Revista Facultad Nacional de Agronomía Medellín
0304-2847
2248-7026
Facultad de Ciencias Agrarias - Universidad Nacional de Colombia
https://doi.org/10.15446/rfnam.v78n2.113865

Recibido: 26 de octubre de 2024; Aceptado: 31 de marzo de 2025

Growth models of Hevea brasiliensis genotypes in clonal fields of the Colombian Orinoquia

Modelos de crecimiento de genotipos de Hevea brasiliensis en campos clonales de la Orinoquía colombiana

S. Castañeda-Garzón, 1 A. Garcés, 1 M. Yanes, 1 D. Angarita, 1

Corporación colombiana de investigación agropecuaria - AGROSAVIA, Centro de investigación La Libertad, Colombia. slcastaneda@agrosavia.co, aamora@agrosavia.co, mtarazona@agrosavia.co, drhernandez@agrosavia.co Corporación colombiana de investigación agropecuaria Corporación colombiana de investigación agropecuaria Centro de investigación La Libertad Colombia

ABSTRACT

In forest species, mathematical models have been useful for describing growth, development, biomass production, and carbon sequestration. However, the growth of Hevea brasiliensis in the Orinoquia region has not yet been characterized using models validated from field data. In this study, four growth models were evaluated and growth curve parameters and absolute growth rate (AGR) were calculated in the clonal fields of the La Libertad Research Center (Villavicencio, Meta) and the Taluma Experimental Farm (Puerto López, Meta) of Corporación colombiana de investigación agropecuaria (AGROSAVIA) to describe the growth pattern of seven clones of the CDC, FDR, MDF, and PMB series and the FX 3864 and RRIM 600 controls. At 8 years of age, the logistic function was identified as the best-fitting growth model. In the clonal fields of La Libertad and Taluma, clones FDR 5788 and PMB1 exhibited the largest trunk circumferences (69.89 and 57.47 cm) and higher AGR (10.92 and 9.63 cm per year), reaching their maximum growth rate (MGRs) at 3.9 and 3.7 years, respectively. The earliest maturing clones were RRIM 600 and CDC 312, with MGRs at 3.46 and 3.4 years, respectively. These findings provide critical insights into the growth dynamics of rubber tree clones and offer valuable guidance for the management and performance evaluation of rubber plantations in the Colombian Orinoquia.

Keywords:

Logit analysis, Plantations, Plant growth, Rubber.

RESUMEN

En especies forestales, los modelos matemáticos han sido útiles para describir el crecimiento, desarrollo, producción de biomasa y captura de carbono. Sin embargo, el crecimiento de Hevea brasiliensis en la región de la Orinoquia aún no ha sido caracterizado mediante modelos validados con datos de campo. Con el objetivo de describir el patrón de crecimiento de siete clones de las series CDC, FDR, MDF, PMB y los testigos FX 3864 y RRIM 600, se evaluaron cuatro modelos de crecimiento, se calcularon los parámetros de la curva de crecimiento y la tasa absoluta de crecimiento (TAC) en los campos clonales del Centro de Investigación La Libertad (Villavicencio, Meta) y la Finca Experimental Taluma (Puerto López, Meta) de la Corporación colombiana de investigación agropecuaria - AGROSAVIA. A la edad de 8 años, el mejor modelo de crecimiento correspondió a la función logística. En los campos clonales de la Libertad y Taluma, los clones FDR 5788 y PBM1 presentaron las mayores circunferencias de tronco (69,89 y 57,47 cm, respectivamente) y las mayores AGR (10,92 y 9,63 cm por año), alcanzando la máxima tasa de crecimiento (MTC) a la edad de 3,9 y 3,7 años, respectivamente. Los clones más precoces fueron RRIM 600 y CDC 312, con MTC de 3,46 y 3,4 años, respectivamente. Estos hallazgos proporcionan información clave sobre la dinámica de crecimiento de clones de caucho y ofrecen una guía valiosa para la gestión y evaluación del rendimiento de plantaciones de caucho en la Orinoquía colombiana.

Palabras clave:

Análisis logit, Plantaciones, Crecimiento de plantas, Caucho.

Rubber tree [Hevea brasiliensis (Willd. ex A.Juss.) Müll.Arg.] is a native species and the largest source of natural rubber worldwide, a raw material used to manufacture tires and other industrial products (Tangonyire 2019). In Colombia, it is one of the 10 species with commercial forest plantations and with the largest established area, exceeding 30,000 hectares in the Orinoquia region (Ministerio de Agricultura y Desarrollo Rural 2023). Of the total planted area, 51.5% corresponds to monoclonal plantations and 42.4% to polyclonal plantations. The remaining 6% corresponds to plantations of unidentified clones or sprouted trees (Correa-Pinilla et al. 2022).

