Revista Facultad Nacional de Agronomía Medellín
0304-2847
2248-7026
Facultad de Ciencias Agrarias - Universidad Nacional de Colombia
https://doi.org/10.15446/rfnam.v78n2.111622

Recibido: 13 de septiembre de 2024; Aceptado: 12 de marzo de 2025

Interaction of biological soil crusts with edaphic parameters of carbon and nitrogen in desertified soils

Interacción de las costras biológicas del suelo con los parámetros edáficos de carbono y nitrógeno en suelos desertificados

J. Rivera Padilla, 1 J. Romero Conde, 1 L. Avellaneda-Torres, 2

Facultad de Ingeniería, Universidad Libre, Colombia. juanj-riverap@unilibre.edu.co, juliand-romeroc@unilibre.edu.co Universidad Libre Facultad de Ingeniería Universidad Libre Colombia
Departamento de Química, Universidad Nacional de Colombia, Colombia. lmavellanedat@unal.edu.co Universidad Nacional de Colombia Departamento de Química Universidad Nacional de Colombia Colombia

ABSTRACT

This study aimed to assess the influence of biological soil crusts (BSCs) on soil parameters associated with carbon and nitrogen cycling in soils undergoing desertification in Villa de Leyva, Colombia. Soil samples were collected from areas with and without biological soil crusts. Physicochemical variables, including moisture, pH, total nitrogen, and organic carbon, were measured alongside enzymatic activities such as protease, urease, and β-glucosidase. The abundance of microorganisms-including nitrogen-fixing and cellulolytic bacteria, as well as cellulolytic fungi-was also analyzed. Univariate and multivariate statistical analyses were performed. Results indicate that soils with biological crusts harbor a significantly greater abundance of nitrogen-fixing bacteria than those without crusts. Additionally, soils with biological crusts exhibited significant increases in total nitrogen, organic carbon, urease, and β-glucosidase at specific sampling points, suggesting a general trend towards higher values, although average differences were not statistically significant. Biological soil crusts exhibit beneficial properties in soils undergoing desertification, underscoring their potential role in ecosystem restoration and land degradation mitigation.

Keywords:

Cellulolytic microorganisms, Desertification, Enzymatic activities, Nitrogen-fixing bacteria.

RESUMEN

Este estudio tuvo como objetivo evaluar la influencia de las costras biológicas del suelo (BSC) en los parámetros edáficos relacionados con el carbono y el nitrógeno en suelos en proceso de desertificación en Villa de Leyva, Colombia. Se recolectaron muestras de suelo en áreas con y sin costras biológicas del suelo. Se midieron variables fisicoquímicas, incluyendo humedad, pH, nitrógeno total y carbono orgánico, junto con actividades enzimáticas como proteasa, ureasa y β-glucosidasa. También se evaluó la abundancia de microorganismos, entre ellos bacterias fijadoras de nitrógeno, bacterias celulolíticas y hongos celulolíticos. Se realizaron análisis estadísticos univariados y multivariados. Los resultados indican que los suelos con costras biológicas del suelo albergan una abundancia significativamente mayor de bacterias fijadoras de nitrógeno en comparación con los suelos sin costra. Además, los suelos con costras biológicas del suelo mostraron incrementos significativos en nitrógeno total, carbono orgánico, ureasa y β-glucosidasa en puntos de muestreo específicos, lo que sugiere una tendencia general hacia valores más altos, aunque las diferencias promedio no fueron estadísticamente significativas. Las costras biológicas del suelo presentan propiedades beneficiosas en suelos en proceso de desertificación, lo que resalta su papel potencial en la restauración de ecosistemas y la mitigación de la degradación del suelo.

Palabras clave:

Microorganismos celulolíticos, Desertificación, Actividades enzimáticas, Bacterias fijadoras de nitrógeno.

Biological soil crusts (BSC) are communities composed of microorganisms, including fungi, microalgae, and cyanobacteria, as well as microorganisms such as lichens and mosses, that inhabit the upper millimeters of the soil surface (Belnap and Lange 2003). BSCs develop in a wide range of ecosystems and under diverse ecological conditions due to the high adaptability of their constituent organisms. These microhabitats include arid and semi-arid regions, with both hot and cold climates, as well as polar zones. BSCs are commonly found in areas where sparse vegetation allows direct solar radiation to reach the soil surface, including regions affected by anthropogenic activities, such as open-pit mines, quarries, and other resource extraction areas (Romero et al. 2021). Their adaptability enables them to persist in extreme environments, and they are often found in landscapes modified by human activities, such as mining and quarrying operations (García et al. 2021).

