Revista Facultad Nacional de Agronomía Medellín
0304-2847
2248-7026
Facultad de Ciencias Agrarias - Universidad Nacional de Colombia
https://doi.org/10.15446/rfnam.v78n3.116340

Recibido: 15 de marzo de 2025; Aceptado: 27 de junio de 2025

Hydrogen production by dark fermentation from by-products of coffee wet processing and other organic wastes

Producción de hidrógeno por fermentación oscura a partir de subproductos del beneficio húmedo del café y otros residuos orgánicos

I. Quiñones Navia, 1 V. Martínez Castro, 2 E. Moreno Cárdenas, 3

Programa de Ingeniería Agrícola. Universidad Surcolombiana Sede Pitalito, Huila, Colombia. ivanandress123@gmail.com Universidad Surcolombiana Programa de Ingeniería Agrícola Universidad Surcolombiana Sede Pitalito Huila Colombia
Docente Ocasional, Programa de Ingeniería Agrícola. Universidad Surcolombiana Sede Pitalito, Huila, Colombia. victor.martinez@usco.edu.co Universidad Surcolombiana Programa de Ingeniería Agrícola Universidad Surcolombiana Sede Pitalito Huila Colombia
Profesor Asociado Departamento de Ingeniería Agrícola y Alimentos, Universidad Nacional de Colombia Sede Medellín, Colombia. elmorenoc@unal.edu.co Universidad Nacional de Colombia Departamento de Ingeniería Agrícola y Alimentos Universidad Nacional de Colombia Sede Medellín Colombia

ABSTRACT

Wet coffee processing generates liquid and solid residues with a high organic load, which constitute a significant environmental problem in producing regions such as Pitalito, Huila (Colombia). This study evaluated hydrogen production by dark fermentation (DF) from first coffee wash water (FWCW) in co-digestion with vegetable waste (VW), sugarcane juice (SCJ), and coffee pulp (CP), without thermal pretreatments or external inoculation. The assays were carried out in a 35 L batch bioreactor under three treatments with different proportions (% v/v): L1 (18:25:5:5:14), L2 (18:48:0:0:35), and L3 (18:68:0:0:14), corresponding to VW, FWCW, CP, SCJ, and water, respectively. Treatment L1 reached the highest cumulative H2 production (70.03±2.65 L), as well as the best substrate volume yield (2.00±0.08 L H2 Lsubstrate -1) and H2 content (43.99±3.89%). According to the modified Gompertz model, L1 also presented the highest average production rate (2.70±0.82 L H2 h-1) and lag phase time of 24±6.93 h. The Wilcoxon test evidenced significant differences (P=0.05) in cumulative hydrogen production between L1 and L3, confirming the influence of substrate composition on the process. These results highlight that co-digestion of FWCW and VW represents a viable alternative for valorizing the byproducts generated in the wet coffee processing through hydrogen production.

Keywords:

Biohydrogen, Co-digestion, Coffee pulp, Sustainable energy, Waste coffee water.

RESUMEN

El procesamiento húmedo del café genera residuos líquidos y sólidos con alta carga orgánica, los cuales constituyen una problemática ambiental significativa en regiones productoras como Pitalito, Huila (Colombia). Este estudio evaluó la producción de hidrógeno por fermentación oscura (DF) a partir de aguas del primer lavado de café (FWCW) en co-digestión con residuos vegetales (VW), jugo de caña (SCJ) y pulpa de café (CP), sin pretratamientos térmicos ni inoculación externa. Los ensayos se realizaron en un biorreactor batch de 35 L, bajo tres tratamientos con diferentes proporciones (% v/v): L1 (18:25:5:5:14), L2 (18:48:0:0:35) y L3 (18:68:0:0:14), correspondientes a VW, FWCW, CP, SCJ y agua, respectivamente. El tratamiento L1 alcanzó la mayor producción acumulada de H2 (70,03±2,65 L), así como el mejor rendimiento por volumen de sustrato (2,00±0,08 L H2 Lsustrato -1) y un contenido de H2 (43,99±3,89%). De acuerdo con el modelo de Gomperz modificado, L1 también presentó la mayor tasa media de producción (2,70±0,82 L H2 h-1) y un tiempo de fase Lag de 24±6,93 h. La prueba de Wilcoxon evidenció diferencias significativas (P=0,05) en la producción acumulada de hidrógeno entre L1 y L3, confirmando la influencia de la composición del substrato en el proceso. Estos resultados destacan que la co-digestión de las FWCW y VW representa una alternativa viable para valorizar los subproductos generados en la vía húmeda del café mediante la generación de hidrógeno.

Palabras clave:

Biohidrógeno, Co-digestión, Pulpa de café, Energía sostenible, Aguas residuales de café.