Considering that the genetic base of commercially planted materials in the country consists of fewer than five clones-including RRIM 600 and FX 3864-it is necessary to select clones with higher performance, productivity, and tolerance to the main foliar diseases. To this end, clonal fields were established using Hevea brasiliensis genotypes from the breeding program initiated in 1992 by CIRAD-Michelin-Brazil as an alternative for cultivation in suboptimal regions and areas affected by South American leaf bling (SALB) (Rivano et al. 2013).

Mathematical models have been useful in timber forest species to describe development based on stem diameter or height and age, obtaining valuable site index curves in forest management plans. In H. brasiliensis, site index equations have been generated for clone IAN 710 plantations in Mexico (Rojo-Martínez et al. 2005), stem diameter growth (before and after tapping), and total and commercial heights have been modeled in plantations in Thailand (Nattharom et al. 2020).

Progress made in rubber trees includes model generation or validation to quantify biomass and carbon sequestration for the RRIM 600 clone in plantations in Tabasco, Mexico (López-Reyes et al. 2016), in Tolima, Colombia (Patiño et al. 2018), and also in agroforestry systems (AFS) with Theobroma cacao L. in Huánuco, Peru (Zavala Solórzano et al. 2019). Furthermore, large-scale biomass estimation has been performed in plantations in China (Li et al. 2023).

Among the studies developed in Colombia, the one carried out by Corporación colombiana de investigación agropecuaria (AGROSAVIA) and Centre de Coopération Internationale en Recherche Agronomique pour le Développement (CIRAD) stands out as it established clonal fields in the Department of Meta to evaluate the growth, the reaction to foliar diseases and rubber production of the Hevea brasiliensis genotypes of the CIRAD-Michelin Selection "CMS" Collection (Castañeda-Garzón et al. 2024). Moreover, in the Colombian Amazon region, growth has been described in clones CDC 56, CDC 312, GU 198, IAN 873, FX 4098, FX 2899 PI, MDF 180, FDR 4575, FDR 5597, and FDR 5788 in the municipalities of Florencia, Belén de los Andaquíes and San Vicente del Caguán (SINCHI 2019), as well as in plantations in Belén de los Andaquíes (Pardo-Rozo et al. 2021), and AFSs and plantations in Caquetá (Andrade et al. 2022).

On the other hand, the management of forest plantations requires monitoring tree growth, which is influenced by species, genotype, environment, and other factors. Description of the growth patterns of H. brasiliensis CMS clones using mathematic models validated from field data allows the identification of the most vigorous genotypes based on the minimum stem circumference to initiate tapping. So far, the growth models of H. brasiliensis genotypes in the Colombian Orinoquia region and specifically in the Department of Meta are unknown. For that reason, the study aimed to evaluate four growth models in nine H. brasiliensis clones to establish the maximum potential growth value reached by each clone, the time to achieve the maximum absolute growth rate, and the estimated value of the maximum absolute growth rate.

The results will allow the rubber producers in the Orinoquia region to understand the growth of H. brasiliensis clones of the CMS collection in their juvenile stage and the agroclimatic conditions of the La Libertad (Villavicencio, Meta) and Taluma (Puerto López, Meta) clonal fields. Tapping can start in some clones at an earlier age before reaching eight years, speeding up the start of latex harvesting and, consequently, generating economic benefits. However, the performance of these clones in the production stage is still being evaluated.

MATERIALS AND METHODS

Study site and plant material

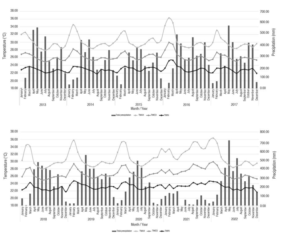
The first study site is the La Libertad small-scale clonal field (SCCF) established in the La Libertad Research Center of AGROSAVIA (Villavicencio), Vereda La Reforma (4°3'37.43" N, 73°27'52.47" W), at 335 meters above sea level (masl), in the Department of Meta, Colombia. It is located in a typical foothill landscape called Piedemonte Llanero. It was established in October 2013 with a planting distance of 6x3 m under an experimental randomized complete block (RCB) design with four repetitions, nine clones (CDC 312, CDC 56, FDR 4575, FDR 5597, FDR 5788, FX 3864, MDF 180, PMB 1, and RRIM 600) and 20 plants per experimental unit. The area has predominantly flat relief, and the soils have a sandy loam texture with low fertility; they are moderately deep and strongly acidic, have high aluminum content, good drainage, and low saturation (Castañeda-Garzón et al. 2024). The average climatic conditions from 2013 to 2022, registered by the meteorological station C.I. La Libertad, showed an annual precipitation of 2,676 mm, a temperature of 25.92 °C, and a relative humidity of 77.83% (Figure 1).

Monthly climate data at the La Libertad small-scale clonal field in Villavicencio, Meta, Colombia, from January 2013 to December 2022. TMAX (average maximum temperature), TMED (average temperature), TMIN (average minimum temperature).

Figure 1: Monthly climate data at the La Libertad small-scale clonal field in Villavicencio, Meta, Colombia, from January 2013 to December 2022. TMAX (average maximum temperature), TMED (average temperature), TMIN (average minimum temperature).

