Revista Facultad Nacional de Agronomía Medellín
0304-2847
2248-7026
Facultad de Ciencias Agrarias - Universidad Nacional de Colombia
https://doi.org/10.15446/rfnam.v78n2.110709

Recibido: 6 de junio de 2024; Aceptado: 23 de octubre de 2024

Protein concentrates from Colombian cheese acid whey as a source of antioxidant hydrolysates obtained by proteolysis

Concentrados proteicos a partir de lactosuero ácido de queso colombiano como una fuente de hidrolizados antioxidantes obtenidos por proteólisis

S. Zapata Bustamante, 12 H. Ciro Velásquez, 3 J. Sepúlveda Valencia, 3 D. Durango Restrepo, 4 J. Gil González, 3

Grupo de Investigación Síntesis y biosíntesis de metabolitos naturales, Universidad Nacional de Colombia, Sede Medellín, Colombia. Universidad Nacional de Colombia Grupo de Investigación Síntesis y biosíntesis de metabolitos naturales Universidad Nacional de Colombia Sede Medellín Colombia
Instituto Tecnológico Regional Suroeste, Universidad Tecnológica del Uruguay, Paysandú, Uruguay. sandra.zapata@utec.edu.uy Universidad Tecnológica del Uruguay Instituto Tecnológico Regional Suroeste Universidad Tecnológica del Uruguay Paysandú Uruguay
Facultad de Ciencias Agrarias, Universidad Nacional de Colombia, Sede Medellín, Colombia. hjciro@unal.edu.co, jusepul@unal.edu.co, jhgilg@unal.edu.co Universidad Nacional de Colombia Facultad de Ciencias Agrarias Universidad Nacional de Colombia Sede Medellín Colombia
Facultad de Ciencias, Universidad Nacional de Colombia, Sede Medellín, Colombia. dldurango@unal.edu.co Universidad Nacional de Colombia Facultad de Ciencias Universidad Nacional de Colombia Sede Medellín Colombia

ABSTRACT

Protein concentration and hydrolysis have been widely used in sweet whey to produce a variety of food products, while the use of acid whey has been limited due to its high salinity and acidity, hence this study aimed to obtain different protein concentrates from Colombian double-cream cheese acid whey by ultrafiltration (UF), salt treatment (ST), and thermal precipitation (TP); and to evaluate their potential application in the production of antioxidant hydrolysates by enzymatic hydrolysis with alcalase (ALC), chymotrypsin (CHY), and flavourzyme (FLA). Regarding the protein concentration, the UF, TP, and ST concentrates presented a protein content of 49, 75, and 53% and protein yield of 46, 28, and 43%, respectively. After enzymatic hydrolysis, the soluble protein content decreased in the UF and ST concentrates, while the free amino acid concentration increased in all concentrates. The UF and ST concentrates showed a higher degree of hydrolysis with ALC (33.76 and 33.57%, respectively) and FLA (40.35 and 31.60%, respectively). Concerning antioxidant activity, the UF and ST concentrates treated with ALC (5,675 and 5,199 µmol Trolox L-1, respectively) and CHY (4,663 and 4,419 µmol Trolox L-1, respectively) were the most effective in scavenging the ABTS radical. All the FLA hydrolysates presented higher reducing power (152-183 µmol Trolox L-1) and the UF concentrate, and its hydrolysates showed greater iron-chelating activity. In conclusion, UF and ST are valuable methods for acid whey protein recovery and concentration, which could be converted into potential antioxidant peptides by proteolytic processes.

Keywords:

Acid whey, Antioxidant activity, Bioactive peptides, Enzymatic hydrolysis, Protein concentrate.

RESUMEN

La concentración e hidrólisis de proteínas se han aplicado ampliamente en el lactosuero dulce para producir una variedad de productos alimenticios, mientras que el uso de lactosuero ácido ha sido limitado debido a su alta salinidad y acidez, por lo tanto este estudio tuvo como objetivo obtener diferentes concentrados de proteína a partir de lactosuero ácido de queso colombiano mediante ultrafiltración (UF), tratamiento con sal (ST) y precipitación térmica (TP); así como evaluar su potencial aplicación en la producción de hidrolizados antioxidantes por hidrólisis enzimática con alcalasa (ALC), quimotripsina (CHY) y flavourzima (FLA). Respecto a la concentración de proteína, los concentrados de UF, TP y ST presentaron un contenido de proteína de 49, 75 y 53% y un rendimiento de proteína de 46, 28 y 43%, respectivamente. Después de la hidrólisis enzimática, el contenido de proteína soluble disminuyó en los concentrados de UF y ST, mientras que la concentración de aminoácidos libres aumentó en todos los concentrados. Los concentrados de UF y ST mostraron un mayor grado de hidrólisis con ALC (33,76 y 33,57%, respectivamente) y FLA (40,35 y 31,60%, respectivamente). En cuanto a la actividad antioxidante, los concentrados de UF y ST tratados con ALC (5.675 y 5.199 µmol Trolox L-1, respectivamente) y CHY (4.663 y 4.419 µmol Trolox L-1, respectivamente) fueron los más efectivos en atrapar el radical ABTS. Todos los hidrolizados de FLA presentaron mayor poder reductor (152-183 µmol Trolox L-1) y el concentrado de UF y sus hidrolizados mostraron mayor actividad quelante de hierro. En conclusión, UF y ST son métodos valiosos para la recuperación y concentración de proteínas de lactosuero ácido, las cuales podrían convertirse en potenciales péptidos antioxidantes mediante procesos proteolíticos.

Palabras clave:

Lactosuero ácido, Actividad antioxidante, Péptidos bioactivos, Hidrólisis enzimática, Concentrado proteico.

Whey proteins are a mix of globular proteins obtained from whey including β-lactoglobulin (~50%), α-lactoalbumin (~20%), bovine serum albumin (~10%), immunoglobulins (~10%), and other minor protein fractions of low abundance. These proteins constitute about 20% of the total milk protein content, which have excellent nutritional, biological, and functional properties. Whey proteins are rich in essential and branched-chain amino acids (Khaire and Gogate 2019), they are also precursors of bioactive peptides (Olvera-Rosales et al. 2023), have emulsifying, gelling, and foaming properties, and possess a high digestibility (Embiriekah et al. 2018). All these characteristics make whey a valuable dairy raw material in the food industry for developing value-added products.

