Revista Facultad Nacional de Agronomía, Medellín
0304-2847
Facultad de Ciencias Agrarias - Universidad Nacional de Colombia
https://doi.org/10.15446/rfna.v70n3.58272

Recibido: 30 de agosto de 2016; Aceptado: 21 de abril de 2017

Insecticide effect of leaf extracts from Schinus molle on larvae of Gonipterus platensis

Efecto insecticida de extractos de hojas de Schinus molle en larvas de Gonipterus platensis

Í. Chiffelle, 1 A. Huerta, 2 C. Sandoval, 2 J. Araya, 3

Dept. Agroindustria y Enología. Facultad de Ciencias Agronómicas. Universidad de Chile. Casilla 1004, Santiago, Chile. <ichiffelle@gmail.com> Universidad de Chile Dept. Agroindustria y Enología Facultad de Ciencias Agronómicas Universidad de Chile Santiago Chile
Dept. Silvicultura y Conservación de la Naturaleza. Facultad de Ciencias Forestales y Conservación de la Naturaleza. Universidad de Chile. Casilla 9206, Santiago, Chile. Universidad de Chile Dept. Silvicultura y Conservación de la Naturaleza Facultad de Ciencias Forestales y Conservación de la Naturaleza Universidad de Chile Santiago Chile
Dept. Sanidad Vegetal. Facultad de Ciencias Agronómicas. Universidad de Chile. Casilla 1004, Santiago, Chile. Universidad de Chile Dept. Sanidad Vegetal Facultad de Ciencias Agronómicas Universidad de Chile Santiago Chile

ABSTRACT

The insecticide effect of new and mature leaf extracts obtained with ethanol and water from Schinus molle L. (Anacardiaceae) were evaluated at 0.5 - 3.4% w/v and 0.5 - 4.8% w/v, respectively, onto larvae third instar of Gonipterus platensis Marelli (Coleoptera: Curculionidae), an important defoliating pest on eucalypt (Eucalyptus spp., Myrtaceae) plantations. The extracts were applied to eucalypt leaves that were given as food to the larvae, and their effects were determined by determining mortality and the LC50 and LT50 by Probit analysis on the larvae. Both extracts were effectives, especially those from new leaves; the ethanol extract from them caused the greatest mortality. The highest concentrations of the water and ethanol extracts (3.4 and 4.8% w/v, respectively) caused average mortality of 100 and 88.9% with new leaf extracts, and 94.7 and 86.4% with mature ones, respectively. The insecticide effectiveness 6 d after treatment in decreasing order were: new leaves-ethanol (LC50 = 0.79% w/v), new leaves-water (LC50= 2.08% w/v), mature leaves-ethanol (LC50=0.63% w/v) mature leaves-water (LC50=12.01% w/v). The LT50 at 1.7% w/v was 5.2 d in new leaves-ethanol. These results of the insecticide effect on G. platensis larvae allow to consider the leaf extracts from S. molle an interesting alternative as a bioinsecticide source for an integrated pest management system of this pest.

Keywords:

Schinus molle, Gonipterus platensis, Botanical insecticides, Integrated pest management.