The energy matrix continues to be dominated by fossil fuels, which account for around 80% of the supplied energy. However, its impact on the environment and depletion raises concerns about energy supply because global coal, oil, and gas reserves are estimated to last 60, 200, and 40 years, respectively (Aravindan and Praveen 2023). Hydrogen (H2) is considered an alternative energy option to fossil fuels when obtained from renewable and sustainable energy sources, standing out for its high net calorific value of 120 MJ kg-1 (Al-Haddad et al. 2023).

Hydrogen can also be obtained from biomass through three techniques: biological processes, such as biofermentation (including dark fermentation (DF) and photo fermentation), and biophotolysis. Biological production from sources like organic waste is very promising (Al-Haddad et al. 2023). DF has received significant attention due to its use of carbohydrate-rich waste and in situ energy production. This approach reduces costs and energy expenses while maintaining the lowest global warming potential (<1 kg CO2 kg-1 H2 -1).

This is especially relevant in regions with high agro-industrial waste. Coffee is Colombia’s main agricultural product due to its impact on the economy and rural employment; in Huila, it accounts for the largest share of the agricultural Gross Domestic Product (GDP), with the highest production concentrated in Pitalito, Huila (Cerquera Losada et al. 2020). However, the wet processing of coffee generates large volumes of solid and liquid waste. Wastewater from the demucilaging process shows chemical oxygen demand (COD) concentrations ranging from 18,600 to 29,500 mg L-1, biochemical oxygen demand (BOD₅) between 10,500 and 14,340 mg L-1, and total solids ranging from 14,000 to 18,500 mg L-1, with a pH ranging from 3.5 to 4.5 (Campos et al. 2021). These effluents pose health risks to people in contact with them (Ijanu et al. 2020).

In this context, combining organic residues offers a feasible alternative. Co-digestion enhances anaerobic digestion performance by balancing the nutritional supply for microorganisms. Wastewater and agricultural residues are considered viable options due to their availability and organic content. To increase hydrogen production, it is essential to co-ferment with by-products that optimize process conditions. Co-digestion, which involves mixing wastes in different proportions and maintaining an appropriate C/N ratio, has been shown to improve yields and reduce common issues associated with mono-digestion, such as nutrient imbalances and the presence of toxic or recalcitrant compounds (Mumtha and Mahalingam 2024). Previous studies support its effectiveness. The co-digestion of sugarcane bagasse and whey using a bacterial consortium achieved a hydrogen production of 1,098 mL H₂ L-1, surpassing the values obtained with pure cultures (Mumtha and Mahalingam 2024). Likewise, 605.75 mL H₂ and a hydrogen concentration of 39.75% in the biogas were obtained using a mixture of coffee wastewater (53%), liquid swine manure (47%), and dehydrated coffee pulp (3 g L-1), with thermal pretreatment (Lourenço et al. 2025). Similarly, using a substrate composed of coffee mucilage, cocoa mucilage, and pig manure, a hydrogen production rate of 90 mL H₂ per day was reported under thermophilic conditions (55 °C) and a C/N ratio of 35 (Rangel et al. 2021).

Additionally, some coffee residues have been utilized to generate hydrogen (H2). For instance, the production of 82 mL H2 from coffee pulp, husk, and coffee wastewater with a pH of 7.0 and a temperature of 30 °C is reported (Villa Montoya et al. 2019). Miñón-Fuentes and Aguilar-Juárez (2019) reached 4.18 L H2 kg-1 from coffee pulp and a vinasse inoculum. Other authors reported 284.02 mL H2 g-1 COD-1 using coffee and cocoa mucilage as substrates, with inoculum from an anaerobic digester (Rangel et al. 2021). Although these studies provide valuable information, there is no robust data on the potential of wastewater from the first coffee wash (FWCW) for hydrogen production through DF. In this context, co-digestion emerges as a viable alternative to overcome its microbiological and nutritional limitations and thus improve production yields (Mumtha and Mahalingam 2024).

This study aimed to evaluate hydrogen production through DF using co-digestion of different proportions of water from the first coffee wash, vegetable waste (lettuce, cabbage, parsley, celery, and broccoli), cane juice, and coffee pulp as a substrate without inoculating microorganisms.