Whey proteins are highly diluted in whey, which contains 6-7% of total solids; for that reason, the implementation of techniques for their isolation and concentration is necessary. Methods, such as precipitation and membrane separation, have been used for the recovery of whey proteins, and both methods depend on the physicochemical properties of whey (Jiménez et al. 2012; Yadav et al. 2014). Precipitation of whey proteins is achieved by heating or adding specific chemicals (salts) that cause the insolubility of whey proteins for their easy removal. The membrane separation allows the fractionation of whey components depending on their molecular size. Specifically, ultrafiltration is the most used industrial method for the recovery of whey proteins (Khaire and Gogate 2019). These processes may influence the yield as well as the nutritional and biological properties of proteins (Jiménez et al. 2012).

Whey proteins can be enzymatically hydrolyzed to produce hydrolysates containing peptides with various functions (Olvera-Rosales et al. 2023). These hydrolysates have been reported to act as antioxidants by different mechanisms: inactivation of reactive oxygen species, free radical scavenging, inhibition of lipid peroxidation, chelation of metal ions, or a combination of these mechanisms (Olvera-Rosales et al. 2023). The composition of hydrolysates and their bioactivity can be affected by the enzyme specificity, the nature, concentration, and extent of denaturation of protein substrate, and physicochemical conditions applied during the enzymatic process. These factors can impact the accessibility of enzymes to protein substrate, which may result in the production of hydrolysates with a diversity of peptides of different sizes and structures that can exhibit a wide range of biological activities (Zou et al. 2016; Olvera-Rosales et al. 2023).

Different whey protein products, such as whey protein concentrates (WPC), isolates (WPI), and hydrolysates (WPH), are mainly manufactured from sweet whey, which is obtained by enzymatic coagulation of milk. In contrast, the use of acid whey, which is obtained by fermentation or the addition of organic or mineral acids, is limited due to its high acidity and salinity (Nishanthi et al. 2017). Both sweet and acid whey have different compositions, which could affect the final composition of hydrolysates obtained from them and thus their biological properties. In Colombia, acid whey can be produced during the manufacture of double-cream cheese, a stretched-curd and non-matured cheese traditionally made from a mixture of fresh and acidified cow milk. It is one of the most widely marketed cheeses in the country (representing approximately 30% of total cheese consumption) (Londoño-Zapata et al. 2017), with a monthly production of around 3,000 tons in 2023 that has increased in recent years (Ministerio de Agricultura y Desarrollo Rural 2024). A limited number of studies appear in the literature on the comparison of methods for the acid whey protein concentration and the enzymatic hydrolysis of these products to obtain hydrolysates with different compositions that may exhibit antioxidant capacity. This demonstrates the need to conduct further research in this area, which could contribute to the generation of alternatives that add value to acid whey. For this reason, this study aimed to obtain different whey protein concentrates from Colombian double-cream cheese acid whey by ultrafiltration and precipitation methods, and to evaluate their potential application in the production of antioxidant hydrolysates by enzymatic hydrolysis.

MATERIALS AND METHODS

Materials

Double-cream cheese whey was obtained from the Laboratory of Dairy Products of the Universidad Nacional de Colombia (Medellín, Colombia). Enzymes used for hydrolysis: Alcalase 2.4 L and Flavourzyme 1,000 L were supplied by Novozymes, while α-Chymotrypsin was purchased from Sigma-Aldrich. All other chemicals and reagents of analytical grade were purchased from Merck.

Preparations and characterization of whey protein concentrate

Ultrafiltration, salt treatment, and thermal precipitation were used for the whey protein concentration. A whey sample (500 mL) containing 0.7% of the protein was used in all tests. For ultrafiltration (UF), whey was processed in a tangential ultrafiltration module Vivaflow 50R equipped with a 10 kDa regenerated cellulose membrane. The sample was concentrated 20-fold and lyophilized. Salt treatment (ST) was carried out according to the method described by Lozano et al. (2008), with some modifications. The precipitation was performed with 50% ammonium sulfate (291 g ammonium sulfate per Liter of whey) at 4 °C. The precipitate was recollected by centrifugation (5,000×g, 20 min, 4 °C), dissolved in distilled water and desalinated using 10 kDa cut-off membrane (Vivaflow 50R). Then, the desalinated sample was freeze-dried. Thermal precipitation (TP) was performed according to Tari et al. (2021), with some modifications. Whey was heated in a water bath (Memmert WNB14) to 85 °C for 5 min, cooled on ice and recollected by centrifugation at 5,000×g for 20 min at 4 °C. The precipitate was recovered and freeze-dried.

Whey protein concentrates were characterized by analysis of the following parameters: protein, α-lactalbumin (α-La), β-lactoglobulin (β-Lg), lactose, fat, and moisture. The total protein content was determined by the Kjeldahl method of the AOAC (AOAC 2002). α-La and β-Lg were analyzed by HPLC-DAD on a Shimadzu Prominense liquid chromatography equipped with Diode Array Detector (SPD-M20A), with the following conditions: column, RP JUPITER C18 (5 μm, 250×4.6 mm, 300 Å, Phenomenex); elution system: eluent A, 0.1% (v/v) of trifluoroacetic acid in water; eluent B, 90% (v/v) of acetonitrile and 0.09% (v/v) of trifluoroacetic acid in water; gradient, 0-20 min linear from 75% A to 45% A, 20-25 min 45% A, 25-35 min linear to 100% A, 35-36 min linear from 100% A to 75% A; column temperature, 35 °C; sample temperature, room temperature.; injection volume, 10 μL; acquisition time, 36 min; flow rate, 1 mL min-1; UV detector: λ=228 nm. LabSolutions Software (Shimadzu, LC solution Version 1.22 SP1) was used for data analysis (Waters Co.). Lactose concentration was determined by the dinitrosalicylic acid (DNS) method (Ghasemi et al. 2017). Fat was extracted with hexane (3×10 mL), sonicated (15 min), and centrifuged (5,000×g, 10 min). The supernatants were collected, and fat content was then determined gravimetrically after hexane was evaporated in a vacuum rotary evaporator (40 °C). Moisture content was carried by a gravimetric method (105 °C - Memmert UFE 400) (AOAC 2002).