RESUMEN

Se evaluaron extractos insecticidas etanólicos y acuosos obtenidos desde hojas jóvenes y maduras de Schinus molle L. (Anacardiaceae), en concentraciones de 0,5 a 3,4% p/v y 0,5 a 4,8% p/v, respectivamente, sobre larvas de tercer estadio de Gonipterus platensis (Coleoptera: Curculionidae), importante plaga defoliadora de eucaliptos (Eucalyptus spp., Myrtaceae). Los extractos se aplicaron sobre hojas de eucalipto como alimento para las larvas, y su efectividad se determinó a través de la mortalidad y la determinación mediante análisis Probit de la concentración y tiempo letal (CL50 y TL50, respectivamente). Ambos extractos fueron eficaces contra las larvas, especialmente aquellos obtenidos de hojas jóvenes; el extracto etanólico de estas mismas hojas causó la mayor mortalidad. Con las mayores concentraciones de los extractos en etanol (3,4% p/v) y agua (4,8% p/v) se obtuvieron mortalidades promedio de 100 y 88,9% con hojas jóvenes, y 94,7 y 86,4% con hojas maduras, respectivamente. El orden decreciente de la efectividad insecticida de los extractos de hojas y solvente fue: hojas joven-etanol (CL50= 0,79% p/v), hojas joven-agua (CL50= 2,08% p/v), hojas maduras-etanol (CL50= 2,63% p/v) y hojas maduras-agua (CL50= 12,01% p/v) a seis días después de la aplicación de los extractos. El TL50 fue 5,2 días a la concentración de extractos de hojas nuevas en etanol de 1,7%p/v. Las propiedades insecticidas de los extractos de hojas de S. molle sobre las larvas de G. scutellatus permiten considerar a esta planta una alternativa interesante como fuente bioinsecticida para el sistema de manejo integrado de esta plaga.

Palabras clave:

Schinus molle, Gonipterus platensis, Insecticidas botánicos, Manejo integrado de plagas.

Gonipterus platensis Marelli (formerly G. scutellatus Gyllenhal) (Col.: Curculionidae) is distributed worldwide, feeding both as larvae and adults on eucalypt leaves, causing defoliation and stopping growth (Mapondera et al., 2012). The damage affects mainly the upper third of the tree, particularly on the new leaves of the upper part of the canopy. This pest may present 2-4 cycles a year (Muñoz et al., 2003; Alvarado and Sartori, 2006; Elgueta, 2010). In Chile, it has become an important forest pest because of the large eucalypt plantations, where it has caused economic losses to producers (Alvarado and Sartori, 2006).

The first and second stage larvae damage the leaf epidermis at both sides, and at the third and fourth stages they consume all the lamina. The adults feed at the leaf borders, where they leave a characteristic serrate border (Muñoz et al., 2003; Alzugaray et al., 2004; Sartori, 2006).

The use of chemical insecticides is an important tool on pest control, but they have also negative effect, like the development of pest and disease resistance, the appearance of new pests, the reduction of beneficial fauna, and contamination of the environment and feeding crops (Silva et al., 2002; Montesino, 2009). The use of plant extracts appears as an alternative to chemical treatments, as they are healthier and ecologically acceptable (Silva et al., 2002; Millán, 2008).

The plants are important sources of chemical molecules, and they have envolved for million years developing defense mechanisms to reduce insect damage (Regnault-Roger et al., 2004; Montesino, 2009). The plants synthesize secondary metabolites, natural products that do not participate directly in processes essential for growth, development and reproduction, but are determinant in plant resistance against insect damage or adverse factors like herbivore consumption, infection by microorganisms or competition for light, water or soil, among others (Sepúlveda et al., 2003; Ávalos and Pérez-Urria, 2009; Montesino, 2009).

The Bolivian pepper tree Schinus molle L. (Anacardiaceae), a Peruvian tree common in the Andes region of South America, has been efficacious as bioinsecticide (Ferrero et al., 2007; Werdin et al., 2008; Fuentes et al., 2010). This ever green tree with leaves rich in essential oils may reach up to 15 m high (Donoso, 2006). Some of its major secondary metabolites are tannins, alcaloids, flavonoids, saponins, sterols, terpenes, gums, resins, and essential oils, present mainly in its fruit and foliage (Ferrero et al., 2006, 2007; Alba et al., 2009).

Other studies demonstrate the insecticide effect of the essential oils in S. molle leaves and fruit. For example, Deveci et al. (2010) determined the antimicrobial activity and repellence effect of the essential oil and the hexane extracts from the leaves and fruit of S. molle on Blatta orientalis, and on 9 bacteria strains. Also, Werdin et al. (2008) evaluated the insecticide effect of essential oils on leaves and fruit of S. molle on nymphs II of Nezara viridula L. (Hem.: Pentatomidae), a soybean pest. At the greatest concentrations (88 and 176 µg mL-1) they obtained at 48 h a mortality >95%, while the least concentrations (11 and 22 µg mL-1) caused >70% mortality.