MATERIALS AND METHODS

Substrate

A mixture of VW, FWCW, CP, SCJ, and water was used as the substrate. The selection of VW and FWCW was based on their availability as carbon sources and the presence of microorganisms with high potential for hydrogen production through DF, as reported by Cárdenas et al. (2020). The FWCW, obtained from the traditional processing method (fermentation for 24 hours), and coffee pulp (CP) were collected at Los Naranjos farm, located in the municipality of Pitalito (Huila) at 1,641 meters above sea level (masl) with an average temperature of 19 °C. The vegetable waste (VW) was obtained from the Pitalito marketplace, containing residues of lettuce, chard, cabbage, parsley, celery, and broccoli, residues in equal proportions, which were not suitable for human consumption. Meanwhile, sugar cane juice (SCJ) was obtained from a panela processing plant located in the municipality of Palestina, Huila. Prior to the experimental stage, preliminary fermentation trials (data not included in this document) were conducted to determine the proportions of the raw materials. From the trial with the highest hydrogen production, 2 L of residual sludge were collected and used as untreated inoculum, which was added to each treatment. The solid waste was crushed using a commercial blender (Oster® BLSTTDG-NBG) to obtain a homogeneous sample (Figure 1). Only the pH of the substrate was recorded (pHi); no initial physicochemical characterization was performed.

Substrate and raw materials: A. Wastewater from the first coffee wash (FWCW); B. Coffee pulp (CP); C. Vegetable waste (VW); D. Sugar cane juice (SCJ); and E. Mixed Substrate (FWCW, CP, VW, and SCJ).

Figure 1: Substrate and raw materials: A. Wastewater from the first coffee wash (FWCW); B. Coffee pulp (CP); C. Vegetable waste (VW); D. Sugar cane juice (SCJ); and E. Mixed Substrate (FWCW, CP, VW, and SCJ).

Bioreactor

It consisted of a 50 L high-density polyethylene container with a useful volume for 35 L substrate, which was placed inside another container with a capacity of 200 L and an opening at the top. The space between the two containers was filled with water, which was heated by three electrical resistors of 800 W (127 V), until reaching a temperature of 35 °C in the bioreactor. Water and substrate temperature were recorded with six sensors; four were DS18B20 and two PT100 thermocouples. The stirring system consisted of oblique blades driven by an electric motor (XD-153) at 1,600 rpm (115 V). The pressure in the bioreactor was measured with a Rockage® analogue pressure gauge (0-413.68 kPa). An industrial pressure sensor (0-1.2 MPa) allowed the operation of a 2 w-160-15 solenoid valve (Air control, 110 V), releasing the gas when a value of 68.94 kPa is reached. For the control, an Arduino Uno R3® board was implemented, programmed in C++ language. The pressure and temperature were shown on an LCD display, screen 1602 (16x2) (Figure 2). A gas meter was coupled to the bioreactor (Humcar® G1.6, minimum flow 0.016 m3 h-1 and maximum pressure of 50 kPa), recording the total volume of gas generated. The bioreactor was installed at the Chemistry of Basic Sciences laboratory of the Universidad Surcolombiana (USCO) at Pitalito, where the tests were carried out.

Control and automation system.

Figure 2: Control and automation system.

Experimental design

Batch fermentations were made under a completely randomized experimental design to evaluate the effect of the proportions (% v/v) of the raw materials on the substrate. Three treatments were set with different amounts of VW, FWCW, CP, SCJ, and water, with three replicates per treatment. The temperature, agitation, acidification time (ta) and operating pH (pHo) in the fermentations (Table 1) were measured according to the invention patent 31671 granted to Universidad Nacional de Colombia by the Superintendencia de Industria y Comercio, conditions favorable for hydrogen production. All fermentations began with the grinding of solid residues (VW and CP) to a particle size of <2 cm. Subsequently, FWCP, SCJ, and treated water suitable for human consumption were added in the proportions established by the experimental design. The substrate was transferred to the bioreactor and left to rest for 72 hours, without agitation and at room temperature, to promote lactic acidification. After this period, the pH (pHo) was adjusted to 6.5 using sodium carbonate (Na₂CO₃) to initiate hydrogen production.

Table 1: Substrate proportion and operation conditions.

The pH was monitored with a HI 98107 Hanna Instruments® pH-meter, with 0.1 resolution and ±0.1 accuracy. The response variables were hydrogen production rate for the day of maximum production (HP, L H2 h-1 dmax -1), cumulative hydrogen production (CHP, L H2), maximum hydrogen content in the gas (MCH, %H2), substrate yield (YS, L H2 LSubstrate -1), average maximum hydrogen production rate (Rmax-avg, L H2 h-1), and specific hydrogen production rate per biomass (SYPB, L H2 h-1 L-1).

Kinetic and statistical analysis

The cumulative production of H2 was adjusted to the modified Gompertz model (Equation 1). The model was applied using Visual Studio Code (version 1.87.2) and Python programming language (version 3.12.2), where H is the cumulative hydrogen production (mL), λ the lag phase time (h), P the potential hydrogen production (mL), Rmax the maximum hydrogen production rate (mL h-1), t corresponds to the elapsed time in hours, and e is 2.718281828.

The results of H and Rmax were subjected to a non-parametric Wilcoxon signed-rank test (α=0.05) to determine differences between treatments using VS Code and the Python programming language.