Protein yield was also determined using Equation (1):

Where WPC is whey protein concentrate.

Enzymatic hydrolysis

Each whey protein concentrate was suspended in deionized water at a concentration of 1% (w/v) on a protein equivalent basis, and pH was adjusted by 1 M NaOH to obtain the optimal value for the enzyme using a pH-meter. The hydrolysis was performed using various enzymes under the following parameters: enzyme/substrate ratio, 1/50 (w/w); pH=8.0 for Alcalase and Chymotrypsin and pH=7.0 for Flavourzyme; temperature, 45 °C. The digestion was allowed for 24 h with continuous stirring. Samples were removed at 0, 4, and 24 h, heated at 85 °C for 10 min, and placed in an ice bath to inactivate the enzymes. The insoluble solids were recollected by centrifugation at 5,000×g for 10 min and the obtained supernatants were adjusted to pH=7.0 and stored at -20 °C.

Degree of hydrolysis (DH)

The degree of hydrolysis (DH) was determined using the o-phthaldialdehyde (OPA) method (Spellman et al. 2003). The OPA reagent (100 mL) was prepared by combining the following solutions: 10 mL of 50 mM OPA (in methanol) and 10 mL of 50 mM N-acetyl-L-cysteine (NAC), 5 mL of 20% (w/v) sodium dodecyl sulfate (SDS) and 75 mL of borate buffer (0.1 M, pH=9.5). The reagent was protected from light and stirred at least 1 h before use. For the assay, 10 μL of sample (or standard) was mixed with 1.2 mL of OPA reagent and the absorbance was recorded at 340 nm after 2 min using an UV-Vis spectrophotometer. A calibration curve was prepared using leucine (0-2 mg mL-1). The degree of hydrolysis (DH) was calculated according to the methodology described by Anzani et al. (2018) as indicated in Equation 2:

Where Nfree are the moles of free nitrogen atoms from α- amino groups of amino acids after hydrolysis measured by the OPA assay, and Ntotal are the total moles of nitrogen atoms in solution before hydrolysis calculated by the ratio of total grams of proteins and the average residual amino acid molecular mass (MW 110 Da).

Protein and free amino acids concentration

The soluble protein content in the supernatant of the hydrolysates was determined by the Bradford method (Nwachukwu and Aluko 2019), using bovine serum albumin as a standard. The free amino acid content was estimated by the ninhydrin method (Quintanilla et al. 2019), using leucine as the standard.

Antioxidant activity

The in vitro antioxidant activity was evaluated by measuring the ABTS radical scavenging activity, reducing power, and Iron (II) chelating capacity. ABTS radical cation was generated according to the method described by Corrêa et al. (2014). 10 µL of hydrolysate (or standard) was mixed with 1 mL of diluted ABTS solution. After 6 min, the absorbance was registered at 734 nm and the results were reported as Trolox equivalents (µmol Trolox L-1) using a Trolox calibration curve.

The reducing power of the hydrolysates was assessed according to the method of Jayanthi and Lalitha (2011), with slight modifications. A 250 μL sample (or standard) was mixed with 250 μL of phosphate buffer (0.2 M, pH=6.6) and 250 μL of a potassium ferricyanide solution (1%, w/v). After 20 min of incubation at 50 °C, 250 μL of a trichloroacetic acid solution (10%, w/v) was added and the resulting mixture was centrifuged at 3,000×g for 10 min. Then, 500 μL of supernatant was mixed with 500 μL of distilled water and 100 μL of a ferric chloride solution (0.1%, w/v). The absorbance was read at 700 nm and the results were expressed as Trolox equivalents (µmol Trolox L-1).

The iron (II) chelating capacity was determined according to the method described by Corrêa et al. (2014), with some modifications. A 100 μL sample (or standard) was mixed with 840 μL of distilled water, 20 μL of 2 mM ferrous sulfate and 40 μL of 5 mM ferrozine (3-(2-pyridyl)-5,6-bis(4-phenyl-sulfonic acid)-1,2,4-triazine). After 10 min, the absorbance was registered at 562 nm. Distilled water and EDTA (40 µg mL-1) were used as negative and positive controls, respectively. The results were expressed using Equation 3:

Figure 1 shows the methodology described above in the preparation of the whey protein concentrates and hydrolysates and their characterization.

Outline of the preparation of the whey protein concentrates and hydrolysates and their characterization.

Figure 1: Outline of the preparation of the whey protein concentrates and hydrolysates and their characterization.

Statistical analysis

The methods of protein concentration were compared using one-way analysis of variance (ANOVA) followed by the least significant difference (LSD) test using Statgraphics Centurion XVI (Statpoint Technologies, Inc.). For enzymatic hydrolysis, three-way repeated measures ANOVA were carried out to analyze the effects of the method of protein concentration, enzyme used, and hydrolysis time on the soluble protein content, free amino acid concentration, degree of hydrolysis, and antioxidant activity, using SAS University Edition Software (SAS Institute, Inc.). All determinations were done in triplicate and values were expressed as mean ±standard deviation, and differences between means were considered statistically significant at P<0.05.

RESULTS AND DISCUSSION

Composition of whey protein concentrates

A whey protein concentrate (WPC) is a processed form of whey proteins containing at least 25% protein, which is obtained by removing sufficient amounts of non-protein components (lactose, fat, and minerals) from whey by different protein separation and concentration techniques (Kilara and Vaghela 2018). In this study, three WPCs were obtained by ultrafiltration (UF), salt treatment (ST), and thermal precipitation (TP) from double-cream cheese whey and their chemical composition is shown in Table 1. These products contained approximately 49-75% protein, 5-35% lactose, 2-5% fat, and 7-8% moisture.