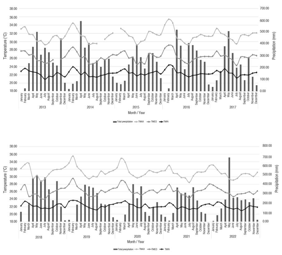
The second study site is the Taluma large-scale clonal field (LSCF) established in the Taluma Experimental Farm of AGROSAVIA (Puerto López), Vereda Carubare (4°22'39.2" N, 72°13' 49.9" W), at 176 masl, in the Department of Meta, Colombia. It was established in a typical high-plain landscape (Altillanura) in August 2013. The planting distance is 6x3 m under an experimental RCB design, with four repetitions, five clones (CDC 312, FDR 5788, FX 3864, PMB 1, and RRIM 600), and 84 plants per experimental unit. The area has predominantly flat relief, and the soils have a sandy loam-clay texture with low fertility; they are moderately deep and strongly acidic and have high aluminum content, good drainage, and low saturation (Castañeda-Garzón et al. 2024). The average climatic conditions from 2013 to 2022 showed an annual precipitation of 2,806 mm, a temperature of 26.51 °C, and a relative humidity of 80.27% (NASA 2021) (Figure 2).

Monthly climate data in the Taluma large-scale clonal field in Puerto López, Meta, Colombia, from January 2013 to December 2022. TMAX (average maximum temperature), TMED (average temperature), TMIN (average minimum temperature).

Figure 2: Monthly climate data in the Taluma large-scale clonal field in Puerto López, Meta, Colombia, from January 2013 to December 2022. TMAX (average maximum temperature), TMED (average temperature), TMIN (average minimum temperature).

In these clonal fields, the commercial controls were FX 3864 and RRIM 600, and the genotypes of the CMS Collection were CDC 312, CDC 56, FDR 4575, FDR 5597, FDR 5788, MDF 180, and PMB 1. CIRAD recommended these clones based on the results obtained in clonal fields in Brazil and Ecuador, where they were evaluated for growth, resistance to the South American leaf disease, and latex yield (Rivano et al. 2013). The management practices carried out corresponded to replanting and chemical and mechanical weed control in lanes and decks. At the CCPE La Libertad and the CCGE Taluma, a fertilization plan was used in the third year with the following proportions: Urea (54%), KCL (27%), and DAP (19%), in a dosage of 370 g per plant. At the CCPE La Libertad, in the fourth and seventh years, the proportions were: Urea (22%), KCL (44%), Amidas® (225), MAP® (8%), and Borozinco® (3%), in a dosage of 800 g per plant. At CCGE Taluma in the fifth year, the proportions were: Urea (40%), KCL (20%), DAP (11%), Sulcamag® (11%), and Borozinco® (2%), in a dosage of 380 g per plant. There was no pruning and phytosanitary control. In both locations from 2013 to 2022, the dry season occurred between December and February-March (Figures 1 and 2).

Variable evaluated

The growth of H. brasiliensis clones was evaluated by measuring the stem circumference (CIRC) in 100% of the live trees in each clonal field, 1 masl (Rivano et al. 2013), using a tape measure with a frequency of 6 months for 8 years and before starting to tap. The survival was monitored during the evaluation period, and growth models were evaluated based on the records obtained.

Model evaluation and statistical analysis

Growth curves are mathematical functions that describe a sigmoidal growth pattern and are an important group of non-linear functions that allow describing plant growth in several of their attributes (e.g., total height, biomass, stem or bole thickness, and leaf area, among others), as well as be used as modifiers in simulation models based on physiological processes (Archontoulis and Miguez 2015). In this study, four non-linear growth models (Equations 1, 2, 3, and 4) were adjusted to establish the maximum potential growth value reached by each clone (CIRCmax, cm), the time to achieve the maximum absolute growth rate (MAGR, years), and the estimated value of the maximum absolute growth rate (MAGRe, cm per year). The structure of the functions is described below.

Logistics model:

Gompertz:

Chapman-Richards:

Beta:

Where CIRCmax is the maximum stem circumference (CIRC, cm) value reached; k controls the inclination of the curve; T.pi is the time at which the tree reaches its maximum growth rate (MGR, years); and Te is the year when the tree reached the maximum CIRC value.

Each model was fitted using the maximum likelihood method (Pinheiro and Bates 2000), and they were compared according to the following goodness-of-fit measures: a) coefficient of determination adjusted according to the number of parameters of each model, b) the Akaike information criterion (AIC) and the standard error of the residuals; when the latter two show lower values, the model is classified as having the best fit. Based on the best growth model, this model was adjusted to each tree and per clone to compare the performance of the clones according to the parameters related to CIRCmax, T.pi, and Te. Only trees with complete CIRC records during the evaluation years were used to ensure the convergence of the models fitted for each tree within each clone. The model parameters were compared between clones through an analysis of variance, and in those cases where significant differences were found at 5%, a minimum significant difference test was applied. All statistical analyses were carried out with the R software [free software] (R Core Team 2023) and the "nlraa" library.