Chromatographic analysis

To determine the production of H2, gas samples were taken every 16 h using 1 L Tedlar bags. Concentrations of hydrogen (H2), methane (CH4), carbon monoxide (CO), carbon dioxide (CO2), and nitrogen (N2) were identified and quantified using gas chromatography with a MicroGC 3000 Agilent equipped with a terminal conductivity detector (TCD). This GC-TCD was coupled to the Molsieve and PLOTU columns, using argon and helium as carrier gases, respectively. The temperature for the injector and column was set at 60 °C, the pressure was 206.8 kPa, and injection flow was 0.83 mL s-1. The analyses were conducted at the Energy Sciences laboratory at Universidad Nacional de Colombia Medellín Headquarters.

RESULTS AND DISCUSSION

Gas Composition

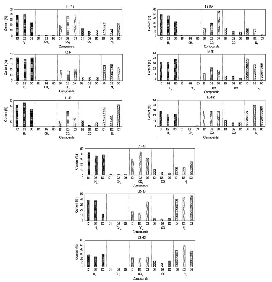
The highest H2 content was recorded for treatment L1 (43.99±3.89%), with a maximum value of 48.34% observed in trial L1-R2 (treatment 1, repeat 2). Al-Haddad et al. (2023), using glucose as the substrate, reported H2 concentrations of 28.70% with untreated inoculum, 30.70% with thermal pretreatment at 115 °C for 20 min, and 27.40% H2 with acid-treated inoculum. In this study, without substrate pretreatment, significantly higher H2 values were obtained. The highest CH4 concentration was 1.04% (L1-R2), a favorable outcome indicating that no significant H2 consumption occurred for methane formation. The mean value for L1 was 0.93±0.35%, the highest among all treatments. The highest average CO content was observed in treatment L1 (9.85±3.93%), with a maximum value of 17.20% in trial L1-R2 (Figure 3).

Gas composition across three treatments (L1, L2, L3), each with three repeats (R1, R2, R3), assessed on their respective sampling days (D).

Figure 3: Gas composition across three treatments (L1, L2, L3), each with three repeats (R1, R2, R3), assessed on their respective sampling days (D).

The formation of CO is attributed to homoacetogenic bacteria, which can grow using H2 and CO2 as energy sources (Mehi et al. 2024). The highest CO2 content in this study was 33.59±12.16% for treatment L1. However, considering the remarkable results in H2 production, in this work, CO could be more associated with metabolic pathways that do not consume H2.

The highest N2 mean was obtained in treatment L3 (33.93±7.89%), with a maximum value of 50.01% in trial L3-R3. Rojas-Sossa et al. (2017) studied the production of H2 using coffee wastewater and indicated that the Comamonadaceae family was the most abundant group of proteobacteria. This genus performs the denitrification and decomposition of organic acids through the enzyme nitrate reductase, whose final product is N2. Some researchers report that H2, CH4, CO2, and N2 have concentrations of 18.08, 0.20, 8.96, and 51.30%, respectively, using fruits and vegetables as substrates (Moreno Cárdenas et al. 2013). Mixed cultures from environmental sources may contain H2-consuming microorganisms, such as methanogenic bacteria, which produce nitrate and iron, propionate, lactate and caproate; in these, H2 can be consumed as reducing equivalent (NADH2; potential H2) or as molecular H2 (Saady 2013). These results demonstrate that untreated substrates maximize H₂ production, minimizing unwanted byproducts such as methane while maintaining low levels of CO, suggesting an efficient and sustainable alternative for clean energy generation.

Bio-Hydrogen production and yield

Hydrogen production varied between 1.37±1.37 and 1.87±0.38 L H2 h-1 dmax -1, the MCH ranged between 34.37±9.45 and 43.99±3.89%, and the CHP between 43.63±17.39 and 70.03±2.65 L (Table 2). The maximum H2 yield was found in trial L1-R2 with 2.30 L H2 h-1 dmax -1. Additionally, a cumulative H2 production of 25.94 L H2, with an H2 content of 35.85%, has been reported after one day of acidification at a temperature of 30 °C, pH of 6.5, and a chemical oxygen demand (COD) of 60 g O2 L-1 of coffee mucilage and organic waste (Cárdenas et al. 2020). Likewise, an average H2 production rate of 1,398.3 NmL Lsubstrate -1 d-1 has been found, and an average concentration of 39% of H2 using coffee mucilage and swine manure at a pH of 5.5 and a temperature of 55 °C (Hernández et al. 2014). García-Depraect and León-Becerril (2023) investigated the use of a specialized biocatalyst to produce hydrogen, lactate, and butyrate, reporting 0.2 NL H₂ L-1, low butyrate production (3.3 g L-1), and rapid decreases in lactate, from coffee industry wastewater (20% v/v from the fermentation stage; 80% v/v from the demucilaginization stage). The authors suggest that co-fermentation with other substrates, such as fruit and vegetable waste, could improve process efficiency.