Table 1: Chemical composition of whey protein concentrates obtained by ultrafiltration (UF), salt treatment (ST), and thermal precipitation (TP).

The composition of the UF concentrate and the protein content of the TP concentrate were similar to those of WPC50. In the case of the ST concentrate, the protein content was consistent with WPC75, and the lactose and fat contents were close to those reported by Jiménez et al. (2012), as shown in Table 2.

Table 2: Chemical composition of whey protein products.

All these methods had a significant effect (P<0.05) on protein recovery with a yield of 28-46% in the different products (Table 1). No statistically significant differences (P>0.05) were found in total protein content and yield in the products obtained by TP and UF, respectively. ST produced a higher protein content with a lower yield level compared to TP and UF. This concentrate was subjected to a desalination step that could increase purity with a decrease in yield due to possible loss of protein material. The different protein separation and concentration techniques allowed to obtain WPCs from Colombian double-cream cheese whey with a protein content and yield comparable to that of previous studies. Jiménez et al. (2012) obtained different WPCs by precipitation, ultrafiltration, and freeze drying with a protein content of 20-35% and protein yield of 40-53%. They reported that higher protein content was obtained by ultrafiltration and ammonium sulfate precipitation. Yadav et al. (2014) reported a maximum soluble protein recovery of 53% from the supernatant of K. marxianus fermented cheese whey using thermal precipitation (100 °C, pH=4.5 and 10 min of incubation).

Statistically significant differences in α-La and β-Lg content in the products from UF and ST were observed (Table 1). With respect to the total whey protein content, α-La and β-Lg comprised about 16 and 56% in UF concentrate, and 25 and 27% in ST concentrate, respectively. Poor solubility of the TP concentrate was shown, causing difficulties for the determination of α-La and β-Lg. O'Loughlin et al. (2012) reported that heating of WPI results in the loss of native protein (α-La, β-Lg, and bovine serum albumin), aggregate formation, and insolubilization. They detected a reduction of solubility from 90±1 to 31±2% when samples were heated at 80 °C for 10 min compared to the unheated sample. Jiménez et al. (2012) found α-La, β-Lg, bovine serum albumin, and other minority proteins (lactoferrin and immunoglobulin) in WPCs obtained by UF and ammonium sulfate precipitation, while they were not detected when thermal precipitation was used. In addition, there were no modifications to protein structure during the ultrafiltration process, which is important for biopeptide production.

Enzymatic hydrolysis of whey protein concentrates

WPCs were subjected to enzymatic hydrolysis using different enzymes (ALC, CHY, and FLA), and the progress of the hydrolysis was evaluated by determining the soluble protein content, free amino acid concentration, and degree of hydrolysis (Figure 2). Higher protein solubility was observed in the UF and ST concentrates at time 0, as shown in Figure 2A, which is important for the hydrolytic process. Concerning the TP concentrate, thermal denaturation is one of the effects of heating on the protein structure and functionality. This denaturation can be reversible or irreversible, leading to partial unfolding or aggregate formation involving covalent bonds, and electrostatic, and hydrophobic interactions (Wijayanti et al. 2014). Solubility in the TP concentrate could be affected by thermal treatment (85 °C, 5 min) as reported by O'Loughlin et al. (2012). As hydrolysis progressed, a decrease in the protein content in the UF and ST concentrates was detected. Their protein structure was principally affected by ALC and CHY. No statistically significant changes in the soluble protein content of the TP concentrate were presented with any enzyme during hydrolysis. During heat treatment, whey proteins undergo conformational changes exposing reactive groups that can lead to sulfhydryl (-SH)/disulfide (S-S) interchange reactions or other intra- and intermolecular interactions, forming aggregates, and affecting the solubility of the proteins (Wijayanti et al. 2014). In contrast, the free amino acid content increased in all concentrates over time during hydrolysis (Figure 2B). The results obtained are consistent with other studies. Embiriekah et al. (2018) also detected a decrease in the soluble protein content while an increase in the free amino acid concentration in whey protein hydrolysates prepared with pepsin and trypsin. In addition, increments in the free amino acid content in sheep protein whey hydrolysates were reported by Corrêa et al. (2014). Notably, the UF and ST hydrolysates had higher free amino acids when hydrolyzed with FLA followed by those obtained using ALC after 24 h of hydrolysis. In general, all CHY hydrolysates presented lower free amino acid content. ALC is an endopeptidase from Bacillus licheniformis with broad specificity (Corrochano et al. 2019), and FLA is an enzymatic complex from Aspergillus orysae with both exo- and endopeptidase activity (Merz et al. 2015). Thus, both enzymes could cause greater release of amino acids compared to CHY, which cleaves at the carboxylic side of aromatic and bulky amino acids (Gauthier and Pouliot 2003).

Soluble protein (A), free amino acids (B), and degree of hydrolysis (C) of whey protein concentrates obtained by ultrafiltration (UF), salt treatment (ST), and thermal precipitation (TP) hydrolyzed with alcalase (ALC), chymotrypsin (CHY), and flavourzyme (FLA) at 0 (black), 4 (gray), and 24 h (light gray) of hydrolysis. Results represent the meaning of three experimental repetitions ± standard deviation. Samples with different letters are significantly different (P<0.05).

Figure 2: Soluble protein (A), free amino acids (B), and degree of hydrolysis (C) of whey protein concentrates obtained by ultrafiltration (UF), salt treatment (ST), and thermal precipitation (TP) hydrolyzed with alcalase (ALC), chymotrypsin (CHY), and flavourzyme (FLA) at 0 (black), 4 (gray), and 24 h (light gray) of hydrolysis. Results represent the meaning of three experimental repetitions ± standard deviation. Samples with different letters are significantly different (P<0.05).