Soils in arid and degraded regions are characterized by low nitrogen and organic carbon content. In these ecosystems, communities of lichens and cyanobacteria play a crucial role in the cycling of carbon and nitrogen (Castillo-Monroy and Maestre 2011; García 2019). Nitrogen fixation by BSCs is influenced by their composition and the environmental conditions in which they develop (Belnap and Lange 2003). BSCs are essential in arid ecosystems due to their ability to release fixed nitrogen, making it available to vascular plants and other soil microorganisms (Belnap 2002). Additionally, research has demonstrated that soil respiration is closely linked to the extent of BSC coverage and ambient humidity levels (Thomas et al. 2008).

Over time, human activities and climate variations have accelerated global soil desertification (Lozano 2011). This has driven research on BSCs in countries with extensive desert areas, such as Australia, China, the United States, and Israel, which have led to research efforts on these microbial communities (Castillo-Monroy and Maestre 2011). Recent research in China has made significant advances in BSC studies, including key steps in BSC recovery, microorganism selection for cultivation techniques, and the inoculation and monitoring of BSCs to restore highly degraded ecosystems (Zhou et al. 2020). Despite the relevance of BSCs in arid, semi-arid, and anthropogenically degraded ecosystems, studies on BSCs in Latin America remain limited, highlighting a critical research gap in these regions (Castillo-Monroy and Maestre 2011). Research in Latin America has primarily focused on species characterization (Molina et al. 2014), carbon storage and flux in arid soils (Ayala et al. 2018), biological and biochemical properties of crusts under natural vegetation (Toledo 2012), and ecosystem functions and ecological attributes of BSCs (Romero 2019), among others.

In Colombia, a study on the diversity of lichens and bryophytes in arid and degraded regions has been conducted (Pinzón and Linares 2006). However, further research is needed to understand the role of biological soil crusts (BSC) in carbon and nitrogen cycles, especially in areas vulnerable to soil degradation. In this context, the department of Boyacá has garnered special interest, as it contains desert-like areas resulting from unsustainable practices related to the complexity of agricultural activities and resource extraction. According to Pacheco and Giselle (2016), these practices date back to pre-Hispanic times and persisted during the colonization period, with indiscriminate deforestation and vegetation burning to clear land for agriculture and livestock being key contributors to degradation.

A representative case is Villa de Leyva, where degraded soils and the potential presence of BSCs make this region an optimal site for investigating their role in carbon and nitrogen cycles in desert ecosystems. Thus, the primary question guiding this research is: How does the presence of BSCs influence edaphic parameters associated with carbon and nitrogen cycles in desert soils in Villa de Leyva, Colombia? To address this, the following research questions are posed: Which specific areas of the Villa de Leyva desert contain BSCs, and how can they be georeferenced to establish a record of their distribution? What differences exist in physicochemical properties, enzymatic activities, and the abundance of microorganisms in soils with and without BSCs?

MATERIALS AND METHODS

Study area

The study was conducted in the desert of Villa de Leyva, located in the department of Boyacá, Colombia, at coordinates 5°36'48"N and 73°32'40"W, and an elevation of 2,150 meters above sea level (masl). The soils where BSCs were identified and sampled are classified as having miscellaneous erosion, characterized by a loam texture with natural gravel and a strongly acidic pH (IGAC 2017). These soils are subject to moderate to severe diffuse and concentrated runoff, as well as gully formation due to erosion (Figure 1).

Location of the study area and sampling points for the biological soil crusts (C). The numbering on the map corresponds to each sampled crust and its respective crust-free soil. The photographs correspond to the crusts at each sampling point, numbered accordingly.

Figure 1: Location of the study area and sampling points for the biological soil crusts (C). The numbering on the map corresponds to each sampled crust and its respective crust-free soil. The photographs correspond to the crusts at each sampling point, numbered accordingly.

Soil samples with biological crusts were collected by extracting cubic blocks of soil, including the crust, from a depth of 10 cm. For soils lacking biological crusts, samples were obtained from locations 2 to 5 m away from the crusts to ensure similar soil characteristics, using the same extraction method. A total of 18 samples were collected, comprising nine samples from areas with biological crusts and nine from areas without biological crusts. Each sample type was processed in triplicate for subsequent analyses. The samples from areas with biological crusts were designated as "Crust" and those from areas without were termed "Non-Crust." Due to the random distribution of biological soil crusts, samples were taken wherever these crusts were encountered. Each sampling point was georeferenced using GPS, and photographic documentation of each crust was obtained to digitize its location on a map prepared with ArcGIS software (Figure 1). For storage, samples were placed in Ziploc bags and categorized according to the analysis to be performed. Physicochemical samples were stored at room temperature, enzyme assay samples were frozen at -20 °C, and microorganism samples were refrigerated at 4 °C. Prior to analysis, the soil samples were passed through a No. 20 mesh sieve (850 µm) to obtain fine particles for the subsequent processes.