Table 2: Production yield indicators.

The best yield obtained in the present study (YS) was 2.00±0.08 L H2 Lsubstrate -1 for L1 under non-sterile conditions and without inoculation. Researchers have reported 1.29 L H2 Lsubstrate -1 and a yield of 1.65 mol H2 molhexose -1 with coffee mucilage combined with organic residues, no inoculation, and an organic load of 60 g O2 L-1 (COD), and a pH of 6.5 (Cárdenas et al. 2020). Previous studies report 1.29 mol H2 molhexose -1 from wastewater generated during beverage manufacturing, subjected to heat treatment at 90 °C for 20 minutes (Jung et al. 2010). A yield of 49.2 mL H2 g-1 COD-1 has been found using coffee pulp as a substrate, with inoculation (Miñón-Fuentes and Aguilar-Juárez 2019). Yields of 1.90 L H2 Lsubstrate -1 have been achieved with urban organic waste in a bioreactor with pulsed stirring, without inoculation (Cano Quintero and Moreno-Cárdenas 2019). In addition, Hernández et al. (2014) reported that using coffee mucilage with inoculum and an organic load of 12.1 kg COD m-3 d-1, the yield was 2.5 mol H2 molglucose -1.

During hydrogen production, various organic acids and alcohols have been identified, including lactic acid (pH=3.2-4.5), butyric acid (pH=4.7-5.0), acetic acid (pH=4.5), valeric acid (pH=6.0), propionic acid (pH=6.0), butanol (pH=4.7-4.9), and ethanol. Their presence varies depending on the microbial community in non-sterilized substrates (Villa Montoya et al. 2020a). This confirms that, in non-sterilized substrates, the microbial community influences the variability of compounds and metabolic pathways for hydrogen production. It has been reported that at pH=5.5, volatile fatty acids (VFAs) such as acetic, propionic, and isocaproic are accumulated, which could influence hydrogen production (Tiegam Tagne et al. 2024). Although this study did not evaluate VFA production, it is possible that favorable VFA formation pathways occurred, contributing to hydrogen production (Table 3).

Table 3: Temperature and pH values in the trials.

Figure 4 shows that the maximum production was not recorded on the same day for all the trials. Previous studies have demonstrated that H2 production is influenced by microbial diversity and that processes may be affected by operating conditions; hence, bacteria can adapt to dynamic conditions and alter the speed and efficiency of H2 production (Mehi et al. 2024). The results show that production lasted between three and five days, reaching its maximum between the first and second day, while on days four and five it was marginal, according to the batch operation. The use of native communities has been found to favor hydrogen production pathways. A yield of 596.3 mL H₂ L-1 and 25 g L-1 of lactic acid were reported from native communities of organic substrates, as they are well adapted to the substrates, efficiently converting lactic acid into hydrogen (Villanueva-Galindo et al. 2024).

Hydrogen production across three treatments (L1, L2, L3), each with three repeats (R1, R2, R3).

Figure 4: Hydrogen production across three treatments (L1, L2, L3), each with three repeats (R1, R2, R3).

Modified Gompertz model applied to cumulative hydrogen production (CPH)

The kinetics of product formation (H2) using the modified Gompertz model showed that the highest volume of H2 was found in trial L2-R1 with 75,556.69 mL (Figure 5). The lag phase did not have the same duration in all the trials, since after the acidification time, the reaction rate of the base was not the same in all of them. The multiple correlation coefficient in relation to the Gompertz logistic model was 0.99 for all the tests (Table 4). The maximum H2 production rate (Rmax) was observed in trial L1-R2 with 3,638.34 mL H2 h-1, with lag phase time of 28 h. The best Rmax-avg and the best SYPB were obtained in L1, with 2.70±0.82 L H2 h-1 and 0.08±0.02 L H2 h-1 L-1, respectively (Table 4). However, all the parameters shown by the Gompertz model must be analyzed simultaneously since high values in the production rate and yield do not always imply high production, such was the case of trial L3-R3 that obtained outstanding values of Rmax-avg and SYPB but showed the second lowest production (Hmax).

Accumulated hydrogen production fitted to the modified Gompertz model across three treatments (L1, L2, L3), each with three repeats (R1, R2, R3).

Figure 5: Accumulated hydrogen production fitted to the modified Gompertz model across three treatments (L1, L2, L3), each with three repeats (R1, R2, R3).

Table 4: Parameters of the Gompertz modified model.