The extent of whey protein hydrolysis was evaluated by measuring the degree of hydrolysis (DH), which can be quantified by the determination of free amino acids released during the hydrolytic process using compounds such as o-phthaldialdehyde (OPA) (Spellman et al. 2003). DH increased in all concentrates during enzymatic hydrolysis (Figure 2C), reaching about 18-40, 13-34, and 7-34% in the UF, ST, and TP concentrates at 24 h, respectively. After 24 h of hydrolysis, the UF concentrate treated with FLA presented higher DH followed by all ALC hydrolysates and the ST concentrate hydrolyzed with FLA. Lower DH in the TP concentrate treated with FLA and the CHY hydrolysates were observed. A high DH with ALC and FLA and a low DH with CHY is consistent with the fact that the ALC and FLA hydrolysates presented greater free amino acid content, and the CHY hydrolysates had the lowest concentration. A high release of free amino acids could relate to a high DH as reported in previous work (Embiriekah et al. 2018). The type of protein substrate (WPC), enzyme specificity, and time of hydrolysis could influence the DH values. After 4 h of hydrolysis with ALC, no statistically significant differences in DH were found in all concentrates. The same was observed at 24 h. When the concentrates were treated with CHY, there were no statistical differences in the UF and ST concentrates after 4 and 24 h of hydrolysis. During the digestion with FLA, the UF concentrate showed higher DH compared to the ST and TP concentrates after 4 and 24 h of hydrolysis. It is important to note that the DH of the ALC and FLA hydrolysates increased as the time of hydrolysis increased. In addition, the UF and ST concentrates were more sensitive to the enzymatic action of ALC and FLA. Souza et al. (2019) reported high DH in a WPC obtained by UF when hydrolyzed with ALC. Additionally, as mentioned above, ALC and FLA are enzymes with broad specificity that can cleave protein substrates non-specifically, consistent with the high degree of hydrolysis (DH) and free amino acid content observed in the UF and ST concentrates treated with these enzymes. In contrast, CHY cleaves specific regions in the sequence, producing hydrolysates with lower values for these characteristics.

Antioxidant activity of whey protein hydrolysates

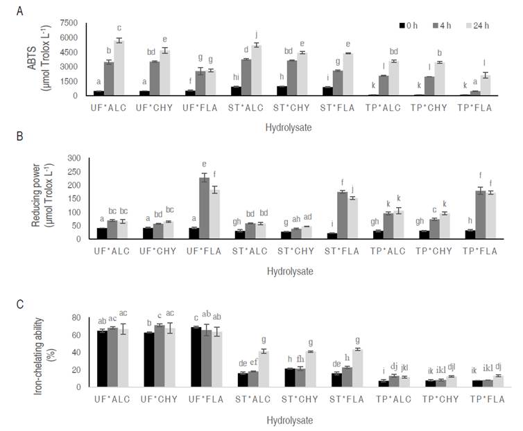
Antioxidant activity of the UF, ST, and TP concentrates hydrolyzed with ALC, CHY, and FLA was examined in vitro by measuring the ABTS cation radical scavenging ability, reducing power, and iron-chelating capacity (Figure 3).

Antioxidant activity measured by ABTS assay (A), reducing power (B), and iron-chelating capacity (C) of whey protein concentrates obtained by ultrafiltration (UF), salt treatment (ST), and thermal precipitation (TP) hydrolyzed with alcalase (ALC), chymotrypsin (CHY), and flavourzyme (FLA) at 0 (black), 4 (gray), and 24 h (light gray) of hydrolysis. Results represent the meaning of three experimental repetitions±standard deviation. Samples with different letters are significantly different (P<0.05).

Figure 3: Antioxidant activity measured by ABTS assay (A), reducing power (B), and iron-chelating capacity (C) of whey protein concentrates obtained by ultrafiltration (UF), salt treatment (ST), and thermal precipitation (TP) hydrolyzed with alcalase (ALC), chymotrypsin (CHY), and flavourzyme (FLA) at 0 (black), 4 (gray), and 24 h (light gray) of hydrolysis. Results represent the meaning of three experimental repetitions±standard deviation. Samples with different letters are significantly different (P<0.05).

Both WPCs and their hydrolysates showed in vitro antioxidant activity. The enzymatic hydrolysis improved ABTS radical scavenging capacity and reduced the power of all concentrates, and iron-chelating activity of the ST and TP concentrates. As shown in Figure 3A, antioxidant activity determined by ABTS assay ranged from 2,523 to 3,448, 2,567 to 3,742, and 454 to 2,039 µmol Trolox L-1 in the UF, ST, and TP concentrates after 4 h of hydrolysis; and from 2,609 to 5,675, 4,360 to 5,199, and 2,101 to 3,560 µmol Trolox L-1 in the same concentrates at 24 h of hydrolysis, respectively. ABTS radical scavenging capacity increased with hydrolysis time. Concerning unhydrolyzed WPCs (0 h), this property increased 5-8-, 3-4-, and 5-24-fold after 4 h of hydrolysis, and 5-12-, 5-6-, and 24-42-fold after 24 h of digestion in the UF, ST, and TP concentrates, respectively. Although higher increases were detected in the TP concentrate, the UF and ST hydrolysates presented greater ABTS radical scavenging ability when compared at the same hydrolysis time. After 4 h of hydrolysis, this property was stronger when both concentrates were treated with ALC and CHY, and no statistically significant differences were detected between them. In addition, better radical scavenging capacity was exhibited in the UF and ST concentrates digested with ALC at 24 h of hydrolysis. These results suggest that the UF and ST methods could produce substrates that processed with ALC and CHY, generate hydrolysates with ABTS radical scavenging ability. The free radical scavenging capacity of the hydrolysates may be attributed to peptides containing aromatic or hydrophobic residues that act through hydrogen donation (Shazly et al. 2017). Previous studies have revealed the antioxidant properties of whey protein hydrolysates measured by the ABTS assay. A WPC obtained by UF was hydrolyzed with alcalase, flavourzyme, and a mix of these enzymes, showing antioxidant activity by ABTS and ORAC, and its activity was higher when treated with ALC (Souza et al. 2019). Corrochano et al. (2019) prepared whey protein hydrolysates with alcalase, neutrase and bromelain from a bovine WPI, and evaluated their antioxidant properties. These hydrolysates exhibited ABTS radical scavenging ability, and their activity was higher in comparison with the unhydrolyzed counterpart.