Physicochemical analyses

Soil pH was determined using the potentiometric method with a 1:1 (w/v) soil-to-water ratio. Soil moisture content was determined gravimetrically. Total nitrogen was quantified using the Kjeldahl method, while organic carbon was analyzed following the Walkley-Black procedure (IGAC 2006). Each analysis was performed in triplicate.

Enzymatic activities

The enzymatic activities involved in carbon and nitrogen cycles were determined following the methodology described by Avellaneda et al. (2018). Urease activity was quantified colorimetrically at 690 nm by measuring the amount of ammonia released after incubating the samples with urea as the substrate for 2 h at 37 °C. Protease activity was assessed using casein as the substrate; samples were incubated for 2 h at 50 °C with a pH of 8.1, and the amino acids released during incubation were extracted and reacted with Folin-Ciocalteu reagent in an alkaline solution, with absorbance measured at 700 nm. β-glucosidase activity was measured at 400 nm by quantifying the release of p-nitrophenol after incubating the soil with p-nitrophenyl glucoside solution for 1 h at 37 °C. All analyses were performed in triplicate.

Microorganism abundance

To determine the abundance of microorganisms associated with carbon- and nitrogen-functional groups, colony-forming units per gram of soil (CFU/g) were quantified. For the enumeration and isolation of nitrogen-fixing bacteria, the nitrogen-free selective medium method by Rennie (1981), modified by Avellaneda et al. (2020), was used. Incubation was performed for 48 h at 28 °C. The enumeration and isolation of cellulolytic bacteria and fungi were conducted using Sundara and Paul (1971) medium, modified by Avellaneda et al. (2012), with 1% carboxymethyl cellulose as the sole carbon source. Bacteria were incubated for 48 h at 28°C, while fungi were incubated at 20 °C for 6 days. Each analysis was performed in triplicate.

Statistical analysis

To identify potential significant differences between soil samples from "Crust" and "Non-Crust" categories, and to establish relationships between variables and sampling points, two types of univariate analyses were performed: a general analysis encompassing all sampling points and a specific analysis evaluating each sampling point individually. The assumptions of normality were assessed using the Shapiro-Wilk test (R Core Team 2021), and variance homogeneity was checked with Bartlett's and Fligner-Killeen tests, using the stats package (R Core Team 2021), along with Levene's test from the CAR package (Fox and Weisberg 2019). For variables that did not meet the assumptions of normality and homogeneity of variances, the Mann-Whitney-Wilcoxon (WMW) test from the stats package (R Core Team 2021) was employed. Multivariate data analysis was conducted using Principal Component Analysis (PCA) from the FactoMineR package (Lê et al. 2008). It is essential to interpret these results in the context of the experimental design and the assumptions underlying each statistical test to ensure robust conclusions.

RESULTS AND DISCUSSION

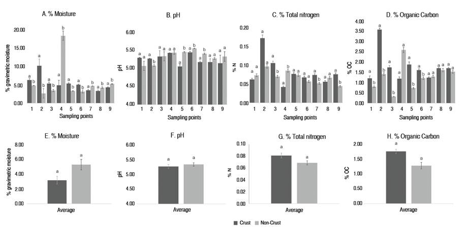
The soil moisture percentage (Figure 2A) indicates that, at five of the nine sampling points under biological soil crusts (Crust), the moisture content was significantly higher compared to the soils without biological soil crusts (Non-Crust). Conversely, at the remaining four points, Non-Crust soils exhibited significantly higher moisture levels. However, when analyzing the data globally (Figure 2E), there is a 2.1% increase in moisture in Non-Crust soils compared to Crust soils, but this difference is not statistically significant. Some types of crusts in sandy soil can reduce rapid water infiltration and help retain soil moisture (Navas et al. 2021). Similarly, Cerdà (1998) notes that soils under BSC tend to maintain more stable moisture levels than Non-Crust soils, likely due to differences in infiltration rates and reduced soil erodibility under BSCs. Additionally, studies suggest that in extreme environments, microorganisms within BSCs can absorb water as an adaptation mechanism to withstand desiccation. In particular, mosses, a key component of many BSCs, are poikilohydric organisms, meaning they can survive extreme dehydration and rehydrate when water becomes available, which may explain the moisture levels observed in BSC-covered soils (Nuñez 2013). However, it is important to acknowledge that the initial water content in crusted soils might influence the observed moisture differences, rather than solely reflecting the effects of BSCs. To minimize this uncertainty, future studies should include sampling across different seasons to assess moisture variations under diverse climatic conditions.