Benzi et al. (2009) evaluated the repellence and fumigant action of essential oils from S. molle leaves and fruit on the rice weevil, Sitophilus oryzae L. (Col.: Curculionidae). The essential oil from the leaves caused repellence at 24 h at 0.04 and 0.4% w/v, but those from the fruit had no effect.

The insecticide effect of new and mature leaf ethanol and water extracts of S. molle were evaluated on larvae of G. platensis in laboratory bioassay tests, to contribute to integrated management of this pest.

MATERIALS AND METHODS

The larvae of G. platensis were collected in October 2011 at a five years old E. globulus plantation in the Metropolitan Region, Chile (33°47'41''S; 71°30'12''W), that were taken in cloth bags to the Forest Entomology Laboratory, where they were set in Petri dishes underlined with slightly wet filter paper, and provided daily with fresh eucalypt leaves.

In the bioassays, one kg of new and mature S. molle leaves were used, collected at random from adult trees at the College of Forestry and Nature Conservation Sciences, University of Chile, Santiago, during the fall and winter of 2011.

To prepare the extracts the leaflets were taken from the central leaf vein, weighed fresh and then dried at 37 °C in a Memmert® 854 (Schwabach, Germany) forced air oven until constant weight at 60 h on a Shimadzu ELBL 3000 balance. Then the dry leaflets were grinded with an Ufesa® MC 0360 knife mill. The dust obtained was mixed with water or 96 % w/v ethanol, shaking 18 h on a Heidolph® MR 3001K magnetic stirrer (Schwabach, Germany), and was heated at 37 °C during the first hour. Then, the mixes were filtered with paper, and set 15 min in a centrifugue (HN-S, USA), to obtain the base extracts. To determine the concentrations of those base extracts, a small volume of them were dried and the concentrations of total solids in % w/v were obtained by weight difference. The solutions used were prepared by serial dilution of the leaf extracts (Huerta et al., 2010).

The bioassays had experiment units with five third instar larvae of G. platensis in plastic containers lined with slightly wet filter paper and fresh and clean eucalypt leaves, at room temperature (19±2 °C). The treatment was standardized at 60 s immersion of eucalypt leaves in the extracts. These leaves were maintained for two d on exposure to the third stage larvae then every two d were changed to fresh leaves without extract until completing 10 d (Huerta et al., 2010).

The efficacy of the leaf extracts were evaluated by determining daily mortality with the extracts and concentrations. The results with the extracts from new and mature leaves were analyzed separately, using bifactorial anovas with two solvents x five concentrations, including controls with only the solvents, with five replicates. The results were normalized by Bliss [arcsen (% adult mortality/100)] prior to the analyses, to stabilize the error of the variance. Significant differences between treatments were separate with Tukey (P≤0.05) tests. Mortality percentages were corrected by Abbott's (1925) formula to eliminate natural mortality in the controls, particularly from the toxic effect of ethanol. The LC50, and the LT50-95, were obtained in Probit analyses of separate bioassays (Thrones et al., 1995).

RESULTS AND DISCUSSION

Evaluation of mortality

The larval mortality of G. platensis obtained with the ethanol extract from new S. molle leaves was greater that with the water extract. The statistical analysis indicated significant differences between the treatments and their respective controls. The least mortality obtained was >33%, with the least concentration (0.5% w/v). The greatest final mortality (100%) occurred with the ethanol extract from new leaves at the greatest concentration (3.4% w/v), at the 10 d evaluation (Table 1, Figure 1).

Table 1: Mortality (%) of G. platensis larvae by effect of the ethanol and water extracts from new and mature leaves of S. molle at 10 d.

Mortality means (%) of larvae of G. platensis exposed to ethanol and water extracts of new S. molle leaves.