Reducing power was also determined in all hydrolysates in order to measure the ability of each of them to donate electrons to iron (Figure 3B). Reducing power varied from 56 to 227, 38 to 174, and 73 to 179 µmol Trolox L-1 after 4 h of hydrolysis, and from 65 to 183, 47 to 152, and 95 to 171 µmol Trolox L-1 at 24 h of hydrolysis in the UF, ST, and TP concentrates, respectively. This property increased at 4 h of hydrolysis and a slight decrease was detected after 24 h in all concentrates treated with FLA. No statistically significant differences in the concentration hydrolyzed with ALC at 4 and 24 h of hydrolysis. Reducing power increased 1-6-, 1-8-, and 2-6-fold at 4 h, and 2-4-, 2-7-, and 3-5-fold at 24 h in the UF, ST, and TP concentrates, respectively, when hydrolyzed with ALC, CHY, and FLA, compared to time 0 h. All concentrates hydrolyzed with FLA showed higher reducing power, followed by the TP hydrolysates obtained with ALC and CHY. Previous studies have shown that the enzymatic hydrolysis of whey protein improved the reducing power. This property evaluated in a sheep whey hydrolysate obtained with a Bacillus sp. enzymatic preparation was 115% higher than the unhydrolyzed concentrate (Corrêa et al. 2014). Corrochano et al. (2019) found that the enzymatic hydrolysis significantly increased the reducing power of a WPI when hydrolyzed with alcalase, neutrase, and bromelain; and higher antioxidant activity by ABTS, ORAC, and reducing power was exhibited in the alcalase hydrolysate compared to the neutrase and bromelain hydrolysates. It is important to note that the presence of peptides, with specific sequences and determined sizes, in the hydrolysates could be responsible for the radical scavenging ability and reducing power by donating hydrogens or electrons, respectively. For example, aromatic amino acids can contribute to antioxidant potential by proton or electron transfer mechanisms (Zou et al. 2016; Shazly et al. 2017; Corrochano et al. 2019; Olvera-Rosales et al. 2023). Regarding the reducing power, the FLA hydrolysates showed a higher content of free amino acids and DH, and possibly contained short-chain peptides that could favor the reducing capacity. It has been reported that the low-molecular-weight peptides present in the whey hydrolysates can positively influence antioxidant properties (Zou et al. 2016). Additionally, higher antioxidant activity was observed in casein hydrolysates containing small peptides (Shazly et al. 2017).

Iron is a transition metal that can act as a promoter of the Fenton reaction for the generation of hydroxyl radicals. Its chelation could limit the iron available in free form to participate in this reaction (Zou et al. 2016). As observed in Figure 3C, the iron-chelating capacity of the UF, ST, and TP concentrates ranged from 66 to 71, 18 to 23, and 8 to 13% after 4 h of hydrolysis, and 64 to 68, 41 to 44, and 11 to 13% at 24 h of enzymatic digestion, respectively. The UF concentrate and its hydrolysates showed higher iron-chelating capacity, which was comparable to EDTA (62% at 40 µg mL-1). No changes in the chelating ability of the UF concentrate treated with ALC were observed after 4 and 24 h compared to time 0 h. An increase in the chelating capacity of this concentrate when hydrolyzed with CHY, while a slight decrease when digested with FLA were detected in comparison with the unhydrolyzed UF concentrate. The ST and TP concentrates showed higher chelating properties at 24 h of hydrolysis with approximately 1.9-2.7- and 1.5-1.7-fold increments, respectively. Whey proteins can bind iron ions as observed in the different concentrates at time zero. Greater chelating capacity was detected in the UF concentrates, which might be due to that the UF process affects less the native protein structure compared to the precipitation methods, as indicated by Jiménez et al. (2012), where heating or the addition of chemical components (salts) may cause perturbations in the structure that could interfere with chelate formation. The iron-chelating activity of whey proteins and their hydrolysates have been reported previously. The ability of the main whey proteins, such as α-La and β-Lg, to bind iron has been indicated (Sugiarto et al. 2009). Moreover, sheep whey hydrolysates with ferrous-chelating ability were obtained by enzymatic hydrolysis using a protease preparation from Bacillus sp. Their chelating capacity increased after 2 h of hydrolysis from 13.8% (unhydrolyzed concentrate) to 50.1% (Corrêa et al. 2014). Cruz-Huerta et al. (2016) obtained iron-binding peptides by hydrolysis of a WPI with alcalase, pancreatin, and flavourzyme. The iron-chelating capacity of hydrolysates could be related to the presence of peptides with similar structural characteristics; for example, carboxyl and amino groups in the amino acid side chain can influence (Athira et al. 2021). Cruz-Huerta et al. (2016) identified several iron-binding peptides rich in negatively charged amino acids, such as Asp and Glu. The ferrous-chelating capacity of WPI hydrolysate fractions obtained by enzymatic hydrolysis and ultrafiltration were also examined by O'Loughlin et al. (2015), where the 1-kDa permeate fraction showed chelating ability and had an abundant positively charged amino acid content, as Arg, His, and Lys. It is important to note that chelation could facilitate and enhance the bioavailability of iron and other minerals in humans in order to supply mineral deficiencies (Olvera-Rosales et al. 2023).