Results of the physicochemical variables by sampling points and average (from 1 to 9). In graphs A, B, C, and D, soils with and without crust are compared individually, while graphs E, F, G, and H show comparisons with the average of soils with and without crust. Significant differences are indicated above the bars with letters a-b when there is a significant difference and a-a when there is not, using a P>0.05.

Figure 2: Results of the physicochemical variables by sampling points and average (from 1 to 9). In graphs A, B, C, and D, soils with and without crust are compared individually, while graphs E, F, G, and H show comparisons with the average of soils with and without crust. Significant differences are indicated above the bars with letters a-b when there is a significant difference and a-a when there is not, using a P>0.05.

The pH values obtained are generally classified as strongly acidic. Significant differences were observed at four of the nine sampling points (Figure 2B), with three points exhibiting higher pH values in Non-Crust soils. However, when considering all sampling points collectively, no statistically significant differences were detected (Figure 2F). Although the overall acidity is evident, previous studies present differing perspectives. For instance, Kakeh et al. (2018) report no significant differences in pH between soils with and without BSC. In contrast, Wu et al. (2013) suggest that microbial respiration within BSCs may contribute to a reduction in soil pH, which aligns with the lower pH values observed at three of the four significantly different sampling points.

The total nitrogen content in the soil (Figure 2C) is generally low. Significant differences were observed at four of the nine sampling points, with Crust soils exhibiting higher nitrogen levels at three of these points. However, when analyzing the average data (Figure 2G), Crust soils contain 15.3% more nitrogen than Non-Crust soils, although this difference is not statistically significant. Plata (2019) reports higher total nitrogen percentages in soils with BSC, while Toledo (2012) also notes significantly higher nitrogen levels in BSC soils compared to Non-Crust soils. The observed increase in nitrogen content in some samples may be attributed to microorganisms within the BSC, such as cyanobacteria, which facilitate nitrogen fixation in the soil (García 2019).

The organic carbon content in the soil (Figure 2D) is generally low. Significant differences were found at five of the nine sampling points, with Crust soils exhibiting significantly higher organic carbon content. Additionally, Figure 2H indicates that the organic carbon content in Crust soils is 27.4% higher compared to Non-Crust soils, though this difference is not statistically significant. Studies by Kakeh et al. (2020) and Plata (2019) also, report higher amounts of organic carbon in soils with BSC. Nuñez (2013) studied three different types of BSC and similarly found higher organic carbon levels in soils with BSC. This is supported by Ayala et al. (2018), which affirms that BSCs provide valuable environmental services through carbon sequestration.

Urease enzyme activity (Figure 3A) shows significant differences at four of the nine sampling points, with two points exhibiting higher activity in Crust soils and two in Non-Crust soils. On average (Figure 3D), Crust soils show an 8.5% increase in urease activity compared to Non-Crust soils; however, this difference is not statistically significant. Sun et al. (2020) reported higher enzyme activity in BSC soils compared to Non-Crust soils, though the differences were not significant. In contrast, Xu et al. (2022) found a significant increase in urease activity in BSC soils compared to Non-Crust soils, with a more pronounced effect in hostile environments. Urease activity is highly site-dependent and influenced by factors such as organic carbon content and soil moisture (Rodríguez and Merchancano 2018).

Results of the enzymatic activity variables by sampling points (1 to 9) and average. In graphs A, B, and C, soils with and without crust are compared individually, while graphs D, E, and F show comparisons with the average of soils with and without crust. Significant differences are indicated above the bars with letters a-b when a significant difference is present and a-a when there is no significant difference, using P>0.05.

Figure 3: Results of the enzymatic activity variables by sampling points (1 to 9) and average. In graphs A, B, and C, soils with and without crust are compared individually, while graphs D, E, and F show comparisons with the average of soils with and without crust. Significant differences are indicated above the bars with letters a-b when a significant difference is present and a-a when there is no significant difference, using P>0.05.

The enzymatic activity of protease (Figure 3B) showed no significant differences at six of the nine sampling points. Among those with significant differences, only one of the three points exhibited higher enzymatic activity in Crust soils. Additionally, Figure 3E shows that protease activity is 18.7% higher in Crust soils compared to Non-Crust soils; however, this difference is not statistically significant. These results indicate that BSCs did not have a significant impact on protease enzymatic activity.