RESULTS AND DISCUSSION

In La Libertad SCCF and Taluma LSCF, the growth model based on the CIRC with the best fit corresponded to the logistic function, in which the AIC value is lower (Tables 1 and 2). Rojo-Martínez et al. (2005) indicate that depending on tree age, allometric variables, such as standard diameter, height, or volume, follow a pattern that can be represented by a logistic curve, which, in turn, is described by an equation. In forest management, growth models are developed to estimate future production and growth under conditions where data do not exist (Rojo-Martínez et al. 2005). In this case, the generated models are useful for describing the growth of rubber clones of the CMS collection in conditions of the Piedemonte Llanero and Altillanura landscapes in Orinoquia, localities in which field data are not yet available.

Table 1: Fitted models and goodness-of-fit measures to describe the growth curve of H. brasiliensis clones evaluated in the La Libertad small-scale clone field (Villavicencio, Meta, Colombia).

Table 2: Fitted models and goodness-of-fit measures to describe the growth curve of H. brasiliensis clones established in the Taluma large-scale clone field (Puerto López, Meta, Colombia).

Based on the above, the growth curve of the H. brasiliensis clones evaluated was adjusted with the logistic function. In the La Libertad SCCF during the evaluation period (8 years), clone FDR 5788 presented the highest growth in CIRC (69.89 cm), followed by clones FX 3864 (64.05 cm), RRIM 600 (63.77 cm), CDC 312 (63.14 cm), PMB 1 (61.34 cm), CDC 56 (59.11 cm), FDR 4575 (54.52 cm), MDF 180 (52.65 cm), and FDR 5597 (42.91 cm) (Figure 3). This contrasts with what was observed in Belén de los Andaquíes (Caquetá) by Sterling et al. (2019) with the following values: FDR 5788 (44.04 cm), FDR 5597 (42.75 cm), CDC 56 (38.21 cm), FDR 4575 (36.97 cm), MDF 180 (36.30 cm), and CDC 312 (36.16 cm).

Fitting of the growth curve with the logistic function of the clones of H. brasiliensis evaluated in the La Libertad small-scale clone field (Villavicencio, Meta, Colombia). CIRC (cm): circumference.

Figure 3: Fitting of the growth curve with the logistic function of the clones of H. brasiliensis evaluated in the La Libertad small-scale clone field (Villavicencio, Meta, Colombia). CIRC (cm): circumference.

By comparing the parameters of the growth curve and the AGR of clones in the La Libertad SCCF, the FDR 5788 clone presented higher CIRC (69.89 cm) and AGR (10.92 cm per year), reaching the MGR at the age of 3.9 years (Table 3). The earliest clone was RRIM 600 (MGR 3.46 years) and ranked third in CIRCmax (63.77 cm) and AGR (9.65 cm per year). Clones MDF 180 and FDR 5597 showed the lowest performance in CIRCmax, MGR, and AGR and the lowest survival (76.25 and 57.5%, respectively). Statistical differences were evident between the clones, and survival ranged between 57.5 and 85% (FDR 5788).

Table 3: Comparison of the growth curve and the absolute growth rate parameters for the La Libertad small-scale clone field (Villavicencio, Meta, Colombia). Age: 8 years.

On the other hand, in the Taluma LSCF during the 8 years of evaluation, clones PMB 1 (57.47 cm) and FDR 5788 (56.12 cm) registered higher growth, surpassing in CIRCmax, the values recorded for clones FX 3864 (51.91 cm), CDC 312 (49.18 cm), and RRIM 600(45.60 cm) (Figure 4). These values exceed those observed at the age of 8 years in an LSCF in Caquetá for FDR 5788 (44.04 cm) and CDC 312 (36.16 cm) (Sterling et al. 2019), as well as for FDR 5788 in a large-scale clonal field in San Vicente del Caguán, Belén of the Andaquíes and Florencia (Caquetá) at the age of 10 years (51, 48, and 50 cm, respectively) (SINCHI 2020a).

Fitting of the growth curve with the logistic function of the H. brasiliensis clones evaluated in the Taluma large-scale clone field (Puerto López, Meta, Colombia). CIRC (cm): circumference.

Figure 4: Fitting of the growth curve with the logistic function of the H. brasiliensis clones evaluated in the Taluma large-scale clone field (Puerto López, Meta, Colombia). CIRC (cm): circumference.

In the Taluma LSCF, the PMB 1 clone had a higher CIRCmax (57.47 cm) and AGR (9.63 cm per year), reaching the maximum growth rate at the age of 3.7 years (Table 4). The earliest clone was CDC 312 (MGR 3.40 years), which ranked fourth with respect to CIRCmax (49.78 cm) and presented a higher AGR (9.11 cm per year) compared to the commercial controls. Statistical differences between clones were evident. Survival in this locality ranged between 91.07% (RRIM 600) and 92.86% (PMB 1).