Villa Montoya et al. (2020a) report Hmax values of 244 mL, Rmax of 11.40 mL h-1, λ of 17.10 h at pH of 5.5 and temperature of 30 °C, using pulp and coffee husk as a substrate with hydrothermal pretreatment at 150 °C. For additional studies using pulp and coffee wastewater pretreated at 180 °C for 15 minutes, the Hmax results were 8 mL, Rmax of 0.80 mL h-1, and λ of 14.70 h (Villa Montoya et al. 2020b). Meanwhile, using a synthetic substrate, an Rmax of 59.6 mL h-1, Hmax of 758.70 mL, and λ of 27.30 h were recorded, thus establishing that high organic loads cause inhibition and affect production (Laothanachareon et al. 2014). Similar results are reported by Moreno Cárdenas and Zapata Zapata (2019) for H2 production using fruit and vegetable waste in co-digestion with fresh coffee mucilage; they found that H2 production decreased with organic loads greater than 70,000 mg of O2 L-1. Additionally, Abreu et al. (2009) reported Hmax of 137.20 mL, Rmax of 1.70 mL h⁻¹, and λ of 13.70 h using hemicellulosic biopolymers (L-arabinose) at 30 g L⁻¹ and 37 °C, demonstrating the impact of substrate type and operational conditions on hydrogen production. Muri et al. (2016) documented Hmax of 346 N mL, Rmax of 91 N mL h⁻¹, λ of 6.50 h, and YS of 1.55 mol H₂ per mol glucose using glucose (5 g L-1) at 37 °C and pH=6.4, noting that low pH suppresses hydrogenase activity, reducing Hmax and Rmax. This trend is consistent with the results achieved in this research, where the lowest Hmax values were presented in treatment 3, which had the lowest proportion of water (18:68:0:0:14) with 14%, which implied a lower dilution and greater organic load.

Comparing medians: Statistical analysis for cumulative hydrogen production (CPH)

The results for the CPH variable indicate that the data are normal (P-value=0.10) according to the Shapiro-Wilk test and homogeneity of variance (P-value = 0.10), according to the Levene test. However, given the number of data available in the study, a non-parametric Wilcoxon test was preferred for comparing medians for the variables CHP and Rmax (Figure 6).

Mean and interval for cumulative hydrogen production (CHP) variable in the treatments.

Figure 6: Mean and interval for cumulative hydrogen production (CHP) variable in the treatments.

After applying the Wilcoxon test (Table 5), significant differences were observed between L1 and L3 in the variable CHP. In contrast, when comparing the medians between treatments L2 and L3 and between L1 and L2, no significant differences were found.

Table 5: Wilcoxon test results for cumulative hydrogen production (CHP) and maximum hydrogen production rate (Rmax).

Since there were no statistical differences in the variable CHP between the treatments L1 (composition of 18:25:5:5:47, in its order VW, FWCW, CP, SCJ and water) and L2 (composition of 18:48:0:0:35, in its order VW, FWCW and water), the substrate can be simplified to VW and FWCW, which opens a door for such residues to be used as main substrates without significantly affecting the H2 production. Moreover, given that there are significant differences between the L1 treatment (with 47% water) and the L3 treatment (water was reduced to 14%), and that in the latter the production of H2 was the lowest, there could have been an inhibitory effect due to organic overload. The rate of organic load is an essential factor in the DF, it represents the availability of substrate for H2-producing microorganisms, allowing higher productions as long as the process is not inhibited by substrate overload (García-Depraect et al. 2021). High organic loads favor the production of undesirable by-products such as propionate and isocaproic acid negatively affecting the process (García-Depraect and León-Becerril 2023; Tiegam Tagne et al. 2024). Previous studies have reported a decrease in H2 production due to organic overload when using different substrates, including mixtures of pig manure, coffee mucilage, and cocoa at concentrations between 40 and 50 g VS L-1 (Rangel et al. 2020).

The Wilcoxon test results indicate no significant differences between the evaluated treatments for Rmax. Although the limited number of replicates and the variability in the data suggest that these findings should be interpreted with some caution, the results support that, under the conditions evaluated, variations in substrate composition do not substantially affect Rmax.

CONCLUSION

Dark fermentation of FWCW in co-digestion with VW, SCJ or CP allowed achieving a maximum hydrogen content of 43.99±3.89%, a substrate yield of 2.00±0.08 L H2 LSubstrate -1, and a maximum average production rate of 2.70±0.82 L H2 h-1, with a microbial adaptation period of 24±6.93 hours, without the need for thermal pretreatment, following the operational conditions established in patent 31671. The Wilcoxon test revealed a significant effect of substrate composition on cumulative hydrogen production, with statistically significant differences observed between treatments L1 and L3 (P=0.05). These results highlight the potential of FWCW and co-substrates in hydrogen production processes. Further studies are recommended to characterize the substrates in terms of carbohydrate and volatile fatty acids by high-performance liquid chromatography, as well as to conduct metagenomic analysis of microbial communities to identify hydrogen-producing microorganisms and key metabolic pathways, to optimize the process at an industrial scale.