The enzymatic activity of β-glucosidase (Figure 3C) showed significant differences at only two of the nine sampling points, with higher enzymatic activity in Crust soils at both points. On average (Figure 3F), β-glucosidase activity in Crust soils was 11.1% higher compared to that in Non-Crust soils, though this difference was not statistically significant. Miralles et al. (2012) reported significantly higher β-glucosidase activity in soils with BSC. Similarly, Xu et al. (2022) observed a 48.4% increase in β-glucosidase activity in BSC soils, demonstrating a significant difference compared to Non-Crust soils. β-glucosidase activity is strongly associated with organic carbon content (Orellana 2019), which aligns with the results showing higher organic carbon in Crust soils (Figure 2D).

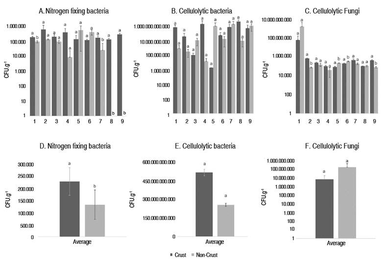
The results obtained for nitrogen-fixing bacteria (Figure 4A) reveal four significant differences out of the nine sampling points, with all significant differences showing higher counts in Crust soils compared to Non-Crust soils. Additionally, on average (Figure 4D), the number of colony-forming units in Crust soils is 41.9% higher than in Non-Crust soils, with this difference being statistically significant. Zhao et al. (2019) found a correlation with the results obtained in this study, demonstrating a higher presence of nitrogen-fixing bacteria in soils with Biological Soil Crust (BSC). The presence of BSC may promote the growth of nitrogen-fixing bacteria due to the presence of aerobic and microaerophilic bacteria that constitute the BSC (Castillo-Monroy and Maestre 2011). Furthermore, Huang et al. (2011) mention that microorganisms within BSCs function as diazotrophic communities. The dominant morphological group in BSCs whether cyanobacteria, mosses, or lichens can influence their development and ecological functions. However, since no taxonomic identification was performed in this study, these remain as possible explanations rather than definitive conclusions.

Results of the enumeration of microorganisms associated with carbon and nitrogen cycles by sampling points (from 1 to 9) and the average. In graphs A, B, and C, soils with and without crust are compared individually, while graphs D, E, and F are compared with the average of soils with and without crust. Significant differences are indicated above the bars with letters a-b when there is a significant difference and a-a when there is not, using a P>0.05.

Figure 4: Results of the enumeration of microorganisms associated with carbon and nitrogen cycles by sampling points (from 1 to 9) and the average. In graphs A, B, and C, soils with and without crust are compared individually, while graphs D, E, and F are compared with the average of soils with and without crust. Significant differences are indicated above the bars with letters a-b when there is a significant difference and a-a when there is not, using a P>0.05.

The results for cellulolytic bacteria at each sampling point did not show any significant differences (Figure 4B). On average (Figure 4E), cellulolytic bacteria in Crust soils were 50.5% more abundant than in Non-Crust soils, although this difference was not statistically significant. The abundance of cellulolytic fungi showed four significant differences out of the nine sampling points, with two of these differences being higher in Crust soils (Figure 4C) and the remaining two in Non-Crust soils. Conversely, the overall presence of cellulolytic fungi (Figure 4F) was 96% higher in Non-Crust soils than in Crust soils. Biological soil crusts did not significantly affect microorganisms involved in the carbon cycle. One possible explanation is that in extreme environments, microorganisms responsible for decomposing environmental cellulose are significantly reduced (Soares et al. 2012). Another possible explanation could relate to a study examining the contribution of microorganisms in BSCs over time, which shows greater bacterial diversity and abundance compared to fungi at certain times, suggesting that when bacterial populations are higher than fungal populations in BSCs, the crust might be relatively young (Zhao et al. 2019).

The principal component analysis (PCA) included the first three axes, which together explained 65.2% of the variance (Figures 5A and 5B). The PCA indicates a correlation among the variables of moisture, nitrogen percentage, and carbon. However, no clear trend is observed in the behavior of these variables between Crust and Non-Crust points, no single trend is observed. Similarly, Avellaneda et al. (2012) reported an inverse relationship between urease and protease, consistent with the present study (Figures 5A and 5B). The authors suggest that when urease is activated within the same microbial morphotype, protease remains inactive.

Principal Component Analysis (PCA). The letters C and NC denote soil samples with and without crust, respectively. The numbers preceding C and NC refer to the sampling points. Graph A displays the analysis of Axes 1 and 2, while Graph B shows the analysis of Axes 1 and 3.

