠔
  10. Cepeda MA, Vélez-Sánchez JE and Balaguera-Lopez HE (2021) Analysis of growth and physicochemical changes in apple cv. Anna in a high-altitude tropical climate. Revista Colombiana de Ciencias Hortícolas 15(2): e12508. https://doi.org/10.17584/rcch.2021v15i2.12508 [URL] 🠔
  11. Chauhan BS and Jha P (2020) Glyphosate resistance in Sonchus oleraceus and alternative herbicide options for its control in Southeast Australia. Sustainability 12(20): 8311. https://doi.org/10.3390/su12208311 [URL] 🠔
  12. Chon YS, Jeong KJ, Lee SW and Yun JG (2015) Role of temperature and gibberellic acid in stimulating embryo elongation and radicle emergence of Hepatica asiatica Nakai seeds. Korean Journal of Horticultural Science and Technology 33(3): 331-339. http://doi.org/10.7235/hort.2015.14165 [URL] 🠔
  13. Cici SZH and Van Acker RC (2009) A review of the recruitment biology of winter annual weeds in Canada. Canadian Journal of Plant Science 89: 575-589. http://doi.org/10.4141/CJPS08131 [URL] 🠔
  14. Da Silva EA, Toorop PE, Nijsse J, Bewley JD and Hilhorst HWM (2005) Exogenous gibberellins inhibit coffee (Coffea arabica cv. Rubi) seed germination and cause cell death in the embryo. Journal of Experimental Botany 56(413): 1029-1038. https://doi.org/10.1093/jxb/eri096 [URL] 🠔
  15. Fenner MW (2012) Seed ecology. Springer Science & Business Media, Netherlands. 151 p. 🠔
  16. Gámez A, Rojas L, Jaramillo M, Cruz E, Hoyos V, Cepeda J and Plaza GA (2018) Guía ilustrada de plantas arvenses del Centro Agropecuario Marengo (CAM). Universidad Nacional de Colombia, Bogotá. 382 p. 🠔
  17. Ghaffaripour R, Bargahi A and An'aam M (2021) Antibacterial effect of latex and aqueous and hydroalcoholic extracts of Sonchus oleraceus L. Qom. University of Medical Sciences Journal 15(8): 574-579. 🠔
  18. Gresta F, Cristaudo A, Onofri A, Restuccia A and Avola G (2010) Germination response of four pasture species to temperature, light, and post-harvest period. Plant Biosystems - An International Journal Dealing with all Aspects of Plant Biology 144: 849-856. https://doi.org/10.1080/11263504.2010.523549 [URL] 🠔
  19. Gong D, He F, Liu J, Zhang C, Wang Y et al (2022) Understanding of hormonal regulation in rice seed germination. Life 12: 1021. https://doi.org/10.3390/life12071021 [URL] 🠔
  20. Guo H, Liu Y, Wang H and Li S (2022) Study on the dormancy characteristics of chinese pistache (Pistacia chinensis Bunge) seeds. Forests 13: 1521. https://doi.org/10.3390/f13091521 [URL] 🠔
  21. Gutiérrez MI, Miranda D and Cárdenas-Hernández JF (2011) Efecto de tratamientos pregerminativos sobre la germinación de semillas de gulupa (Passiflora edulis Sims.), granadilla (Passiflora ligularis Juss.) y cholupa (Passiflora maliformis L.). Revista Colombiana de Ciencias Hortícolas 5(2): 209-219. 🠔
  22. Khalsa GS, Dahiya S and Chauhan BS (2021) Chapter 17 - Sonchus oleraceus. pp. 375-389. In: Chauhan B.S (ed). Biology and management of problematic crop weed species, Academic Press, London. 405 p. https://doi.org/10.1016/B978-0-12-822917-0.00001-X [URL] 🠔
  23. Lee SY, Park K, Jang B-K, Ji B, Lee H et al (2022) Exogenous gibberellin can effectively and rapidly break intermediate physiological dormancy of Amsonia elliptica seeds. Frontiers in Plant Science 13:1043897. https://doi.org/10.3389/fpls.2022.1043897 [URL] 🠔
  24. Li T, Sun J, Yang H, Liu J, Xia J and Shao P (2020) Effects of shell sand burial on seedling emergence, growth and stoichiometry of Periploca sepium Bunge. BMC Plant Biology 20: 112 https://doi.org/10.1186/s12870-020-2319-4 [URL] 🠔
  25. Lutts S, Benincasa P, Wojtyla L, Kubala S et al (2016) Seed priming: New comprehensive approaches for an old empirical technique. New Challenges in Seed Biology. Basic and Translational Research Driving Seed Technology 1-46. https://doi.org/10.5772/64420 [URL] 🠔
  26. Maestre L, Palacios E, Moreno BL, Balaguera-López HE and Hernandez JP (2023) Hydroalcoholic extracts of Campomanesia lineatifolia R. & P. seeds inhibit the germination of Rumex crispus and Amaranthus hybridus. Horticulturae 9: 177. https://doi.org/10.3390/horticulturae9020177 [URL] 🠔
  27. Manalil S, Haider Ali H and Chauhan BS (2018) Germination ecology of Sonchus oleraceus L. in the northern region of Australia. Crop and Pasture Science 69(9): 926-932. https://doi.org/10.1071/CP18059 [URL] 🠔
  28. Martínez CA, Balaguera-López HE and Fonseca JA (2022) Bioherbicidal activity of seed extract of Campomanesia lineatifolia on the weed Sonchus oleraceus L. Agronomía Colombiana 40(1): 49-57. https://doi.org/10.15446/agron.colomb.v40n1.98502 [URL] 🠔