Table 4: Comparison of the growth curve and the absolute growth rate parameters for the Taluma large-scale clonal field (Puerto López, Meta, Colombia). Age: 8 years.

Under the conditions of the Piedemonte Llanero and Altillanura regions of Colombia, the clones FDR 5597 (La Libertad SCCF), CDC 312 and RRIM 600 (Taluma LSCF) did not reach the maximum CIRC of 50 cm at the age of 8 years (Tables 3 and 4), reference value to open the tapping panel, evidencing a possible effect of the edaphoclimatic conditions of the localities. Similar behavior was observed in the LSCF San Vicente del Caguán (Caquetá), in which the clones FX 3899 P1, FDR 4575, FDR 5578, GU 198 and FDR 5597 presented an acceptable average CIRC value (>52 cm) at the end of the pre-tapping stage and an acceptable CIRC (<58 cm) in the first year of tapping (year 10) (Sterling et al. 2020). This corroborates what was stated by other authors, regarding that rubber trees need a considerable period (years) to start latex harvesting and reach 50 cm of CIRC at 120 cm above the graft union to open the tapping panel (Nadeeshani et al. 2021).

However, when reviewing the age at which the maximum growth rate (MGR) was reached in the La Libertad SCCF, the CMS clones with the highest precocity were RRIM 600, CDC 312, PMB 1, and FDR 4575 (Table 3). For the Piedemonte Llanero area, these values are a useful reference for rubber plantations with genotypes different from commercial clones. In the Taluma LSCF, the CDC 312 genotype was the earliest, although only by a minimal difference compared to the other clones (Table 4). In this locality, the size of the plot allows observing the behavior of the genotypes on a semi-commercial scale; therefore, these values are valuable for the Altillanura region since in Puerto López, the largest extensions of commercial rubber plantations in the Department of Meta are found. Regarding precocity in growth, it is important to remember that in rubber, a rapid increase in height and vigor means a reduction of the immaturity period, allowing the opening of the panel at younger ages of the plantation (Sterling et al. 2012).

In the two clonal fields, AGR values higher than 9 cm per year were obtained in FDR 5788, CDC 312, RRIM 600, and PMB 1 in the La Libertad SCCF, in contrast to the Taluma LSCF in which clones FDR 5788, PMB 1 and CDC 312 stood out (Tables 3 and 4). In LSCF in Ecuador, clones MDF 180, CDC 56, CDC 312, and FDR 5788, at the age of 4 years, presented a CIRC ≥40 cm and an average increase of 10 cm per year (Rivano et al. 2013), surpassing what was observed at that age in the La Libertad and Taluma clonal fields (Figures 3 and 4). In FDR 5597, lower growth was evident in the La Libertad SCCF (Table 3 and Figure 3), with behavior similar to that reported for Brazil and Ecuador. Therefore, as Rivano et al. (2013) stated, "This clone is not recommended for commercial plantations because its production begins two years after any commercial clone." The H. brasiliensis clones from the CMS collection with the greatest vigor, based on the minimum trunk circumference for opening a tapping panel at an age under seven years, were FDR 5788, CDC 312, and PMB 1 in the La Libertad LSCF, and PMB 1 and FDR 5788 in the Taluma LCCF (Castañeda-Garzón et al. 2024).

When comparing the parameters of the growth curve and the AGR of the clones of H. brasiliensis, higher CIRCmax, and AGR were observed for the genotypes in the La Libertad SCCF, while MGR varied in the localities. The differential growth in the genotypes can be attributed to the edaphoclimatic conditions and agronomic management during the juvenile stage of the rubber trees (Castañeda-Garzón et al. 2024). According to some authors, climatic conditions play a vital role in the physiology and growth of rubber trees (Nadeeshani et al. 2021). According to Rojo-Martínez et al. (2005), growth results from a "very complex biological process that interweaves heredity, environmental factors, and cultivation practices."

In traditional rubber-growing areas of Colombia, such as the Amazon, progress has been made in the evaluation of promising materials, thus expanding the genetic base of H. brasiliensis (Sterling et al. 2020), with vigorous clones with productive potential, adaptive capacity, and tolerance to pests and diseases (SINCHI 2020b). Likewise, the idea of converting the traditional monoculture model into an AFS that includes promising native fruit or timber species has also been adopted (Sterling et al. 2015). Hence, the growth of H. brasiliensis has been evaluated in monoclonal plantations (age: 4 to 5 years) associated with the promising fruit tree copoazú (Theobroma grandiflorum (Willd. ex Spreng.) Schum.) materials, in which average CIRC values of 43.46 cm (FX 3864) and 4.50 cm (FX 4098) were recorded (SINCHI 2015), surpassing what was registered for FX 3864 in the La Libertad and Taluma clonal fields at the age of 5 years (41.5 and 38.51 cm, respectively).