Figure 1: Mortality means (%) of larvae of G. platensis exposed to ethanol and water extracts of new S. molle leaves.

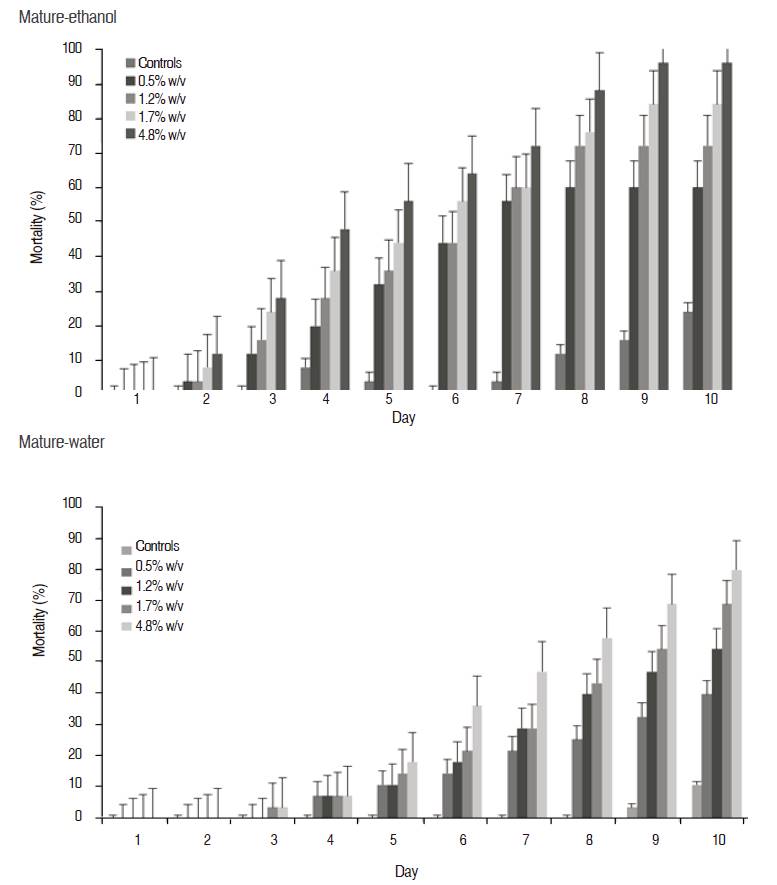
The bioassay with the ethanol extract from mature S. molle leaves yielded a minimum larval mean mortality of 47.4% at the least concentration (0.5% w/v). The maximum mortality at 10 d for both bioassays occurred with the greatest concentrations, 1.7 and 4.8% w/v (Table 1, Figure 1). The mortality levels obtained with the ethanol and water extracts from new leaves were greater than those from mature foliage. The larvae that consumed leaves treated with the ethanol extract from new leaves at the maximum concentration (3.4% w/v) presented 100% mortality.

It is noteworthy to see that mortality at the two greatest concentrations evaluated in each bioassay was >72%, which demonstrates the insecticide value of both extracts (Table 1). The results obtained with the extract from mature foliage are presented in Table 1 and Figure 2.

Mortality means (%) of larvae of G. platensis exposed to ethanol and water extracts of mature S. molle leaves.

Figure 2: Mortality means (%) of larvae of G. platensis exposed to ethanol and water extracts of mature S. molle leaves.

Insecticide effectiveness

The results of the Probit analyses indicated a greater insecticide effect of the ethanol tan the water extracts on the larvae of G. platensis. The least LC50 was 0.79% w/v with the ethanol extract from new leaves at day six (Table 2). The extracts from new S. molle foliage caused greater effects than those of mature leaves on mortality of G. platensis larvae. The least lethal time (TL50) at 1.7% w/v was 5.2 d with the ethanol extract from new leaves, while the greatest lethal time was 8.4 d with the water extract from mature foliage (Table 2).