  29. Magome H, Nomura T, Hanada A, Takeda-Kamiya et al (2013) CYP714B1 and CYP714B2 encode gibberellin 13-oxidases that reduce gibberellin activity in rice. Proceedings of the National Academy of Sciences 110: 1947-1952. https://doi.org/10.1073/pnas.1215788110 [URL] 🠔
  30. Moreno-Preciado OE and Balaguera-Lopez HE (2021) Caracterización de la comunidad de malezas y su diversidad en una modelación estadística en un cultivo de duraznero (Prunus persica (L.) Batsch.). Revista U.D.C.A Actualidad & Divulgación Científica 24(1): e1734. https://doi.org/10.31910/rudca.v24.n1.2021.1734 [URL] 🠔
  31. Moreno NH, Álvarez-Herrera JG, Balaguera-López HE and Gerhard F (2009) Propagación asexual de uchuva (Physalis peruviana L.) en diferentes sustratos y a distintos niveles de auxina. Agronomía Colombiana 27(3): 341-348. 🠔
  32. Morrison J, Izquierdo J, Hernández E and González-Andújar JL (2021) The Attractiveness of Five Common Mediterranean Weeds to pollinators. Agronomy 11: 1314. https://doi.org/10.3390/agronomy11071314 [URL] 🠔
  33. Neto FJD, Dalanhol SJ, Machry M, Pimentel A, Rodrigues JD and Ono EO (2017) Effects of plant growth regulators on eggplant seed germination and seedling growth. Australian Journal of Crop Science 11(10): 1277-1282. http://doi.org/10.21475/ajcs.17.11.10.pne542 [URL] 🠔
  34. Niño-Hernández JC, Moreno DF, Ruiz-Berrío HD, Balaguera-Lopez HE and Magnitskiy S (2020) Luz, giberelinas y profundidad de siembra inciden sobre la germinación de semillas de Amaranthus hybridus L. Revista U.D.C.A Actualidad & Divulgación Científica 23(2). https://doi.org/10.31910/rudca.v23.n2.2020.1545 [URL] 🠔
  35. Peerzada AM, Williams A, O'Donnell C and Adkins S (2021) Effect of soil moisture regimes on the glyphosate sensitivity and morpho-physiological traits of windmill grass (Chloris truncate R.Br.), common sowthistle (Sonchus oleraceus L.), and flaxleaf fleabane . Plants 10: 2345. https://doi.org/10.3390/plants10112345 [URL] 🠔
  36. Porras Y, Pedreros M, Reyes-Ardila W and Balaguera Lopez H (2020) Light effect on germination of champa (Campomanesia lineatifolia R. & P.) seeds. Ciencia y Agricultura 17(2): 23-31. https://doi.org/10.19053/01228420.v17.n2.2020.10979 [URL] 🠔
  37. Rivera AAC, Von Pinho RG, Guimarães RM, Veiga AD, Pereira GS and Von Pinho IV (2011) Efeito do ácido giberélico na qualidade fisiológica de sementes redondas de milho doce, sob diferentes condições de armazenamento. Revista Brasileira de Milho e Sorgo 10(3): 247-256. ISSN 1676-689X. 🠔
  38. Rojas-Sandoval J, Acevedo-Rodríguez P and Popay IA (2015) Sonchus oleraceus (common sowthistle). CABI Compendium. https://doi.org/10.1079/cabicompendium.50584 [URL] 🠔
  39. Savaedi Z, Parmoon G, Moosavi SA and Bakhshande A (2019) The role of light and Gibberellic Acid on cardinal temperatures and thermal time required for germination of Charnushka (Nigella sativa) seed. Industrial Crops & Products 132: 140-149. https://doi.org/10.1016/j.indcrop.2019.02.025 [URL] 🠔
  40. Segura MA, Ramírez AR, García G, Preciado P et al (2011) Desarrollo de plantas de tomate en un sustrato de arena-pómez con tres diferentes frecuencias de riego. Revista Chapingo Serie Horticultura 17(1): 25-31. 🠔
  41. Vilela FC, de Mesquita Padilha M, Dos Santos-E-Silva L, Alves-da-Silva G and Giusti-Paiva A (2009) Evaluation of the antinociceptive activity of extracts of Sonchus oleraceus L. in mice. Journal of Ethnopharmacology 124(2): 306-310. 🠔
  42. Wei XZ, Liao JX and Jiang MX (2010) Effects of pericarp, storage conditions, seed weight, substrate moisture content, light, GA3 and KNO3 on germination of Euptelea pleiospermum. Seed Science and Technology 38(1): 1-13. https://doi.org/10.15258/sst.2010.38.1.01 [URL] 🠔
  43. Widderick MJ, Walker SR, Sindel BM and Bell KL (2010) Germination, emergence, and persistence of Sonchus oleraceus, a major crop weed in subtropical Australia. Weed Biology and Management 10: 102-112. https://doi.org/10.1111/j.1445-6664.2010.00370.x [URL] 🠔
  44. Widderick M, Walker S and Sindel BM (2004) Better management of Sonchus oleraceus L. (common sowthistle) based on the weed's ecology. pp. 535-537 In: Sindel BM, Johnson SB (eds.). Weed Management: Balancing People, Planet, Profit. Proceedings of the 14th Australian Weeds Conference. Weed Society of New South Wales, Wagga Wagga, New South Wales, Australia. 🠔