CONFLICT OF INTERESTS

The authors declare that they have no conflicts of interest.

Acknowledgements

ACKNOWLEDGEMENTS

We thank the Universidad Surcolombiana and its Faculty of Engineering, Dean Rómulo Medina Collazos, for the financing, and Roger Iván Quiñones and Lady Marcela Navia for the additional financial support. Likewise, to the Universidad Nacional de Colombia Medellín Headquarters for allowing us to work with their patent.

REFERENCES

  1. Abreu AA, Danko AS, Costa JC et al (2009) Inoculum type response to different pHs on biohydrogen production from l-arabinose, a component of hemicellulosic biopolymers. International Journal of Hydrogen Energy 34:1744-1751. https://doi.org/10.1016/j.ijhydene.2008.12.020 [URL] 🠔
  2. Al-Haddad S, Okoro-Shekwaga CK, Fletcher L et al (2023) Assessing different inoculum treatments for improved production of hydrogen through dark fermentation. Energies (Basel) 16:1-15. https://doi.org/10.3390/en16031233 [URL] 🠔
  3. Aravindan M and Praveen G (2023) Hydrogen towards sustainable transition: A review of production, economic, environmental impact and scaling factors. Results in Engineering 20: 1-21. https://doi.org/10.1016/j.rineng.2023.101456 [URL] 🠔
  4. Campos RC, Pinto VRA, Melo LF et al (2021) New sustainable perspectives for "Coffee Wastewater" and other by-products: A critical review. Future Foods 4. https://doi.org/10.1016/j.fufo.2021.100058 [URL] 🠔
  5. Cano Quintero DY and Moreno-Cárdenas EL (2019) Incidence of operative parameters in the production of biohydrogen generated from urban organic waste. Revista Facultad Nacional de Agronomía Medellin 72: 8841-8853. https://doi.org/10.15446/rfnam.v72n2.73138 [URL] 🠔
  6. Cárdenas ELM, Zapata-Zapata AD and Kim D (2020) Modeling dark fermentation of coffee mucilage wastes for hydrogen production: Artificial neural network model vs. fuzzy logic model. Energies (Basel) 13: 1-13. https://doi.org/10.3390/en13071663 [URL] 🠔
  7. Cerquera Losada OH, Pérez Gómez VH and Sierra Chavarro J (2020) Análisis de la competitividad de las exportaciones del café del Huila. Tendencias 21: 19-44. https://doi.org/10.22267/rtend.202102.139 [URL] 🠔
  8. García-Depraect O, Castro-Muñoz R, Muñoz R et al (2021) A review on the factors influencing biohydrogen production from lactate: The key to unlocking enhanced dark fermentative processes. Bioresour Technology 324: 1-14. https://doi.org/10.1016/j.biortech.2020.124595 [URL] 🠔
  9. García-Depraect O and León-Becerril E (2023) Use of a highly specialized biocatalyst to produce lactate or biohydrogen and butyrate from agro-industrial resources in a dual-phase dark fermentation. Fermentation 9. https://doi.org/10.3390/fermentation9090787 [URL] 🠔
  10. Hernández MA, Rodríguez Susa M and Andres Y (2014) Use of coffee mucilage as a new substrate for hydrogen production in anaerobic co-digestion with swine manure. Bioresour Technology 168: 112-118. https://doi.org/10.1016/j.biortech.2014.02.101 [URL] 🠔
  11. Ijanu EM, Kamaruddin MA and Norashiddin FA (2020) Coffee processing wastewater treatment: a critical review on current treatment technologies with a proposed alternative. Applied Water Science 10: 1-11. https://doi.org/10.1007/s13201-019-1091-9 [URL] 🠔
  12. Jung KW, Kim DH and Shin HS (2010) Continuous fermentative hydrogen production from coffee drink manufacturing wastewater by applying UASB reactor. International Journal of Hydrogen Energy 35: 13370-13378. https://doi.org/10.1016/j.ijhydene.2009.11.120 [URL] 🠔
  13. Laothanachareon T, Kanchanasuta S, Mhuanthong W et al (2014) Analysis of microbial community adaptation in mesophilic hydrogen fermentation from food waste by tagged 16S rRNA gene pyrosequencing. Journal of Environmental Management 144: 143-151. https://doi.org/10.1016/j.jenvman.2014.05.019 [URL] 🠔
  14. Lourenço VA, Camargo FP, Sakamoto IK et al (2025) Influence of substrates proportion and concentration on biogas composition and yield in the co-digestion of solid and liquid waste from coffee and swine farms. Renew Energy 249: 1-19. https://doi.org/10.1016/j.renene.2025.123191 [URL] 🠔