Table 2: Insecticide effectiveness (LC50 and LT50-95 at 1.9% w/v) on larvae of G. platensis of the leaf extracts from S. molle.

The effectiveness of S. molle as botanical insecticide has been demonstrated in various studies on several pests. For example, Huerta et al. (2010) evaluated the toxicity of ethanol and water extracts of mature S. molle leaves onto adults of Xantogaleruca luteola Müller (Col.: Chrysomelidae), a defoliating pest of elm trees (Ulmus spp., Ulmaceae), at 2.0 to 4.7% w/v with ethanol and 2.5 to 5.6% w/v with water, and achieved mortality from 73.6 to 100% and 15.3 to 27.8 %, respectively. Chiffelle et al. (2013) analyzed the toxicity of ethanol and water extracts from new and mature S. molle leaves on third stadium X. luteola larvae, at 0.5 to 4.3% w/v for the ethanol and water extracts from new leaves, and 0.7 to 5.9% w/v and 0.5 to 4.3% w/v for mature leaves, respectively. Average mortality occurred with the greatest concentrations in ethanol and water: 89.2 and 67.4% from new leaves, and 78.4 and 62.8% from mature ones, respectively. In both studies the greatest mortality occurred with the ethanol extract from new leaves, similarly to our results herein.

Iannacone and Lamas (2003) evaluated the insecticide effect of water, hexane y acetone extracts at 10% w/v from S. molle leaves on larvae and adults of the potato moth Phthorimaea operculella Zeller (Lep.: Gelechiidae). For the larvae the solutions were added to the diet, and caused 90.4, 49.2 and 88.1% mortality, respectively. Those results are similar to G. scutellatus larval mortality obtained with the water extracts from new and mature leaves were 92% at 3.7% w/v, and 88% at 3.3% w/v, respectively.

Chiffelle et al. (2013) obtained a LC50 for X. luteola larvae with the ethanol extract from new S. molle leaves, of 1.28% w/v at seven d. This result is different to ours, where the LC50 was 0.79% and occurred at six d. Thus, the larvae of G. platensis are more susceptible than those of X. luteola to the extracts from S. molle leaves.

Also, Huerta et al. (2010) obtained with the ethanol extract from S. molle leaves a LC50 for X. luteola adults of 1.88 and 0.19% w/v at two and eight d, while that with the water extract was 8.52 and 4.06% w/v at four and eight d, respectively. This indicates that the adults of X. luteola are more sensible to the larvae of G. platensis to the extracts from the leaves of S. molle.

Descamps et al. (2008) evaluated the contact toxicity of ethanol and hexane extracts from S. molle leaves and fruit on larvae and adult Tribolium castaneum Herbst. (Col.: Tenebrionidae), at 6.8 and 4.8 % w/v of the extracts, respectively. A LC50 at 72 h for the foliage and fruit ethanol extracts were 13 and 29 µg larva-1, and 11 y 17 µg adult-1, respectively. The ethanol extract from the leaves was more effective than that from the fruit.

Iannacone and Alvariño (2010) evaluated the ecotoxicological effects of water extracts from S. molle leaves onto four controllers of crop pest in Perú. Concentrations of 1.5, 2.5, 5.0, 10.0, and 20.0% w/v obtained at 48 h a LC50 of 3.7% for larvae of the neuropterans (Chrysopidae) Ceraeochrysa cincta (Schneider), 32.2% for larvae of Chrysoperla asoralis (Bank), 40.9% for adults of Telenomus remus Nixon (Hym.: Scelionidae), and 14.2% for adults of Orius insidiosus Say (Hem.: Anthocoridae). The third instar larvae of G. platensis, both the aqueous extracts of new and mature leaves, are more sensitive than the biological controllers evaluated, given that the LC50 7.29% w/v to five d in new leaves and LC50 12 % w/ v to six d in mature leaves.