Figure 5: Principal Component Analysis (PCA). The letters C and NC denote soil samples with and without crust, respectively. The numbers preceding C and NC refer to the sampling points. Graph A displays the analysis of Axes 1 and 2, while Graph B shows the analysis of Axes 1 and 3.

When analyzing the overall data for physicochemical variables (Figures 2D to 2H), enzymatic activities (Figures 3D to 3F), and microorganisms (Figures 4D to 4F) in relation to soil quality in Crust and Non-Crust samples it was observed that, although only the nitrogen-fixing bacteria showed a significant individual result (Figure 4A) and an average increase (Figure 4D) in Crust soils, there was a general trend indicating an increase in total nitrogen, organic carbon, urease, and β-glucosidase in Crust soils compared to Non-Crust soils. This suggests that biological soil crusts (BSCs) contribute properties that enhance soil fertility, conservation, and restoration, as discussed in review articles by García (2019) and Castillo-Monroy et al. (2011). These studies highlight that BSC significantly contributes to nitrogen fixation in arid and semi-arid ecosystems, similar to the conditions of the present study, and that BSCs in hot deserts (>25°C) tend to be more efficient than those in cold climates. Recent studies by Gorji et al. (2021) corroborate the findings of this study, reinforcing the importance of BSC in arid ecosystems for soil fertility.

CONCLUSION

The results indicate that soils with biological soil crusts (BSC) exhibit significant ecological benefits. Moisture levels were significantly higher in BSC soils at five out of nine sampling points, suggesting enhanced water retention. In terms of pH, four samples showed significant differences, with three indicating lower values in soils with BSC. Total nitrogen tended to be higher in soils with BSC, as three out of four significant differences pointed to increased nitrogen content, accompanied by a notably greater abundance of nitrogen-fixing bacteria compared to soils without crust. Although organic carbon content displayed an upward trend in five of the nine sampling points, these differences were not statistically significant. Additionally, enzymatic activities-specifically urease and β-glucosidase-were elevated in BSC soils, further suggesting a positive impact on soil quality.

These findings demonstrate that the evaluated BSC possesses beneficial properties for soils in extreme, vegetation-sparse, and erosion-affected environments, underscoring its potential for soil recovery and protection in degraded landscapes. To gain a broader understanding of BSC behavior, it is recommended to extend this research to diverse environmental conditions across Colombia and Latin America. Future studies should also monitor factors such as crust age, conservation status, and soil depth variations, while expanding the analysis of associated microbial diversity.

CONFLICT OF INTERESTS

The authors declare that they have no known competing financial interests or personal relationships that could have appeared to influence the work reported in this paper.