In San Vicente del Caguán (Caquetá) after the second year of establishment, the highest CIRC averages in rubber were obtained when cultivated in an AFS associated with T. grandiflorum, Hartón plantain (Musa AAB) and the FX 4098 clone (Sterling et al. 2015). In this regard, Snoeck et al. (2013) affirm that the association of crops with H. brasiliensis can favor its growth compared to monoculture, optimizing land use and generating higher income for producers. Moreover, it improves the physical characteristics of soils in terms of depth and penetrability (Rosas et al. 2015), acts as a barrier against strong winds protecting rubber trees, increases production, and optimizes the cultivation system and productivity (Qi et al. 2021). Therefore, in sustainable agroecosystem management and climate change mitigation contexts, using some H. brasiliensis clones of the CMS collection in AFSs would be an attractive short-term possibility to contemplate in Orinoquia.

Usually, the growth of H. brasiliensis had been described in terms of the CIRC reached at a specific age (Rivano et al. 2013; Sterling et al. 2020; Sterling et al. 2015), and thus, identifying in this way the most vigorous and promising clones in each region. In this study, the description was not only obtained for clonal fields from two landscapes in the Orinoquia region (Piedmonte and Altillanura), but it was also complemented with growth curve parameters (CIRCmax, MGR, and AGR), which allow identifying the age at which maximum growth is reached and the absolute growth rate. These variables provide additional information for selecting promising clones in each landscape or associating them with other production systems. Likewise, it allows producers to glimpse the agronomic management period before latex harvesting.

Future studies should include the climate variability and the long period required to evaluate the growth of H. brasiliensis trees to obtain further field data and generate mathematical models that more accurately describe their development during the juvenile and early stages of tapping. Likewise, the fluctuating availability of financial resources for optimal agronomic management is a challenge; despite this, clones have demonstrated their growth potential in the study locations. Possible sources of error include staff turnover in conducting the assessments; however, compliance with the measurement methodology was verified.

CONCLUSION

The logistic model was the one that best expressed the growth in the juvenile and pre-tapping stage of the Hevea brasiliensis clones in the La Libertad and Taluma clonal fields located in the municipalities of Villavicencio and Puerto López (Meta). The statistical robustness of the model allows for the prediction, with acceptable precision, of the growth of CMS clones in edaphoclimatic conditions similar to those that occurred in the localities evaluated during the first 8 years of genotype development. Significant differences were found in CIRCmax, MGR, and AGR, adjusted according to the logistic model, which reveals the effect of the genotype on growth and the influence of the environments in which the clones were evaluated.

In the La Libertad SCCF, a higher CIRmax and AGR were recorded in the H. brasiliensis clones evaluated, while MGR presented less variation in the Taluma LSCF (3.4 to 3.7 years). With respect to the CIRC in the La Libertad SCCF, clone FDR 5788 (69.89 cm) stood out, and in the Taluma LSCF, clone PMB 1 (57.47 cm) was highlighted. Likewise, for AGR, this was evidenced in clone FDR 5788 with values of 10.92 and 9.95 cm per year (La Libertad SCCF and Taluma LSCF, respectively). These differences highlight the importance of considering local conditions when comparing and evaluating the growth of clones of H. brasiliensis from the CMS collection to carry out management according to its development.

DATA AVAILABILITY

The data used in this research is available upon reasonable request through the following email: reservasinfo@agrosavia.co

CONFLICT OF INTERESTS

The authors declare that it is an original work and that there is no conflict of interest of any kind in the preparation and publication of the manuscript.

Acknowledgements

ACKNOWLEDGMENTS

This publication is derived from the results and information obtained within the project "Evaluation of the behavior of rubber clones in the early productive stage, in four rubber regions of Colombia," executed by Corporación colombiana de investigación agropecuaria (AGROSAVIA) and Centre de Coopération Internationale en Recherche Agronomique pour Le Développement (CIRAD) within the scope of the Corporate Dynamic Agenda, financed with public resources through the Ministry of Agriculture and Rural Development of Colombia. Many thanks to the CIRAD-Michelin consortium for providing the CMS clones for evaluation in Colombia. To Franck Rivano from CIRAD for his technical support and to Ferney López, Hernán Camacho, and Oscar Triana for their support in data collection in the field.