Enzymatic hydrolysis of different WPCs released peptides, which were able to scavenge free radicals, act as electron donors, and chelate metal ions such as iron. All these properties can contribute to the antioxidant activity of the hydrolysates produced (Zou et al. 2016; Olvera-Rosales et al. 2023). Differences in the antioxidant activity of hydrolysates were found depending on the method of protein concentration (UF, ST, and TP), type of enzyme (ALC, CHY, and FLA), and hydrolysis time (4 and 24 h) used in the hydrolytic process. WPCs obtained by UF and ST were more susceptible to enzymes in order to produce antioxidant hydrolysates. These processes could affect the protein structure, and thus the accessibility of enzymes to the protein substrate. Jiménez et al. (2012) indicated that protein structure in WPC is maintained after UF, which would be appropriate for the production of bioactive peptides, and structural conformation could be modified by the addition of chemicals (salts) to concentrate proteins. When ST is used, UF or dialysis are necessary for the removal of salts. Enzyme specificity can influence the composition of whey protein hydrolysates. ALC and FLA are non-specific peptidases (Merz et al. 2015; Corrochano et al. 2019), while CHY has substrate specificity (Gauthier and Pouliot 2003). As these enzymes cleave in different sites, the hydrolysates could be composed of peptides with different sizes and sequences, which can affect antioxidant activity (Zou et al. 2016). Possibly, ALC and CHY released principally peptides with radical scavenging ability and chelating capacity, while FLA produced mostly peptides containing electron donor residues. Regarding the physicochemical conditions used during hydrolysis, hydrolysis time can influence protein proteolysis. It is important to establish an accurate time to produce hydrolysates with biological activity (Corrêa et al. 2014). In this study, antioxidant activity measured by ABTS assay and chelating capacity increased as hydrolysis progressed in the mostly hydrolysates while reducing power was superior in the FLA hydrolysates obtained at 4 h of digestion.

CONCLUSION

The techniques used for whey protein recovery can significantly affect the final composition and yield of whey protein concentrates (WPCs). In turn, enzymatic hydrolysis can be influenced by the method of protein concentration, enzyme specificity, and time of hydrolysis, all of which impact the composition of the hydrolysates and their antioxidant activity. In this study, ultrafiltration (UF) and salt treatment (ST) were effective for the separation and concentration of proteins from Colombian double-cream cheese acid whey, leading to the production of WPCs, and subsequently antioxidant hydrolysates. The enzymatic hydrolysis of the WPCs enhanced their in vitro antioxidant properties. Specifically, the concentrates obtained by UF and ST showed better antioxidant capacity according to the ABTS assay and iron-chelating capacity when treated with ALC and CHY. Additionally, the concentrates enzymatically processed with FLA exhibited greater reducing power against iron. To gain a deeper understanding of these findings, future studies on the purification and characterization of hydrolysates are needed to establish possible relationships between structure and antioxidant activity. Furthermore, the use of UF, as a concentration method, and commercial enzymes, such as ALC and FLA, could be promising in obtaining antioxidant hydrolysates from acid whey, and further research on scaling these methods for industrial applications is deemed appropriate.

CONFLICT OF INTERESTS

The authors have no conflict of interest.

Acknowledgements

ACKNOWLEDGMENTS

This study was supported by Universidad Nacional de Colombia, Medellín Headquarters, Colombia (Project No. 201010017878), and Minciencias, Bogotá, Colombia (National Doctoral Program No. 647).