REFERENCES

  1. Avellaneda LM, León T, Castro EG and Rojas ET (2020) Potato cultivation and livestock effects on microorganism functional groups in soils from the neotropical high andean Páramo. Revista Brasileira de Ciência do Solo 44. https://doi.org/10.36783/18069657RBCS20190122 🠔
  2. Avellaneda LM, León TE and Torres E (2018) Impact of potato cultivation and cattle farming on physicochemical parameters and enzymatic activities of Neotropical high Andean Páramo ecosystem soils. Science of The Total Environment 631-632: 1600-1610. https://doi.org/10.1016/J.SCITOTENV.2018.03.137 [URL] 🠔
  3. Avellaneda LM, Muñoz LMM, Cuenca CE and Nieves JS (2012) Actividades Enzimáticas en Consorcios Bacterianos de Suelos Bajo Cultivo de Papa con Manejo Convencional y Bajo Pastizal. Revista Facultad Nacional de Agronomía Medellín 65: 6349-6360. http://www.scielo.org.co/pdf/rfnam/v65n1/v65n1a06.pdf [URL] 🠔
  4. Ayala F, Maya Y and Troyo E (2018) Carbon storage and flux in arid soils as an environmental service: An example in northwestern Mexico. Terra Latinoamericana 36: 93-104. https://doi.org/10.28940/TERRA.V36I2.334 [URL] 🠔
  5. Belnap J (2002) Nitrogen fixation in biological soil crusts from southeast Utah, USA. Biol Fertil Soils 35: 128-135. https://doi.org/10.1007/S00374-002-0452-X [URL] 🠔
  6. Belnap J and Lange OL (2003) Biological Soil Crusts: Structure, Function, and Management. Springer Berlin Heidelberg, Berlin, Heidelberg 🠔
  7. Castillo-Monroy AP, Bowker MA, Maestre FT et al (2011) Relationships between biological soil crusts, bacterial diversity and abundance, and ecosystem functioning: Insights from a semi-arid Mediterranean environment. Journal of Vegetation Science 22: 165-174. https://doi.org/10.1111/J.1654-1103.2010.01236.X [URL] 🠔
  8. Castillo-Monroy AP and Maestre FT (2011) La costra biológica del suelo: Avances recientes en el conocimiento de su estructura y función ecológica. Revista Chilena de Historia Natural 84: 1-21. https://doi.org/10.4067/S0716-078X2011000100001 [URL] 🠔
  9. Cerdà A (1998) Influencias de las costras biológicas en el comportamiento hidrológico y erosivo de los suelos en los cordones dunares de Nizzana, Desierto del Negev, Israel. Universidad de Extremadura Servicio de Publicaciones. http://hdl.handle.net/10662/712 [URL] 🠔
  10. FFox J and Weisberg S (2019) An R Companion to Applied Regression, 3°. SAGE Publications, Inc. 🠔
  11. García CV (2019) La Costra Biológica del Suelo (CBS) como nuevo ecosistema. Universidad Complutense. 🠔
  12. García V, Aranibar J and Villagra P (2021) Propagación de distintos tipos funcionales de la costra biológica del suelo del desierto del Monte, Argentina. Ecología Austral 31: 1-16. http://doi.org/10.25260/EA.21.31.1.0.1158 [URL] 🠔
  13. Gorji M, Bakhosh M, Sohrabi M and Pourbabaei AA (2021) Assessing the Function of Biological Soil Crusts on Soil Fertility (Case Study: Kiamaky Wildlife Refuge, East Azerbaijan, Iran). Eurasian Soil Science 54: 409-416. https://doi.org/10.1134/S1064229321030054 [URL] 🠔
  14. Huang LN, Tang FZ, Song YS et al (2011) Biodiversity, abundance, and activity of nitrogen-fixing bacteria during primary succession on a copper mine tailings. FEMS Microbiol Ecol 78: 439-450. https://doi.org/10.1111/J.1574-6941.2011.01178.X [URL] 🠔
  15. IGAC (2017) Mapas de Suelos del Territorio Colombiano a escala 1:100.000. Departamento: Boyaca 🠔
  16. IGAC (2006) Métodos analíticos del laboratorio de suelos, 6a edn. Instituto Geografico Agustin Codazzi, Bogotá 🠔
  17. Kakeh J, Gorji M, Mohammadi MH et al (2020) Biological soil crusts determine soil properties and salt dynamics under arid climatic condition in Qara Qir, Iran. Science of The Total Environment 732: 139168. https://doi.org/10.1016/J.SCITOTENV.2020.139168 [URL] 🠔
  18. Kakeh J, Gorji M, Sohrabi M et al (2018) Effects of biological soil crusts on some physicochemical characteristics of rangeland soils of Alagol, Turkmen Sahra, NE Iran. Soil Tillage Research 181: 152-159. https://doi.org/10.1016/J.STILL.2018.04.007 [URL] 🠔
  19. Lê S, Josse J and Husson F (2008) FactoMineR: An R package for multivariate analysis. Journal of Statistical Software 25: 1-18. https://doi.org/10.18637/JSS.V025.I01 [URL] 🠔
  20. Lozano J (2011) Evaluación del proceso de desertificación en la micro cuenca quebrada La Fundación de la Parroquia Aguedo Felipe Alvarado, municipio Iribarren, Estado Lara. IV Simposio: Humedales, Crisis Climatica y Conservación. 🠔
  21. Miralles I, Domingo F, Cantón Y et al (2012) Hydrolase enzyme activities in a successional gradient of biological soil crusts in arid and semi-arid zones. Soil Biology and Biochemistry 53: 124-132. https://doi.org/10.1016/J.SOILBIO.2012.05.016 [URL] 🠔