REFERENCES

  1. Andrade H, Orjuela J and Hernández C (2022) Modelos de biomasa aérea y subterránea de Hevea brasiliensis y Theobroma grandiflorum en la Amazonía colombiana. Colombia forestal 25(2): 57-69. https://doi.org/10.14483/2256201X.18464 [URL] 🠔
  2. Archontoulis S and Miguez F (2015) Nonlinear Regression Models and Applications in Agricultural Research. Agronomy Journal 107(2): 786-798. https://doi.org/10.2134/agronj2012.0506 [URL] 🠔
  3. Castañeda-Garzón S, Rivano F and Mora Garcés A (2024) Crecimiento de clones de Hevea brasiliensis (Willd. Ex A.Juss.) Müll.Arg. en etapa juvenil establecidos en campos clonales, Meta, Colombia. Temas Agrarios 29(1): 53-65. https://doi.org/10.21897/5099hh92 [URL] 🠔
  4. Correa-Pinilla D, Gutiérrez-Vanegas A, Gil-Restrepo J, Martínez-Atencia J and Córdoba-Gaona O (2022) Agroecological and South American leaf blight escape zones for rubber cultivation in Colombia. Agronomy Journal 114(5): 2830-2844. https://doi.org/10.1002/agj2.21068 [URL] 🠔
  5. Li X, Wang X, Gao Y, Wu J, Cheng R et al (2023) Comparison of different important predictors and models for estimating large-scale Biomass of rubber plantations in Hainan Island, China. Remote Sensing 15(13): Art. 13. https://doi.org/10.3390/rs15133447 [URL] 🠔
  6. López-Reyes L, Domínguez-Domínguez M, Martínez-Zurimendi P, Zavala-Cruz J et al (2016) Carbono almacenado en la biomasa aérea de plantaciones de hule (Hevea brasiliensis Müell. Arg.) de diferentes edades. Madera y Bosques 22(3): 49-60. https://doi.org/10.21829/myb.2016.2231456 [URL] 🠔
  7. Ministerio de Agricultura y Desarrollo Rural (2023) 7° Boletín estadístico forestal Marzo 2023. https://fedemaderas.org.co/boletin-forestal-2023/ [URL] 🠔
  8. Nadeeshani A, Palihakkara I and Kudaligama K (2021) Assessing growth and physiological parameters of young Hevea brasiliensis to identify adaptable clones for WL1a agroecological region in Sri Lanka. Journal of Food and Agriculture 14(2): Art. 2. https://doi.org/10.4038/jfa.v14i2.5261 [URL] 🠔
  9. NASA - The National Aeronautics and Space Administration (2021) NASA POWER Prediction of worldwide energy resources. https://power.larc.nasa.gov/ [URL] 🠔
  10. Nattharom N, Roongtawanreongsri S and Bumrungsri S (2020) Growth prediction for rubber tree and intercropped forest trees to facilitate environmental services valuation in South Thailand. Biodiversitas Journal of Biological Diversity 21(5): Art. 5. https://doi.org/10.13057/biodiv/d210528 [URL] 🠔
  11. Pardo-Rozo Y, Andrade-Castañeda H, Muñoz-Ramos J and Velásquez-Restrepo J (2021) Carbon capture in three land use systems in the Colombian Amazonia. Revista de Ciencias Agrícolas 38(2): 111-123. https://doi.org/10.22267/rcia.213802.160 [URL] 🠔
  12. Patiño S, Suárez L, Andrade H and Segura M (2018) Captura de carbono en biomasa en plantaciones forestales y sistemas agroforestales en Armero-Guayabal, Tolima, Colombia. Revista de Investigación Agraria y Ambiental 9(2): Art. 2. https://hemeroteca.unad.edu.co/index.php/riaa/article/view/2312 [URL] 🠔
  13. Pinheiro J and Bates D (2000) Mixed-Effects Models in S and S-PLUS (First edition). Springer. https://link.springer.com/book/10.1007/b98882 [URL] 🠔
  14. Qi D, Wu Z, Yang C, Xie G, Li Z, Yang X and Li D (2021) Can intercropping with native trees enhance structural stability in young rubber (Hevea brasiliensis) agroforestry system. European Journal of Agronomy 130: 126353. https://doi.org/10.1016/j.eja.2021.126353 [URL] 🠔
  15. R Core Team (2023) R: A Language and Environment for Statistical Computing. R: The R Project for Statistical Computing. https://www.r-project.org/ [URL] 🠔
  16. Rivano F, Mattos C, Cardoso S, Martinez M, Cevallos V et al (2013) Breeding Hevea brasiliensis for yield, growth and SALB resistance for high disease environments. Industrial Crops and Products 44: 659-670. https://doi.org/10.1016/j.indcrop.2012.09.005 [URL] 🠔
  17. Rojo-Martínez G, Jasso-Mata J, Zazueta-Angulo X et al (2005) Modelos de índice de sitio para Hevea brasiliensis Müll. Arg. del clon IAN710 en el norte de Chiapas. Ra Ximhai 1(1): 153-166. https://doi.org/10.35197/rx.01.01.2005.10.GR [URL] 🠔
  18. Rosas G, Ramos J and Suárez J (2015) Incidencia de sistemas agroforestales con Hevea brasiliensis (Willd. Ex A.Juss.) Müll.Arg. sobre propiedades físicas de suelos de lomerío en el departamento de Caquetá, Colombia. Acta Agronómica 65: 122. http://www.scielo.org.co/pdf/acag/v65n2/v65n2a02.pdf [URL] 🠔