REFERENCES

  1. Anzani C, Prandi B, Tedeschi T et al (2018) Degradation of collagen increases nitrogen solubilisation during enzymatic hydrolysis of fleshing meat. Waste Biomass Valorization 9:1113-1119. https://doi.org/10.1007/s12649-017-9866-4 [URL] 🠔
  2. AOAC (2002) Official Methods of Analysis, 16th edition. Washington DC 🠔
  3. Athira S, Mann B, Sharma R et al (2021) Preparation and characterization of iron-chelating peptides from whey protein: An alternative approach for chemical iron fortification. Food Research International 141:110133. https://doi.org/10.1016/j.foodres.2021.110133 [URL] 🠔
  4. Corrêa APF, Daroit DJ, Fontoura R et al (2014) Hydrolysates of sheep cheese whey as a source of bioactive peptides with antioxidant and angiotensin-converting enzyme inhibitory activities. Peptides 61:48-55. https://doi.org/10.1016/j.peptides.2014.09.001 [URL] 🠔
  5. Corrochano AR, Sariçay Y, Arranz E et al (2019) Comparison of antioxidant activities of bovine whey proteins before and after simulated gastrointestinal digestion. Journal of Dairy Science 102(1):54-67. https://doi.org/10.3168/jds.2018-14581 [URL] 🠔
  6. Cruz-Huerta E, Maqueda DM, Recio I et al (2016) Short communication: Identification of iron-binding peptides from whey protein hydrolysates using iron (III)-immobilized metal ion affinity chromatographyand reversed phase-HPLC-tandem mass spectrometry. Journal of Dairy Science 99(1):77-82. https://doi.org/10.3168/jds.2015-9839 [URL] 🠔
  7. Embiriekah S, Bulatović M, Borić M et al (2018) Antioxidant activity, functional properties and bioaccessibility of whey protein hydrolysates. International Journal of Dairy Technology 71(1):243-252. https://doi.org/10.1111/1471-0307.12428 [URL] 🠔
  8. Gauthier SF and Pouliot Y (2003) Functional and biological properties of peptides obtained by enzymatic hydrolysis of whey proteins. Journal of Dairy Science 86:E78-E87. https://doi.org/10.3168/jds.S0022-0302(03)74041-7 [URL] 🠔
  9. Ghasemi M, Ahmad A, Jafary T, Azad AK, Kakooei S, Daud WRW and Sedighi M (2017) Assessment of immobilized cell reactor and microbial fuel cell for simultaneous cheese whey treatment and lactic acid/electricity production. International Journal of Hydrogen Energy 42(14):9107-9115. https://doi.org/10.1016/j.ijhydene.2016.04.136 [URL] 🠔
  10. Jayanthi P and Lalitha P (2011) Reducing power of the solvent extracts of Eichhornia crassipes (Mart.) Solms. International Journal of Pharmacy and Pharmaceutical Sciences 3 Suppl. 3: 126-128. 🠔
  11. Jiménez XT, Cuenca AA, Jurado AT et al (2012) Traditional methods for whey protein isolation and concentration: effects on nutritional properties and biological activity. Journal of the Mexican Chemical Society 56(4):369-377 https://doi.org/10.29356/jmcs.v56i4.246 [URL] 🠔
  12. Khaire RA and Gogate PR (2019) Chapter 7 - Whey proteins. pp 193-223. In: Galanakis CM (ed) Proteins: Sustainable Source, Processing and Applications. Academic Press, London. 345 p. 🠔
  13. Kilara A and Vaghela MN (2018) Chapter 4 - Whey proteins. pp 93-126. In: Yada RY (ed) Proteins in Food Processing, Second edition. Woodhead Publishing, Duxford. 654 p. 🠔
  14. Londoño-Zapata AF, Durango-Zuleta MM, Sepúlveda-Valencia JU and Herrera CXM (2017) Characterization of lactic acid bacterial communities associated with a traditional Colombian cheese: Double cream cheese. LWT-Food Science and Technology 82(1): 39-48. https://doi.org/10.1016/j.lwt.2017.03.058 [URL] 🠔
  15. Lozano JM, Giraldo GI and Romero CM (2008) An improved method for isolation of β-lactoglobulin. International Dairy Journal 18(1): 55-63. https://doi.org/10.1016/j.idairyj.2007.05.003 [URL] 🠔
  16. Merz M, Eisele T, Berends P et al (2015) Flavourzyme, an enzyme preparation with industrial relevance: automated nine-step purification and partial characterization of eight enzymes. Journal of Agricultural and Food Chemistry 63(23): 5682-5693. https://doi.org/10.1021/acs.jafc.5b01665 [URL] 🠔
  17. Ministerio de Agricultura y Desarrollo Rural (2024) Comportamiento de los Precios de principales productos derivados lácteos en planta de proceso. In: Unidad de Seguimiento de Precios de Leche - USPL. https://uspleche.minagricultura.gov.co/Lacteos.html [URL] 🠔
  18. Nishanthi M, Chandrapala J and Vasiljevic T (2017) Properties of whey protein concentrate powders obtained by spray drying of sweet, salty and acid whey under varying storage conditions. Journal of Food Engineering 214: 137-146. https://doi.org/10.1016/j.jfoodeng.2017.06.032 [URL] 🠔
  19. Nwachukwu ID and Aluko RE (2019) A systematic evaluation of various methods for quantifying food protein hydrolysate peptides. Food Chemistry 270: 25-31. https://doi.org/10.1016/j.foodchem.2018.07.054 [URL] 🠔
  20. O'Loughlin IB, Kelly PM, Murray BA et al (2015) Molecular characterization of whey protein hydrolysate fractions with ferrous chelating and enhanced iron solubility capabilities. Journal of Agricultural and Food Chemistry 63(10): 2708-2714. https://doi.org/10.1021/jf505817a [URL] 🠔
  21. O'Loughlin IB, Murray BA, Kelly PM et al (2012) Enzymatic hydrolysis of heat-induced aggregates of whey protein isolate. Journal of Agricultural and Food Chemistry 60(19): 4895-4904. https://doi.org/10.1021/jf205213n [URL] 🠔
  22. Olvera-Rosales LB, Cruz-Guerrero AE, García-Garibay JM et al (2023) Bioactive peptides of whey: obtaining, activity, mechanism of action, and further applications. Critical Reviews in Food Science and Nutrition 63(30): 10351-10381. https://doi.org/10.1080/10408398.2022.2079113 [URL] 🠔
  23. Quintanilla P, Beltrán MC, Molina A, Escriche I and Molina MP (2019) Characteristics of ripened Tronchón cheese from raw goat milk containing legally admissible amounts of antibiotics. Journal of Dairy Science 102(4): 2941-2953. https://doi.org/10.3168/jds.2018-15532 [URL] 🠔
  24. Shazly AB, He Z, El-Aziz MA, Zeng M, Zhang S, Qin F and Chen J (2017) Fractionation and identification of novel antioxidant peptides from buffalo and bovine casein hydrolysates. Food Chemistry 232(1): 753-762. https://doi.org/10.1016/j.foodchem.2017.04.071 [URL] 🠔
  25. Souza RSC de, Tonon RV, Stephan MP et al (2019) Avaliação do potencial antioxidante de proteínas do soro de leite concentradas por ultrafiltração e hidrolisadas por diferentes proteases comerciais. Brazilian Journal of Food Technology 22: 1-11. https://doi.org/10.1590/1981-6723.02118 [URL] 🠔
  26. Spellman D, McEvoy E, O'Cuinn G and FitzGerald RJ (2003) Proteinase and exopeptidase hydrolysis of whey protein: Comparison of the TNBS, OPA and pH stat methods for quantification of degree of hydrolysis. International Dairy Journal 13(6): 447-453. https://doi.org/10.1016/S0958-6946(03)00053-0 [URL] 🠔
  27. Sugiarto M, Ye A and Singh H (2009) Characterisation of binding of iron to sodium caseinate and whey protein isolate. Food Chemistry 114(3): 1007-1013. https://doi.org/10.1016/j.foodchem.2008.10.062 [URL] 🠔
  28. Tari NR, Gaygadzhiev Z, Guri A and Wright A (2021) Effect of pH and heat treatment conditions on physicochemical and acid gelation properties of liquid milk protein concentrate. Journal of Dairy Science 104(6): 6609-6619. https://doi.org/10.3168/jds.2020-19355 [URL] 🠔
  29. U.S. Dairy Export Council (2006) Reference manual for US whey and lactose products. Arlington, VA, USA. 226 p. 🠔
  30. Wijayanti HB, Bansal N and Deeth HC (2014) Stability of whey proteins during thermal processing: A review. Comprehensive Reviews in Food Science and Food Safety 13(6): 1235-1251. https://doi.org/10.1111/1541-4337.12105 [URL] 🠔
  31. Yadav JSS, Yan S, More TT et al (2014) Recovery of residual soluble protein by two-step precipitation process with concomitant COD reduction from the yeast-cultivated cheese whey. Bioprocess and Biosystems Engineering 37: 1825-1837. https://doi.org/10.1007/s00449-014-1155-z [URL] 🠔
  32. Zou T, Bin He TP, Li H Bin et al (2016) The structure-activity relationship of the antioxidant peptides from natural proteins. Molecules 21(1): 72. https://doi.org/10.3390/molecules21010072 [URL] 🠔