  22. Molina V, Pando M, Marmolejo J and Alanís E (2014) Diversidad de costras biológicas del suelo en pastizales halófilos del norte de México. Revista Iberoamericana de Ciencias 1: 83-91 🠔
  23. Navas AL, Herrera M, Martínez EE and Fernández MC (2021) Influencia de las costras biológicas del suelo en la infiltración y retención de humedad en diferentes texturas de suelo. Multequina 30: 17-30. 🠔
  24. Nuñez F (2013) Composición de las costras microbióticas y su influencia en algunas propiedades del suelo en una zona semiárida. Revista de Investigación (Guadalajara) 37: 91-116. https://ve.scielo.org/scielo.php?script=sci_arttext&pid=S1010-29142013000300006&lng=es&tlng=es [URL] 🠔
  25. Orellana M (2019) Efecto de las labranzas y niveles de fertilización sobre la actividad enzimática en un suelo agrícola. Universidad Central del Ecuador. http://www.dspace.uce.edu.ec/handle/25000/19159 [URL] 🠔
  26. Pacheco M and Giselle K (2016) Prácticas agropecuarias coloniales y degradación del suelo en el Valle de Saquencipá, Provincia de Tunja, siglos xvi y xvii. Universidad Nacional de Colombia. https://repositorio.unal.edu.co/handle/unal/9982 [URL] 🠔
  27. Pinzón M and Linares E (2006) Diversidad De Líquenes y Briofitos En La Region Subxerofitica De La Herrera, Mosquera (Cundinamarca-Colombia). I. Riqueza Y Estructura. Caldasia 28: 243-257. http://www.scielo.org.co/scielo.php?script=sci_arttext&pid=S0366-52322006000200008 [URL] 🠔
  28. Plata J (2019) Influencia de la biocostra del suelo en el balance de Carbono y Nitrógeno en un ecosistema árido - Repositorio Institucional Uanl. Universidad Autónoma de Nuevo León Facultad de Ciencias Forestales. http://eprints.uanl.mx/21387/1/1080313997.pdf [URL] 🠔
  29. Rennie RJ (1981) A single medium for the isolation of acetylene-reducing (dinitrogen-fixing) bacteria from soils.Canadian Journal of Microbiology 27: 8-14. https://doi.org/10.1139/M81-002 [URL] 🠔
  30. Rodríguez D and Merchancano J (2018) Evaluación de la actividad enzimática del suelo en un sistema de producción ganadero con diferentes usos de suelo en Pasto, Colombia. Universidad de Nariño. https://sired.udenar.edu.co/5458/ [URL] 🠔
  31. Romero A (2019) Funciones ecosistémicas y atributos ecológicos de las costras biológicas en el centro-oeste de la Argentina. Universidad Nacional de Cuyo. http://hdl.handle.net/11336/86060 [URL] 🠔
  32. Romero A, Martinez E and Herrera M (2021) Restauración de costras biológicas del suelo: pasado, presente y futuro. Multequina 30. 🠔
  33. Soares FL, Melo IS, Dias ACF and Andreote FD (2012) Cellulolytic bacteria from soils in harsh environments. World Journal of Microbiology and Biotechnology 28: 2195-2203. https://doi.org/10.1007/S11274-012-1025-2 [URL] 🠔
  34. Sun Y, Feng W, Zhang Y et al (2020) Effects of biological soil crusts on soil enzyme activities of Artemisia ordosica community in the Mu Us Desert of northwestern China. Journal of Beijing Forestry University 42: 82-90. https://doi.org/10.12171/J.1000-1522.20190082 [URL] 🠔
  35. Sundara WVB and Paul NB (1971) Phosphate-dissolving bacteria in the rhizosphere of some cultivated legumes. Plant Soil 35: 127-132. https://doi.org/10.1007/BF01372637 [URL] 🠔
  36. Thomas AD, Hoon SR and Linton PE (2008) Carbon dioxide fluxes from cyanobacteria crusted soils in the Kalahari. Applied Soil Ecology 39: 254-263. https://doi.org/10.1016/J.APSOIL.2007.12.015 [URL] 🠔
  37. Toledo VF (2012) Evaluación de las propiedades biológicas y bioquímicas de la costra microbiótica de un suelo bajo vegetación natural en la región árida de Quíbor, Venezuela - Dialnet. Revista de Investigación (Guadalajara) 36: 143-162. https://ve.scielo.org/pdf/ri/v36n75/art09.pdf [URL] 🠔
  38. Wu Y, Rao B, Wu P et al (2013) Development of artificially induced biological soil crusts in fields and their effects on top soil. Plant and Soil 2013 370:1 370: 115-124. https://doi.org/10.1007/S11104-013-1611-6 [URL] 🠔
  39. Xu H, Zhang Y, Shao X and Liu N (2022) Soil nitrogen and climate drive the positive effect of biological soil crusts on soil organic carbon sequestration in drylands: A Meta-analysis. Science of The Total Environment 803: 150030. https://doi.org/10.1016/J.SCITOTENV.2021.150030 [URL] 🠔
  40. Zhao L, Liu Y, Wang Z et al (2019) Bacteria and fungi differentially contribute to carbon and nitrogen cycles during biological soil crust succession in arid ecosystems. Plant and Soil 2019 447: 1 447:379-392. https://doi.org/10.1007/S11104-019-04391-5 [URL] 🠔
  41. Zhou X, Zhao Y, Belnap J et al (2020) Practices of biological soil crust rehabilitation in China: experiences and challenges. Restoration Ecology 28: S45-S55. https://doi.org/10.1111/REC.13148 [URL] 🠔