CONCLUSIONS

The extracts from new and mature S. molle leaves were efficacious as bioinsecticides on G. platensis larvae, which were more susceptible to the extracts from new over mature leaves. The ethanol extract from S. molle new leaves caused at 3.4% w/v the greatest larval mortality (100%). The least LC50 (0.79% w/v) of G. platensis larvae occurred with the ethanol extract from new leaves, at day six, and also the least LT50 (5.2 d) at 1.7% w/v with the same extract. Our results of the insecticide properties of S. molle leaf extracts on G. platensis larvae allow to consider this tree an interesting alternative for a bioinsecticide to be used for integrated management of this pest.

REFERENCES

  1. Alba A, Bonilla P y Arroyo J. 2009. Actividad cicatrizante de una pomada con aceite esencial de Schinus molle L. “molle” en ganado vacuno con heridas infectadas y en ratones. Ciencia e Investigación Agraria 12(1): 29-36. 🠔
  2. Alvarado A y Sartori A. 2006. Gonipterus scutellatus Gyllenhal (Coleoptera: Curculionidae), “Gorgojo del eucalipto”. Corporación Nacional Forestal. Santiago, Chile. Nota Técnica 24(47): 1-8. 🠔
  3. Alzugaray R, Landeras E y Braña M. 2004. Evolución y situación de Gonipterus scutellatus Gyll. y su parásito Anaphes nitens Hubber en el Principado de Asturias durante los años 2001 y 2002. Boletín de Sanidad Vegetal, Plagas 30: 331-338. 🠔
  4. Ávalos A y Pérez-Urria E. 2009. Metabolismo secundario de plantas. Reduca (Biología), Serie Fisiología Vegetal 2(3): 119-123. 🠔
  5. Benzi V, Stefanazzi N and Ferrero A. 2009. Biological activity of essential oils from leaves and fruits of pepper tree (Schinus molle L.) to control rice weevil (Sitophilus oryzae L.). Chilean Journal Agricultural Research 69(2): 154-159. doi: 10.4067/s0718-58392009000200004 [DOI] 🠔
  6. Chiffelle I, Huerta A, Celis M and Araya JE. 2013. Proximal analysis and insecticidal effects of extracts from pepper tree (Schinus molle) leaves on elm leaf beetle (Xanthogaleruca luteola) larvae. Industrial Crops and Products 43: 523-528. doi: 10.1016/j.indcrop.2012.07.062 [DOI] 🠔
  7. Descamps L, Stefanazzi C y Sánchez A. 2008. Actividad biológica de extractos vegetales de Schinus molle var. areira (Anacardiaceae) en Tribolium castaneum Herbst. (Insecta, Coleoptera, Tenebrionidae), plaga de grano almacenado. Boletín de Sanidad Vegetal, Plagas 34: 595-605. 🠔
  8. Deveci O, Sukan A, Tuzun N and Hames E. 2010. Chemical composition, repellent and antimicrobial activity of Schinus molle L. Journal of Medicinal Plants Research 4(21): 2211-2216. 🠔
  9. Donoso C. 2006. Las especies arbóreas de los bosques templados de Chile y Argentina. Autoecología. Editorial Masisa Cuneo, Valdivia, Chile. 678 p. 🠔
  10. Elgueta M. 2010. Gonipterus scutellatus El “gorgojo del eucalipto” (Coleoptera: Curculionidae) en Chile. In: Lanfranco, D. y C. Ruiz (eds.). Entomología Forestal en Chile. Ediciones Universidad Austral de Chile, Valdivia, Chile. pp. 425-442. 🠔
  11. Ferrero A, Werdin J and Sánchez C. 2006. Biological activity of Schinus molle on Triatoma infestans. Fitoterapia 77(5): 381-383. doi: 10.1016/j.fitote.2006.03.004 [DOI] 🠔