  19. SINCHI - Instituto Amazónico de Investigaciones Científicas (2015) Evaluación inicial del asocio caucho - copoazú en el Caquetá: Una alternativa de enriquecimiento agroforestal con potencial para la Amazonia colombiana (A. Sterling Cuéllar, C. H. Rodríguez León, & L. M. Melgarejo-Muñoz, Eds.). Instituto Amazónico de Investigaciones Científicas - SINCHI. Bogotá. 231p. https://sinchi.org.co/files/publicaciones/novedades%20editoriales/pdf/Agrosilvícola%20Final_baja.pdf [URL] 🠔
  20. SINCHI - Instituto Amazónico de Investigaciones Científicas (2019) Valoración y análisis de la biodiversidad y servicios ecosistémicos asociados a campos clonales de caucho en Caquetá, Amazonia Colombiana (A. Sterling Cuéllar & C. H. Rodríguez León, Eds.). Instituto Amazónico de Investigaciones Científicas - SINCHI. Bogotá. 154p. https://sinchi.org.co/index.php/valoracion-y-analisis-de-la-biodiversidad-y-servicios-ecosistemicos-asociados-a-campos-clonales-de-caucho-en-caqueta-amazonia-colombiana [URL] 🠔
  21. SINCHI - Instituto Amazónico de Investigaciones Científicas (2020a) Valoración de nuevos clones de Hevea brasiliensis con proyección para la Amazonia colombiana: Fases de pre y post-sangría temprana en el Caquetá (A. Sterling Cuéllar & C. H. Rodríguez León, Eds.). Instituto Amazónico de Investigaciones Científicas SINCHI. Bogotá. 322p. https://sinchi.org.co/files/publicaciones/novedades%20editoriales/pdf/Valoracion%20Nuevos%20Clones.pdf 🠔
  22. SINCHI - Instituto Amazónico de Investigaciones Científicas (2020b) Valoración inicial del potencial productivo de Hevea brasiliensis en la Amazonia colombiana mediante la evaluación de nuevos clones promisorios para la región (A. Sterling Cuéllar & Rodríguez León, Eds.). Bogotá. 108p. https://sinchi.org.co/valoracion-inicial-del-potencial-productivo-de-hevea-brasiliensis-en-la-amazonia-colombiana-mediante-la-evaluacion-de-nuevos-clones-promisorios-para-la-region [URL] 🠔
  23. Snoeck D, Lacote R, Kéli J, Doumbia A et al (2013) Association of hevea with other tree crops can be more profitable than hevea monocrop during first 12 years. Industrial Crops and Products 43: 578-586. https://doi.org/10.1016/j.indcrop.2012.07.053 [URL] 🠔
  24. Sterling A, Martinez E, Pimentel G, Suarez Y, Fonseca-Restrepo J and Diaz Y (2019) Dynamics of adaptive responses in growth and resistance of rubber tree clones under South American leaf blight non-escape conditions in the Colombian Amazon. Industrial Crops and Products 141: 111811. https://doi.org/10.1016/j.indcrop.2019.111811 [URL] 🠔
  25. Sterling A, Martínez-Viuche E, Suárez-Córdoba Y, Agudelo-Sánchez A, Fonseca-Restrepo J et al (2020) Assessing growth, early yielding and resistance in rubber tree clones under low South American Leaf Blight pressure in the Amazon region, Colombia. Industrial Crops and Products 158: 112958. https://doi.org/10.1016/j.indcrop.2020.112958 [URL] 🠔
  26. Sterling A, Rodríguez C, Dussán I, Castillo J, Ruiz P and Jara L (2012) Desempeño de diez clones de caucho natural en campo clonal a gran escala en condiciones de la Amazonía Colombiana. Revista Colombia Amazónica 5: 161-175. https://www.sinchi.org.co/files/publicaciones/revista/pdf/5/9%20desempen%CC%83o%20de%20diez%20clones%20de%20caucho%20natural%20en%20campo%20clonal%20a%20gran%20escala%20en%20condiciones%20de%20la%20amazonia%20colombiana.pdf [URL] 🠔
  27. Sterling A, Suárez J, Rodrídguez D, Rodríguez C, Salas-Tobón Y and Virgüez-Díaz Y (2015) Crecimiento inicial de clones promisorios de Hevea brasiliensis (Willd. Ex A. Juss.) Müll. Arg. en sistema agroforestal en Caquetá, Colombia. Colombia Forestal 18(2): Art. 2. https://doi.org/10.14483/udistrital.jour.colomb.for.2015.2.a01 [URL] 🠔
  28. Tangonyire D (2019) Assessing the growth performance of two different Hevea brasiliensis clones (IRCA 41 and GT 1) in the Guinea savanna soil in the northern region of Ghana. Malaysian Journal of Sustainable Agriculture 3(2): 46-55. https://doi.org/10.26480/mjsa.02.2019.46.55 [URL] 🠔
  29. Zavala Solórzano J, Mansilla L, Zavala S and Merino É (2019) Mitigación del cambio climático a través del secuestro y almacenamiento del carbono y evaluación de los servicios ambientales del SAF caucho o jebe (Hevea brasiliensis) y cacao (Theobroma cacao L.) en Tingo María. Anales Científicos 80(2): 462-475. https://revistas.lamolina.edu.pe/index.php/acu/article/view/1478 [URL] 🠔