  15. Mehi Gaspari Augusto I, Zampol Lazaro C, Albanez R et al (2024) H2 production via dark fermentation of soybean molasses: Elucidating the role of homoacetogenesis and endogenous substrate microorganisms by kinetic and microbial analysis. Energy 298: 1-18. https://doi.org/10.1016/j.energy.2024.131301 [URL] 🠔
  16. Miñón-Fuentes R and Aguilar-Juárez O (2019) Hydrogen production from coffee pulp by dark fermentation. Water Science and Technology 80: 1692-1701. https://doi.org/10.2166/wst.2019.416 [URL] 🠔
  17. Moreno Cárdenas EL, Cano Quintero DJ and Elkin Alonso CM (2013) Generation of biohydrogen by anaerobic fermentation of organics wastes in Colombia. In: Liquid, Gaseous and Solid Biofuels - Conversion Techniques. InTech pp 377-400. 🠔
  18. Moreno Cárdenas EL and Zapata Zapata AD (2019) Biohydrogen production by co-digestion of fruits and vegetable waste and coffee mucilage. Rev Facultad Nacional de Agronomía Medellin 72: 9007-9018. https://doi.org/10.15446/rfnam.v72n3.73140 [URL] 🠔
  19. Mumtha C and Mahalingam PU (2024) Biohydrogen production from co-substrates through dark fermentation by bacterial consortium. 3 Biotech 14: 1-9. https://doi.org/10.1007/s13205-024-04106-3 [URL] 🠔
  20. Muri P, Črnivec IGO, Djinović P and Pintar A (2016) Biohydrogen production from simple carbohydrates with optimization of operating parameters. Acta Chimica Slovenica 63: 154-164. https://doi.org/10.17344/acsi.2015.2085 [URL] 🠔
  21. Rangel C, Sastoque J, Calderon J et al (2020) Hydrogen production by dark fermentation process: Effect of initial organic load. Chemical Engineering Transactions 79: 133-138. https://doi.org/10.3303/CET2079023 [URL] 🠔
  22. Rangel CJ, Hernández MA, Mosquera JD et al (2021) Hydrogen production by dark fermentation process from pig manure, cocoa mucilage, and coffee mucilage. Biomass Convers Biorefin 11: 241-250. https://doi.org/10.1007/s13399-020-00618-z [URL] 🠔
  23. Rojas-Sossa JP, Murillo-Roos M, Uribe L et al (2017) Effects of coffee processing residues on anaerobic microorganisms and corresponding digestion performance. Bioresour Technology 245: 714-723. https://doi.org/10.1016/j.biortech.2017.08.098 [URL] 🠔
  24. Saady NMC (2013) Homoacetogenesis during hydrogen production by mixed cultures dark fermentation: Unresolved challenge. International Journal of Hydrogen Energy 38: 13172-13191. https://doi.org/10.1016/j.ijhydene.2013.07.122 [URL] 🠔
  25. Tiegam Tagne RF, Costa P, Gupte AP et al (2024) Efficient production of biohydrogen from African lignocellulosic residues. Sustainable Energy Technologies and Assessments 72. https://doi.org/10.1016/j.seta.2024.104060 🠔
  26. Villa Montoya AC, Cristina da Silva Mazareli R, Delforno TP et al (2019) Hydrogen, alcohols and volatile fatty acids from the co-digestion of coffee waste (coffee pulp, husk, and processing wastewater) by applying autochthonous microorganisms. International Journal of Hydrogen Energy 44: 21434-21450. https://doi.org/10.1016/j.ijhydene.2019.06.115 [URL] 🠔
  27. Villa Montoya AC, Cristina da Silva Mazareli R, Silva EL and Varesche MBA (2020a) Improving the hydrogen production from coffee waste through hydrothermal pretreatment, co-digestion and microbial consortium bioaugmentation. Biomass Bioenergy 137: 1-11. https://doi.org/10.1016/j.biombioe.2020.105551 [URL] 🠔
  28. Villa Montoya AC, da Silva Mazareli RC, Delforno TP et al (2020b) Optimization of key factors affecting hydrogen production from coffee waste using factorial design and metagenomic analysis of the microbial community. International Journal of Hydrogen Energy 45: 4205-4222. https://doi.org/10.1016/j.ijhydene.2019.12.062 [URL] 🠔
  29. Villanueva-Galindo E, Pérez-Rangel M and Moreno-Andrade I (2024) Biohydrogen production from lactic acid: Use of food waste as substrate and evaluation of pretreated sludge and native microbial community as inoculum. International Journal of Hydrogen Energy . https://doi.org/10.1016/j.ijhydene.2023.12.202 [URL] 🠔