  12. Ferrero A, Sánchez C, Werdin J and Alzogaray A. 2007. Repellence and toxicity of Schinus molle extracts on Blattella germanica. Fitoterapia 78(4): 311-314. doi: 10.1016/j.fitote.2006.11.021 [DOI] 🠔
  13. Fuertes C, Jurado B, Gordillo G, Negrón L, Núñez E, Esteban M y Távara A. 2010. Estudio integral de plantas biocidas del algodonero. Ciencia e Investigación Agraria 13(1): 34-41. 🠔
  14. Huerta A, Chiffelle I, Puga K, Azúa F and Araya J. 2010. Toxicity and repellence of aqueous and ethanolic extracts from Schinus molle on elm leaf beetle Xanthogaleruca luteola. Crop Protection 29: 1118-1123. doi: 10.1016/j.cropro.2010.04.010 [DOI] 🠔
  15. Iannacone J y Alvariño L. 2010. Toxicidad de Schinus molle L. (Anacardiaceae) a cuatro controladores biológicos de plagas agrícolas en el Perú. Acta Zoológica Mexicana 26(3): 603-615. 🠔
  16. Iannacone J y Lamas G. 2003. Efecto insecticida de cuatro extractos botánicos y del cartap sobre la polilla de la papa Phthorimaea operculella (Zeller) (Lepidoptera: Gelechiidae), en el Perú. Entomotropica 18(2): 95-105. 🠔
  17. Mapondera TS, Burgess T, Matsuki M and Oberprieler RG. 2012. Identification and molecular phylogenetics of the cryptic species of the Gonipterus scutellatus complex (Coleotera: Curculionidae: Gonipterini). Austral Entomology 51(3): 175-188. doi: 10.1111/j.1440-6055.2011.00853.x [DOI] 🠔
  18. Millán C. 2008. Las plantas: una opción saludable para el control de plagas. RAPAL, Uruguay. 99 p. 🠔
  19. Montesino M. 2009. Insecticidas botánicos como alternativa para el manejo de plagas en sistemas agroforestales. Agricultura Orgánica 1: 24-26. 🠔
  20. Muñoz C, Pérez V, Cobos P, Hernández R y Sánchez G. 2003. Sanidad Forestal. Guía de imágenes de plagas, enfermedades y otros agentes presentes en los bosques. Mundiprensa, Madrid, España. 576 p. 🠔
  21. Regnault-Roger C, Philogène B y Vincent C. 2004. Biopesticidas de origen vegetal. Mundiprensa. Madrid, España. 325 p. 🠔
  22. Sartori A. 2006. Ficha insectos. Agentes de daño en plantaciones y bosque nativo. Gonipterus scutellatus Gyllenhal (Coleoptera: Curculionidae), “gorgojo del eucalipto”. Chile Forestal 322: 43-44. 🠔
  23. Schneider-Orelli O. 1947. Entomoligisches Praktikum-Eifurung in die land- um forstwirtschafliche insektenkude. Sauerlander & Co., Aarau, Germany. 523 p. 🠔
  24. Sepúlveda G, Porta-Ducoing H y Rocha-Sosa M. 2003. La participación de los metabolitos secundarios en la defensa de las plantas. Revista Mexicana de Fitopatología 21(3): 355-363. 🠔
  25. Silva G, Lagunes A, Rodríguez J y Rodríguez D. 2002. Insecticidas vegetales: una vieja y nueva alternativa para el manejo de plagas. Manejo Integrado de Plagas y Agroecología (Costa Rica) 66: 4-12. 🠔
  26. Throne J, Weaver D, Chew V and Baker J. 1995. Probit analysis of correlated data: multiple observations over time at one concentration. Journal Economic Entomology 88(5): 1510-1512. doi: 10.1093/jee/88.5.1510 [DOI] 🠔
  27. Werdin J, Ferrero A y Murray A. 2008. Bioactividad de aceites esenciales de Schinus molle var. areira (Anacardiaceae) en ninfas II de Nezara viridula (Hemiptera: Pentatomidae). Boletín de Sanidad Vegetal, Plagas 34: 367-375. 🠔